Вероятностное моделирование процесса изменения структуры популяции

  • Вид работы:
    Дипломная (ВКР)
  • Предмет:
    Информационное обеспечение, программирование
  • Язык:
    Русский
    ,
    Формат файла:
    MS Word
    578,06 Кб
  • Опубликовано:
    2013-10-06
Вы можете узнать стоимость помощи в написании студенческой работы.
Помощь в написании работы, которую точно примут!

Вероятностное моделирование процесса изменения структуры популяции















Дипломная работа

Вероятностное моделирование процесса изменения структуры популяции

моделирование популяция здравоохранение база данные

Введение

Демографический прогноз - это научно обоснованное предвидение основных параметров движения населения и будущей демографической ситуации: численности, возрастно-половой и семейной структуры, рождаемости, смертности, миграции. Необходимость демографического прогнозирования связана с задачами прогнозирования и планирования социально-экономических процессов в целом. Без предварительного демографического прогноза невозможно представить себе перспективы производства и потребления товаров и услуг, жилищного строительства, развития социальной инфраструктуры, здравоохранения и образования, пенсионной системы, решение геополитических проблем и т.д. Именно поэтому деятельность по прогнозированию динамики численности и структуры населения, численности и структуры семей, отдельных демографических процессов составляет важнейшую часть общей деятельности международных, государственных и неправительственных организаций, учреждений и научных институтов.

С чисто научных позиций особая роль демографического прогнозирования вытекает из важнейшего общенаучного принципа, согласно которому ценность и плодотворность всякой научной теории не только и не столько определяется тем, в какой мере данная теория связывает воедино накопленные научные факты, сколько способностью теории предсказывать новые, ранее не известные свойства и явления. С этой точки зрения демографический прогноз может рассматриваться и как критерий оценки положенной в его основу теории.

Прогнозирование - это специальное научное исследование перспектив развития какого-либо явления. Прогнозирование в этом значении выступает в качестве формы научного предвидения. Источниками информации о будущем, лежащими в основе прогнозирование, являются: основанная на опыте, аналогии оценка путей развития и перспектив прогнозируемого явления; экстраполяция известных тенденций; модель состояния явления в будущем, основанная на учете изменения (желательного или ожидаемого) тех показателей, перспективы развития которых достаточно известны. Соответственно возможны три основных класса методов прогнозирования в социальной сфере: 1) опрос населения (экспертов) с целью упорядочения, объективизации субъективных оценок прогнозного характера; 2) экстраполирование и интерполирование - построение динамических рядов развития показателей прогнозируемого процесса; 3) моделирование - построение поисковых и нормативных моделей с учетом вероятного или желательного изменения прогнозируемого явления на основе наличных данных о масштабе и направлении изменений.

Таким образом, некоторый уровень демографической образованности становится сегодня необходимым любому человеку, каким бы родом деятельности он ни занимался, в такой же степени, как и знакомство с другими гуманитарными предметами.

Поскольку в математике используются точные методы, то они с успехом могут быть применены во всех прикладных областях. Основным методом прогнозирования является математическое моделирование народонаселения как динамической системы.

Поскольку демографическое прогнозирование является достаточно актуальной проблемой, то перед дипломной работой были поставлены следующие задачи:

1)      изучение математических методов прогнозирования структуры популяции, сравнение их возможностей, выявление недостатков;

2)      поскольку имеются обширные демографические данные для различных стран, то прогнозирования является достаточно трудоемкой работой. Поэтому необходимо разработать компьютерную программу математического моделирования изменения структуры популяции;

)        создание компьютерной модели прогнозирования с использованием демографической матрицы;

)        уточнение полученного демографического прогноза с использованием метода интерполяции.

Поставленные задачи определили структуру работы. Она состоит из пяти глав.

В первой главе рассматриваются математические методы исследования структуры популяции, излагается суть этих методов, а также их достоинства и недостатки.

Во второй главе рассматривается один из методов исследования структуры популяции - моделирование, приведены основные этапы прогнозного моделирования и проанализированы данные необходимые для реализации модели.

Третья глава содержит сведения о Всемирной организации здравоохранения, о получении данных с сервера Всемирной организации здравоохранения и сведения о структуре базы данных.

В четвертой главе приведено описание структуры реализованного программного обеспечения в среде Delphi и в среде MS Access.

В пятой главе изложена последовательность работы с реализованным программным обеспечением, описаны ее возможности и способы получения интересующих данных.

1. Методы исследования структуры популяции

.1 Методы, основанные на применении математических функций

Основными методами демографического прогнозирования являются: методы, основанные на применении той или иной математической функции (экстраполяционный и аналитический методы), а также метод передвижки возрастов, или метод компонент.

Для прогнозирования могут применяться самые разные математические функции. Наиболее часто, однако, используются линейная, экспоненциальная и логистическая функции. При этом прогнозирование, основанное на применении линейной и экспоненциальной функций, иногда чисто условно называют экстраполяционным методом, а прогнозирование, основанное на применении логистической и других функций, - аналитическим методом. Ниже кратко рассматриваются основные методы экстраполяционного и аналитического прогнозирования.

1.1.1 Экстраполяционный метод

Экстраполяционный метод основан на прямом использовании линейной и экспоненциальной функций, т.е. данных о среднегодовых абсолютных изменениях численности населения за период или о среднегодовых темпах роста или прироста. Если эти показатели известны, то можно рассчитать численность населения на любое число лет вперед, просто предположив их неизменность на протяжении всего прогнозного периода.

Один из простейших способов прогнозирования основан на предположении о том, что среднегодовые абсолютные приросты численности населения, рассчитанные для отчетного периода времени, сохранятся и в будущем.

Иначе говоря, в этом случае для перспективного расчета применяется линейная функция

 (1)

где Р0 и Рt- численность населения соответственно в моменты времени 0 и t, - абсолютный среднегодовой прирост, t - время в годах.

В реальности для прогнозирования численности населения линейная функция практически не используется, поскольку предположение о неизменности абсолютных среднегодовых приростов может быть относительно верным только для очень кратких периодов времени (не более 5 лет).

Несколько более реалистичным является предположение о неизменности среднегодовых темпов прироста численности населения, особенно при допущении неизменных уровней рождаемости и смертности и отсутствии миграции. В этом случае речь идет об использовании в прогнозировании экспоненциальной функции

                                            (2)

где r- среднегодовые темпы прироста, t - время в годах, е - основание натуральных логарифмов.

1.1.2 Аналитический метод

Аналитический метод основан на том, что исходя из прошлой демографической динамики подбирается функция, наиболее близко ее описывающая. В принципе это может быть любая функция. Однако в любом случае эта функция носит эмпирический характер, и не существует никакого общего математического закона демографической динамики.

Конкретный вид функции подбирается исходя из вида эмпирической кривой, а также гипотезы о связи численности населения с годом.

Примером такого рода функций является широко применяемая в перспективном исчислении численности населения логистическая функция (кривая Ферхюлста-Пйрла-Рида), особенность которой состоит в том, что ее приращение уменьшается по мере роста численности населения. Остановимся несколько подробнее на этой функции.

Логистическая функция выражается следующей формулой:

                     (3)

Здесь Pt- численность населения в момент времени t, b- постоянная интеграции, 1/a - некая предельная численность, к которой асимптотически приближается численность населения с ростом t, u - параметр, определяющий конкретный вид кривой. Логистическая кривая симметрична относительно точки перегиба, которая равна 1/2а. При малых значениях Р темпы его прироста практически постоянны и равны приблизительно u. С другой стороны, если значения Р велики и близки к 1/а, темпы его прироста стремятся к нулю.

Как и рассмотренные выше линейная и экспоненциальная функции, логистическая функция не может отражать динамику реальных населений в сколько-нибудь длительной перспективе. Она может использоваться, главным образом, для прогнозирования численности небольших территорий на краткие периоды времени. Условием качественности прогноза и в данном случае является контроль с помощью данных о численности населения всей страны. Перспективные расчеты с помощью логистической функции требуют знания численности населения на три равноудаленных момента времени (или на другое кратное трем их число) или задания численности населения на два равноудаленных момента времени и нижней и верхней асимптот. При этом, если нижняя асимптота может быть принята за ноль, для определения верхней асимптоты не существует никакой разумной процедуры, которая давала бы перспективное значение максимальной численности населения.

Тем не менее логистическая функция может использоваться для прогнозирования небольших территорий, если общая численность населения страны используется как контрольная величина для суммарного населения всех регионов. В этом случае вместо расчета численности населения региона прогнозируются доли населения каждого региона в общей численности населения страны. Поскольку доля может изменяться только в пределах от 0 до 1, эти величины могут использоваться как нижняя и верхняя асимптоты логистической кривой. Зная прогнозные значения этих долей и прогнозную величину численности населения всей страны, можно определить и будущую численность населения каждого из регионов [1].

1.2 Метод компонент, или метод передвижки возрастов

Метод компонент открывает перед разработчиками демографического прогноза более широкие возможности. В отличие от экстраполяционного и аналитического он позволяет получать не только общую численность населения, но и его распределение по полу и возрасту.

Двойное название данного метода демографического прогнозирования (метод компонент, или метод передвижки возрастов) связано с тем, во-первых, что его применение основано на использовании уравнения демографического баланса:

                               (4)

где P0 и P1 - численность населения соответственно в начале и конце периода (года); В - число рождений за период; D- число смертей за период; Мi - миграционный приток за период; М0 - миграционный отток за период. При этом В, D, Miи М0 называются компонентами изменения численности населения за период (год).

Во-вторых, с тем, что данные о численности отдельных возрастно-половых групп передвигаются каждый год в следующий возраст, а численность нулевой возрастной группы определяется на основании прогноза годового числа рождений и младенческой смертности.

Суть метода компонент заключается в отслеживании движения отдельных когорт во времени в соответствии с заданными (прогнозными) параметрами рождаемости, смертности и миграции. Если эти параметры зафиксированы в некоторый начальный момент времени t0, оставаясь затем неизменными на протяжении периода Di, то это однозначно определяет численность и структуру населения в момент времени t0+ Dt.

Начиная с момента времени tо, численность населения каждого отдельного возраста уменьшается в соответствии с прогнозными повозрастными вероятностями смерти. Из исходной численности населения каждого возраста вычитается число умерших, а оставшиеся в живых становятся на год старше. Прогнозные повозрастные уровни рождаемости используются для определения числа рождений на каждый год прогнозного периода. Родившиеся также начинают испытывать риск смерти в соответствии с принятыми ее уровнями. Метод компонент учитывает также повозрастные интенсивности миграции (прибытия и выбытия).

Процедура повторяется для каждого года прогнозного периода. Тем самым определяется численность населения каждого возраста и пола, общая численность населения, общие коэффициенты рождаемости, смертности, а также коэффициенты общего и естественного прироста. При этом прогнозные расчеты могут производиться как для однолетних возрастных интервалов, так и для различных возрастных групп (5-летних или 10-летних). Техника перспективных расчетов в обоих случаях совершенно одинакова. Перспективные расчеты обычно делаются отдельно для женского и мужского населения. Численность населения обоих полов и его возрастная структура получается простым суммированием численностей женского и мужского населения. При этом все прогнозные параметры рождаемости, смертности и миграции могут меняться для каждого года или интервала лет прогнозного периода.

Процедура итеративно повторяется столько раз, сколько лет охватывает прогнозный период. Численность населения каждого возраста как бы передвигается в следующий, более старший возраст. Именно поэтому метод компонент также называют «методом передвижки возрастов».

В итоге на каждый год прогнозного периода получают как общую численность населения, так и его возрастно-половую структуру, а также, как сказано в начале этого раздела, общие коэффициенты рождаемости и смертности.

Особенностью прогнозирования отдельных демографических процессов является то, что их параметры определяются не на каждый год прогнозного периода, а лишь на некоторые его точки. После чего полученные значения интерполируются на промежуточные даты. При этом очень часто интерполяция сводится просто к предположению о неизменности параметров демографических процессов между опорными точками[2].

2. Компьютерное моделирование структуры популяции

2.1 Моделирование как метод исследования

Всё многообразие подходов можно разделить на два больших класса: использование аналитических и имитационных методов. Выбор того или иного подхода обусловлен типом решаемой задачи, степенью её детализации и других особенностей сложной системы.

Аналитические методы применимы для изучения сравнительно простых систем. Использование аналитических методов связано с необходимостью построения математических моделей сложных систем в строгих математических терминах. При этом зачастую приходится идти на упрощённое представление реальных явлений, дающее возможность описать поведение системы и получить явные зависимости, связывающие искомые величины с параметрами СС. При использовании этого математического аппарата часто удается быстро получить аналитические модели для решения достаточно широкого круга задач исследования сложных систем [3; 4; 5; 6]. В то же время аналитические модели имеют ряд существенных недостатков, к числу которых следует отнести:

значительные упрощения, свойственные большинству аналитических моделей. Подобные упрощения, а зачастую искусственное приспособление аналитических моделей с целью использования хорошо разработанного математического аппарата для исследования реальных сложных систем ставят иногда под сомнение результаты аналитического моделирования;

громоздкость вычислений для сложных моделей, например, использование для представления в модели процесса функционирования сложной системы по методу дифференциальных уравнений Колмогорова требует (для установившегося режима) решения сложной системы алгебраических уравнений;

сложность аналитического описания вычислительных процессов, присутствующих в сложной системе. Большинство известных аналитических моделей можно рассматривать лишь как попытку подхода к описанию процессов функционирования сложной системы;

недостаточная развитость аналитического аппарата в ряде случаев не позволяет в аналитических моделях выбирать для исследования наиболее важные характеристики (показатели эффективности) сложной системы. Особенно большие затруднения при аналитическом моделировании связаны с учетом в процессах функционирования сложной системы больших объёмов непредсказуемых воздействий.

Указанные особенности позволяют заключить, что аналитические методы имеют самостоятельное значение лишь при исследовании процессов функционирования сложной системы в первом приближении и в частных, достаточно специфичных задачах. В этих случаях возможности исследования аналитических моделей сложных систем существенно расширяют приближенные методы, например методы диффузионной аппроксимации, методы операционного анализа и аналитические сетевые модели.

При наличии вероятностных факторов, высокой степени детализации сложной системы, как правило, применяют имитационное моделирование. При этом происходит воспроизведение на компьютере процесса функционирования исследуемой системы с соблюдением логической и временной последовательности протекания процессов. Это позволяет узнать данные о состоянии системы и отдельных ее элементах в определённые моменты времени.

В отличие от аналитического имитационное моделирование снимает большинство ограничений, связанных с возможностью отражения в моделях процесса функционирования исследуемой сложной системы, динамической взаимной обусловленности текущих и последующих событий, комплексной взаимосвязи между параметрами и показателями эффективности системы и т.п. Хотя имитационные модели во многих случаях более трудоемки, менее лаконичны, чем аналитические, они могут быть сколь угодно близки к моделируемой системе и просты в использовании.

Имитационные модели представляют собой описание объекта исследования на некотором языке, которое имитирует элементарные явления, составляющие функционирование исследуемой системы, с сохранением их логической структуры, последовательности протекания во времени, особенностей и состава информации о состоянии процесса. Можно отметить имеющуюся аналогию между исследованием процессов методом имитационного моделирования и экспериментальным их исследованием.

Описания компонентов сложной системы в имитационной модели носят определенный логико-математический характер и представляют собой совокупность алгоритмов, имитирующих функционирование исследуемой сложной системы. Моделирующая программа, построенная на основе этих алгоритмов (т.е. на основе математической модели), позволяет свести имитационное моделирование к проведению экспериментов на компьютере путем их «прогона» на некотором множестве входных данных, имитирующих первичные события, которые происходят в системе. Информация, фиксируемая в процессе исследования имитационной модели, позволяет определить требуемые показатели, характеризующие качество исследуемой сложной системы [7].

Основными недостатками имитационного моделирования, несмотря на появившиеся в последнее время различные системы моделирования, остаются сложность, высокая трудоемкость и стоимость разработки моделей, а иногда и большая ресурсоемкость моделей при реализации на компьютере.

Хотя существующие сегодня продукты моделирования способны помочь квалифицированному инженеру моделировать сложные системы, они, по мнению экспертов, все еще слишком сложны в использовании и порой неадекватно моделируют некоторые сложные системы.

Математическая сущность логико-вероятностных методов состоит в использовании логических функций для записи условий работоспособности системы и в разработке строгих способов перехода от логических функций к вероятностным функциям, объективно выражающим надёжность этой системы. Достоинства логико-вероятностных методов состоят в основном в их исключительной четкости, однозначности и больших возможностях при анализе влияния любого элемента на надёжность всей системы [8; 9; 10].

К недостаткам существующих логико-вероятностных методов могут быть отнесены следующие:

Рассмотрение лишь двух состояний у элементов системы. Можно привести много примеров, демонстрирующих, что рассмотрение лишь двух состояний у элементов системы, а именно состояний отказа и работоспособности, представляется необоснованной идеализацией, поскольку имеется гораздо больше возможностей для реализации различных видов отказов. Различные виды отказов одного и того же элемента могут по-разному сказываться на функции работоспособности системы. При булевых моделях надёжности различные возможности и виды отказов элементов можно учесть в структурной схеме надёжности (даже если у одного элемента просматривается несколько возможных реализаций отказов). Однако при этом свойство независимости функционирования такого элемента относительно всех видов своих отказов не имеет места.

- Несоблюдение условий монотонности для некоторых задач и структур. Свойство монотонности: если система функционирует, когда отказало некоторое подмножество М1 её элементов (а дополнительное множество элементов функционирует), то система должна функционировать также и в том случае, если отказало лишь подмножество М2 М1 элементов. Это актуально для операции горячего резервирования в системы, когда есть компонент системы K2, который дублирует работу компонента K1.

- Отсутствие учета временной последовательности отказов элементов. Последовательность, в которой отказывают отдельные компоненты, может играть большую роль для работоспособности системы.

Требование независимости отказов элементов системы. В общем случае характер отказов отдельных компонентов системы зависит от состояния других компонентов.

В основе компьютерного логико-вероятностного моделирования лежит предикатное описание системы и законов её функционирования. Модель системы описывается множеством устройств, взаимодействующих между собой в соответствии с логическими правилами. Состояния устройств носят вероятностный характер и полностью определяют состояние всей системы в заданные моменты времени. На основе управляющих правил, представленных в предикатной форме происходит управление процессом изменения модели во времени. Логико-вероятностное моделирование не использует датчиков случайных чисел и позволяет получить точные данные об изменении состояний системы.

Ещё одно преимущество данного метода заключается в возможности реализации в нём механизма управляющего воздействия. Предположим, что стоит задача построить такое управляющее воздействие в модели сложной системы, которое по вероятностным показателям состояний управляющих компонентов этой системы, вносит изменения в вероятностные показатели управляемых компонентов её.

2.2 Прогнозное моделирование структуры популяции

Моделирование как метод исследования успешно может быть применено в области демографии, социологии или биологии. Демографические исследования вызываются к жизни практическими потребностями общества. Когда в каком либо демографическом процессе появляются негативные тенденции, интерес к нему возрастает. Смертность в демографии изучается постоянно, т.к. никакой её уровень не может считаться “желательным” и общество всегда заинтересовано в его снижении. По мере того, как снижается рождаемость, растёт интерес и к этой проблеме. Проводятся многочисленные исследования факторов рождаемости. Выявляются те меры демографической политики, которые могут способствовать росту рождаемости и устранению угрозы депопуляции.

Одной из проблем стоящих перед социологией и демографией является построение точных, долгосрочных прогнозов и соответствующее планирование.

Типовая методика прогнозирования включает следующие этапы:

) предпрогнозная ориентация (определение объекта, предмета, проблемы, цели, задач, времени упреждения, рабочих гипотез, методов, структуры, организации исследования);

) сбор данных прогнозного фона (т.е. влияющих на развитие объекта по непрофильным, смежным отраслям прогнозирования.);

) построение исходной (базовой) модели (т.е. системы показателей, параметров, отображающая характер и структуру объекта);

) поисковый прогноз (проекция в будущее исходной модели по наблюдаемой тенденции с учетом факторов прогнозного фона; цель - выявление подлежащих решению перспективных проблем);

) нормативный прогноз (проекция исходной модели в будущее в соответствии с заданными целями и нормами по заданным критериям);

) оценка степени достоверности и уточнение прогностических моделей;

) выработка рекомендаций.

Основным методом прогнозирования является математическое моделирование народонаселения как динамической системы. Речь идет о дифференциальных уравнениях, связывающих численность населения с рождаемость и смертностью. Однако, в реальной системе эти величины не постоянны, а различны для разных групп населения и зависят от множества параметров, как детерминированных, так и случайных. Естественно, для моделирования динамической системы необходимо знать ее начальное состояние. Нелинейность данной системы означает, что от начального состояния будет зависеть не только количественные показатели, но и качественное поведение системы.

Рассмотрим один из методов математического моделирование популяции:

Пусть популяция содержит n возрастных групп. Тогда в каждый фиксированный момент времени (например, ) популяцию можно охарактеризовать вектор-столбцом

                                             (5)

Вектор X(t1), характеризующий популяцию в следующий момент времени, например, через год, связан с вектором X(t0) через матрицу перехода L:

                   (6)

Установим вид этой матрицы. Из всех возрастных групп выделим те, которые производят потомство. Пусть их номера будут k, k+1 ,..., k+p.

Предположим, что за единичный промежуток времени элементы i-й группы переходят в группу i+1, от групп k, k+1,..., k+p появляется потомство, а часть особей от каждой группы погибает.

Потомство, которое появилось за единицу времени от всех групп, поступает в группу 1.

 (7)

Вторая компонента получается с учетом двух процессов. Первый - переход элементов, находившихся в момент в первой группе, во вторую. Второй процесс - возможная гибель части из этих особей. Поэтому вторая компонента x2 (t1) равна не всей численности x1(t0), а только некоторой ее части

                                        (8)

Аналогично получаются третья компонента  и все остальные.

Предположим, что все особи, находившиеся в момент t0 в последней возрастной группе к моменту t1 погибнут. Поэтому последняя компонента вектора X (t1) составляется лишь из тех особей, которые перешли из предыдущей возрастной группы.

                                   (9)

Коэффициенты для каждой группы имеют следующий смысл:- коэффициент рождаемости, b - коэффициент выживания. Вектор численностей возрастных групп в момент времени t1 представим в виде:

                                     (10)

Таким образом, вектор X(t1) получается умножением вектора X(t0) на матрицу Лесли

                            (11)

По диагонали матрицы стоят нули, под диагональными элементами коэффициенты выживания b, на первой строке стоят члены, характеризующие число особей, родившихся от соответствующих групп. Все остальные элементы матрицы равны нулю.

                            (12)

Таким образом, зная структуру матрицы Лесли L и начальное состояние популяции - вектор-столбец X(t0), - можно прогнозировать состояние популяции в любой наперед заданный момент времени [11].

Пусть  - собственное число, а Рs -собственный вектор матрицы L, тогда

 (13)

Собственное число вычисляется как отношение длин векторов Pi+1 к Pi:

 (14)

Собственный вектор Рs - формируется итерационный алгоритмом через большое число шагов. Процесс итераций останавливается в случае, если  - остаётся неизменным в заданных пределах точности.

Матрица L зависит только от коэффициентов смертности и коэффициентов рождаемости для определённых возрастных групп. Собственное число - это интегральная характеристика демографических условий жизни (рождаемость и смертность), не зависящая от вектора, определяющего структуру популяции, а зависящая только коэффициентов смертности и коэффициента рождаемости.

Если взять какую-либо популяцию. Зафиксировать коэффициенты смертности и коэффициенты рождаемости. Требуется определить как будет меняться вектор, задающий структуру населения через большой временной интервал, когда произошло много смен поколений (на бесконечности), то есть асимптотически. Оказывается, значения вектора устанавливаются (фиксируются). И на каждом шаге лишь умножаются на коэффициент , который является собственным числом матрицы.

Если перейти к демографическому смыслу введённых понятий, то - это скорость размножения популяции, когда ее возрастная структура стабилизировалась

Рассмотрим две матрицы: матрицу Лесли L и матрицу L* сопряжённую (транспонированную) к матрице Лесли. Сопряженная матрица имеет тот же характеристических полином и тот же спектр корней (собственных чисел), что и демографическая матрица. Характеристический полином имеет вид:

Det(A-E*)= (15)

Поскольку матрица не является симметричной, то собственные вектора у неё другие. Представляет интерес собственный вектор, который будет дополнительным к полученному для демографической матрицы Лесли L. Он будет показывать репродуктивную ценность каждой возрастной группы.

Можно решить следующую задачу. Выбрать i-ю группу населения и увеличить на определённое количество особей. Проведя моделирование можно определить к каким последствиям это приведёт, как асимптотически изменится структура населения. Таким образом, можно определить репродуктивную ценность каждой возрастной группы.

При моделировании с использованием матрицы Лесли, методом передвижки возрастов можно получить , P, P* .

2.3 Получение информации для реализации модели

Для реализации модели изменения структуры популяции необходимо обладать данными о составе и структуре народонаселения. Для получения данных можно использовать различные источники [12; 13; 14; 15].

Информация о населении (численности, составе, размещении и т.д.) формируется из двух основных источников. Это переписи населения [16] и текущий учет естественного и миграционного движения. Кроме этого имеются и дополнительные источники: выборочные обследования, регистры населения и различные списки.

Одним из них является документальный тип источников информации. Документ - это материальный носитель записи с зафиксированной на нём информацией для передачи её во времени и пространстве. К документальным источникам данных о народонаселении относятся различные справочники, статистические ежегодники и др. Поскольку для реализации модели необходим большой объем сведений, то использование документальных данных является достаточно трудоемкой работой. Недостатком данного типа информации является то, что при переводе данных с бумажных носителей в электронный вид могут быть допущены ошибки, искажения данных и др. Использование данного типа источника информации ведет к большим временным затратам, поскольку трудно отыскать все необходимые данные о структуре населения различных стран в одинаково систематизированном виде.

Наиболее распространенным и перспективным источником информации является глобальная компьютерная сеть Интернет. Этот способ является одним из самых плодотворных методов получения интересующей информации. Доступность информации делает Интернет соперником любого традиционного источника информации. Однако отсутствие централизованной системы означает, что Интернет не имеет каталогов и указателей ко всем своим материалам.

Демографический состав включает в себя деление населения на мужчин и женщин, а также - на лиц разного возраста. Население, дифференцированное по возрасту, может быть распределено по группам. Группировка, выполненная по качественному признаку, представляет классификацию. Например, в зависимости от такого качественного признака как трудоспособность выделяют три группы населения: моложе трудоспособного, трудоспособное и то, которое старше трудоспособного.

Население может быть распределено на группы и по количественному признаку. Обычно распределение населения по полу и возрасту бывает в однолетней (для каждого отдельного года возраста) и пятилетней возрастной группировках. Последняя дается в стандартной группировке: 0-4 года, 5-9 лет, 10-14, 15-19 и т.д. Группа 0-4 года включает в себя всех детей, начиная с новорожденных и кончая прожившими 5 лет без одного дня. Имеется в виду полное число исполнившихся лет, т.е. группа 0-4 года это значит до 5 лет, 5-9 - до 10, 10-14 - до 15 и т.д.

В отличие от состава структура населения - это соотношение между однородными элементами или численно определенными группами. Самой простой выступает половая структура: процентное отношение мужчин и женщин в общей численности населения. Существуют также возрастные, возрастно-половые структуры, распределения по времени проживания и т.д. Структура, т.е. распределение населения по группам может выражаться не только в процентах, но и в долях, промилле. В возрастной структуре выделяют как численно равные возрастные группы, так и функционально различные контингенты. Последние представляют собой укрупненные возрастные группы, выделенные по какой-либо качественной характеристике (детский, репродуктивный, трудоспособный, пенсионный и др. возрастные контингенты).

Обобщающей характеристикой возрастного распределения населения выступает его средний возраст. Он может рассчитываться для всего населения в целом, для разных возрастных групп и для отдельных контингентов.

Пол и возраст являются основными демографическими параметрами человека, а половозрастная структура - соответственно, одной из базовых характеристик населения.

Особое внимание при анализе возрастного состава уделяется доле (в процентах) населения в возрасте 60 лет и старше (в ООН и некоторых зарубежных странах при расчете данного показателя используется возрастная граница 65 лет). Этот показатель называется коэффициентом старения или коэффициентом демографической старости населения. Главная причина старения населения - снижение рождаемости.

Существуют три составляющих половозрастной структуры населения: рождаемость, смертность и миграция. Рождение относительно большего или меньшего числа детей в отдельные годы, найдет свое отражение в повышенной или, наоборот, уменьшенной численности населения в соответствующих возрастах. Смертность постоянно, как бы, «обрезает» численность населения. Она сначала снижается, достигает минимума в возрастной группе 10-14 лет, а затем неумолимо «ползет вверх». Смертность влияет и на соотношение полов. Миграция наиболее активна в молодых (но не детских) и средних возрастах [17].

Для прогнозирования процесса изменения структуры популяции нам потребуются следующие данные о половозрастной структуре населения: распределение численности населения, рождаемости и смертности по полу и возрасту.

Источником статистических данных о структуре населения является сервер Всемирной организации здравоохранения. На нем предоставлена необходимая информация для различных стран.

3. Установление связи с всемирной организацией здравоохранения

3.1 Основные сведения о Всемирной организации здравоохранения

Всемирная организация здравоохранения (ВОЗ) является специализированным учреждением Объединенных Наций в области здравоохранения. Она была создана 7 апреля 1948 г. Целью ВОЗ, как указано в ее Уставе, является достижение всеми народами возможно высшего уровня здоровья. В Уставе ВОЗ здоровье определено как состояние полного физического, душевного и социального благополучия, а не только как отсутствие болезней и физических дефектов.

Управление ВОЗ осуществляется 192 Государствами-членами через Всемирную ассамблею здравоохранения. Ассамблея здравоохранения состоит из представителей Государств-членов ВОЗ. Основными задачами Всемирной ассамблеи здравоохранения являются одобрение программы и бюджета ВОЗ на последующие два года и решение основных вопросов в области политики.- это база данных библиотеки ВОЗ, доступная в Интернете. В WHOLIS зарегистрированы все публикации ВОЗ начиная с 1948 г., а также статьи из выпускаемых ВОЗ журналов и технические документы начиная с 1985 г. и до настоящего времени. С помощью карточного каталога, размещенного на сайте, можно получить доступ и к техническим документам, выпущенным до 1986 г.

Статистическая информационная система ВОЗ (WHOSIS) - справочник по эпидемиологической и статистической информации, которой располагает ВОЗ. Большинство технических программ ВОЗ размещает свою эпидемиологическую и статистическую информацию в области здравоохранения на вебсайте. WHOSIS поможет Вам найти ее.

Всемирная организация здравоохранения предоставляет данные относительно зарегистрированных смертельных случаев по возрастным группам, полу, году и причиной смерти, чтобы устанавливать и поддерживать статистические услуги и обеспечивать информацию в области здоровья. Данные являются официальной национальной статистикой в значении, что они были переданы во Всемирную организацию здравоохранения компетентными органами заинтересованных стран [18].

3.2 Получение данных с сервера Всемирной организации здравоохранения

ВОЗ предоставляет детальные файлы данных, которые включены в базу данных смертности (Mortality DataBase). Из-за большого размера этих файлов, они приведены в ASCII формат, чтобы облегчать процесс загрузки. Здесь находятся основные подробные файлы данных, вместе с необходимыми инструкциями, файловыми структурами, кодовыми таблицами, ссылки, и т.п. для использования теми, кому нужен доступ к полному уровню детали для определенных исследований .

Таблица 1 - Состав файлов импортированных с сайта ВОЗ

Файл

Описание

documentation.zip

Содержит информацию о ВОЗ Mortality DataBase, файловую спецификацию и список причин смерти.

pop.zip

Содержит информацию о численности населения и рождаемости

country_codes.zip

Содержит названия стран и их коды

morticd10.zip

Содержит детальные данные смертности для десятого пересмотра ICD (Международная Классификация Болезней)

База данных содержит численность смертей по странам, годам, половой, возрастной группе и причине смерти. Данные включаются только для стран, сообщающих, что данные правильно кодировались согласно Международной Классификации Болезней (ICD).

Преобразование импортированных файлов в базу данных MS Access происходит следующим образом: после того, как файлы будут загружены, переименовать их с расширением «csv» .

·        Открыть Microsoft Access.

·        Выбрать «Новая база данных», нажать «ок»

·        Выбрать каталог, и напечатать имя файла

·        В меню Файл выберете «Внешние данные», нажмите «импорт»

·        Выбрать каталог, где первоначально сохранили CSV файлы данных. В поле " Тип файла" выбирают текстовые файлы (… … *.csv, ….)

·        Выбрать «с разделителями», нажать «далее»

·        Выбрать " запятая " и поле " Первая строка содержит имена поля ", нажать «далее»

·        Данные необходимо сохранить в новой таблице

·        Затем определите тип поля для каждого столбца

·        Как задать первичный ключ, выберете «автоматически создать ключ», нажать «далее»

·        «Импорт в таблицу», введите имя для таблицы и нажмите «Готово» [18]

структура популяция компьютерный моделирование

3.3 Структура базы данных

Созданная база данных включает следующие таблицы. Ниже приведены подробные описания каждой таблицы базы данных с указанием назначения полей этих таблиц.

Таблица 2 - Структура таблицы «Country_codes»

Имя поля

Тип данных

Описание

country

Числовой

Код страны

Name

Текстовый

Название страны

Таблица 3 - Структура таблицы «POP»

Имя поля

Тип данных

Описание

Country

Числовой

Код страны

Admin1

Текстовый

Определенный регион для каждой страны. Если это поле пусто, данные относятся к стране.

Subdiv1

Текстовый

Категория данных. Если это поле пусто, данные относятся к стране.

Year

Числовой

Год, к которому относятся данные

Sex

Числовой

1-мужской пол, 2-женский

Frmat

Текстовый

Возрастные группы для распределения смертности 0-95 лет

Pop1

Числовой

Общая численность населения

Pop2

Числовой

Численность населения в 0 лет

Pop3

Числовой

Численность населения в 1 год

Pop4

Числовой

Численность населения в 2 года

Pop5

Числовой

Численность населения в 3 года

Pop6

Числовой

Численность населения в 4 года

Pop7

Числовой

Численность населения в возрасте 5-9

Pop8

Числовой

Численность населения в возрасте 10-14 лет

Pop9

Числовой

Численность населения в возрасте 15-19 лет

Pop10

Числовой

Численность населения в возрасте 20-24 лет

Pop11

Числовой

Численность населения в возрасте 25-29 лет

Pop12

Числовой

Численность населения в возрасте 30-34

Pop13

Числовой

Численность населения в возрасте 34-39

Pop14

Числовой

Численность населения в возрасте 40-44

Pop15

Числовой

Численность населения в возрасте 45-49

Pop16

Числовой

Численность населения в возрасте 50-54

Pop17

Числовой

Численность населения в возрасте 55-59

Pop18

Числовой

Численность населения в возрасте 60-64

Pop19

Числовой

Численность населения в возрасте 65-69

Pop20

Числовой

Численность населения в возрасте 70-74

Pop21

Числовой

Численность населения в возрасте 75-79

Pop22

Числовой

Численность населения в возрасте 80-84

Pop23

Числовой

Численность населения в возрасте 85-89

Pop24

Числовой

Численность населения в возрасте 90-94

Pop25

Числовой

Численность населения в возрасте 95 и старше

Pop26

Числовой

Численность населения в неустановленном возрасте

Lb

Числовой

Рождаемость

 

Таблица 4 - Структура таблицы «Morticd10»

Имя поля

Тип данных

Описание

Country

Числовой

Код страны

Admin1

Текстовый

Определенный регион для каждой страны. Если это поле пусто, данные относятся к стране.

Имя поля

Тип данных

Описание

Subdiv

Текстовый

Категория данных. Если это поле пусто, данные относятся к стране.

Year

Числовой

Год, к которому относятся данные

List

Текстовый

Перечень ICD

Cause

Текстовый

Причина смерти

Sex

Числовой

1-мужской пол, 2-женский

Frmat

Текстовый

Возрастные группы для распределения смертности 0-95 лет

IM_Frmat

Текстовый

Возрастные группы для распределения смертности младенцев

Deaths1

Числовой

Общая смертность

Deaths2

Числовой

Смертность в возрасте 0 лет

Deaths3

Числовой

Смертность в возрасте 1 года

Deaths4

Числовой

Смертность в возрасте 2 года

Deaths5

Числовой

Смертность в возрасте 3 года

Deaths6

Числовой

Смертность в возрасте 4 года

Deaths7

Числовой

Смертность в возрасте 5-9

Deaths8

Числовой

Смертность в возрасте 10-14

Deaths9

Числовой

Смертность в возрасте 15-19

Deaths10

Числовой

Смертность в возрасте 20-24

Deaths11

Смертность в возрасте 25-29

Deaths12

Числовой

Смертность в возрасте 30-34

Deaths13

Числовой

Смертность в возрасте 35-39

Deaths14

Числовой

Смертность в возрасте 40-44

Deaths15

Числовой

Смертность в возрасте 45-49

Deaths16

Числовой

Смертность в возрасте 50-54

Deaths17

Числовой

Смертность в возрасте 55-59

Deaths18

Числовой

Смертность в возрасте 60-64

Deaths19

Числовой

Смертность в возрасте 65-69

Deaths20

Числовой

Смертность в возрасте 70-74

Deaths21

Числовой

Смертность в возрасте 75-79

Deaths22

Числовой

Смертность в возрасте 80-84

Deaths23

Числовой

Смертность в возрасте 85-89

Deaths24

Числовой

Смертность в возрасте 90-94

Deaths25

Числовой

Смертность в возрасте 95 и старше

Deaths26

Числовой

Возраст смерти не определен

IM_deaths1

Числовой

Детская смертность в 0 день

IM_deaths2

Числовой

Детская смертность в 1-6 день

IM_deaths3

Числовой

Детская смертность 7-27 дней

IM_deaths4

Числовой

Детская смертность 28-364

 

4. Состав и структура реализованного программного обеспечения

4.1 Реализация программного обеспечения в среде Delphi

В среде Delphi реализовано приложение [19], предназначенное для получения прогноза структуры популяции. Работа приложения основана на взаимодействии следующих программных модулей (Рисунок 1):

Рисунок 1 - Общая схема работы приложения

Получение и преобразование исходных данных происходит в procedure readfl. С использованием свойств компонента TMemo red.Lines.LoadFromFile('W_all_'+inttostr(form1.ComboBox2.ItemIndex+1)+'.txt') данные из нужного файла, который расположен в одной директории с главным exe-файлом, построчно считываются и отображаются как строковые величины. После чего формируется массив из данных загруженных в ТМемо. Данный алгоритм показан на рисунке 2.

Алгоритм реализации прогноза структуры популяции можно разделить на три этапа (Рисунок 3): получение необходимых данных из массива исходных значений, формирование матрицы Лесли, формирование вектора численности женщин, итерационная процедура моделирования, вывод полученных данных.

Рисунок 2 - Алгоритм преобразования исходных данных в массив


Рисунок 3 - Схема прогнозирования структуры населения.

На первом этапе осуществляется формирование матрицы Лесли с помощью procedure DoMatrix. Процедура DoMatrix определяет структуру демографической матрицы и преобразует входные данные в матрицу A, которая имеет следующий вид (Рисунок 4):

R1

R2

R3

R4

….

Rn-1

Rn

D1

0

0

0

….


0

0

D2

0

0

….


0

0

0

D3

0

….


0


0

0

0

0

0

Dn-1

Dn

Рисунок 4- Структура демографической матрицы

где Ri - коэффициент рождаемости для i-ой группы (Ri - количество детей на 1000); Di - коэффициент смертности для i-ой группы (Di - количество умерших на 1000).

Далее в procedure TForm1.Button1Click(Sender: TObject) после определения структуры демографической матрицы, формируется матрица h. В h[1,i] заносятся данные о численности женщин за 1990 год, в h[2,i] - данные о численности женщин за 1995 год, а h[3,i] - за 2000 год.

Затем вызывается procedure progn(w: tvector;w0: tvector; M : tmatrix; l: byte), которая осуществляет прогнозирование структуры населения используя метод передвижки возрастов, т.е. модель реализует итерационный процесс, по которому вычисляется вектор w1= A*w0, wN=An * w0, где w0[n], задающий начальную структуру населения по возрастам, в котором каждый компонент w0[i] - количество населения заданного пола и возраста i-ой группы, w1- вектор, описывающий структуру и состав населения на шаге 1, wN- вектор, описывающий структуру и состав населения на шаге и т.д.,

Для этого вызывается procedure multV(SVect :TVector;var Dvect : TVector; SMatr : TMatrix;Ub : Integer), которая осуществляется итерационный процесс прогнозирования путем перемножение векторов численности на матрицу Лесли. Таким образом, метод передвижки возрастов можно представить в виде следующей схемы (Рисунок 5):

Рисунок 5 - Схема метода передвижки возрастов

Для определения репродуктивной ценности женщин и скорости размножения популяции разработана procedure asimpt(w: tvector;var w0: tvector; M : tmatrix; var q,s : double)- находится собственное число и собственный вектор сопряженной матрицы Лесли.

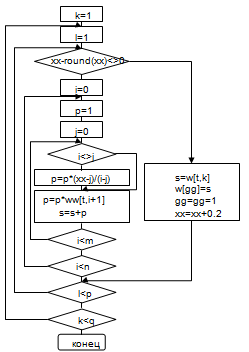
Для реализации интерполяции структуры популяции была разработана procedure interpol(ww:tmatrix;t:Integer;var w:tvector). Она основана на использовании интерполяционной формулы Лагранжа. Формула Лагранжа позволяет уточнить данные на промежуточных датах между пятилетними интервалами. Реализация метода интерполяции данных представлена на рисунке 6.

Рисунок 6 - Схема метода интерполяции

Разработанное приложение включает следующие формы: Unit1.dfm, Unit2.dfm и Unit3.dfm.

На первой форме Unit1.dfm расположены следующие компоненты: ComboBox, Button, Edit, и Tchart.

Компонент ComboBox1 предназначен для выбора страны, для которой будет проводиться прогнозирование структуры популяции. При обработке данного компонента procedure TForm1.ComboBox1Change(Sender: TObject)считываются исходные данные из файла для выбранной страны, и очищается компонент Tchart.

Компонент ComboBox2 предназначен для выбора исследуемого года. procedure TForm1.ComboBox2Change(Sender: TObject)- очищает компонент Tchart и присваивает значение выбранного года.

Компонент TEdit 1 предназначен для вывода показателя изменения скорости размножения популяции.

При обработке компонента Button1 procedure TForm1.Button1Click(Sender: TObject) используется метод showmodal, который позволяет отобразить модальное окно диалога, т.е. позволяет просмотреть используемы исходные данные для выбранной страны.

procedure TForm1.SpeedButton2Click(Sender: TObject) -осуществляется прогнозирование структуры населения. Вначале вызывается процедура chclr, после чего задается структура матрицы Лесли и вызывается процедура прогнозирования progn(w,ww,a,5,n). Метод clear для события Series очищает значения Tchart и с помощью метода AddArray полученные результаты прогнозирования отобразятся в TСhart.

procedure TForm1.Button3Click(Sender: TObject) - осуществляется метод интерполяции. Вначале вызывается процедура chclr, после чего трижды вызывается процедура интерполяции interpol для получения интерполируемых данных численности населения, коэффициентов рождаемости и смертности, формируется структура матрицы Лесли, вызывается процедура прогнозирования prong и с помощью метода AddXY для события Series выводятся полученные результаты.

procedure TForm1.Button5Click(Sender: TObject)- вызывается третья форма, в которой отображаются интерполируемые данные.

procedure TForm1.Button4Click(Sender: TObject)- предназначен для вывода скорости размножения и отображения репродуктивной ценности популяции. Вначале очищаются предыдущие значения TChart, затем определяется структура матрицы Лесли, после чего она транспонируется и вызывается функция для asimpt(w, ww, c, q, ss,n), полученные данные выводятся в Tchart - репродуктивная ценность популяции и в TEdit - скорость размножения популяции.

Unit2.dfm отражает необходимые для прогнозирования данные, которые отражаются в компоненте Tmemo. Данный компонент является стандартным управляющим элементом для ввода и подразумевает работу с большими текстами.

На третьей форме Unit3.dfm расположены компоненты TLabel3 для пояснения расположенных ниже данных и 3 компонента TstringGrid предназначенные для просмотра интерполируемых данных: численности населения, коэффициентов смертности и коэффициентов рождаемости

.2 Реализация программного обеспечения в среде MS Access

Для графического отображения показателей смертности и рождаемости было разработано приложение в среде MS Access [20].

Формы для отображения демографических показателей были составлены на основании созданных запросов.

Запрос «Рождаемость» - это запрос на выборку. Из таблицы «РОР» выбираются следующие данные: название страны, год, уровень рождаемости за соответствующий год, пол.

Запрос «Смертность» - запрос на выборку. Из связанных по коду стран таблиц «Country_codes» и «Morticd10» выбираются данные, необходимые для создания формы: название страны, год с 1994 по 2003, распределенный по годам уровень смертности с учетом пола.

В запросе «БелНас» выбираются все данные по народонаселению Беларуси. Данные запрашиваются из таблицы «РОР» с 1981 по 2003 год, сведения о численности населения в различных возрастных группах с учетом пола и общая численность населения.

5. Применение реализованного программного обеспечения

.1 Применение реализованного программного обеспечения в среде Delphi

При запуске разработанного приложения появится следующее окно (Рисунок 7)

Рисунок 7 - Основная форма

Для начала необходимо выбрать интересующий год и страну из списка (Рисунок 8, 9). По умолчанию установлен 1990 год и Беларусь.

Рисунок 8 -Выбор года

Рисунок 9 -Выбор страны


Для того, что бы просмотреть исходные данные для прогноза структуры населения за выбранный год и для нужной страны необходимо нажать на кнопку «Просмотр». После чего откроется форма «Данные» (Рисунок 10), в которой содержится входная информация. В данной форме находятся статистические сведения трех типов:

1)      показатели смертности;

2)      показатели рождаемости;

)        численность женщин.

Сведения представлены за 1990, 1995, 1999, 2000, 2001,2002 годы для 16 возрастных групп.

Для получения прогноза необходимо выбрать на панели кнопку «Прогнозирование». После чего на форме появятся три линии, отображающие исходные данные (Рисунок 11).

 

Рисунок 10 - Исходные данные

Красная линия - исходные данные 1990 год;

Зелёная линия - исходные данные 1995 год;

Сиреневая линия - исходные данные 2000 год.

Рисунок 11 - Результаты моделирования

Из графиков видно, что форма кривых повторяется только со сдвигом на 5 лет.

Выходные данные представлены в графическом виде. На основании исходных данных возможно представление прогнозируемых сведений о структуре населения. Полученные данные моделирования позволяют построить следующие кривые:

Прогноз численности населения на 1995 год;

Прогноз численности населения на 2000 год;

Прогноз численности населения на 2005 год;

Прогноз численности населения на 2010 год (Рисунок 12).

При этом для пользователя будет появляться сообщение отображающее год прогнозирования. Из рисунка 12 видно, что прогнозные кривые почти полностью повторяют исходные данные, за исключением младших возрастных групп и старших. В младших возрастах это происходит за счёт существенного уменьшения коэффициента рождаемости и сокращения младенческой смертности. Особенностью прогнозирования отдельных демографических процессов является то, что их параметры определяются не на каждый год прогнозного периода, а лишь на некоторые его точки. Затем полученные значения интерполируются на промежуточные даты.

Рисунок 12 - Прогноз численности населения

Для того, чтобы уточнить сделанные прогнозы методом интерполяции необходимо нажать на кнопку «Интерполяция». После чего появятся графики прогноза структуры населения с интервалом в один год (Рисунок 13).

Для того, чтобы просмотреть значения проинтерполированных данных следует выбрать «Данные интерполяции», после чего откроется форма с уточненными данными по численности населения, коэффициентом рождаемости и коэффициентам смертности (Рисунок 14). Если нужно узнать скорость размножения популяции и просмотреть репродуктивную ценность возрастных групп, то следует выбрать «Asimpt». После чего в поле появится значение скорости размножения популяции, а на форме появится график репродуктивной ценности (Рисунок 15). Получение выходных прогнозируемых данных имеет важное значение для прогнозирование демографической ситуации в будущем. Прогнозирование состава населения позволяет приближенно представить тенденции развития политики и экономики, а также сформировать пути развития на ближайшее будущее.

Рисунок 13 - Интерполяция структуры населения

Рисунок 14 - Интерполированные данные


Рисунок 15 - График репродуктивной ценности популяции

5.2 Применение реализованного программного обеспечения в среде MS Access

Рождаемость, наряду со смертностью, является основным демографическим процессом. Именно она в настоящее время в нашей стране и других и странах оказывает решающее влияние на характер воспроизводства населения. От нее, главным образом, зависит то, как в обществе осуществляется процесс замещения поколений. Разработанное программное обеспечение позволяет изучать и исследовать данные о рождаемости. Также возможно сравнение данных рождаемости между различными странами. В представленной ниже форме осуществляется возможность отображать данные в зависимости от пола.

Для того, чтобы отобразить сведения о рождаемости исследуемой страны нужно выбрать ее из списка 218 стран. Возможно отобразить общую рождаемость, данные о рождаемости нескольких или одной страны (Рисунок 17, а) В разработанном приложении существует возможность сопоставления дынных о рождаемости по полам (Рисунок 17, б). В базе используются следующие обозначения: 1- мужской пол, 2 - женский, 9 - пол не указан.

Рисунок 16 - Графики рождаемости

 

а) - Выбор страны б) - Выбор пола в) - Выбор года

Рисунок 17

Также имеется возможность сравнивать и отображать сведения о рождаемости в зависимости от года (Рисунок 17, в). Возможен просмотр данных для всех лет, которые имеются в базе данных или за отдельно выбранные годы.

Данное приложение позволяет быстро и наглядно получить интересующую информацию о рождаемости. Присутствует возможность осуществлять сравнительный анализ характеристик рождаемости по различным странам.

Поскольку показатели смертности являются одними из важных характеристик структуры населения, то для нее было разработано аналогичное с рождаемостью приложение (Рисунок 18). Данное приложение позволяет исследовать дынные о смертности в совокупности с другими странами, исследовать показатели смертности для отдельно выбранной страны с учетом половой структуры. В данном приложение есть возможность просматривать данные о смертности за отдельно выбранные года с 1994 по 2003.

Рисунок 18 - Графики смертности

Заключение

В ходе выполнения дипломной работы:

1)      были изучены математические методы прогнозирования структуры популяции, сравнивались их возможностей;

2)      систематизированы необходимые данные по рождаемости, смертности и численности населения;

)        была разработана компьютерная программа моделирования в среде Delphi, которая позволяет прогнозировать структуру популяции с пятилетним интервалом для различных стран, уточнять прогнозы методом интерполяции на годовые интервалы и имеется возможность просмотра проинтерполированных данных, определяется скорость размножения популяции и репродуктивная ценность каждой возрастной группы;

)        была создана база данных в среде MS Access, в которой разработано приложение, позволяющее сравнивать показатели смертности и рождаемости между различными странами, проводить анализ сравнения по годам и с учетом пола.

Программа является универсальной и может быть использована для построения прогнозов различных видов популяций на различных временных интервалах.

Предполагается дальнейшее развитие реализованного программного обеспечения включением в нее процессов заключения браков и разводов, составлением календаря рождаемости.

Разработанное программное обеспечение может быть использовано в области демографии, социологи, биологии. Приложение реализует точные и долгосрочные прогнозы, необходимые для демографического планирования.

Список использованных источников

1   Медков В.М, Демография: Учебное пособие. Серия <Учебники и учебные пособия>. - Ростов-на-Дону: <Феникс>, 2002. - 448 с.

2        Борисов В. А, Демография: Учебник для вузов. М., 1999. С. 249.

         Богданофф Д., Козин Ф. Вероятностные модели накопления повреждений. - М.: Мир, 1989. - 341 с.

         Можаев А.С. Современное состояние и некоторые направления развития логико-вероятностных методов анализа систем. // Теория и информационная технология моделирования безопасности сложных систем: Сб. ст. / Под редакцией И. А. Рябинина, Препринт 104. - СПб.: ИПМАШРАН, 1994, С.23-53

         Рябинин И.А., Черкесов Г.Н. Логико-вероятностные методы исследования надежности структурно-сложных систем. - М.: Радио и связь, 1981.

         Хенли, Кумамото. Надёжность технических систем и оценка риска. - М., 1984.

         Максимей И. В. Имитационное моделирование на ЭВМ. - М.: Радио и связь, 1988. - 230 с.

         Можаев А.С. Автоматизированное структурно-логическое моделирование в решении задач вероятностного анализа безопасности. // Теория и информационная технология моделирования безопасности сложных систем: Сб. ст. / Под редакцией И. А. Рябинина, Препринт 111. - СПб.: ИПМАШРАН, 1994, С. 16-38.

         Можаев А.С., Алексеев А.О. Автоматизированное структурно-логическое моделирование и вероятностный анализ сложных систем. // Теория и информационная технология моделирования безопасности сложных систем: Сб. ст. / Под редакцией И. А. Рябинина, Препринт 104. - СПб.: ИПМАШРАН, 1994, С. 17-42.

         Можаев А.С., Алексеев А.О. Громов В.Н. Автоматизированное логико-вероятностное моделирование технических систем. Руководство пользователя ПК АСМ, версия 5.0. - СПб.: ВИГУ, 1999.

11      <http://spkurdyumov.narod.ru/RizLek3/Lek3.htm>

12      http://www.demoscope.ru/weekly/2006/0231/biblio01.php

13      http://www.gks.ru

         http://www.coe.int/t/e/social_cohesion/population/demographic_year_book/2003_Edition/

15      Ежегодный статистический сборник РБ 1989, 1999, 2002

         http://dist-economics.eu.spb.ru/HTML/predmet/discussion/Russia_rewrite/

Russia_rewrite.htm

17 Практическая демография/Под ред. проф. Рыбаковского Л.Л.

18      http://www.who.int/en/

         Фленов М. Программирование в Delphi глазами хакера. - СПб: BHV, 2003. - 368 с.

         Харитонова И., Михеева И. «Microsoft Access 2000. Разработка приложений» - Санкт-Петербург: БХВ - Петербург, 2001, - 832с.

Приложение

«Unit1.pas»

unit Unit1;, Messages, SysUtils, Variants, Classes, Graphics, Controls, Forms,, StdCtrls, TeEngine, Series, ExtCtrls, TeeProcs, Chart, Grids;= array of double;= array of array of double;= class(TForm): TButton;: TComboBox;: TButton;: TButton;: TChart;: TButton;: TEdit;: TComboBox;: TButton;FormCreate(Sender: TObject);Button1Click(Sender: TObject);ComboBox1Change(Sender: TObject);Button2Click(Sender: TObject);Button3Click(Sender: TObject);ComboBox2Change(Sender: TObject);Button4Click(Sender: TObject);FormActivate(Sender: TObject);Button5Click(Sender: TObject);

{ Private declarations }

{ Public declarations };: TForm1;,C, ms: TMatrix;,ww,w1,w2 : TVector;,k1,k2 : TVector;,C1: TMatrix;,n: byte;:array[1..10] of TVector;Unit2 , Unit3;

{$R *.dfm}clearmas(var vx:tvector;l,k:integer);i:integer;i:=l to k do[i]:=0;;chclr ;j:integer;(ww,n,n*5-1);(w,n,n*5-1);(w1,n,n*5-1);(w2,n,n*5-1);j:=1 to 10 do(h[j],n,n*5-1);j := 1 to 7 do.ch.Series[j - 1].Clear;

{};multV(SVect :TVector;var Dvect : TVector; SMatr : TMatrix;Ub : Integer);, j: integer;I := 0 to Ub - 1 do[I] := 0;I := 0 to Ub - 1 doj := 0 to Ub - 1 do[I] := (Dvect[I] + Smatr[i,j] * SVect[j]);;asimpt(w: tvector;var w0: tvector; M : tmatrix; var q,s : double;k:integer);= 10000;, J: integer;:double;i :=1 to round(300*k/n) do:=0;j := 0 to k - 1 do:= s0 + w[j];j := 0 to k - 1 do[j] := w[j] / s0 * ct;(w, w0, m, k);:=0;j := 0 to k - 1 do:= s + w0[j];[j] := w0[j];;:= s / ct;;:= s / ct;;progn(w: tvector;w0: tvector; M : tmatrix; l: byte;n1:integer);, J: integer;: double;i := 1 to l do(w, w0, m, n1);j := 0 to (n1) - 1 do[j] := w0[j];[i + 3, j] := w0[j];;;;readfl;, j, k,rw,cl: word;, sd: string;.red.Lines.LoadFromFile('W_all_'+inttostr(form1.ComboBox1.ItemIndex+1)+'.txt');:=formdat.red.Lines[0];:= formdat.red.Lines.Count;:='';:=1;i:=1 to length(s)-1 do s[i]= #9 then :=k+1; :=k;i:= 0 to rw-1 do:=formdat.red.Lines[i];:=0;:='';j:=1 to length(s)-1 do s[j]= #9 then[i,k]:=strtofloat(sd);:='';:=k+1; :=sd+s[j];[i,k]:=strtofloat(sd);;;TForm1.FormCreate(Sender: TObject);, j: word;:string;:=75;:= 1;(w, n*5);(w1, n*5);(w2, n*5);(ww, n*5);(A, N, N);(C, N, N);(MS, N, N);(k0,n*5);(k1,n*5);(k2,n*5);(A1, N*5, N*5);(C1, N*5, N*5);i := 1 to 10 do(H[i], N*5);;TForm1.Button1Click(Sender: TObject);.showmodal;;TForm1.ComboBox1Change(Sender: TObject);;;;TForm1.Button2Click(Sender: TObject);, J,l: integer;, ss: double;;I := 0 to N - 1 doJ := 0 to N - 1 do[I, J] := 0;I := 0 to N - 2 do[i + 1, i] := sqr(sqr(1 - ms[r, i + 1] / 1000)) * (1 - ms[r, i + 1] / 1000);[n - 1, n - 1] := sqr(sqr(1 - ms[r, n] / 200)) * (1 - ms[r, n] / 200);I := 0 to n-1 do[0, i] := 5 * ms[r + 6, i + 1] / 2000;

//*0.95;:=1;i := 0 to n - 1 do[1, i] := ms[12+r, i + 1];r=1 then:=3;i := 0 to n - 1 do[2, i] := ms[13+r, i + 1];i := 0 to n - 1 do[3, i] := ms[15+r, i + 1];;i := 0 to n - 1 do[i] := ms[12+r, i + 1];(w, ww, a, q, ss,n);i := 0 to n - 1 do[i] := ms[12+r, i + 1];(w,ww,a,5,n);j := 1 to l do.ch.Series[j - 1].Clear;.ch.Series[j - 1].AddArray(h[j]);;j := 4 to 7 do('прогноз '+inttostr(strtoint(form1.ComboBox2.Items.Strings[r-1])+5*(j-3)));.ch.Series[j - 1].Clear;.ch.Series[j - 1].AddArray(h[j]);;interpol1(wmat:tmatrix;t:Integer;var wi:tvector);,k,l,j,gg:integer;,s,xx:real;:=0;:=0;k:=1 to 16 dol:=1 to 5 do(xx-round(xx))<>0 then:=0;i:=0 to 15 do:=1;j:=-45 to 65 doi<>j then p:=p*(xx-j)/(i-j);:=p*wmat[t,i+1];:=s+p;;:=wmat[t,k];[gg]:=s;:=gg+1;:=xx+0.2;;;TForm1.Button3Click(Sender: TObject);i,j:integer;:real;, ss: double;;(ms,13,k0);(ms,r,k1);(ms,r+6,k2);i := 0 to ((n*3) - 1) do[1, i+1] := k0[i];i := 0 to n*3 - 1 do[i] := k0[i];i:=1 to 1 do:=0;.ch.Series[i - 1].Clear;j:=0 to n*5 do.Ch.Series[i-1].AddXY(xx,k0[j]);:=xx+0.2;;

{};I := 0 to N*3 - 1 doJ := 0 to N*3 - 1 do[I, J] := 0;I := 0 to N*3 - 2 do[i + 1, i] := sqr(sqr(1 - k1[i] / 1000)) * (1 - k1[i] / 1000);[n - 1, n - 1] := sqr(sqr(1 - k1[n-1] / 200)) * (1 - k1[n-1] / 200);I := 10 to n*3-1 do[0, i] := 5 * k2[i] / 2000;I := 0 to (N*3)-1 doJ := 0 to (N*3)-1 do[I,J]:=A1[i,j] ;i := 0 to n*3 - 1 do[i] := k0[i];(w, ww, a1, q, ss,n*5);i := 0 to n*3 - 1 do[i] := k0[i];(w,ww,c1,5,n*5);i:=1 to 3 do:=0;.ch.Series[i+3 - 1].Clear;j:=0 to n*5 do.Ch.Series[i+3-1].AddXY(xx,h[i+1+2,j]);:=xx+1/5;;;;TForm1.ComboBox2Change(Sender: TObject);;:=form1.ComboBox2.ItemIndex+1;;TForm1.Button4Click(Sender: TObject);, J,l: integer;, ss: double;;I := 0 to N - 1 doJ := 0 to N - 1 do[I, J] := 0;I := 0 to N - 2 do[i + 1, i] := sqr(sqr(1 - ms[r, i + 1] / 1000)) * (1 - ms[r, i + 1] / 1000);[n - 1, n - 1] := sqr(sqr(1 - ms[r, n] / 200)) * (1 - ms[r, n] / 200);I := 0 to n-1 do[0, i] := 5 * ms[r + 6, i + 1] / 2000;I := 0 to N-1 doJ := 0 to N-1 do[I,J]:=A[j,i];

//*0.95;:=1;i := 0 to n - 1 do[i] := ms[r + 12, i + 1];(w, ww, c, q, ss,n);.ch.Series[0].AddArray(ww);.Text := floattostr(q);;TForm1.FormActivate(Sender: TObject);i:integer;:string;;i:=1 to 6 do:=floattostr(ms[i,0]);.ComboBox2.Items.Add(str);;.ComboBox2.ItemIndex:=0;;TForm1.Button5Click(Sender: TObject);i:integer;.StringGrid1.ColCount:=76;.StringGrid2.ColCount:=76;.StringGrid3.ColCount:=76;(ms,13,k0);(ms,r,k1);(ms,r+6,k2);i:=1 to 75 do.StringGrid1.Cells[i,0]:=FloatToStr(k0[i-1]);.StringGrid2.Cells[i,0]:=FloatToStr(k1[i-1]);.StringGrid3.Cells[i,0]:=FormatFloat('0.000E+00',k2[i-1]);;.ShowModal;;.

«Unit2.pas»

unit Unit2;, Messages, SysUtils, Variants, Classes, Graphics, Controls, Forms,, StdCtrls;= class(TForm): TMemo;

{ Private declarations }

{ Public declarations };: Tformdat;

{$R *.dfm}.

«Unit3.pas»

Unit3;, Messages, SysUtils, Variants, Classes, Graphics, Controls, Forms,, Grids, StdCtrls;= class(TForm): TStringGrid;: TStringGrid;: TStringGrid;: TLabel;: TLabel;: TLabel;: TLabel;

{ Private declarations }

{ Public declarations };: TForm3;

{$R *.dfm}.

Запрос «Рождаемость»

SELECT Country_codes.Name, POP.Year, POP.Lb, POP.SexCountry_codes INNER JOIN POP ON Country_codes.country = POP.Country;

Запрос «Смертность»

SELECT Country_codes.Name, Morticd10.Year, Morticd10.Sex, Morticd10.Deaths1Morticd10 INNER JOIN Country_codes ON Morticd10.Country = Country_codes.country;

Запрос «БелНас»

SELECT *Morticd10(((Morticd10.Country)=4018));

Похожие работы на - Вероятностное моделирование процесса изменения структуры популяции

 

Не нашли материал для своей работы?
Поможем написать уникальную работу
Без плагиата!
Без нейросетей!