Проект модернизации установки с вращающимся диском для высокотемпературных экспериментов с натрием

  • Вид работы:
    Дипломная (ВКР)
  • Предмет:
    Другое
  • Язык:
    Русский
    ,
    Формат файла:
    MS Word
    706,41 Кб
  • Опубликовано:
    2013-10-31
Вы можете узнать стоимость помощи в написании студенческой работы.
Помощь в написании работы, которую точно примут!

Проект модернизации установки с вращающимся диском для высокотемпературных экспериментов с натрием

Перечень условных обозначений

натриевый теплоноситель установка диск

t, T - температура,

Dt - подогрев теплоносителя,

Р - давление,

Q - удельный тепловой поток (с единицы поверхности),

l, Ср- теплопроводность, коэффициент сопротивления трения, - теплоемкость,

L - длина в продольном направлении,

dг - гидравлический диаметр,

F - площадь,

G - массовый расход теплоносителя,

W - скорость теплоносителя,

Q - тепловая мощность,

m - динамическая вязкость,

Безразмерные величины и параметры:

 - число Рейнольдса,

Pr - число Прандтля,- число Нуссельта.

Введение

Жидкометаллические теплоносители следует сопоставлять, учитывая общие закономерности и индивидуальные физико-химические свойства. Общим для них является контроль содержания примесей в теплоносителе, зависящего от соотношения мощностей их источников и стоков в системе.

Индивидуальные свойства жидкометаллических теплоносителей требуют:

·        для тяжелых металлов обоснования коррозионной стойкости защитных покрытий конструкционных материалов при эксплуатации ЯЭУ и разработки жидкометаллической технологии, обеспечивающей условия пассивации сталей;

·        для щелочных металлов обоснования безопасности реакторной установки в условиях их высокой химической активности по отношению к воздуху и воде.

Для перечисленных жидких металлов характерны удовлетворительные ядерные, теплофизические и физико-химические свойства, низкое давление пара при высокой температуре, возможность создания конструкций ЯЭУ, исключающих разрушение емкостей и потерю теплоносителя.

Натрий выбран в качестве теплоносителя АЭС с быстрыми реакторами благодаря перечисленным положительным свойствам и простоте технологических операций, обеспечивающих поддержание заданного качества теплоносителя и при проведении ремонтных работ.

Сплав натрий-калий эвтектического состава благодаря низкой температуре плавления (-12,3 °С) упрощает конструкцию ЯЭУ и облегчает ее эксплуатацию. К сожалению, он имеет худшие по сравнению с натрием теплофизические свойства, более высокое давление паров компонентов эвтектики, высокую химическую активность, влекущую самовозгорание на воздухе при умеренной температуре, и склонность к образованию на воздухе перекисных соединений калия при конденсации его паров в зонах с пониженной температурой. При их попадании на калий реакция может протекать с взрывом.

Как известно, для уменьшения коррозии сталей в жидкометаллических теплоносителях нужно очищать расплавы от технологических примесей.

Для натрия такая технология оказалась эффективной[] и успешно реализовалась в работающих реакторных установках. Отметим, что на коррозию сталей в натрии помимо кислорода влияют углерод, водород и даже азот в защитном газе над расплавом, причем при наличии в натрии одновременно кислорода и водорода скорость коррозии возрастает. Особенности поведения указанных примесей были изучены, что позволило разработать системы и устройства, контролирующие содержание примесей в теплоносителе и его чистоту, гарантирующие минимальную коррозию конструкционных материалов в натрии

Высокая химическая активность натрия к кислороду и воде требует как пожарной безопасности при его течи из контуров, так и контроля течи воды из парогенераторов в натрий. Это связано с тем, что скорость коррозии конструкционных материалов в месте истечения воды в натрий в сотни раз больше, чем скорость коррозии сталей в натрии при нормальных режимах эксплуатации. Для устранения последствий течи воды и натрия был выполнен комплекс исследований по обоснованию систем раннего обнаружения течей, быстрому их прекращению, локализации вытекшего натрия и продуктов взаимодействия с водой.

Критерием адекватности научно-технических решений по устранению последствий течи натрия из контуров является мировой опыт. Особенно важен опыт БН-350 и БН-600. Можно констатировать, что все течи натрия на отечественных реакторах своевременно фиксировались системами контроля. Не было ни одного случая мгновенного или быстрого разрыва трубопровода с натрием полного сечения.

Что касается натрия, то безусловным преимуществом является научно-техническое обоснование его применения для охлаждения, выполненное в ФЭИ, НИИАРе, ОКБМ, ОКБ "'Гидропресс", ЦНИИ "Прометей" и опыт эксплуатации экспериментального реактора (БР-5, после модернизации БР-10), полупромышленного (БОР-6О) и промышленных блоков (БН-350, БН-600). Таких обоснований и опыта эксплуатации для условий промышленных АЭС нет у тяжелых теплоносителей.

Натрий является очень активным химическим элементом. Он горит в воздухе и других окисляющих агентах. Горящий натрий образует дым, который может вызвать повреждение оборудования и приборов. Проблема усложняется в случае, если дым натрия радиоактивен. Горячий натрий в контакте с бетоном может реагировать с компонентами бетона и выделять водород, который в свою очередь взрывоопасен. Для устранения опасности, натрий и продукты его сгорания следует тщательно контролировать;

Горение натрия в окружающей среде обусловлено двумя факторами: высоким давлением пара натрия при умеренной температуре и большой теплотой его окисления при малой теплоемкости газа. По этой причине горящий на воздухе пар натрия формирует над поверхностью расплава источник излучения, интенсивно разогревающий и испаряющий жидкий металл, тем самым ''питая себя" металлическим реагентом для поддержания процесса горения. Из теоретического анализа этих факторов следует, что исключить натриевый пожар можно за счет растворения в натрии нелетучего компонента, например, свинца, поскольку нелетучесть примеси увеличивает ее долю на свободной поверхности расплава по мере испарения натрия и создает диффузионный барьер для его выхода на поверхность и в окружающую среду. Кроме того, это приводит к сильному снижению активности (понижению равновесного давления пара) по мере увеличения концентрации примесного элемента в поверхностном слое расплава, что обусловлено кластеризацией бинарного расплава, микронеоднородность которого увеличивает теплоемкость и тем самым препятствует росту температуры жидкого металла.

Опыт эксплуатации ЯЭУ позволятт утверждать, что будущая ядерная энергетика будет базироваться на двух типах реакторов: быстрых и тепловых. Соотношение между ними со временем, конечно, будет меняться в пользу первого, но всегда атрибутами такой энергетики будут радиохимическая переработка отработавшего ядерного топлива, возврат всех актиноидов в топливный цикл и захоронение радиоактивных отходов.

Концепция перспективной ЯЭУ может быть сформулирована:

1.       выбор оптимального с точки зрения ядерно-физических, теплофизических и физико-химических свойств жидкометаллического теплоносителя для быстрых реакторов;

2.       разработка технологии обращения с ним;

.         гарантировать совместимость выбранного теплоносителя и конструкционных материалов реакторной установки;

.         провести теплогидравлические испытания в штатных и аномальных режимах.

5.       обеспечить захоронение радиоактивных отходов.

Сама же жидкометаллическая технология должна обеспечивать:

1.       минимальную скорость коррозии конструкционных материалов, гарантирующую заданный ресурс работы реакторной установки;

2.       заданные теплогидравлические характеристики установки в штатных режимах работы;

.         идентификацию аномальных процессов и устранение их негативных последствий.

Взаимодействие теплоносителя с конструкционными материалами (эрозия) может привести к разрушению оболочек твэлов, появление примесей в теплоносителе - к закупорке межтвэльного пространства, и как следствие, ухудшенному теплообмену и пережогу твэлов. В связи с этим актуальным является проведение дальнейших исследований по выбору жидкометаллических теплоносителей для быстрых реакторов и конструкционных материалов.

Цель работы состоит в определении параметров гетерогенной системы, обеспечивающих эффективное функционирование конструкционных материалов в каналах с повышенной гидродинамической нагрузкой в контурах ЯЭУ с теплоносителями на основе Na (предотвращение деградации защитных покрытий, растворения и эрозионного повреждения конструкционного материала и др, а также рекомендаций по снижению (исключению) эрозионного износа оборудования.

Глава 1. Исследования процессов взаимодействия образцов конструкционных материалов ЯЭУ с жидкометаллическими теплоносителями

1.1 Процесс эрозии конструкционных материалов в жидких металлах

Исследованию эрозии сталей в контурах со свинцом в нашей стране и за рубежом посвящено небольшое количество работ. Известно, что эрозионные разрушения конструкционных материалов в тяжелом теплоносителе носят быстроразвивающийся характер и происходят в местах с повышенными скоростями теплоносителя, в области гидродинамических возмущений и т.п. [1-3]. Защитные покрытия, формируемые на сталях на основе оксидной технологии, уязвимы с точки зрения эрозионного износа. Эрозия защитных покрытий, сформированных на сталях, может в свою очередь вызвать язвенную коррозию оболочек твэлов со сквозным разрушением оболочки, которая может протекать более интенсивно, чем фронтальное растворение незащищенных оболочек, если не создано условий для залечивания повреждений.

Существенной проблемой может явиться забивание межтвэльного пространства продуктами коррозии [4], поступление которых в теплоноситель увеличивается в случае эрозии конструкционного материала. В настоящее время в начальной стадии находятся разработки методов расчета, позволяющих оценивать необходимые условия для возникновения эрозии и распределение продуктов взаимодействия теплоносителя с конструкционными материалами в контурах ЯЭУ [5].

В зависимости от скорости теплоносителя (числа Рейнольдса) взаимодействие стали с теплоносителем может лимитироваться различными процессами. При малых значениях скорости теплоносителя (Re<105, ламинарное течение) в условиях вращающегося диска поток компонентов стали в жидкий металл J пропорционален v0,5, где v - скорость теплоносителя на краю диска [6-8]. При более высоком значении Re происходит турбулизация потока теплоносителя и J увеличивается. При взаимодействии железа со сплавом РЬ-2,25 % маc. Mg такое явление обнаружено при Re=2,5∙105 (v=1,3 м/с, 650°C) и начало перехода на кинетическую стадию (отсутствие зависимости J от v, процесс определяется взаимодействием на поверхности железа) при v≈2 м/с [8]. Глубокие линии тока (возможно эрозионного характера) на поверхности вращающегося никелевого образца в расплаве висмута при 500°С также наблюдали при скоростях порядка 2 м/с [8].

Наиболее распространенной причиной эрозии конструкционного материала может являться кавитация. Начало кавитации в натрии по шумовому эффекту в работе [9] обнаружили при Re=3∙105 (возможно шумовой эффект создавался турбулентным потоком).

Скорость потока жидкости, обтекающей препятствие в гидравлическом тракте контура, при которой наступает кавитация, можно оценить с учетом соотношения Бернулли [10]. Давление в потоке жидкости выражается зависимостью:

,      1.1

где: РГ - гидростатическое давление; v∞ - скорость набегающего потока; v - скорость потока в рассматриваемой точке.

Кавитация проявляется при скорости потока v = vK которая соответствует давлению в потоке жидкости близком к нулю, т.e.P≈ 0. Поэтому получим:

, 1.2

Наши оценки по этой зависимости показывают, что для получения кавитации в свинцовом теплоносителе, находящемся под гидростатическим давлением 0,1 МПа, скорость потока в критической точке должна быть примерно 4,5 м/с при скорости набегающего потока меньшей 1 м/с. При v∞=2м/с для рассматриваемого случая vK=5м/с. Полученный результат соответствует данным [11], где отмечалось начало кавитации на цилиндрической поверхности вращающегося диска при скорости на поверхности относительно расплава свинца равной 4,5 м/с.

Механизм разрушения пузырьков пара рассмотрен в работе [12] и его действие в жидких металлах в работе [13]. Даны экспериментальные результаты и сравнение кавитационного воздействия на металлы при 816°С и при 265°С, сравнение экспериментальных результатов с теоретически рассчитанными в [12]. Металлы, испытываемые в сплаве свинец-висмут, подвергались большему разрушению при 816 °С, чем при 265°С. Однако в литии разрушение при 816°С было в основном на порядок величины меньше, чем при 265°С, благодаря, в первую очередь, "термодинамическим эффектам". Это также важно в жидких металлах, таких как Na в результате действия паров жидкости, которое становится значительным при более высоких температурах. Когда кавитационные пузырьки коллапсируют (схлопываются), тепло конденсации паров внутри пузырьков должно быть передано в окружающий поток. Если это происходит недостаточно быстро, как может быть в случае с повышенной плотностью паров при повышенной температуре, температура и давление неконденсированных паров возрастают, задерживая гибель пузырьков и уменьшая давление схлопывающихся пузырьков и разрушение.

В [12] рассмотрели как термодинамический, так и инерционный факторы в гибели пузырьков, определив безразмерный параметр Beff, который характеризует инерционный контроль процесса или тепло-переносный. В последнем случае говорят, что действует "термодинамический эффект".

Для рассматриваемой задачи:

,       1.3

где:

Beff - термодинамический параметр (безразмерный);

с - плотность жидкости;

сv - равновесная плотность жидкости;

Pv(ref) - определяющая плотность сv;

с - теплоемкость жидкости;

L - скрытая теплота парообразования;

Т - температура;

k - теплопроводность жидкости;

Р - давление.

На рисунке 1.1 приведен график экспериментальных данных в среде Hg, Pb-Bi, Li, Na (образец - сталь 304SS) для фактора, корректирующего разрушение, в зависимости от Beff. Для больших Beff коллапсация пузырьков не подвержена действиям "термодинамического эффекта", и результат совпадает с предполагаемым на основе механических свойств. Но для Beff <1000 "термодинамический эффект" существенен и разрушение значительно уменьшается.

При низких скоростях свинцово-висмутового теплоносителя (0,3-0,7м/с) и активности кислорода близкой к единице в изотермическом (250-275°С) и неизотермическоы (465/250°С) стендах обнаружены кавитационные каверны в зонах, расположенные непосредственно за кавитатором [3]. По приближенным оценкам показано, что концентрацю газа в потоке теплоносителя составляла (1-2,5)-10-2% об. Авторы объясняют возможность кавитационной эрозии размельчением и переносом пузырьков газа при скоростях теплоносителя больших 0,8 м/с.

1 - Na(816°C); 2 - Li (816°C); 3 - Hg(265°C); 4 - Na(265°C); 5 - Pb-Bi (816°C); 6 - Hg (22°C); 7 - Li (265°C); 8 - Pb-Bi (265°C) - разрушение, контролируемое инерцией;

II - разрушение, контролируемое переносом тепла

Рисунок 1.1 - Экспериментальные данные для стали 304 SS в жидких металлах в зависимости от фактора Beff [13]

Отмечено, что эрозия в некоторых случаях подавляется путем оптимизации гидродинамики потока в крьшной зоне или увеличением статического давления. На прямых участках трубопроводов в отсутствие резкого изменения сечении язвенных разрушений не обнаружено вплоть до температуры 465°С и скорости потока до 1,4 м/с.

В работе [14] при температуре 620-650°С и низкой активности кислорода в свинце (Со=10-7-10-8 % мас.) через 1000 ч испытаний обнаружены отдельные коррозионно-эрозионные очаги (в местах дистанционирования глубиной до 1200 мкм) на хвостовиках и конусной части образцов стали ЭП823 (предположительно в области турбулизации потока) В области продольного обтекания образцов потоком свинца при тех же условиях и на все( поверхности стали ЭП823 при более высокой активности кислорода (Со=10-5-10-6 % мас.) эрозионных повреждений не обнаружено вплоть до ресурса 8800 ч. Существенный вклад в образование очагового повреждения на стали может вносить затрудненность доступ; кислорода (в местах дистанционирования и др.).

Кавитационная эрозия стали может быть также стимулирована ультразвуковьп воздействием. В работе [15] показано, что накопленная средняя глубина разрушения сталей 304SS и 316SS составляет, соответственно, 0,295мм/ч и 0,066мм/ч при их испытании в сплаве РЬ-30% Bi при 816°С

1.2 Математическая модель и расчет массопереноса в условиях, способствующих эрозии стали в сплавах на основе свинца

Разработана модель, в соответствии с которой могут быть определены условия, соответствующие диссоциации пленки магнетита, а следовательно, началу возникновения коррозионно-эрозионного процесса.

Модель учитывает, что поток железа, диффундирующего через оксидную пленку, распределяется на два потока: первый идет на образование оксидной пленки, а второй поступает в теплоноситель. При этом также учитывается перенос кислорода из потока теплоносителя к поверхности конструкционного материала.

С учетом второго закона Фика плотность потока железа через оксидную пленку в установившемся режиме окисления составляет

,        1.4

где: а1 - активность железа в стали;

а2 - активность железа в теплоносителе в пристеночной области;

х - толщина пленки;

Кпр - коэффициент проницаемости железа в оксиде.

Изменение толщины пленки в течение времени связано с величиной плотности потока железа через пленку JFe зависимостью

,      1.5

где: сох - плотность оксида;

k - коэффициент, учитывающий вид оксида;

Jn - плотность потока железа, поступающего в свинцовый теплоноситель.

С учетом (1.4) преобразуем зависимость (1.5) к виду

,  1.6

где: б=Кпр(а1-а2)



аГ - активность железа в потоке;

 ч - коэффициент массоотдачи железа от поверхности пленки в объем теплоносителя;

Cs - концентрация насыщения железа в свинце.

Считаем, что в теплоносителе в рассматриваемом процессе существует избыточная фаза магнетита (присутствие взвесей в объеме свинца), имеем для активности магнетита a(Fe3О4) = 1, поэтому

,         1.7

где активность кислорода в потоке

,      1.8

К(Т) - константа равновесия реакции образования магнетита; с(РbО) - концентрация кислорода в теплоносителе; Cso - концентрация насыщения кислорода в теплоносителе. Поток кислорода, поступающего в пристеночную область, выражается зависимостью

,        1.9

где: ч0 - коэффициент массоотдачи кислорода между поверхностью и теплоносителем;  - активность кислорода в теплоносителе в пристеночной области.

,      1.10

Поток железа, идущий на образование магнетита на поверхности пленки определяется как

,  1.11

Учитывая, что из стехиометрии магнетита следует отношение, можно из совместного решения уравнений (1.9) и (1.11) определить значение a2. Затем, решая уравнение (1.6) определяется скорость роста или растворения пленки магнетита на поверхности конструкционного материала, а уравнения для плотности потока железа, поступающего в свинцовый теплоноситель. Очевидно, что таким образом могут быть определены условия, соответствующие диссоциации пленки, а следовательно, приводящие к возникновению коррозионно-эрозионного процесса.

На рисунке (1.1.1) представлены результаты расчета в соответствии с этой моделью. Рассмотрено влияние скорости потока свинца на толщину образующейся пленки магнетита настали ЭП823 при следующих условиях: ао = 10'2, t = 650°С, время выдержки = 8000 час.

Образование пленки магнетита для рассматриваемого случая прекращается вследствие снижения притока кислорода при скорости потока свинца менее 0,1 м/с. Аналогично можно оценить влияние других параметров. Область параметров теплоносителя, соответствующих эрозии конструкционных материалов в контуре со свинцом, предполагается определить при проведении дальнейших исследований.

Следует отметить, что обычно непосредственно у поверхности стали пленка имеет сложный состав, который термодинамически более устойчив в свинце, чем магнетит. Этим объясняется возможное отсутствие эрозии стали в участках, где скорость теплоносителя мала.

.3 Результаты испытаний на свинце

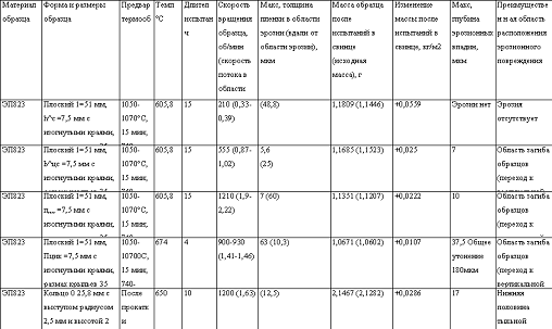
На установке с вращающимся образцом исследовали эрозионное повреждение стали ЭП823 (без предварительного покрытия) свинцом. Результаты испытаний представлены в таблице 1.

На всех образцах стали ЭП-823 после испытаний в свинце визуально наблюдали наличие поверхностного сине-черного покрытия, кроме участков эрозионного повреждения и участков отсутствия контакта со свинцом. После испытаний при 606 °С оксидная пленка на поверхности стали состояла из: Ме3С>4, (FeCrfeCh, PbCrO4).

Таблица 1 - Условия и результаты анализа эрозионного испытания образцов


Рис. 1.1.1. Влияние скорости потока свинца на толщину образующейся пленки магнетита на стали ЭП-823: ао = 10"2, t = 650°С, время выдержки = 8000 час

Исследовали условия набегания потока на образец (вращающийся стандартный плоский образец с изогнутыми краями, см. рисунке 11(ПОКА НЕ ОБРАБАТЫВАЛ) при 606, 674°С в течение 4-15 ч. Максимальное эрозионное повреждение стали свинцом наблюдали на стороне образца, врезающейся в поток со скоростью 2 м/с в испытаниях при 674°С длительностью 4 ч при активности кислорода в свинце равной единице. Внешний вид образца стали после испытаний на держателе и после демонтажа представлен на рисунке 1.1. При вращении наблюдали сильное разбрызгивание свинца. Капли на внешней и внутренней поверхностях стакана видны на рисунке 1.2.

Вид внешней и внутренней поверхностей образцов после вращения в свинце с различными скоростями представлен на рисунке 1.3. Максимальная глубина эрозионных впадин составила 37 мкм, максимальное утонение образца -180 мкм (скорость движения омываемой поверхности относительно стакана - 2 м/с). Микрорентгеноспектральный анализ показал незначительное снижение концентрации железа (на 2 %) на глубину 20 мкм относительно содержания железа в основе стали в области эрозионного повреждения и отсутствие изменений в неповрежденной области. Перераспределения хрома не обнаружено. Неровности поверхности наблюдали вплоть до области исчезновения поверхностного покрытия (области отсутствия контакта стали со свинцом вследствие срыва потока), в области отсутствия контакта стали со свинцом глубина неровностей не превышала 0,6 мкм (см рисунок 1.4). На стороне образца, противоположной плоскости набегания потока, неровностей не обнаружено. Просматривающиеся на поперечном сечении образца линии шлифовки свидетельствуют, что язвенные повреждения образовались в процессе испытаний стали в свинце, а не в процессе подготовки шлифа.

При скорости вращения образца, соответствующей скорости обтекания 1 м/с (606°С, 15ч) эрозионное повреждение стали существенно ниже, максимальная глубина эрозионного повреждения 7 мкм. Рельеф области

Параметры эксперимента: п = 900об/мин; t = 674°С; х = 4 ч; а 2; = 1.

а).наружный вид стакана;

б) вид внутренней поверхности стакана.

Рисунок1.2 - Вид молибденового стакана после испытаний в свинце образца стали ЭШ23 с изогнутыми краями

Расстояние между краями образца -35 мм. l-t = 674°С; т = 4 ч. Расстояние между краями образца - 42 мм. l-n-200 об/мин, 3 - n ~ 550 об/мин, 4 - n ~ 900 об/мин, 5 - n ~ 1200 об/мин

Рисунок 1.3 - Вид сверху (верхний снимок) и снизу (нижний снимок) образцов после испытаний в свинце формирования покрытия и распределения углублений тот же, что и при скорости 2 м/с. На стороне образца, противоположной плоскости врезания в поток, неровностей также не обнаружено (см. рисунок1.5).

а, б) эрозионное повреждение в области срыва потока;

в) отсутствие эрозионного повреждения на стороне, противоположной набеганию потока.

Рисунок1.4 - Поперечное сечение образца ЭП823 (без предварительного покрытия) с изогнутыми под прямым углом краями после испытаний стали в свинце при 675 С в течение 4 ч и скорости обтекания 2 м/с, х230

При скорости 0,4 м/с на всех поверхностях стали в свинце (606°С, 15 ч) формировалось равномерное оксидное покрытие, эрозионного повреждения стали не наблюдали (см. рисунок1.6). Основываясь на рисунке 1, можно предположить, что температура теплоносителя не влияет на эрозионный процесс в области 265-816°С. Линейная интерполяция максимальной глубины эрозионного повреждения стали за 4 часа от скорости движения образца стали ЭП823 относительно свинца (V) может быть оценочно представлена зависимостью:

,      1.12


,   1.13

Максимальная скорость поверхности образца, при которой отсутствует эрозия, составляет 0,96 м/с по формуле (1.12) и 0,91 м/с по формуле (1.13). Оценка требует уточнения на основе большего количества экспериментальных данных при различной температуре испытаний.

Виброаккустическими измерениями обнаружено возрастание уровня шумов с увеличением скорости вращения образца, что может быть использовано для диагностики режима потока (ламинарный, турбулентный, кавитационный), см. рисунке 2.7. При линейной экстраполяции полученных результатов за 4 ч (глубина эрозии 37 мкм при 674°С и скорости теплоносителя 2 м/с; 7 мкм при 606 С и скорости теплоносителя 1 м/с) сквозное разрушение оболочки толщиной 500 мкм при поперечном обтекании плоского образца может проявиться, соответственно, через 54ч при скорости теплоносителя 2 м/с и через 1000ч при скорости теплоносителя 1 м/с. Однако, в активной зоне тонкостенные детали,

а)эрозионное повреждение в области срыва потока, х230;

б)эрозионное повреждение в области срьша потока, х575;

в)отсутствие эрозионного повреждения на стороне,

противоположной набеганию потока.

Верх - внутренняя сторона; низ - внешняя сторона.

Рисунок 1.5 - Поперечное сечение образца ЭП823 (без предварительного покрытия) с изогнутыми под прямым углом краями после испытаний стали в свинце при 606°С в течение 15 ч и скорости обтекания 1 м/с

Рисунок 1.6 - Поперечное сечение образца ЭП823 (без предварительного покрытия) с изогнутыми I шд прямым углом краями после испытаний стали в свинце при 606 С в течение 15 ч и скорости 0,4 м/с, х230обтекаемые потоком свинца подобным образом, отсутствуют, так что полученные скорости эрозионного разрушения скорее характерны для лопастей насоса, толщина которых существенно больше, чем толщина оболочки твэла.

1- спектр вибраций при вращении колец с выступом;

2- спектр вибраций при вращении образцов с загнутым концом;

3- спектр вибраций при вращении цилиндра со скоростью 900 об/мин;

4- спектр вибраций при вращении цилиндра со скоростью 500 об/мин;

5- шум водорода при очистке свинца от кислорода;

6 - фон расплав свинца без вращения образцов

Рисунок1.7 - Спектр вибрации ванны со свинцом на РУ-ВД зарегистрированный акселерометром АР-1006

При обтекании выступа высотой 2мм с кривизной радиусом 2,5мм (имитация поперечного обтекания трубы) набегающим потоком свинца со скоростью 1,6 м/с при 650°С в течение 10 ч и активности кислорода а„ =1 обнаружена эрозия сталей ЭП823, ЭП302, 10Х9НСМФБ непосредственно за выступом (рисунки1.8 и1.9). После испытаний при 650°С в области, удаленной от участка эрозионного повреждения, на поверхности сталей наблюдали оксидную пленку, в состав которой входили: МезО4 (сталь ЭП302); МеэО4, РbСЮ4 (стальЭП823); Ме3О4, Ме2О3, PbO-6Fe2O3, возможно, РbМоО4 (сталь 10Х9НСМФБ). Эрозионное повреждение стали обнаружено в области отсутствия или существенного утонения оксидной пленки. Глубина эрозионного повреждения стали ЭП823 в этом случае достигла 17 мкм. Исходя из линейной экстраполяции полученных результатов, сквозное разрушение цилиндрической оболочки внешним диаметром ~5мм и толщиной 500 мкм при поперечном обтекании ее свинцом со скоростью 1,6 м/с может произойти через 300 ч. Максимальная глубина эрозионного повреждения сталей ЭП302 и 10Х9НСМФБ при обтекании выступа высотой 2 мм с кривизной радиусом 2,5 мм набегающим потоком свинца со скоростью 1,6 м/с при 650°С в течение 10 ч и активности кислорода а0=1 составила, соответственно, 87,5 и 9,375 мкм. В работе [16] показано, что прочностные свойства стали ЭП823 существенно снижаются с ростом температуры (предел прочности уВ равен 1014,0; 382,0; 285,0; 178,0 МПа, соответственно, при 20, 600 и 650 и 700 С).

Давление на плоскость, перпендикулярную потоку:

,

При 600°С, высоте столба свинца над образцом 0,02 м и скорости вращения образца, соответствующей скорости обтекания 1 м/с, давление на поверхность стали составит 0,117 МПа.

При тех же условиях и скорости обтекания образца 2 м/с давление на поверхность стали составит 0,13 МПа, а при скорости обтекания 12,9 м/с и 0,99МПа. Таким образом, стали обладают существенным запасом прочности относительно создаваемых в потоке давлений. Большие напряжения создаются при коллапсации парогазовых пузырьков. Возможность захвата газовых пузырьков при движении свинца отмечена в работе [3]. Вероятно, эрозия стали в определенных участках образцов вызвана либо парогазовым воздействием, либо коррозионно-эрозионным механизмом при повреждении или отсутствии защитной оксидной пленки. Диагностика области скоростей свинца и режимов обтекания свинцом трубного пучка с гарантированным отсутствием эрозии требует большого объема экспериментальных исследований для статистического анализа условий появления эрозионного повреждения при различных геометриях и скоростях обтекания стального образца потоком теплоносителя. Наиболее эффективно сбор информации обеспечивает установка с вращающимся в теплоносителе цилиндром. Для верификации выводов следует провести стендовые испытания сборки имитаторов твэлов при обтекании их свинцом, соответствующем рабочему режиму РУ.

Образец (2) размещался между опорным кольцом (1) и дистанционирующим кольцом (3); образец (4) между дистанционирующими кольцами (3) и (5); а образец (6) между дистанционирующим кольцом (5) и фиксатором (7)

Рис.1.8. Держатель вращающегося диска с образцами.

Похожие работы на - Проект модернизации установки с вращающимся диском для высокотемпературных экспериментов с натрием

 

Не нашли материал для своей работы?
Поможем написать уникальную работу
Без плагиата!
Без нейросетей!