Апроксимація статичних характеристик нелінійних об’єктів
Курсова
робота
З
дисципліни: «Ідентифікація та моделювання технологічних об’єктів»
на
тему «Апроксимація статичних характеристик нелінійних об`єктів»
Київ
2012
І. Експериментальна статична модель
1. Проводимо апроксимацію
найменших квадратів. Апроксимуючий поліном обираємо кубічний.
2. Проводимо апроксимацію
методом кубічних сплайнів для трьох інтервалів інтерполяції.
. Побудуємо на тлі одного
графіка експериментальну та апроксимуючі залежності.
. Приводимо оцінку
адекватності апроксимуючих виразів за критерієм:
де
-
- інтервал
апроксимації;
-
експериментальна статична характеристика;
- апроксимуючі вирази за методами
найменших квадратів і кубічних сплайнів відповідно.
Дані для розрахунку
|
ξ
|
-1
|
0
|
1
|
2
|
3
|
4
|
5
|
6
|
7
|
8
|
|
φe
|
-2
|
-0,7
|
0,8
|
2,7
|
4,6
|
6,5
|
8,3
|
9,9
|
11,1
|
12,1
|
Розв’язання
. Апроксимуюча залежність задається
у вигляді степеневого полінома:
апроксимація інтерполяція залежність
Рівняння у загальному випадку
містить m + 1 невідомих коефіцієнтів
, для визначення яких скористуємось
системою рівнянь:
Знаходимо
і
Розв’язавши систему рівнянь
отримаємо значення невідомих коефіцієнтів
.
В результаті отримає
остаточну апроксимуючу залежність:
Сплайн-апроксимація
використовується для отримання гладкого апроксимуючого виразу, який забезпечує
проходження його траєкторії точно через точки, задані для апроксимації (вузли
апроксимації).
2. Проводимо
апроксимацію методом кубічних сплайнів для трьох інтервалів інтерполяції.
,
Визначимо з системи лінійних
рівнянь коефіцієнти
:
Систему рівнянь розв’язали
використавши ще рівняння отримані з крайових умов, які відповідно до виразу
вище зводяться до рівностей:
та
.
Підставляючи отримані шляхом
розв’язання системи рівнянь значення коефіцієнтів
у систему
рівнянь:
,
3. Побудуємо на тлі одного графіка
експериментальну та апроксимуючі залежності.
4. Приводимо оцінку адекватності
апроксимуючих виразів за критерієм:
де
-
- інтервал
апроксимації;
-
експериментальна статична характеристика;
- апроксимуючі вирази за методами
найменших квадратів і кубічних сплайнів відповідно.
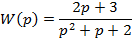
ІІ. Динамічна
модель об’єкта описується передаточною функцією
1. Знайти вирази для
амплітудно-фазочастотної, амплітудно-частотної та фазочастотної характеристик.
Для переходу до частотних
характеристик підставимо 
:
Амплітудно-фазочастотна
характеристика:
Амплітудно-фазочастотна
характеристика:
Фазочастотна характеристика:
2. Знайти вираз для
імпульсної характеристики та побудувати її графік.
Знайдемо імпульсну функцію як
зворотне перетворення Лапласа:
Будуємо графік одержаної
функції:
Рис. 2.1. Імпульсна функція
системи.
3. Ввести в структуру об’єкта
заданого типу нелінійність та дослідити вплив її параметрів на вид перехідних
процесів.
Подаємо на систему гармонічнезбуренняsin(2t):
Рис. 2.2. Реакція системи на
гармонічне збудження sin(2t)
Реле на вході в систему буде
фільтрувати всі значення вхідного параметру, що не входять в діапазон[-1;1],
якщовхіднезначення входить в діпазон, то на виходіотримаємовихіднезначення
Рис. 2.3. Вплив нелінійного
елементу включеного на вході системи
При включенні реле після
нашого об’єкта, то система має релейну характеристику
Рис.2.4. Вплив нелінійногогармонічного
елементу включеного на вході системи, та включеному реле на виході
системи.(отримаємо релейну характеристику)
Список використаної
літератури
1. Остапенко
Ю.О. Ідентифікація та моделювання технологічних об`єктів керування: підручник
для студентів вищих навчальних закладів освіти/ Ю.О. Остапенко. - К.: Задруга,
1999. - 424с.
2. Дьяконов
В.П. MatLab 6.5 SP1 + Simulink 5 и MatLab 7 + Simulink 6 в матиматике и
математическоммодлировании / В.П. Дьяконов. - М.:СОЛОН-Пресс, 2005. - 576 с.
. Дьяконов
В.П. Компьютерная математика. Теория и практика /В.П. Дьяконов. - М.: Нолидж,
2001. - 1296 с.
. Кирьянов
Д.В. Самоучитель MatCad 11/ Д.В. Кирьянов. - СПб.: БХВ-Петербург, 2003. 560 с.
. Киричков
В.Н. Идентификация объектов
систем управления технологическими
объектами
/В.Н. Киричков. - К.: Вища шк., 1990. - 263 с.