Стабилизация газового конденсата АГКМ
МИНИСТЕРСТВО ОБРАЗОВАНИЯ И НАУКИ
РОССИЙСКОЙ ФЕДЕРАЦИИ
Российский государственный
университет нефти и газа имени И.М. Губкина
Факультет Химической технологии и
экологии
Кафедра Газохимии
КУРСОВОЙ ПРОЕКТ
Стабилизация газового конденсата АГКМ
Выполнил:
Голоскокова А.Ю.
Группа ХТ-09-02
Москва 2013
Содержание
1. Теоретические основы
2. Схема стабилизационной
колонны
3. Исходные данные
4. Технологический расчет стабилизационной колонны
4.1 Материальный баланс
колонны в расчете на 500000 т сырья
4.2 Определение давлений,
температур и числа тарелок в колонне
4.3 Расчет флегмового и
парового чисел
4.4 Материальный и
тепловой балансы колонны стабилизации
4.5 Определение основных
размеров колонны
4.5.1 Диаметр колонны
4.5.2 Высота колонны
4.5.3 Диаметры штуцеров
Список использованных
источников
1. Теоретические основы
Сырой газовый конденсат,
выносимый газом в виде капельной жидкости из скважины по своему составу более
тяжелый и содержит углеводороды от этана (в малых количествах) до додекана и выше.
Технология переработки этого конденсата включает процессы: стабилизации,
обезвоживания и обессоливания; очистки от серосодержащих примесей; перегонки и
выделения фракций моторных топлив (с последующим их облагораживанием).
По мере выработки газового месторождения
количество выносимого из пласта конденсата уменьшается, а по составу он
становится более легким. Это необходимо учитывать при проектировании
технологических установок для его переработки. Газовые конденсаты стабилизируют
и перерабатывают двумя методами: ступенчатой дегазацией или ректификацией в
стабилизационных колоннах.
Схема ступенчатой дегазации
не позволяет обеспечить полное извлечение легколетучих углеводородов (до
гексана) и поэтому они в последующем теряются (выветриваются) из конденсата
второй ступени в емкостях.
Стабилизация в
ректификационных колоннах получила большее распространение, так как позволяет
исключить потери ценных углеводородов и предотвратить загрязнение ими
атмосферы.
Колонна стабилизации входит в
установку стабилизации газового конденсата АГКМ.
2. Схема стабилизационной колонны
теплообменник нагрева сырья
1
-
ректификационная колонна
2
-
конденсатор-холодильник
3
- рефлюксная
емкость
4
- трубчатая печь
Рисунок 1.1 - Схема стабилизационной колонны
3. Исходные данные
В данной работе приведен расчет ректификационной колонны для стабилизации
нестабильного газового конденсата при следующих исходных данных: нестабильный
газовый конденсат имеет следующий состав (масс. доли) (таблица 1):
Таблица 1
|
Компонент
|
Состав
|
|
C2H6
|
0,005
|
|
C3H8
|
0,0905
|
|
и-С4H10
|
0,059
|
|
C4H10
|
0,0886
|
|
и-C5H12
|
0,0896
|
|
C5H12
|
0,0889
|
|
C6H14 и выше
|
0,5784
|
|
Итого:
|
1
|
Константы Антуана для каждого компонента (таблица 2):
Таблица 2
|
Компонент
|
A
|
B
|
C
|
|
CH4
|
6,30181
|
320,303
|
255,84
|
|
C2H6
|
6,81882
|
661,088
|
256,54
|
|
C3H8
|
6,83054
|
813,864
|
248,116
|
|
и-С4H10
|
6,82825
|
916,054
|
243,783
|
|
C4H10
|
6,88032
|
968,098
|
242,555
|
|
и-C5H12
|
6,78967
|
1020,012
|
233,097
|
|
C5H12
|
6,83732
|
1075,816
|
233,359
|
|
C6H14 и выше
|
6,87776
|
1171,53
|
224,366
|
Нормальный бутан в дистилляте должен содержаться в количестве φD=0,98
масс. доли; содержание всего пентана и более тяжелых углеводородов в
стабильном конденсате должно составлять φR=0,99 масс. доли; начальная
температура охлаждающей воды tB=20⁰C; давление в эвопарционную зону
колонны πэв=115480,98 мм рт. ст.; сырье в колонну подается в
виде кипящей жидкости; мольная доля отгона e'=0,4; производительность аппарата
по сырью Gc=61274,5 кг/ч (мощность установки -
500000 т/г).
стабилизационный колонна тепловой
4. Технологический расчет стабилизационной колонны
4.1 Материальный баланс колонны в расчете на 500000 т сырья
Материальный баланс стабилизационной колонны приведен в таблице 3.
Таблица 3
|
Материальный баланс
|
|
Потоки
|
Обозначение
|
% масс. на конденсат
|
На 500000 сырья
|
|
Приход
|
|
конденсат
|
F
|
100
|
500000
|
|
Итого:
|
100
|
500000
|
|
Расход
|
|
Фр. СН4-С4Н10
|
D
|
30,28
|
151400
|
|
Стабильный конденсат
|
W
|
69,72
|
348600
|
|
Итого:
|
100
|
500000
|
4.2 Определение давлений, температур и числа тарелок в
колонне
Для последующего расчета зададимся следующими данными
[1]:
·
Температура ввода
сырья tвв = 51 °C;
·
Давление в секции
питания Рс = 15,396 МПа = 115481 мм рт ст;
·
Перепад между
тарелками DР = 5 мм рт ст;
·
Температура
холодного орошения to =
20 °C;
·
Мольная доля
отгона е’ =
0,4;
Пересчет температуры ввода сырья в колонну по заданной доле отгона:
При подаче сырья в колонну в паро-жидкостном состоянии температура сырья
рассчитывается методом последовательных приближений по уравнению:
(1)
Расчет представлен в таблице 2. В результате получили:
-температура ввода сырья: tF = 51 °C;
- средний молекулярный вес сырья:
MF =74,257; (2)
- молекулярная масса жидкой фазы:
Мж.ф.=
74,054; (3)
- молекулярная масса паровой фазы:
Мп.ф
= 60,625; (4)
- массовая доля отгона:
e =0,3275; (5)
Данные расчета приведены в таблице 4.
Таблица 4
|
Давление в секции питания
|
|
tвв=
|
51
|
|
πэв=
|
15,396
|
Мпа
|
115480,9841
|
мм рт ст
|
|
|
|
|
|
Компонент
|
Xif
|
M
|
Xif/M
|
X'if
|
Pi, па
|
Pi,мм рт ст
|
Ki
|
X*if
|
Y*if
|
Y*M
|
X*M
|
|
C2H6
|
0,005
|
30
|
0,0002
|
0,0124
|
478710,8996
|
478710,8996
|
4,1454
|
0,0056
|
0,0233
|
0,6987
|
0,1686
|
|
C3H8
|
0,0905
|
44
|
0,0021
|
0,1527
|
255852,3018
|
255852,3018
|
2,2155
|
0,1527
|
0,3384
|
14,8889
|
6,7202
|
|
и-С4H10
|
0,059
|
58
|
0,0010
|
0,0755
|
164007,0402
|
164007,0402
|
1,4202
|
0,0755
|
0,1073
|
6,2221
|
4,3811
|
|
C4H10
|
0,0886
|
58
|
0,0015
|
0,1134
|
148448,2361
|
148448,2361
|
1,2855
|
0,1134
|
0,1458
|
8,4573
|
6,5791
|
|
и-C5H12
|
0,0896
|
72
|
0,0012
|
0,0924
|
90934,4680
|
90934,4680
|
0,7874
|
0,0924
|
0,0728
|
5,2391
|
6,6534
|
|
C5H12
|
0,0889
|
72
|
0,0012
|
0,0917
|
80745,2577
|
80745,2577
|
0,6992
|
0,0917
|
0,0641
|
4,6158
|
6,6014
|
|
C6H14 и выше
|
0,5784
|
93
|
0,0062
|
0,4618
|
55126,2436
|
55126,2436
|
0,4774
|
0,4618
|
0,2205
|
20,5027
|
42,9500
|
|
Итого:
|
1
|
|
0,0135
|
1,0000
|
|
|
|
1,0000
|
1,0000
|
60,62461
|
74,05377
|
Расчет проводится с использованием метода температурной границы деления
смеси (результат приведен в таблице 5).
Минимальное число теоретических тарелок Nmin определяется по уравнению
Фенске:

; (6)
где

- коэффициент
распределения суммарной фракции, состоящей из компонентов, отбираемых
преимущественно в дистиллят (компоненты до границы деления); 
-
коэффициент распределения суммарной фракции, состоящей из компонентов,
отбираемых преимущественно в остаток (компоненты после границы деления); 
-
относительные летучести компонентов, коэффициенты распределения которых равны,
соответственно,
и 
.
Коэффициенты

и 
рассчитываются
по уравнениям:

; (7)

(8)
Относительная летучесть компонента, имеющего коэффициент распределения 1,
лежащего на температурной границе деления смеси, определяется в первом
приближении по уравнению:

(9)
Мольная доля отбора дистиллята от сырья:

; (10)
коэффициент распределения i-го компонента между дистиллятом и остатком,
который можно рассчитать из уравнения Фенске:

; (11)
Относительные летучести, значения которых будут использованы для расчета
минимального числа теоретических тарелок во втором приближении, определяются по
уравнениям:

(12)

(13)
Используя приведенные выше уравнения, для каждого последующего
приближения
определяются: минимальное число теоретических тарелок 
,
относительная летучесть компонента на границе деления
, мольные
концентрации каждого компонента в дистилляте и в остатке, коэффициенты
распределения, относительные летучести. При расчете найденные значения 
и 
на
следующем шаге расчета используются в качестве первого приближения, и
выполняется такое число приближений, чтобы 
. В
используемой программе задана точность расчета 
=
0,0001.
Оптимальное
число теоретических тарелок в колонне определяется по уравнению:
(14)
Число реальных тарелок определяется с учетом эффективности выбранного
типа тарелок:
(15)
где h-
коэффициент полезного действия тарелки: для клапанной тарелки - 0,35.
Пересчет температуры верха колонны:
Температура верха колонны рассчитывается методом последовательных
приближений по уравнению изотермы паровой фазы:
(16)
Где ki - константа фазового равновесия i-го компонента при температуре и
давлении верха колонны:
ki = Pi / Pверха .
-температура верха: tверха = 39,44 °C;
Таблица 5
|
Компонент
|
x'if
|
αi
|
|
значения
|
ψi
|
y'iD
|
x'iw
|
|
значения
|
y'iD*Mi
|
yiD
|
x'iw*Mi
|
xw
|
|
|
|
|
ψm
|
98
|
|
|
|
ψm
|
98,01
|
|
|
|
|
|
C2H6
|
0,0124
|
8,6839
|
ψk
|
0,020
|
35027624,7971
|
0,0349
|
0,0000
|
ψk
|
0,0202
|
1,0467
|
0,0204
|
0,0000
|
0,0000
|
|
C3H8
|
0,1527
|
4,6412
|
αm
|
2,9252
|
22236,7510
|
0,4305
|
0,0000
|
αm
|
2,9252
|
18,9436
|
0,3694
|
0,0009
|
|
и-С4H10
|
0,0755
|
2,9751
|
αk
|
1,4207
|
119,5586
|
0,2098
|
0,0018
|
αk
|
1,4207
|
12,1659
|
0,2372
|
0,1018
|
0,0012
|
|
C4H10
|
0,1134
|
2,6929
|
Nmin
|
11,7513
|
37,0593
|
0,3048
|
0,0082
|
|
|
17,6796
|
0,3448
|
0,4771
|
0,0055
|
|
и-C5H12
|
0,0924
|
1,6496
|
αε
|
1,9802
|
0,1169
|
0,0157
|
0,1346
|
|
|
1,1322
|
0,0221
|
9,6884
|
0,1115
|
|
C5H12
|
0,0917
|
1,4647
|
ε'
|
0,3547
|
0,0289
|
0,0040
|
0,1399
|
|
|
0,2912
|
0,0057
|
10,0702
|
0,1159
|
|
C6H14 и выше
|
0,4618
|
1
|
Nопт
|
20,6772
|
0,0003
|
0,0002
|
0,7156
|
|
|
0,0217
|
0,0004
|
66,5482
|
0,7659
|
|
1,0000
|
|
Nраб
|
59,0777
|
|
1,0000
|
1,0000
|
|
|
51,2808
|
1,0000
|
86,8866
|
1,0000
|
|
|
|
Nк
|
28,3060
|
|
|
|
|
|
|
|
|
|
|
|
|
No
|
30,7717
|
|
|
|
|
|
|
|
|
|
|
|
|
Nk/No
|
0,9199
|
|
|
|
|
|
|
|
|
|
|
|
|
ε
|
0,2450
|
|
|
|
|
|
|
|
|
|
Воспользовавшись расчетными данными таблицы 5
принимаем:
·
Количество
тарелок в концентрационной части Nk = 28;
·
Количество
тарелок в отгонной части N0
= 31.
Пересчет температуры низа колонны:
Температура низа колонны рассчитывается методом последовательных
приближений по уравнению изотермы жидкой фазы:
(17)
Где ki - константа фазового равновесия i-го компонента при температуре и
давлении низа колонны: ki = Pi / Pниза
Расчет представлен в таблице 3. В результате получили: температура низа:
tниза = 97,39 °C;
Данные расчета приведены в таблице 6 и таблице 7.
Таблица 6
|
Компонент
|
y'iD
|
P
|
Ki
|
x'Di
|
X*M
|
|
|
|
|
|
|
|
|
|
tB
|
39,4403
|
|
C2H6
|
0,0349
|
38482,7150
|
0,3328
|
0,0084
|
0,2516
|
|
|
|
C3H8
|
0,4305
|
10006,0490
|
0,0865
|
0,3482
|
15,3229
|
πB
|
115622,5143
|
|
и-С4H10
|
0,2098
|
3925,2000
|
0,0339
|
0,4943
|
28,6691
|
|
|
|
C4H10
|
0,3048
|
2800,8559
|
0,0242
|
0,1258
|
7,2983
|
|
|
|
и-C5H12
|
0,0157
|
1114,3422
|
0,0096
|
0,0163
|
1,1748
|
|
|
|
C5H12
|
0,0040
|
782,8930
|
0,0068
|
0,0060
|
0,4301
|
|
|
|
C6H14 и выше
|
0,0002
|
273,4560
|
0,0024
|
0,0010
|
0,0917
|
|
|
|
|
|
Итого:
|
1,0000
|
53,2384
|
|
|
Таблица 7
|
Компонент
|
x'iw
|
Рн
|
Ki
|
YW
|
Y*M
|
|
|
|
|
|
|
|
|
|
tH
|
97,3888
|
|
C2H6
|
0,0000
|
89323,15346
|
0,77452
|
3,472E-08
|
1,04149E-06
|
πH
|
115327,1257
|
|
C3H8
|
0,0000
|
29851,11181
|
0,258839
|
2,255E-04
|
0,009922757
|
|
|
|
и-С4H10
|
0,0018
|
13906,80335
|
0,120586
|
9,520E-03
|
0,552167027
|
|
|
|
C4H10
|
0,0082
|
10777,10569
|
0,093448
|
0,0345883
|
2,006121953
|
|
|
|
и-C5H12
|
0,1346
|
5049,728433
|
0,043786
|
0,2651373
|
19,08988302
|
|
|
|
C5H12
|
0,1399
|
3842,75057
|
0,03332
|
0,2097148
|
15,09946513
|
|
|
|
C6H14 и выше
|
0,7156
|
1724,627634
|
0,014954
|
0,4815374
|
44,78298033
|
|
|
|
|
|
Итого:
|
1,00072
|
81,54054126
|
|
|
Молекулярная масса: дистиллята MD = 53,2,
остатка MW = 81,5.
4.3 Расчет флегмового и парового чисел
Таблица 8
|
Компонент
|
αi
|
y'iD
|
θ
|
Rmin
|
|
C2H6
|
8,6839
|
0,0349
|
4,8196
|
-0,9216
|
|
C3H8
|
4,6412
|
0,4305
|
3,0885
|
0,2869
|
|
и-С4H10
|
2,9751
|
0,2098
|
2,7815
|
2,2235
|
|
C4H10
|
2,6929
|
0,3048
|
1,7817
|
-0,0992
|
|
и-C5H12
|
1,6496
|
0,0157
|
1,5271
|
-0,7883
|
|
C5H12
|
1,4647
|
0,0040
|
1,2073
|
-0,9770
|
|
C6H14 и выше
|
1,0000
|
0,0002
|
|
-0,9998
|
Оптимальное мольное флегмовое число определяется по уравнению:
(18)
Расчет Rmin приведен в таблице 8.опт = 3,3517.
Таблица 9
|
Компонент
|
αi
|
θ
|
x'iw
|
Sмин
|
|
C2H6
|
8,6839
|
4,8196
|
0,0000
|
0,0000
|
|
C3H8
|
4,6412
|
3,0885
|
0,0000
|
0,0001
|
|
и-С4H10
|
2,9751
|
2,7815
|
0,0018
|
0,0270
|
|
C4H10
|
2,6929
|
1,7817
|
0,0082
|
0,0243
|
|
и-C5H12
|
1,6496
|
1,5271
|
0,1346
|
1,8118
|
|
C5H12
|
1,4647
|
1,2073
|
0,1399
|
0,7959
|
|
C6H14 и выше
|
1,0000
|
|
0,7156
|
0,7156
|
Минимальное мольное паровое число в отгонной секции колонны определяется
по уравнению Андервуда (расчет приведен в таблице 9):

= -
; (19)

; (20)

.
4.4 Материальный и тепловой балансы колонны стабилизации
Таблица 10
|
Потоки
|
Обозн.
|
расход кг/ч
|
температура ˚С
|
Молекулярная масса
|
Плостность
|
Энтальпия
|
Кол-во тепла
|
Обозн.
|
|
|
|
|
|
|
п
|
ж
|
|
|
|
Приход
|
|
Сырье:
|
|
61274,5000
|
|
74,2565
|
0,6452
|
|
|
|
|
|
паровая фаза
|
GF
|
23431,3688
|
51,0000
|
60,6246
|
0,5952
|
117,2890
|
|
1649084,0362
|
QF
|
|
жидкая фаза
|
gF
|
37843,1312
|
51,0000
|
74,0538
|
0,6445
|
|
26,9131
|
|
|
|
Пары из кип
|
GW
|
90709,9291
|
97,3888
|
0,6675
|
133,2948
|
52,7416
|
7306974,8947
|
QB
|
|
Расход:
|
|
Дистиллят
|
D
|
15010,1719
|
39,4403
|
51,2808
|
0,5527
|
114,8267
|
|
1723568,1197
|
QD
|
|
Остаток
|
W
|
46264,3281
|
97,3888
|
86,8866
|
0,6822
|
|
52,1674
|
2413488,4967
|
QW
|
|
Горячее орошение
|
gгор
|
52230,0047
|
39,4403
|
53,2384
|
0,5623
|
114,3024
|
22,0374
|
4819002,3146
|
Qd1
|
|
Холодное орошение
|
gхол
|
46319,6249
|
20,0000
|
18,0000
|
1,0000
|
|
10,2644
|
|
Qd2
|
|
Пары под верх тарелкой конц.секции
|
GN-1
|
67240,1765
|
|
|
|
|
|
|
|
|
жидкость стек. С ниж тар отг сек
|
g1'
|
136974,2572
|
|
|
|
|
|
|
|
.5 Определение основных размеров колонны
4.5.1 Диаметр колонны
Наиболее нагруженным по пару сечением колонны будет сечение под ее нижней
отгонной тарелкой, оно принимается за расчетное.
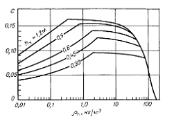
Секундный объем паров в расчетном сечении при температуре tR=97,3888 ⁰C и давлении рR=15,375
Допустимую скорость газа в расчетном сечении находят по формуле:

(23)
Коэффициент С’ определяется по уравнению:

(24)
Где


а С=0,12
определяется по графику, изображенному на рисунке 1 при расстоянии между
тарелками 
Тогда
диаметр колонны равен:
D =
2,7 м.
Рисунок
1 - График С=f(pn), используемый при определении допустимой скорости
пара в колонне с клапанными тарелками
Для сравнения определяем диаметр колонны по ее сечению над верхней
укрепляющей тарелкой.
Расчет ведется аналогично уже изложенному определению диаметра колонны в
наиболее нагруженном поперечном сечении колонны:
Допустимая
скорость паров: 
Диаметр
колонны в ее верхнем поперечном сечении: D = 2,01 м.
По
ГОСТ 9617-76 установлен ряд внутренних диаметров для сосудов и аппаратов.
Диаметр колонны окончательно принимается по нижнему сечению аппарата - он равен
Dк = 2800 мм.
.5.2 Высота колонны
На основе практических данных расстояние между верхним днищем колонны и
ее верхней укрепляющей тарелкой принимается следующее: h1=1,2 м; высота секции питания h3=1,3 м; расстояние между нижним днищем и нижней отгонной
тарелкой h5=3 м (для обеспечения
трех-четырехминутного запаса флегмы внизу колонны). Высота колонны равна:
Для отгонной части:

(30)
Полная высота колонны:

(31)
4.5.3 Диаметры штуцеров
Таблица 11
|
Потоки
|
Ri, кг/ч
|
wi, м/с
|
pi, кг/м3
|
di, м
|
Dy, мм
|
|
Ввод сырья
|
61275
|
0,5
|
645
|
0,259
|
250
|
|
Вывод паров ректификата
|
15010,2
|
2,0
|
37,356
|
0,265
|
300
|
|
Вывод жидкости в кипятильник
|
136974
|
1
|
682,23
|
0,267
|
300
|
|
Ввод паров из кипятильника
|
90709,9
|
2,0
|
251,97
|
0,251
|
300
|
|
Ввод холодного орошения
|
46319,6
|
1
|
1000,0
|
0,128
|
125
|
Список использованных источников
1. Кузнецов А.А., Судаков Е.Н., «Расчеты основных процессов
и аппаратов углеводородных газов», М., Химия, 1983;
2. Прокофьева Т.В., «Технологический расчет колонны дл
разделения сжиженных газов», М., 2006;
. Лапидус А.Л., Голубева И.А., Жагфаров Ф.Г.
«Газохимия. Часть 1. Первичная переработка углеводородных газов», М., 2004;
. Осинина О.Г. «Определение физико-технических и
тепловых характеристик нефтепродуктов, углеводородов и некоторых газов», М.,
РГУ нефти и газа, 1986.