Проверочный расчет деталей и узлов горизонтального гидравлического пресса усилием 28 МН
Содержание
Введение
. ОПИСАТЕЛЬНАЯ ЧАСТЬ
1.1 Принцип действия
1.2 Конструкция
.3 Назначение пресса
.4 Прессовый инструмент
. РАСЧЕТНАЯ ЧАСТЬ
.1 Расчет главного цилиндра
2.2 Расчет главного плунжера
2.3 Расчет стяжных колонн
2.4 Проверка прочности бака
наполнения. Определение объём виндкесселя
2.5 Расчет трубопровода
2.6 Расчет контейнера
3. РЕМОНТ И СМАЗЕА
3.1 Неисправности пресса и способы
их устранения
3.2 Особенности монтажа
.3 Смазка
.4 Техническое обслуживание
4. ТЕХНИКА БЕЗОПАСНОСТИ ПРИ ОБСЛУЖИВАНИИ
Заключение
Список используемой литературы
Введение
Среди многих процессов обработки металлов
давлением прессование металлов является наиболее эффективным. На современном
уровне развитии техники обработки металлов давлением этот процесс получил наибольшее
применение.
Пресса бывают усилием 1000, 1500, 2000, 2800,
3150, 8000, 12000,20000 тс. Прессованием получают очень широкий сортамент
изделий из многих металлов и сплавов.
Современные прессовые цеха оборудуются
различными машинами и механизмами, позволяющие выпускать большое количество
разнообразной продукции как в готовом виде, так и в виде полуфабрикатов или
заготовки для обычно смежного трубопруткового цеха.
Всё оборудование прессового цеха можно разделить
на две группы: основную и вспомогательную. Оборудование должно обеспечивать
обработку труб, прутков и профилей различных сечений.
Для изготовления такого широкого сортамента труб
и профилей у гидравлических прессов должны бать специальные приспособления и
необходимый инструмент, а также вспомогательные машины для окончательной
отделки изделий.
Вспомогательные машины и устройства должны
обеспечивать механизированную транспортировку заготовки и изделий на
последующую обработку.
1
ОПИСАТЕЛЬНАЯ ЧАСТЬ
.1
Принцип действия
Рис. 1.1 Схема принципа действия пресса
Под действием силы F1
действующая на первый поршень в цилиндре будет создаваться удельное рабочее
давление рабочее жидкости р определяется по формуле
р = 
так как жидкость практически не сжимаема во
втором цилиндре будет создаваться удельное давление
р = 
По закону Паскаля для двух
сообщающихся сосудов отношение усилий действующих на поршень будет
пропорционально отношению их площадей 
=
отсюда 
.
На основании этого усилие гидравлического пресса
будет зависеть от давления рабочей жидкости и площади поперечного сечения
поршня.
Пресс предназначен для прессования прутков,
профилей, труб и т.д. в горячем состоянии.
1.2 Конструкция
Данный пресс имеет самостоятельное прошивное
устройство. Главный цилиндр пресса с главным плунжером являются основным узлом.
В боковых приливах главного цилиндра пресса вмонтированы цилиндры обратного
хода главного плунжера с плунжером обратного хода, закреплённом в поперечине
головной части главного плунжера. Цилиндр прошивного устройства с плунжером
закрепляется в хвосте пресса в неподвижной хвостовой траверсе, соединённой с
главным цилиндром пресса двумя тягами. Головная часть плунжера прошивки
соединена с подвижной траверсой, являющейся опорой для штока прошивного
устройства. Рассмотренные узлы пресса несут на себе основные детали подвижной
части пресса.
Неподвижная часть пресса, так называемая
передняя крестовина, соединенная с главным цилиндром пресса тремя мощными
тягами - колоннами, укрепленными в проушинах передней крестовины и главного
цилиндра специальными гайками. Назначение передней крестовины пресса - размещение
заготовки и крепление необходимого для прессовки инструмента неподвижного узла.
Инструмент для прессования подразделяют на
инструмент подвижного и неподвижного узла. Первый закреплён в головной части
главного плунжера пресса и штока прошивного устройства.
К передней крестовине прикреплён держатель
приёмника слитка - контейнеродержатель с контейнером для слитка. В передней
крестовине вмонтировано также специальное замыкающее устройство для удержания
инструмента неподвижного узла. Замок передвигается при помощи гидравлического
устройства.
Со стороны выхода заготовок в передней
крестовине расположена горловина для каретки матрицедержателя с матрицей. После
каждого цикла прессования каретка матрицедержателя вместе с выходным жёлобом,
находящимся на приемном столе, выдвигается из горловины пресса для отделения
прессостатка. Прессостаток может быть отделён боковыми ножницами или
специальными боковыми ножницами. Боковые ножницы присоединены к передней
крестовине пресса. Вертикальные ножницы в виде отдельного устройства
устанавливают на приёмном стане пресса. При прессовании сплавов с высоким
пределом прочности для отделения прессостатка служит дисковая пила. Каретка
матрицедержателя вместе с подвижным желобом служит для приёма отпрессованного
изделия после отделения прессостатка и уборки изделия возвращается в горловину
пресса для следующего цикла прессования. Отпрессованная заготовка специальным
транспортёром оттягивается по неподвижному жёлобу и затем передаётся на
поперечные стеллажи для охлаждения и контроля.
Все детали пресса устанавливаются на массивных
фундаментных плитах, причем обычно фундаментная плита состоит из трёх частей,
соединенных болтами: плиты под переднюю крестовину, плиты под главный цилиндр с
направляющим устройством для главного плунжера с хвостовой фундаментной плиты
под хвостовую часть главного плунжера, крестовину цилиндра прошивки и подвижную
траверсу прошивного устройства. Основные части пресса закреплены на
фундаментных плитах только при помощи специальных шпоночных креплений. Матрицедержатель
крепится к подвижной головке тремя болтами, а его положение по глубине
выравнивается набором стальных прокладок. Для надёжной работы узлы болты должны
быть всегда закреплены, а прокладки иметь равномерную толщину по всей площади.
Подвижный узел пресса. Подвижный узел пресса
состоит из главного цилиндра, который установлен на фундаментной раме и
фиксируются от смещения шпонками. В цилиндре имеется единственное отверстие,
через которое подаётся жидкость низкого давления от бака виндкесселя (бак наполнения).
Через загрузной клапан в главный цилиндр для подачи слитка и прессшайбы в
контейнер. Для подачи жидкости высокого давления от насосно - аккумуляторной
станции через дистрибутор, загрузной клапан в цилиндр.
Для осуществления распрессовки и выпрессовки
готового изделия через это отверстие отработанная жидкость при обратном ходе
главного плунжера уходит на слив в бак наполнения виндкессель и через
переливной клапан в наполнительный бак насосно - аккумуляторной станции. Для
того, чтобы обеспечить герметичность цилиндра в местах его сопряжения с главным
плунжером и штока прошивки используют уплотнительные манжеты.
Главный плунжер, который передаёт давление
рабочей жидкости через шплинтон на перемещаемый шток. Плунжер может быть
сплошным и полым при диаметре свыше 200 мм.
Подвижная траверса соединяет главный плунжер с
плунжерами цилиндров обратного хода главного плунжера цилиндры и плунжеры
обратного хода главного плунжера.
Механизм прошивного устройства. Механизм
прошивного устройства состоит из четырёх узлов:
) цилиндра и плунжера прошивного
устройства;
) цилиндров и плунжеров обратного хода
прошивного устройства;
) прошивного штока и устройства для
регулировки его хода;
) подвижной траверсы и тяг крепления.
Главные стяжные колонны. Передняя крестовина
пресса соединена с главным цилиндром стяжными колоннами. Колонны крепятся к
приливам передней крестовины и главного цилиндра разъёмными внутренними и
внешними гайками. Высота внешних гаек, несущих всю нагрузку при работе пресса,
несколько больше, чем внутренних.
.3 Назначение
пресса
Прессы такой мощности и типа
предназначены для прессования меди и ее сплавов и могут работать в
полуавтоматическом режиме, а также на ручном пооперационном управлении с
централизованного пульта управления. Слитки нагревают в индукционной печи
промышленной частоты. Они доставляются к рольгангу стола загрузки специальных
поддонов и автоматически перегружаются на стол задач; толкатель подает слиток в
индуктор печи. Нагретые слитки выталкиваются на механизм загрузки пресса и передаются
на ось прессования. Готовая продукция выдается на передний стол и далее по
поперечному транспортеру на стол резки. Головка матрицедержателя пресса имеет
поперечное двухпозиционное перемещение. Как указано выше, прессом управляют с
центролизованного пульта управления. Все гидравлические распределители
(дистрибуторы) вынесены в подвальное помещение и управляются от гидравлической
масленой системы с давлением 
через золотниковые устройства с
электросоленоидной системой управления. Смазка трущихся поверхностей-
централизованная, станция смазки расположена в подвале.
1.4
Прессовый инструмент
Контейнер. Контейнер перса вместе со
встроенными в него втулками служит приёмником слитка, нагретого до температуры
прессования всё давление, необходимое для деформации слитка. Периодический
интенсивный нагрев, высокие удельные давления, трение высоконагретого металла
металлы о стенки внутренней втулки контейнера с последующим воздушным
охлаждением, создаваемым движением потоков холодного воздуха через отверстие
контейнера, вызывают термические перенапряжения материала внутренней втулки и
выход её из строя вследствие растрескивания поверхностного слоя. Контейнер
обычно представляет массивную стальную поковку, изготовляемую из стали 50 или
из легированной стали. Срок службы контейнеров от 3 - 5 лет и выше.
Матрица. При
прессовании матрица продолжительное время непосредственно соприкасается с
сильно нагретым слитком. Большие удельное давление при истечении металла через
матрицу, истирание её поверхности при минимальных возможностях смазки и
охлаждения, которое происходит только в результате потоков воздуха, идущего
через отверстие контейнера, или в момент нахождения её вне горловины пресса -
всё это определят исключительно тяжёлые условия работы материала, из которого
должна быть изготовлена матрица. Различают следующие типы матриц: основной;
матрицы для профилей; разъёмные матрицы; комбинированные язычковые матрицы;
специальные типы матриц. Матрицы делают из сталей 4ХВС, 5ХВС, ЖС6, 3Х2В8.
Иглы. Игла служит для прошивки отверстия
в слитке и образования отверстия в прессуемой трубе или профиле. При
прессовании она подвергается высоким механическим и термическим нагрузкам. Даже
непродолжительное время нахождения иглы в высоконагретом слитке вызывает
сильный и глубокий прогрев иглы, снижая её механические свойства.
После прессования игла охлаждается. Иглы
различают: игла, закрепляемая в шплинтон без самостоятельного прошивного
устройства; игла, закрепляемая в прошивное устройство; ступенчатая; малая
«плавающая»; профильная; специальные. Иглы изготовляют из сталей марок 3Х2В8 и
4ХВС до 40мм, а свыше ЭИ671 и ЭИ696.
Пресс-шайба. Она предохраняет шплинтон от
непосредственного контакта с нагретым слитком, разгружая его от термических
действий. Пресс-шайба периодически испытывает только сильный нагрев от слитка
при больших удельных давления, возникающих при прессовке. Пресс-шайбы
изготовляют из стали марки 3Х2В8 размером до 250мм или 4ХВС для больших
размеров.
Шплинтон. Передаёт основное давление от
главного плунжера пресса на прессуемое изделие. Шплинтон делают из легированной
стали марки 4ХНВ.
Иглодержатель. Служит для крепления
прошивной иглы и передачи ей движения от плунжера прошивного устройства.
Усилия, возникающие при прошивке слитка сравнительно невелики. Иглодержатели
изготовляют из стали марки 3Х2В8.
2
РАСЧЁТНАЯ ЧАСТЬ
Рис 2.1 Схема главного цилиндра
Определяется наружный радиус цилиндра.

Для стального литья 80 - 100 Мпа.
где р - давление рабочей жидкости, Мпа;

Определяется напряжение разрыва.

≤[
(2.2)
Днище цилиндра рассчитываем на
изгиб.

0,75
(2.3)
где h - толщина
днища цилиндра, мм;
𝛾=
(2.4)
где 𝚺d - сумма
диаметров отверстий днища цилиндра, мм;
𝛾=

Рассчитываем днище цилиндра на
разрыв.

2.2 Расчёт
плунжера
Определяем площадь главного плунжера,
необходимого для создания усилия:

(2.6)
Где, F-усилие
прессование, т;
Определяем наружный диаметр
плунжера:

(2.7)
Где, 
- диаметр хвостовика плунжера, мм;
Опорные поверхности плунжера
рассчитываются на напряжение смятия:

(2.8)
Допускаемое напряжение смятия для
плунжера из стали -
Проверяем плунжер на продольный
изгиб:
Если 
то плунжер на продольный изгиб не
рассчитывается
плунжер на продольный изгиб не
рассчитывается.
Определяем толщину стенки плунжера:
l =
(2.9.)
l=
=532мм
Проверочный расчет главного плунжера показал,
что плунжер прочный по необходимым показателям.
2.3
Расчёт стяжных колонн
Стяжные колонны используют для обеспечения
жёсткости подвижной и неподвижной траверс. Закрепляются колонны с помощью
разъёмных гаек, половины которых соединены между собой болтами. Во время работы
пресса происходит удлинение колон.
Определяется удлинение колонн .
где 

- длина колонны;
А - площадь колонны;
n - число
колонн.
Рис. 2.3 Схема стяжных колонн
∆L=
(2.10)[3]
Определяется внутренний диаметр
резьбы.

(2.10)

(2.11)
где 
- номинальное усилие пресса, т;
,2 - коэффициент предварительной
затяжки гаек;
n - число
витков.

=112Мпа

=
=377мм
А=
(2.12)
А=
=111571м
∆L=
=41871*1
мм
Определяется высоту гайки Н=(1,1 -
1,2)*
(2.13)
Н=1,1*400=440мм
Определим число витков z=
(2.14)
z=
=44
Резьбу витков определяют на:

- внутренний диаметр резьбы колонн,
мм;
на срез 
=
(2.15)
где 

=
=22Мпа
на смятие 
=
(2.16)
где 
на изгиб 
=
(2.17)
где [

=
=33Мпа
2.4
Проверка прочности бака наполнения. Определение объёма виндкесселя
Рис. 2.4 Схема виндкесселя

=
(2.18)[3]

=173406*3100=537558600
Определяется жидкостной объем.

=2,5*
(2.19)

=2,5*537560150=1343896500
Это необходимо для того, чтобы
исключить вероятность того, что при полном расходе жидкости из виндкесселя в
гидросистему может попасть воздух.
Определим объём воздушной части.

=
*
(2.20)
𝜏=
(2.21)
𝜏=
=0,5кг/

=537560150*
=1,11575
Определяется общий объем.

=
*
(2.22)

=537560150*
=1,15575

=800мм, Н=2650мм, S=8мм, G=448кг.
Определим толщину бака.

=
(2.23)

=
=6033Н/м
Определяется толщину днища.

=
+с (2.24)

=800*1,3
+2=244402мм
Определяется искажение сварного шва.

=
(2.25)

=
=35Мпа
Определяется напряжение в сварных
швах расположенных в поперечном направлении.

=
(2.26)

=
=17,5Мпа
2.5
Расчёт трубопроводов
Определяется внутренний диаметр.

=
(2.27)
где Q -
количество жидкости, протекающие по трубопроводу;
𝜐 - средняя скорость жидкости
в трубопроводе.
При прессовании 𝜐=80мм/сек;
при холостом ходе 𝜐=200мм/сек.

=
=5,75мм
Принимаем 
=7мм, S=3,5мм, G=0,906кг

=
=5,76мм
Принимаем 
=7мм, S=3,5мм, G=0,906.
Определяется максимальную скорость течения
жидкости.
𝜐=0,1*р (2.28)
𝜐=0,1*20=2м/сек
Рассчитываем трубопровод на прочность.

=
≤[
(2.29)

=20
=32Мпа

=10
=17Мпа
Проверочный расчет трубопровода показал, что
трубопровод прочный.
2.6
Расчёт контейнера
Рис. 2.5 Схема контейнера
r=120мм, 
=200мм, 
=600мм.
р=0,8*р=0,8*200000=160000кг/с
Определяется удельное давление
прессования.

=
(2.30)

- площадь поперечного сечения контейнера.

=
=2476кг/c
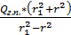
Определяется величину удельного давления,
созданного горячей посадкой.

=
(2.31)

=
=114Мпа
Где, r
- внутренний диаметр втулки, мм;
r1
- внутренний диаметр контейнера, мм;
r2
- наружный диаметр контейнера, мм;
E - модуль
нормальной упругости, МПа;
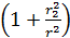
Определяется напряжения, будем рассматривать
только тангенциальные напряжения. Тогда напряжения от горячей посадки составят:
на внутренней поверхности втулки

=
=-35625 Н/
на поверхности сопряжения

=±
(2.33)

=±
±24225 Н/
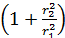
на наружной поверхности контейнера

=
(2.34)

=
=2850 Н/
Определяется напряжение от давления прессования
на внутренней поверхности втулке.

=
*
(2.35)

=
*
=173333 Н/
на поверхности сопряжения

=
*
(2.36)

=
*
=66666 Н/
на наружной поверхности контейнера

=
(2.37)

=
=13333 Н/
Определяется суммарное напряжение от горячей
посадки и давления прессования.
на внутренней поверхности втулки

= - 35625+173333=137708 Н/
на наружной поверхности втулки

Н/
на внутренней поверхности контейнера

Н/
на наружной поверхности контейнера

Н/
Прочностной расчет контейнера
удовлетворяет все условия проверки, т.е.
3
РЕМОН И СМАЗКА
.1
Неисправности пресса и способ их устранения
|
Характер
неисправностей
|
Причина
неисправности
|
Способ
устранения
|
|
Шум
в клапанном распределители и в трубопроводах при открытии клапанов.
|
1
Слишком большой зазор имеет разгрузочный клапан. Поэтому при открытии
происходит вибрация жидкости. 2 Диаметр сливной трубы отличается от диаметра
подводящего трубопровода. 3 Клапан полностью не закрывается в результате
перекоса штока или сильной затяжки уплотняющей манжеты. 4 Износ уплотняющей
прокладки 5 Между клапаном и седлом попала грязь, поэтому клапан полностью не
закрылся.
|
1
Уменьшить ход разгрузочного клапана. 2 Установить в месте перехода
дроссельную шайбу. 3 Вскрыть клапанную коробку перекрыв магистраль высокого
давления и выпрямить шток. Ослабить затяжку уплотнительной манжеты. 4
Заменить. 5 Очистить клапанную коробку и притереть клапан к седлу.
|
|
При
закрытии слышны резкие удары.
|
1
Клапан плохо притёрт к седлу. 2 Над клапаном воздух, который при опускании
расширяется и с силой сажает клапан в седло.
|
1
Притереть клапан к седлу. 2 Удалить воздух через спускные пробки.
|
|
Затруднено
открытие клапана.
|
Воздух
под клапаном.
|
Спустить
воздух через спускные пробки.
|
|
Толчки
в механизмах при открытии и закрытии.
|
Гидроудары
из - за раннего/позднего срабатывания клапана.
|
Отрегулировать
величину хода толкателя или кулачковаый привод.
|
|
Рукоятка
в положении обратный ход, но движение подвижной траверсы не происходит.
|
1
Не происходит открытие впускного и сливного клапанов. 2 Заедание привода.
|
1
Вскрыть коробку, устранить причину. 2 Проверить смазку привода, проверить его
на лёгкость вращения.
|
|
Рукоятка
в положении рабочий ход, но распрессовки слитка не происходит.
|
1
Недостаточное давление рабочей жидкости. 2 Перекос штока загрузного клапана,
от чего часть жидкости поступает не в главный цилиндр, а в виндкессель откуда
через переливной клапан жидкость уходит в наполнительный бак.
|
1
Проверить работу НАС. 2 Выпрямить шток.
|
3.2
Особенности монтажа
Фундамент гидравлического пресса представляет
сложную строительную конструкцию, заглубленную, имеющую маслоэмульсионные
подвалы, подвалы механизмов управления, разветвлённую сеть трубопроводных
каналов и анкерных колодцев.
При монтаже горизонтального пресса ось
расположения прошивной системы должна быть строго выверена относительно
контейнера и матричного устройства. Это основное требование при установке
горизонтальных прессов. От правильности монтажа пресса в дальнейшем зависит
возможность получения труб и полых профилей заданных размеров с соблюдением
допусков по разностенности.
Для установки крупных деталей пресса и
транспортировки их зону монтажа обычно используют механизированные лебёдки. При
этом детали пресса могут перемещаться в продольном и поперечном направлении.
Для монтажа гидравлических прессов наиболее рационален продольный метод
перемещения крупных деталей.
Рассмотрим порядок монтажа горизонтального
пресса. Первый этап монтажа- установка фундаментной рамы пресса. Фундаментная
рама средних и крупных прессов состоит из двух или трёх частей. По всему
периметру рамы на поверхность фундамента укладывают плиты с интервалом 300 мм.
Плиты устанавливают также по краям каждого анкерного болта и на углах
фундаментной плиты. При выверки основных фундаментных плит пресса их подвергают
рихтовке, подкладывая дополнительные регулировочные прокладки, и затягивают
анкерные болты. В тех случаях, когда под фундаментные болты оставлены колодцы,
фундаментные плиты выверяют предварительно, затем заливают бетоном фундаментные
болты. Окончательную выверку и затяжку болтов в этом случае проводят после
схватывания бетона заливки.
Допустимые отклонения горизонтальной плоскости
фундаментных плит выверяют особенно тщательно, при помощи специальных уровней
линеек и щупов. Отклонения не должны превышать 0,1 мм на 1000 мм длины. Эта
выверка обеспечивает точность установки передней и задней траверсы расположения
осевой линии пресса.
Хвостовая часть пресса с механизмами прошивного
устройства установлена на металлическую раму из двух крупных швеллеров и
закреплена в заднем приливе основной рамы пресса. Эта металлоконструкция должна
быть выверена и залита бетоном.
Второй этап монтажа. После того как бетон
подливки застынет, можно приступить к установке основных деталей пресса.
Передняя крестовина пресса расположена впереди основной фундаментной плиты.
Главный плунжер помещают на основную плиту пресса. Для удобства транспортировки,
а также что бы предохранить установленные фундаментные рамы от повреждения, всю
поверхность рам застилают двумя рядами брусьев и сверху покрывают дощатым
настилом (доски укладывают вдоль фундамента). После того как указанные детали
установлены на своих местах на фундаментных рамах, постепенно опускают главный
цилиндр пресса на место его расположения на фундаментной раме. Для этой
операции обычно используют домкраты большой грузоподъёмностью (75-100 т). Перед
окончательной установкой цилиндра опорные плоскости и гнезда для продольных и
поперечных шпонок тщательно зачищают.
После тщательной круговой зачистки всех
поверхностей главного плунжера его опускают на уровень оси отверстия главного
цилиндра и вводят в главный цилиндр пресса. Через отверстие в главном плунжере
пропускают трос, который охватывает деревянный брус на переднем конце плунжера;
трос проходит через главный цилиндр и наматывается на лебёдку. Главный плунжер
в цилиндр пресса вводят так, чтобы не повредить шлифованную поверхность
плунжера. Втулки бронзовых букс и сальниковых колец смазывают солидолом, а
шлифованную поверхность плунжера слоем масла.
Следующим этапом монтажа является установка
передней траверсы. Продвинутую предварительно траверсу возвращают на переднюю
часть фундамента рамы и домкраты опускают на заплечики фундаментной рамы. Затем
устанавливают подвижную траверсу главного плунжера, которую краном ставят на
У-образные направляющие плиты. Плоскости соприкосновения тщательно очищают и
смазывают солидолом. После надвигания траверсы на конец главного плунжера её
закрепляют болтами. Положение главного плунжера (после закрепления подвижной
траверсы) выверяют в двух крайних его положениях.
Монтаж хвостовой части пресса, состоящей из
механизма прошивного устройства с цилиндрами прямого и обратного хода,
начинается с узловой сборки механизмов и выверки их горизонтальных и
вертикальных отметок.
Монтаж механизмов клинового затвора, а также
установку стола для подвижной головки матрицедержателя, механизмов подачи
заготовки и инструмента, монтаж боковых ножниц, пилы можно проводить
одновременно по чертежам с учётом высотных отметок монтируемого пресса.
Воздухоспускные пробки обычно устанавливают в
самых высоких точках трубопроводов высокого давления и непосредственно на
рабочих цилиндрах. Иногда для удобства обслуживания воздухоспускные пробки
выносят на пульт управления, объединяя несколько пробок в одну пробку. В этом
случае воздухоспускные коробки соединяют с отверстиями для удаления воздуха
специальными трубопроводами высокого давления, диаметр которых не превышает
12-14 мм.
3.3
Смазка
Назначением смазки пресса является улучшения
характера течения металла. Смазка уменьшает неравномерность деформации металла
по сечению и длине слитка. Тем самым она понижает усилие прессования, повышая
скорость прессования. Кроме того смазка уменьшает износ инструмента вследствие
уменьшения трения и предохраняет инструмент от нагрева. При прессование
промышленных сплавов в качестве смазки используют стекло. Применявшиеся на
первых этапах освоения прессования стали графитовые смазки непригодные из-за
высокого коэффициента трения, неудовлетворительного качества поверхности
пресс-изделий и науглероживания их. Только применение стеклянных смазок
позволило решить эту проблему горячего прессования легированных сталей и сплавов.
При выборе смазки учитывают ее вязкость при
температуре нагрева сталей, температуру ее размягчения стойкость.
При прессование различных сплавов применяют
различные смазки. Вид смазки зависит от температур прессования: ниже 600, 600 -
9000С и выше 10000С.
Правильно подобранные смазки способствуют
созданию более правильной картины течения и уменьшает усилие прессования, что
равноценно понижению расхода энергии на деформацию.
Достоинства жидкой смазки хорошо наносится на
инструмент и не оставляет следов на пресс-изделие, применяется какая либо
жидкость с добавкой соответствующих наполнителей, назначение которых уменьшение
трения. Наиболее употребляемая жидкая смазка - машинное масло, содержащее
минимальное количество влаги.
В качестве наполнителей применяют графит, тальк,
окись алюминия, и другие вещества. Наиболее употребляемый наполнитель -
пластинчатый серебристый графит тонкого помола менее 0,074 мм. В машинное масло
добавляют 10-15% графита.
Так же для смазки прессового инструмента
применяют стеклоткань, в которую завертывают горячей слиток. Стеклоткань
оплавляется и между слитком и инструментом возникает равномерная смазка.
На горизонтальных прессах при прессование стали,
чаще всего применяют стеклянную смазку. Для смазки наружной поверхности
целесообразнее применять порошок вязкостью 100-250пз фракции до 0,4 мм; для
внутренней поверхности - порошок вязкостью 600-1000пз из фракции до 0,4 мм; для
изготовления шайб стеклянную смазку из порошка 600-1000 пз из фракции 0,4-0,8
мм.
К недостаткам стеклянной смазки относится резкое
изменение вязкости в зависимости от температуры. Лучшее качество стальных
прессованных труб обеспечивает применение стеклянных шайб в сочетание с
плоско-конической матрицей и закругленным торцом гильзы. Стеклошайба должна по
форме соответствовать профилю матрицы.
3.4
Техническое обслуживание
Во время периодических осмотров узлов пресса,
аппаратуры управления, трубопроводов проверяют, не нарушалась ли затяжка гаек,
нет ли утечек, сохранилась ли настройка клапанов и золотниковых
распределителей, а также уплотнения. При обнаружении течи подтягивают гайки в
соединениях или заваривают трубу. Затяжку гаек контролируют каждую неделю.
Трубопроводы работающие на водной эмульсии при
давлении выше 400ат имеют срок службы 1,5года. При обнаружении разрушений трубу
расчищают, а затем наплавляют аустенитными электродами. Необходимо следит за
тем, чтобы клапаны и золотники плавно перемещались и надёжно перекрывали линию
гидросистемы. Не реже 3 раза в месяц гидросистему очищают и заменяют рабочую
жидкость. Если пресс работает на масле, то оно фильтруется после слива из
системы и опять заливается в бак. Замена масла раз в месяц.
4.
ТЕХНИКА БЕЗОПАСНОСТИ ПРИ ОБСЛУЖИВАНИИ
До пуска в эксплуатацию прессовых установок
должны быть разработаны, оформлены и вывешены на рабочих местах инструкции по
безопасной эксплуатации всего механизма в целом и отдельных его узлов.
Изучение этих инструкций, а также действия
отдельных узлов и механизмов гидравлической установки, особенно вновь
смонтированной, является обязательным условием для разрешения работы на
установке. К эксплуатации прессовой установке могут быть допущены лица сдавшие
технический экзамен на право работать на ней, знающие конструкцию прессовой
установке, механизмов управления, блокировке и правила безопасности работы на
всех механизмах.
Обычно ответственным за прессовую установку из
бригады обслуживающих её рабочих является машинист (главный аппаратчик),
который обязан следить за исправным состоянием и содержанием в чистоте
прессовой установке. В обязанности машиниста прессовой установки входит
организация работы членов бригады, обязанности каждого из которых оговариваются
в специальных инструкциях.
Перед началом работы бригады, обслуживающая
пресс, во главе с машинистом должна выполнить следующие подготовительные
операции:
. Осмотреть все части пресса, убрать
посторонние предметы и инструмент, закрыть все приямки;
. Смазать плунжеры цилиндров,
направляющие плиты и другие трущиеся поверхности, а также толкатели, втулки,
кулачки, и рычаги распределительных пультов (при отсутствии централизованной
смазки);
. Зарядить наполнитель воздухом от
цеховой магистрали (до 5-6 ат.);
. Поставить рычаги всех распределителей
на положение «стоп»;
. Открыть задвижки, сообщающие
наполнитель с прессом;
. Открыть задвижку на сливном
трубопроводе, сообщающую прессовую установку с напорным баком НАС;
. Предупредить соответствующим сигналом
персонал НАС о пуске пресса и получить ответный световой сигнал, разрешающий
этот пуск;
. Только после того, как задвижки у
наполнителя и на сливном трубопроводе будут открыты, медленно открыть запорный
вентиль на трубопроводе высокого давления, идущим от НАС. В это время машинист
и его подручный должны находиться у рычагов пультов распределителей;
. Выпустить воздух из системы цилиндров и
трубопроводов через воздухоспускные пробки (в современных прессах эта операция
централизована на пульте у манометров);
. Опробовать на холостом ходу работу всех
основных и вспомогательных механизмов установки, а также всех средств
механизации. В этот же момент проверяют действие всей блокировки прессовой
установки и отдельных его механизмов;
. Проверить уровень жидкости в
наполнителе по водоуказательному стеклу. В этот же момент проверяют сброс
жидкости из наполнителя через предохранительный клапан при повышении давления
выше установленного: 8 или 12 ат.;
. Согласно заданию, установить рабочий
инструмент;
. Проверить крепление и соосность
инструмента прессштемпеля и контейнера;
При обнаружении неисправности какого-либо
механизма приступать к работе на прессе воспрещается; о неисправностях пресса
машинист должен сообщить дежурному слесарю или механику цеха, а также
производственному мастеру.
гидравлический пресс плунжер смазка
Заключение
Мною был рассмотрен проект горизонтального
гидравлического пресса усилием 28МН. В работе был произведён расчет главного
цилиндра и плунжера пресса. Прочностной расчёт удовлетворяет всем условиям
проверки. Стяжные колонны рассчитал на растяжение. Проверку на прочность
расчётным методом прошёл контейнер. Произведены подробные расчеты бака
наполнения, а также определены необходимые жидкостные объёмы, требуемые для
прессования. Трубопровод рассчитан на разрыв. Расчёт всех деталей и узлов
показал, что все детали и узлы удовлетворяют прочностным нормам.
В данной работе приведено описание смазки
пресса, указания технике безопасности во время работы пресса.
Список
использованных источников
1. Жолобов
В.В. и др. Прессование металлов. - М.: Металлургия, 1971
2. Жолобов
В.В. и др. Оборудование гидропрессовых цехов. - М.: Металлургия, 1974
. Чернавский
С.А. Курсовое проектирование деталей машин. М.: Машиностроение 1988
. Грабарник
Л.М. Прессование цветных металлов и сплавов М.: Металлургия 1991
5. Михеев
В.А Модернизация гидропрессового оборудования. - М.: ГНТИ, 1961
6. Ландихов
А.Д. Производство труб, прутков и профилей из металла. - М.: ГНТИ, 1962
7. Лукашин
Н.Д. Конструкция и расчет машины и агрегатов металлургических заводов. - М.:
Металлургия, 2003