Расчет лопастной мешалки

  • Вид работы:
    Контрольная работа
  • Предмет:
    Другое
  • Язык:
    Русский
    ,
    Формат файла:
    MS Word
    1,72 Мб
  • Опубликовано:
    2014-03-30
Вы можете узнать стоимость помощи в написании студенческой работы.
Помощь в написании работы, которую точно примут!

Расчет лопастной мешалки

1. Теоретические основы

Основное назначение рассматриваемых в этой главе мешалок - обеспечение равномерного распределения твердой фазы в жидкости, смешение жидкостей с целью приготовления эмульсий, а также интенсификации процессов растворения, теплообмена и химических реакций. Наиболее распространенные типы мешалок, соотношения их размеров и условия работы указаны в табл. II. 1.

Мощность электродвигателя (привода мешалки) рекомендуют [4] рассчитывать по формуле

                                                           (1)

где K1 = Нж/D - коэффициент, учитывающий заполнение сосуда перемешиваемой средой;

Нж- высота слоя жидкости в аппарате, м;- диаметр аппарата, м;

К2 - коэффициент, учитывающий увеличение потребляемой мощности при пуске или повышении сопротивления среды в процессе перемешивания; для большинства случаев К2 = 1;- мощность, затрачиваемая на перемешивание;с - мощность, теряемая в сальнике;

η = 0,85 - 0,9 - коэффициент полёзного действия привода. При перемешивании среды с вязкостью µ > 0,5 н·сек/м2 или при изменении сопротивления среды в процессе перемешивания принимаются следующие значения К2 :

для однолопастных перемешивающих устройств К2 ≤ 2;

для многолопастных, якорных, рамных и турбинных мешалок К2 ≤ 2,5;

для пропеллерных мешалок К2 ≤1,3.

Мощность, затрачиваемая непосредственно на перемешивание среды, может быть определена с помощью критериального уравнения

                                             (2)


где - критерий мощности; N - мощность, затрачиваемая на перемешивание, в Вт;

п - число оборотов мешалки в секунду;

d - диаметр, описываемый мешалкой, м; µ - вязкость перемешиваемой среды , н·сек/м2;

центробежный критерий Рейнольдса; ρ - плотность среды, кг/м3;


центробежный критерий Фруда (учитывается в сосудах без перегородок с быстроходными мешалками при образовании воронки); g- ускорение свободного падения, м/сек2.

Г1, Г2 - симплексы геометрического подобия; , z2 - число лопастей мешалки и число перегородок в сосуде.

Частные выражения уравнения (2) для мешалок различных типов с раскрытыми симплексами геометрического подобия, параметры которых указаны в табл. 1, имеют следующий вид.

мешалка жидкость лопасть привод

Таблица 1. Типы мешалок и их характеристика

 


Мешалка двухлопастная при Reц = 104 - 107

                                      (3)

Мешалка четырехлопастная (угол наклона лопастей 45° при Reц>4·104). В сосуде без перегородок:

                                                        (4)

при движении жидкости вверх

                                                           (5)

В сосуде с перегородками: - при движении жидкости вниз

                                                            (6)

при движении жидкости вверх

                                                               (7)

Мешалка четырехлопастная (лопасти вертикальные) при Reц >4·104:

в сосуде без перегородок

                                                                      (8)

в сосуде с перегородками

                                                                    (9)

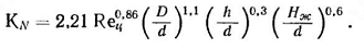
Мешалка якорная (рамная) при Reц= 102÷3·105

                                                                  (10)

где С = 7,9 - для мешалки без горизонтальных лопастей;

С = 10,3 - с одной горизонтальной лопастью;

С = 12 - с двумя горизонтальными лопастями.

Для расчета мощности, потребляемой рамными мешалками, достаточно точных формул нет.

При ориентировочных расчетах можно пользоваться формулами для расчета якорных мешалок.

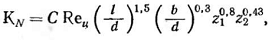
       Мешалка пропеллерная трехлопастная.

- в сосуде без перегородок

(11)

Значение х в зависимости от отношения D/d       

D/d………

2

2,5

3

3,5

4

Х……….

2,8

2,5

2,1

1,5

0,7


- в сосуде с перегородками

                (12)

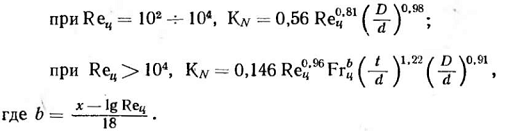
Мешалка турбинная, открытая без направляющего аппарата при Reц>104.

в сосуде без перегородок, мешалка с плоскими лопастями

                                                   (13)

в сосуде с перегородками

                                                (14)

где С = 9,4 - лопасти мешалки плоские;

С = 7,27 - лопасти изогнутые.

Мешалка турбинная закрытая, с шестью изогнутыми лопатками, направляющий аппарат с 20 лопатками при Reц > 104

                                                                           (15)

Мощность, теряемая на трение в сальнике, определяется по формуле

                                          (16)

где р - избыточное давление в аппарате, Н/м2;- коэффициент трения набивки сальника;с - длина набивки сальника, м;в - диаметр вала мешалки, м;

п - число оборотов мешалки в секунду.

Расчет размеров сечений лопастей мешалки производится с учетом изгибающих и крутящих моментов, возникающих от сил сопротивления среды, действующих на отдельные элементы лопасти мешалки.

Сила сопротивления среды, действующая на отдельный плоский элемент лопасти мешалки, определяется по формуле

                                                                     (17)

где N - мощность, затрачиваемая на перемешивание, рассчитанная по уравнению (2), Вт;

ω - угловая скорость вращения мешалки, 1/сек;

α - угол наклона лопасти к горизонтали;- число лопастей мешалки= 2 - для мешалок типов I-IV;- z1- для типов V и VI;


для прямоугольного элемента лопастей рамной, турбинной или якорной мешалки;



- для эллиптического элемента якорной мешалки;


для якорной мешалки, состоящей из прямоугольных элементов и одного эллиптического.


При расчете мешалок, состоящих из прямоугольных элементов (лопастная, рамная, турбинная), член в коэффициенте А не учитывается. При упрощенных расчетах эллиптический элемент может быть заменен прямоугольным равноценной площади.

Элементы мешалки рассматриваются только для одной половины лопасти, что в уравнении ( 4) учтено коэффициентом Z.

При определении коэффициентов В и А принято:- высота элемента лопасти, м; , ri, - наружный и внутренний радиусы элемента, м.б , rб - наружный и внутренний радиусы эллиптического элемента лопасти в направлении большой полуоси эллипса, м;м , rм, - соответственно в направлении малой полуоси эллипса, м.

Расстояние от оси вращения мешалки до точки приложения силы сопротивления Pi :


для прямоугольного элемента лопасти мешалки

для эллиптического элемента лопасти якорной мешалки


Расстояние от большой полуоси эллипса до точки приложения силы Pi


. Расчетная часть

Условия: Рассчитать мощность электродвигателя привода рамной мешалки с двумя горизонтальными лопастями при перемешивании жидкости в аппарате диаметром 600 мм и высотой 900 мм. Вязкость жидкости 0,025 н·сек/м2, плотность 970 кг/м3, давление в аппарате 8·10-5н/м3 диаметр вала мешалки 30 мм. Мешалка вращается с окружной скоростью 2,5 м/сек.

Решение. Принимаем зазор между лопастями мешалки и стенкой аппарата б = 25 мм.

Диаметр мешалки определяется как=0,6·D=600·0.6 = 360 мм;

Высота мешалки (по табл. 1)= 0,6·H = 0,6·900 = 540 мм;

Число оборотов=ω/πd= 2,5/3,14*0,3=2,65 сек-1;

Значение критерия Рейнольдса


Reц=2,65*0,362 *970/0,025=13325;

Для рамной мешалки с двумя горизонтальными лопастями


К N =12*9253,80,77(0,54/0,360)=13590,88*0,2=3599;

Мощность, затрачиваемая на перемешивание

=3599*0,025*2,652*0,363=29 Вт.

Мощность, теряемую в сальнике, определяем по формуле ( 17)с= 9,84* (8*105 + 0,98*105)*2,65*0,032*0,2*0,12= 505,8Вт,

где lс = 4dв = 4*0,03 = 0,12 м - длина набивки сальника.

Мощность электропривода по формуле ( 1)


где К1=0,75Н/D=0,75*900/600=1,125;э=(1,125*29+505,8)/0,85=633 Вт ≈ 0,63 кВт

Далее аналогично рассчитываем мощность затрачиваемую на перемешивание при различных значениях вязкости.

Таблица 2.1 Сводные данные расчета мешалки

Пар-р

µ=0,025

µ=0,25

µ=2,5

µ=25

µ=50

Reц

13325

1333

133

13,3

6,6

К N

3599

104

17

10.26

N

29

50

85

142

168

633

660

707

782

816


Вывод: по сводным данным расчета мешалки реактора было построено несколько зависимостей, мощности затрачиваемая на перемешивание от значения вязкости среды.

В случае пересчета значений на lg(N) и lg(µ) прослеживается четкая прямая зависимость.

Похожие работы на - Расчет лопастной мешалки

 

Не нашли материал для своей работы?
Поможем написать уникальную работу
Без плагиата!
Без нейросетей!