Обладнання для подрібнення м'якої сировини. Машина для нарізання м'яса В2-ФПІ
Реферат
Курсовий проект на тему «Обладнання
для подрібнення м'якої сировини. Машина для нарізання м'яса В2-ФПІ» складається
з пояснювальної записки й графічної частини. Пояснювальна записка складається з
31
аркушів друкованого тексту й уміщає в собі 4
таблиці й 11 малюнків.
Графічна частина складається з 1
аркуша формату А1.
У курсовому проекті проводилися
вивчення обладнання для здрібнювання м'ясної сировини, його принцип роботи,
порівнялося обладнання різних видів машин для нарізання м’яса. Також проводилися
розрахунки по процесі різання дисковими ножами. Вивчалися правила експлуатації
встаткування на харчових виробництвах.
Ключові слова: машина для нарізання
м’яса, напівфабрикати, дискові ножі, пилка стрічкова, зварена конструкція,
конвеєр, автоматизація, механізація.
Зміст
Вступ
. Порівняльна характеристика аналогічного
обладнання
2. Опис фрагмента технологічної схеми і
проектованого обладнання (машина В2-ФПІ)
. Розрахунки
4. Правила експлуатації
Висновки
Список використаної літератури
Вступ
В останні роки різко змінилася
структура споживчого ринку. В цілому світі чітко простежується тенденція
запропонувати покупцеві продукт, що має потребу в мінімальному часі готування в
домашніх умовах, аж до продуктів, доведених до повної готовності, які часто продаються
в упакуваннях, придатних для швидкого розігрівання й подачі на стіл. У зв'язку
із цим все більшого значення здобувають напівфабрикати й продукти швидкого
готування.
М'ясними напівфабрикатами називають
сирі м'ясопродукти, підготовлені до термічного оброблення (варіння, жарка).
Централізоване виробництво напівфабрикатів у гігієнічному упакуванні дає
можливість знизити втрати сировини, підвищити продуктивність праці й культуру
обслуговування. Напівфабрикати вживають у домашніх умовах, у сфері громадського
харчування, школах, лікарнях, на залізницях і повітряному транспорті.
Асортименти напівфабрикатів
різноманітні. За видом м'яса їх класифікують на яловичі, баранячі, свинячі,
телячі й з м'яса птаха. По способу первинної обробки й кулінарному призначенню
напівфабрикати розділяють на натуральні, у тому числі паніровані, мариновані й
січені.
Натуральні напівфабрикати - це
шматки м'яса із заданими або довільними масами, розмірами й формою, з
відповідних частин туші.
Їх розділяють на крупнокускові,
порціонні, дрібнокускові. Крім того, натуральні напівфабрикати можуть бути як
безкістковими, так і м’ясокістковими.
Натуральні напівфабрикати нарізають
поперек волокон, перпендикулярно до волокон або під кутом 45°. Напівфабрикати,
нарізані поперек волокон, краще зберігають товарний вид, менше деформуються в
сирому виді, а при тепловому обробленні менше гублять соку й стають соковитіше
й більше смачними. Досягти всього цього можна за допомогою машин для нарізання
м’яса
, таких як машина для нарізання напівфабрикатів В2-ФПИ, М6-ФРД, стрічкових
пилок й різних типів подрібнювачів, характеристика яких викладена в даному
курсовому проекті.
м’ясо нарізання обладнання
1. Порівняльна характеристика
аналогічного обладнання
До аналогічного обладнання ми можемо
віднести такі машини для нарізання м’яса як вакуумний подрібнювач ВИНД, машина
для нарізання м’яса М6-ФРД, пила стрічкова В2-ФР-2П, які ми розглянемо нижче, і
багато інших.
Вакуумний подрібнювач ВИНД може бути
віднесений до групи куттерів безперервної дії. Сировина за допомогою шнекового
насоса подається з бункера в обертову із частотою 8,3 с'1 чашу подрібнювача
діаметром 400 мм. Під дією відцентрової сили на стінках чаші утвориться
ущільнений тонкий шар фаршу, що подрібнюється й емульгуется з обертовою
частотою 70,8 с'1 ножовою головкою із закріпленими на ній дисковими ножами.
Дискові ножі, установлені з малим зазором від стінок чаші, ріжуть й емульгують
фарш; занурення ножів у фарш мінімальне. Положення ножів щодо стінок чаші
регулюється за допомогою ексцентрикового гвинта. У верхній частині чаші за
допомогою шкребка й шнека здійснюється безперервне видалення фаршу. Вакуум у
чаші регулюється від 80 до 20 кПа.
Ступінь здрібнювання фаршу при
рівній кількості його подачі збільшується зі збільшенням кількості ножів і
частоти обертання ножової головки, що дозволяє одержувати різний ступінь
здрібнювання. Одержувана емульсія стабільна, відрізняється гарною
водозв’язуючою здатністю.
Продуктивність 2500 - 3500 кг/ч.
-бункер
2-шнековий насос
3-ножова головка
4-шнек вивантаження
5-патрубок вакуум-насоса
6-чаша
Це обладнання відрізняється від
В2-ФПІ в головній мірі тим, що використається для готування м'ясного фаршу, а
не для нарізки натуральних напівфабрикатів.
Машина для нарізання м’яса М6-ФРД більше
схожа з В2-ФПІ й призначена для нарізування м'ясних напівфабрикатів типу азу,
гуляш, шашлик, а також шпику при виробництві ковбас. Складається зі звареної
станини, завантажувального бункера, пристрою підпресування сировини, камери
його подачі, двох ножових рамок, відрізного серповидного ножа, гідро- і
електромеханічного привода, цільного підйомника, захисного кожуха, органів
керування, площадки обслуговування.
Сировина підйомником з напільного
візка подається у вертикальний бункер, у нижній частині якого воно
підпресовувється двома металевими пластинами, що працюють від гідроциліндрів.
Камера подачі сировини в перетині
являє собою розгорнутий на 45 град, квадрат, її частина, з'єднана одним кінцем
зі штоком гідроциліндра, робить зворотно-поступальний рух у горизонтальному
напрямку до ріжучого органа. На іншому кінці верхньої частини, що рухається,
камери закріплений плоский ніж, що відтинає. Сировина (крупнокускове м'ясо)
подається в зону різання поршнем, що працює від гідроциліндра. При цьому
відбувається додаткове підпресування сировини. Механізм різання приводиться в
дію при досягненні необхідного тиску в гідроциліндрі. Поздовжнє різання
сировини здійснюється пластинчастими ножами, закріпленими у двох ножових
рамках, що роблять зворотно-поступальний рух у взаємно перпендикулярних
напрямках, поперечне серповидним ножем, робота якого синхронізована з роботою
поршня таким чином, що в момент відрізання подача сировини припиняється. У
машині В2-ФПИ різання проводиться дисковими ножами й без примусового тиску, що
й відрізняє ці два встаткування між собою. Довжина шматочків м'яса, що
нарізають, регулюється від 0 до 40 мм спеціальним пристроєм. Напівфабрикати
падають у візок, установлюваний під відрізним ножем, закритим металевим
кожухом. Технічна характеристика зазначена в таблиці 1.1:
Рис. 1.2 Машина для нарізання м’яса
М6-ФРД
|
Технічна характеристика машини для нарізання
м’яса М6-ФРД
|
|
Продуктивність у годину, кг:
|
|
|
Із гратами розмірами, мм:
|
|
|
12x12
|
2070
|
|
16x16
|
2080
|
|
24x24
|
2080
|
|
Жарке особливе
|
2090
|
|
Асорті
|
2090
|
|
М'ясо для консервів
|
2100
|
|
Довжина напівфабрикатів, що нарізають, мм
|
0-50
|
|
Розміри ножових рамок, мм
|
6x6, 8x8, 12x12, 16x16, 24x24
|
|
Температура продукту, що нарізає, °С
|
0+5
|
|
Привід
|
електромеханічний і гідравлічний
|
Пила стрічкова В2-ФР-2П призначена
для оброблення отрубів м'яса на порції різної маси. У відмінності від машини
В2-ФПИ стрічкову пилку використають для нарізування крупнокускових м'ясних і
мясокістних напівфабрикатів. А схожі ці встаткування тим, що подача сировини
виробляється вручну робітником. Складається стрічкова пилка В2-ФР-2П зі станини
звареної конструкції, що служить для розміщення всіх механізмів пилки. До
станини фланцем прикріплений електродвигун, на валу останнього установ льони
шківи гальмової й приводний. Натяжний шків розташований на осі повзуна й може
переміщатися вниз за допомогою маховичка. Правильний натяг пильного полотна
забезпечує пружина. Вісь шківом, що перебуває на ній, може нахилятися
маховичком, це виключає зісковзування полотна. Щоб уникнути прогинання його при
розпилюванні застосовані опорні ролики. Ліва й права каретки робочого стола
подають продукт до пильного полотна. Кришка закриває шківи й полотно,
забезпечує безпека роботи. Штанга є напрямною для полотна, зловлювач защемляє
його в момент обриву.
Отруб укладають на стіл каретки (або
обох кареток) і, притримуючи руками, насувають разом з кареткою на полотно до
повного відпилювання порції необхідної величини. Потім повертають каретку у
вихідне положення, отруб зрушують для чергового відпилювання. Розпилювання
ведеться плавно, щоб розріз був рівним, без бахроми й пригару. Нормальна робота
пилки характеризується рівним, злегка дзвенячим звуком. Щоб уникнути розриву
пильного полотна продукт повинен подаватися плавно, без ривків, шляхом
помірного натиску. При розпилюванні м'яса на порції рагу або супового набору
для прискорення процесу рекомендується користуватися лівою кареткою. Права
закріплюється в зручному для робітника положенні. Технічна характеристика
зазначена в таблиці 1.2
Технічна характеристика стрічкової
пилки В2-ФР-2П
|
Продуктивність у годину, кг:
|
|
|
порції масою 0,5 кг
|
550
|
|
0,25 кг
|
400
|
19,5
|
|
Кількість відходів, %
|
0,3
|
|
Розміри полотна, мм:
|
|
|
товщина
|
0,7
|
|
ширина
|
22
|
|
Величина просвіту, мм:
|
|
|
між робочим столом і кожухом пилки
|
500
|
|
між пильним полотном і станиною
|
480
|
|
Число кареток робочого стола , шт.
|
2
|
Рис. 1.3 Пила стрічкова В2-ФР-2П
|
Довжина ходу кареток, мм
|
530
|
|
Розміри стола, мм:
|
|
|
довжина
|
800
|
|
ширина
|
900
|
|
Установлена потужність, квт
|
2,2
|
|
Споживана електроенергія, квт-ч
|
1,8
|
|
Габаритні розміри, мм
|
1055x1140x1972
|
|
Маса, кг
|
270
|
. Опис фрагмента технологічної схеми
й проектованого обладнання
Цехи, у яких роблять натуральні
напівфабрикати, розміщають під відділеннями обвалки або поруч із ними.
Відділення з виробництва фасованого м'яса розташовують поруч із холодильником.
При такому розміщенні скорочуються витрати на транспортування сировини з
холодильників і сировинних цехів.
Цехи або відділення, де роблять
натуральні напівфабрикати й фасоване м'ясо, повинні мати стаціонарні або
конвеєрні столи. У цехах з великою продуктивністю встановлюють стрічкові
конвеєри для транспортування чистої тари до фасувальних столів й упакованої
продукції до місця охолодження й реалізації. При розбиранні туш використають
стрічкові пилки більших моделей для розпилювання отрубів і сортових частин
м'яса на окремі порції, а стрічкові пилки малих моделей - м’ясокістних частин
на дрібнокускові напівфабрикати. Крім того, цех оснащують устаткуванням для
фасування, упакування й зважування окремих порцій і продукції, у груповому
впакуванні.
Процес виробітку натуральних
напівфабрикатів складається з підготовки сировини, виготовлення
напівфабрикатів, фасовка порцій й упакування. Ми розглянемо готування
порціонних безкісткових напівфабрикатів. Підготовка сировини полягає у
видаленні костей і надлишкового жиру. Виготовлення самих напівфабрикатів
зводиться до нарізування м’ясокістної
сировини на порції й шматки, маса яких передбачена стандартом для кожного виду
напівфабрикатів. Всі нарізані шматки м'яса повинні мати рівну поверхню, очищену
від сухожиль і товстих поверхневих плівок.
Безкісткові напівфабрикати нарізають
на машинах для подрібнювання м'якої м'ясної сировини. У нашому випадку це
машина для нарізування напівфабрикатів В2-ФПИ, технічна характеристика якої
зазначена в таблиці 2.1:
Машина В2-ФПИ застосовується на
м'ясокомбінатах у цехах напівфабрикатів у складі ліній виробництва натуральних
порціонних напівфабрикатів необхідної товщини й самостійно. Каркас являє собою
зварену конструкцію, призначену для монтажу електродвигуна, редуктора, панелі,
перехідника й бункера. Бункер звареної конструкції призначений для монтажу в
ньому ножового вала, вертушки й гребінок, які служать для розрізування
напівфабрикатів на порції по товщині шматків, рівних кроку між ножами в
ножовому валу. Вертушка являє собою зварену чотирьохлопастну конструкцію й
призначена для додання шматку напівфабрикату горизонтального положення й
скидання його на ножі в цьому ж положенні. Гребінки являють собою пластини з
пазами. На вході різання гребінка забезпечує повну розрізку м'яса на порції, а
на виході викид порцій м'яса із зони ножів і з бункера. Ножовий вал являє собою
зварену збірну конструкцію із установлених на горизонтальній осі втулок і
дискових ножів. Ножі призначені для різання м'яса на порції певної товщини. Вал
поставляється в комплекті із двома гребінками (гребінка на вході - для повного
різання м'яса й гребінка на виході - для викиду м'яса). Певній товщині порцій,
що нарізають, відповідає певний комплект ножового вала із гребінками. З машиною
поставляються три комплекти валів з відстанню між ножами 12, 18 й 24 мм.
Технічна характеристика машини для
нарізування напівфабрикатів В2-ФПІ
|
Показники
|
|
Продуктивність (технічна), кг/ч Частота
обертання ножового вала, с'1 Установлена потужність, квт Споживана
електроенергія, квт-ч Діаметр дискових ножів, мм Діаметр дискових ножів
мінімальний (після переточувань), мм Товщина дискових ножів, мм Товщина
одержуваних порцій м'яса, мм Габаритні розміри, мм Маса (без змінних
комплектів ножових валів), кг
|
700 1,67/3,33 2,65/3,4 2,4/3,2 175 165 1,5
80...180 1100x800x1320 248
|
Перехідник являє собою зварену
конструкцію і є проміжною ланкою для кріплення бункера до каркаса. Панель
служить для монтажу на ній електроустаткування й розміщається в каркасі.
Робота на машині здійснюється у двох
режимах. Перед початком роботи необхідно: установити перемикач «Режим роботи» у
відповідне положення; включити машину (перемкнути перемикач у положення «Вкл.»
і нажати кнопку «Пуск»); покласти вручну шматок м'яса на лопату вертушки;
нажати на стопор.
Вертушка повертається під вагою
шматка м'яса, і він попадає в зону різання. Повне різання м'яса забезпечується
дисковими ножами, установленими з необхідним кроком у ножовому валу, і
гребінкою, установленої на вході в зону різання. Повне вивантаження м'яса
забезпечує гребінка, що коштує на виході із зони різання. Нарізані порції м'яса
падають униз. Під бункером може встановлюватися напільний візок, конвеєр або
будь-яка ємність для збору нарізаних порцій.
Рис. 2.1 Машина для нарізування
напівфабрикатів В2-ФПІ
. Розрахунки
Залежності, використовувані при
розрахунку машин для нарізання м’яса можуть бути отримані з теорії різання.
Основні відомості з теорії різання.
Різання - один з видів здрібнювання матеріалів лезом. При різанні зменшується
лінійний розмір матеріалу, збільшуються число нових часток й їхня сумарна площа
бічної поверхні. Для різання характерне утворення плоских поверхонь, часток
правильної форми (пластини, паралелограми й куби), а також однорідних
гомогенних мас.
У м'ясній промисловості різання
використають для здрібнювання матеріалів з різними механічними
характеристиками: тверді тендітні (суха кістка, заморожене м'ясо); тверді
упругов’язкі (сира кістка, роги, копита); упругопластичні (м'ясні й жирові
нативні тканини при позитивних температурах, ковбаси, шкіри), твердоподібні
пластичні-грузлі (здрібнене м'ясо, різні м'ясні фарші). Всі ці види матеріалів
характеризуються, як правило, анізотропією властивостей у меншому або більшому
ступені. Розмаїтість властивостей матеріалів визначає велика розмаїтість
способів різання й видів робочих механізмів.
Процеси поділу на частині різанням
можуть відбуватися без утворення стружок або з утворенням стружок (обпилювань).
У першому випадку як робочий орган використають ножі, у другому - різці, пилки
й фрези. Як окремий випадок різання можна застосовувати для утворення стружки
(здрібнювання заморожених блоків).
Розглянемо поділ на частині різанням
без утворення стружки, тому що в нашому варіанті курсового проекту необхідно
проаналізувати різання м'ясної сировини. Цим способом ріжуть тверді пластичні,
пружнопластичні й твердоподібні матеріали. Як інструмент використають ножі й
пуансони.
Ріжучий елемент ножа (мал. 3.1, а)
називають ріжучою крайкою або лезом 1, що утвориться перетинанням похилих
граней (скосів) 2. Крім того, ніж має бічні 3, торцеві 5 грані й обух 4. Кут
між скосами називають кутом загострення або заточення. Ножі бувають із
однобічної (б), двосторонньої симетричної (в) і несиметричної (г) заточенням.
Рис. 3.1
а - основні елементи ножа: 1-лезо,
2-похилі грані (скоси), 3-бічна грань, 4- обух, 5-торцева грань; б - ніж з
однобічним заточенням; в, м - ножі із двосторонньої симетричним і несиметричним
заточенням.
Лезо ножа (мал.З. 2, а) може бути
прямолінійним нормальним (1) або похилим (2) стосовно поверхні матеріалу, з
однобічним або двостороннім (3) додатком сил. Крім того, лезо може бути круглим
(4) або криволінійним (серповидним) із зовнішнім (5) або внутрішнім (6)
загостренням. Криволінійні леза профілюють у вигляді безперервних або
східчастих кривих.
При різанні на лезі ножа створюються
нормальні контактні напруги, що приводять до руйнування матеріалу.
Пуансони (мал. 3.2, б) із прямою 1
або криволінійною 2 (круглої, трикутної або будь-який іншої) крайкою мають кут
загострення 90° і створюють у матеріалі дотичні, здвигові напруги.
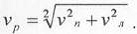
Ніж може різати поверхню матеріалу,
яку ріже двома рухами: нормальний і дотичний. Нормальний рух визначається
швидкістю подачі Vn
.
А дотичне - швидкістю ковзання Vл
. Їх сума є швидкістю різання
або

Рис. 3.2
а - ножі: 1,2- із прямолінійним або
похилим лезом, 3- із двостороннім додатком сил, 4- із круглим лезом, 5,6- із
криволінійним (серповидним) лезом із зовнішнім або внутрішнім загостренням; б -
пуансони: 1-і прямій ріжучою крайкою, 2- із криволінійною ріжучою крайкою.
Відношення швидкостей: vn/ Vл
- tg(p - К називають коефіцієнтом ковзання. Кут (р (кут ковзання) може мінятися
від 0 до 90. Відношення швидкостей vn і Vл
і відповідно величини р і К визначають характер процесу різання, його силові й
енергетичні показники і якість поверхні розрізу.
При Vn
= 0 <р = 0 і К=0 лезо ножа подається зі швидкістю подачі Vn
по нормалі до поверхні матеріалу. Подібний процес називають що рубає різання.
При > 0 процес називають ковзним або похилим різанням.
По характеру навантаження процеси
поділу на частині без утворення стружки розділяють на статичні й динамічні. При
статичному режимі швидкість Vn
і сила Рп подачі постійні. Дотичні швидкість Vл
і сила Рл можуть бути постійними (лінійні, окружні) або змінними (коливальні).
При ударному різанні ніж ударяє по
поверхні поділюваного матеріалу з початковою швидкістю vH.
При цьому кінетична енергія ножа mv /2 зосереджена на лезі ножа й створює
контактні напруги, що руйнують цілісність матеріалу.
Розглянемо схему різання (мал. 3.3,
а) ножем товщиною 2/3 із двостороннім заточенням і кутом між скосами 23, що має
прямолінійне нормальне лезо й рухається з постійною швидкістю v„ (рубяще різання).
Матеріал являє собою необмежену пластину з ізотропними властивостями.
У початковий момент при торканні
лезом ножа поверхні матеріалу в ній створюються концентровані контактні
напруги. При досягненні граничних значень напруг структура матеріалу руйнується
й лезо починає переміщатися вглиб. Сила Рк, наведена до одиниці довжини леза
(Н/м), при якій руйнується
Лезо утвориться перетинанням двох
площин і теоретично являє собою пряму лінію. Однак у реальних умовах лезо після
обробки бічних граней абразивними колами являє собою нерівну поверхню з
микрозаусенцями, виступами й западинами. Гострота крайки характеризується
діаметром окружності 5, що може бути вписана в профіль леза. Після початкового
впровадження леза й подальшого руху ножа його похилі грані деформують матеріал,
розсовуючи його в напрямку, перпендикулярному до осі. Поточна абсолютна
деформація пропорційна половині товщини клина dx.
Товщина ножа b невелика в порівнянні
з довжиною зони деформації L, тому для визначення напруг (Па) можна використати
закон Гука:
Максимальна напруга (Па) при
зануренні на глибину
де АБ - довжина похилих граней; / -
довжина леза, м.
Сила нормального тиску:
, а осьового
На бічних гранях ножа деформація
матеріалу буде постійній і рівний половині товщини ножа b,
напруга σmах,
а сила бічного тиску
Рис. 3.3
а - без випереджальної тріщини; 6-і
випереджальною тріщиною Сумарна бічна сила (Н) на похилій грані;
Сила подачі (Н), необхідна для
подолання знайдених сил опору (на двох сторонах ножа): Рп = Рк + 2(Ріс + F cos
/3 + F) .
При постійному значенні b
сила Рт росте зі збільшенням кута загострення . Якщо він = 0 виходить
бесфасковое лезо з теоретичною товщиною b = 0, але практично b
= 5. Збільшення товщини ножа b
при /3 = const по формулі приводить до лінійного зростання сили Рб, але
насправді залежність більше складна, тому що b й h1 зв'язані співвідношенням b/
hi = tg ft.
В зв'язку із цим аналіз дії сил на
клинову частину леза проводять, як правило, експериментально. Так, за даними А.
И. Пелеева, найменша сила при різанні м'яса виходить при куті заточення ножа
2/3- 12...14. ° При збільшенні кута заточення до 45° сила різання зростає в
1,5...3 рази. Зростає сила різання й при куті заточення менше 12° через втрату
лезом механічної міцності (лезо мне).
При розробці машин для нарізання
м’яса прагнуть зменшити товщину ножа 2b,
визначаючи її з мінімально необхідної міцності на вигин, поздовжньої стійкості
й вібростійкості. Зі зменшенням товщини ножа скорочуються втрати на тертя й на
бічних гранях ножа. При різанні м'яса й риби опір від тертя на бічній поверхні
становить 15...20% загального опору.
У розглянутій схемі виходили з
передумови, що пружне середовище (матеріал) має необмежену здатність до
деформації в поперечному напрямку пропорційно товщині ножа, і матеріал, що розріже
тому, увесь час контактує з лезом і похилими гранями ножа. При цьому напруги в
матеріалі пропорційні деформаціям, а сила бічного тиску Рб визначається з епюри
напруг і площі контакту бічної грані й ножа й не залежить від сили подачі Рп.
Для різання малоупругих міцних
матеріалів застосовують ножі значної товщини з кутом заточення 30...40. °
Товщина ножа визначається умовами міцності, а при великому куті заточення
підвищується міцність клинової частини ножа й створюються значні бічні сили, що
викликають випереджальну тріщину при невеликих поздовжніх переміщеннях ножа.
Подібний спосіб різання прийнятний, коли немає спеціальних вимог до якості
поверхні зріза.
Якість поверхні зрізу, сила подачі й
робота різання залежать як від абсолютних значень швидкостей подачі й ковзання,
так і від їхнього відношення, характеризованого коефіцієнтом подачі.
Як видно з мал. 3.4, а, на якому
представлені експериментальні дані, отримані при розрізуванні яловичини, сила
подачі Рп (Н/м), наведена до одиниці довжини леза, найбільша при різанні, що
рубає (<= = 0) , знижується в міру збільшення кута ковзання, прагнучи в межі
до 0 при v" -> 0. Сумарна сила Рр також зменшується, прагнучи до 0 при
(р = 90°. Чисельні значення Рр, Рп і Рл, характер їхньої зміни й положення екстремальних
значень залежать від конкретних властивостей матеріалів, що розріжуть.
Згідно гіпотезі Ребиндера, загальна
робота (Дж) різання^ = А1+ А2 + А3, де А1 - робота руйнування молекулярних сил
зчеплення; А2 - робота пластичних деформацій; Аз - робота зовнішнього тертя між
поверхнею ножа й матеріалом.
Співвідношення складових у цій
формулі залежить від властивостей матеріалу й виду різання, обумовленого кутом
<р. При здрібнюванні тендітних твердих матеріалів основна частина роботи
падає на А1 . При різанні пластичних матеріалів, у тому числі й м'яса (за
даними А. И. Пелеева), до 80...85 % енергії витрачається на пластичні
деформації й зовнішнє тертя й переходить у теплоту. Як треба з мал. 3.4, б, зі
збільшенням коефіцієнта ковзання До трохи зменшуються робота руйнування
молекулярних сил зчеплення А1і робота пластичних деформацій А2. Робота тертя А3
інструменти об продукт росте через значне збільшення шляху різання. Сумарна
питома робота А також зменшується спочатку при збільшенні коефіцієнта К,
досягаючи мінімуму в межах значення К від 1 до 2, тобто кута (р від 45 до 60°,
і далі знову збільшується, прагнучи до оо при К -* оо( (р -> 90°). У
реальних машинах К= 10...600, тобто <р = 84...89°50', при цьому швидкість
леза Vji становить 1...100 м/с, а швидкість подачі vn = (0,1...0,17) v. При цих
значеннях виходять задовільні показники по енерговитратах і забезпечується
гарна якість знову отриманих поверхонь.
Зменшення зусилля при ковзному
різанні пов'язане з ефектом перепилювання мікронерівностей і задирок на лезі,
що особливо помітно при різанні складних анізотропних матеріалів, до яких
ставиться й м'ясо. Так, волокно сполучної тканини, що входить до складу м'язів,
має межа міцності 8...12 МПа, а м'язова тканина - 0,15...0,9 МПа. Вплив ефекту
перепилювання на зменшення сил відзначається багатьма дослідниками, але
чисельно воно не встановлено. Крім того, сила різання зменшується через
кінематичну трансформацію кута й радіуса загострення леза. Представимо ніж
(мал. 3.5) у вигляді клина з однобічним заточенням і кутом при вершині. Якщо
провести площину, перпендикулярну підставі й минаючу в напрямку вектора
сумарної швидкості vp, те тангенс кута /Вк при вершині трикутника АБ'С' буде
дорівнювать: tg/3K = tg/3 cosд> або
/
Рис.З. 4
а - залежність сил різання від кута
ковзання (р\ б- залежність питомої роботи різання від коефіцієнта ковзання К.
Рис. 3.5
Гострота леза характеризується
вписаною окружністю діаметром 8 = 2м, тому в тім же перетині під кутом (р
окружність буде трансформуватися в еліпс з малим радіусом r = rcos
Однак у зв'язку із труднощами
аналітичного й експериментального визначення сил на практиці використають
розрахунок по питомій потужності Nyd (Вт/м) або роботі Ауд (Дж/м), наведеним до
одиниці площі розрізу, і тоді потужність
(Вт): N = N^F, а робота
(Дж): А = Ayd,
де F - площа знову утвореної
поверхні, м2.
Значення Nyd й Ауд визначають
експериментально для конкретних ріжучих механізмів.
При різанні пластичних пружних
матеріалів (м'ясо, варені ковбаси й шпик) застосовують ножі, які роблять
коливальні рухи в площині, перпендикулярної до швидкості подачі (мал. 3.6).
Плоский ніж 1 із прямою ріжучою крайкою (мал. 3.6, а) і двостороннім
заточенням, установлений у підшипниках ковзання, приводиться в поздовжні
коливальні рухи за допомогою шатуна 2 і кривошипи 3 або ексцентрика. Матеріал,
що розріже, 4 подається на ніж з постійною швидкістю vn подачі. У цій схемі
швидкість ножа за один оберт кривошипа міняється в межах 0...(+vJlmax)...0 И
0...(- Vj,max)...0. При цьому змінюються й вектори швидкості, і сили різання.
Кінематичний кут загострення й радіус крайки ножа також перетерплюють зміни.
Швидкість леза, амплітуда й частота коливань істотно позначаються на значеннях
сил і потужностей різання.
Схема різання дисковим ножем
зовнішнім радіусом г при частоті обертання ножа з показана на мал. 3.7. Ніж
обертається з постійною окружною швидкістю v0K = cor, і на нього подається
матеріал товщиною Н зі швидкістю подачі v„. Зовнішню окружність ножа можна
представити як багатокутник із числом сторін, що прагне до нескінченності.
Товщина матеріалу обмежується довжиною дуги БГ окружності й центральним кутом
(рк. Приймемо, що в крапці Г <рк- 0. Характерна риса дискового ножа -
незмінність швидкостей v„ й v0K, але остання міняє свій напрямок. Якщо взяти
будь-яку крапку А на лезі, обумовлену кутом (р, то можна побудувати паралелограм
швидкостей і знайти швидкість різання: vp=vn+v0K.
Рис. 3.6
а - схема: 1- ніж, 2- шатун, 3-
кривошип, 4-розрізувальний матеріал; б- залежність питомої потужності різання
від максимальної швидкості леза.
Напрямок цієї швидкості визначимо
через кут у між нормаллю п - пк швидкості Vp й vOK. По В. Н. Карпову, косинус
цього кута:
де значення cos у міняється в межах
від 0 при <рк = 0 при (рк 90° (точці В). У точці В ніж можна представити як
прямій, з кутом ковзання tp' = в. У крапці А цьому ножі представляється прямим
з товщиною dx^O і з ріжучою крайкою, нахиленої на кут у точці Г швидкість
різання vр = vOK-vm а кут загострення буде дорівнює геометричному. Кінематичний
кут загострення в дискових ножів дорівнює 1,5...2,0°, що забезпечує гарну
якість зрізу й значно менші зусилля в порівнянні із прямолінійними ножами.
Сумарна сила різання (Н) на дузі БГ:
РР = Рг + Рв, де Рг - горизонтальна складова сили в напрямку швидкості подачі;
Рв - вертикальна складова.
Значення Рг і Рв визначають по
формулах, запропонованим В. Н. Карповым:
КПД ножа - це відношення корисного
зусилля руйнування матеріалу до загального зусилля різання. Для дискових ножів
т|=0,9...0,95.
Крутящий момент (Н м) на валу ножа:
При статичному різанні гладким лезом
поділ здійснюється без відходів. Але цим способом можна різати лише малопрочні
матеріали.
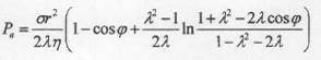
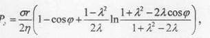
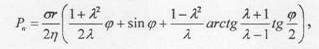
Основні розрахункові залежності. При
розрахунку машин для нарізання м’яса знаходять їхню продуктивність і потужність
електродвигуна.
Рис. 3.7
Питома площа роздягнула
(м/кг): Fx = 0,5{zKf - zHf)
де z, z - число шматочків 1 кг
матеріалу до й після здрібнювання; площа бічної поверхні шматочків до й після
здрібнювання, м2.
Потужність електродвигуна привода
ріжучого механізму можна знайти по силі й швидкості різання або по питомих
витратах енергії.
Доцільно використати таке заточення
пилки, щоб виключалася необхідність розлучення зубів.
За допомогою вище описаних формул ми
можемо провести всі необхідні розрахунки по процесі різання дисковими ножами.
. Правила експлуатації й техніки
безпеки
Сучасний етап розвитку науки й
техніки характеризується комплексною автоматизацією й механізацією трудових
процесів, широким впровадженням систем керування, більших комплексів «людина-машина».
З розвитком автоматизації функції людини випробовують істотні зміни,
переміщаючись на вищий рівень розвитку, і стають функціями контролю й
керування.
В умовах науково-технічного прогресу
на підприємствах переробної галузі питання охорони праці здобувають особливе
значення.
Важливою вимогою до нових технологій
і сучасних механічних засобів є забезпечення високої надійності й повної
безпеки їхньої експлуатації. Харчові підприємства мають досить складне
технологічне обладнання, характеризуються фізико-хімічними процесами й тяжкими
умовами праці. Тут застосовуються автоматичні лінії великої потужності, до яких
входять: фасувальні автомати, апарати, що працюють під тиском і розрідженням,
енергетичні установки й т.д.
Основними вимогами безпеки, які
ставляться до конструкцій машин і механізмів, є безпека для здоров'я й життя
людей, надійність і зручність експлуатації.
Безпека виробничого встаткування
забезпечується:
використанням засобів механізації,
автоматизації й дистанційного керування;
застосуванням у конструкції засобів
захисту;
дотриманням ергономічних вимог;
включенням вимог безпеки в технічну
документацію з монтажу, експлуатації, ремонту, транспортування й зберігання
встаткування;
використанням у конструкції
відповідних матеріалів.
Дотримання цих вимог у повному
обсязі можливо лише на стадії проектування. Тому у всіх видах проектної
документації передбачаються вимоги безпеки. Вони втримуються в спеціальному
розділі технічного завдання, технічних умов стандартів, на встаткування, що
випускається. Під час вибору принципу дії машини необхідно враховувати всі
потенціально можливі небезпечні й шкідливі виробничі фактори.
Вимоги безпеки при обслуговуванні
встаткування
Машини, апарати й інше обладнання,
що застосовується на переробних і харчових підприємствах, різноманітні за
принципом дії, конструкцією, типом і розмірами. Однак існують деякі загальні
вимоги, дотримання яких дозволяє забезпечити безпека його експлуатації (ДСТ
12.2.003-74 «ССБТ. Устаткування виробниче. Загальні вимоги безпеки».)
Вимоги до основних елементів
конструкції:
1) матеріали, застосовувані в
конструкції обладнання, не повинні бути небезпечними й шкідливими;
) обладнання повинне бути обладнане
необхідними технічними засобами безпеки;
3) рухливі частини обладнання ,
що становить небезпеку, повинне бути обгороджене або обладнане засобами
захисту, за винятком частин, огородження яких не допускається їхнім
функціональним призначенням, у цьому випадку варто передбачати спеціальні
заходи захисту;
) устаткування не повинне бути
джерелом виділення в робочу зону виробничих приміщень шкідливих речовин вище
гранично припустимих рівнів (концентрацій), більших кількостей теплоти й
вологи;
5) для видалення й аварійного скидання
шкідливих, вогненебезпечних речовин обладнання варто оснащувати спеціальними
пристроями;
6) конструкція обладнання
повинна забезпечувати виключення або зниження до регламентованих значень рівнів
шуму, ультразвуку, інфразвуку, вібрацій;
7) елементи обладнання, з яким
може контактувати людина, не
повинне мати гострі краї, кути,
нерівні, легкозаймисті поверхні;
8) вхідне в конструкцію
обладнання робочі місця і їхні елементи повинні забезпечувати зручність і
безпека роботи, при необхідності пересування оператора під час обслуговування
встаткування, вона повинне бути обладнане безпечними проходами, площадками,
переходами, щаблями, поруччям, і т.п.;
9) обладнання повинне мати
засобу сигналізації про порушення нормального режиму роботи, а в необхідних
випадках - засобу автоматичної зупинки, гальмування й вимикання його, від
джерел енергії;
10) для запобігання небезпеки
при раптовому вимиканні електроенергії всі робочі органи, затискні й піднімаючі
пристрої встаткування або їхніх приводів, повинні бути обладнане спеціальними
захисними пристосуваннями; при цьому необхідно запобігати можливість
мимовільного включення приводів робочих органів при поновленні подачі енергії;
11) конструкція обладнання
повинна забезпечувати захист людини від поразки електричним струмом;
12) в устаткуванні повинні бути
передбачені пристосування для зручного зачеплення при необхідності підйому й
інші пристрої для забезпечення безпеки при монтажі й ремонті.
Органи керування встаткуванням
повинні відповідати таким основним вимогам:
мати форму, розміри й поверхню,
безпечні й зручні для роботи;
бути розташованими в робочій зоні;
розміщатися з обліком необхідних для
їхнього переміщення зусиль, які не перевищують установлених стандартами, а
також відповідати послідовності й частоті використання;
виключати можливість мимовільного й
самовільного включення і вимикання обладнання.
Органи керування своєю конструкцією
(блокуваннями) повинні виключати можливість неправильної послідовності
операцій, мати схеми й написи, які наочно вказують саме правильну їхню
послідовність.
Органи аварійного вимикання (кнопки,
важелі й ін.) повинні бути червоних кольорів, мати покажчики, які полегшують
їхній пошук, написи про призначення й бути легкодоступними для обслуговуючого
персоналу. Вимоги до засобів захисту, що входить у конструкцію виробничого
встаткування, зводяться в основному до того, щоб функціонування встаткування
бути неможливим при виключених або несправних засобах захисту. Засоби захисту
повинні безупинно виконувати свої функції або спрацьовувати при виникненні
небезпеки.
Дія засобів захисту повинне тривати
увесь час, поки діє небезпечний або шкідливий виробничий фактор. Відмова
окремих елементів захисних засобів не повинен припиняти захисної дії інших
засобів. Засоби захисту повинні бути легкодоступні для обслуговування й
контролю.
Людина добре сприймає й запам'ятовує
зорові образи й різні кольори. На цьому засноване широке використання на
підприємствах кольорів як закодованого носія інформації про небезпеці. Кольори
сигнальні й знаки безпеки регламентовані ДСТ 12.4.026-79. Знаки безпеки
розділяються на заборонні, попереджуючі, що вказують.
Вимоги безпеки щодо розташування
виробничого обладнання.
Розташування виробничого обладнання,
вихідних матеріалів, заготівель, напівфабрикатів, готової продукції й відходів
виробництва, у виробничих приміщеннях і на робочих місцях не повинне бути
небезпечним для персоналу. Розташування виробничого встаткування й комунікацій,
які є джерелами небезпечних і шкідливих виробничих факторів,
відстань між одиницями встаткування,
а також між устаткуванням і стінами виробничих будинків, споруджень, повинні
задовольняти діючим нормам технологічного проектування, будівельним нормам і
правилам.
Із усього перерахованого вище можна
зробити висновок : головним завданням правил експлуатації обладнання є
підтримка безпеки праці робочого персоналу і їхнього здоров'я.
Висновки
Працюючи над курсовим проектом на
тему «Обладнання для подрібнювання м'якої сировини. Машина для нарізки м'яса
В2-ФПІ» я ознайомилася й закріпила свої знання за принципом дії
машин
для нарізання м’яса у процесі готування напівфабрикатів, а саме машини для
В2-ФПІ. Були розглянуті складові частини машини, теорія розрахунків по процесі
різання дисковими ножами, а також проведена порівняльна характеристика
подібного встаткування для подрібнення м'ясної сировини.
Після вивчення технологічної схеми
виготовлення м'ясних натуральних напівфабрикатів можна зробити висновок про
важливість і необхідність м’ясоподрібнювального обладнання, у тому числі й
машини В2-ФПІ. Тому що нарізані шматочки м'яса повинні бути однаковими
розмірами, з рівними краями, а досягти цього ручним способом різання неможливо.
Що стосується правил експлуатації, так знання цих правил і дотримання їх -
основа здоров'я робочого персоналу.
Список літератури
1. А.И.
Жаринов/ Короткі курси по основах сучасних технологій переробки м'яса. - М.
1994;
2. В
И. Ивашов/ Технологічне встаткування підприємств м'ясної промисловості. - М.
2001;
. В.До
Мороз/ Курсове й дипломне проектування за курсом експлуатація встаткування
підприємств харчової промисловості. - М. 1984;
4. В.
В. Бєляєв/ Охорона праці на підприємствах м'ясної й молочної промисловості. -
М. 1982;
5. И.
А. Рогів, А. Г. Забапгга/ Виробництво м'ясних напівфабрикатів. - М. 2001;
. М.
М. Клименко, Л.Г. Винникова, И. Г. Береза/ Технологія м'яса й м'ясних
продуктів. - К. 2006;
. О.
В. Прочан, П. В. Гурский/ Курсове й дипломне проектування встаткування харчових
виробництв. - X. 2005.