Химия серебра и его соединений с основами биогеохимии

  • Вид работы:
    Курсовая работа (т)
  • Предмет:
    Химия
  • Язык:
    Русский
    ,
    Формат файла:
    MS Word
    1,82 Мб
  • Опубликовано:
    2014-03-20
Вы можете узнать стоимость помощи в написании студенческой работы.
Помощь в написании работы, которую точно примут!

Химия серебра и его соединений с основами биогеохимии















Курсовая работа

Химия серебра и его соединений с основами биогеохимии


1. Исторические сведения о серебре и его соединениях

.1 Сведения о серебре

Аргентум (Ag) как металл привлек внимание человека уже в древние времена. Argentum относится к благородным металлам и не менее популярен, чем ещё один благородный металл Аурум (Aurum), который гораздо дороже первого, но 2500 лет назад до нашей эры в Древнем Египте носили украшения и чеканили монеты из благородного металла Argentum и даже считали его дороже золота.

В десятом веке нашей эры был сделан вывод, что между металлами Аргентум (серебро) и Купрум (медь) существует аналогия, и медь рассматривалась как серебро, окрашенное в красный цвет. В 1250 году Винсент Бове предполагал, что Аргентум образуется из ртути при действии серы.

Свое название, Аргентум, этот металл получил от слова "Argenta", что имеет значение "светлый". Латинское слово "Argentum" также произошло от санскритского названия "Argenta" (Аргента). Название "Argentum" на латинском схоже с древнегреческим "Argitos" (Аргитос) и по своему значению, "белый", совпадает с шумерским "Ку-баббар" и древнеегипетским "Хад". Последние также имеют значение "Белое".

Блеск светлого серебра напоминает свет Луны и Аргентум в алхимический период развития химии не редко связывали с Луной и часто обозначали символами Луны.

Русское "Серебро", а на немецком "Зильбер", на английском "Silver" - все эти слова похожи на древнеиндийское слово "Sarpa". Словом "Сарпа" обозначали Луну и Серп (из-за схожести серпа с серпом Луны), что являлось древнейшим орудием земледельца.

На Руси мерой стоимости разных предметов являлись бруски из серебра. Когда какой-нибудь предмет торговли стоил меньше всего серебряного бруска, от этого бруска отрубали некоторую часть, которую примерно считали соответствующей стоимости данного предмета. Поэтому такие отрубленные части называли "рублями". От этих отрубленных частей и пошло название принятой на нашей земле денежной единицы - РУБЛЬ.

Кроме рубля ещё много некоторых названий произошло от слова Аргентум или Серебро. От Argentum произошло название одной известной страны Южной Америки - Argentina (Аргентина). На счёт этого названия есть легенда, согласно которой исторические факты переплетаются с вымыслом поэтическим. Эта легенда рассказывает о том, как в 1515 году испанский лоцман De Solis открыл в Южной Америке устье большой реки, названной после его именем - Solis. А в 1527 году Себастьян Кабот поднимался вверх по течению реки Де Солис и был поражен количеством серебра, которое награбили его матросы у местного населения. Всё это дало Каботу повод для названия реки Де Солис рекой Ла Платой (на испанском "Plata" - серебро, "De Plata" - серебряный), от этого слова и произошло впоследствии название страны, но после освобождения её от испанских войск в 1811-1826 годах, дабы не вспоминать испанцев, название страны латинизировали. Вот так название страны Аргентина и сохранилось до наших дней, так как серебро на латинском - Аргентум.

В середине двадцатого века Аргентум (серебро) перестал быть металлом, который предназначался для чеканки монет. Возникли и развились такие отрасли промышленности, как электротехника, фотография, радиоэлектроника и это привело к резкому увеличению спроса на серебро, а также к изъятию его из денежного оборота.

.2 Открытие и добыча серебра

Про первые места добычи металла Argentum можно упомянуть следующее. Финикияне открыли месторождения металла Аргентум (серебряных руд) на Кипре, в Испании, Сардинии и Армении.

Аргентум из серебряных руд был в соединении с мышьяком, хлором, серой, а также Аргентум встречался и в виде самородного серебра.

Самородный металл Ag был известен раньше, чем его научились извлекать из соединений. Самородный Аg порой встречался в виде очень больших масс. А самым крупным самородком Аргентума считается самородок, который весил тринадцать с половиной тонны.

Аргентум встречается в метеоритах и в морской воде. В виде самородков Аргентум встречается всё-таки редко. Всё это, а также не заметный цвет самородков Аргентума (самородки серебра часто покрыты чёрным налетом сульфида) послужило позднему открытию самородного серебра человеком.

Эти факты объясняют редкость и большую ценность металла Аргентум в самом начале. Потом же произошло второе открытие металла Argentum.

.3 Второе открытие серебра

Очищая Аурум (золото) расплавленным свинцом, иногда вместо более яркого, чем природное золото, получался металл более тусклый, но его было больше, чем исходного металла, который подвергался очистке. Этот бледный металл вошёл в обиход с третьего тысячелетия до нашей эры. В Греции такой металл называли Электроном, а римляне - Электрумом, в Египте - Асем. В настоящее время можно применить термин "электрум" для обозначения сплава металлов Аурум и Аргентум. Сплавы золота и серебра долгое время считали особым металлом.

В Европу металл Ag попал позже: приблизительно за 1000 лет до нашей эры и применялся для чеканки монет, а также изготовления ювелирных изделий. Одно время в древности считали, что Аргентум представляет собой продукт превращения металлов на пути их «трансмутации» в Аурум (золото)

Вывод: В этой главе были рассмотрены исторические сведения о серебре и его соединениях. А именно то, что серебро было известно человеку ещё с древних времён. Оно пользовалось высокой ценностью и популярностью в сфере купли - продажи. Серебро в переводе с иностранного означает «белый», «светлый».

2. Методы получения серебра и его соединений

серебро химический соединение

2.1 Лабораторные методы получения серебра и его соединений

Электролиз

Выделение серебра электролизом можно проводить из растворов, содержащих разнообразные электролиты. При определённых условиях электролиза плотный осадок металлического серебра получается в азотнокислых растворах, в аммиачных растворах содержащих хлорид аммония, однако лучше всего вести электролиз из цианидных растворов.

Отделение серебра от меди можно осуществить, проводя электролиз из холодных растворов, содержащих 1% серной кислоты и 2-3% персульфата калия. Около 20 мг серебра отделяется от большого количества меди за 15 - 20 мин. при напряжении 2-2,5В. Во время электролиза в растворе должен сохраниться избыток персульфата калия.

Другой вариант отделения серебра от меди - электролиз из кипящего уксуснокислого раствора.

Разработаны методики отделения серебра от меди с использованием различных комплексантов. В растворе, содержащем 0,005г - ион ЭДТА (этилендиаминтетрауксусная кислота) при pH 2,15 - 2,60, серебро осаждается при умеренном перемешивании за 25 мин. В присутствии этилендиамина отделение можно провести при рН 4,0 - 7,0 за 40 - 46 мин.

Серебро отделяют от платины, осаждая его электролитически из раствора, содержащего в 125г приблизительно по 0,2г каждого металла и 1,25г цианида калия, при 70, силе тока 0,04А и напряжении 2,5В электролиз заканчивается приблизительно через 3 часа.

Серебро легко отделить от селена и цинка электролизом из цианидных растворов при 60 - 70 и напряжении 2,25 - 3,0В.

Отделение серебра от сурьмы можно провести в азотнокислотном растворе, содержащем винную кислоту.

Серебро легко отделить от висмута и от алюминия, проводя электролиз из азотнокислотного раствора при тех же условиях, которые применяются для выделения серебра в присутствии меди. Из азотнокислотных растворов, содержащих фтористоводородную кислоту, серебро можно отделить электролизом (совместно с ртутью, медью и свинцом) от олова, сурьмы, молибдена, и вольфрама, если эти элементы находятся в виде соединений высшей валентности.

.2 Промышленные методы получения серебра и его соединений

Примерно 80% от общего мирового количества добываемого серебра получается как побочный продукт переработки комплексных сульфидов тяжелых цветных металлов, содержащих сульфид серебра (аргенит) . При пирометаллургической переработке полиметаллических сульфидов свинца, меди, цинка, серебра последнее извлекается вместе с основным металлом в виде серебросодержащих свинца, меди или цинка.

Для обогащения серебросодержащего свинца серебром применяют процесс Паркеса или Паттисона.

Способ Паттисона. Серебро хорошо растворимо в свинце как представляющий кривую плавкости системы содержащей серебро. Пользуясь тем, что эвтектика этой системы лежит при 2,6% серебра, = 303 , (а свинец плавится при 326 ), Патиссон в 1833 году предложил охлаждать расплавленный свинец, содержащий серебро (технический «вершок» первым кристаллизуется чистый свинец), который и удаляют, - остается жидкая эвтектика. Ее расплавленной подвергают окислению в струе воздуха, свинец окисляется в окиси PbO, которая удаляется расплавленной, - остается серебро, - подвергаемое потом очищению (2.1.).

Pb + O2 = 2PbO (2.1.)

То есть по процессу Паттисона расплавленный серебросодержащий свинец медленно охлаждается. Свинец, который кристаллизуется первым, отделяется до тех пор, пока расплав не достигнет состава эвтектики с содержанием 2,6% серебра. Эвтектика затвердевает и служит затем для получения серебра методом купелирования.

Метод Купелирования. Метод использовался древними греками и римлянами для извлечения серебра и до сегодняшнего дня остается одним из методов, используемых в добывающей промышленности, из которой перешел так же в пробивные лаборатории. До сегодняшнего дня метод используется, как и сто лет назад.

Метод основан на свойстве расплавленного свинца окисляться в присутствии воздуха. Свинцовый глет плавится при температуре 888°C, растворяет окислы других металлов и впитывается пористой массой пробирного тигля, освобождая серебро. Часть свинца испаряется вместе с небольшим количеством серебра, которое больше, чем выше температура печи и чем больше количество используемого свинца. Одна из особенностей серебра - большая летучесть при температуре, превышающей температуру плавления. Небольшое количество поглощается пробирным тиглем. Это количество повышается с увеличением количества свинца. В серебре, находящемся в тигле, остается немного свинца. Это количество достаточно, чтобы утверждать, что купелирование не может дать точного результата.

Процесс Паркеса. По процессу Паркеса серебросодержащий свинец плавиться вместе с металлическим цинком. При охлаждении тройного сплава свинец - серебро - цинк ниже 400 отделяется нижний слой, состоящий из жидкого свинца, который содержит небольшое количество цинка и серебра, и верхний твердый слой, состоящий из смешанных кристаллов цинк - серебро с небольшим количеством свинца. Образование смешанных кристаллов цинк - серебро основано на более высокой растворимости серебра в цинке, чем в свинце, и на разделении при охлаждении серебросодержащего цинка и свинца на 2 слоя. При отгонке цинка (точка кипения которого 907 ) из сплава свинец - цинк - серебро остается свинец, который содержит 8 -12% серебра и служит для получения сырого серебра путем купелирования. Из тройного сплава свинец - цинк - серебро цинк может быть удален в виде с плавлением с .

Отделение серебра от серебросодержащего свинца возможно также электролитическим путем, применяя аноды из серебросодержащего свинца, а в качестве электролита - гексафтокремниевую кислоту SiF6 с гексафторосиликатом свинца PbSiF6.

При электролизе свинец осаждается на катоде, а серебро вместе с золотом, платиной и платиновыми металлами переходят в анодный шлам. Аналогично при электролитическом рафинировании серебросодержащей меди, которую используют в качестве анодов (применяя при этом разбавленную серную кислоту как электролит), на катоде электролитически осаждают медь, а серебро, золото и платиновые металлы также переводят в анодный шлам.

Извлечение серебра, золота и платиновых металлов из анодного шлама легко осуществляется химическим путем. В отличие от золота и платиновых металлов серебро легко растворяется в азотной кислоте.

Из нитрата серебра AgN металлическое серебро можно осадить сульфатом железа (II), металлическим цинком, формальдегидом в аммиачной среде или нитратом марганца (II) в щелочной среде:

3AgNO+ 3FeSO= 3Ag + Fe (N) +  ()3 (2.2.)

2AgN + Zn = 2Ag + Zn (N)2 (2.3.)

2Ag (NH3)2OH + HCHO = 2Ag + 3N+ HCOON+ O (2.4.)

2AgN+ Mn (N+) + NaOH = 2Ag + Mn + 4NaN + 2O (2.5.)

Примерно 20% мирового серебра получают переработкой собственно серебряных руд и рекупеляцией серебра из монет, изделий или серебряного лома. Измельченную, размолотую и обогащенную (в случае низкого содержания серебра) серебряную руду перерабатывают методами цианирования, амальгамирования, хлорирования и др.

В случае переработки методом цианирования тонко измельченную руду (природное серебро, аргенит или кераргирит), смешивают с 0,4%-ным раствором NaCN и перемешивают струей воздуха. В водном растворе цианида натрия в присутствии кислорода воздуха серебро и аргенит растворяются медленнее, чем кераргирит:

2Ag + 4 NaCN + O + = 2NaAg (CN)2 + 2NaOH (2.6.)

S + 5 NaCN = O +  = 2NaAg (CN) 2 + 2NaOH +NaSCN (2.7.)

AgCl + 2 NaCN = NaAg (CN)2 + NaCl (2.8.)

Также сульфид серебра Ag2S растворяется в тетрацианоцинкате (II) натрия по реакции(2.9.):

 S + Zn (CN)4 = 2 NaAg (CN)2 + ZnS (2.9.)

Количество взятого для переработки серебряных руд цианида натрия больше теоретически необходимого, поскольку серебряные руды часто содержат соединения меди, железа, цинка, которые также реагируют с цианидом натрия.

Цианирование осуществляется в деревянных чанах диаметром 10-12 м.

Из растворов комплексных цианидов серебра серебро может быть осаждено в виде металла тонко измельченным металлическим цинком или алюминием. Осаждение металлического серебра из растворов комплексных цианидов серебра металлическим цинком или алюминием осуществляется по уравнениям:

 

2 NaAg (CN)2 + Zn = 2Ag + + Zn (CN)4 (2.10.)

3NaAg (CN)2 + Al + 4NaOH + 2 O = 3Ag + NaAl (ON)4 (H2O)2 + 6NaCN (2.11.)

Сырое серебро плавиться, отливается в виде брусков и затем рафинируется электрохимическим или химическим методом.

Можно также извлечь комплексный анион Ag (CN)2  с помощью анионообменных смол. Применяют анионообменные сульфированные смолы  (предварительно обработанные 5% водным раствором серной кислоты). Реакцию ионного обмена в процессе извлечения анионов Ag (CN)2  с помощью ионообменных смол (предпочтительно в виде пористых анионитов) можно представить следующим образом:

+ 2 Ag (CN)2  = 2R Ag (CN)2 +  (2.12.)

Чтобы реакция обмена протекала с большей скоростью, создают кислую среду (рН = 3,5).

Комплексные цианиды вымывают из анионообменной смолы селективным элюентом, например 2H раствором цианида калия или натрия.

Процесс амальгамирования применяют к рудам, содержащим самородное серебро, аргенит или кераргит, он основывается на образовании амальгамы серебра.

Для амальгамирования, тонко измельченные серебряные руды обрабатывают небольшим количеством воды и ртутью (1 вес/ч. ртути на 6 вес/ ч. серебра).

Сульфид серебра S под действием хлорида меди (I) (которое образуется при восстановление хлорида меди(II) ртутью) превращается в хлорид серебра:


2CuCl2 + 2Hg = 2CuCl + Hg2Cl2 (2.13.)

Ag2S + 2CuCl = 2AgCl + Cu2S (2.14.)

Хлорид серебра под действием ртути и хлорида меди (I) восстанавливается до металлического серебра, которое образует амальгаму с ртутью:

2AgCl + 2Hg = 2Ag +  (2.15.)

AgCl + CuCl = Ag + Cu  (2.16.)

Амальгаму серебра фильтруют под давлением. При отгонке ртути остается сырое серебро, которое очищают химическим или электрохимическим способом.

При прокаливании смеси сульфида серебра и хлорида натрия (500 -600С) в окисленной атмосфере образуется хлорид серебра:

S + 2NaCl + 2 = 2AgCl +  (2.17.)

Для извлечения серебра из AgCl или из NaAgCl2 применяют амальгамирование, осаждение металлического серебра медью и осаждение сульфида серебра из соединения Ag2(S2O3)2:

AgCl + NaCl = NaAgCl2 (2.18.)

NaAgCl2 + Cu = Ag + NaCuCl2 (2.19.)

2AgCl + 2 = Ag2 (S2O3)2 + 2NaCl (2.20.)

 Ag2 (S2O3)2 + S = S + 2 (2.21.)

Сульфид серебраS затем обрабатывают с целью получения элементарного серебра.

Существует еще метод выделения серебра из дельного серебра. Так как изделия содержат сплав серебра с медью, то дело сводится к разделению этих двух металлов. Для этого дельное серебро растворяют в азотной кислоте, получается азотно-серебряная AgN и азотномедная соли Cu()2. Такой раствор выпаривают до удаления избытка азотной кислоты, разбавляют и осаждают раствором хлористого натрия или соляной кислотой, хлористое серебро почти не растворимо в разведенной азотной кислоте:.

 

AgNO3 + HCl = AgCl + HNO3 (2.22.)

Вывод: В этой главе были рассмотрены методы получения серебра и его соединений. А именно: лабораторные и промышленные методы. К лабораторным методам получения серебра мы относим метод электролиза. К промышленным: метод Цианирования и Купелирования (сейчас этот метод используется как в промышленных, так и в лабораторных условиях). Так же используется процесс Паркеса, процесс амальгамирования и способ Паттисона.

3. Свойства серебра и его соединений

.1 Физические свойства серебра и его соединений

Серебро располагается в подгруппе I Периодической системы элементов Д.И. Менделеева и имеет г.ц.к. решётку с параметром 0,407724 нм, рис. 3.1.

Гранецентрированная кубическая решетка серебра

Удельная теплоёмкость с серебра в зависимости от температуры имеет следующие значения:

Характеристическая температура составляет - 63, а вычисленная по измерениям теплоёмкость - 58. Теплота плавления и энтропия плавления составляют соответственно 98,7 Дж/К и 8,82 Дж/(кг*К). Точка серебра плавления зависит от состава и давления кислорода, с увеличением которого она значительно понижается:

При обычных условиях температура плавления серебра составляет 960,8. Некоторые различия в температуре плавления серебра объясняются высокой растворимостью в нём кислорода, оказывающей наиболее влияние на экспериментальные данные.

Поверхностное натяжение расплава при температуре плавления серебра составляет 903 МН/м, а его температурный коэффициент 0,16 МН/(м*К). Вязкость расплава уменьшается с ростом температуры и составляет при 1000, 1043 и 1100  соответственно 0,389; 0,3697; 0,339 Па*с. Точка кипения серебра 2161 Критическая температура серебра 43,94, критическое давление 33,6 МПа, критический объём 339* /моль. Теплота сублимации серебра при 25 составляет 284,65 кДж/моль. Летучесть серебра выше температуры плавления довольно значительна, особенно в окислительной атмосфере. При плавке без вакуума теряется до 0,01 - 0,02% Ag. В атмосфере инертных газов скорость испарения серебра меньше и в зависимости от давления инертного газа p (Па) оно описывается формулой:

= , где

 - скорость испарения в вакууме;

 - скорость испарения в инертной атмосфере.

По данным давления пара серебра в зависимости от температуры следующие:

Плотность серебра зависит от предшествующей обработки. У проволки в холоднотянутом состоянии она составляет 10,434 , а после полного отжига возрастает до 10,49 . При температуре плавления плотность серебра составляет 9,346 , а плотность его расплава следующая:

Атомный оббьем серебра при 20 составляет  /моль, при плавлении он увеличивается на 5%, а при затвердении уменьшается на 3,8%.

В интервале 0 - 100 средний температурный коэффициент линейного расширения серебра  колеблется от  до  . При низких температурах он составляет  

При повышенных температурах коэффициент  равен:

Коэффициент сжимаемости холоднодеформированного серебра составляет  м/кг.

Серебро - наиболее электропроводный и теплопроводный металл. При 20 его электропроводность на 8%, а теплопроводность на 6% выше, чем у меди. Электропроводность серебра зависит от чистоты металла и технологии его изготовления.

Удельное электросопротивление серебра, вакуумной плавки, отожженного при 400, составляет 1,59 мкОм*см, а технически чистого серебра после отжига в зависимости от содержания и природы примесей 1,62 - 1,63 мкОм*см. Теплопроводность и удельное электросопротивление серебра в твёрдой и жидкой фазе приведены в табл.

Удельное электросопротивление и теплопроводность серебра при различных температурах .

t

*10-6 Ом*м

λ, Вт/(м*К)

t

*10-6 Ом*м

λ, Вт/(м*К)

20

1,63

419

960,5ж

17,25

174,8

100

2,1

419

1000

17,0

170,5

500

4,7

377

1200

19,35

185,1

900

7,6

1300

20,23

18,3

960,5тв.

8,4

1400

21,11

193,5



При переходе из твёрдого состояния в жидкое наблюдается резкий скачок электросопротивления, а теплопроводность в жидкой фазе возрастает.

Значительное увеличение теплопроводности наблюдается при низких температурах: при - 231 она составляет 1052, а при - 258 3330 Вт/(м*К). Теплопроводность и электропроводность зависят от величины гидростатического давления, при его возрастании теплопроводность снижается, а электропроводность увеличивается. При холодной обработке давлением электропроводность понижается. У серебра, деформированного на 90%, это снижение составляет  5%.

Примеси в серебре в большинстве способствуют резкому повышению его удельного электросопротивления. Особенно это относится к мышьяку, висмуту, свинцу, сурьме. В наименьшей степени повышают электросопротивление серебра добавки меди, кадмия и цинка, а также золота.

Зависимость удельного электросопротивления серебра от степени легирования .

Температурный коэффициент удельного электросопротивления при

- 100 составляет .

Абсолютная термоэлектродвижущая сила серебра - положительная и также зависит от его чистоты. При 0 - 900 она составляет:

В паре с платиной термоэлектродвижущая сила серебра при (-200)  (800) имеет следующие значения:

Коэффициент Холла серебра отрицателен и при 20 составляет - , при 800 -  /Кл.

Серебро - типичный диамагнетик, его магнитная восприимчивость при 20 составляет -  /Кл. Максимальная магнитная восприимчивость -  /Кл определена при 477 при повышении температуры она опять несколько понижается, а чуть ниже точка плавления падает почти вдвое. В жидком состоянии она очень мала. Повышение содержания ферромагнитных примесей, таких как железо, никель и кобальт, вызывает небольшую парамагнитную восприимчивость.

В интервале 500 -750 предэкспоненциальный множитель  в уравнении самодиффузии составляет для серебра 0,00895 /с, а энергия активации Q процесса самодиффузии 192,17 кДж/моль. Энергия активации диффузии примесей в серебре имеет тенденцию к понижению по мере увеличения атомного радиуса примеси. Параметры процесса диффузии различных элементов в серебре приведены в табл.

Зависимость энергии активации примесей в серебре от атомного радиуса

Зависимость коэффициента отражения серебра от длины волны.

Диффузия элементов в серебре

Диффундирующий элемент

Интервал температур,

D0, м/с

Q, кДж/моль

Метод определения

Водород

-

5,6*10-6

31,4

Химический

Кислород

412-862

2,72*10-6

46,0

Металлографический

Аргон

-

0,12*10-2

16,9

Металлографический

Железо

747-950

0,52-0,26

315,2

Радиоактивный

Кобальт

747-1043

1,04±0,76

250,0

Никель

747-950

0,20±0,12

230,0

Медь

760-895

5,94*103

103,83

Спектральный

Рутений

793-945

1,8±0,7

275,5

Химический

Палладий

815-1039

0,57*10-1

238,8

Кадмий

-

0,454*10-2

174,5

Индий

-

0,416*10-2

40,63

Олово

-

0,255*10-2

39,3

Сурьма

439-942

0,16*10-2

160,4

Теллур

750-950

0,47*10-2

162,8

Ксенон

500-750

3,6*10-1

157,0

Испарение в вакууме

Золото

 217-391

5,3*10-3

 29,8

Металлографический


Оптические свойства серебра имеют большое значение, поскольку оно обладает очень высокой отражательной способностью и незначительной - к лучепоглащению. Отражательная способность зависит главным образом от длины волны. В области видимых длин волн отражательная способность достигает примерно 95% в области инфракрасных волн приблизительно 98%, но с уменьшением длины волны она резко падает и становится меньше 10% при длине волны 320 нм. Приведенные значения относятся к серебру с полированной поверхностью. Минимум смещается в инфракрасную часть спектра примерно на 0,05 нм при повышении температуры на 1 Одновременно уменьшается глубина минимума. При увеличении содержания примесей минимум отражения смещается в сторону коротких волн при одновременном сглаживании формы и глубины минимума.

После отжига отражательная способность серебра несколько меньше. Существенно снижается отражательная способность серебра после травления. Установлено, что легирование заметно снижает отражательную способность серебра в видимой области спектра.

1

Ag

 

2

Ag + 0,2% Be

5

Ag + 5% Mg

3

Ag + 0,3% Be

6

Ag + 1% Pd

4

Ag + 1% Mg

7

Ag + 2% Pd

Зависимость коэффициента отражения легированного серебра от длины волны

С ростом концентрации легирующих добавок также снижается коэффициент отражения. В характерных точках спектра (500 нм - видимая область) отражательная способность серебра, содержащего 0,3% Be, составляет 68%, сплавов с 1% Mg и 1% Pd, соответственно, 82 и 83%. На границе видимой и инфракрасной областей (800 нм) отражательная способность соответственно равна 86, 97 и 96%, в инфракрасной области (1100 нм) 81, 87 и 86%. Следует отметить, что в ближней инфракрасной области легирование палладием и магнием практически не влияет на отражательную способность серебра.

Способность к лечепоглащению серебра очень низка и незначительно возрастает с повышением температуры. В табл. приведены результаты измерений коэффициента поглащения серебра в зависимости от длины волны .

Коэффициенты поглащения А и отражения В серебра

.2 Химические свойства серебра и его соединений

Некоторые характеристики серебра




Серебро проявляет химические свойства, характерные для элементов IБ подгруппы периодической системы Менделеева. В соединениях обычно одновалентно.

Серебро находится в конце электрохимического ряда напряжений, его нормальный электродный потенциал  = равен 0,7978 в.

При обычной температуре Ag не взаимодействует с . При действии свободных галогенов и серы на поверхности Серебра образуется защитная пленка малорастворимых галогенидов и сульфида  (кристаллы серо-черного цвета). Под влиянием сероводорода , находящегося в атмосфере, на поверхности серебряных изделий образуется  в виде тонкой пленки, чем объясняется потемнение этих изделий. Сульфид можно получить действием сероводорода на растворимые соли Серебра или на водные суспензии его солей. Растворимость  в воде 2,48·10-3 моль/л (25°С). Известны аналогичные соединения - селенид  и теллурид .

Из оксидов Серебра устойчивыми являются оксид (I)  и оксид (II) AgO. Оксид (I) образуется на поверхности Серебра в виде тонкой пленки в результате адсорбции кислорода, которая увеличивается с повышением температуры и давления.

 получают действием КОН на раствор . Растворимость  в воде - 0,0174 г./л. Суспензия  обладает антисептическими свойствами. При 200°С оксид Серебра (I) разлагается. Водород, оксид углерода (II), многие металлы восстанавливают  до металлического Ag. Озон окисляет  с образованием AgO. При 100°С AgO разлагается на элементы со взрывом. Серебро растворяется в азотной кислоте при комнатной температуре с образованием . Горячая концентрированная серная кислота растворяет Серебро с образованием сульфата Ag2SO4 (растворимость сульфата в воде 0,79% по массе при 20°С). В царской водке Серебро не растворяется из-за образования защитной пленки AgCl. В отсутствие окислителей при обычной температуре НCl, HBr, HI не взаимодействуют с Серебром благодаря образованию на поверхности металла защитной пленки малорастворимых галогенидов. Большинство солей Серебра, кроме, AgF, , обладают малой растворимостью. Серебро образует комплексные соединения, большей частью растворимые в воде. Многие из них имеют практическое значение в химические технологии и аналитической химии, например комплексные ионы , , .

.3Физико-химические свойства серебра и его соединений

Серебро проявляет большее сходство с палладием (за которым он следует в периодической системе), чем с рубидием (с которым он находится рядом в I группе периодической системы и в том же пятом периоде).

Расположение серебра в побочной подгруппе I группы периодической системы определяется электронной структурой атома которая аналогична электронной структуре атома рубидия. Большое различие в химических свойствах серебра и рубидия определяется разной степенью заполненности электронами 4й-орбитали. Атом серебра отличается от атома палладия наличием одного электрона на 5й-орбитали.

По большинству физических и химических свойств серебро приближается к меди и золоту. В подгруппе меди серебро (средний элемент) обладает наиболее низкими температурами плавления и кипения и максимальным значением коэффициента расширения, максимальной тепло- и электропроводностью.

Физико-химические свойства серебра в значительной степени зависят от его чистоты.

Металлическое серебро в компактном полированном виде (бруски, трубки, проволока, пластинки, листы) представляет собой белый блестящий металл, обладающий большой отражательной способностью по отношению к инфракрасным и видимым лучами и более слабой - к ультрафиолетовым лучам. Серебро в виде тонких листочков (они кажутся синими или фиолетовыми в проходящем свете) обладает электрическими и оптическими свойствами, отличными от свойств металлического серебра в слитках.

Коллоидные растворы серебра окрашены в розовый (до коричневого) цвет и могут быть получены восстановлением суспензий Ag2O водородом при +50°C (или другими восстановителями, например сахаром, окисью углерода, цитратом железа(II), цитратом аммония, хлоридом олова(II), пирогаллолом, фенолом, фосфором в эфире, фосфорноватистой кислотой, формальдегидом, гидразином, фенилгидразином и др.), а также путем создания электрической дуги в воде между двумя серебряными электродами. Для стабилизации коллоидных растворов серебра применяют белки, желатину, гуммиарабик, агар-агар и другие органические вещества, играющие роль защитных коллоидов.

Белковое коллоидное серебро (протаргол и колларгол) применяется как фармацевтический препарат.

В нейтральных или слабо щелочных растворах гидрозоль серебра ведет себя как отрицательный коллоид, а в слабо кислых растворах - как положительный.

Коллоидное серебро является энергичным восстановителем по отношению к Fe2Cl6, HgCl2, KMn04, разбавленной HN03, обладает хорошей адсорбционной способностью (по отношению к кислороду, водороду, метану, этану и др.), является катализатором и сильным бактерицидом (до появления антибиотиков применялся при обработке слизистых оболочек) и служит для лечения некоторых трудно излечиваемых кожных болезней. Вода, хранящаяся в серебряных сосудах, стерилизуется и не портится длительное время благодаря наличию иона Ag+, образующегося в результате контакта воды со стенками посуды.

Металлическое серебро является очень хорошим проводником тепла и электричества (удельное сопротивление при +20°C равно 1,59 мкОм/см) ,.

Каталитические свойства серебра и его соединений.

Пленка серебра каталитически активна при температурах выше 297 K. H2-D2 обмен протекает с энергией активации 15 кДж/моль.

Каталитические свойства НЧОМР и плёнки серебра. НЧОМР- наночастицыобратно мицеллярных растворов

Отсутствие каталитической активности в низкотемпературной области связывается с неспособностью пленки серебра хемосорбировать водород, из-за чего становится невозможным протекание модельных реакций. В отличие от пленок золота и меди адсорбция на пленке серебра предварительно атомизированного водорода (степень покрытия ~40%, атомизация на W проволоке, Т≈2000 К) не привела к возникновению активности в низкотемпературной области. По-видимому, атомарный водород прочно связан с поверхностью серебра и не участвует в обмене.

НЧОМР серебра в отличие от пленки каталитически активны вплоть до 77K, причем величины Kуд достаточно высоки: ~1014 молекул/см2с (77 К). В области высоких температур (выше 297 K) УКА НЧОМР Ag превышает активность пленки на несколько порядков (при 297 K от 103 до 104 раз). Полученные при сопоставлении свойств пленки и НЧОМР Ag результаты мотивировали дальнейшие исследования каталитических свойств НЧ Ag.

На первом этапе исследована зависимость УКА НЧОМР Ag от метода восстановления. Показано, что метод восстановления не влияет на свойства НЧОМР размером 0,7÷1,1 нм. Для НЧОМР большего размера 1,3÷1,7 нм наблюдается тенденция к возрастанию активности при переходе от радиационно-химического к химическому методу. Для дальнейших исследований каталитических свойств НЧОМР Ag выбрано химическое восстановление, не требующее γ-излучения и деаэрации.

Каталитические свойства НЧОМР серебра, полученных радиационно-химическим и химическим методами

На втором этапе исследована зависимость свойств НЧОМР Ag от природы носителя для частиц размерами 0,7÷1,1 нм и 1,3÷1,7 нм природа носителя не сказывается на свойствах НЧОМР размером 0,7÷1,1 нм, для НЧОМР размером 1,3÷1,7 нм активность возрастает в ряду «Сибунит - SiO2 - Al2O3». Отсутствие значимых различий свойств НЧОМР (0,7÷1,1 нм) в зависимости от природы носителя позволяет отнести полученные данные к свойствам НЧОМР Ag.

Каталитические свойства НЧОМР серебра, нанесённых на различные носители

 

На третьем этапе исследовалась зависимость свойств НЧОМР серебра от их размера. В интервале размеров от 0,7 до 27 нм активность НЧОМР Ag возрастает с уменьшением размера в ~10 раз.


Каталитические свойства НЧОМР серебра различных размеров

Адсорбционные свойства серебра и его соединений.

Анодное поведение серебра в щелочных растворах отличается большим разнообразием электродных процессов, (адсорбция компонентов раствора, оксидо - и солеобразование, пассивация, активация, выделение кислорода). Часто эти процессы взаимосвязаны, что проявляется через адсорбцию и десорбцию реагентов и продуктов реакций. Уже при -1,0В на серебре в щелочных растворах (рН 9-1З) наблюдается адсорбция гидроксид-ионов. С увеличением электродного потенциала серебра это взаимодействие возрастает, и на него накладываются адсорбционные связи других анионов.

Особое значение приобретает установление связи между пассивацией серебра и локальной активацией в присутствии анионов-активаторов, что важно для предсказания питтииговых разрушений электрода при анодной поляризации и коррозии металла.

Углеродные нанотрубки и нановолокна (УНТ, УНВ), содержащие в своем составе серебро могут широко использоваться практически в любой отрасли промышленности. Во-первых, ионы серебра обладают сильным бактерицидным действием - убивают болезнетворные бактерии и патогенные микроорганизмы. Во-вторых, серебро обладает достаточно высокой электропроводностью. В-третьих, наночастицы серебра не только становятся эффективными катализаторами химических реакций (ускоряют их протекание), но и повышают их селективность. Для модифицирования нановолокон использованы стабильные наноразмерные частицы серебра, синтезированные в обратномицеллярных растворах 0.15М АОТ/изооктан методом радиационно-химического восстановления ионов серебра.

Вывод: В этой главе описаны химические, физические и физико-химические свойства серебра и его соединений. Некоторые из них - это теплоёмкость, tпл., tкип., магнитная восприимчивость, диффузия, оптические свойства, отражательная способность, соединения серебра с другими химическими элементами, а также каталитические, адсорбционные свойства серебра и многое другое.

4. Аналитическая химия серебра и его соединений

.1 Качественные методы определения серебра и его соединений

Серебро может быть обнаружено качественно посредством неорганических или органических реагентов. Наибольшее значение имеют те реакции серебра с органическими реагентами, которые сопровождаются образованием окрашенных осадков или растворимых окрашенных комплексных соединений.

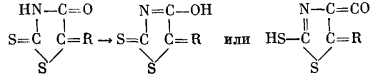
Среди органических реагентов самое важное значение имеют соединения, содержащие в своем составе азот и серу. Как правило, при взаимодействии таких реагентов с ионами серебра происходит замещение водорода иминной группы реагента серебром и одновременно связывание последнего координационной связью с атомом серы. К реактивам этого класса принадлежат, прежде всего, роданин и его многочисленные производные, из которых наилучшие результаты получены с n - диметиламинобензилиденроданином. На этом основании был сделан вывод о том, что функционально-аналитической группировкой на ионы серебра является следующее сочетание атомов:


Из других реактивов этого же класса могут быть названы дифенилтиокарбазон (дитизон), тиомочевина и её производные, производные дитиокарбаминовой кислоты, тиосемикарбазиды, аминобензтиазол и т.д.

Многие азотсодержащие органические соединения, не имеющих в своём составе атомов серы, также реагируют аналогичным образом. К их числу относятся, например, некоторые оксимы: изатин--оксим, производные пиразолона, бензимидазол, производные гуанидида и т.д.

Некоторые органические реагенты образуют с ионами серебра люминесцирующие комплексные соединения.

Ряд высокочувствительных реакций основан на каталитическом действии ионов серебра. Так, разложение K4 сильно ускоряется под влиянием ионов серебра. Серебро катализирует восстановление солей марганца(III) и церия(IV), что использовано для его качественного обнаружения.

Известно много микрокристаллоскопических реакций обнаружения серебра. Кристаллы характерной формы образуют, например, хлорид серебра, иодат серебра, комплекс азотнокислотного серебра с уротропином, некоторые соединения серебра с органическими реагентами.

Открытие умеренных количеств серебра можно осуществить путем получения окрашенных солей серебра с анионами неорганических кислот, для чего чаще всего используется образование хромата или бихромата серебра.

Органические реагенты

Реагенты, содержащие азот и серу

Роданин, n - диметиламинобензилиденроданин и другие производные роданина. Роданин реагирует с ионами серебра в кислом растворе с образованием желтоватого осадка роданата серебра. При этом происходит замещение ионами серебра водорода иминогруппы. Роданин может существовать в виде нескольких таутомерных форм:


Производные роданина, в которых атомы водорода при втором углеродном атоме или атоме серы в пятом положении замещены различными радикалами, также способны реагировать с солями серебра с аналогичным эффектом реакции. Отсюда был сделан вывод (Файгль), что роданин реагирует с серебром в таутомерной форме I .

Значительно лучшим реактивом на серебро является n - диметиламинобензилиденроданина растворяет эквимолекулярные количество роданина n -диметиламинобензальдегида в ледяной уксусной кислоте и нагревают 1 час с обратным холодильником.

Продукт конденсации кристаллизуют непосредственно, либо его осаждают водой или спиртом, после чего его можно перекристаллизовать из кипящего спирта.

Для обнаружения серебра применяют ацетоновый раствор реагента. Чувствительность реакции увеличивается, если проводить реакцию в среде диметилформамида. Интенсивность окраски увеличивается также при добавлении амилового спирта.

Реакция ионов серебра с n - диметиламинобензилиденроданином происходит в слабокислом растворе. В щелочной среде специфичность реакции значительно меньше, так как в этих условиях происходит таутомерная перегруппировка


с образованием ОН- или НS-групп, которые реагируют почти со всеми тяжелыми металлами с образованием осадков.

Комплекс серебра с реагентом, образующийся в кислой среде, окрашен в красно-фиолетовый цвет в отличие от самого реактива, окрашенного в желто-бурый цвет.

Серебро можно обнаружить n - диметиламинобензилиденроданином также в том случае, если оно находится в виде AgCl, AgSCN, AgBr или AgJ. Насыщенные растворы этих соединений образуют с реактивом через некоторое время мелкий красный кристаллический осадок. Серебро легко обнаруживается также в присутствии висмута.

Так, n - диметиламинобензилиден-2-тиогидантоин образует с ионами серебра в кислой среде красно-оранжевый осадок. n - Диметиламинобензилидентиобарбитуровая кислота и некоторые её производные, растворенные в ацетоне или уксусной кислоте, также являются чувствительными реагентами на серебро, образуя с ним соединения красно-фиолетового цвета. Открытие серебра проводится из слабокислого азотнокислого раствора, чувствительность реакции составляет при выполнении капельным методом 0,02 мкг, предельное разбавление - 5*106. Обнаружению серебра этой реакции мешают Hg, Pb, Au, Pd, Pt, Ru и Os. Влияние ртути можно устранить прибавлением цианида калия.

Дифенилтиокарбазон (дитизон): Применяют раствор реактива в четыреххлористом углероде. С ионами серебра дитизон образует в слабокислых или кислых растворах однозамещенную соль золотисто-желтого цвета, в щелочных растворах - двузамещенный дитизонат Ag2Dz фиолетово-красного цвета.

Дитизон легко окисляется, образуя дифенилтиокарбодиазон, который может присутствовать в неочищенном реактиве. Перед употреблением реактив необходимо очистить.

Реакцией с дитизоном можно обнаружить 0,1 мкг серебра. При проведении реакции в сильнокислых растворах мешают обнаружению серебра только большие количества меди, палладий, золото и ртуть. При рН 4 и в присутствии ионов CN- открытию серебра мешает только ртуть. Образование двузамещенного дитизоната фиолетового цвета возможно в щелочном растворе в присутствии солей цинка, свинца и сурьмы, если названные элементы замаскировать прибавлением сегнетовой соли. Этой реакцией можно открыть 0,5 мкг серебра в 0,05 мл в присутствии 4570-кратного количества свинца, 1000-кратного количества цинка и 900-кратного количества сурьмы.

Дифенилтиокарбазид также можно применить для открытия серебра. При добавлении нескольких капель 5%-ного спиртового раствора реагента к разбавленному нейтральному раствору соли серебра образуется красно-коричневый осадок, в слабощелочной среде - темно-синий, а в аммиачной среде - темно-красный осадок.

2-Тио-5-кето-4-карбэтокси-1,3-дигидропиримидин. Раствор реагента (0,03%-ный) в ацетоне дает с ионами серебра соединение пурпурного цвета.

В нейтральных растворах окрашенные соединения образуют также ионы кадмия, алюминия, меди, железа и свинца.

Гуанидилтиомочевина реагирует с серебром с образованием продукта реакции, окрашенного в желтый цвет. Состав этого соединения окончательно не установлен. Предполагается, что окрашенный продукт представляет смесь коллоидального серебра с суспензией соединения состава


Оптимальные условия проведения реакции - 0,1 N NaOH в присутствии 0,1 N NH3. Чувствительность реакции - 0,4 мкг. Открытию серебра этой реакции мешают Cu, Hg, Pb, Sd и Bi.

Некоторые другие реактивы на серебро, содержащие серу и азот, приведены в табл.


Качественное обнаружение серебра реактивами содержащими серу и азот


Реагенты, содержащие азот

Серебро образует со многими азотсодержащими органическими соединениями самого разнообразного строения окрашенные комплексные соединения или осадки. Чувствительность всех этих реакций невелика.

Специфичным реагентом для обнаружения серебра является формазилкарбоновая кислота, которая образует с ионами серебра в уксуснокислом растворе окрашенное в бордово-красный цвет соединение. Открытию серебра не мешают ионы следующих элементов: Ba, Ca, Mg, Be, Al, Fe, Mn, Ni, Co, Th, Tl, In, Zn, Cd, Pb, Hg, Cu, Bi, , Sn, Sb. о-Аминофенол дает с ионами серебра красновато-коричневое соединение; чувствительность реакции составляет 0,2 мкг серебра.

Перечень других азотсодержащих реагентов приведены в табл..

Обнаружение серебра с помощью соли пинацианола с  основано на разрушении этого комплексного соединения в результате связывания серебром иодид-ионов.

Азотсодержащие реагенты, образующие с серебром окрашенные соединения или осадки


Реагенты, содержащие фосфор, кислород или серу

Арилфосфинистые кислоты общей формулы, где R - фенил, нафтил, дифенил, дитолил, сульфофенил, карбоксифенил или нитрофенил, могут реагировать на серебро.



Наиболее характерным свойством этой кислоты является ярко выраженная способность к осаждению Ag+ и Hg+ в виде белых аморфных осадков.

Гидрохинон и пирогаллол образуют с ионами серебра окрашенные соединения или осадки. Голубое окрашивание йодкрахмального соединения исчезает при добавлении раствора, содержащего ионы серебра; чувствительность этой реакции составляет 0,05 мкг в 1 мл.

Катионы серебра с пирогаллолсульфонфталеином или его дибромпроизводным образуют соединения, окрашенные в золотисто-желтый цвет в отличие от многих других катионов, дающих соединения синего или красного цвета. Аналогичную реакцию дает только золото, но его можно отличить от серебра посредством гидросульфита натрия, который вызывает почернение пятен серебра. Многие катионы не мешают, они только несколько понижают чувствительность реакции.

2-Тиопирогаллол и 1-меркаптоантрахинон образуют с ионами серебра и с катионами других металлов окрашенные осадки; чувствительность реакций достаточно высока, и если отсутствуют мешающие элементы, эти реакции можно использовать для обнаружения серебра.

Хромотроповая кислота образует с ионами серебра белый осадок, быстро темнеющий при стоянии. При выполнении реакции капельным методом на фильтровальной бумаге чувствительность обнаружения составляет 0,2 мг серебра.

Микрокристаллоскопические реакции


Обнаружение серебра микрокристаллоскопическими реакциями


Многие неорганические и органические реагенты образуют с ионами серебра характерные кристаллические осадки, форма кристаллов которых позволяет при рассмотрении их под микроскопом идентифицировать серебро и обнаружить его в чрезвычайно малых концентрациях.

Обнаружение серебра в виде AgCl. В каплю используемого раствора, подкисленную HNO3, вводят каплю разбавленной соляной кислоты. В присутствии солей серебра выпадает белый аморфный осадок AgCl. К промытому осадку прибавляют каплю концентрированного раствора NH3, в котором AgCl растворяется. Через некоторое время после испарения растворителя образуется характерные кристаллы в виде мелких шестиугольников, четырехугольников, трехугольников и звездочек. Открываемый минимум равен 0,1 мкг Ag, предельное разбавление 1: 10000. Свинец и ртуть мешают определению.

Обнаружение серебра в виде AgNO3 * C6H12N4. В каплю испытуемого раствора вносят каплю раствора уротропина. Образуется белый кристаллический осадок. Под микроскопом видны характерные раздвоенные по концам палочки или пластинки, тонкие иглы и прямоугольники. Открываемый минимум равен 5 мкг Ag, предельная концентрация - 1: 250. Соли ртути и свинца мешают. Другой вариант этой реакции - выделение кристаллов при действии смеси уротропина и Na2S2O6, этой реакцией можно обнаружить 0,065 мкг серебра.

Обнаружение серебра метиламином. Каплю испытуемого раствора смешивают с каплей раствора CH3COOH, затем прибавляют каплю раствора метиламина. В месте соприкосновения капель появляется белый кристаллический осадок серебра и ацетат метиламина. Открываемый минимум - 0,01 мкг Ag.

Так же используют: обнаружения серебра в виде Ag2Cr2O7; обнаружения серебра в виде NH4; обнаружения серебра антраниловой кислотой.

Хроматографические методы

Нередко целесообразно обнаруживать серебро обычными цветными реакциями или какими - либо специфическими реагентами непосредственно на носителе - силикагеле, оксицеллюлозе, хроматографической бумаге и других сорбентах - после хроматографического отделения от других катионов.

Отделение серебра от многих других катионов можно привести на зернах силикагеля. После этого серебро обнаруживают непосредственно на носителе посредством обычных цветных реакций, наблюдается эффект реакции под микроскопом в проходящем или падающем свете. Такая техника работы позволяет обнаружить до 10-12г серебра.

Хроматографическим методом можно отделить серебро от ряда элементов и обнаружить его посредством (NH4)2S на фильтровальной хроматографической бумаге, пропитанной SrCrO4.

Каталитическое действие серебра

Серебро способно сильно ускорять многие медленно протекающие реакции. На этой основе разработан ряд методов его обнаружения.

Серебро ускоряет разложение K4. Серебро катализирует восстановление марганца (III) и (IV); реакция сопровождается изменение окраски от оранжево-желтого до бесцветной.

Хлорид серебра ускоряет реакцию восстановления церия ионами хлора: Ce(IV) + Cl- = Ce(III) + Cl0. При этом получается желтый раствор.

Чувствительность реакции не уменьшается в присутствии ионов элементов Cu, Pb, Ni, Ca и других при предельном отношении 3000: 1. Ионы элементов Au, Mo, W, Al, Cr и других при предельном отношении 300: 1 снижают чувствительность до 1: 105. Восстановители должны отсутствовать. Ионы марганца мешают.

Восстановление до металла

Обнаружение серебра посредством нитрата марганца и КОН.

При взаимодействии растворов солей марганца, серебра и КОН образуется черный осадок двуокиси марганца и металлического серебра

Mn2++Ag++4OH-=MnO2*H2O+2Ag+ H2O

Этой реакцией можно обнаружить серебро даже в хлориде серебра.

Обнаружение серебра посредством восстановления хлоридом олова.

Аммиачные растворы серебра восстанавливаются хлоридом олова(II)

2Ag(NH3)+2+Sn(II)+4H+=2Ag+Sn(IV)+4NH+4

Металлическое серебро выделяется в виде черного осадка.

Обнаружение серебра по окислительно-восстановительной реакции с ионами Fe(II).

Окислительно-восстановительный потенциал системы Fe(III)/Fe(II) снижается в присутствии комплексона III.

В этих условиях Ag+ восстанавливается Fe(II).

Мешают анионы J-, CrO2-4 и SeO2-4. Катионы Pt(IV), Pd(II), Au(III) и Hg(II) дают такую же реакцию.

Обнаружение серебра посредством бензидина или о-толидина.

Ионы серебра способны окислять бензидин или о-толидин. Эти реакции являются фотохимическими. Комплекс серебра с бензидином (или о-толидином) NO3 поглощает в коротковолновой части спектра, вследствие чего повышается чувствительность. В возбужденном состоянии активированный ион серебра образует с кислородом воздуха Ag2O2, и это приводит к окислению бензидина в обычное синее соединение. Реакция происходит по следующему уравнению:

 

Для обнаружения серебра путем его восстановления до металла применялось много разных реактивов: хлораль, муравьиную кислоту, формальдегид, глюкозу, целлюлозу, декстрин и гуммиарабик, танин, галловую кислоту. Во всех эти случаях внешним признаком присутствия серебра является образование коллоидных растворов серебра или черных пятен серебра на фильтровальной бумаге. Эти реакции не имеют каких-либо существенных преимуществ по сравнению с описанием ранее. Рекомендуется также восстанавливать серебро пирамидоном, фенилгидразином, окисью углерода из комплекса серебра с натриевой солью n-метиламинофенолом (метол) или тетраметил-n-фенилендиамином. В первом случае серебро обнаруживается в осадке AgBr при содержании 0,005 мкг Ag и при предельном разбавлении 1: 10000000, во втором открываемый минимум составляет 0,01 мкг серебра.

Введение в проявитель нитрата серебра сильно увеличивает чувствительность обнаружения вследствие того, что на следах восстановленного бромида серебра отлагается много металлического серебра, выделенного из проявителя. Чувствительность реакции не уменьшается в присутствии ионов элементов Cu, Pb, Cd, As, Pt, Sb, Al, Fe, Cr, U, Zn, Mn, Co, Ni, щелочноземельных и щелочных металлов при предельном отношении 300: 1 снижают чувствительность реакции. Ионы Hg+, Sn2+, Au3+, Pd2+ и ионы элементов Se и Te мешают реакции, образуя бурые и буро-черные осадки.

Люминесцентные реакции

При взаимодействии серебра с фенилцинхониновой кислотой образуется люминесцирующее соединение.

Комплексное соединение серебра с тиомочевиной при добавлении раствора нитрата таллия сильно люминесцирует желто-оранжевым светом. Яркость свечения двойного комплекса серебра и таллия значительно сильнее свечения комплекса таллия; комплекс образуется также при взаимодействии с труднорастворимыми соединениями серебра (хлором и др.).

Серебро можно также обнаружить по тушению люминесценции раствора сульфата уранила в нейтральном или слабосолянокислом растворе. Этой реакции не мешают небольшие количества Hg, Bi, Cd, Pb и Cu. Таллий мешает, так как дает аналогичную реакцию. Реакция удается при предельном разбавлении 1: 50000.

При взаимодействии тетрацианоплатината натрия Na2 с солями серебра образуются флуоресцирующие синим или зеленым цветом осадки. Открываемым минимум - 10 мкг/мл серебра.

Комплексон III восстанавливает серебро при облучении ультрафиолетовым светом до металла, причем возникает зеленая флуоресценция.

Аналогичную реакцию дают ионы золота(III). Не мешают ионы Ba, Cd, Co, Pb, Mn, Na, K, Sr и другие.

Для того чтобы отличить Ag от UO2+2, вначале помещают на бумагу анализируемый раствор и облучают УФ-светом, что приводит в присутствии серебра к появлению коричневого пятна, которое при добавлении раствора комплексона III и дальнейшем облучении УФ-светом дает зеленую флуоресценцию.

Чувствительность обнаружения серебра производными роданина, роданин-3-карбоновой кислоты и 2-тиогидантоина сильно увеличивается при освещении пятен на фильтровальной бумаге УФ-светом.

Неорганические реагенты, образующие окрашенные осадки или комплексные соединения

Обнаружение серебра хроматом калия. Аммиачный раствор серебра при взаимодействии с хроматом калия и уксусной кислотой образует красный хромат серебра


При взаимодействии Ni(CN)2-4 c ионами серебра происходит вытеснение никеля из его цианистого комплекса


Никель затем обнаруживают диметилглиоксимом.

Определению мешает золото(III) и никель, не мешают Li, Na, K, Mg, Ca, U, Ir, Fe, Ru и другие.

Цианидные комплексы образуют труднорастворимые осадки с ионами серебра и некоторыми другими ионами, реакция может быть использована для обнаружения серебра.

Рекомендуется обнаруживать серебро по реакции с K2HgJ4. Насыщенные растворы HgJ2 и KJ вызывают появление на осадках AgCl или AgBr оранжево-красного окрашивания. Раствор K2[HgJ4] реагирует с метиленовым синим с образованием нерастворимого соединения. Если суспензию этого соединения смешать с солями серебра, образуется AgJ и восстанавливается окраска красителя. Чувствительность реакции - 1 мкг серебра.

Для обнаружения серебра в токопроводящих и других материалах предложен электрографический метод.

Обнаружение серебра окислением до Ag(II) основано на образовании окрашенного в оранжевый цвет комплекса Ag(C5H5N)4S2O8 при действии пиридина и персульфата аммония. Открываемый минимум - 0,05 мкг серебра.

.2 Количественные методы определения серебра и его соединений

Гравиметрические методы

Гравиметрическое определение основано на осаждении ионов серебра неорганическими или органическими реагентами и последующем взвешивании полученных осадков.

Из неорганических реагентов применяют сульфиды, хроматы, иодаты, хлориды и теллуриды. Некоторые гравиметрические методы основаны на образовании малорастворимых соединений, содержащих комплексный анион серебра и комплексные катионы других металлов, или солей серебра с комплексными анионами различного состава, например: [CuPr2][АgJ2]2; [CuЕn2][АgJ2]2; Аg2[Fе(СN)5NO], где Рr и Еn - молекула пропилендиамина и этилендиамина. Значительно реже используются малорастворимые соединения серебра, в которых оно находится в виде комплексного катиона.

Получили распространение методы определения серебра взвешиванием в виде металла. Серебро выделяют внутренним или обычным электролизом или восстанавливают неорганическими и органическими реагентами.

Среди органических реагентов наибольшее распространение получили серу и азотсодержащие соединения - меркаптобензтиазол, бензимидазол и их производные, меркаптофенилтиодиазолон, тиодиазолоны, фенилгидразиндитиокарбаминовая кислота, ксантогенат калия, этилентритиокарбонат, тиомочевина, тиоацетамид и многие другие. Некоторые серосодержащие реагенты осаждают серебро в виде сульфида, который затем взвешивают. Аскорбиновая кислота, формальдегид, пирамидон, 1-амидино-2-тиомоче- вина, фенилсемикарбазид восстанавливают ионы серебра до металла.

Определение в виде малорастворимых неорганических соединений или в форме металла

Определение в виде хлорида. Одним из наиболее точных и распространенных гравиметрических методов определения серебра является осаждение его в виде хлорида в разбавленном азотнокислом растворе. Осадок отфильтровывают, высушивают при 110° С и взвешивают. Добавление большого избытка хлорид-ионов недопустимо, так как в их присутствии растворимость осадка повышается вследствие образования комплексных соединений. Осадок заметно растворим в воде, в концентрированных растворах соляной и азотной кислот и в растворах, содержащих большие количества хлоридов или нитратов щелочных и щелочноземельных элементов. Поэтому хлорид серебра необходимо осаждать разбавленной соляной кислотой. Вместе с АgCl осаждаются хлориды Нg(I), Сu(I) и Тl(I), а также хлориды Рb(II) и Рd(II). При нагревании с азотной кислотой хлориды ртути и меди переходят в раствор, а для растворения хлорида таллия необходимо кипятить раствор со смесью соляной и азотной кислот. Мешающее влияние ионов свинца можно устранить повторным осаждением серебра в виде хлорида из разбавленного раствора или предварительным удалением свинца двукратным осаждением в виде сульфата. Палладий окрашивает осадок АgCl в розовый цвет. Его можно удалить двукратным осаждением смеси хлоридов в аммиаке. При осаждении в присутствии ионов висмута и сурьмы во избежание гидролиза последних раствор необходимо подкислять азотной кислотой.

Для гравиметрического определения малых количеств серебра предложен метод, основанный на добавлении к анализируемому раствору стандартного раствора соли серебра в количестве, достаточном для точного взвешивания осадка хлорида серебра.

Метод позволяет определить >900 мкг серебра с ошибкой 2-3%. Осаждение в виде хлорида использовано для определения серебра в слитках. Серебро количественно осаждается сероводородом в кислом или щелочном растворах. Осадок нерастворим в растворах сульфидов или полисульфидов щелочных металлов, что позволяет отделить серебро от элементов группы мышьяка и последующих групп.

Следовые количества серебра выделяют осаждением сероводородом в виде сульфида из растворов, подкисленных 0,1N Н2S04.

В качестве коллектора можно использовать сульфиды Сu(II) и Нg(II).

Сульфид серебра лучше осаждать из аммиачных растворов при этом осадок Аg2S не содержит элементной серы.

В некоторых случаях серебро можно определить взвешиванием бромида, иодида, цианида, роданида, цианата или вольфрамата серебра, однако эти методы практически не используются в весовом анализе. Указанные выше методы гравиметрического определения серебра с неорганическими ионами имеют второстепенное значение по сравнению с осаждением его в виде хлорида.

Определение в форме малорастворимых соединений с комплексными анионами. Известны гравиметрические методы, основанные на образовании ионом серебра труднорастворимых соединений с комплексными анионами типа [Сr(NH3)2(SCN)4]- и [Fе(CN)5NO]2-.

Для определения микроколичеств серебра используются труднорастворимые соединения с комплексными анионами серебра. Так, при взаимодействии АgJ2- с [СuЕn2](N03)2 или [СuРr2]SO4 образуются кристаллические осадки фиолетового цвета состава [СuЕn2][АgJ2]2 и [СuРr2][АgJ2]2, практически нерастворимые в воде, этаноле и эфире (Еn и Рr - молекулы этилендиамина и пропилендиамина соответственно).

Метод пригоден для определения микроколичеств серебра (0,0055-0,00055 г.), ошибка определения 0,2-0,4%. Для приготовления реактива смесь концентрированного раствора Сu(NOз)2 и этилендиамина (1: 2) нагревают на водяной бане до образования кристаллической корки, охлаждают, осадок отфильтровывают и промывают 96%-ным этанолом и абсолютным эфиром. Примером использования других соединений аналогичного состава является определение серебра в форме [Сr4(ОН)6Еn6J4][АgJ2]2 или в виде [СoЕn2(SCN)2][Аg(SCN)2]. При определении серебра (II) в нитрате дипиридила серебра взвешивают труднорастворимое соединение состава [АgDiр2](СlO4)2.

Определение в форме металла после выделения электролизом. Вследствие высокого положительного стандартного потенциала серебро легко и количественно осаждается электролизом на платиновом катоде при постоянной силе тока до начала выделения водорода. Выделение серебра электролизом является настолько хорошо воспроизводимым процессом, что его часто используют для первичной калибровки. Металл можно выделять электролизом из азотнокислых, сернокислых, цианидных, аммиачных и других растворов. В качестве примера приводим метод определения серебра из цианидных растворов, содержащих комплексные ионы Аg(СN)2-.

При электролитическом выделении серебра в присутствии меди последнюю связывают комплексоном III. Определению 108 мг Аg не мешают <600 мг Сu.

Изучена кинетика выделения серебра на твердом серебряном электроде из цианистых и аммиачных растворов при большом избытке комплексообразующих реагентов и электроосаждение из комплексных хлоридных растворов на основе концентрированных растворов NaCl, LiCl, СаСl2 и АlСl3. Однако в большинстве случаев электроосаждение серебра при постоянной силе тока практически нецелесообразно, так как метод не отличается высокой избирательностью. Большей избирательностью характеризуется метод с использованием регулируемого потенциала. Серебро можно выделить электролизом в присутствии Сu, Bi и Fe(III) с контролем величины катодного потенциала из растворов электролитов - смеси НNО3 + NaNO2, HNОз + С2Н5ОН или из раствора хлорной кислоты.

Условия потенциостатического определения серебра


Для определения милли- и микрограммовых количеств серебра применяют метод внутреннего электролиза.В качестве катода используется платиновая сетка, а материалом анода служат более электроотрицательные металлы - Сu, Zn, РЬ. Электролиз проводят в сосуде, разделенном диафрагмой на катодную и анодную часть или после покрытия материала анода коллодием. В методе внутреннего электролиза большое значение имеет правильный выбор маскирующих веществ, рН раствора, материала анода.

Определение в форме малорастворимых соединений с органическими реагентами

Многие органические реактивы осаждают серебро в виде труднорастворимых внутрикомплексных солей, некоторые серосодержащие реагенты при кипячении с солями серебра осаждают его в виде сульфида. Однако эти органические реактивы не являются специфичными. Поэтому посторонние ионы необходимо маскировать.

В качестве комплексантов часто применяют винную и лимонную кислоты, ЭДТА (этилендиаминтетрауксусная кислота) и другие вещества.

Осаждение бензтриазолом и его производными. Ионы серебра реагируют с аммиачным раствором 1,2,3-бензтриазола (азимидобензол), образуя осадок АgС6Н4N3. Ионы Fе2+, Zn2+, Со2+, Ni2+ и Сd2+ маскируют динатриевой солью этилендиаминтетрауксусной кислоты в аммиачном растворе. Осадок бензтриазолата серебра не образуется в присутствии ионов железа(II), так как серебро восстанавливается до металла комплексным соединением железа(II) с этилендиаминтетрауксусной кислотой. Ртуть должна находиться в растворе в степени окисления +2.

Из производных 1,2,3-бензтриазола предложено применять 6-хлор-4-нитро-1-окси-1,2,3-бензтриазол (I) и 4-нитро-1-окси- 1,2,3-бензтриазол (II).

При рН 3,2-5,8 реагент (I) количественно осаждает серебро в виде ярко-красного соединения состава АgС6Н2O3N4Сl; определению мешают РЬ2+, Ва2+, Нg+ и Нg2+. Реагент (II) является более специфичным: осаждению серебра не мешают Na, К, Zn, Сd, Ni, Со, Ва, Са, Sr, Мg, РЬ, Рt, Нg, Си, Вi, Аu, Аs, Sb, Sn,Fе, Сr, Мn, Аl, Тl, Се, Ве, Тh, Zr. Гидролиз ионов висмута, сурьмы, олова и титана можно предотвратить добавлением винной кислоты. Весовая форма отвечает составу АgС6Н303N4, фактор пересчета на серебро равен 0,3759.

При определении милли- и микрограммовых количеств серебра гравиметрическим методом можно также применять 2,3-нафтотриазол, образующий при рН 10 с ионами серебра осадок стехиометрического состава с соотношением 1: 1. Определению 5-100 мкг серебра в присутствии ЭДТА и тартратов мешают только сурьма и иодид-ионы.

Осаждение бензимидазолом и его производными. Водный раствор бензимидазола осаждает в аммиачной среде ионы серебра в виде соединения АgС7Н5N2.

Этанольный раствор 2-метилбензимидазола осаждает ионы серебра в аммиачном растворе при рН 10 в виде соединения состава АgС6Н7N2. В присутствии этилендиаминтетрауксусной кислоты определению не мешает Сu, Ni, Со и Мg.

Селективный метод определения серебра с 2-метилмеркаптобензи-мидазолом в присутствии комплексантов состоит в осаждении соединения АдС8Н7N2S (осадок устойчив до 110° С). При рН 8,4-10,0 в присутствии тартрата натрия и ЭДТА определению 53,7 мг серебра не мешают (в мг): Мn, Са, Sr, Ва, Мg (300), Со, Ni (250), Тi, Тh, Zr (200), Сr, Fе (150), Сu, РЬ, Сd, Аs, Вi, Рt (120), Нg, Zn, Тl, Ве, Рd, U, W, Мо, V (100). Ионы Нg(I) должны быть окислены до Нg(II).

Определение в виде сульфида серебра

Существуют методы, основанные на образовании Аg2S при взаимодействии Аg+ с серосодержащими органическими реагентами.

Этилентритиокарбонат образует с серебром комплексной соединение состава 1:1, которое при выдерживании и нагревании с маточным раствором количественно переходит в сульфид Аg2S, Осадок сульфида высушивают при 110°С и взвешивают. Метод использован для гравиметрического определения серебра в присутствии больших количеств свинца. Осаждение проводят в присутствии NH4NO3, улучшающего качество осадка при отношении

РЬ: Аg > 1 осадок кипятят с СН3СООКН4. При определении 111,5 мг серебра в присутствии 0,2-22 г. свинца максимальная ошибка составляет 0,99%.

Тиомочевина и тиоацетамид при кипячении в щелочной среде осаждают серебро в виде крупнокристаллического, легко фильтрующегося осадка сульфида серебра. Тиоацетамид используют для определения ≥0,1 г/л серебра в тиосульфатных фиксирующих ваннах при рН ≥ 12.

Титриметрические методы

Наиболее распространенные титриметрические методы определения серебра основаны на реакциях осаждения, комплексообразования и реакциях окисления-восстановления. В методах титрования по реакциям осаждения в качестве титрантов используют растворы галогенидов, роданидов или цианидов щелочных металлов. Титрование можно вести как без индикатора (метод Гей-Люссака), так и в присутствии индикаторов - хромата калия (метод Мора) или железоаммонийных квасцов (метод Фольгарда). Последний метод получил наибольшее распространение.

Образующиеся при титровании осадки галогенидов или других труднорастворимых соединений серебра склонны к коллоидообразованию. Поэтому здесь нередко используются адсорбционные индикаторы - органические вещества, которые адсорбируются поверхностью осадков и изменяют свой цвет в точке эквивалентности.

Известны косвенные титриметрические методы определения, основанные на обменных реакциях ионов серебра с цианидным комплексом никеля, сульфидом меди, на восстановлении ионов серебра металлической медью или амальгамами висмута, цинка, кадмия и последующем комплексонометрическом титровании обменивающихся ионов, выделившихся в количестве, эквивалентном содержанию серебра. К непрямым титриметрическим методам относится также осаждение серебра в виде труднорастворимых соединений с органическими или неорганическими реагентами с последующим титрованием избытка осадителя подходящим реагентом или растворение соединения серебра в цианиде калия, избыток которого оттитровывают стандартным раствором нитрата серебра в присутствии иодида калия.

Из методов окисления-восстановления предложено восстанавливать ионы серебра до металла органическими или неорганическими восстановителями. После этого титруют окисленную форму восстановителя, количество которой эквивалентно содержанию серебра. Конечную точку титрования устанавливают посредством органических окислительно-восстановительных индикаторов/Значительно реже применяются прямые комплексонометрические методы.

Получили также развитие методы титрования серебра с электрохимической регистрацией точки эквивалентности.

Методы титрования с применением индикаторов

Титрование роданидом калия или аммония (метод Фольгарда)

Это один из важнейших титриметрических методов определения серебра. Метод основан на реакции между ионами Аg+ и SCN- и образовании малорастворимого осадка роданида серебра по реакции: Аg+ + SCN- = АgSCN. В качестве индикатора применяют раствор нитрата железа или железоаммонийных квасцов. Образование АgSCN продолжается до тех пор, пока к исследуемому раствору не будет прибавлено эквивалентное содержанию серебра количество раствора NН4SСN или КSСN.

После точки эквивалентности появляется избыток ионов SСN-, которые образуют с ионами Fе3+ окрашенный в красный цвет комплекс FеSСN2+. Титрование проводят в кислой среде, лучше всего в 0,4-0,6 N HNO3.

Определению серебра титрованием роданидом мешают Ni, Со, РЬ, Сu, Нg и другие металлы, образующие комплексные соединения с роданид-ионами, а также хлориды и сульфиды. В присутствии сульфатов образуется смешанный осадок роданида и сульфата серебра. Кроме того, мешают ионы, связывающие ионы серебра в комплексы, а также окислы азота и нитрит-ионы, окисляющие роданид-ионы. Поэтому окислы азота необходимо предварительно удалить кипячением раствора. Азотная кислота образует с роданистоводородной кислотой окрашенное в красный цвет соединение, мешающее титрованию своей окраской. Под конец титрования происходит коагуляция коллоидного раствора роданистого серебра, и мутный раствор над осадком становится прозрачным.

Поверхность осадка адсорбирует некоторое количество ионов серебра, поэтому окраска роданида железа появляется до достижения точки эквивалентности. Однако эта окраска исчезает, так как ионы серебра постепенно реагируют с роданидом. Титрование прекращают после появления неисчезающей при энергичном взбалтывании раствора окраски роданидного комплекса железа. Рекомендовано перед титрованием роданидом добавлять к раствору 1-2 мл бензола, хлороформа или другого не смешивающегося с водой органического растворителя. Органический растворитель смачивает поверхность осадка роданида серебра и препятствует взаимодействию осадка с роданид-ионами.

Метод Фольгарда можно применять для определения серебра в смесях, содержащих свыше 50% меди. Основную массу меди выделяют на колонке сульфоугля в Н-форме, промывая ее после адсорбции серебра и меди деминерализованой водой. Ввиду предпочтительного обмена серебра количество удержанных ионов меди незначительное. Затем колонку промывают 6%-ным раствором азотной кислоты и титруют серебро роданидом. Погрешность определения не более ± 0,5%.

Титриметрическое определение серебра в его сплавах с высоким содержанием меди основано на предварительном выделении серебра из раствора металлическим алюминием. Осадок серебра растворяют в разбавленной азотной кислоте и титруют NH4SСN с ионами железа(III) в качестве индикатора.

Микрограммовые количества серебра определяют титрованием роданидом в тонких пленках, нанесенных катодным распылением на кварцевую или стеклянную пластинки.

Титрование с адсорбционными индикаторами. Известны методы прямого титриметрического определения серебра, основанные на реакциях осаждения с применением цветных, флуоресцентных и окислительно-восстановительных адсорбционных индикаторов. Серебро титруют галогенид -, цианид - или роданид-ионами в присутствии различных цветных индикаторов. Определение серебра титрованием в щелочной среде цианидом калия с индикаторами n - диметиламинобензилиденроданином или тиофлуоресцеином заключается в следующем.

К анализируемому раствору прибавляют 5 мл 1 N раствора NH3 и 5 мл 1 N NaOH, разбавляют водой до 50-100 мл, вводят 1 мл 0,05%-ного раствора тиофлуоресцеина в разбавленном растворе КН3 или 1 мл насыщенного метанольного раствора n - диметиламинобензилиденроданина и титруют 0,01-0,1 М раствором КСN до появления голубой окраски (тиофлуоресцеин) или до перехода красной окраски в желтую (n - диметиламинобензилиденроданин). Ошибка определения в первом случае составляет 0,5%, во втором 0,9%.

В присутствии ионов Ni, Сu, Со и других тяжелых металлов, за исключением Нg, необходимо прибавлять комплексoн III. При титровании с n - диметиламинобензилиденроданином не мешают ионы Zn, Сd, Ni, а также Рb и Сl-ионы.        

В качестве адсорбционных индикаторов при титровании серебра галогенид- и роданид-ионами испытаны 1-(2-пиридилазо)-2-нафтол, о,о - диизопропоксибензидин, метаниловый желтый, анилиновый синий, щелочной голубой, о-толлидинат меди, о-дианизинат меди или ванадата, бензидин или бензидинат меди, 3,3"-диэтилбензидин и 3-метилбензидин, n - этоксихризоидин, бензолазо-1-нафтиламин, ализаринсульфонат натрия, фенолфталеин, феноловый красный, тартразин и кошениль.

Предложено также титровать стандартный раствор нитропруссида натрия анализируемым раствором соли серебра в присутствии 0,5%-ного раствора эозина в качестве цветного адсорбционного индикатора. В точке эквивалентности осадок нитропруссида серебра коагулирует и окрашивается вследствие адсорбции эозина в красный цвет. При висмутометрическом определении серебра используют хинолин.

Метаниловый желтый применяют в качестве адсорбционного индикатора при титровании серебра бромидом калия. Индикатор дает отчетливую точку перехода при работе с 0,1 - 0,01 N раствором бромида. Титрование можно проводить в присутствии азотной кислоты в широком диапазоне кислотности, вплоть до 3 N по азотной кислоте. Определению серебра мешают ионы ртути(I) и (II).

о-Толлидин в виде о-толлидината меди испытан в качестве адсорбционного индикатора при титровании серебра бромидом или иодидом. Адсорбируясь на осадке, о-толлидинат меди изменяет в точке эквивалентности голубую окраску на желто-коричневую, так как на осадке начинают адсорбироваться избыточные галогенид-ионы, которые десорбируют о-толлидинат меди, изменяя соответственно окраску.

Флуоресцирующие адсорбционные индикаторы

Индикатор

Концентрация индикатора, мг/10 мл

Цвет флуоресценции

Ионы-осадители



в начале титрования

в конце титрования


Флуоресцеин

0,01-0,12

Нет

Желто-зеленая

Cl-,Br-,J-,, Fe

Эозин

0,1-0,4

Сине-зеленая

Cl-,Br-,J-

Сернокислый хинин

0,05-0,15

Синяя

Темно-пурпурная

Cl-

Тиофлавин S

0,05-0,5

Темно-синяя

Желто-белая

Cl-,Br-,J-,, Fe

Примулин

0,04-0,5

Нет

Светло-синяя

Cl-,Br-,J-,, Fe

Трипафлавин

0,04-0,05

Желто-зеленая

Светлая

Cl-,Br-,J-, Fe

Родамин 6Ж

0,06-0,1

Нет

Cl-,Br-,J-, Fe

1,1-Диметилбензок сацианин

Насыщенный метанольный раствор


Зеленая

CN-

1,1-Диметилбензтио цианин

То же

CN-

Эритрозин

0,03-0,4

Светло-зеленая

Cl-,Br-,J-

Флоксин

0,2-0,25

Светло-желтая

Cl-,Br-,J-,SCN-

Умбеллиферрон

0,02-0,15

Синяя

Cl-,Br-,J-,

-Метилумбелли феррон

0,04-0,1

Нет

Cl-,Br-,J-,




При использовании в качестве адсорбционного индикатора феносафранина на поверхности осадков галогенидов серебра в результате фотохимических процессов образуются двух- и трехзарядные ионы.

В табл. (см. выше) приведены флуоресцентные адсорбционные индикаторы, используемые в титриметрических методах определения миллиграммовых количеств серебра при ультрафиолетовом облучении.

При титровании раствором хлорида натрия или бромида калия рекомендовано использовать флуоресцеин, тиофлавин, примулин, эозин и умбеллиферрон, если титруют раствором иодида калия, -умбеллиферрон в случае хромата калия.

Серебро можно определять методом обратного титрования раствором КJ, используя окислительно-восстановительные адсорбционные индикаторы. Адсорбированные на поверхности осадка АgJ ксиленоловый синий и патентованный голубой (кислотный трифенилметановый краситель) в присутствии в растворе незначительного количества, J2 ведут себя как обратимые редокс- индикаторы. При наступлении конечной точки титрования адсорбированные на поверхности осадка индикаторы окисляются ионами J+ или JОН с изменением окраски. Серебро служит катализатором образования положительно заряженных ионов иода в реакции J2 J+ + J-.

Методы окислительно-восстановительного титрования

Прямые титриметрические методы определения серебра, основанные на реакциях окисления-восстановления, не находят широкого применения. Предложен метод определения серебра, основанный на его восстановлении до металла с помощью титрованного раствора FеS04 в присутствии фторидов щелочных металлов при рН 4,10-4,65 с использованием в качестве окислительно-восстановительного индикатора вариаминового синего или в присутствии этого же индикатора посредством восстановления аскорбиновой кислотой. Метод использован для анализа монет.

Значительно большее распространение получили косвенные определения по методу окисления-восстановления. Аскорбиновая кислота, d-сорбоза, d-галактоза, d-фруктоза, d-глюкоза и формальдегид восстанавливают при определенных условиях ионы серебра до металла. Осадок металлического серебра отделяют, растворяют в избытке Fе2(SO4)3(NH4)2SO4 и 4N Н2S04 и титруют ионы железа(II), количество которого эквивалентно содержанию серебра в анализируемом растворе, стандартными растворами Се(S04)2 или бихромата калия в присутствии N-фенилантраниловой кислоты. При восстановлении l-аскорбиновой кислотой образуется дегидро-l-аскорбиновая кислота; избыток восстановителя титруют раствором N-бромсукцинимида в присутствии иодида калия и крахмала.

Серебро можно осадить в виде роданида титрованным раствором NН4SСN, отделить осадок и оттитровать избыток роданида перманганатом калия или сульфатом церия (IV). После осаждения AgJ стандартным раствором иодида калия избыток последнего оттитровывают перманганатом калия в присутствии силоксена в качестве хемилюминесцентного индикатора.

Осажденное посредством соли Рейнеке труднорастворимое соединение серебра Аg[Сr(NН3)2(SСN4] разлагают разбавленным раствором NaOH при умеренном нагревании, затем после отделения Аg2О титруют роданид-ионы раствором иодата в солянокислой среде. Еще один косвенный метод определения серебра основан на осаждении его гексааминокобальтихлоридом и избытком тиосульфата натрия в виде соединения состава [Сo(NH3)6] • [Аg(S203)2]. Осадок отфильтровывают и определяют в фильтрате избыток S2 иодометрическим титрованием.

Известен титриметрический метод определения серебра, основанный на осаждении его в виде Аg3[Fе(СN)6] и последующем превращении осадка в гексацианоферроат KАg3[Fе(СN)6] при обменной реакции с гексацианоферроатом калия. Содержание Аg рассчитывают по количеству Fe эквивалентному содержанию серебра: ионы Feтитруют стандартным раствором аскорбиновой кислоты в присутствии 2,6-дихлорфенолиндофенола в качестве индикатора. Метод использован для определения больших содержаний серебра (107,83-539,40 мг); стандартное отклонение ±0,34%. Предложено осаждать серебро меркаптоэтанолом в виде труднорастворимого соединения состава НОСН2SАg и титровать избыток осадителя в фильтрате или в растворе осадка иодатa-калия в присутствии иодистого калия и крахмала.

Рассмотренные выше методы титриметрического определения серебра не имеют каких-либо преимуществ перед методами титрования серебра в присутствии адсорбционных индикаторов. Операция фильтрования и промывания осадков приводит к большим затратам времени на анализ.

В титриметрических методах используют также восстановление серебра ионами хрома(Ш); образующиеся при реакции ионы хрома(IV) оттитровывают стандартным раствором Na2S203 в присутствии крахмала. Метод использован для определения содержания серебра(II) в форме АgО в электродах из окиси серебра.

Косвенные иодометрические методы основаны на титровании серебра стандартным раствором иодида калия в присутствии окислителей - перекиси водорода, бихромата калия, меди(II), иода. Точка эквивалентности характеризуется появлением синего окрашивания адсорбционного соединения иода с крахмалом. Титрование можно проводить стандартным раствором К4[Fе(СN)6] в присутствии иода и крахмала или в отсутствие окислителей титрованием избытка иодид- ионов стандартным раствором соли двухвалентной ртути с 1-фенилтиосемикарбазидом в качестве индикатора. Иодометрический метод использован для определения содержания серебра(II) в комплексном соединении с дипиридилом состава [АgDiр2](N03)2. Комплексы серебра (II) могут использоваться в качестве окислителей. Исследовано окисление органических соединений в воде, диметилсульфоксиде и в смеси диметилсульфоксида и диметоксиэтана пиколинатом серебра(II). Толуол окисляется в бензойную кислоту, фенилэтил - в ацетофенон, альдегиды превращаются в соответствующие кислоты, а первичные спирты - в альдегиды.

Комплексонометрическое титрование и другие методы

Комплексное соединение серебра с комплексоном III малоустойчиво, поэтому прямое комплексонометрическое определение серебра применяется редко. Прямое титрование возможно в аммиачно-щелочной среде с индикатором - смесью тимолфталексона и диметилтимолового желтого в соотношении 10: 1. Точка эквивалентности характеризуется переходом ярко-синей окраски раствора в светло-желтую.

Методика определения в растворах чистой соли сводится к следующему.

К 50 мл нейтрального анализируемого раствора прибавляют по 5 мл раствора NH3 (1: 4), 2 капли 0,1%-ного раствора диметилового желтого и 0,5 мл 0,1%-ного раствора тимолфталексона и титруют 0,1 М раствором комплексона III до изменения окраски раствора.

Метод пригоден для определения серебра в отсутствие посторонних ионов, так как в щелочной среде с комплексоном взаимодействуют многие другие металлы.

Гиппуровая кислота образует с серебром растворимое в воде комплексное соединение при соотношении компонентов 1:1. Это использовано для комплексонометрического определения ультрамалых количеств серебра с индикатором ксиленоловым оранжевым или конго красным. Переход окраски в точке эквивалентности для ксиленолового оранжевого наблюдается при рН 5,2 от розовой до светло-желтой, а для конго красного - от фиолетовой до красно-фиолетовой. Метод использован для прямого комплексонометрического определения серебра и кадмия при совместном присутствии. Ошибка определения 2,16*10-4 - 5,4*10-4 мг/л серебра в искусственных смесях составляет 0,5%.

Значительно большее распространение получили непрямые методы. Ионы серебра реагируют с цианидными комплексами никеля или кадмия, количественно замещая названные элементы в этих комплексах, например, по реакции

2Аg+ + Ni = 2Аg + Ni2+ (4.1)

Реакция обмена протекает количественно также с труднорастворимыми солями серебра. Вытесненные ионы, количество которых эквивалентно содержанию серебра, титруют растворами комплексона III или нитрилотриуксусной кислоты обычным способом. Метод пригоден для определения серебра в растворах чистых солей и в цианистых ваннах для электролитического серебрения. В последнем случае цианид серебра следует предварительно разрушить нагреванием с персульфатом или упариванием в смеси серной и азотной кислот.

Иногда используют обратное титрование избытка титрованного раствора комплексона III стандартным раствором соли свинца в присутствии 1-(2-пиридилазо) нафтола, например в случае определения серебра в комплексном соединении с фталоцианином.

Обменная реакция между ионами серебра и осадком сульфида меди использована для непрямого трилонометрического определения серебра.

Косвенные комплексонометрические методы определения основаны также на реакциях восстановления ионов серебра до металла амальгамами висмута, кадмия, цинка и металлической медью. Переходящие в раствор ионы, количество которых эквивалентно содержанию серебра, титруют раствором ЭДТА.

Существуют косвенные титриметрические методы, в которых осадок хлорида серебра или труднорастворимых соединений серебра с 1,2,3-бензтриазолом, висмутиолом растворяют в избытке титрованного раствора цианистого калия. Избыток последнего оттитровывают стандартным раствором нитрата серебра в присутствии иодида калия.

Известны ацидиметрические приемы определения. Так, при взаимодействии осадков карбоната или гидроокиси серебра с тиосульфатом натрия образуются растворимые тиосульфатные комплексы. Выделяющееся при реакции эквивалентное количество соды или щелочи оттитровывают соляной кислотой.

В качестве индикатора при экстракционно-титриметрическом определении серебра можно использовать раствор дитизона в ССl4 или СНСl3. Титрование проводят стандартным раствором иодистого калия, диэтилдитиокарбамината натрия в присутствии тиосульфата. Титрование дитизоном можно проводить экстракционно-фотометрически.

Из сернокислых растворов экстрагируют серебро хлороформным раствором дитизона, избыток реагента в экстракте отмывают разбавленным раствором аммиака, экстракт взбалтывают с аммиачным раствором цианида калия и выделившийся дитизон титруют стандартным раствором нитрата свинца. Ошибка определения 0,005-0,03 мг серебра составляет ±2%.

При взбалтывании растворов солей серебра с титрованными растворами n-диметиламинобензилиденроданина и 5-роданин-N- метиланилинотриметана в ССl4 на границе раздела фаз количественно выделяются осадки соединений серебра с реактивами, что использовано в так называемом методе трехфазного титрования. Титрование ведут до неисчезающей при взбалтывании фаз желтой или оранжевой окраски органического слоя. При рН водной фазы 2-5 этим методом можно определить 2-20 мкг серебра с ошибкой ≤ 0,2 мкг; продолжительность определения 15-20 мин. Термометрическое титрование серебра цианидом описано в работе.

Методы титрования с электрохимической регистрацией точки эквивалентности

Амперомогрическое титрование. Амперометрические методы определения основаны главным образом на реакциях образования ионами серебра труднорастворимых осадков с органическими и неорганическими реагентами. В качестве титрантов используются преимущественно органические серусодержащие соединения или иодид-ионы. Титрование проводят с платиновым вращающимся электродом, так как металлическая ртуть взаимодействует с ионами серебра, восстанавливая их до металла. Известны два варианта титрования: катодный, основанный на восстановлении ионов серебра или органического реагента, и анодный,- при котором фиксируется ток окисления иодид-ионов или серосодержащих реактивов на аноде.

Ионы серебра восстанавливаются без наложения внешнего напряжения при потенциале меркур-иодидного электрода, равном +0,002B. При этом потенциале титрованию раствором KJ не мешают соизмеримые количества Рb(II) и Тl(I), так как они в этих условиях не восстанавливаются. Ионы металлов с положительным потенциалом - Сu(II), Bi(III), Sb(III) и Fe(III) могут восстанавливаться вместе с серебром. Однако в присутствии комплексона III многие металлы не мешают иодидному методу определения без наложения внешнего напряжения. К ним относятся РЬ, Сu, Вi, Fе, Zn, Сd, Тl, Аs и Sb. Мешающее влияние практически любых концентраций Сu(II), Вi(III) и Sb(III) можно также устранить наложением на электроды внешнего напряжения в пределах от 0,4 до 0,45B (меркур-иодидный электрод). Нg(II) мешает в соизмеримых и превышающих содержание серебра концентрациях. Из-за близости нормальных электродных потенциалов систем Аg+/Аg° и Fе3+/Fе2+ (0,7996 и 0,77B соответственно) мешающее влияние железа (III) путем изменения величины внешней э.д.с. устранить не удается. В присутствии ионов железа (III) возможна реакция окисления иодид-ионов

Fе (III) + 2J- = 2Fе(II) + J2,

однако равновесие этой реакции смещено влево, вследствие связывания иодид-ионов серебром. Ток восстановления железа (III) устраняют введением фторидов. Катодный метод рекомендован для определения серебра в смазочных маслах, галенитах, сфалеритах, халькопиритах и других минералах и рудах.

При титровании серебра раствором точку эквивалентности можно установить биамперометрическим методом с двумя платиновыми или ртутными электродами, накладывая на них поляризующее напряжение около 50Мb. Метод рекомендован для определения серебра и ртути в амальгаме серебра.

Можно проводить титрование растворами, содержащими хлорид- или бромид-ионы, при потенциале +0,05B, при котором эти ионы диффузионных токов не образуют без внешнего источника тока, с накоротко замкнутыми насыщенным каломельным электродом и платиновым электродом. Конечная точка титрования наблюдается более четко в присутствии спирта или ацетона. Однако этот метод не имеет особых преимуществ перед иодидным. Титрование хлоридом без наложения внешней э.д.с. с серебряным амальгамированным индикаторным электродом и иодид-хроматным электродом сравнения использовано при анализе посеребренных деталей, сплавов серебра и цианидных электролитов для серебрения.

Известны и другие методы титрования неорганическими ионами, например молибдатом натрия при рН 7,3 или пированадатом натрия при рН 7-8. Точку эквивалентности фиксируют по току восстановления серебра на ртутном капельном электроде при -0,3В. Молибдат- и пированадат-ионы в указанных условиях электрохимически неактивны. Точные результаты могут быть получены лишь при высокой концентрации серебра в растворе. Можно титровать и растворами ферроцианида, роданида или нитропруссида натрия на фоне 0,1 М нитрата калия при потенциале ртутного капельного электрода от -0,3 до -0,5В.

Титрование раствором соли Fе(II) в присутствии комплексона III осуществляется без наложения внешнего напряжения при рН 4,0-6,0. Комплексен III связывает ионы железа (III), понижая тем самым потенциал системы Fе3+/Fе2+, что облегчает восстановление ионов ионами Fе(II). Удовлетворительные результаты получены при соотношении серебро: комплексен III в пределах от 1: 2 до 1: 0,5. При этом можно определить 5 мг Аg в присутствии максимально 200 мг РЬ и по 50 мг Сu, Вi или Сd.

Косвенный метод определения основан на осаждении серебра селенистой кислотой при рН 7-8 и последующем амперометрическом титровании избытка последней гипобромитом натрия.

Титрование по току окисления избыточных иодид-ионов на платиновом аноде осуществляется при потенциале +1,0B по отношению к меркур-иодидному электроду. При рН 2- 2,5 определению не мешают 1000-кратные количества Сu, Fе, Zn, РЬ, Мn; мешающее влияние ионов палладия устраняется переводом его при рН 4-5 в аммиачный или пиридинатный комплексы. При рН 1-2 в сернокислой среде определяют сумму палладия и серебра, а добавлением аммиака до рН 4-5 титруют серебро, так как палладий при этом не осаждается иодидом. Если присутствует ртуть, то ее оттитровывают комплексоном III с танталовым электродом на фоне 0,1-0,5 N серной или азотной кислот при +1,2В; после этого изменяют потенциал электрода до +0,8В и титруют серебро иодидом.

Титрование по методу окисления иодид-ионов использовано для определения серебра в рудах, концентратах, черновой меди, фармацевтических препаратах.

В табл. Приведена сводка органических реактивов, которые применяются для амперометрического титрования серебра. Точку эквивалентности устанавливают как по току катодного восстановления серебра или органического реактива, так и по току реактивов на аноде. Кроме того, описано амперометрическое титрование растворами дитизона, тиосалициловой кислотой, 1-фенилтетразолин-5-тионом, тетрафенил - бором и метилпроизводными 8-оксихинолина, эти методы имеют ограниченное применение на практике.

Потенциометрическое титрование

Потенциометрические титрование титрования основаны на реакциях образования малорастворимых простых или комплексных соединений серебра с органическими и неорганическими осадителями. Из титрантов используют преимущественно серусодержащие соединения, образующие слаборастворимые комплексы или осаждающие серебро в виде сульфида. Значительно реже используются реакции окисления - восстановления. В качестве индикаторных электродов служат серебряный, сульфид - серебряный и некоторые другие.

Амперометрическое титрование серебра органическими реагентами

Титрант

Фоновый электролит

Электродный процесс и потенциал

Характеристика метода

Объект анализа

Диэтилдитиокар баминат натрия

Раствор аммиака

По току окисления реактива при 0,4В на Pt-электроде

В присутствии комплексона III и винной кислоты определению не мешают Zn,Ni,Co, Sd,Pb,Cu,Fe,Mn(II). Мешают Bi(III) и Hg(II), поэтому в их присутствии Ag выделяют в виде AgCl

Отходы сульфидного производства, концентраты цинкового и свинцовых производств, лекарственные препараты

Тиоацетамид

Аммиачный буфер Ph 5,6

По току восстанов- ления Ag на Hg-капельном электроде при 0,4В

-

Растворы чистых солей

Меркаптофенилтиотиадиазолон; Меркаптобензтиазол

Комплекс III с добавкой желатина, Рн 5-8

Без наложения внешней э.д.с.(меркурий-иодидный электрон и вращающийся Pt - электрод). По току восстановления Ag

Определению мешают Cl-ионы, Hg,Au и некоторые металлы платиновой группы

То же

Меркаптобензтиазол

NH4NO3, ацетатный или янтарно-боратный буфер, рН 3-7

По току окисления реактива на Pt - электроде при 0,4В

В присутствии аммиака определению не мешают Cl-ионы, Ni, Zn и Cu в количестве равном содержанию Ag. При большом содержании Cu серебро осаждается в виде AgCl, растворяют в аммиаке и титруют реактивом

1-Фенил-2,4-дитиобиурет (этанольный раствор)

H2SO4 или HNO3, рН 5,6

То же при 0,5В

Определению мешают Cl-ионы Hg, Au и Cu, 50-500-кратный избыток Fe, Ni, Co, Pb, Al, Zn, Sb, As, Bi и др.

Растворы чистых солей

2,4-Дитиобиурет

H2SO4 или HNO3, рН 0-2

То же

То же

То же

Тиомочевина

0,1-0,2 N H2SO4

По току окисления реактива на вращающем Pt - электроде при 1,2В

Этилентиомочевина

0,1-0,2 N HNO3

То же при 1,00В

Оксалат калия

0,1 M KNO3, pH 3,6-4,7

То же при 0,9-1,0В

Титрование происходит в присутствии спирта (1:1)

2 - Меркаптобензоксазол

Ацетатный буфер с добавкой желатина

По току восстановления Ag на Hg - капельном электроде при - 0,3В

Определению не мешает 4-5-кратный избыток Ni, Co, Pb, Zn, Sb, As(III), Bi(III) и др.

Бензимидазол-2-илметантиол

Ацетатный буфер  рН 4 - 6

То же при 0,2В

Определению не мешают Pb, Cd, Zn, Mn, Co, Ni, As, Sb, Bi. Мешают Cu, Pd, Hg(I) и (II) Pt(IV) и 2 - кратные количества Fe

Сплавы серебра

Унитиол

0,001-0,5 N HNO3

По току окисления реактива на вращающем Pt - электроде при 0,8В

Не мешают 1000 - кратные количества Pb, Cd, Zn, Bi. Железо связывают прибавлением фторида или пирофосфата, медь - введением 30 - 50 -кратного избытка Bi. В присутствии Pd титруют сумму Pd и Ag, а затем осаждают Ag в виде AgCl

Растворы серебра в присутствии палладия

3-Фенил-2,6 - димеркапто - 1,4-тиопирон

Ацетатный буфер  рН 4 - 6; 1 M KNO3

По току восстановления реактива на Hg - капельном электроде при - 0,25В

Металлический индий

Этилксантогенат натрия

Смесь аммиачнотартратного раствора с KNO3, рН 7-9

По току восстановления Ag на вращающемся Pt-электроде при - 0,5В

Растворы серебра в присутствии свинца

Тиомочевина

0,2-1 М HNO3

По току окисления реактива на вращающем Pt - электроде при 1,0-1,1В

Титрованию не мешают  10 г./л Zn и Cd,  5 г/л Fe(III),  1 г/л глицерина, CH3CHO, HCHO

Растворы серебра в присутствии 250г/л меди

Тиомочевина

1 М HNO3

То же при 0,1В

Определению не мешают 200 - кратные количества Cu. Анодная волна реактива образуется также на фоне 0,01 М растворов HCl, HNO3, H2SO4 и 0,1 М раствора KCl

Сплавы Cu - Ag, Растворы серебра в присутствии ртути

Гуанилтиомочевина

Раствор, рН 2,5-7,0

То же при 0,95-1,0В

Титрованию не мешают 1000-кратный избыток Zn, 100-кратный Pb, Ni, Cd, Fe и Al. В присутствии Hg сначала титруют сумму Hg и Ag, а затем осаждают Ag в виде AgCl и титруют Hg. Содержание Ag находят по разности. Мешают Bi и Sb.

Производственные материалы

Аскорбиновая кислота

Аммиачный раствор, рН 6,5-7,0

Биамперометрическая система с двумя Pt - электродами и поляризуемым напряжением 50 МВ

Титрование Tl(III) проводят на фоне 0,1 - 1,0 N H2SO4, а затем при рН 6,5 - 7 титруют Ag

Растворы серебра в присутствии таллия(III)


Вывод: В этой главе были рассмотрены основные качественные и количественные методы определения серебра и его соединений. К качественным методам можно отнести: Микрокристаллоскопические реакции, Хроматографические методы, Каталитическое действие серебра, Восстановление до металла, Люминесцентные реакции и многое другое. В свою очередь к количественным методам относится: Гравиметрический метод, Определение в виде сульфида серебра, Титриметрические методы, Комплексонометрическое титрование и т.д. (подробнее см.выше).

Ещё за 2500 лет до нашей эры египетские воины использовали серебро для лечения боевых ран: накладывали на них тонкие серебряные пластины, и раны быстро заживали. В русской же православной церкви святую воду для прихожан всегда выдерживали в серебряных сосудах. Существуют много историй о том как серебряные сосуды спасали жизни, хранившим в них воду. Также существует мнение, что серебро придает силу, носящему его.

● Так как обладает наибольшей электропроводностью, теплопроводностью и стойкостью к окислению кислородом при обычных условиях, применяется для контактов электротехнических изделий, например, контакты реле, ламели, а также многослойных керамических конденсаторов.

● В составе припоев: медносеребряный припой ПСР-45 используется для пайки медных котлов, чем выше процент серебра, тем выше качество;

иногда также, добавляя его к свинцу в количестве 5%, им заменяют оловянный припой.

● В составе сплавов: для изготовления катодов гальванических элементов (батареек).

● Применяется как драгоценный металл в ювелирном деле (обычно в сплаве с медью, иногда с никелем и другими металлами).

● Используется при чеканке монет, наград - орденов и медалей.

● Йодистое серебро применяется для управления климатом ("разгон облаков").

● Из-за высочайшей электропроводности и стойкости к окислению применяется:

▪ в электротехнике и электронике как покрытие ответственных контактов;

▪ в СВЧ технике как покрытие внутренней поверхности волноводов

● Используется как покрытие для зеркал с высокой отражающей способностью (в обычных зеркалах используется алюминий). Определяющую роль его в этом вопросе сыграла его высокая отражательная способность и пластичность: из серебра можно получить пластинки толщиной всего лишь 0,25 мкм.

● Часто используется как катализатор в реакциях окисления, например при производстве формальдегида из метанола.

● Используется как дезинфицирующее вещество, в основном для обеззараживания воды. Некоторое время назад для лечения простуды использовали раствор протаргол и колларгол, которые представляли собой коллоидное серебро.

Области применения серебра постоянно расширяются и его применение - это не только сплавы, но и химические соединения. Определённое количество серебра постоянно расходуется для производства серебряно-цинковых и серебряно-кадмиевых аккумуляторных батарей, обладающих очень высокой энергоплотностью и массовой энергоёмкостью и способных при малом внутреннем сопротивлении выдавать в нагрузку очень большие токи.

В химической промышленности применяются аппараты из серебра (для получения ледяной уксусной кислоты, фенола), лабораторная посуда (тигли или лодочки, в которых плавятся чистые щелочи или соли щелочных металлов, оказывающие разъедающее действие на большинство других металлов), лабораторные инструменты (шпатели, щипцы, сита и др.). Серебро и его соединения применяются в качестве катализаторов в реакциях обмена водород - дейтерий, детонации смеси воздух - ацетилен, при сжигании окиси углерода, окислении спиртов в альдегиды кислоты и др.

В пищевой промышленности применяются серебряные аппараты в которых приготовляют фруктовые соки и другие напитки. В медицине известен ряд фармацевтических препаратов, содержащих коллоидное серебро.

Металлическое серебро служит для изготовления высококачественных оптических зеркал путем термического испарения. Бруски (или электролитический порошок) серебра служат положительными электродами в аккумуляторах, в которых отрицательными электродами являются пластинки из окиси цинка, электролит - едкое кали.

Существенную долю серебра потребляет электротехническая промышленность для серебрения медных проводников и при использовании высокочастотных волноводов. Серебро используется при производстве транзисторов, микросхем и других радиоэлектронных компонентов.

Серебро используется в качестве добавки (0,1-0,4%) к свинцу для отливки токоотводов положительных пластин специальных свинцовых аккумуляторов (очень большой срок службы (до 10-12 лет) и малое внутреннее сопротивление).

Хлорид серебра используется в хлор-серебряно-цинковых батареях, а также для покрытий некоторых радарных поверхностей. Кроме того, хлорид серебра, прозрачный в инфракрасной области спектра, используется в инфракрасной оптике.

Монокристаллы фторида серебра используются для генерации лазерного излучения с длиной волны 0,193 мкм (ультрафиолетовое излучение).

Серебро используется в качестве катализатора в фильтрах противогазов.

Ацетиленид серебра (карбид) изредка применяется как мощное инициирующее взрывчатое вещество (детонаторы).

Фосфат серебра используется для варки специального стекла, используемого для дозиметрии излучений. Примерный состав такого стекла: фосфат алюминия - 42%, фосфат бария - 25%, фосфат калия - 25%, фосфат серебра - 8%.

Перманганат серебра, кристаллический тёмно-фиолетовый порошок, растворимый в воде; используется в противогазах. В некоторых специальных случаях серебро так же используется в сухих гальванических элементах следующих систем: хлор-серебряный элемент, бром-серебряный элемент, йод-серебряный элемент.

Серебро зарегистрировано в качестве пищевой добавки Е174.

Применение серебра в фотографии:

В 1737 г. немецкий ученый И. Шульце впервые обнаружил светочувствительность нитрата серебра. Однако лишь через 100 лет после этого открытия появилась первая фотография (19 августа 1839 г.) В этот день в Парижской академии наук было сделано сообщение о способе получения изображения. Такой метод фотографии впоследствии был назван дагеротипом. Изображение получали обработкой парами ртути экспонированного слоя AgI, нанесенного на отполированную серебряную пластину. На пластине в местах действия света образуется серебряная амальгама, рассеивающая свет. После удаления избытка AgI и обнажения зеркальной поверхности изображение можно наблюдать, держа пластину под определенным углом.

С тех пор коренным образом изменилась технология получения фотографического изображения. Однако и сейчас основным светочувствительным материалом для фотографии являются кристаллы галогенидов серебра. Удивительно удачное сочетание в них различных физико-химических свойств позволило в относительно короткий срок разработать оптимальный способ получения фотографического изображения. Причем практическая фотография значительно определила теоретическое объяснение достигнутых результатов. Правда, в настоящее время этот разрыв довольно быстро сокращается. Но широкое применение фотографии ведет к истощению мировых запасов серебра и его удорожанию.

Кроме кинофотопромышленности, серебро употребляется в приборостроении и электромашиностроении, где используются его свойства отличного малоокисляющегося проводника тока. Химическая промышленность использует серебро для производства предметов лабораторного оборудования, стойких к действию щелочных растворов. Серебро так же идет на изготовление медицинских препаратов (колларгол, протаргол). Значительная доля серебра употребляется ювелирной промышленностью для изготовления драгоценных украшений, серебряной посуды и т.п.

Использование серебряной посуды:

Столовое серебро не только признак благополучия или богатства, но и средство профилактики и здоровья.

Из истории: известно, что за 2500 лет до Рождества Христова египетские воины использовали серебро для лечения своих ран - накладывали на них очень тонкие серебряные пластины, и раны быстро заживали.

Персидский царь Кир, по свидетельству Геродота, во время длительных походов хранил воду только в серебряных бочках. Таким образом ему удалось избежать множества заболеваний, распространенных в то время. В конце XIX столетия швейцарский ботаник Карл Негели установил, что под влиянием серебра, введенного в воду, в ней гибнут все вредные микроорганизмы. Ионы серебра препятствуют размножению болезнетворных бактерий, вирусов и грибков.

Войско великого Александра Македонского двигалось с боями по странам Азии (IV века до нашей эры). После того как войска вступили на территорию Индии, среди воинов начались тяжелые желудочно-кишечные заболевания.

После ряда кровопролитных сражений и пышно отпразднованных побед весной 326 года Александр Македонский вышел к берегам Инда. Однако победить главного своего врага - болезнь - "непобедимое" войско Александра не могло. Воины, истощенные и обессиленные, отказались идти вперед к берегам Ганга, куда влекла Александра жажда завоеваний. Осенью 326 года войска Александра начали отступление. Сохранившиеся описания истории походов Александра Македонского показывают, что рядовые воины болели чаще, чем военачальники, хотя последние находились в походе в одинаковых условиях с рядовыми воинами и в равной степени делили с ними все неудобства и лишения походной жизни. Только через 2250 лет причина различной заболеваемости воинов Александра Македонского была найдена. Она заключалась в разности снаряжения: рядовому воину полагался оловянный бокал, а военачальнику - серебряный.

Кроме того, столовое серебро на протяжении многих веков считалось символом достатка и респектабельности. Известен факт, что в семье графа Орлова, одного из фаворитов Екатерины II, в обиходе был сервиз, состоявший из 3275 серебряных предметов, на изготовление которых ушло более 2 тонн серебра.

Антибактериальные свойства серебра:

На всех космических шаттлах при подготовке к употреблению вода обогащается серебром; на авиалайнерах используются серебряные водяные фильтры. Все чаще при очистке воды в бассейнах применяется серебро - оно не раздражает слизистые оболочки и более эффективно как антисептик. В Японии с помощью серебра очищается воздух. В Швейцарии широко применяют серебряные фильтры в домах и офисах.

Основоположником научного изучения механизма действия серебра на микробную клетку является швейцарский ботаник Карл Нигели, который в 80-е годы ХIХ века установил, что взаимодействие не самого металла, а его ионов с клетками микроорганизмов вызывает их гибель. Это явление он назвал олигодинамией (от греч. «олигос» - малый, следовый, и «динамос» - действие, т.е. действие следов). Ученый доказал, что серебро проявляет олигодинамическое действие только в растворенном (ионизированном) виде.

Немецкий ученый Винцент, сравнивая активность некоторых металлов, установил, что наиболее сильным бактерицидным действием обладает серебро, меньшим - медь и золото.

Большой вклад в изучение антимикробных свойств серебряной воды, ее применения для обеззараживания питьевой воды и пищевых продуктов внесен академиком Л.А. Кульским. Его экспериментами, а позднее и работами других исследователей доказано, что именно ионы металлов и их диссоциированные соединения (вещества, способные распадаться на ионы) вызывают гибель микроорганизмов. Медико-биологическими исследованиями установлено, что бактерицидные свойства серебра объясняются уникальной способностью его ионов блокировать ферменты болезнетворных микроорганизмов, что приводит к их гибели. При этом микроорганизмы, необходимые для жизнедеятельности человека, сохраняются.

Пробы серебра:

Проба (нем. Probe, от лат. probo - испытываю, оцениваю) благородных металлов, количественное содержание золота, серебра, платины или палладия (то есть благородных металлов) в лигатурном сплаве, из которого изготовляются ювелирные изделия, зубопротезные диски, монеты, медали и другое.

Пробы серебра

Вывод: В этой главе изучены области, в которых применяется серебро и его соединения. Серебро очень широко используется во многих отраслях, таких, как медицина, промышленность, химическая промышленность, изготовления ювелирных изделий и многое другое. Серебро - это очень важный химический элемент в нашей жизни.

6. Биогеохимия серебра и его соединений

Роль серебра и его соединений в жизни растений, микроорганизмов

Серебро - постоянная составная часть растений. В морских растениях его около 0,025 мг%, в наземных - 0,006 мг% (от сухого вещества). Серебро, содержащееся в почве, токсично для растений и поглощается гораздо хуже других тяжелых металлов. Бактерицидное действие серебра объясняется тем, что его ионы проникают внутрь микробной клетки и блокируют ее ферменты. От такого же воздействия погибают и многие простейшие (жгутиковые, ресничные). Ионы серебра могут взаимодействовать с тимином и гуанином в молекуле ДНК (у бактерий это сопровождается нарушением функций ДНК, что тормозит их рост и размножение).

Роль серебра и его соединений в жизни животных и человека

Содержание серебра в организмах морских животных составляет 0,3 - 1,1 мг%, наземных - 0,0001 - 0,01 мг% (от сухого вещества). В организме человека его около 1,0 мкг/кг, причем наибольшее количество содержится в легких, печени, мозге, эритроцитах, радужной оболочке глаза и гипофизе.

В организме серебро образует комплексы с белками (глобулинами крови, гемоглобином и др.), блокирует сульфгидрильные группы (HS-), входящие в активные центры многих ферментов, тормозя их активность. Под воздействием серебра миозин - основной белок мышечной ткани человека - теряет способность расщеплять АТФ (аденозинтрифосфат - нуклеотид, играет исключительно важную роль в обмене энергии и веществ в организмах).

В организм серебро попадает в основном с пищей и, в незначительном количестве, с водой. Серебро плохо усваивается и на 90% выводится из организма.

В чистой воде концентрация серебра незначительна: в пресной воде от 0,2-5 мкг/л, а в морской до 0,3-1,0 мкг/л. В загрязненных водах концентрация может достигать десятков мг/л. Туда серебро попадает в основном со сточными водами рудников, металлургических предприятий, фотопроизводств, а также при попадании в воду бактерицидных и альгицидных (уничтожающих водные растения) препаратов. По рекомендации Всемирной организации здравоохранения (ВОЗ) содержание серебра в питьевой воде должно быть не более 0,1 мг/л, по данным СанПиН (Санитарные правила и нормы) - 50 мкг/л.

Серебро относится ко II классу опасности (высокоопасное вещество). При попадании на кожу соли серебра оставляют черные, трудно удаляемые пятна. При длительном накоплении серебра в организме развиваются воспалительные заболевания желудочно-кишечного тракта и печени, возникают аргироз или аргирия (накопление серебра в коже в виде особых образований). При этом изменяется цвет радужной оболочки глаз, пигментация слизистых, кожи от серовато-голубого до аспидно-серого оттенка. Пигментация проявляется очень медленно, в течение почти 10 лет.

По данным ВОЗ, безвредной для человека является доза 10 г. серебра, которую он может получить за всю жизнь (около 70 лет), токсическая доза - 60 мг, летальная - 1,3-6,2 г. Однако мутагенной и канцерогенной активности серебра не выявлено.

Основные источники поступления в организм: Минеральная вода. Продукты животного происхождения: морепродукты (лосось, сардины, креветки).

Наиболее распространенные соединения:3 - нитрат серебра (I).2S - сульфид серебра(I).

Суточное потребление серебра с продуктами питания составляет 0,07 мг.

Нитрат серебра AgNO3 входит в состав лекарственных препаратов, обладающих вяжущим и прижигающим бактерицидным действием.

Ионы серебра подавляют развитие бактерий и в очень низкой концентрации стерилизуют питьевую воду.

Амальгама серебра применяется в стоматологии.

Вывод: Как говорилось уже ранее (см. выше) серебро применяется в различных отраслях промышленности. Но это не все его возможности, серебро - это постоянная часть воды, растений, животных и конечно же человека. В человеческом организме серебро содержится в очень важных органах и исполняет свою определённую роль (легких, печени, мозге, радужной оболочке глаза). Всё это только положительные факторы влияния серебра на организмы, но к сожалению есть и отрицательные факторы. Именно это было рассмотрено в разделе «Биогеохимия серебра и его соединений».

Выводы

1.       Рассмотрены исторические сведения о серебре и его соединениях.

.        Изучены различные лабораторные и промышленные методы получения серебра и его соединений.

.        Показаны основные физические, химические и физико-химические свойства серебра и его соединений.

.        Рассмотрены качественные и количественные методы определения серебра и его соединений.

.        Проанализированы области, в которых применялось и применяется серебро и его соединения. Серебро очень широко используется во многих отраслях, таких, как медицина, промышленность, химическая промышленность, изготовления ювелирных изделий и многое другое.

.        Рассмотрено биогеохимию серебра и его соединений, а также изучено его влияния на человека, растения, животных.

Список использованной литературы

1. Н.С. Зефиров, Н.Н. Кулов, Химическая энциклопедия, том 4, М., 1995

. Пятницкий И.В., Сухан В.В., Аналитическая химия серебра, М., 1975, 256 с.

. #"700653.files/image150.gif"> Антропов Л.И. Теоретическая электрохимия / Л.И. Антропов. 4-е изд.

М.: Высш. шк, 1984. - 519 с.

. #"700653.files/image151.gif"> Ясинскене Э.И., Расевичюте Н.И.Ж. аналит. Химия, 458 (1970)

. Андреасов Л. M., Вайлъ Е.И., Кремер В.А., Шелиховский В.А.Ж. аналит. химии, 657 (1958).

 Кульберг Л.М., Леднева А.М.Ж. аналит. Химия, 2, 131 (1947)

 Рязанов И.П., Хавова И.П. Сборник научных трудов Магнитогорского горно-металлургического ин-та, вып. 16, 141 (1958)

. Коренман И.М. Микрокристаллоскопия. М.-Л., Госхимиздат, 1927

. Бабко А.К., Терлецкая А.В., Дубовенко Л.И.Ж. аналит. химии, 932 (1968).

. http://www.protown.ru/information/hide/5607.html

. www.proserebro.com

. Певцов Г.А., Красильщиков В.З.Ж. аналит. химия, 1100 (1964)

. Пилипенко А.Т.Ж. аналит. химия, 286 (1953)

26. https://bio.1september.ru/article.php?ID=200801006

Похожие работы на - Химия серебра и его соединений с основами биогеохимии

 

Не нашли материал для своей работы?
Поможем написать уникальную работу
Без плагиата!
Без нейросетей!