Моделирование процесса замедленного коксования

  • Вид работы:
    Курсовая работа (т)
  • Предмет:
    Химия
  • Язык:
    Русский
    ,
    Формат файла:
    MS Word
    401,29 Кб
  • Опубликовано:
    2013-11-03
Вы можете узнать стоимость помощи в написании студенческой работы.
Помощь в написании работы, которую точно примут!

Моделирование процесса замедленного коксования

СОДЕРЖАНИЕ

Введение

1. Химическая схема процесса

2. Формализованная схема процесса

3. Кинетическая модель процесса

4. Влияние различных технологических параметров на УП        

4.1 Зависимость УП от начальной концентрации исходных реагентов

4.2 Зависимость УП от избытка второго реагента

4.3 Зависимость УП от степени превращения

4.4 Зависимость УП от температуры процесса

5. Анализ селективности процесса

5.1 Анализ селективности в зависимости от начальной концентрации основного реагента

5.2 Анализ селективности в зависимости от избытка второго реагента

5.3 Анализ селективности в зависимости от степени конверсии основного реагента

6. Влияние на селективность типа реактора и способа ввода сырья

6.1 Сравнение различных реакторных схем

7. Анализ селективности в зависимости от температуры процесса

8. Расчет параметров обеспечивающих наибольшую удельную производительность и наилучшую селективность

8.1 Расчет параметров обеспечивающих наибольшую удельную производительность

8.2 Расчет параметров обеспечивающих наилучшую селективность

9. Выбор наилучшей реакторной схемы

Выводы

Список использованной литературы

ВВЕДЕНИЕ

Целью данной работы является выбор наилучшей реакторной схемы исходя из кинетических зависимостей протекания реакции.

В качестве объекта исследования выбран процесс замедленного коксования. Популярность коксования жидкого сырья во всем мире связана с тем, что наряду с получением нефтяного кокса в процессе реализуется целый ряд технологий, которые и обеспечивают его широкое применение в производстве топлив, полученных из тяжелых нефтяных остатков первичной и вторичной переработки нефти, обеспечивая тем самым безотходность производства.

Особо актуальными являются вопросы, связанные с повышением эффективности использования основного наиболее дорогостоящего оборудования установок замедленного коксования за счёт ведения процесса коксования в оптимальном режиме.

Реакторы являются основными аппаратами установок замедленного коксования (УЗК). В них происходит формирование и накопление нефтяного кокса - целевого продукта процесса, и, следовательно, правильно выбранный аппарат определяет технико-экономичес­кие показатели работы установки в целом.

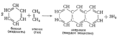
. ЗАПИСАТЬ ХИМИЧЕСКИЕ УРАВНЕНИЯ ПРОЦЕССА ПОЛУЧЕНИЯ ЦЕЛЕВОГО ПРОДУКТА С УЧЕТОМ ХИМИЧЕСКИХ УРАВНЕНИЙ ПОБОЧНЫХ РЕАКЦИЙ, УЧИТЫВАЕМЫХ В МАТЕРИАЛЬНОМ БАЛАНСЕ.

Химические превращения углеводородов в процессе замедленного коксования весьма разнообразны и сложны, но схематически их можно разделить на две основные группы[1]:

) реакции распада, при которых молекулы исходного сырья расщепляются на более мелкие молекулы и выделяются в газовую фазу;

) реакции полимеризации и уплотнения, при которых молекулы сырья, получившиеся при первоначальном распаде соединяются в новые молекулы другого строения. В результате образуются высокомолекулярные продукты, бедные водородом (смолы, асфальтены, карбоиды, кокс).

Реакциями распада в газовой фазе можно пренебречь, так как их вклад не значителен, а продукты отводятся из реактора.

Реакций конденсации в процессе коксования огромное количество. Наиболее склонны к реакциям уплотнения и образования кокса ароматические углеводороды. Предельные, или парафиновые углеводороды способны только к реакциям распада и не вступают в реакции уплотнения. Нафтены занимают промежуточное положение. Непредельные углеводороды играют значительную роль в процессах коксообразования, особенно когда они вступают в реакции соединения с ароматическими углеводородами.

Некоторые реакции конденсации и циклизации[2]:


Конденсированные ароматические соединения, находясь в зоне высоких температур, продолжают уплотняться, и таким образом появляются ещё более высокомолекулярные соединения, составляющие смолы, асфальтены и наконец, карбоиды (кокс).

Основными реакциями, влияющими на скорость процесса считаются реакции разложения и конденсации нативных и вторичных асфальтенов[4]:

асфальтены              кокс + легкие продукты

Таким образом, процесс образования кокса является цепью последовательно протекающих реакций. Конечный продукт - кокс (карбоиды) - получается не сразу, а через ряд промежуточных соединений. Такими промежуточными соединениями и являются продукты конденсации и полимеризации, смолы и асфальтены.

Схематически это можно изобразить следующим образом:

Углеводороды           смолы           асфальтены        кокс

Наиболее полно отражает образование кокса схема, из которой видно, что лимитирующей реакцией является реакция коксования асфальтенов вторичного происхождения:


2. ПРОИЗВЕСТИ ФОРМАЛИЗАЦИЮ РЕАКЦИИ С ОТНЕСЕНИЕМ РЕАКЦИИ К НАИБОЛЕЕ БЛИЗКОМУ ВИДУ ТИПОВЫХ РЕАКЦИОННЫХ СХЕМ

Как было написано выше, кокс является продуктом ряда последовательных реакций конденсации различных углеводородов, через один промежуточный продукт - асфальтен. Собственно последовательные реакции с разными реагентами на каждой стадии (в них А- асфальтены, B-кокс, G- газообразные продукты, Ar-ароматические углеводороды,Y- непредельные углеводороды (алкены, алкадиены, алкины и т.д.), С-смолы):

                                     А1                            Aос.                  B+G

  Ar+Y          C+G          G + A2

                       C

Эту схему можно упростить, зная, что реакции конденсации ароматических, непредельных, смол и первичных асфальтенов идут с достаточно высокой скоростью, по сравнению непосредственно с реакциями коксования асфальтенов, образующих студень, который затем превращается в коксовый пирог.

Таким образом, можно представить формализованную схему:

А              Aос.            B + G

3. СФОРМУЛИРОВАТЬ КИНЕТИЧЕСКУЮ МОДЕЛЬ ПРОЦЕССА И ОТНЕСТИ ЕЕ К НАИБОЛЕЕ БЛИЗКОМУ ВИДУ ТИПОВЫХ РЕАКЦИОННЫХ СХЕМ

Рассмотрим обе реакции из формализованной схемы:

1)           Скорость первой реакции зависит от температуры: до 400-4300С лимитирующей стадией будет стадия выделения асфальтенов из раствора, идущее по схеме[2]:


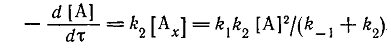
Она является обратимой. Скорость реакции описывается уравнением:


С дальнейшим повышением температуры накопление кокса происходит с той же скоростью, что и образование асфальтенов, так как при достижении определенной пороговой концентрации асфальтенов в растворе смол и тяжелых масел этот раствор застудневает и начинается образование кокса (реакция 2), реакция 1 становится необратимой и описывается уравнением:

- практически константа скорости диффузии, а k2- константа скорости выделения ассоциатов из раствора мало зависит от температуры.

Тогда

Коксование асфальтенов, идет по цепному механизму, который может быть описан следующей схемой:


(A'.)xA. - неактивный радикал, свободная валентность которого делокализована или экранирована алкильными и другими груп­пами, или:


где А - молекула асфальтенов; М - молекула относительно легких продуктов разложения, выделяющихся в газовую фазу.

Различие в кинетике разложения нефтяных нативных асфальтенов и асфальтенов вторичного происхождения вызвано тем, что в первом случае цепи обрываются по реакции (2а), а во втором - по реакции (4).

При обрыве цепей по реак­ции (4) скорость суммарной реакции описывается уравнением:


С учетом клеточного эффекта получим такое уравнение:


Где b2a/b4 ≈ 103, ED ≈ 250 кДж*моль-1, E ≈ 20-40 кДж*моль-1

Таким образом, в общем виде можно написать:


где А - молекула асфальтена выпавшего в осадок

Реакция 2 является целевой, проведем расчеты различных реакционных схем именно по этой реакции.


4. ПРОАНАЛИЗИРОВАТЬ ВЛИЯНИЕ ПАРАМЕТРОВ ИЗУЧАЕМОГО ПРОЦЕССА НА УДЕЛЬНУЮ ПРОИЗВОДИТЕЛЬНОСТЬ РЕАКТОРОВ, НАИБОЛЕЕ ПРИМЕНИМЫХ ДЛЯ ОСУЩЕСТВЛЕНИЯ РЕАКЦИИ ДАННОГО ТИПА:

Для необратимых реакций, описываемых кинетическим уравнением такого типа как , большое влияние оказывают такие параметры как: начальная концентрация реагентов, степень конверсии и температура.

4.1 Зависимость УП от начальной концентрации исходных реагентов

Процесс замедленного коксования является одним из видов процессов термических превращений углеводородов в жидкой фазе. Он осуществляется в реакторах, наиболее приближенным к реакторам полного смешения периодического действия(ИПР), так как на производстве используется 3 реактора, то процесс получения кокса непрерывен, то есть условия приближены к РПС. В расчетах будем сравнивать работу именно ИПР и РПС, так как использование РИВ или каскада РПС, невозможно, из-за того, что в процессе образуется готовый продукт, представляющий собой твердую фазу.

В расчетах примем, что селективность равна 1.

Выражение для удельной производительности ИПР имеет вид[3]:

.

Выражение для удельной производительности РПС имеет вид:

.

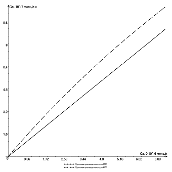
Составим график зависимости удельной производительности по коксу от начальной концентрации асфальтенов с учетом при температуре 5000С (773К) , ХА=0,5 и =1, t0=24ч

Таблица 1. Зависимость удельной производительности РПС и ИПР от начальной концентрации асфальтенов.

СА,0, 10-6 моль/л

0,2

1,0

2,8

5,0

7,2

GВ,РПС,10-7 моль/л с

0,25

1,26

3,54

6,32

9,10

GВ,ИПР, 10-7 моль/л с

0,36

1,77

4,69

7,88

10,7


Рисунок 1. График зависимости удельной производительности от начальной концентрации.

Таким образом, увеличение начальной концентрации реагента способствует увеличению удельной производительности реакторов, причем это прямо пропорциональная зависимость.

4.2 Избытка второго реагента

Избыток второго реагента не влияет на удельную производительность реактора, так как реакция, проходящая в реакторе, первого порядка.

.3 Степени конверсии сырья

Составим график зависимости удельной производительности РПС и ИПР по коксу от степени конверсии асфальтенов с учетом при температуре 5000С , СА,0=7,2*10-6 моль/л,  =1, t0=24ч.

Таблица 2. Зависимость удельной производительности РПС и ИПР от степени конверсии асфальтенов.

ХА

0

0,2

0,4

0,6

0,8

GВ,РПС,10-7 моль/л с

18,2

14,6

10,9

7,3

3,6

GВ,ИПР, 10-7 моль/л с

0

9,6

10,9

10,2

8,2


Рисунок 2. График зависимости удельной производительности от степени конверсии.

Как видно, удельная производительность РПС обратно пропорциональна степени конверсии асфальтенов, а ИПР имеет максимум.


Зная формулы для нахождения удельной производительности для РПС и ИПР составим график зависимости удельной производительности РПС по коксу от температуры с учетом , XA=0,5 , СА,0=7,2*10-6 моль/л,  =1, t0=24ч [1].

Таблица 3. Зависимость удельной производительности РПС и ИПР от температуры

T,0C

470

490

510

530

550

GВ,РПС,10-7 моль/л с

1,47

5,04

16,20

49,13

141,20

GВ,ИПР, 10-7 моль/л с

2,05

6,46

16,65

31,86

45,07


Рисунок 3. График зависимости удельной производительности реакторов от температуры

Как видно, повышение температуры способствует повышению удельной производительности РПС и ИПР.

Повышение температуры при данном давлении утяжеляет со­став жидкой фазы, но одновременно для данного растворителя снижает растворимость асфальтенов. Для тяжелых остатков нефти, содержащих много полициклических аренов и смол, являющихся хорошими растворителями асфальтенов, повышение температуры примерно до 460 °С не переводит их в плохие, и коксообразование при концентрации ниже пороговой не происходит. Если же сырье малоароматизованное, содержит много алканов, то повышение температуры приводит к выделению асфальтенов из раствора и образуется кокс[4].


5. ПРОАНАЛИЗИРОВАТЬ ВЛИЯНИЕ НА СЕЛЕКТИВНОСТЬ ПАРАМЕТРОВ ИЗУЧАЕМОГО ПРОЦЕССА В РЕАКТОРАХ, НАИБОЛЕЕ ПРИМЕНИМЫХ ДЛЯ ОСУЩЕСТВЛЕНИЯ РЕАКЦИИ ДАННОГО ТИПА

В этом разделе проведем анализ влияния на селективность параметров процесса в реакторах полного смешения, которые наиболее часто применяются для проведения жидкофазных процессов.

.1 Начальной концентрации реагентов

Для данного типа реакций селективность целевой реакции для реакторов полного смешения периодического и непрерывного действия вычисляется по формуле[3]:

 


Составим таблицу значений селективности в зависимости от разной начальной концентрации асфальтенов при ХА = 0,96, k1 = 109 л/моль*с, k2 = 0,253 с-1.

Таблица 4 Значение селективности целевой реакции в зависимости от начальной концентрации асфальтенов.

СА,0, 10-6 моль/л

0,2

0,4

0,6

0,8

1,0

0,5690,7250,7980,8410,868






Рисунок 4. График зависимости селективности целевой реакции в реакторах полного смешения от начальной концентрации реагента А.

Из рисунка видно, что селективность увеличивается при увеличении начальной концентрации асфальтенов.

.2 Избытка второго реагента


Из уравнения видно, что селективность не зависит от избытка второго реагента, а это означает, что при любых концентрациях исходных веществ селективность по целевой реакции будет постоянной и зависящей только от степени конверсии и начальной концентрации реагента А.

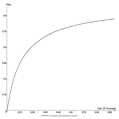
.3 Степени конверсии сырья


Характерным для последовательных реакций является сильное влияние на селективность степени конверсии.

Составим таблицу при СА,0 = 0,01*10-6 моль / л , ХА = 0,96, k1 = 109 л/моль*с, k2 = 0,253 с-1.

Таблица 5. Зависимость селективности от степени конверсии асфальтенов.

ХА

0

0,2

0,4

0,6

0,7

0,8

0,85

0,9

0,95

10,9920,9730,9130,8360,6640,5110,3050,094











Рисунок 5. Зависимость селективности реактора полного смешения от степени конверсии реагента А.

Из графика видно, что с ростом степени конверсии основного реагента селективность целевой реакции падает

. ПРОАНАЛИЗИРОВАТЬ ВЛИЯНИЕ НА СЕЛЕКТИВНОСТЬ ТИПА РЕАКТОРА И СПОСОБА ВВЕДЕНИЯ РЕАГЕНТОВ ДЛЯ ОСУЩЕСТВЛЕНИЯ РЕАКЦИИ ДАННОГО ТИПА

.1 Сравнить различные реакторные схемы

Для последовательных реакций характерна падающая кривая зависимости селективности от степени конверсии.

При использовании РИВ наиболее полно подавляются побочные реакции. Но в процессе коксования практически невозможно проследить за ходом всех реакций и определить какая реакция является побочной, а какая нет. Кроме того, использование РИВ в процессе замедленного коксования невозможно ввиду образования и накопления твердой фазы в реакторе. Все это также характерно для и для каскада РПС.

Таким образом, для проведения процесса замедленного коксования стоит выбор между использованием периодического или непрерывного реактора полного смешения, их влияние на селективность одинаково. Тем более в реакциях коксования селективность при не высоких степенях конверсии практически не снижается менее 0,9 из-за изменения температуры или начальной концентрации асфальтенов.





. ПРОАНАЛИЗИРОВАТЬ ВЛИЯНИЕ НА СЕЛЕКТИВНОСТЬ ТЕМПЕРАТУРЫ

Составим таблицу при СА,0 = 1*10-6 моль / л, ХА = 0,9, варьируя температуру получим значения селективности.

Таблица 6. Значения селективности реакторов полного смешения в зависимости от температуры.

Т,0С

470

490

510

530

550

0,9960,9880,9610,8910,739







Рисунок 6. График зависимости селективности реактора полного смешения от температуры.

Из графика видно, что с ростом температуры селективность целевой реакции падает.

. РАСЧЕТ ПАРАМЕТРОВ, ОБЕСПЕЧИВАЮЩИХ НАИЛУЧШУЮ ПРОИЗВОДИТЕЛЬНОСТЬ И СЕЛЕКТИВНОСТЬ

.1 Расчет параметров, обеспечивающих наибольшую удельную производительность

Из представленных выше графических зависимостей видно, что максимум имеет только зависимость удельной производительности ИПР от степени конверсии исходного сырья. Так как дифференциальное выражение изменения удельной производительности по степени конверсии имеет очень громоздкий вид, сделаем выводы о максимальной удельной производительности из графической зависимости.

Рисунок 7. График зависимости удельной производительности ИПР от степени конверсии асфальтенов.

Максимальная УП наблюдается при степени конверсии ≈ 40% и составляет 1,09*10-6 моль/(л*с).

Для всех остальных параметров удельная производительность возрастает с увеличением параметра.

Для РПС характерно снижение УП при увеличении степени конверсии, а все остальные зависимости аналогичны зависимостям ИПР.

.2 Расчет параметров, обеспечивающих наилучшую селективность

реактор коксование производительность конверсия

Наилучшая селективность в РПС непрерывного и периодического действий достигается при максимально-возможной концентрации основного реагента, минимальной степени конверсии сырья и минимально-возможной температуре. При расчетах селективности максимумов в зависимостях не замечено.

9. ВЫБОР НАИЛУЧШЕЙ РЕАКТОРНОЙ СХЕМЫ

Критерии эффективности[1]:

селективность: не менее 95%;

удельная производительность: не менее 1,017·10-6 моль/(с·л);

степень конверсии сырья: не менее 60%.

Критерии эффективности выбиралась в соответствие с работой реактора на производстве аналоге.

При использовании реактора полного смешения при следующих условиях:

температура: 510 °С;

начальная концентрация реагента: 7,2·10-6 моль/л;

степень конверсии: 65%;

селективность: 99,8%

была достигнута удельная производительность 1,134·10-6 моль/(с·л).

При использовании ИПР при следующих условиях:

температура: 510 °С;

начальная концентрация реагента: 7,2·10-6 моль/л;

степень конверсии: 65%;

селективность: 99,8%

время, затраченное на вспомогательные операции: 24 ч

была достигнута удельная производительность 1,584·10-6 моль/(с·л).

Сравнивая две эти схемы, можно сказать, что заданные критерии для реакторных схем выполняются и для РПС и ИПР.

Более высокая удельная производительность у ИПР, РПС может работать эффективней ИПР только при низких степенях конверсии менее 40 % и при более высоких температурах от 5250С, что является не рентабельным для замедленного коксования.

ВЫВОДЫ

Наиболее удачной реакторной схемой является схема с идеальным реактором полного смешения периодического действия, так как даже при высоких степенях конверсии, например при 95%, его работа соответствует заданным критериям эффективности.

Удельная производительность ИПР при такой степени конверсии составит 1,062·10-6 моль/(с·л) при этом селективность будет 93,9 %, что является удовлетворительным показателем для выбора идеального реактора полного смешения периодического действия в качестве основного аппарата для осуществления процесса замедленного коксования на производстве.

Также при варьировании остальных параметров удельная производительность ИПР превышает удельную производительность РПС в тех интервалах значений параметров, при которых наиболее целесообразно проводить процесс замедленного коксования.

СПИСОК ИСПОЛЬЗУЕМОЙ ЛИТЕРАТУРЫ

Технологический регламент установки №60 ООО «ЛУКОЙЛ - Волгограднефтепереработка»

Магарил Р.З. теоретические основы химических процессов переработки нефти.- М.: «Химия», 1976

Лебедев Н.Н., Манаков М.Н., Швец В.Ф. Теория химических процессов основного органического и нефтехимического синтеза. - М.: «Химия»,1975.

Красюков,А.Ф. Нефтяной кокс/А.Ф. Красюков. - М.: Химия,1966- 264 с.

Похожие работы на - Моделирование процесса замедленного коксования

 

Не нашли материал для своей работы?
Поможем написать уникальную работу
Без плагиата!
Без нейросетей!