Побутовий робот-помічник
Вступ
Робот - автоматична машина,
призначена для імітації функцій руки людини. В умовах прискорення науково -
технічного прогресу, подальше вдосконалення сфери матеріального виробництва
неможливо без її комплексної автоматизації та роботизації. Застосування роботів
і інших засобів автоматики в технологічному процесі дозволяє істотно обмежити,
або взагалі виключити участь у ньому людини. У багатьох випадках це дозволяє
отримати суттєвий економічний ефект. Крім економічного має місце і соціальний
ефект, що полягає у виключенні людини з небезпечних для її здоров'я та життя
технологічних операцій (робота з токсичними речовинами, в агресивних
середовищах, розмінування). Більше того, існують операції, які не можуть бути
виконані людиною - робота в умовах глибокого космічного вакууму, на поверхні
інших планет, підводні роботи на глибинах понад 300 метрів, не доступних для
водолазів - глибоководників, робота всередині ядерних реакторів і т.д.
Робот являє собою складну
електромеханічну, а в деяких випадках пневмо - або гідравлічну систему. Його
розробка потребує великих знань в різних предметних областях, таких як
механіка, теорія механізмів і машин, електропривод, гідравліка, теорія
автоматичного управління, мікропроцесорна техніка, метрологія. Процес
проектування включає безліч, часто суперечливих, вимог до системи і являє собою
складний ітераційний процес.
Маніпуляційні роботи володіють
гнучкістю перебудови на виконання найрізноманітніших технологічних операцій, а
також широкими функціональними можливостями. На відміну від автоматів вони
здатні відтворювати або імітувати рухи людини. Маніпуляційний робот - це
керована механічна система, яка містить один або кілька маніпуляторів (
виконавчих органів), систему управління і спостереження, приводи , захватні
пристрої (робочі органи). Маніпулятор - механічна система з програмним
управлінням, що доставляє об'єкти в задану область простору всередині робочої
зони. У конструкції маніпуляційного робота використовуються різні види приводів
- електромеханічні, пневматичні, електрогідравлічні. Найбільшого поширення
набули електромеханічні приводи , що складаються зазвичай з електродвигуна і
редуктора. Електромеханічні приводи містять прості по пристрою електричні
двигуни, мають високу жорсткість механічної характеристики з можливістю
регулювання частоти обертання в широкому діапазоні , високим коефіцієнтом
корисної дії. Приводні двигуни можуть бути розташовані шарнірах, що з'єднують
ланки маніпулятора, або в сусідніх ланках з шарнірами.
Проектування маніпуляторів роботів
передбачає проведення розрахунків і експериментальних досліджень їх механічних
і особистих характеристик. Розрахунки на міцність для роботів необхідно
перевірити з урахуванням частотних, жорских, динамічних і деяких інших
характеристик, що вимагає створення додаткових методів розрахунків, що
забезпечують контроль конструкторської опрацювання за основними специфічним
характеристикам (точність позиціонування, мінімум матеріаломісткості та ін),
для такого класу машин, як маніпулятори роботів.
Актуальність теми. В данний час в
світі надзвичайно швидко розвивається робототехніка і все частіше виникає
необхідність замінити людську робочу силу на роботизовану, особливо в побуті. В
першу чергу це потрібно людям, що мають проблеми з опорно-руховим апаратом.
Тому виникає необхідність створити недорогу, з простою конструкцією і системою
управління робототехнічну систему, що буде виконувати необхідні переміщення
предметів побуту.
Мета дослідження: розробка
побутового робота-помічника (механічної частини), що зможе за допомогою системи
мікроконтролерного управління захоплювати побутові предмети. Даний прилад
розробляється з метою полегшити життя людям з вадами опорно-рухового апарату.
Для досягнення даної цілі в
курсовому проекті вирішуються наступні задачі:
розробка 3d моделі маніпулятора в
Sollid Works;
створення математичної моделі
робота-маніпулятора;
створення програмного забезпечення
для управління рухом маніпулятора по заданій траєкторії на основі вирішення
зворотніх задач динаміки.
дослідження стійкості руху
маніпулятора.
Обєкт дослідження: процеси
переміщення побутових предметів.
Предмет дослідження: механічна
конструкція побутового робота-помічника.
. Технічне завдання
Повна назва: Побутовий
робот-помічник.
Виконавець: Надопта В.В. Керівник:
Горященко С.Л.
Виробник: Надопта В.В.
Мета і призначення установки
Пристрій призначений для захоплення
і переміщення побутових речей, що має полегшення життя людям з вадами
опорно-рухового апарату. Функціонування робота, представленого в даній роботі,
повністю засноване на системі технічного зору.
Склад виробу включає деталі,
сервоприводи, плату управління, відеокамеру з модулем.
Вимоги до системи в цілому:
система повинна забезпечувати
управління положенням «руки» робота в автоматичному режимі;
Вимоги безпеки:
вимог до електробезпеки не
пред'являються;
повинна бути забезпечена пожежна
безпека.
Вимоги до ергономіки та технічної
естетики:
система повинна задовольняти
сучасним вимогам технічної естетики.
Вимоги до експлуатації, технічного
обслуговування, ремонту і збереження системи:
передбачити можливість проведення
щорічних регламентних робіт при проходженні періодичного технічного огляду;
ремонт системи в умовах
спеціалізованої майстерні;
зберігання у відповідність з ГОСТ
15150-80.
Вимоги до захисту від впливу
зовнішніх впливів:
система повинна функціонувати в
умовах впливу радіоперешкод, електричних, магнітних і електромагнітних впливів.
Вимоги до апаратури системи
управління з точки зору впливу на суміжні системи:
система не повинна випромінюватиі
гучно шуміти;
Вимоги технологічності, стандартизації
та уніфікації:
розробка системи повинна проводитися
у відповідність з вимогами нормативно-технічних документів, що встановлюють
ступінь використання стандартних, уніфікованих методів реалізації функцій
(завдань) системи, типових математичних методів і моделей.
Додаткові вимоги:
вимоги до упаковки, маркування,
транспортування і зберігання;
вимоги до конструкторської,
експлуатаційної та ремонтної документації;
Стадії і етапи ДКР:
Пояснювальна записка
Стадії розробки
Вступ до 1.10.13
Технічне завдання до 15.10.13
Огляд існуючих конструкцій побутових
роботів-помічників
Класифікація роботів до 22.10.13
Конструкція роботів що відтворюють
рухи людини до 31.10.13
Розробка конструкції побутового
робота - помічника
Конструкція побутового
робота-помічника до 14.11.13
Математична модель побутового
робота-помічника до 28.11.13
Алгоритми управління до 5.12.13
Графічна частина:
Документ оглядовий, 2 листа до
31.10.13
Математична модель до 16.11.13
Вид загальний до 10.12.13
2. Огляд існуючих конструкцій побутових
роботів-поміників
.1 Класифікація роботів
Останнім часом популярність роботів
росте з небувалою швидкістю. Роботизація домашнього господарства тепер не
представляється нам чимось з області фантастики, це цілком реально і навіть
полегшує наше життя, позбавляючи від маси клопоту. До 2017 року кількість
побутових роботів перевищить 4 мільйони, і вони зможуть охороняти будинки, мити
вікна, чистити басейни і займатися дрібними господарськими справами. За словами
фахівців, до кінця 2018 року роботи будуть доглядати за літніми людьми та
інвалідами, а також зможуть замінити хірургів, пожежників, саперів і
сантехніків. Крім того, з'являться перші людиноподібні роботи.
В загальному випадку роботи можна
розподілити на дві основні групи: промислові та побутові [1].
Промисловий робот це автоматична
машина, що складається з маніпулятора і пристрої програмного управління його
рухом, призначена для заміни людини при виконанні основних і допоміжних
операцій у виробничих процесах. Промислові роботи поділяються на:
а ) виробничі, або технологічні -
для основних операцій технологічних процесів;
б) підйомно - транспортні, або
допоміжні , що виконують дії типу «взяти - перенести - покласти» ;
в) універсальні - для різних
операцій.
Побутовий робот це пристрій
призначений для виконання побутових потреб та допомоги людям. Побутові роботи
поділяються на такі типи:
програмні;
адаптивні;
інтелектуальні.

.2 Конструкція роботів що
відтворюють рухи людини
Побутовий робот - це машина з
антропоморфною (людиноподібною) поведінкою, яка частково або повністю виконує
функції людини при взаємодії з навколишнім світом.
Основними задачами побутових роботів
є [2]:
Орієнтація і переміщення в
обмеженому просторі з мінливою обстановкою (предмети в будинку можуть змінювати
своє місце розташування), відкривання і закривання дверей при переміщенні по
будинку.
Маніпулювання об'єктами складною і
іноді заздалегідь невідомої форми, наприклад посудом на кухні або речами в
кімнатах.
Активна взаємодія з людиною на
природній мові і прийняття команд в загальній формі.
У 2008 році вченими Стенфордського
університету був розробрений побутовий робот-помічник STAIR, що самостійно
знаходить двері і відкриває їх.
На сьогоднішній момент робот розуміє
голосові команди типу «Принеси степлер», самостійно знаходить степлер серед
інших предметів у приміщенні, бере його маніпулятором і приносить людині,
котрий віддав команду. Це робить новий алгоритм, який дозволяє впізнавати знайомі
особливості в незнайомих об'єктах і вибирати правильний спосіб захоплення.
Рисунок 2.1 - Побутовий
робот-помічник STAIR
Учені з Каліфорнійського
університету в Берклі (UC Berkeley) створили робота-помічника PR2 (Personal
Robot 2) та впершев світі навчили робота взаємодії з деформованими об'єктами.
Як не дивно, але тільки зараз
вдалося навчити машину працювати з м'якими і, головне, легко і непередбачувано
міняють форму предметами.
Рисунок 2.2 - Робот-помічник PR2
(Personal Robot 2)
Ця робототехнічна платформа
покликана допомогти дослідникам в тому, щоб не йти по складному і дорогому
шляху створення робота з нуля, а зосередити свої зусилля на ще невирішені
проблеми. Робот демонструє свої можливості: самостійно знаходить, відкриває і
закриває двері, закладає і дістає посуд у посудомийну машину, а коли рівень
заряду батареї стає занадто низьким, самостійно вставляє штекер в розетку.
Рисунок 2.3 - Автоматична підзарядка
робота PR2
Також робот може виконувати і досить
тонку роботу, наприклад, перегортати сторінки звичайної книги.
Рисунок 2.4 - Перегортання сторінок
роботом PR2
У 2008 році Інститут технології
машинобудування та автоматизації Фраунгофера (Fraunhofer IPA) представив своє
творіння - Care-O-Bot.
Рисунок 2.5 - Побутовий
робот-помічник Care-O-Bot
Робот здатний виконувати такі
функуії як: переміщення по кімнаті, обїзд перешкод, відкривання дверей,
розпізнавання та захоплення речей.
Розробники з токійського
університету «Information and Robot Technology» вже відомі своїми проектами в
галузі робототехніки. Тепер же вони мають намір розробляти рішення для
старіючого суспільства Японії, а саме роботів- помічників по будинку. Вже була
представлена перша напрацювання людиноподібного робота , який міг
би виконувати нескладну роботу по типу «подай- принеси-прибери».
Численні датчики допомагають йому
переміщатися по будинку, обходячи перешкоди. Але головний секрет в незвичайних
кінцівках, які як з'ясувалося, до найдрібніших подробиць імітують рухи людини.
В даний час ведеться робота для здійснення ідеального балансу. Команда вчених
сподівається, що вже незабаром робот зможе похвалитися ходьбою, присіданням і
навіть кроками з боку в бік. Можливо, з такими технологіями у літніх людей буде
більше часу і можливостей для відпочинку.
Рисунок 2.6 - Робот прибиральник
токійського університету «Information and Robot Technology»
Також вченимим Токійського
університету було розроблено маніпулятор з вісьмома ступенями свободи, який має
справу з посудом. На жаль, він не здатний схопити губку, нанести на неї миючий
засіб і відтерти до блиску жирну тарілку. Зате робот може делікатно брати рукою
тендітні чашки, келихи і миски, злегка обполіскувати їх в раковині і
завантажувати в посудомийну машину, натискаючи кнопки, необхідні для запуску
мийки.
Головна гордість розробників -
«розумна клішня» маніпулятора з вбудованими датчиками на основі
мікроелектромеханічних систем (MEMS) від Panasonic. Ці сенсори здатні відчути
вагу всього в 0,3 грама. Розпізнавати предмети «захвату » допомагають не тільки
інфрачервоні сенсори, а й камера, що встановлена під стелею.
Рисунок 2.7 - Робот-маніпулятор для
миття посуду
Технологічно робот ще досить «сирий»
і повільний , до багатьох питань японці тільки намацують підходи , однак
заявлено, що кухонний маніпулятор може з'явитися на ринку протягом 5-10 років
за ціною в кілька сот тисяч ієн (тобто в кілька тисяч доларів).
На сьогоднішній день побутові роботи
не надто поширені, однак є всі підстави припускати широке їх поширення в
найближчому майбутньому. Це полегшить життя не лише людям з обмеженими
можливостями, для яких в першу чергу були спроектовані такі системи, а й усім
решту.
3. Розробка конструкції побутового
робота - помічника
.1 Конструкція робота-помічника
Маніпулятор робота за своїм
функціональним призначенням повинен забезпечувати рух вихідної ланки і,
закріпленого в ньому, об'єкта маніпулювання в просторі по заданій траєкторії і
з заданою орієнтацією. Для повного виконання цієї вимоги основний механізм
важеля маніпулятора повинен мати не менше шести степеней вільності, причому рух
по кожній з них має бути керованим. Робот з шістьма степенями вільності є
складною автоматичною системою. Ця система складна як у виготовленні, так і в
експлуатації. Тому в реальних конструкціях роботів часто використовуються
механізми з числом подвижностей менше шести. Найбільш прості маніпулятори мають
три, рідше дві, степені вільності. Такі маніпулятори значно дешевше у виготовленні
та експлуатації, але висувають специфічні вимоги до організації робочого
середовища.
Модель маніпулятора складена на
основі аналізу існуючих конструкцій побутових роботів. Основним режимом роботи
маніпулятора є безперервне стеження за об'єктом.
Таким чином, завдання данної роботи
полягає в аналітичному рішення прямої та зворотної задачі кінематики у вигляді,
придатному для алгоритмічного опису та написання керуючої програми, виконання
якої відбувається в режимі реального часу, вкладається в проміжки між
отриманими даних про об'єкт від відеокамери.
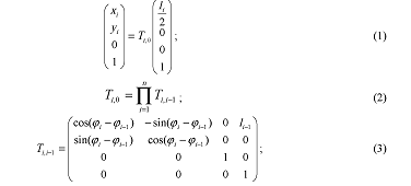
В роботі розглядається трьох
ланковий механізм [4], ланки 1-3 якого зєднані між собою приводами обертового
руху 4-6. Положення ланок визначається кутами φ1,
φ2, φ3. Зі сторони курпуса на ланку 1
діє момент М10, зі сторони ланки 1 на ланку 2 діє момент М12, зі сторони ланки
2 на ланку 1 діє момент М21, зі сторони ланки 2 на ланку 3 діє момент М23, зі
сторони ланки 3, в свою чергу, на ланку 2 діє момент М32. Окрім того на ланки
механізма діють сили ваги, які в загальному випадку направлені під деяким кутом
α
до
вибраної системи координат.
Рисунок 3.1 - Розрахункова схема
трьох ланкового механізму
Нехай в початковому положені ланки
1, 2 та 3 знаходяться під кутами φ1, φ2 та
φ3
. Ланка 1 здійснює обертовий рух під дією системи
моментів, і його положення в любий момент часу визначається кутом φ1,
при
цьому протягом руху ланки 1 данка 2 здійснює плоско-паралельний рух, обертова
складова якого задається кутом φ2, ланка
3 рухається також плоско-паралельно, і його обертання задається кутом φ3.
Механіка робота - маніпулятора (рис.
3.1)реалізована у вигляді 3-х ланок (2-4), поворотньої платформи (1) та
захватного механізму на кінці (5). Усі деталі виготовлені із органічного скла,
що забезпечує порівняно невелику вагу конструкції. Для кріплення деталей між
собою, передбачені певні пази.
Рисунок 3.2 - Загальний вид робота -
помічника
Уся конструкція робота -
маніпулятора приводиться в рух за допомогою сервоприводів (серви) обертання
HXT, що складаються з двигуна, редуктора і системи управління. Встановлюються
валом відразу на вісь обертання ланок. Інтерфейс управління: ШІМ
(широтно-імпульсна модуляція) по положенню (рис.3.2). Шпаруватість імпульсу визначає
цільове положення вихідного вала, діапазон ~ 1000-2000мкс, ці значення
відповідають крайнім положенням вала, значення 1500мкс відповідає середньому
положенню. Рекомендована частота ШІМ 50 Гц.
Рисунок 3.3 - ШІМ - управління
серводвигунами
У даній роботі сервоприводи мають
модифікацію: з плати управління виведений назовні сигнал потенціометра,
кінематично пов'язаного з вихідним валом. Напруга цього сигналу відповідає
положенню валу.
Перша ланка (2), що кріпиться в
основи поворотної платформи (1), приводиться в дію сервоприводом HXT12K, який
має наступні характеристики:
розміри : 40.7x19.7x42.9 мм;
напруга живлення: 5~7в;
вага: 55г;
швидкість обертання : 0.16 сек/60°
(4.8в);
зусилля на валу: 0,1 Н*м;
робочий хід вихідного валу: ~ +\-
60-65°;
тип : цифровий.
Друга і третя (3,4) ланка
приводяться в рух сервоприводами HXT5010. Їх характеристики:
розмір : 40x20x38 мм;
напруга живлення : 4.8~6в;
вага: 39г;
швидкість обертання : 0.16 сек/60°
(4.8в);
зусилля на валу : 0,05 Н*м;
робочий хід тихохідного валу: ~ +\-
95-100°.
Захват (5) приводиться в рух легким
сервоприводом HXT900. Його
характеристики:
розмір : 21x12x22 мм;
напруга живлення : 3~6 В;
вага: 9г;
зусилля на валу : 0,015 Н*м;
робоча температура: -30°C ~ +60°C;
робочий хід вихідного вала: ~ +\-
85-90°;
тефлонові втулки, 15см провід.
У відповідності з характеристиками
кожного сервоприводу встановлюється взаємна відповідність кута повороту валу і
значенням шпаруватості сигналу ШІМ, а також зворотня відповідність значення
сигналу положення вала зі значенням узагальненої координати. Для приведення
кута повороти серводвигуна до узагальнених координатах ланки, на якому він
встановлений, скористаємося такою картинкою, зображеною на рис. 3.6.[5]
Рисунок 3.4 - Локальна система
координат сервопривода
На основі проаналізованих існуючих
конструкцій побутових роботів було розроблено механічну систему, що складається
із платформи, що обертається, трьох послідовних ланок та захватного механізму і
приводиться в рух за допомогою сервоприводів, використання яких являється
найбільш доцільним у порівнянні з іншими двигунами, а саме іх простота
конструкції, легкість в управління, малі габаритні розміри, невелика вага.
.3 Математична модель побутового
робота
При розробці математичної моделі
використовуються наступні припущення: усі ланки механізма являються абсолютно
міцними, недеформованими тілами, які моделюються стержнями з рівномірно
розподіленою масою, центри мас С1, С2, С3 співпвдають з геометричними центрами
ланок 1-3. [6]
Розглянемо багато ланковий механізм
О1, О2, О3, О4, що лежить на координатній площині OXY (рис.3.1). Він
складається з трьох ланок з центрами мас в точках С1, С2, С3. Розглядається плоский
рух руху системи. На ланки системи наложені стаціонарні голономні звязки, тому
число сткпкнкй вільності співпадає з числом узагальнених координат.
В якості узагальнених координат
будем розглядати кути повороту φ1, φ2,
φ3 кожної із ланок відносно їх центра
мас. Отримуємо наступний вектор узагальнених координат:
Геометричні звязки, наложені на
механічну систему, покажемо у вигляді:
і - номер ланки; φ1-абсолютний
кут нахилу і-ї ланки до осі ОХі; хі, уі;- координати центрів мас і-ї ланки в
абсолютній системі координат ХОY.
Для ланки і=1: l0=0; φ0=0.
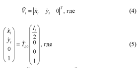
Вектори
швидкостей центрів мас С1, С2, С3 ланок мають вигляд:
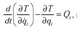
Для отримання диференціальних рівнянь
руху данної системи скористаємося рівняннями Лагранжа 2-го роду :
(6)
Т - кінематича енергія всієї
системи;
(7)
- число ланок;
Так як усі ланки розглядаємої
системи виконують плоский рух, кінематична енергія кожної ланки буде складатися
з кінематичної енергії обертового та поступального руху:
(8)
φі
- кутова швидкість і-ї ланки системи.
Модуль вектора швидкостей:
Центральні моменти інерції ланок
будем визначати по формулі:
- маса і-ї ланки;
Для спрощення узагальнених сил Qi
скористаємося принципом можливих переміщень. Задамо системі віртуальне
переміщення δφ1 і
знайдемо на значення усіх сил та моментів, прикладених до системи на кожному
етапі руху:
Підставивши (7), (10) в (5), з
урахуванням (8), (9) після відповідних перетворень отримаємо систему
диференційних рівнянь, що описують рух механізму що розглядається:
Отже, в результаті розрахунків була
розроблена математична модель побутового робота-помічника, що включає в себе
опис системи управління та конструкції пристрою, що позволяє виявляти
закономірності руху механізму та дослідити його динамічні властивості. Ця
модель може слугувати основою для створення методів проектування і розробки
оптимального алгоритму управління пристроєм.
.4 Алгоритми управління
Згідно поставленої задачі
управління, ціллю управління являється безперервне спостереження за обєктом с
наступним його захопленням захватним механізмом та переміщення його в зону, що
знаходиться в суворо зафіксованому положені в систепі координат робота.
Отриманий алгоритм розділений на підзадачі та рівні таким чином, щоб в подальшому
можна було швидко скласти нові алгоритми управління, користуючись готовими
рішеннями. Потрібно враховувати обмеженні динамічні характеристики маніпулятора
робота та відеокамери.
Інтелектуальний режим управління[7]:
Цей рівень управління являється
найвищим уровнем, на якому ставляться задачі, що реалізуються тактичним рівнем
управління, та визначають поведінку робота. Управління на цьому рівні було
розроблено аналогічно з людською моделлю поведінки, що виробляється при
постановці перед ним природньо важливою задачею: захоплення обєкта. Чоловік
спочатку оглянеться навколо в пошуках обєкта, що задовільняє умови пошуку. При
його обнаружені він негайно намагатиметься схопити його. Якщо обєкт дуже
далеко, то він буде намагатися дотягнутися до нього в очікувані, коли обєкт
наблизиться і його можна негайно схопити. У відповідності з цією поведінкою був
зіставлений алгоритм, що представлений на рис.3.5.
Рисунок 3.5 - Алгоритми управління
Висновки
Склавши технічне завдання та
зробивши огляд існуючих конструкцій побутових роботів що відтворюють рухи
людини та зробивши певні висновки щодо конструкції було прийняте рішення про
створення трьохланкового механотронного механізму. Для нього було розроблену
кінематичну схему, створено та досліджено модель за допомогою програми Solid
Works. Відповідно до конструкції були вибрані необхідні типи двигунів та
створена математична модель, що виявляє закономірності руху механізму та дає
можливість дослідити його динамічні характеристики. Кінцевим результатом стало
написання алгоритму управління що в повній мірі задовільняє систему.
Перелік посилань
побутовий робот мікроконтролерний маніпулятор
Хомченко
В.Г., Соломин Ю.В., Мехатронные и робототехнические
системы.
- ОмГТУ, 2008.-162 с.: ил.
Подураев
Ю.В. Мехатроника: основы, методы применения: Учеб.
пособие.
- М.: Машиностроение, 2006. - 256 с.
Подураев
Ю.В. Основы мехатроники: Учеб. пособие. - М.: МГТУ
«СТАНКИН»,
2000. - 80 с.
Механика
промышленных роботов: Под ред. К.В. Фролова, Е.И.
Воробьева.
Кн. 1: Кинематика и динамика / Е.И. Воробьев, С.А. Попов,
Г.И.
Шевелева. - М.: Высш. шк., 1988. - 304 с.
.
Фу К., Гонсале Р., Ли К. Робототехника. - М.: Мир, 1989. - 624 с.
.
Шахинпур М. Курс робототехники. - М.: Мир, 1990. - 527 с.
.
Манипуляционные системы роботов / Под ред. А.И. Корендясева - М.:
Машиностроение, 1989. - 472 с.