Исследование самовозбуждения асинхронных генераторов

  • Вид работы:
    Реферат
  • Предмет:
    Транспорт, грузоперевозки
  • Язык:
    Русский
    ,
    Формат файла:
    MS Word
    681,33 Кб
  • Опубликовано:
    2014-02-21
Вы можете узнать стоимость помощи в написании студенческой работы.
Помощь в написании работы, которую точно примут!

Исследование самовозбуждения асинхронных генераторов

Содержание

Введение

Классификация асинхронных генераторов

Энергетические соотношения

Генераторный режим асинхронного двигателя

Физические основы самовозбуждения

Области применения асинхронных генераторов

Введение

Асинхронные самовозбуждающиеся генераторы (АСГ) находят широкое применение в промышленности, в основном как автономные источники электропитания.

Основные области использования АСГ: электроагрегаты и системы электроснабжения передвижных объектов, ветро- и гидроэнергетика малой мощности, автономные источники электропитания передвижных маломощных потребителей повышенной частоты (ручной инструмент и др.), высокоскоростные источники электропитания, асинхронные стартергенераторы с газотурбинным приводом и др. Круг пользователей АСГ непрерывно расширяется.

С одной стороны это объясняется тем, что АСГ легко реализуется на основе наиболее массовой асинхронной машины, обладающей известными достоинствами, а с другой - широкими и, главное, разнообразными возможностями эффективного практического применения АСГ на основе использования особых свойств этих машин. Возможности эти все еще недостаточно известны широкому кругу специалистов.

В ранее опубликованных книгах по данной теме переходные процессы в АСГ не анализируются, между тем некоторые из них, например процессы самовозбуждения, могут быть рабочими режимами (в импульсных системах электроснабжения и т. д.).

Теория же и методы расчета установившихся режимов АСГ излагаются на основе использования круговой диаграммы проводимостей. Последняя может быть построена только в предположении постоянства частоты тока. Между тем АСГ, именуемый иногда асинхронным генератором с конденсаторным возбуждением, представляет собой резонансную систему, которая генерирует свободные электрические колебания.

Частота этих колебаний зависит от нагрузки и может изменяться относительно электрической частоты генератора на холостом ходу, даже при условии постоянства частоты вращения ротора, на 10-14 %, не говоря уже о тех случаях, когда данный генераторный режим используется для торможения асинхронного электропривода.

Классификация асинхронных генераторов. Энергетические соотношения

Асинхронные генераторы можно классифицировать по:

·        способу возбуждения:

·        характеру выходной частоты (изменяющаяся, постоянная);

·        способу стабилизации напряжения;

·        рабочим областям скольжения;

·        конструктивному выполнению;

·        числу фаз.

Как видно, последние два признака характеризуют конструктивные особенности генераторов. Характер выходной частоты и методы стабилизации напряжения в значительной степени обусловлены способом образования магнитного потока машины. Классификация асинхронных генераторов по способу возбуждения является основной. Таким образом, условимся различать генераторы с самовозбуждением и с независимым самовозбуждением.

Асинхронные генераторы первого класса возбуждаются:

а) с помощью конденсаторов, включенных в цепь статора или ротора или одновременно в первичную и вторичную цепи;

б) посредством вентильных преобразователей с естественной и искусственной коммутацией вентилей.

Асинхронные генераторы второго класса возбуждаются от внешнего источника переменного напряжения.

По характеру частоты самовозбуждающиеся генераторы разделяются на две группы. К первой из них относятся источники практически постоянной (или постоянной) частоты, ко второй переменной (регулируемой) частоты. Последние применяются для питания асинхронных двигателей с плавным изменением частоты вращения Частота генераторов первой группы в пределах нормальных нагрузок при постоянной частоте вращения ротора изменяется незначительно и может быть стабилизирована (например, с помощью балластных сопротивлений). Рабочими областями асинхронных генераторов являются области отрицательных и положительных скольжений, определяемых по соотношению


где n частота вращения магнитного поля, или синхронная частота вращения; n2 частота вращения ротора, причем

дe f1 частота генерируемого напряжения;

р число пар полюсов машины.

Если электромагнитная мощность генератора является только мощностью скольжения, то питание нагрузки возможно лишь при отрицательных скольжениях. В области отрицательных скольжений работают самовозбуждающиеся генераторы и короткозамкнутые генераторы независимого возбуждения с трехфазной статорной обмоткой. Для короткозамкнутого генератора нормального исполнения xaрактерно, что егo статорная обмотка выполняет функции входной (возбуждения) и выходной (генераторной) обмоток. При раздельном выполнении входной и выходной обмоток электромагнитная мощность первой остается мощностью скольжения направление ее передачи зависит от знака скольжения, в то время как направление передачи электромагнитной мощности второй обмотки от скольжения не зависит.

К асинхронным генераторам независимого возбуждения, работающим в области положительных скольжений, относятся асинхронные тахогенераторы и асинхронные преобразователи частоты.

В ряде случаев на напряжение возбуждения включается обмотка ротора. Генераторы, возбуждаемые со стороны ротора, используются при параллельной работе с сетью и при работе на автономную сеть.

Если возбуждать ротор трехфазным током прямого или обратного следования фаз, частота которого пропорциональна скольжению, то при изменении частоты вращения ротора частота вращения поля и, соответственно, частота напряжения на выходе будут оставаться постоянными. Частота вращения поля может быть выбрана промежуточной между предельными значениями частоты вращения ротора.

Тогда при s=0 генератор должен возбуждаться постоянным током. Это послужило поводом к введению термина "асинхронизированная синхронная машина".

Практическое использование генератора в трех областях скольжений связано с решением ряда проблем. Более простая система генерирования переменного тока стабильной частоты получается при рaботе генератора в одной области положительных скольжений.

Среди асинхронных генераторов независимого возбуждения особое место занимает короткозамкнутый генератор, работающий в режиме асинхронного усилителя мощности переменного тока. Основными элементами генераторной установки являются асинхронный (АГ) и задающий (ЗГ) генераторы. Назначение ЗГ состоит в генерировании колебаний определенной частоты, а АГ- в усилении этих колебаний. В зависимости от типа ЗГ возможно получение переменного тока прецизионной частоты, необходимого для некоторых новых областей техники.

Рассмотрим операцию перевода асинхронной короткозамкнутой машины в режим генератора независимого возбуждения. Для этого достаточно асинхронный двигатель, включенный на напряжение сети, развернуть с помощью постороннего двигателя в направлении вращения магнитного поля до сверхсинхронной частоты вращения (рис.1). Положим, что значения скольжения машины в двигательном и генераторном режимах равны, что отмечено звездочками на шкале скольжений (рис. 2). Toгдa векторная диаграмма токов и напряжений примет вид, показанный на рис. 3.

Из анализа диаграммы следуют важные выводы:

) асинхронный генератор является источником активной мощности, так как по сравнению с двигательным режимом у него изменяется направление только активной составляющей тока;

) асинхронный генератор, так же как и двигатель, является потребителем реактивной мощности, необходимой для создания магнитного поля.


Генераторный режим асинхронного двигателя

(-<s<0). Для осуществления генераторного режима работы асинхронной машины ее нужно включить в сеть переменного тока и вращать с помощью соответствующего приводного двигателя (машина постоянного тока, тепловой или гидравлический двигатель) в сторону вращения магнитного поля со скоростью п превышающей синхронную скорость n1.

Скольжение машины при этом отрицательно.

Рис 3. В двигательном режиме

Теоретически скорость п в генераторном режиме может изменяться в пределах , чему соответствует изменение скольжения в пределах . В действительности высокие скорости вращения недопустимы по условиям механической прочности, а по условиям ограничения потерь и нагревания и сохранения высокого к. п. д. в генераторном режиме возможны абсолютные значения скольжения такого же порядка, как и в двигательном режиме.

Рис4 В генераторном режиме.

Рассмотрим активные и реактивные относительно э.д.с.  составляющие токи .


Физические основы самовозбуждения

Асинхронный генератор представляет собой нелинейную aвтоколебательную систему с двумя накопителями энергии емкостью и индуктивностью. При определенных условиях в цепи не возбужденной вращающейся машины возникают незатухающие колебания, амплитуда которых возрастает до определенного значения, зависящего от параметров колебательного контура.

Заметим, что по способу возбуждения автоколебательные системы разделяются на системы с жестким и мягким возбуждением. В первом случае колебания начинаются после тoгo, как система получила некоторый определенный толчок, во втором этот толчок может быть исчезающе малым. Однако всегда для возникновения колебаний необходимо, чтобы в цепь статора поступала мощность, компенсирующая потери в активных сопротивлениях колебательного контура.

Очевидно, что передача энергии в направлении от ротора к статору может быть достигнута только в результате образования вращающего момента, обусловленного взаимодействием поля ротора со свободными составляющими поля статора, вращающимися в направлении вращения ротора с некоторым отставанием.

Соответствующее отрицательное скольжение весьма мало, поэтому собственная частота колебаний контура практически равна электрической частоте вpaщения ротора.


Из условий самовозбуждения, выраженных в виде соотношения, вытекает как следствие, что потери в колебательном контуре должны быть незначительны. Свободные составляющие потока статора, вращающиеся в сторону вращения ротора, но с большей частотой, так же как и свободные составляющие потока, вращающиеся в противоположном направлении, демпфируются обмоткой ротора и затухают.

Самовозбуждение асинхронною генератора представляет собой переходный электромагнитный процесс, вызываемый преднамеренно в целях генерирования электрической энергии.

Методика аналитического исследования условий самовозбуждения заключается в следующем:

) составляются дифференциальные уравнения с постоянными коэффициентами, описывающие переходный процесс в рассматриваемой системе;

) находится характеристическое уравнение системы;

) определяются корни характеристическогo уравнения.

Самовозбуждение возможно, если по меньшей мере один из коpней имеет положительную вещественную часть.

Гармоническая составляющая свободного тока определяется соотношением:

(2)

- собственная частота колебаний;

 - начальная фаза тока.

Активное сопротивление R, входящее в выражение коэффициента затухания, является функцией параметров схемы замещения и частоты вращения ротора. Если R > О, то коэффициент затухания 13 < о и возбуждение колебаний, как это видно из соотношения (2), становится невозможным.

Для возникновения самовозбуждения необходимо, чтобы активное сопротивление R было отрицательным. При этом ¼ > о и в cooтветствии с (2) происходит нарастание амплитуды свободного тока. Напряжение на зажимах машины соответственно возрастает.

По мере увеличения напряжения реактивное сопротивление взаимоиндукции Хm уменьшается вследствие насыщения магнитной цепи машины. Вместе с этим происходит уменьшение абсолютного значения отрицательного активного сопротивления. Нарастание амплитуды свободного тока заканчивается, кoгдa сопротивление R и, соответственно, коэффициент затухания обращаются в нуль. Возникающий под влиянием внешнего электромагнитного возмущения или под влиянием ЭДС, обусловленной остаточным полем ротора, ток статорной цепи, опережающий напряжение генератора на yгол, примерно равный П/2 рад, по отношению к генератору является реактивным намагничивающим током. Возбуждение становится возможным, если потери, обусловленные этим током, компенсируются за счет энергии, поступающей со стороны ротора, вращающегося с некоторым весьма небольшим отрицательным скольжением. В этом и состоят физические основы самовозбуждения асинхронного генератора.

Сложным в теоретическом отношении является обоснование причин возникновения колебаний. Положим, что необходимым и достаточным условием для этогo является наличие остаточной ЭДС ротора. Тогда процесс самовозбуждения будет протекать так же, как и в генераторе постоянного тока. Графически он может быть условно представлен ступенчатой линией, проходящей между кривой намагничивания и вольтамперной характеристикой конденсатора (рис. 5).

Как видно, переходный процесс характеризуется неравенством

 

- мгновенное значение тока конденсатора.

Рис5. Самовозбуждение асинхронного гeнepaтopa с остаточным полем ротора: а - графическое изображение процесса самовозбуждения; б - характеристики намагничивания

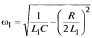
Точка пересечения характеристик соответствует установившемуся режиму, для которого справедливо равенство:


Решение последнего выражения относительно угловой частоты генерируемых колебаний ώ1 при водит к соотношению .

Касательная к кривой намагничивания (рис. 5, б) представляет собой характеристику холостого хода при Х1 =const. Она составляет с осью абсцисс угол акр= arctg X 1

Другое предельное значение магнитной характеристики выражается характеристикой короткого замыкания (Х1 =const). Характеристика короткого замыкания составляет с осью абсцисс угол


где L к . з - полная индуктивность фазы генератора при коротком замыкании. Как следует из изложенного, по условию самовозбуждения вольтамперная характеристика конденсатора должна составлять с осью абсцисс угол α, лежащий в пределах:


Этому соотношению соответствует неравенство реактивных сопротивлений:


Рассмотренная картина процесса самовозбуждения асинхронногo генератора с ферромагнитным короткозамкнутым ротором достаточно проста и наглядна. Однако она не отражает того обстоятельства, что обычно асинхронному возбуждению предшествует устойчивая работа машины со скольжением, равным нулю, т.е. в режиме гистерезисного синхронного генератора, включенного на емкостную нагрузку.

Образование гистерезисного момента обусловлено взаимодействием вращающегося магнитного поля статора с полем элементарных магнитов ротора, которые поворачиваются (вращаются) в направлении поля с некоторым отставанием.

асинхронный генератор самовозбуждение статор

Рис6. Осциллограммы тока статора, полученные при самовозбуждении асинхронного генератора: а - С = const; ώr = const; б - С 2 = const (С 2 > С1); ώr = const; в - С = const ώr возрастает от нуля

С включением конденсаторов увеличивается ток статора, возрастают угол нагрузки θ и момент. При достижении последним максимального значения генератор выпадает из синхронизма, а ротор начинает вращаться с некоторым скольжением. В eгo обмотке возникают ЭДС и токи, образуется асинхронный электромагнитный вращающий момент. В результате синхронные колебания переходят в асинхронные.

Если же емкость, введенная в цепь обмотки статора, мала, то угол нагрузки θ не достигнет максимального значения генератор не выпадет из синхронизма и короткозамкнутая обмотка ротора будет выполнять роль демпферной клетки при колебаниях угла нагрузки. Переход к асинхронному возбуждению сопровождается толчком происходит жесткое самовозбуждение.

Осциллограммы, приведенные на рис. 6, а и б, иллюстрируют картину жесткого возбуждения. На них явно обозначен момент толчка, после котopoгo происходит нарастание амплитуды колебаний. Обратим теперь внимание на осциллограмму, приведенную на рис. 6, в. Толчка, характерного для жесткого самовозбуждения, мы здесь не обнаруживаем. Осциллограмма получена следующим образом. В цепь обмотки статора неподвижного генератора введена емкость, достаточная для возбуждения до номинального напряжения в режиме холостого хода. Затем генератор приводится во вращение и запись осциллограммы производится в условиях уменьшающегося скольжения, Т.е. в чисто асинхронном режиме. Этот способ возбуждения принципиально отличается от предыдущих. Здесь нет синхронного режима и амплитуда колебаний плавно возрастает от нуля до установившегося значения. Из изложенного становится очевидным, что для асинхронною генератора возможны как жесткий, так и мягкий способы возбуждения.

Описанное относится к асинхронному генератору с ферромагнитным короткозамкнутым ротором, обладающим некоторым остаточным магнитным полем. Однако самовозбуждение возможно и при полном отсутствии последнего, например, у генератора с полым не магнитным ротором. В этом случае в токе статора должны содержаться составляющие, создающие магнитное поле, вращающееся в сторону вращения ротора с некоторым отставанием.

Заметим, что к одному из важных вопросов, связанных с эксплуатацией автономных электроэнергетических установок с асинхронными генераторами, относится обеспечение надежности процесса самовозбуждения. Отечественными учеными предложен оригинальный и простой способ решения отмеченной проблемы. Он основан на дополнении к конструкции сердечников статора или ротора постоянных магнитов в виде стержней, например по одному на пару полюсов. Картина распределения магнитного поля постоянного магнита, полученная расчетным путем, приведена на рис. 7. Как показали исследования, самовозбуждение становится гарантированным.

Рис7. Магнитное поле постоянного магнита

Области применения асинхронных генераторов

Асинхронные генераторы находят широкое применение в качестве основных элементов автономных электроэнергетических установок. Ниже при водится далеко не полный перечень областей, в которых они используются или могут быть использованы.

. В районах, удаленных от линий электропередачи и электростанций местного значения, асинхронные самовозбуждающиеся генераторы могут стать источниками питания асинхронных двигателей, электробытовых приборов, использоваться для освещения, обогрева и Т.П. Конструктивно они представляют собой нормальную асинхронную машину трехфазного тока с короткозамкнутым ротором или машину специального исполнения. На рис.8 показан общий вид переносной малогабаритной электростанции "Дружба" с асинхронным самовозбуждающимся генератором, предназначенной для питания осветительных установок на лесосеках, лесосплаве и при изыскательских работах, а также для освещения помещений.

Рис 8. Общий вид переносной электростанции "Дружба"

1 - первичный двигатель; 2 - асинхронный генератор; 3 - редуктор; 4 - pacпределительное устройство; 5 - топливный бак; 6 - каркасная рама

. Проведенные исследования доказали возможность использования асинхронногo генератора с самовозбуждением для питания paдиостанций небольшой мощности. При этом электроснабжение потребителей постоянного тока осуществляется посредством выпрямительных блоков со сглаживающими фильтрами.

. Асинхронные генераторы повышенной частоты с возбуждением от конденсаторов находят применение в электротермии. Так, шведской фирмой ASEA для индукционного нагрева выпускаются генераторы мощностью до 200 кВт. А частотой 250 Гц.

. Для питания ряда современных устройств необходимо иметь переменное напряжение cтpoгo постоянной, прецизионной частоты. При сочетании асинхронного короткозамкнутого генератора с задающим генератором может быть получен режим электромашинного усилителя переменного тока с высокой точностью стабилизации частоты.

. В судовых электроэнергетических установках при меняются асинхронные генераторы с приводом от гребных валов. К статорной обмотке генератора с фазным ротором подается напряжение возбуждения со стороны сети (от синхронного гeнepaтopa). Обмотка ротора через выпрямительный мост соединяется с цепью якоря двигателя постоянного тока с независимым возбуждением, на валу которого установлен синхронный генератор. Таким образом, энергия скольжения за вычетом потерь в каскаде асинхронный генератор двигатель постоянного тока передается на вал синхронного генератора. Возможно также каскадное соединение двух асинхронных генераторов или соединение асинхронного генератор и двигателя постоянного тока с параллельным возбуждением. Принципиальная схема системы, в которой используется асинхронный генератор с приводом от гребных валов, приведена на рис.9.

Рис 9. Принципиальная схема каскадного соединения асинхронного генератора с двигателем постоянного тока:

- асинхронный гeнepaтop, 2 - двигатель постоянного тока; 3 - синхронный генератор; 4 - выпрямитель

. Определенный интерес вызывает также идея использования на самолетах с небольшим и значительным диапазоном изменения частоты вращения авиадвигателей асинхронных генераторов независимого возбуждения с фазным ротором. Генератор, возбуждаемый со стороны ротора, обеспечивает получение постоянной (ста6илизированной) частоты. При этом отпадает необходимость в установке между авиадвигателем и генератором передаточных устройств с переменным передаточным отношением. Такой генератор можно рассматривать как обращенный преобразователь частоты, у которого обмотка ротора является входной, а обмотка статора выходной. На вход генератора подается напряжение, частота которого пропорциональна скольжению. Возбуждаемая тaким образом асинхронная машина работает с синхронным потоком.

Рис 10. Бесконтактный вариант асинхронного генератора с фазным ротором

Бесконтактный вариант асинхронного генератора с синхронным потоком, разработанный в США, приведен на рис. 10.

7. Получение постоянного напряжения в автономных энергетических установках наиболее просто достигается, как было показано выше, с помощью ABГ асинхронных самовозбуждающихся вентильных генераторов.

. Перспективно применение асинхронных генераторов с короткозамкнутым ротором для электросварки. Как показали исследования, срыв режима самовозбуждения при значительных токах нагрузки можно предотвратить путем соответствующих конструктивных и схемных решений. В наиболее совершенной конструкции источника питания сварочной дyги трехфазный асинхронный генератор (ACГ, рис. 11) имеет две обмотки возбуждения 2 и 5, генераторную обмотку 6 и короткозамкнутый ротор 4 обычной конструкции. Обмотки статора 2, 5 и 6 охватывают пакеты зубцов статора З, которые расположены аксиально. По торцам зу6цов закреплены два кольцевых ярма 1 и 7.

Принципиальная электрическая схема генератора приведена на рис. 11, б. Обмотки возбуждения, с включенными в их цепь конденсаторами, соединены последовательно. Сварочная цепь постоянного (выпрямленногo) тока получает питание от генераторной обмотки через полупроводниковый выпрямитель 8.

Экспериментальные исследования опытного образца ACГ показали, что генератор обеспечивает надежное возбуждение и высокую стабильность горения сварочной дуги. Это объясняется двумя причинами:

магнитодвижущие силы обмоток возбуждения 2 и 5 одна относительно другой направлены встречно, а по отношению к ротору согласно;

генераторная обмотка по отношению к обмотке возбуждения 5 является вторичной обмоткой трансформатора. Ток ее в режиме короткого замыкания оказывает сильное размагничивающее действие, и магнитный поток возбуждения существенно уменьшается. Однако поток, создаваемый теперь в основном магнитодвижущей силой обмотки возбуждения 2, оказывается достаточным для поддержания определенного, зависящего от емкости конденсаторов, напряжения на выходе ACГ.

Внешние характеристики генератора для трех значений возбуждающей емкости приведены на рис. 11, 6. Как видно, на рабочих участках (20 30 В) они являются крутопадающими, благодаря чему oгpaничиваются токи короткого замыкания. С применением ACГ производилась сварка стальных труб. Cвapной стык подвергался испытаниям на механическую прочность и проверке радиографическим методом. Установлено, что по качеству шва ACГ не уступает серийным сварочным генераторам.

Массогабаритные показатели ACГ с пленочными конденсаторами типа K78-17 выше, чем у коллекторного генератора постоянного тока, и практически находятся на уровне показателей индукторного генератора.

Рис 11. Асинхронный сварочный генератор:

а - конструктивная схема;

б - принципиальная электрическая схема;

в - внешние характеристики

Список использованной литературы

. Вольдек А.И., Электрические машины / Вольдек А.И. - Л.: Энергия, 1978. - 832 с.

. Кривцов В.С. Неисчерпаемая энергия. Кн. 1.Ветроэлектрогенераторы / В.С. Кривцов, А.М. Олейников, А.И. Яковлев. - Харьков: Нац. Аэрокосм. ун-т.«Харьк. авиац. ин-т», Севастополь: Севаст. нац. техн.ун-т, 2003. - 400 с.

. Моисеев А.Н. К построению математической модели автономного источника электропитания для газотранспортных сетей по системе „турбодетандер-асинхронный генератор полупроводниковый преобразователь” / А.Н. Моисеев // Вестн. Нац. технич. ун-та „ХПИ”. Харьков: - 2008. - С. 387-389.

Похожие работы на - Исследование самовозбуждения асинхронных генераторов

 

Не нашли материал для своей работы?
Поможем написать уникальную работу
Без плагиата!
Без нейросетей!