Разработка промежуточного бункера отработанной формовочной смеси для автоматической смесеприготовительной установки РУП 'ГЗЛиН'
Министерство образования Республики
Беларусь
Учреждение образования
«Гомельский государственный
технический университет имени П.О. Сухого»
Кафедра «Машины и технология
литейного производства»
РАСЧЕТНО-ПОЯСНИТЕЛЬНАЯ ЗАПИСКА
к курсовому проекту по курсу
«Оборудование литейных цехов»
на тему: Разработка промежуточного
бункера отработанной формовочной смеси для автоматической смесеприготовительной
установки РУП «ГЗЛиН »
Разработал студент гр. ЛО-51
Стрыгин В.А.
Гомель 2013
Содержание
Введение
. Анализ и выбор конструктивно-технологической схемы
. Технические характеристики, описание работы и правила
эксплуатации
. Анализ модернизируемого узла
. Расчёт элементов, узлов и агрегатов
. Описание работы схемы управления
. Мероприятия по повышению эффективности работы машины,
обеспечения безопасности работы и охране окружающей среды
. Правила ухода за машиной, организация труда и
планово-предупредительный ремонт
Вывод
Список литературы
Введение
Литейное производство - основная заготовительная база машиностроения и
определяющая его дальнейшее развитие.
Основными задачами литейного производства являются:
повышение производительности труда на основе создания и внедрения нового
высокопроизводительного оборудования, комплексной автоматизации производственного
процесса;
улучшение качества, надежности и точности отливок с оптимальным
приближением их размеров к размерам готовых деталей для сокращения объема
механической обработки;
дальнейшее совершенствование организационной структуры литейного
производства.
сокращение затрат на отладку технологии, заменяя натурный эксперимент
вычислительным.
Комплексной механизации и автоматизации должно предшествовать
совершенствование всего производства, его технологии и организации. Комплексное
совершенствование представляет собой плановое осуществление следующих основных
организационно-технических мероприятий.
.специализации, кооперирования и концентрации литейного производства
.организации централизованного производства исходных материалов
.унификации, нормализации и стандартизации отливок, их элементов и
технологической литейной оснастки
.внедрение поточного метода производства отливок
.применение наиболее рациональных технологических процессов получения
отливок высокого качества
Развитие и совершенствование техники, повышение
качества и технического уровня нового оборудования сопровождается процессом
усложнения его конструкции, повышением технических параметров и требований к
надежности, находящихся в прямой зависимости от возросшего многообразия
функций, выполняемых современными автоматизированными системами. Усложняются и
интенсифицируются рабочие процессы машин, повышаются давления рабочей среды,
возрастают усилия и мощность привода, скорости и массы перемещаемых объектов,
повышаются требования к прочности и жесткости деталей.
Таким образом, дальнейшее развитие и совершенствование теоретических
основ и методов расчета, предназначенных для использования при проектировании
машин и механизмов автоматических линий литейного производства, является весьма
актуальной задачей.
Целью курсового проекта является разработка
промежуточного бункера отработанной формовочной смеси для автоматической
смесеприготовительной установки. Разработанное оборудование должно отличаться
высокой производительностью, обеспечивать высокую эффективность, улучшение
условий труда, повышение производительности.
1. Анализ и выбор конструктивно-технологической схемы
В курсовом проекте я разработал бункер-дозатор грузоподъемностью 1200 кг
для приема, взвешивания и загрузки в смеситель набранной в соответствии
рецептурой дозы оборотной смеси и свежего песка.
Рассмотрим на примерах некоторые разработки в этой сфере.
Весы бункерные электронные “Поток”.
Назначение:
Для статического автоматического взвешивание сыпучих продуктов,
поступающих непрерывным потоком, порциями от 60 до 400кг. Производительность до
70т/ч.
При учетных и технологических операциях.
Рисунок 1.1
Достоинства
· Производительность до 70т/час
· Конструкция весов выполнена из углеродистой стали с порошковой
окраской внешних поверхностей
· Высокая надежность за счет использования качественных
комплектующих, электрических и пневматических приводов
· Простота в установке и обслуживании - пусконаладка весов
занимает от 2 часов
· Герметизированный корпус весов, предотвращающий проникновение
пыли
· Возможность изготовления деталей тракта из нержавеющей стали
· Вариант взрывобезопасного исполнения для помещений категории
В-2
Описание работы
Алгоритм работы весов основан на суммировании статически взвешиваемых
порций.
В процессе работы на верхнем индикаторе весового терминала в реальном
масштабе времени отображается текущая масса продукта нарастающим итогом или
текущая производительность.
Режимы работы:
· бесконечное перевешивание потока продукта с максимальной
производительностью
· формирование конечной дозы
· поддержание заданной средней производительности
Стандартная комплектация
· Загрузочное устройство с пневмоприводом
· Несущая рама с защитными крышками
· Весовой бункер с выпускными створками
· Тензодатчики из упрочняемой нержавеющей стали,
герметизированные лазерной сваркой (степень защиты IP 68) и заполненные
инертным газом
· Шкаф управления
· Весовой преобразователь ТВ-009 или ТВ-011 (RS-232/485)
· Паспорт
· Руководство по эксплуатации
· Свидетельство о первичной проверке органа ГМС РФ
· Гарантийные обязательства 18 месяцев
Весы бункерные электронные “Поток-1000”, “Поток-2000”
Рисунок 1.2
· Весовой бункер подвешивается на датчиках Т4 нового поколения
(нержавеющая сталь, IP68)
· Высокая надежность - в конструкции весов применяются
высококачественные комплектующие
Описание: бункерные весы могут работать в режиме бесконечного
перевешивания потока или формирования конечных доз продукта.
Каждый цикл работы весов включает следующие фазы:
· Самодиагностика блока управления при включении напряжения
питания
· Загрузка бункера - верхняя заслонка открыта, нижняя закрыта
· Отсечка потока закрытием верхней заслонки при достижении
заданной массы порции
· Успокоение измерительной системы, взвешивание массы продукта
в бункере
· Разгрузка бункера
· Контроль тары при пустом бункере и закрытых заслонках
· Суммирование нетто с нарастающим итогом
В процессе работы весовой преобразователь отображает текущую массу в
реальном масштабе времени, массу продукта нарастающим итогом, текущую
производительность.
Стандартная комплектация:
· Пневмопривод заслонок
· Тракт (весовой бункер, заслонки) из нержавеющей стали
· Расширенный диапазон рабочих температур (-30... +40°С)
· Врывозащищенное исполнение.
Дозатор хорошо сыпучих продуктов Гамма АКД Т 60…300(П)-3(Т.П)
Рисунок 1.3
Назначение: дозирование в технологическом процессе хорошо сыпучих
продуктов.
Описание работы
После перевода дозатора в рабочий режим, дозатор начинает работать
циклически - происходит набор дозы в весовой бункер в режиме грубо, а последний
отвес дозирование происходит в режиме грубо/точно. По окончанию работы, дозатор
переходит в режим «СТОП», ожидая очередной команды «ПУСК». Возможен вариант
работы, когда дозирование происходит за один отвес в режиме грубо/точно. Во
время работы дозатора, на верхнем индикаторе весового преобразователя
отображается текущий вес в весовом бункере, а на нижнем индикаторе отображается
один из нескольких счётчиков, переключаемых по кольцу: количество отвесов,
суммарный вес отдозированного продукта, производительность дозатора т/ч и др.
Стандартная комплектация
· Весовой бункер на раме, две секторных заслонки с пневмо или
электроприводом
· Шкаф управления с пускорегулирующей аппаратурой
· Шкаф пневматики (в случае с электроприводом заслонок не
поставляется)
· Весовой преобразователь-контроллер ТВ-009. В ближайшее время
будет заменён на ТВ-011 (RS-232/485), нержавеющая сталь, IP65 по лицевой панели
· Паспорт, руководство по эксплуатации
· Свидетельство о первичной проверке органа ГМС РФ
Дозатор малых добавок в технологическом процессе Гамма ДМД
Рисунок 1.4
Назначение
Дискретное дозирование плохо сыпучих материалов в технологических линиях
предприятий пищевой, перерабатывающей, химической, металлургической,
горнорудной, цементной, строительной промышленности и сельского хозяйства.
Режим работы
· в режиме вычитающего дозатора - выпуск фиксированных доз
продукта из весового бункера и пополнение этого бункера в промежутках между
дозированиями;
· в режиме убывающего дозатора - выпуск продукта непрерывно с
заданной скоростью, пополнение весового бункера во время непрерывного
дозирования;
· возможен режим задания фиксированной производительности и
режим отслеживания внешнего задающего сигнала.
Стандартная комплектация
· дозатор с объемом весового бункера до 40 литров;
· шнековый питатель диаметром 88 мм, предназначенный для
периодического пополнения дозатора;
· дозатор с мотор-редуктором, вертикальным шнеком и
ворошителем, ёмкостью до 40 литров;
· шкаф автоматики с весовым терминалом ТВ 011 управляющий
пополняющим шнеком и приводом;
· частотный привод для регулирования скорости расхода продукта
из дозатора.
Недостатки
возможность дозирования достаточно мелких материалов
сложность конструкции
Дозатор песка и других инертных материалов Гамма 2000-1
Рисунок 1.5
Назначение
Дозирование в технологическом процессе до трёх (двух) компонентов, таких,
как щебень, песок и т.п., в том числе применительно к БСУ.
Описание работы
Дозатор работает либо под управлением от локального шкафа управления,
либо под управлением системы АСУ. В случае управления от локального шкафа
управления, каждый процесс дозирования либо слива набранной дозы осуществляется
по нажатию оператором соответствующей кнопки на дверце шкафа «ДОЗИРОВАНИЕ» либо
«РАЗГРУЗКА ДОЗАТОРА». Возможен вариант работы в режиме грубо/точно. Во время
работы дозатора, на верхнем индикаторе весового преобразователя отображается
текущий вес в весовом бункере, а на нижнем индикаторе отображается один из
нескольких счётчиков, переключаемых по кольцу: количество отвесов, суммарный
вес отдозированного продукта и др. В случае управления от дозатором от системы
АСУ, можно создавать базу рецептов, корректировать существующие рецепты,
задавать количество циклов дозирования, вести учёт продукта и т.д. Имеется
возможность управления другим оборудованием, в том числе другими дозаторами,
смесителем и т.п.
Стандартная комплектация
· Весовой транспортёр на несущей раме для подвески к перекрытию,
три дозирующих заслонки с невмоприводом или весовой весовой бункер на несущей
раме для подвески к перекрытию разгрузочная заслонка с невмоприводом, две
дозирующих заслонки с невмоприводом
· Шкаф управления с пускорегулирующей аппаратурой
· Весовой преобразователь-контроллер: в случае с локальным
шкафом управления ТВ-003/05Д. В ближайшее время будет заменён на ТВ-011
(RS-232/485), нержавеющая сталь, IP65 по лицевой панели; в случае управления от
системы АСУ ТВ-006
Универсальный дозатор непрерывного действия “Альфа ДЛТ-40У” для сыпучих
материалов.
Назначение
Рисунок 1.6
Автоматическая стабилизация массового расхода сыпучих материалов при
выпуске из емкостей в технологические процессы. Применяется в химической,
пищевой, перерабатывающей и в др. отраслях промышленности, в производстве
стройматериалов.
· Дозирует любые сыпучие продукты - от пылевидных до зернистых
· Лотковый тензометрический преобразователь расхода
нечувствителен к налипанию продукта
· Модульная конструкция: единый модуль первичного
преобразователя массового расхода материала, сменные модули питателей -
заслоночный, ленточный, барабанный и т.п. - по выбору Заказчика
· Заслоночный модуль питателя с бесступенчатой настройкой
верхнего предела дозирования
· Компактная, простая, износостойкая конструкция, легко очищается,
не выделяет пыли в окружающую среду
Функции
· Измерение и регулирование расхода материала
· Отображение текущего и заданного расходов
· Дискретное дозирование материала (опция)
· Автоматическое отмеривание заданной дозы материала (опция)
· Блокировка выпуска материала по внешним сигналам
· Работа в распределенных АСУ ТП в качестве автономной
подсистемы с возможностью связи по аналоговым и цифровым каналам.
Обычное исполнение:
· Измерительно-дозирующее устройство в составе: модуль
первичного преобразователя с лотковым тензометрическим чувствительным
элементом, модуль питателя (конструкция - по выбору покупателя)
· для дозаторов с заслоночным питателем: шкаф автоматики с
вторичным весовым преобразователем и самонастраивающимся ПИД-контроллером.
Аналоговые и дискретные входы/выходы, интерфейс RS-485 (протокол ModbusRTU)
· для дозаторов с асинхронным приводом питателей: шкаф
автоматики с вторичным весовым преобразователем, самонастраивающимся
ПИД-контроллером и преобразователем частоты. Аналоговые и дискретные
входы/выходы, интерфейс RS-485 (протокол ModbusRTU)
· комплект соединительных кабелей, паспорт, руководство по
эксплуатации
· свидетельство о калибровке
Расходомер сыпучих материалов серии “Лотос”
Рисунок 1.7
Назначение
Автоматический непрерывный контроль массового расхода зернистых,
порошкообразных и пылевидных сыпучих материалов в свободно текущем потоке.
Применяется для автоматической дозированной загрузки транспортных средств, для
непрерывного смесеприготовления, в системах регулирования соотношения потоков,
т.п. Относится к нестандартизованным средствам измерения, не подлежащим
госпроверке.
Достоинства
· Возможность измерения расхода материалов с повышенной абразивностью
и нагретых до 150OС
· Конструкция защищена патентом РФ, не имеет подвижных частей,
гигиеничная
· Конструкция легко встраивается в технологические коммуникации
· Удобное обслуживание, не требующее высокой квалификации
Недостатки
чувствителен к налипанию материала
небольшая производительность
Проведя анализ приведенного оборудования можно сделать вывод, что каждое
из изобретений, рассмотренных выше, имеет свои недостатки (большую стоимость,
малую грузоподъемность, малый диапазон рабочих температур, небольшой предел
дозирования, малый объем весового бункера).
Учитывая, эти недостатки, я решил разработать
бункер-дозатор нового поколения, который будет отвечать необходимым
требованиям.
2. Технические характеристики, описание работы и правила эксплуатации
машины
Бункер-дозатор грузоподъемностью 1200 кг служит для приема, взвешивания и
загрузки в смеситель набранной в соответствии рецептурой дозы оборотной смеси и
свежего песка.
Рисунок 2.1 Бункер-дозатор грузоподъемностью 1200 кг
Таблица 2.1 Технические характеристики
|
Наименование параметров
|
Данные
|
|
Объем бункера (полезный) м3
|
1
|
|
Максимальный вес суммарной
дозы
|
|
|
взвешивающих компонентов,
кг
|
1200
|
|
Погрешность взвешивания, кг
|
10
|
|
Тип тензометрических
датчиков
|
BSA,Рнсм=1000 кг
|
|
Рабочее давление в
пневмосистеме, Мпа
|
0.5…0.6
|
|
Расход воздуха, м3/ч
|
1.0
|
|
Габаритные размеры в сборе
с
|
|
|
устройством взвешивающим,
мм
|
|
|
Длина
|
1714
|
|
ширина
|
1954
|
|
высота
|
1743
|
|
Масса, кг
|
710
|
Весовой бункер-дозатор оборотной смеси состоит из:
устройства грузоприемного с челюстным затвором;
привода челюстного затвора (два пневмоцилиндра);
устройства воспринимающего с 3-мя тензодатчиками;
датчиков влажности и датчика температуры.
Работа бункера-дозатора происходит следующим образом.
На пульте устанавливается требуемая доза горелой земли. При закрытых
челюстях затвора поз.5 устройства грузоприемного дается команда на включение
ленточного транспортера горелой земли.
Смесь горелой земли и свежего песка поступает в бункер-дозатор. По
достижении веса смеси заданной на пульте дозы, тензометрическая система
отключает питатель горелой земли. В течение 10…20 сек. Происходит измерение
влажности набранной дозы и выдается команда в систему управления о необходимой
дозе воды. После чего от соответствующей кнопки пульта управления (или в
соответствии с циклограммой работы смесителя) происходит открытие челюстей
затвора бункера и смесь поступает в чашу смесителя.
Правила эксплуатации оборудования:
необходимо проводить осмотр состояния тензометрических датчиков;
проводить очистку от пыли и просыпей материала наружных поверхностей
бункера;
проводить осмотр состояния электро и пневморазводки на предмет
присутствия механических повреждений.
При увеличении погрешности взвешивания от паспортной необходимо
произвести калибровку тензосистемы бункера-дозатора в соответствии с
указаниями.
3. Анализ разработанного узла
Разработанное оборудование служит для приема,
временного хранения, взвешивания и загрузки в смеситель набранной в
соответствии с рецептурой дозы оборотной смеси и свежего песка. Что в свою
очередь улучшает производительность смесеприготовительной установки, происходит
автоматизация операций по дозированию и загрузке в смеситель оборотной смеси и
свежего песка, процесс исполняется одним рабочим, который осуществляет свои
действия с пульта управления - уменьшается количество рабочих, сохраняется
огромное количество средств.
Применение высокотехнологичных датчиков влажности,
температуры, положения, сочетание технических решений позволяет не только
получать довольно высокое качество состава смеси, но и значительно повышает
оперативность работы смесителя.
Простота конструкции и монтажа значительно снижает экономические затраты
на обслуживание и эксплуатацию оборудования.
4. Расчёт пневмоцилиндра
Пневмоцилиндры являются исполнительными механизмами
пневмосистем и предназначены для преобразования энергии сжатого воздуха в
механическое линейное перемещение.

Рис.4.1 Пневмоцилиндр С95 SDT
100-400
Диаметр зажимных пневмоцилиндров без учета их быстродействия
определяют, исходя из заданного усилия Р2 (при зажиме или
транспортировании). Результирующая сила, преодолеваемая силами давления, в
общем случае равна сумме значений вредного Р1 (сила трения),
полезного Р2 сопротивления, веса Р3 поршня и перемещаемых
частей привода (при вертикальном положении цилиндра), а также силы Р0
предварительного натяжения пружины
Р = Р2 +Р3; (4.1)
Диаметр транспортирующего пневмоцилиндра расположенного вертикально
определяется по формуле:

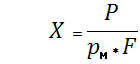
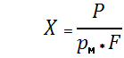
м.
где Χ - безразмерный параметр нагрузки; kтр -
коэффициент, учитывающий потери на трение в пневмоцилиндре, pM -
минимальное абсолютное давление в магистрали или на выходе редукционного
клапана,Pм=0,6.
Ориентировочные значения kтр для различных величин полезной
нагрузки при уплотнении манжетами и магистральном давлении 0,5- 0,6 МПа приведены
ниже:
Таблица 4.1
|
P, кН
|
До 0,60
|
0,60 - 6,0
|
25 - 60
|
|
kтр
|
0,5 - 0,2
|
0,2 - 0,12
|
0,12 - 0,08
|
0,08 - 0,05
|
Большие значения kтр принимают для меньших диаметров
пневмоцилиндров.
Безразмерный параметр нагрузки:

; (4.3)

;
P=0,0762 кН
где
F - площадь поршня.
Для
транспортирующих пневмоцилиндров оптимальное значение Χ = 0,4 - 0,5, при Х>0,5 время срабатывания
пневмоцилиндра значительно возрастает, малые значения Χ (0,1 - 0,2) свидетельствуют о неэффективном
использовании пневмоцилиндра, но могут быть необходимы для получения
максимальной скорости срабатывания. Диаметр штока Dш определяется условиями его
прочности в наиболее опасном сечении и возможным выходом его из устойчивого
положения:

; (4.4)
где Р - максимально возможное усилие на штоке;

-
допускаемое напряжение материала штока на прочность.
Dш=1,13
=0,028м
Определив
диаметр штока в наиболее опасном сечении, конструктивно выбирают способ
крепления и посадочный диаметр под поршень. Искомый диаметр штока принимают
несколько большим посадочного диаметра, округляя его до ближайшего по ГОСТ
6540-68 значения. D посадочный принимаем 100 мм=0,1м Расход воздуха,
приведенного к нормальным условиям, определяют по следующим формулам: ; (4.5)
где nд - число двойных ходов.
Q=0.785()
=0,00028
м3/с
Условие
прочности пневмоцилиндра при нагрузках соблюдается.
. Описание работы схемы управления
Весовой бункер-дозатор оборотной смеси состоит из:
устройства грузоприемного с челюстным затвором;
привода челюстного затвора (два пневмоцилиндра);
устройства воспринимающего с 3-мя тензодатчиками;
датчиков влажности и датчика температуры.
Загрузка оборотной смеси и свежего песка в бункер-дозатор производиться
ленточным питателем заказчика.
На бункере установлены два пневмоцилиндра привода челюстного затвора с
двумя датчиками положения открытого и закрытого состояния затвора.
Створки затвора уплотняются резиновыми прокладками, предотвращающими
просыпание загружаемого компонента.
Внутри бункера расположены датчик температуры зонда измерения влажности
смеси.
Устройство воспринимающее предназначено для установки на него устройства
грузоприемного. Рама нижняя устройства воспринимающего четырьмя платиками
опирается на раму металлоконструкции. На нижней раме установлены три
тензодатчика. Рама тремя опорами устанавливается через упоры на воспринимающие
выступы датчиков.
Для устранения возможных перемещений грузоприемного устройства с рамой в
горизонтальной плоскости к рамам крепятся уголки с тягами.
В нерабочем положении рама с бункером опирается на крюки с опорными
втулками. Крюки служат также для транспортировки.
Управление работой бункера-дозатора осуществляется с пульта управления
”Системы управления участка смесеприготовления” ТЕХ - 0455-800.
. Мероприятия по повышению эффективности работы автомата, обеспечению
безопасности и охране окружающей среды
Перед эксплуатацией машины необходимо внимательно ознакомиться с
руководством и уяснить особенности конструкции всех механизмов.
.Конструкция бункера-дозатора выполнена в соответствии с ГОСТ 12.2003-74.
. К работе связанной с эксплуатацией, обслуживанием и ремонтом бункера-дозатора
может быть допущен персонал ознакомленный с конструкционным устройством
дозатора и инструктированный по технике безопасности.
. Категорически запрещается:
производить ремонтные и регулировочные работы при наличии давления
сжатого воздуха в пневмосистеме.
выполнять работы связанные с устранением неисправностей
электрооборудования бункера-дозатора без снятия напряжения в сети
электропитания.
производить сварочные работы при установленных и назначенных к системе
управления тензодатчиках.
При необходимости производства сварочных работ в бункере-дозаторе
необходимо отключить питание шкафа управления и выполнить надежное заземление
места сварки.
7. Правила ухода за машиной, организация труда и
планово-предупредительный ремонт
Качество ремонта и время простоя оборудования зависят
от своевременного и полного проведения подготовительных мероприятий. Поэтому до
вывода оборудования в ремонт заготавливают необходимые материалы и запасные
части, проверяют и приводят в исправное состояние инструмент, приспособления и
средства механизации, т.е. подготавливают материально-техническую базу ремонта.
В то же время планируют проведение необходимых мероприятий по требованиям
безопасности и противопожарной защите.
С началом ремонта оборудование отключают от сети, а по окончании -
включают в сеть. Руководство ремонтом осуществляет специально назначенное
ответственное лицо, которое координирует работу всех ремонтных бригад, отвечает
за качество ремонта, производственную дисциплину, начало и окончание работ,
обеспечивает безопасные условия труда, ведет учет трудовых и материальных
затрат. Ремонт выполняют согласно проекту организации работ.
Мероприятия по оздоровлению условий труда в
смесеприготовительном отделении обеспечивается комплексом
санитарно-технических, профилактических и организационных мероприятий. В
отделении применяют механическую приточную вентиляцию, которая сочетается с
естественной.
Правила безопасного проведения работ.
1.Необходимо проводить осмотр состояния тензометрических датчиков;
.Проводить очистку от пыли и просыпей материала наружных поверхностей
бункера;
.Проводить осмотр состояния электро и пневморазводки на предмет
присутствия механических повреждений.
При увеличении погрешности взвешивания от паспортной необходимо
произвести калибровку тензосистемы бункера-дозатора в соответствии с
указаниями.
бункер дозатор весовой пневмоцилиндр
Вывод
По результатам проведенной работы можно сделать
определённые выводы по оценке технологичности оборудования, по экономическому
эффекту от разработки и эффективности разработки с точки зрения литейного
производства.
В результате разработки промежуточного
бункера-дозатора грузоподъемностью 1200 кг для автоматической
смесеприготовительной установки существенным изменением является увеличение
производительности, сокращение трудозатрат, автоматизация операций.
Разработанный бункер-дозатор обслуживает один рабочий, что позволяет убрать
остальных рабочих, которые были ранее задействованы. Автоматизация процесса и
использование современных дозирующих устройств увеличивают производительность,
точность состава смеси.
Простота конструкции и монтажа значительно снижает экономические затраты
на обслуживание и эксплуатацию оборудования.
Разработка промежуточного бункера-дозатора для автоматической
смесеприготовительной установки удовлетворяет всем требованиям, которые
предъявляются к современным оборудованиям нового поколения.
Список литературы
1. Аксёнов П.Н. Оборудование литейных цехов. - М.:
Машиностроение, 1977.- с 54-57.
2. Анурьев В.И. Справочник конструктора - машиностроителя:
в 3-х т. Т.3-5-е изд., перераб. и доп. - М.: Машиностроение, 1978. - 557с., ил.
3. Горский А.И. Расчёт машин и механизмов автоматических
линий. - М.: Машиностроение, 1978.
4. Дарков А.В., Шпиро Г.О. Сопротивление материалов. - М.:
Высшая школа, 1975.
5. Карпенко В.М., Методические указания № 2665,
“Оборудование литейных цехов”.Гомель 2002г.
. Кузьмин А.В., Макейчик Н.Н., Калачёв В.Ф. Курсовое
проектирование деталей машин. Справочное пособие. Мн.: Высшая школа, 1982.
7. Шейнблит А.Е. Курсовое проектирование деталей машин. -
М. Высш. шк., 1991. - 432 с.: ил.