База данных библиотеки 'Стэлс'

  • Вид работы:
    Дипломная (ВКР)
  • Предмет:
    Информационное обеспечение, программирование
  • Язык:
    Русский
    ,
    Формат файла:
    MS Word
    396,52 Кб
  • Опубликовано:
    2013-11-03
Вы можете узнать стоимость помощи в написании студенческой работы.
Помощь в написании работы, которую точно примут!

База данных библиотеки 'Стэлс'

КЛЮЧЕВЫЕ СЛОВА

 - (Computer Aided System Engineering) автоматизированное проектирование прикладных систем.

АС - автоматизированная система.

БД - база данных.

ИС - инструкция пользователя.

ОС - операционная система.

ПК - персональный компьютер.

ПО - программное обеспечение.

ППП - пакет прикладных программ.

СУБД - система управления базами данных.

ТЗ - техническое задание.

ТП - требования пользователя.

ТПО - требования к программному обеспечению.

ВВЕДЕНИЕ


База данных - это организованная структура, предназначенная для хранения информации. В современных базах данных хранятся не только данные, но и информация [1,9].

Это утверждение легко пояснить, если, например, рассмотреть базу данных библиотеки. В ней есть все необходимые сведения об авторах, книгах, читателях и т.д. Доступ к этой базе могут иметь как работники библиотеки, так и читатели, которым необходимо найти какое-либо издание. Но среди них вряд ли найдется такое лицо, которое имеет доступ ко всей базе полностью и при этом способно единолично вносить в нее произвольные изменения. Кроме данных, база содержит методы и средства, позволяющие каждому из сотрудников оперировать только с теми данными, которые входят в его компетенцию. В результате взаимодействия данных, содержащихся в базе, с методами, доступными конкретным сотрудникам, образуется информация, которую они потребляют и на основании которой в пределах собственной компетенции производят ввод и редактирование данных.

С понятием базы данных тесно связано понятие системы управления базой данных. Это комплекс программных средств, предназначенных для создания структуры новой базы, наполнение ее содержимым, редактирование содержимого и визуализации информации. Под визуализацией информации базы понимается отбор отображаемых данных в соответствии с заданным критерием, их упорядочение, оформление и последующая выдача на устройства вывода или передачи по каналам связи [ 7].

В мире существует множество систем управления базами данных. Несмотря на то, что они могут по-разному работать с разными объектами и предоставляют пользователю различные функции и средства, большинство СУБД опираются на единый устоявшийся комплекс основных понятий.

Внедрение современных информационных технологий в практику библиотечного и информационно - библиографического обслуживания стало первоочередной задачей многих библиотек. Для ведения библиотечных каталогов, организации поиска требуемых изданий и библиотечной статистики в базе данных библиотеки должны храниться сведения, большая часть которых размещаются в аннотированных каталожных карточках.

Переход к работе в условиях автоматизированной библиотечной системы облегчит не только работу пользователя, но и сотрудников библиотеки. Библиотечная база данных предназначена для хранения данных о приобретенных библиотекой изданиях (монографиях, справочниках, сборниках статей и т.п.), информации о местонахождении отдельных экземпляров (переплетов) каждого издания и сведений о читателях и о сотрудниках.

При помощи автоматизированной системы обрабатывается весь объем поступающих в библиотеку документов, включая отечественные и иностранные монографии, многотомные и продолжающиеся издания, нормативные материалы. В автоматическом режиме создаются библиографические указатели и списки, с помощью принтера печатаются листы инвентарной книги и все виды каталожных карточек для поддержания систематического и алфавитного карточных каталогов

Развитие автоматизации библиотечных процессов, с одной стороны, возрастающие требования читателей к широте библиотечных коллекций, с другой стороны, диктуют необходимость оперативного решения проблемы электроной доставки документов, включащей такие способы, как получение компакт-дисков с полными текстами; электронная подписка на периодику; получение электронных копий из постоянных электронных хранилищ через Интернет. Планируемое ипользование технологий электронной доставки позволит выделить ядро библиотечного фонда на электронных носителях и таким образом позволит создать предпосылки для плавного перехода к созданию на их основе полнотекстовых баз данных.

В результате моей работы была создана база данных библиотеки «СТЭЛС», при помощи которой можно легко найти необходимую книгу, учесть поступление новых книг и списание старых, а также осуществлять контроль за выдачей и возвратом книг имеющихся в фонде библиотеки.

1. СОСТОЯНИЕ ПРОБЛЕМЫ АВТОМАТИЗАЦИИ ФУНКЦИОНИРОВАНИЯ БИБЛИОТЕКИ «СТЭЛС»

 

1.1 Описание проблемы, обзор и анализ публикаций процесса функционирования библиотеки и обоснование его автоматизации


В процессе ознакомления работы библиотеки "Стэлс" стало очевидно, что все действия сотрудников библиотеки осуществлялись вручную.

Для ведения библиотечных каталогов, организации поиска требуемых изданий и библиотечной статистики[32] в базе должны храниться сведения, большая часть которых на данный момент размещается в аннотированных каталожных карточках [34] (рисунок 1.1).

Д27

Дейт К. Руководство по реляционной СУБД DB2 / Пер. с англ. и предисл. М.Р.Когаловского. - М.: Финансы и статистика, 1988. - 320 с.: ил.  ISBN 5-279-00063-9  Книга американского специалиста в области реляционных баз данных К.Дейта, автора популярной в СССР монографии "Введение в системы баз данных" (М.: Наука, 1981), представляет собой руководство по перспективной СУБД фирмы ИБМ DB2, сочетающей возможности широко известной системы IMS/VS и реляционной СУБД.  Для специалистов по программному обеспечению информационных систем и студентов вузов. ББК 32.973

Рисунок 1.1 - Пример каталожной карточки библиотеки

Анализ запросов на литературу (как читателями, так и сотрудниками библиотек) показывает, что для поиска подходящих изданий (по тематике, автору, художнику, издательству и т.п.) и отбора нужного (например, по аннотации) следует выделить следующие атрибуты [32] каталожной карточки:

1 Автор (фамилия и имена (инициалы) или псевдоним каждого автора издания).

Название (заглавие) издания.

Номер тома (части, книги, выпуска).

 Вид издания (сборник, справочник, монография, ...).

 Составитель (фамилия и имена (инициалы) каждого из составителе издания).

Язык, с которого выполнен перевод издания.

Переводчик (фамилия и инициалы каждого переводчика).

. Под чьей редакцией (фамилия и имена (инициалы) каждого из титульных редакторов).

. Художник (фамилия и имена (инициалы) каждого художника-иллюстратора) - для художественных изданий, иллюстрируемых оригинальными рисунками.

Повторность издания (второе, одиннадцатое и т.п.).

Характер переиздания (исправленное, дополненное, переработанное, стереотипное и т.п.).

Место издания (город).

Издательство (название издательства).

Год выпуска издания.

Издательская аннотация или реферат.

Библиотечный шифр (например, ББК 32.973).

Авторский знак (например, Д27)[34].

Библиотечный шифр и авторский знак используются при составлении каталогов и организации расстановки изданий на полках: по содержанию (в соответствии с библиотечным шифром) и алфавиту (в соответствии с авторским знаком) [34].

Библиотечно-библиографическая классификация (ББК) распределяет издания по отраслям знания в соответствии с их содержанием. В ней используется цифро-буквенные индексы ступенчатой структуры [32].

В зарубежных странах такое программное обеспечение существует уже давно. Но так как для отечественных библиотечных центров оно является недоступным из-за отсутствия необходимого количества денежных средств, нужно создавать собственное программное обеспечение, которое позволило

-      усилить контроль над учетом библиотечных кадров и ресурсов;

-        снизить трудозатраты сотрудников библиотеки;

         повысить скорость получения необходимой информации (литература, читатель, сотрудник).

Библиотека «СТЭЛС» состоит из нескольких подразделений:

-        регистрационный отдел;

-        зал технической литературы;

         зал художественной литературы;

         читальный зал.

В регистрационном отделе сотрудник библиотеки регистрирует новую литературу, а также выдает читательские билеты новым читателям. В залах технической и художественной литературы находятся рабочие места сотрудников библиотеки, которые по необходимости осуществляют поиск необходимой литературы и выдают ее на абонемент читателя. В читальном зале литература не выдается читателям на дом, так как здесь находятся издания, выпущенные малым тиражом, поэтому необходим контроль над перемещением литературы.

На рисунке 1.2 будет представлена структурная модель библиотеки "Стэлс".

Рисунок 1.2 - Структура, задачи и исполнители библиотеки "Стэлс"

При поступлении в библиотеку новой литературы, перед сотрудником стоит задача регистрации новых книг. В аннотированную библиотечную карточку сотрудник вносит данные, характеризующие конкретную книгу. Эти данные включают в себя:

-        Название книги;

-        Автор книги;

-        Место и название издательства;

-        Год издательства;

Кроме того, книге присваивается библиотечный шифр и код.

Все эти данные вносятся сотрудником библиотеки вручную.

В библиотеке, создание отчетной документации, выписка по выданной литературе, поиск литературы также производится вручную.

Для оперативной работы сотрудников библиотеки при поиске необходимой литературы, формировании отчетных документов должно быть разработано программное обеспечение на основе требований пользователя.

 

1.2 Анализ альтернативного программного обеспечения по автоматизации работы библиотек


Современный этап развития библиотек натоятельно требует оперативного решения проблемы модернизации библиотечной деятельности на базе внедрения новейших информационных технологий [19]. Наиболее актуальной на сегодняшний день является автоматизация библиотечно-информационного обслуживания, при которой охватываются все основные этапы и участки библиотечного процесса.

Несмотря на большую подготовительную работу по автоматизации библиотек, развернутую в последние годы, реально работающих профессиональных библиотечных систем недостаточно.

Рассмотрим опыт Библиотечно-Информационного Центра Университета «Хазар» по автоматизации библиотеки на основе программного продукта «Follett Library Automation Solutions» [21]. Изучим достигнутые успехи, проблемы и перспективы развития.

Библиотечно-Информационный Центр (БИЦ) Университета «Хазар» является на сегодняшний день единственной моделью библиотечно-информационной интеграции в Украине. Особенностью БИЦ является также то, что он является открытой структурой, предоставляющей всем пользователям право открытого доступа к. библиотечным и информационным ресурсам.

В эффективно работающей автиматизированной библиотечной системе внедрен технологический цикл ввода библиографических описаний единиц фонда в электронный каталог на основе полной совместимости с международным коммуникативным форматом MARC (USMARC), поиска и библиотечной обработки различных видов изданий.

При помощи автоматизированной системы обрабатывается весь объем поступающих в библиотеку документов, включая отечественные и иностранные монографии, многотомные и продолжающиеся издания, диски CD-ROM, видеокассеты, нормативные материалы. В автоматическом режиме создаются библиографические указатели и списки, с помощью принтера печатаются листы инвентарной книги и все виды каталожных карточек для поддержания систематического и алфавитного карточных каталогов.

Все вышеперечисленные процессы выполняются в локальной компьютерной сети, объединяющей все технологические этапы работы с книгой с момента поступления в библиотеку и до определения ее на полку, а именно: комплектование, каталогизацию и систематизацию отечественной и иностранной литературы .

В плане ведення электронного каталога система приоритетов выглядит так. На этапе накопления информации:

Организация ввода всех новых поступлений в библиотеку.

Ведение электронного каталога по приоритетным направлениям.

Компьютеризация основных библиотечных процессов: комплектования, обработки, подписки, работы с периодикой.

Выпуск тематических бюллетеней в виде печатных копий.

На этапе использования:

Организация справочно-информационного обслуживания читателей на базе электронного каталога.

Ведение электронного каталога читателей.

На последующих этапах:

Организация учета книговыдач.

Расширение читательского доступа к информации

В автоматизированной библиотечной системе Follett для унификации элементов библиографической записи используются специальные файлы нормативных (авторитетных) записей (Authority files)[20]. К ним можно отнести машиночитаемые записи авторитетного описания, исходным элементом данных которого является принятый заголовок, представляющий собой имя лица, наименование организации, предмета, темы, унифицированное заглавие, заголовок формы, заглавие сериального издания или многотомника. В дополнение к принятому заголовку запись может содержать все вариантные и связанные заголовки, от которых формируютя ссылки; примечания об источниках информации; информационные примечания и т. п.

Стратегия развития электронного каталога предусматривается в тесной взаимосвязи с Интернет. Планируется целесообразным строить работу БИЦ в Интернет по следующей схеме:

собственный каталог и другие ресурсы на собственном Web-сервере;

использование Интернет-технологий для задач автоматизации;

дополнительная сервисная информация и услуги для клиентов Web-сервера.

Развитие автоматизации библиотечных процессов в БИЦ , с одной стороны, возрастающие требования читателей к широте библиотечных коллекций, с другой стороны, диктуют необходимость оперативного решения проблемы электроной доставки документов, включащей такие способы, как получение компакт-дисков с полными текстами; электронная подписка на периодику; получение электронных копий из постоянных электронных хранилищ через Интернет. Планируемое ипользование технологий электронной доставки позволит выделить ядро библиотечного фонда на электронных носителях и таким образом позволит создать предпосылки для плавного перехода к созданию на их основе полнотекстовых баз данных.

Решение этой важной задачи осложнялось тем, что библиотеки, которые в течение ряда лет добровольно участвовали в создании СКП в традиционной (печатной) форме, находятся на разных уровнях автоматизации и используют разные прикладные программы автоматизации, а многие из них вообще не имеют каких-либо средств автоматизации.

Настоящий проект предусматривает разработку, ввод в эксплуатацию и апробирование первой очереди Региональной Системы Электронных Каталогов Периодических Изданий (РСЭК-ПИ), создаваемой на корпоративной основе группой библиотек г. Харькова, Центром новых информационных технологий Национального технического университета "Харьковский политехнический институт" (ЦНИТ НТУ ХПИ) и Научно-информационным центром Ассоциации современных информационно-библиотечных технологий (НИЦ АСИБТ).

Главная проблема, на решение которой направлен проект, состоит в том, что постоянно возрастающие потребности пользователей в оперативном получении информации о периодических изданиях, выписываемых (получаемых) библиотеками города, при сущестующей системе информирования граждан и организаций не могут быть удовлетворены с должной оперативностью и полнотой.

Проблема обеспечения оперативного поиска информации в периодических изданиях особенно актуальна для города Харькова, который является крупнейшим в Украине центром науки и высшего образования, занимая по всем показателям развития научно-образовательной сферы (количество НИУ и ВУЗов, численность специалистов, ученых и преподавателей, занятых НИОКР, темпы подготовки научных кадров, интенсивность научных публикаций и др.) второе (после Киевского) место и значительно опережая по этим показателям другие регионы страны.

Таблица 1.1 - Список библиотек - участниц проекта сводного каталога периодических изданий

Сигла

Наименование библиотеки

АБИС, БД(для ЛКП)

Нали-чие WEB-site

Он-лайновый доступ

№ оч.





к ЛКП

к АО стат.


1

Харьковская государственная научная библиотека им. В.Г. Короленко

FoxPro

Есть

Нет

Нет

1

2

Центральная научно-техническая библиотека ХАРПНТЭИ

Нет

Нет

Нет

Нет

3

4

Харьковская областная универсальная научная библиотека

Нет

Нет

Нет

Нет

2

5

Городская специальная музыкально-театральная библиотека им. К.С.Станиславского

Нет

Нет

Нет

Нет

3

6

Харьковская областная библиотека для детей

Нет

Нет

Нет

Нет

3

7

ЦНБ Харьковского национального университета им.В.Н.Каразина

МАРК, ЛИБЭР

Есть

Нет

Нет

2

10

Библиотека Харьковского гос. института исскуств им. И.П.Котляревского

Нет

Нет

Нет

Нет

3

11

НТБ Харьковского государственного технического университета сельского хозяйства

АЙСИС

Нет

Нет

Нет

2

13

Библиотека Национальной фармацевтической Академии Украины

ЛИБЭР

Есть

Есть

Есть

1

14

Фундаментальная библиотека Национальной юридической академии Украины им. Я.Мудрого

САБ

Есть

Нет

Нет

1

15

Библиотека Харьковского государственного медицинского университета

МАРК

Есть

Нет

Нет

2

19

НТБ Харьковского государств-го автодорожного университета

АИСТ

Есть

Есть

Есть

2

22

Библиотека Украинской инженерно-педагогической академии

ЛИБЭР

Нет

Нет

Нет

2

23

НТБ НТУ "Харьковский политехнический университет"

САБ

Есть

Есть

Есть

1

24

Библиотека Харьковского гос. технич. унив-та строительства и архитектуры

Нет

Нет

Нет

Нет

3

25

Харьковская государственная научная медицинская библиотека

АЙСИС

Нет

Нет

Нет

3

26

Библиотека "Української Правничої Фундації" при НЮАУ

Нет

Нет

Нет

Нет

3

27

НТБ государственного технического университета радиоэлектроники

МАРК

Есть

Нет

Нет

2

28

Библиотека (НИГЦ) ХГИ "НУА"

АИСТ

Есть

Есть

Есть

1

29

НТБ Харьковской академии городского хозяйства

ЛИБЭР

Нет

Нет

Нет

2


В более крупных библиотеках используются такие программы как:

Библиотека 4.0 <#"699323.files/image002.jpg">

Рисунок 2.1 - Контекстная диаграмма библиотеки

На вход подается информация о новой литературе. Выходом системы является выходные документы (отчеты).

Проведем декомпозицию системы, которая будет показана на рисунке 2.2.

Рисунок 2. 2 - Декомпозиция системы

Процесс движения новой информации о литературе состоит из следующих действий:

1 Регистрация новой литературы;

2        Занесение в БД новой информации;

         Генерация отчета.

Разбивка блока «Генерация отчета» будет показана на рисунке 2.3.

Блок «Генерация отчета» разбивается далее на такие блоки:

- Обработка информации об истории перемещения литературы;

-        Обработка информации о взятой литературе;

         Заполнение полей.

Рисунок 2.3 - Разбивка блока «Генерация отчета»

 

2.3 Разработка концептуальной модели


Модель “сущность-связь” описывается в терминах сущность, связь, значение. Сущность - понятие которое может быть идентифицировано. Связь - соединение сущностей. Для представления связей и сущностей введен специальный метод: ER-диаграма. Различаются сущности трех основных классов: стержневые, ассоциативные и характеристические. Стержневая сущность - это независимая сущность (ей свойственно независимое существование). Ассоциативная сущность или ассоциация рассматривается как связь между двумя или более сущностями типа "многие -ко- многим" или подобные им. Характеристическая сущность (или характеристика) представляет собой сущность, единственная цель которой, в рамках рассматриваемой предметной области, состоит в описании или уточнении некоторой другой сущности. ER-диаграма - графическое представление взаимосвязей сущностей. Каждое множество сущностей представляется прямоугольником, а множество связей - ромбом. Связи могут быть трех типов: “один к одному”, “один ко многим”, “многие ко многим”. данные типы связи присущи реляционной модели, как и сущности, которым в реляционной модели соответствуют таблицы.

Концептуальная структура состоит из: основных элементарных данных проблемной области, называемых сущностями; элементарных данных, описывающих сущности и называемых атрибутами; ассоциации между экземплярами элементарных данных, называемых связями.

Атрибут или группа атрибутов, однозначно идентифицирующие экземпляр сущности, называются ключом сущности.

Первичный ключ уникально идентифицирует строку в отношении, и каждое отношение может иметь только один первичный ключ, даже если больше чем один атрибут является уникальным.

Каждый элемент сущности обладает конкретными значениями атрибутов, при чем не существует двух разных элементов с одинаковыми значениями.

В процессе анализа были выделены следующие сущности:

- Литература (Literature), смотри таблицу 2.1.

-        Наименование литературы (Literature_Name), смотри таблицу 2.2.

         Типография (Tepography) , смотри таблицу 2.3.

         Автор (Author), смотри таблицу 2.4.

         Страна (Country), смотри таблицу 2.5.

         Город (City), смотри таблицу 2.6.

Между сущностями были установлены связи приведенные на рисунке 2.3.

1       1


m                                           n

        

n                                            1

m                                   1

n 1

n 1


n                                            1

                                                1

                                               n

Рисунок 2.3 - Связи между сущьностями

Распишем каждую сущность с ее набором атрибутов.

Таблица 2.1 - Литература (Literature)

Название поля

Значение поля

No_Name

Имя

Lit_Type

Тип литературы

No_Autor

Автор

No_Tep

Типография

Print_Data

Вывод даты


Таблица 2.2 - Наименование литературы (Literature_Name)

Название поля

Значение поля

Lit_Name

Наименование литературы


Таблица 2.3 - Типография (Tepography)

Название поля

Значение поля

No_Сity

Город

Tep_Name

Наименование типографи


Таблица 2.4 - Автор (Author)

Название поля

Значение поля

Autor_Fam_NP

Ф.И.О. автора

Live_Data

Дата рождения

Death_Data

Дата смерти

No_Country

Страна


Таблица 2.5 - Страна (Country)

Название поля

Значение поля

Сoun_Name

Название страны


Таблица 2.6 - Город (City)

Название поляЗначение поля


No_Сountry

Страна

City_Name

Название города

2.4 Построение логической и физической модели


Для построения логической и физической моделей, которые используются для более широкого раскрытия сути модели, используем такое CASE-средство как Erwin [28].

ERwin имеет два уровня представления модели - логический и физический. На логическом уровне данные не связаны с конкретной СУБД, поэтому могут быть наглядно представлены даже неспециалистов. Физический уровень данных - это по существу отображение системного каталога, который зависит от конкретной реализации БД. Общая логическая схема БД представлена на рисунке 2.4. Выделенная часть схемы отображает базу данных учета литературы.

Самым нижним уровнем представления базы данных является физический уровень. Физическая организация данных оказывает основное влияние на эксплуатационные характеристики проектируемой базы, так как именно на этом уровне осуществляется её привязка к физической памяти сущности и атрибуты модели .

Основная единица данных в физических структурах - хранимая запись. Хранимая запись представляет собой совокупность связанных элементов данных (атрибутов), которая соответствует одной или нескольким логическим записям; она содержит все необходимые указатели, длину записи и некоторые дополнительные данные.

Рисунок 2.4 - Логическая модель базы данных

Основная единица данных в физических структурах - хранимая запись. Хранимая запись представляет собой совокупность связанных элементов данных (атрибутов), которая соответствует одной или нескольким логическим записям; она содержит все необходимые указатели, длину записи и некоторые дополнительные данные. Иными словами, хранимая запись расширяет понятие логической записи вплоть до учёта действительных форматов памяти. Файл - множество аналогично построенных хранимых записей одного типа. Хранимые в файле записи могут иметь одинаковую или разную длину. Физическая база данных представляет собой совокупность совместно хранимых взаимосвязанных данных, состоящую из одного или нескольких типов хранимых записей. Файлы могут рассматриваться как вырожденная форма базы данных, содержащей хранимые записи только одного типа.

В общем случае проектирование физической базы данных (или физическое проектирование) - это процесс создания эффективной реализуемой структуры физической базы данных по заданной логической структуре, полученной исходя из требований пользователя к информации. Общая физическая модель БД представлена на рисунке 2.5. Выделенная часть схемы отображает базу данных учета литературы.

Рисунок 2. 5 -Физическая модель базы данных

 

Выводы по разделу

В данной главе были выбраны методологии и технологии моделирования, а так же, при помощи CASE- средств, были построены функциональная, логическая и физическая модели ПО автоматизированной информационной системы технической библиотеки производственного предприятия «Стэлс».

3. АЛГОРИТМИЗАЦИЯ ПРОЦЕССА ФУНКЦИОНИРОВАНИЯ БИБЛИОТЕКИ ХГАПП

 

3.1 Выбор метода построения алгоритмов


Алгоритмизация в самом общем виде может быть определена как процесс направленного действия проектировщика (группы проектировщиков), необходимый для выработки алгоритмов, достаточных для реализации создаваемого объекта (системы), удовлетворяющего заданным требованиям. Завершающим этапом алгоритмизации является выпуск набора алгоритмов, отображающий решения, принятые проектировщиком, в форме, необходимой для производства объекта (системы). При проектировании системы я использовала два класса алгоритмов:

-        Алгоритмы реляционной алгебры, необходимые для работы с БД.

Алгоритм - это конечная последовательность правил, приводящая к результату [16]. Решение любой задачи, в частности составление программы, предполагает, прежде всего, разработку алгоритма. Именно на разработку алгоритма решения задачи уходит львиная доля усилий при составлении программы. Но зато, если есть в распоряжении алгоритм, для квалифицированного программиста не составляет большого труда записать этот алгоритм на алгоритмическом языке, то есть составить программу. С другой стороны, программист, разрабатывая алгоритм, должен учитывать особенности среды программирования, в которой будет создаваться программа, свой личный опыт, имеющиеся в распоряжении ранее разработанные алгоритмы и программы. Это означает, что если для решения задачи имеются различные способы, то есть могут быть составлены различные алгоритмы, то существует возможность выбора наиболее лучшего алгоритма [2].

Разработка алгоритма заключается в разложении вычислительного процесса на составные части, установление порядка их следования, описание каждой из частей в той или иной форме с последующей проверкой, которая должна показать правильность выбранного метода. Процесс разработки алгоритма - алгоритмизация - проходит в несколько этапов детализации [35]. Первоначально создается укрупненная схема алгоритма, затем на каждом этапе детализации проводится проверка и исправление этой схемы.

Каждый алгоритм должен быть:

- понятным для данного исполнителя, т.е. содержать предписания о выполнении только таких действий и о проверке только таких свойств объекта, которые входят в систему команд исполнителя;

-        дискретным, т.е. выполняться команды алгоритма должны последовательно, с точной фиксацией моментов окончания выполнения одной команды и начала выполнения следующей;

         определенным, т.е. должны быть точные сведения о том, что после выполнения каждой очередной команды будет завершено выполнение алгоритма, или о том, какая следующая команда должна будет выполниться после текущей;

         результативным, т.е. алгоритм должен обеспечивать возможность получения результата за конечное число шагов [35].

Все алгоритмы могут быть разбиты на простейшие алгоритмы, которые принадлежат к одному из трех типов:

линейный вычислительный процесс [2];

разветвляющийся вычислительный процесс [2];

циклический вычислительный процесс [2].

Линейный вычислительный процесс представляет собой последовательность однократно выполняемых действий.

В разветвляющемся вычислительном процессе проверяется некоторое условие и в зависимости от того, выполняется оно или нет, вычисления идут по одной либо другой ветви.

Циклическим является вычислительный процесс, содержащий группу многократно повторяющихся операторов, то есть цикл [4].

В процессе описания разработки алгоритма можно использовать различные способы:

- словесная форма описания алгоритма [16];

-        блок-схема алгоритма [2,13];

         псевдокод [18]

Словесная форма описания алгоритма - запись алгоритма средствами обычного языка, но с тщательно выбранным набором слов и фраз, не допускающих двусмысленности, повторений, синонимов. Кроме этого в словесной форме принимаются определенные соглашения о форме записи, порядке выполнения действий, допускается использование математических символов [2].

Блок-схема - графическое представление алгоритма, дополненное элементами словесной записи. Каждый пункт алгоритма отображается на схеме некоторой геометрической фигурой - блоком, причем каждый блок различен по типу выполнения действий [2,13].

Псевдокод - представляет собой метод применения естественного языка для описания алгоритма, но с использованием конструкций, близких к конструкциям структур языка программирования. Он позволяет создать машинно-независимое описание алгоритма. Псевдокод состоит из таких предложений, которые могли бы быть выполнены ПЭВМ, но он может также содержать фразы в свободной форме [35].

Из всех выше перечисленных способов описания алгоритма наиболее наглядным является блок-схема, поэтому для описания алгоритмов системы используется этот способ.

 


3.2 Описание алгоритмов для функционирования библиотеки


На рисунке 3.1 будет представлена блок-схема алгоритма управления доступом.

Рисунок 3.1 - Блок-схема алгоритма управления доступом

Пароль входа в систему необходим для сохранения целостности данных и разограничения доступа к информации, находящейся в базе данных, а также предохраняет систему от несанкционированного доступа.

Выполнение запросов будет осуществляться по алгоритму, блок-схема которого представлена на рисунке 3.2.

Для получения конкретной информации необходимо ввести запрос. При корректном вводе запроса, система выдает соответствующую информацию. Если же запрос введен не корректно, то система выдает сообщение об ошибке.

Рисунок 3.2 - Блок-схема алгоритма выполнения запросов

Для получения конкретной информации необходимо ввести запрос. При корректном вводе запроса, система выдает соответствующую информацию. Если же запрос введен не корректно, то система выдает сообщение об ошибке.

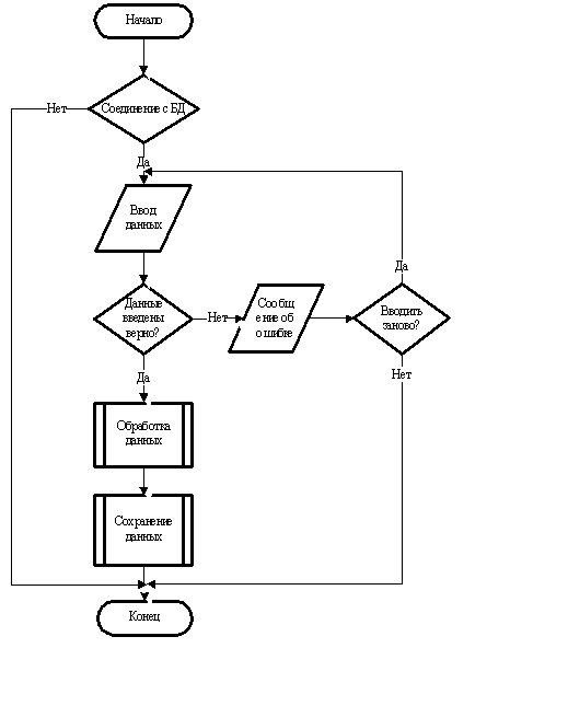
Блок-схема алгоритма ввода и обработки данных будет представлен на рисунок 3.3.

Ввод и обработка данных осуществляется при условии соединения с базой данных библиотеки. При корректном вводе данных, система их обрабатывает и сохраняет в базе данных библиотеки. При неправильном вводе данных система выдает сообщение о не корректном вводе данных.

Рисунок 3.3 - Блок-схема алгоритма ввода и обработки данных

На рисунке 3.4 будет представлена блок-схема алгоритма выдачи отчета.

Рисунок 3.4 - Блок-схема алгоритма выдачи отчета

Для того, чтобы вывести отчет, необходимо правильно заполнить все поля на соответствующей форме. Если поля введены не верно, то система выдает сообщение об ошибке. При правильном вводе полей отчет генерируется. Если принтер не подключен, то система выдает сообщение об ошибке, а если подключен, то выполняется вывод отчета.

На рисунке 3.5 будет представлена блок-схема алгоритма добавления литературы в БД

Рисунок 3.5 - Блок-схема алгоритма добавления литературы в БД

Для того, чтобы занести данные о новой литературе в базу данных библиотеки, необходимо корректно ввести данные о названии книги (журнала, газеты), Ф.И.О. автора и данные о типографии. При не корректном вводе данных система выдает сообщение об ошибке. После правильного ввода данных на форме, данные заносятся в базу данных библиотеки.

На рисунке 3.6 будет представлена блок-схема алгоритма работы системы в режиме просмотра.

По блок-схеме данного алгоритма можно просмотреть работу автоматизированной системы по обеспечению функционирования библиотеки в общем виде.

Рисунок 3.6 - Блок-схема алгоритма работы системы в режиме просмотра

Выводы по разделу

В данной главе был выбран и обоснован метод написания алгоритма, разработаны и описаны основные алгоритмы.

4. ПРОЕКТИРОВАНИЕ ПРОГРАММНОГО ОБЕСПЕЧЕНИЯ ДЛЯ АВТОМАТИЗАЦИИ ФУНКЦИОНИРОВАНИЯ БИБЛИОТЕКИ «СТЭЛС»

 

4.1 Выбор и обоснование используемых аппаратных средств


В данный момент существует несколько различных фирм, изготовляющих процессоры, которые по своим характеристикам отличаются друг от друга. Основными характеристиками, которые оказывают значительное влияние на выбор процессора, являются:

тактовая (рабочая) частота - количество выполняемых операций в 1 с.;

кэш-память;

системная шина;

производительность модулей, выполняющих операции с целыми числам, с числами с плавающей запятой, со специфическими данными [29].

При работе с математическими вычислениями существенно влияет на производительность ПО тактовая частота и производительность модулей процессора. Однако при одинаковом значении тактовой частоты, процессоры различных серий отличаются производительностью модулей [1].

Проведем выбор процессора из следующих моделей, которые широко представлены на рынке компьютерной техники:

1 Intel Pentium;

2        Intel Celeron;

3        AMD Athlon;

Для определения наилучшего процессора (используя данные [29]), подходящего для выполнения математических вычислений, проведем оценку этих моделей по пятибалльной системе. Результат будет приведен в таблице 4.1.

Таблица 4.1 - Определения наилучшего процессора

Модель процессора

Эффективность работы блока операций с целыми числами

Эффективность работы блока операций с плавающей запятой

Pentium

5

5

Celeron

4

3

Athlon

4

5


Таким образом, для решения поставленной задачи рекомендуется использовать процессор Intel Pentium с тактовой частотой не менее 1,33 ГГц.

 

4.2 Выбор и обоснование используемых программных средств


Так как в «Стэлс» на ПК установлена ОС Windows, то в требованиях заказчика было указано, что ПО должно быть разработано только для ОС Windows XP или выше.

Инструментальные средства разработки, которые будут использоваться при разработке рассматриваемого программного обеспечения должны обладать следующими характеристиками:

- поддержка объектно-ориентированного программирования

-        предоставление средств разработки приложений для операционных систем Windows XP.

Среди доступных инструментальных средств разработки программного обеспечения, которые предоставляют эти возможности, можно выделить три наиболее часто используемых:

- Microsoft Visual C++ 6.0 [23];

-        Borland Delphi 7.0 [5];

         Borland C++ Builder 6.0 [25];

Visual C++ - разработка фирмы Microsoft - представляет собой инструмент для создания 32-х разрядных приложений. В его состав входит библиотека классов Microsoft Foundation Classes (MFC), которая позволяет реализовать доступ к системным ресурсам. Визуальные средства разработки интерфейса пользователю делают процесс компоновки разнообразных меню и диалоговых окон довольно удобным, однако этот процесс является очень трудоемким и требует дополнительного опыта в создании приложения. Также для нормальной работы среды необходимо наличие достаточно мощного ПК.

Delphi - разработка фирмы Borland Inprise Corporation - среда разработки программ, ориентированных на работу в операционных системах семейства Windows. Программы в Delphi создаются на основе современной технологии визуального проектирования, которая, в свою очередь, базируется на идеях ООП. Языком программирования является Object Pascal. В этой среде сравнительно с Visual C++ хуже реализованы функции системного доступа, но зато она не требует для своей работы очень мощного ПК.

C++ Builder разработан также фирмой Borland Inprise Corporation. В этой среде приложения создаются на основе технологии визуального проектирования, аналогично среде Delphi. Языком программирования является С++. C++ Builder также не требует для нормальной разработки приложений мощного ПК, но существуют и некоторые недостатки. Реализация математических вычислений в этой среде производится значительно хуже, чем в выше описанных средах.

Выбираем следующие критерии, по которым будем осуществлять выбор:

1 доступность необходимых бесплатных дополнительных библиотек;

2        время, затрачиваемое на разработку;

         требования к вычислительным ресурсам ПК;

         эффективность выполнения математических операций;

         скорость работы разработанного программного обеспечения;

         удобство эксплуатации.

Как дополнение к перечисленному, можно указать, что время разработки зависит от: поддержки выбранным инструментарием ОС, аппаратной поддержки, необходимой для их оптимального функционирования; наличия предварительного опыта у разработчиков в использования соответствующих программных средств. Обеспечить минимальное время разработки можно только при выполнении этих условий.

Исходя из приведенных требований, выделим следующие характеристики средств разработки программного обеспечения:

- наличие опыта разработки с использованием данного программного продукта;

-        требования по ресурсам;

         поддержка операционной системы;

         наглядность разработки интерфейса;

         предоставляемые возможности работы с базами данных;

         доступность;

         скорость работы разработанного программного обеспечения;

         обработка исключительных ситуаций;

         время создания разработанного программного обеспечения;

         удобство эксплуатации.

Для вышеперечисленных средств для разработки АС воспользуемся методом вариантных обоснований. Этот метод предназначен для выбора наилучшего варианта из нескольких предложенных и состоит из следующих этапов:

- определение критериев, по которым будет произведено сравнение и степени их важности.

-        каждый вариант оценивается по полученному перечню критериев. Получается численное значение - оценка.

         нахождение общего количества баллов для каждого из вариантов (можно учитывать важность критериев ).

         лучшим считается вариант, который набрал максимальное количество баллов.

Для решения поставленной задачи будем использовать перечень характеристик, приведенный выше.

Результат оценивания по выбранным критериям будет представлен в таблице 4.2.

Таблица 4.2 - Выбор средст разработки

Характеристика средств разработки

Delpi

Visual C++

Borland C++ Buielder

Наличие опыта разработки с использованием данного программного продукта

8

6

4

Требования по ресурсам

7

6

6

Поддержка операционной системы

8

8

8

Наглядность разработки интерфейса

9

7

8

Предоставляемые возможности работы с базами данных

8

6

4

Скорость работы разработанного программного обеспечения

6

7

8

Обработка исключительных ситуаций

8

8

8

Время создания разработанного программного обеспечени

9

6

5

Удобство эксплуатации

7

8

8

Вего:

80

62

59


В результате выполненного анализа инструментальных средств выявили, что в качестве средства разработки АС «Библиотека» будет использован Delphi, как наиболее оптимальное средство разработки с точки зрения разработчика.

 

4.3 Архитектура проектирования


Проектирование - итерационный процесс, при помощи которого требования к программному обеспечению транслируются в инженерные представления программного обеспечения [30]. Вначале эти представления дают только концептуальную информацию (на высоком уровне абстракции), последующие уточнения приводят к формам, которые близки к текстам на языках программирования. Обычно в проектировании выделяют две ступени: предварительное (архитектурное) проектирование и детальное проектирование. Предварительное проектирование формирует абстракции архитектурного уровня, детальное проектирование уточняет эти абстракции, добавляет подробности алгоритмического уровня. Кроме того, во многих случаях выделяют интерфейсное проектирование, цель которого - сформировать графический интерфейс пользователя [37]. Схема информационных связей процесса проектирования будет приведена на рис. 4.1.

Архитектура Структуры данных и

Требования программы                                              алгоритмы



Характеристики, формы

Рисунок 4.1 - Процесс проектирования

 

4.4 Детальное проектирование

 

.4.1 Моделирование управления

Известны два типа моделей управления:

- модель централизованного управления;

-        модель событийного управления.

В модели централизованного управления одна подсистема выделяется как системный контроллер. Ее обязанности - руководить работой других подсистем.

В модели событийного управления системой управляют внешние события.

В процессе выполнения моделирования была выбрана модель централизованного управления.

На рисунке 4.2 будет представлена логическая модель связей управления между частями программного обеспечения для автоматизации функционирования библиотеки.

На рисунке 4.3 будет представлена функциональная схема работы автоматизированной системы.

Рисунок 4.3 - Функциональная схема работы АС учета литературы

4.4.2 Архитектура модулей

В процессе выполнения детального проектирования была создана архитектура программного обеспечения для автоматизации функционирования библиотеки, которая будет представлена на рисунке 4.4.

4.4.3 Описание модулей

MainUnit.pas - главный модуль. Он предназначен для управления другими модулями. Также выполняет загрузку и сохранение параметров положения всех модулей на экране при открытии и закрытии программы соответственно.

PromtUnit.pas - модуль соединения с базой данных.

LitUnit.pas - модуль ввода информации о литературе.

TepUnit.pas - модуль ввода информации о типографии.

AddLitUnit.pas - модуль добавления литературы.

AutorNameUnit.pas - модуль ввода автора.

ReaderUnit.pas - модуль работы с читателями.

BookNameUnit.pas - модуль ввода названия книги.

TepNameUnit.pas - модуль ввода типографии.

MPNameUnit.pas - модуль ввода даты выпуска книги.

CityUnit.pas - модуль ввода города.

CountryUnit.pas - модуль ввода страны.

CityNameUnit.pas - модуль ввода названия города.

CountryNameUnit.pas - модуль ввода названия страны.

LIBRARYHelp - модуль справочной информации. Назначение: вывод информации о программе и разработчике.

В таблицах 4.3-4.15 будет приведено описание процедур и функции основных модулей - MainUnit.pas, PromtUnit.pas., LitUnit.pas. TepUnit.pas, AddLitUnit.pas, AutorNameUnit.pas, BookNameUnit.pas, TepNameUnit.pas, MPNameUnit.pas, CityUnit.pas, CoutryUnit.pas, CityNameUnit.pas, CountryNameUnit.pas.

Таблица 4.3 - Описание процедур и функции модуля MainUnit.pas

Название

Назначение

TMainFrm.FormCreate

Создание главного модуля

TMainFrm.N8Click

Вызов справки главного модуля

TMainFrm.FormClose

Закрытие формы главного модуля

Таблица 4.4 - Описание процедур и функции модуля PromtUnit.pas

Название

Назначение

TLoginPromtFrm.FormCreate

Создание формы

TLoginPromtFrm.Button1Click

Ввод пароля

TLoginPromtFrm.Button2Click

Ввод пользователя

TLoginPromtFrm.Button3Click

Открытие главного окна

TLoginPromtFrm.FormClose

Закрытие формы соединения с БД


Таблица 4.5 - Описание процедур и функции модуля LitUnit.pas

Название

Назначение

TLitFrm.FormCreate

Создание формы о литературе

TLitFrm.GetBooks

Выдать книгу

TLitFrm.GetMagazines

Выдать журнал

TLitFrm.GetPapers

Выдать газету

TLitFrm.AddBook

Добавление книги

TLitFrm.AddPaper

Добавление газеты

TLitFrm.AddMagazine

Добавление журнала

TLitFrm.UpdBook

Обновить книги

TLitFrm.UpdMagazine

Обновить журналы

TLitFrm.UpdPaper

Обновить газеты

TLitFrm.DelLit

Удаление данных о литературе

TLitFrm.LitSearchBtnClick

Поиск литературы

TLitFrm.AddLitBitClick

Добавление литературы

TLitFrm.BitBtn5Click

Ввод названия

TLitFrm.BitBtn3Click

Обновление литературы

TLitFrm.BitBtn4Click

Удаление литературы

TLitFrm.SDateKeyPress

Ввод даты


Таблица 4.6 - Описание процедур и функции модуля TepUnit.pas

Название

Назначение

TTepFrm.FillCountryCB

Создание списка стран

TTepFrm.FillCityCB

Создание списка городов

TTepFrm.GetTepography

Выдать типографию

TTepFrm.FormShow

Вывод формы

TTepFrm.CountriesCBChange

Изменить страну

TTepFrm.CitiesCBChange

Изменить город

TTepFrm.BitBtn3Click

Выбор типографии

TTepFrm.BitBtn2Click

Ввод новой типографии

TTepFrm.BitBtn1Click

Создание формы

TTepFrm.BitBtn4Click

Удаление данных о типографии

TTepFrm.BitBtn5Click

Добавление типографии


Таблица 4.7 Описание процедур и функции модуля AddLitUnit.pas

Название

Назначение

TAddLitFrm.FormCreate

Создание формы добавления литературы

TAddLitFrm.OkBtnClick

Заполнение полей добавления литературы


Таблица 4.8 - Описание процедур и функции модуля AutorNameUnit.pas

Название

Назначение

TAuthorNameFrm.OkBtnClick

Заполнение полей об авторе

TAuthorNameFrm.CancelBtnClick

Отмена добавления автора

TAuthorNameFrm.EBDateKeyPress

Добавление автора


Таблица 4.9 - Описание процедур и функции модуля BookNameUnit.pas

Название

Назначение

TBookNameFrm.FormCreate

Создание формы названия книги

TBookNameFrm.Button1Click

Ввод полей названия книги

TBookNameFrm.BNameKeyPress

Принять добавление названия книга

TBookNameFrm.PDateKeyPress

Отменить добавление


Таблица 4.10 - Описание процедур и функции модуля TepNameUnit.pas

Название

Назначение

TTepNameFrm.Button1Click

Добавить название типографии

TTepNameFrm.Button2Click

Отменить добавление типографии


Таблица 4.11 - описание процедур и функции модуля MPNameUnit.pas

Название

Назначение

TMPNameFrm.OkBtnClick

Ввод даты выпуска

TMPNameFrm.CancelBtnClick

Отменить добавление

TMPNameFrm.PDateKeyPress

Добавление даты выпуска

Таблица 4.12 - описание процедур и функции модуля CityUnit.pas

Название

Назначение

TCityFrm.FillCountryCB

Создание списка стран

TCityFrm.GetDataFromCity

Выдать список городов

TCityFrm.CountriesCBSelect

Выделить страну

TCityFrm.OkBtnClick

Выбрать город

TCityFrm.AddCityBtnClick

Добавить город

TCityFrm.UpdCityBtnClick

Обновить города

TCityFrm.DelCityBtnClick

Удалить город

TCityFrm.AddCountryBtnClick

Добавить страну

TCityFrm.CountryBtnClick

Закрытие формы


Таблица 4.13 - Описание процедур и функции модуля CoutryUnit.pas

Название

Назначение

TCountryFrm.GetDataFromCountry

Выдать список стран

TCountryFrm.AddCountryBtnClick

Добавить страну

TCountryFrm.OkBtnClick

Выбрать страну

TCountryFrm.UpdCountryBtnClick

Обновить список стран

Удалить страну


Таблица 4.14 - Описание процедур и функции модуля CityNameUnit.pas

Название

Назначение

TCityNameFrm.Button1Click

Ввод названия города

TCityNameFrm.Button2Click

Добавить название города

TCityNameFrm.CNameKeyPress

Отменить добавление


Таблица 4.15 - Описание процедур и функции модуля CountryNameUnit.pas

Название

Назначение

TNameFrm.Button2Click

Ввод названия страны

TNameFrm.CNameKeyPress

Добавить название страны

 

4.5 Интерфейсное проектирование


Интерфейсное проектирование выполнялось параллельно с детальным проектированием.

Структура интерфейса соответствует архитектуре модулей (см. рисунок 4.4.), так как каждый модуль, представленный в этой структуре, имеет свою интерфейсную часть.

Так как главный модуль MainUnit.pas предназначен только для управления другими модулями, то на его форме находятся следующие элементы управления: меню с вызовом других модулей и панель инструментов с клавишами для выполнения главных операций. Форма главного модуля будет представлен на рисунке 4.5.

Рисунок 4.5 - Экранная форма главного модуля

Модуль PromtUnit.pas предназначен соединения с базой данных библиотеки. Поэтому на интерфейсной части этого модуля находится компонента для ввода пути, ввода пользователя и ввода пароля. Экранная форма этого модуля будет представлена на рисунке 4.6.

Модуль LitUnit.pas предназначен для ввода информации о литературе. Поэтому на интерфейсной части этого модуля находится компонента для ввода названия литературы, названия автора и названия типографии. Форма этого модуля будет представлена на рисунок 4.7.

Рисунок 4.6 - Экранная форма модуля соединения с БД

Рисунок 4.7 - Экранная форма модуля ввода литературы

Модуль AddLitUnit.pas предназначен для добавления литературы в базу данных.

На рисунок 4.8 будет представлена форма модуля добавления литературы.

Рисунок 4.8 - Экранная форма модуля добавления литературы

Модуль AutorNameUnit.pas предназначен для добавления авторов в базу данных.

На рисунке 4.9 и 4.10 будут представлены формы модуля добавления авторов.

Рисунок 4.9 - Экранная форма модуля добавления авторов

Рисунок 4.10 - Экранная форма модуля добавления авторов

Модуль BookNameUnit.pas предназначен для добавления, изменения названия литературы. Форма этого модуля будет представлена на рисунке 4.11.

Рисунок 4.11 - Экранная форма модуля ввода названия литературы

Модуль TepNameUnit.pas предназначен для добавления, изменения названия литературы. Форма этого модуля представлена на рисунке 4.12.

Модуль MPNameUnit.pas предназначен для ввода даты выпуска конкретной литературы. Поэтому, на интерфейсной части этого модуля размещено поле для ввода даты выпуска книги.

Рисунок 4.12 - Экранная форма модуля ввода названия типографии

Рисунок 4.13 - Экранная форма модуля ввода даты выпуска конкретной книги

Также разработана справочная система к ПО. В ней представлена краткая информация о рабочей области, о вспомогательных окнах программы и ошибочных действиях оператора. На рисунке 4.14 будет представлен общий вид справочной системы.

Рисунок 4.14 - Экранная форма справочной системы

 

Выводы


В данной главе были выбраны и обоснованы программные и аппаратные средства, а так же было произведено архитектурное и детальное проектирование данного программного продукта.

5. ВЕРИФИКАЦИЯ И ВАЛИДАЦИЯ ПРОГРАММНОГО ОБЕСПЕЧЕНИЯ АВТОМАТИЗАЦИИ ФУНКЦИОНИРОВАНИЯ БИБЛИОТЕКИ ХГАПП

 

5.1 Цель разработки


Целью разработки программного обеспечения для автоматизации функционирования библиотеки является:

- усилить контроль над учетом библиотечных ресурсов;

-   снизить трудозатраты сотрудников библиотеки «Стэлс»;

-   повысить скорость получения необходимой информации (литература).

 

5.2 Название разработки


Программное обеспечение для автоматизации функционирования библиотеки.

Ожидаемые результаты:

1 Занесение, удаление информации, просмотра литературы, формирование полного отчета о проделанной работе.

2        Формирование отчетов о взятой литературе.

 

5.2.1 Функциональное назначение

Автоматизированная система «Библиотека» состоит из двух частей: клиентской и серверной части.

Серверная часть содержит:

- базу данных, которая предназначена для хранения информации о литературе;

-   процедуры для изменения состояния базы данных.

Клиентская часть приложения должна выполнять следующие функции:

- обеспечивать занесение информации о литературе с возможностью ее модификации и возможным удалением.

-   вывод информации о библиотечных ресурсах;

-   составление отчета о невозвращенной литературе.

 

5.2.2 Эксплутационное назначение

Для данной системы предусмотрен один режим.Режим администратора предназначен для внесения, модификации, удаления информации о ресурсах библиотеки.

 

5.3 Требование к аппаратному обеспечению


Разработанный программный продукт должен функционировать на компьютере со следующей минимальной конфигурацией:

процесор с тактовой частотой не менее 800 Гц;

ОЗУ не менее 128 Мб;

не менее 100 Mb свободного места на жестком диске;

- наличие USB-порта.

 

5.3.1 Требование к операционной системе

- MS Windows ХР.

 

5.4 Проектирование тестирования и отладки программных средств


Верификация - это действия по проверке, инспекции, тестированию, контролю, ревизии или иному установлению и документированию соответствия элементов, модулей, программ или документов определённым требованиям [22].

Целью верификации программного продукта является:

- проверка его на соответствие поставленным целям и задачам;

-   выявление ошибок при работе с базами данных

Верификация необходима для гарантии качества продукта.

Объект верификации и валидации - программное обеспечение для автоматизации функционирования библиотеки

Автономные тесты проверяют проектирование и реализацию всех компонент от самого нижнего уровня - уровня задач, который определен при детальном проектировании [12].

Интеграционное тестирование проводится, когда основные компоненты собраны для построения системы. Интеграционные тесты должны быть направлены на проверку корректности взаимодействия основных компонент. Интеграционное тестирование должно проверять, что все данные, которыми обмениваются через интерфейс, соответствуют своим спецификациям. Интеграционное тестирование должно подтвердить, что необходимые потоки управления были реализованы.

Системное тестирование является процессом тестирования объединенной системы программного обеспечения [10]. Системное тестирование должно проверять соответствие системы поставленным целям.

Список ответственных лиц

Начальник отдела администрирования единой информационной системы предприятия «Стэлс» Бойко А.Д..

Программист, студент группы 96-Пз1 Бойко А.Д.

Средства тестирования: Borland Delphi 7.

Для проведения отладки используются стандартные средства Borland Delphi 7.

 

5.4.1 Обоснование выбора метода тестирования

Существуют четыре метода тестирования: восходящий, нисходящий, модифицированный нисходящий, метод большого скачка [11]. Оценить эти четыре стратегий и найти лучшую трудно, потому что «наилучший» подход зависит от конкретной программы и её реализации.

Так как все режимы программного обеспечения - взаимосвязаны и при проектировании программного продукта в рамках данной работы использовали нисходящий метод, то в качестве метода тестирования выбираем метод восходящего тестирования, при котором тестирование начинается с модулей, располагаемых на нижних уровнях иерархии. В результате упрощается разработка тестовых вариантов и отсутствует необходимость создания заглушек.

 

5.4.2 План проведения системного тестирования

Объект испытания: программное обеспечение для автоматизации функционирования библиотеки.

Тестирование системы должно содержать следующие стадии:

- верификация исходного кода программы;

-   тестирование всей системы в целом.

Тестирование системы будем выполнять в следующем порядке:

- тестирование защиты от несанкционированного доступа;

-   тестирование корректности ввода данных;

-   тестирование сохранности информации в БД.

Список ответственных лиц:

Начальник отдела администрирования единой информационной системы предприятия «Стэлс» Бойко А.Д..

Программист, студент группы 96-Пз1 Бойко А.Д.

Критерий окончания системного тестирования для серверной части: формирование базы данных.

На проведение системного тестирования предоставляется 90 часов машинного времени.

 

5.5 План проведения интеграционного тестирования


Объект тестирования: модули системы и взаимосвязь между ними.

Цель: проверка информационных связей модулей, нахождение ошибок в интерфейсе между модулями, в интерфейсах между функциями и модулями.

Оценив преимущества и недостатки методов для тестирования данного программного продукта была выбрана инкрементальная технология. Но четкой стратегии (восходящей или нисходящей) нет, так как обычно каждый модуль, по возможности, тестируется сразу после написания, в результате последовательность тестирование одних частей программы может оказаться восходящим, а других - нисходящей.

Критерий окончания - отсутствие ошибок в информационных связях при прохождении восходящего тестирования, внесение записи в базу данных, последовательная выдача информации.

Способ реализации тестирования - пошаговый, то есть в порядке подключения определенного модуля. Стратегия тестирования - восходящая, так как большая вероятность возникновения ошибки на модулях нижнего уровня.

Последовательность выполнения тестирования:

- модуль входа в систему;

-   модуль добавления литературы;

-   модуль добавления типографии;

-   модуль формирования отче та.

На проведение интеграционного тестирования предоставляется 20 часов машинного времени.

После исправления ошибок предполагается регрессионное тестирование с целью исключения новых ошибок.

5.6 План проведения автономного тестирования


Цели тестирования для серверной части:

- проверка логики программы;

-   определение ошибок в запросах к базе данных;

-   определение ошибок в хранимых процедурах.

Цели тестирования для клиентской части:

- определение ошибок в процедуре составления отчета;

-   определение ошибок в процедурах заполнения информации в базу данных;

-   определение ошибок в процедурах модификации информации в базу данных;

-   определение ошибок в процедурах удаления информации из базы данных.

Объекты тестирования серверной части:

1 хранимые процедуры;

2        триггера базы данных;

         база данных.

Объекты тестирования клиентской части:

1 модуль входа в систему;

2        модуль занесения информации о литературе;

         модуль занесения информации о типографии;

         модуль выдачи отчета.

Для проведения тестирования выбран метод «белого ящика». Стратегия тестирования методом «белого ящика», или стратегия тестирования, управляемого логикой программы, позволяет исследовать внутреннюю структуру программы.

В таблице 5.1 содержится график проведения работ по тестированию

Таблица 5.1- График проведения работ по тестированию

Вид работы

Продолжитель ность (дни)

Сущность работы

Цель работы

1

Тестирование программного продукта

2

Тестирование логики программы на правильность занесения данных

Проверка на удобство интерфейса

2

Тестирование режима

1

Тестирование логики программы на правиль-ность занесения данных

Проверка на требование к ПО

3

Тестирование главного модуля

1

Тестирование системы

Проверка проектирования реализации ПО

4

Тестирование интерфейса

1

Тестирование режима ввода и вывода данных пользователю

Проверка корректности ввода и вывода данных

5

Интеграционное тестирование

2

Тестирование логики программы на установление связей между интерфейсом и модулями

Проверка связи интерфейса и модулей


Всего

7



 

5.7 Резюме по ресурсам


Для тестирования были использованы следующие аппаратные средства (конфигурация ПК):

- процесор с тактовой частотой не менее 800 Гц;

-   ОЗУ не менее 128 Мб;

-   не менее 100 Mb свободного места на жестком диске.

Программные средства, использовавшиеся при тестировании:

1 Тестирование программы при работе c АС «Библиотека»

- Delphi 7.

2 Тестирование интерфейса

- Delphi 7.

5.8 Ответственность


На тестировщика возлагается обязанность составления планов тестирования, прогона тестов, воспроизведения ошибок, составление отчета по результатам. В таблице 5.2 содержится обязательное количество тестов для внесения информации о проделанной работе.

Проверка интерфейса подсистемы. Все тесты должны дать положительный ожидаемый результат.

Таблица 5.2 - Количество тестов для внесения информации о проделанной работе

Действие

Ожидаемый результат

Содержание теста

 Резу-льтат

1

Последовательно выполнить действия: 1 Запустить ярлык к программе «Библиотека». 2 Ввести логин и пароль.

Вход в программу при удачной аутентификации.

Проверка работоспособности системы.

=+

2

Ввести неверно пароль 5 раз

Выход из программы

Тестирование на защиту системы

=+

3

В меню «Путь» указать путь к базе данных.

Подключение базы данных

Проверка подключения БД

=+


Проверка факта выдачи сообщений интерактивной помощи и проверка логики работы интерфейса.

Все тесты должны дать положительный ожидаемый результат.

Таблица 5.3 - Проверка выдачи сообщений об ошибках

Действие

Ожидаемый результат

Содержание теста

Резу-льтат

1

Нажать в меню «Помощь» кнопку «О программе»

Вывод информации о разработчике

Проверка авторских прав

+

2

В нужном окне заполнить все поля и нажать кнопку «Добавить»

Добавление информации о литературе в БД

Проверка на занесение информации в БД

+

3

Нажать кнопку «Поиск», выбрать нужную литературу.

Вывод информации о нужной литературе.

Проверка на вывод информации из БД.

+

4

Нажать кнопку «Поиск». Найти нужный документ, нажать кнопку «Принять», ввести исправления, сохранить документ.

Должно высветиться диалоговое окно, в котором заполняются все поля и документ сохраняется.

Проверка поиска информации по заданному критерию, проверка входных данных

+

5

Заполнить все поля, нажать кнопку «Добавить».

В окне заполняются все поля и документ сохраняется.

Добавление данных в БД

+


Таблица 5.3 - Модуль занесения информации о литературе

№ п/п

Параметры

Диапазон значений

Признак наличия

Действие


1

2

3

4

1

Книга, журнал или газета Вид литературы

1…20 символов 1...30 символов

+ +

Запись данных в базу данных

2

Книга, журнал или газета

1…20 символов

-

Сообщение об ошибке

3

Книга, журнал или газета Вид литературы

1…20 символов 1…30 символов

+ -

Сообщение об ошибке

4

Название типографии Город Страна

1..20 символов 1..30 символов 1..20 символов

+ + -

Сообщение об ошибке


Все данные должны быть проверены:

на корректность:

- название литературы не должно содержать цифр.

В таблице 5.4 содержаться обязательное количество тестов для внесения информации о типографии.

Таблица 5.4 - Модуль занесения информации о типографии

№ п/п

Параметры

Диапазон значений

Признак наличия

Действие


1

2

3

4

1

Название типографии Город Страна

1..20 символов 1..30 символов 1..20 символов

+ + +

Запись в базу данных

2

Название типографии

1..20 символов

-

Сообщение об ошибке

3

Название типографии Город

1..20 символов 1..30 символов

+ -

Сообщение об ошибке

4

Название типографии Город Страна

1..20 символов 1..30 символов 1..20 символов

+ + -

Сообщение об ошибке


Все данные должны быть проверены:

на диапазон:

- название типографии должно содержать больше одного и меньше 20 символов;

-   название города должно содержать больше одного и меньше 30 символов;

-   название страны должно содержать больше одного и меньше 20 символов;

на корректность:

- название типографии не должно содержать цифр;

-   название города не должно содержать цифр;

-   название страны не должно содержать цифр.

В таблице 5.5 содержаться обязательное количество тестов для внесения информации о дате выпуска литературы.

Таблица 5.5 - Модуль занесения информации о дате выпуска литературы

№ п/п

Параметры

Диапазон значений

Признак наличия

Действие


1

2

3

4

1

Дата выпуска

0.. 3,4е+38

+

Запись в базу данных

2

Дата выпуска

0.. 3,4е+38

-

Сообщение об ошибке

Все данные должны быть проверены

на диапазон:

- введенная дата должна быть меньше текущей даты;

на корректность:

- введенная дата не должна содержать букв.

Таблица 5.6. - Модуль выдачи печатного отчета

№ теста

Действие

Ожидаемый результат

Содержание теста

Результат тестирования

1

В меню «Отчет» нажать на кнопку «Создать»

Отпечатанный результат о выданной литературе

Проверка печатной документации

+


Тестирование методом «черного ящика». Метод эквивалентных разбиений является одним из самых популярных способов тестирования по методу «черного» ящика. Информация о классах эквивалентности содержится в таблице 5.7

Таблица 5.7 - Информация о классах эквивалентности

Входные условия

Правильный (допустимый) класс эквивалентности

Особые условия

Ввод данных

1 Внесены все данные

1 Не внесены все данные

1. Ввод всех пустых строк 2. Ввод какой либо пустой строки


2 Корректно введены данные

2 Некорректно введены данные

1. Ввод цифр 2. Ввод символов, не являющихся буквами


Критерием окончания тестирования является формирование записи.

На проведение автономного тестирования предоставляется 80 часов машинного времени.

 

5.9 Критерий завершения тестирования


Тестирование модулей прекращается по завершении регрессионного тестирования, тестирования пользовательского интерфейса и подсистемы управления БД. Регрессионное тестирование включает в себя проверку правильности задании данных и работоспособность подсистемы. Что приводит к экспериментальному выбору наиболее подходящего алгоритма или комбинации алгоритмов. После изменения или замены алгоритма необходимо производить тестирование БД с проверкой правильности задания данных и вывода ожидаемого результата. Регрессионное тестирование прекращается при удовлетворении результатами требований заказчика к качеству работоспособности подсистемы.

Приемо-сдаточное тестирование будет проводиться на предприятии «Стэлс».

 

5.10 Выводы по проведенному тестированию

библиотека функционирование автоматизация программный

Испытания ПП проводились по V-образной модели (рисунок 5.1). Были пройдены все этапы до интеграционного тестирования включительно.

Рисунок 5.1 - V-образная модель тестирования

В результате проведения испытания сделаны следующие выводы:

- Проектирование тестирования было выполнено для серверной и клиентской части

- Для автономного тестирования использовались методы «белого ящика» и «черного ящика».

-   Для реализации тестирования интеграционного тестирования предполагалось использовать восходящую стратегию.

-   Систематизированы параметры для таблиц.

-   Обязательно выполнение тестирования для наборов параметров.

-   Диапазоны и корректность данных должны быть протестированы дополнительными тестами.

- все требования технического задания были выполнены;

-   в результате интеграционного тестирования было проверено, что необходимые потоки управления были реализованы и все данные, которыми обмениваются модули, соответствуют своим спецификациям;

-   системное тестирование и сквозные проверки дали подтверждение того, что система программного обеспечения соответствует поставленным целям.

В результате тестирования программного обеспечения были выявлены небольшие неточности, согласно требованиям пользователя, все они были устранены разработчиком в короткий срок. Все эти отклонения были устранены разработчиком в процессе тестирования. В результате автономного тестирования программных модулей было определено, что все модули выполняют функции, которые были определены для них при проектировании и то, что они выполняют эти функции намеченным способом.

В результате интеграционного тестирования было проверено, что необходимые потоки управления были реализованы и все данные, которыми ПО обменивается через интерфейс соответствуют своим спецификациям.

Также в процессе тестирования было определено, что ПО выполняет все необходимые проверки при некорректных входных данных, устойчив к аппаратным и программным сбоям, может работать на ПК различной конфигурации, в том числе и минимальной.

При тестировании комплекса соблюдались:

- Правила работы с ПК.

-   Правила техники безопасности;

-   Тестирование происходило на ПК определенной конфигурации, увеличение которой не влияло на производительность.

 

5.11 Модель надежности


Модель надежности ПО - это математическая величина оценки изменения надежности.

Существует 4 основных модели надежности:

1 Модель, исследующая время между отказами.

2        Модель, исследующая число отказов.

         Модель с использованием искусственного подсева ошибок.

         Модель, базирующая на основных методологиях тестирования .

Для описания модели надежности данного программного продукта будем использовать модель, базирующуюся на основных методологиях тестирования.

Эффективность выполнения тестирования определим по формуле:

,                                              (5.1)

где - большое число наборов входных данных,

- число наборов входных данных, при которых были обнаружены ошибки, ранее не выявленные.

Таким образом, эффективность выполненного тестирования равна:

 (5.2)

6. ЭКОНОМИЧЕСКОЕ ОБОСНОВАНИЕ РАЗРАБОТКИ ПРОГРАММНОГО ОБЕСПЕЧЕНИЯ ДЛЯ АВТОМАТИЗАЦИИ ФУНКЦИОНИРОВАНИЯ БИБЛИОТЕКИ

 

6.1 Описание программного продукта


Характеристики программного продукта. АС предназначена для автоматизации ведения библиотечного дела. Работать с АС рекомендуется работникам библиотеки. Разработанная система позволяет:

- Вести библиотечных ресурсов;

-   Проследить историю перемещения литературы;

-   Формировать отчеты об утерянной литературе.

Кроме того, АС позволяет вносить изменения в действующую базу данных, обновлять и корректировать информацию, находящуюся в ней.

Программный продукт обеспечивает перенос результатов работы в Microsoft Excel для печати.

Патентная чистота. Поскольку предоставляемая АС “Библиотека” разрабатывалась в Национальном аэрокосмическом университете, с использованием лицензионного ПО, которым обладает университет, то данный программный продукт можно реализовывать на легальном рынке ПО.

Гарантия потребительских прав. Гарантируется получение АС “Библиотека” в обусловленные договором сроки, замена старой версии АС на новую и удаление ошибок обнаруженных пользователем, предоставление скидок при приобретении новых версий АС.

 

6.2 Оценка рынка сбыта


Разработанная АС является специализированным программным продуктом, ориентированным на библиотеки с большим количеством библиотечных ресурсов и большим объёмом кадров. Примерная цена, по которой потенциальные покупатели смогут приобрести программный продукт, равняется 1000 грн.

Таблица 6.1 - Предполагаемое количество продаж на ближайшие три года

Периоды

Потребители

Количество продаж

Первый год продаж

Январь


0

Февраль


0

Март

ХГАПП "ХАЗ"

1

Апрель


0

Май


0

Июнь


0

Первый год продаж

Июль


0

Август


0

Сентябрь

Библиотека 1

1

Октябрь


0

Ноябрь


0

Декабрь


0

ВСЕГО


2

Второй год продаж

I квартал


0

II квартал

Библиотека 2

1

IIIквартал

Библиотека 3

1

IV квартал

Библиотека 4

1

ВСЕГО


3

Третий год продаж

ВСЕГО


4

 

6.3 Конкуренция


Поскольку в библиотеках уже имеется подобие данного продукта, то собственные программные продукты и будут составлять конкуренцию разработанной АС. Но их основным недостатком является то, что большинство данных продуктов разработано для устаревшей электронно-вычислительной техники, и не отвечают современным требованиям по надежности, интерфейсу, простоте в эксплуатации предъявляемым к современному ПО.

Для оценки уровня качества продукта используют обобщенный показатель качества:

- Минимизирующие;

-   Максимизирующие.

Минимизируемые показатели рассчитываются по формуле:

      (6.1)

Для расчета максимизирующих показателей используется формула:

     (6.2)

где -относительный показатель i-го показателя для j-го варианта,

 - абсолютный показатель i-го показателя для j-го варианта, - пока

затель i-го показателя для гипотетического варианта.

Показателям качества присваивают коэффициенты весомости , при этом  и .

После чего рассчитывают обобщенные показатели качества по j-варианту:

Таблица 6.2 - Расчет обобщенного показателя качества

Показатели

Коэффициенты весомости b

Абсолютные значения показателей

Относительные значения показателей

Наименование


Варианты изделий

Варианты изделий




1

2

3

гипотетический

1

2

3








Ki1

Ki1*bi

Ki2

Ki2*bi

Ki3

Ki3*bi














1

Интерфейс

0,15

5

3

5

5

1

0,15

0,6

0,1

1

0,15

2

Уровень защищенности

0,2

5

4

3

5

1

0,2

0,8

0,2

0,6

0,12

3

Объем требуемой памяти

0,1

400

600

700

400

1

0,1

0,7

0,1

0,6

0,06

4

Быстродействие

0,15

4

3

5

5

0,8

0,12

0,6

0,1

1

0,15

5

Надежность

0,15

5

3

3

5

1

0,15

0,6

0,1

0,6

0,09

6

Отказоустойчивость

0,1

5

3

3

5

1

0,1

0,6

0,1

0,6

0,06

7

Скорость обработки запросов

0,15

5

4

3

5

1

0,15

0,8

0,1

0,6

0,09


ВСЕГО

1






0,97


0,7


0,72


Рассчитываем уровни качества нового программного обеспечения по сравнению с изделиями-конкурентами:


где  - уровень j-го варианта относительно другого (базового);

, - обобщенные показатели сравниваемых вариантов.

           

Так как уровень качества нашего продукта по отношению к конкурирующим равняется 1,433 и 1.353, то наш программный продукт является конкурентоспособным.

6.4 Стратегия маркетинга


При разработке АС “Библиотека” перед разработчиком ставилась задача создать такую систему, которая автоматизировала бы деятельность библиотеки. Поэтому пользователями разработанной АС будут: сотрудники библиотеки. В связи с этим АС является специализированным ПО и его тиражирование невелико, поэтому распространение будет производится силами разработчика, с возможным применением специальных салонов.

Для рекламирования ПО будет использована прямая почтовая реклама. Данная разновидность рекламы предполагает отправление потенциальным покупателям (библиотекам) писем с краткой информацией о назначении, функциях реализуемых АС, и сервисном обслуживании.

Сервисное обслуживание АС включает в себя:

- бесплатное обучение работы с АС при первой покупке;

-       устранение выявленных недостатков за счет разработчика;

-       информирование о появлении новой версии.

 

6.5 Оценка риска и страхования


Разработанная АС защищена патентом и авторскими правами. Защита от несанкционированного применения обеспечивается невозможностью использования АС при незнании пароля.

Трудозатраты НИР ПП вычисляются по формуле

,

где    - трудозатраты на изучение описания задачи, обзор литературы и формулировку постановки задачи;

 - трудозатраты на разработку алгоритма решения задачи;

 - трудозатраты на составление схемы программы;

 - трудозатраты на разработку программы;

 - трудозатраты на отладку программы на тестовом примере;

 - трудозатраты на оформление документации.

Таблица 6.3 - Трудозатраты

Вид работы

Расчет (чел.-день)

Изучение описания задачи и формулировка постановки задачи

2

Разработка алгоритма решения задачи

5

Составление схемы

2

Разработка программы

8

Отладка программы

4

Оформление документации

5

ИТОГО

26


Вычисляем заработную плату разработчиков программного продукта, принимающих участие в НИР:

,

где  - среднедневная зарплата разработчика ПП из расчета его месячного оклада и числа рабочих дней в месяце (21-23 рабочих дня).

Стоимость МБП (малоценные и быстроизнашивающиеся предметы) определяется эмпирическим путем:

- стоимость бумаги = 18.00 грн.

-        стоимость дисков = 6.00 грн.

         стоимость ручек, карандашей = 6 грн.

Стоимость аренды ПЭВМ: ,

где  - себестоимость машино-часа работы ПЭВМ (определяется по данным предприятия);

 - время отладки программы на ПЭВМ (в часах).

К общехозяйственным расходам относятся арендная плата за помещение, заработная плата администрации, услуги банков и т.д.

Таблица 6.4 - Затраты на разработку программного продукта

Виды затрат

Расчет (грн.)

Основная затрата

780,00

Стоимость МБП (малоценные и быстоизнашивающиеся предметы)

30,00

Стоимость аренды ПЭВМ

37,00

Командировочные расходы

39,00

Отчисления в пенсионный фонд

249,60

Отчисления в фонд занятості

11,70

Отчисления на социальное страхование

31,20

Общехозяйственные расходы

92,00

Коммунальные налоги

6,80

ИТОГО

1277,30


Прибыль П будет составлять 100% от затрат на разработку ПП:

П = 1*Зр = 1*1277,30 = 1277,30 грн.

Максимально возможная цена ПП определяется с учетом налога на добавленную стоимость (НДС), равного 20% от цены :

Цmax = 1,2*(Зр+П) = 2468,4 грн.

Полученная цена является максимальной ценой ПП. Она может быть уменьшена и состоять только из затрат на тиражирование и адаптацию ПП. Затраты на тиражирование включают стоимость дискет и стоимость машинного времени, необходимого для копирования ПП, а также оплаты труда исполнителя.

Затраты на адаптацию ПП к данным потребителя представляют собой затраты на совершенствование ПП.

Минимальную цену ПП с НДС можно определить по формуле


где    - затраты на тиражирование;

 - затраты на адаптацию ПП к данным потребителя;

       - прибыль, вычисленная следующим образом:


Зт = 54,00 грн.

Задап = 170,00 грн.

 = 224,00 грн.

Цmin = 1,2*(54,00+170,00+224,00) = 537,60 грн

Цена ПП находится в таких пределах:

.

Исходя из предыдущей формулы, установим цену программного продукта - 1000 грн. (с НДС).

Таблица 6.5 -Расчет затрат и договорной цены

№ п/п

Статьи затрат

Сумма

1

Материалы и ПКИ

67,00

2

Основная зароботная плата разработчиков

780,00

3

Доплаты и надбавки к основной зароботной плате разработчиков

78,00

4

Отчисления на социальные нужды и в т.ч.



а) отчисления на соц. страхование (4%)

34,32


б) отчисления в фонд зайнятости (1,5%)

11,70


в) отчисления в пенсионный фонд (32%)

274,56

Прочие прямые расходы:



- на командировку

39,00


- услуги сторонних организаций

6,00


- процент за кредит



- стоимость патентов, лицензий и др.



- затраты на рекламу



- благотворительные цели



- амортизационные отчисления

450,00


- арендная плата



- эксплуатационные расходы



- другие


6

Накладные расходы

78,00

7

Коммунальный налог

6,80

8

Прочне


9

Себестоимость собственных работ

1825,38

10

Прибыль

821,42

11

Договорная цена

2646,80


Налог на дороги

10,59

12

Сумма НДС от договорной цены

529,36

13

Цена продукции с НДС

3176,16


Так как круг потребителей небольшой, то рекламирование ПП будет производится собственными силами. Рекламная информация будет рассылаться всем потенциальным покупателям и будет опубликована на Interntet-странице. Стоимость публикации в рассылка писем составит 50,00 грн. В течении трех лет нужно сделать рекламные объявления 7 раз : 3 за 1-й год и по 2 раза за 2 последующих года. Это составит 350,00 грн.

 

6.6 Финансовый план


В таблице 1 (Приложение В) представлена карта движения наличных денежных средств за первый год реализации программного продукта.

Таблица 6.6 - Движения наличных денежных средств за второй год реализации программного продукта

Доходы и затраты

Сумма (грн.)


I

II

III

IV

Всего


квартал

квартал

квартал

квартал


Объем продаж

0

1

1

1

3

Доходы от реализации

0,00

1000,00

1000,00

1000,00

3000,00

ПОСТОЯННЫЕ ЗАТРАТЫ:






Заработная плата

0,00

0,00

0,00

0,00

0,00

Общехозяйственные расходы при реализации ПП

0,00

0,00

0,00

0,00

0,00

Страховые взносы

0,00

0,00

0,00

0,00

0,00

Затраты на рекламу

50,00

0,00

50,00

0,00

100,00

Командировочные расходы

0,00

115,00

115,00

115,00

345,00

ВСЕГО

50,00

115,00

165,00

115,00

445,00

ПЕРЕМЕННЫЕ ЗАТРАТЫ:






1. Затраты на тиражирование ПП

0,00

6,00

6,00

6,00

18,00

2. Затраты на адаптации ПП

0,00

170,00

170,00

170,00

510,00

3. Налоги:






3.1. НДС

0,00

0,00

0,00

0,00

0,00

3.2. Отчисления в пенсионный фонд

0,00

0,00

0,00

0,00

0,00

3.3. Отчисления на социальное страхование

0,00

0,00

0,00

0,00

0,00

3.4. Отчисления на социальное страхование на случай безработицы

0,00

0,00

0,00

0,00

0,00

3.5. Коммунальный налог

0,00

0,00

0,00

0,00

0,00

ВСЕГО

0,00

176,00

176,00

176,00

528,00

Наличные деньги (доходы минус затраты)

-50,00

709,00

659,00

709,00

2027,00

Налог на прибыль

0,00

177,25

164,75

177,25

519,25

Потребность в кредите







Таблица 6.7 - Движение наличных денежных средств за третий год реализации программного продукта

Доходы и затраты

Сумма за год (грн.)

Объем продаж ПП (ед.)

4

Доходы от реализации с НДС

4000,00

ПОСТОЯННЫЕ ЗАТРАТЫ:


1. Заработная плата

0,00

2. Общехозяйственные расходы при реализации ПП

0,00

3. Затраты на рекламу

100,00

4.Командировочные расходы при реализации ПП

460,00

ВСЕГО

560,00

ПЕРЕМЕННЫЕ ЗАТРАТЫ


1. Затраты на тиражирование

24,00

2. Затраты на адаптацию ПП

680,00

3. Налоги:


3.1. НДС

0,00

3.2. НДС

0,00

3.3. Отчисления в пенсионный фонд

0,00

3.4. Отчисления на социальное страхование на случай безработицы

0,00

3.5. Коммунальный налог

0,00

ВСЕГО

0,00

Наличные деньги (доходы минус затраты)

3440,00

Налог на прибыль

860,00

Потребность в кредите



Таблица 6.8 - Доходы и затраты

Доходы и затраты

Сумма (грн.)


До начала

I год

II год

III год

Итого

Объем продаж ПП (ед.)

0

2

3

4

9

Доходы от реализации с НДС

0,00

2000,00

3000,00

4000,00

9000,00

ПОСТОЯННЫЕ ЗАТРАТЫ:






Заработная плата разработчиков ПП

780,00

0,00

0,00

0,00

780,00

Стоимость МБП

30,00

0,00

0,00

0,00

30,00

Стоимость аренды ПЭВМ

37,00

0,00

0,00

0,00

37,00

Командировочные расходы

39,00

0,00

0,00

0,00

39,00

Отчисления на социальное страхование

31,20

0,00

0,00

0,00

31,20

Отчисления в пенсионный фонд

249,60

0,00

0,00

0,00

249,60

Отчисления на социальное страхование на случай безработицы

11,70

0,00

0,00

0,00

11,70

Общехозяйственные расходы

92,00

0,00

0,00

0,00

92,00

Коммунальный налог

6,80

0,00

0,00

0,00

6,80

Заработная плата реализаторов ПП администрации

0,00

0,00

0,00

0,00

0,00

Общехозяйственные расходы при реализации ПП

0,00

0,00

0,00

0,00

0,00

Страховые взносы

0,00

0,00

0,00

0,00

0,00

Затраты на рекламу

0,00

150,00

100,00

100,00

350,00

Командировочные расходы при реализации ПП

0,00

230,00

345,00

460,00

1035,00

ВСЕГО

1277,30

380,00

445,00

560,00

2662,30

ПЕРЕМЕННЫЕ ЗАТРАТЫ






Затраты на тиражирование ПП

0,00

12,00

18,00

24,00

54,00

Затраты на адаптацию ПП

0,00

340,00

510,00

680,00

1530,00

Налоги при реализации ПП:






НДС

0,00

0,00

0,00

0,00

0,00

Отчисления на социальное страхование на случай безработицы

0,00

0,00

0,00

0,00

0,00

Отчисления на социальное страхование

0,00

0,00

0,00

0,00

0,00

Отчисления в пенсионный фонд

0,00

0,00

0,00

0,00

Коммунальный налог

0,00

0,00

0,00

0,00

0,00

ВСЕГО

0,00

352,00

528,00

704,00

1584,00

Прибыль

-1277,30

1268,00

2027,00

2736,00

4753,70

Налог на прибыль

0,00

317,00

506,75

684,00

1188,43


График безубыточности.Построим график достижения безубыточности разработки. По графику можно найти точку безубыточности, т.е. объем производства, при котором совокупные расходы и доходы от реализации продукции становятся равными. Дальнейшее увеличение объемов сбыта увеличивает прибыль.

Точку безубыточности можно рассчитать по формулам:

,

где    - цена и себестоимость ПП;

 - доход от реализации и совокупные затраты на выпуск изделий (с учетом условно-постоянных расходов);

 - условно-постоянные расходы.

Ц = 1000,00 грн.

К = 224,00 грн.

С = 1825,38 грн.

Точка безубыточности Nкр = 2.7. Следовательно, только после реализации 3-й копии программного продукта, проект станет рентабельным.

График достижения безубыточности разработки программного продукта представлен на рисунке 6.1.

Рисунок 6. 1 - График безубыточности

Выводы по разделу

После проведения и анализа расчетов можно сделать выводы, что реализация уже 3 копий АС “Библиотека” при отпускной цене каждой копии 1000 грн. покроет затраты на его разработку. При заполнении реализации продукции продукт принесет прибыль значительно превышающую затраты на его разработку и сопровождение. Поскольку разработанная автоматизированная система является конкурентоспособной и ее цена приемлема, то данный проект будет целесообразным и заинтересует потенциального покупателя.

7. БЕЗОПАСНОСТЬ ЖИЗНЕДЕЯТЕЛЬНОСТИ,ТЕХНОГЕННАЯ БЕЗОПАСНОСТЬ

 

7.1 Исследование, принцип развития профессиональных заболеваний и причин снижения работоспособности у разработчиков компьютерных программ

 

.1.1 Развитие профессионально обусловленных заболеваний у пользователей ВДТ

Многие факторы риска, создающие напряжение различных систем организма, обусловлены технократическим развитием общества, когда все внимание уделено развитию техники, а человек остался без необходимой защиты.

В условиях современного производства, характеризующегося все возрастающими стрессовыми нагрузками, большая часть человечества работает на износ, непроизводительно растрачивая свое здоровье. В современных технических устройствах, при создании компьютерных программ и в других случаях нередко не учитываются психофизиологические возможности человека, отсутствуют системы контроля за состоянием его ведущих физиологических показателей. В результате человек бесконтрольно подвергается психоэмоциональным напряжениям, перенапряжению зрительной и других систем, которые, повторяясь изо дня в день, приводят к развитию вначале функциональных, а затем и соматических нарушений,

Психоэмоциональный стресс способствует или является причиной многих функциональных нарушений и заболеваний:

- психосоматических (психозов, неврозов, нарушений сна);

-       сердечно-сосудистой системы (аритмий, гипертонической болезни, инфаркта миокарда);

-       язвенно-дистрофических поражений желудочно-кишечного тракта;

-       снижения иммунитета;

-       развития предрасположенности к вирусным и многим инфекционным заболеваниям;

-       аутоиммунным процессам;

-       ревматических поражений и остеохондрозов;

-       онкологических;

-       гормональных расстройств и нарушений половых функций и т. д.

Пагубное действие стресса также проявляется в:

- росте алкоголизма и наркоманий;

-       повышении травматизма;

-       росте числа самоубийств;

-       инвалидизации общества.

Эмоциональный стресс является основной причиной уменьшения продолжительности жизни, повышения смертности и, в частности, внезапной смерти.

Стресс оказывает влияние на социально-экономические процессы в обществе, нарушая межличностные и деловые взаимоотношения людей. Он изменяет духовный мир человека. Вызванная стрессом невротизация личности приводит к агрессивности, депрессии, неадекватности и нерациональности поведения, вызывает деградацию духовно-нравственных потребностей человека, снижает творческий потенциал и работоспособность, порождает антиобщественные поступки и извращает социальные мотивации человека.

Наряду с этим состояние условий труда в учреждениях, организациях и на предприятиях, использующих компьютеры, часто не удовлетворяет современным требованиям, что оказывает негативное влияние на здоровье пользователей. Пользователи ВДТ нередко сталкиваются с воздействием таких опасных и вредных производственных факторов, как повышенный уровень шума, неоптимальная температура внешней среды, отсутствие или недостаток естественного света, нерациональное освещение рабочей зоны, статическое электричество, измененный аэроионный состав воздуха рабочей зоны и др. Работа пользователя часто сопряжена с монотонней, гиподинамией и наличием других факторов, связанных с ее содержанием и организацией.

Воздействие комплекса указанных неблагоприятных факторов приводит к снижению работоспособности, появлению негативных функциональных сдвигов здоровья. Например, действие только одного из перечисленных факторов - шума наряду со специфическим воздействием на орган слуха может вызвать трудности в качественном распознавании и скорости восприятия цветовых сигналов, снижает остроту зрения и зрительную адаптацию, нарушает восприятие визуальной информации, снижает способность быстро и точно выполнять координированные движения, уменьшает на 5-12% производительность труда.

Длительное пребывание человека в зоне комбинированного воздействия различных неблагоприятных факторов может привести к развитию профессионального или профессионально обусловленного заболевания.

 

7.1.2 Методы изучения заболеваемости, связанной с профессией

Общее действие неблагоприятных факторов производственной среды заключается в снижении резистентности (сопротивляемости) организма. В случае, когда составляющие трудовой нагрузки превышают функциональные резервы организма, напряжение физиологических функций может оказаться чрезмерным и вызвать признаки перенапряжения, переходящие в патологию.

Перенапряжение оказывает неблагоприятное влияние на здоровье работника в трех основных формах:

1   в качестве непосредственного фактора, ведущего к возникновению различных форм профессионально обусловленных заболеваний;

2   может быть одним из факторов, способствующих развитию общей заболеваемости;

3   являясь дополнительным фактором, снижающим сопротивляемость организма к различным неблагоприятным воздействиям, способствует появлению простудных и инфекционных, а также обострению хронических заболеваний.

При анализе возможных причин заболеваемости и несчастных случаев необходимо учитывать зависимость их появления от ряда организационных, технических, гигиенических и медицинских факторов.

К организационным факторам относят: недостатки в обучении безопасным методам труда и в инструктаже работающих, результатом которых является применение ими опасных приемов труда; неправильная планировка и расстановка оборудования; неправильная организация и содержание рабочих мест, проходов производственных помещений и территории; нарушение режима труда и отдыха; отсутствие предупредительных надписей; отсутствие должного руководства и надзора за проведением работ, низкая трудовая дисциплина, привлечение к работе лиц не по специальности, работа без применения средств индивидуальной защиты и др.

К техническим факторам относят: несоответствие технологического процесса требованиям техники безопасности; конструктивные недостатки оборудования, инструментов, приспособлений, транспортных и энергетических систем; несовершенство конструкции технических средств с точки зрения техники безопасности (отсутствие на оборудовании блокировок, ограждений, защитных экранов и др.; несовершенство средств индивидуальной защиты; неисправность технических средств и др.).

К гигиеническим факторам относят: неблагоприятные микроклиматические условия; нерациональное освещение рабочих мест; стесненность производственных помещений; наличие на рабочих местах повышенного шума и вибрации; загрязненность и загазованность воздушной среды; вредные излучения и др.

К медицинским факторам относят: медицинские противопоказания к работе за ВДТ; несоответствие требований производственной деятельности психофизиологическим качествам пользователя.

 

7.1.3 Воздействие на глаза и зрение

Работа с ВДТ оказывает значительную нагрузку на все элементы зрительной системы. Однако в настоящее время еще не окончательно решен вопрос о роли ВДТ в возникновении катаракты, приобретении миопии и других нарушений функций органа зрения.

Катаракта - это помутнение хрусталика, которое может (если оно достаточно плотное) вызвать ухудшение зрения и даже его потерю. Небольшие помутнения носят возрастной характер и проявляются у большинства пожилых людей, являясь одной из наиболее частых причин снижения остроты зрения. Катаракты возникают под влиянием большого числа факторов, некоторые из которых (радиация) дейсгвуют (хотя и очень незначительно) при работе с ВДТ. В настоящее время дискуссия о ВДТ как о причине возникновения катаракты еще не завершена т. к. нет четких доказательств ее происхождения у пользователей.

Как указывается в материалах ВОЗ, электромагнитное излучение является единственным известным фактором, связанным с ВДТ, который вызывает катарактогенез. Потенциально способствующими развитию катаракты считаются четыре области электромагнитного излучения: ионизирующее, ультрафиолетовое-А, инфракрасное и микроволновое. Эффект всех этих излучений зависит от дозы. Однако для всех перечисленных областей известные в настоящее время уровни, вызывающие развитие катаракты, на несколько порядков выше, чем излучаемые ВДТ. Поэтому принято считать, что электромагнитное излучение ВДТ не может быть фактором, влияющим на возникновение катаракт у пользователей ВДТ.

В некоторых массовых исследованиях изучали распространенность среди пользователей ВДТ таких заболеваний, как глаукома, макулопатия, воспаление радужной оболочки глаза и другие. С помощью специальных офтальмологических опросников и обследований было показано, что различий в распространенности заболеваний между пользователями ВДТ и лицами контрольных групп не имеется.

Часто высказывается предположение, что работа с ВДТ может приводить к развитию близорукости. Однако четких доказательств негативного влияния ВДТ и в этом случае не было получено, хотя имеются данные о функциональных отклонениях уровня рефракции при работе с ВДТ.

Работа за ВДТ является значительной нагрузкой на мышечный аппарат глаза. Имеющиеся функциональные или анатомические нарушения глазодвигательных мышц значительно усложняют выполнение зрительной работы, поэтому приобретают все большее значение точная коррекция отклонений в остроте зрения малых степеней, устранение расстройств бинокулярного зрения, аккомодации и конвергенции.

Повороты глазных яблок с целью наилучшего видения объекта трудовой деятельности и наводка на него осуществляется благодаря функционированию глазодвигательных мышц, мышц радужной оболочки и цилиарной мышцы. Все эти мышцы, как и всякие другие, при длительной работе подвержены утомлению и перенапряжению. Это проявляется в ослабленном реагировании на раздражители, неприятными субъективными ощущениями, двоением и затрудненностью фиксации текста, расплывчатостью всего рассматриваемого, резью в глазах. Поэтому отклонения различной степени от нормального уровня остроты зрения, расстройства бинокулярного зрения, аккомодации и конвергенции заметно влияют на качество выполняемой работы, ухудшают самочувствие работающих, приводят к развитию признаков стойкого зрительного дискомфорта.

Зрительная работоспособность зависит от многих факторов, но в первую очередь от внешних условий и содержания деятельности, а также от функционального состояния зрительной системы работающего. Известно, что возможные четыре разновидности зрительного утомления связаны с:

- нарушением механизмов первичной обработкисигнала (апарат рефракции, аккомодации и конвергенции) и защиты рецепторних полей (зрачок, веки);

-       негативными изменениями функций первичного анализа сигнала (процессы, протекающие в сетчатой оболочке);

- снижением функциональных возможностей структур вторичного анализа сигнала;

- нарушением механизмов окончательного анализа сигнала.

Наряду с этим в условиях значительной зрительной нагрузки происходит нарушение механизмов, компенсирующих функционально-анатомическую асимметрию глазодвигательных мышц. В спокойном состоянии эти асимметрии компенсируются конвергенцией и фузией, которые тесно связаны с аккомодацией. Негативные изменения компенсаторных механизмов выражаются в возникновении или усилении гетерофории, либо изменении ее характера, что затрудняет выполнение работы. По данным ряда авторов, напряженная зрительная работа, каковой является работа за ВДТ, вызывает заметные изменения в тонусе глазодвигательных мышц и приводит к нарушению мышечного баланса глаз, что во многих случаях предопределяет возникновение зрительного дискомфорта.

Исследованиями ведущих офтальмологов установлено, что у 72% пользователей ВДТ наблюдались жалобы со стороны глаз. Эти жалобы условно подразделяются на «глазные» (боли в области глаз, чувство песка в глазах, покраснение век и глазных яблок, головные боли) и«зрительные»(затуманивание зрения, трудность перевода взора с близких на далекие предметы и обратно, быстрое утомление при зрительной работе, двоение предметов).

Учеными (Э. С. Аветисовым, Ю. 3. Розенблюмом Л. Р.) обнаружено, что у исполнителей зрительно напряженных работ отмечается к концу смены снижение объема аккомодации. Клиническая же рефракция при исходной эмметропии и миопии имеет тенденцию к усилению («спазм аккомодации») миопическая офтальмопатия, а при гиперметропии - к ослаблению («парез аккомодации») - гиперметропическая офтальмопатия. При первой офтальмопатии наблюдается сначала временное, а затем и постоянное усиление рефракции - профессиональная близорукость; при второй -наблюдается ослабление рефракции и ранняя пресбиопия. По мнению авторов, в патогенезе профессиональной офтальмопатии ведущим звеном является длительное статическое напряжение аккомодации. В случае, если резервы регулятора роста глаза не исчерпаны, развивается миопическая форма, а в случае, если исчерпаны,- гиперметропическая.

Последствием напряженной зрительной работы за ВДТ может быть не только специфический зрительный дискомфорт, но и возникновение головных болей. Причины появления головных болей и результат анализа их связи с различными факторами, рассмотренные в материалах ВОЗ, приведены в таблице 7.1.

Таблица 7.1 - Причины появления головных болей и результат анализа их связи с различными факторами

Связь появления головных болей у пользователей ВДТ с факторами трудовой среды

Причины появления головной боли

Фактор, влияющий на развитие утомления

Управление выявленной тенденции

Появляется по время стресса

Число лет работы за ВДТ

Отрицательная связь

Связана с условиями и содержанием работы

Освещенность рабочего моста

Положительная связь


Напряженная, интенсивная работа

связь

Зрительная работа, связанная с восприятием информации с большой поверхности

Характер движения глаз

Положительная связь

Зрительная работа, связанная сдвоенном и расплывчатостью изображения

Число часов работы за ВДТ

Отрицательная связь

7.1.4 Костно-мышечный дискомфорт

Симптомы костно-мышечного дискомфорта проявляются индивидуально и с различной частотой (ежедневно, эпизодически, редко или никогда). Они могут локализоваться в различных частях тела (шея, поясница, плечи, руки и др.) и выражаться в виде боли, скованности, усталости,судорог, онемения, тремора и пр.

При сравнении жалоб на костно-мышечный дискомфорт у пользователей ВДТ и лиц контрольных групп (по данным ВОЗ) были получены неоднозначные результаты. Более отчетливые различия были получены при анализе локализации костно-мышечных симптомов. Пользователи, работающие в диалоговом режиме и в режиме ввода данных, чаще жаловались на боли в области шеи, ограничивающие подвижность головы, плечевого сустава и спины, чем другие служащие. Операторы по вводу данных чаще жаловались на боли в руках и в верхней части ног.

Отмечается возрастание частоты жалоб на боли в области шеи, плечевых суставов и спины по мере увеличения длительности работы за ВДТ. Причем некоторые авторы констатируют связь проявлений боли, скованности в плечевых суставах, шее и спине с неблагоприятными зрительными факторами, проявляющимися при работе за ВДТ: раздражающим освещением, блескостью и мельканием. Увеличению частоты костно-мышечных болей также способствуют:

1 повышенная психическая нагрузка на пользователя, корда качество его работы контролируется системой;

2        высокая напряженность работы;

3 низкий уровень удовлетворенности выполняемой деятельностью.

Костно-мышечные нарушения у пользователей ВДТ в основном связаны:

1 с повторяющимися движениями, вызванными работой за клавиатурой;

2        нерациональной позой, которая усугубляется отсутствием учета эргономических требований к организации рабочего места, атакже наличием блескости и отражения на экране ВДТ;

         малоподвижностью (гиподинамией).

Установлена связь между большим числом ежедневных ударов по клавишам и болями в руках. Одной из причин усиления негативных ощущений является большое быстродействие современных клавиатур, а также небольшая сила ударов, которая исключает участие предплечья.

По мнению специалистов ВОЗ, к дискомфорту, испытываемому многими пользователями ВДТ, следует относиться серьезно в плане его предупреждения или лечения, независимо от того, доказана ли в настоящее время объективная связь между дискомфортом и проявляющимися органическими повреждениями либо стойкими нарушениями костно-мышечной системы.

 

7.1.5 Поражения кожи

В настоящее время опубликован ряд сообщений о заболеваниях кожи у пользователей ВДТ. Эти заболевания проявляются в виде сыпи, которая возникает после несколько часов работы с ВДТ и начинается с зуда, шелушения, розовых угрей, себорейного дерматита, атонического дерматита и др.

Некоторые авторы высказывают гипотезу, согласно которой электростатические поля, особенно зависящие от электростатического заряда на теле оператора (который, вероятно, усиливается электростатическим зарядом ВДТ), способствуют отложению аэрозольных частиц на лице, что может вызывать у некоторых чувствительных лиц соответствующие кожные реакции, зависящие от природы загрязненных аэрозольных частиц.

Однако, Как считают эксперты ВОЗ, разнообразие видов кожных поражений у пользователей ВДТ указывает на комплексную причину появления кожных нарушений, включающую как компонент действие на организм психоэмоционального стресса.

7.1.6 Нарушения, связанные со стрессом

Работа за ВДТ связана с воздействием ряда стрессогенных факторов: неблагоприятных условий и режимов труда; содержания труда; способностей и потребностей работника, а также его ожиданий; привычек, культуры, организационных моментов, условий жизни, работы транспорта и др.

Стрессовые воздействия могут стать причиной возникновения физиологических, психологических и поведенческих изменений, расстройств здоровья.

Физиологические нарушения могут сопровождаться расстройствами желудочно-кишечного тракта, мышечным напряжением, изменением функций сердечно-сосудистой системы, потливостью, повышенного уровня катехоламинов, нарушением менструального цикла и др.

Расстройства желудочно-кишечного тракта и другие физиологические нарушения чаще наблюдались у пользователей с высокой и средней продолжительностью работы за ВДТ, чем у членов контрольных групп и пользователей, которые работали за ВДТ менее 50% своего рабочего времени,

К психологическим и поведенческим расстройствам, отмеченным в литературе, относятся агрессивность, фрустрация, нервозность, раздражительность, тревога, нерешительность, подавленность, беспокойство, нарушение сна, потеря аппетита, быстрое развитие усталости, головокружение и др.

По данным ряда авторов, у пользователей ВДТ возникают психологические и поведенческие нарушения (тревога, раздражительность, подавленность), частота которых колеблется от 14 до 70%. Было установлено, что медленное получение ответа от системы усиливало фрустрацию, раздражительность и нетерпение.

Имеются сведения о существовании положительной корреляции между недовольством пользователей ВДТ некоторыми физическими параметрами этих устройств (яркость экрана, его высота и угол наклона, блики и мерцания, шум).

Субъективные расстройства у работающих с ВДТ наиболее часто (96%) проявлялись в виде следующих симптомов: общей усталости, головных болей, раздражения и утомления глаз (боль, жжение, зуд, мелькание и пелена перед глазами к концу • рабочего дня). Процент лиц с выявленной предиатологией различных органов и систем нарастал по мере увеличения продолжительности работы в течение рабочего дня. Данные о заболеваемости пользователей ВДТ (с разной длительностью работы) и контрольной группы приведены в табл. 5. Так, здоровых среди обследованных пользователей ВДТ было в несколько раз меньше, чем в первой группе.

Основное место занимали болезни сердечно-сосудистой системы. Обращает внимание повышенный уровень заболеваемости лиц первой и второй групп, которые более интенсивно использовали ВДТ.

Второе место по частоте занимали заболевания органов пищеварения: в первой и второй группах они составляли соответственно 40,0 и 38,6%, в третьей - 29,8%. Чаще других форм отмечены хронические гастриты и холециститы. Причем, какой-либо зависимости частоты появления этих заболеваний от условий труда обследованных не установлено.

Необходимо признать, что работающие на ЭВМ относятся к группе, подвергающихся влиянию стрессогенных факторов. Поэтому нередко развивающаяся у них нейроциркуляторная дистопия может рассматриваться как производственно обусловленное заболевание. Такие пользователи ВДТ должны состоять на диспансерном учете.

 

7.2 Расчет искусственного освещения в производственных помещениях


При проектировании искусственного освещения необходимо выбрать систему освещения, определить источник света, выбрать тип светильника, представить схему расположения светильников, выполнить светотехнический расчет и определить мощность осветительной установки.

Искусственное освещение может быть двух систем: общее и комбинированное, состоящее из общего и местного освещения рабочих мест. Общее освещение делится на общее равномерное, когда необходимо осветить все помещение или площадь работ с равномерно расставленным оборудованием, требующим одинаковой освещенности, и общее локализованное, когда необходимо усилить освещение отдельных рабочих мест или оборудование разнотипно, и требует различной освещенности. Для искусственного освещения применяют лампы накаливания и газоразрядные лампы (люминесцентные, типа ДРЛ, ДТП и др.).

Лампы накаливания изготавливаются различной мощности (15... 1500 Вт), напряжения (12, 36, 127, 220 В) и типов, с улучшенными характеристиками измерения (биспиральные, газонаполненные и т.д.).

Условные обозначения типов ламп накаливания общего назначения: В -вакуумная, Г - газонаполненная, Б - биспиральная, БК - биспиральная криптоновая.

Лампы накаливания местного освещения имеют буквенные обозначения: МО - обычного исполнения, МОД - лампа-светильник с отражающим диффузным слоем; МОЗ - то же с зеркальным слоем. Следующие за этими

цифры обозначают номинальное напряжение (В) и номинальную мощность (Вт) лампы..

Наиболее благоприятными с гигиенической точки зрения и более экономичными являются газоразрядные люминесцентные лампы низкого давления. Лампы дневного света (ЛД) и дневного света с улучшенной цветопередачей (ЛДД) имеют голубоватый цвет свечения, по спектру наиболее приближающийся к дневному свету. Спектр других типов ламп существенно отличается от спектра дневного света: лампы белого света (Л5) имеют слегка желтоватый оттенок, тепло-белого цвета (ЛТБ) - розовый оттенок, а лампы холодно-белого цвета (ЛХБ) - среднее, между цветами ламп ЛБиЛД.

Широкое распространение получили ртутные дуговые лампы высокого давления (ДРЛ) и металлогалогеные лампы типа ДРИ.

Расположение светильников общего освещения в помещении определяется высотой Н помещения, расстоянием ht от светильников до перекрытий ("свес"), высотой hn=H-hc, на которой светильники расположены над полом, высотой hp, на которой находится расчетная поверхность над полом, расчетной высотой h = hn - hp, расстоянием L между соседним светильниками или рядами люминесцентных светильников, расстоянием t от крайних светильников или рядов светильников до стены. Обычно h определяется размерами помещения. Расстояние между соседними светильниками или между рядами светильников определяется, исходя из величины X - L/h. Расстояние от крайних светильников до стены 1 = (0,3...0,5)L в зависимости от расстояния рабочих мест до стен или принимается равным нулю при выполнении работ непосредственно у стен. Для расчета общего искусственного расчета светильниками любого типа наибольшее распространение имеет метод коэффициента использования светового потока.

Для расчета общего искусственного освещения наибольшее распространение имеет метод коэффициента использования светового потока.

Похожие работы на - База данных библиотеки 'Стэлс'

 

Не нашли материал для своей работы?
Поможем написать уникальную работу
Без плагиата!
Без нейросетей!