Cтенд для изучения и исследования контроллера приоритетных прерываний
Оглавление
Введение
. Общая часть
.1 Контроллер прерываний
.2 Приказы инициализации
.3 Рабочие приказы
.4 Каскадное включение контроллеров
.5 Выбор и обоснование направления проектирования
. Специальная часть
.1 Интерфейс программы
.2 Определение структуры
.3 Инициализация
.4 Регистр IRR
.5 Шифратор приоритетов
.6 Слово управления OCW2
.6.1 Неадресуемый конец прерывания
.6.2 Адресуемый конец прерывания
.6.3 Установка приоритета
.6.4 Автоцикл
.6.5 Адресуемый цикл
. Экономическая эффективность проекта
.1 Расчет затрат на проектирование
.1.1 Расчет затрат на оборудование и материалы
.1.2 Расчет затрат на амортизацию
.1.3 Расчет затрат на заработную плату проектировщиков
.1.4 Расчет отчислений на страховые взносы
.1.5 Расчет накладных расходов
.1.6 Расчет затрат на электроэнергию
.1.7 Расчет прочих затрат
.1.8 Смета проектных затрат
.2 Расчет затрат на монтаж
.2.1 Расчет затрат на заработную плату монтирующего
персонала
.2.2 Расчет отчислений на страховые взносы
.2.3 Расчет затрат на накладные и прочие расходы
.2.4 Смета затрат на монтаж
.3 Расчет годовых эксплуатационных затрат
.3.1 Расчет затрат на оборудование
.3.2 Расчет затрат на заработную плату персоналу
.3.3 Расчет отчислений на страховые взносы
.3.4 Расчет затрат на накладные расходы
.3.5 Расчет затрат на электроэнергию
.3.6 Расчет прочих затрат
.3.7 Смета затрат
.4 Экономическая эффективность проекта
. Безопасность и экологичность дипломного проекта
.1 Анализ условий труда
.1.1 Микроклимат помещений
.1.2 Искусственное освещение
.1.3 Нормирование шума
.1.4 Вибрация
.1.5 Электробезопасность
.2 Эргономичность
.3 Пожарная безопасность
.4 Пожаробезопасность электрооборудования
.5 Экологичность проекта
.6 Чрезвычайные ситуации
.6.1 Поведение людей в случае землетрясения
.6.2 Действия в случае совершения теракта(взрыва)
.6.3 Действия при захвате заложников
Заключение
. Управление качеством
.1 Системный анализ технических требований
.2 Ресурсное обеспечение качества
.3 Контроль и оценка качества
.4 Затраты на создание качества системы
.4.1 Расчет затрат на силовую электроэнергию, затраченную
при составлении методики.
.4.2 Расчет материальных затрат
Заключение
Список использованных источников
Листинг программы
Введение
Одним из широко используемых способов обмена информацией между
микропроцессорной системой и внешними устройствами является обмен в режиме
прерывания. Он отличается высокой производительностью, так как микропроцессор
отвлекается от выполнения основной программы и переходит к выполнению
подпрограммы обслуживания внешнего устройства только тогда, когда внешнее
устройство будет готово к обмену информацией. Устройство, обеспечивающее работу
в данном режиме, называется контроллером прерываний.
Целью данной дипломной работы является создание лабораторного стенда,
направленного на изучение данного устройства.
1.
Общая часть
1.1 Контроллер прерываний
В литературе достаточно подробно описан блок приоритетных прерываний
КР580ВН59, являющийся советским аналогом контроллера прерываний i8259. По этой
причине в качестве основы стенда выбран именно КР580ВН59. Ниже приведена его
структурная схема, описание режимов работы, слова управления и инициализации.
Контроллер обеспечивает управление 8-уровневыми векторными приоритетными
прерываниями, число которых может быть легко расширено до 64. Допускается
программное маскирование (запрещение) прерываний. Прибор может быть
запрограммирован на следующие режимы работы.
Вложенные прерывания. Каждому из 8 входов запросов прерываний IR7-0
назначается фиксированный приоритет в порядке возрастания, и запрос с большим
приоритетом прерывает обслуживание прерываний с меньшими приоритетами.
Круговой (циклический) приоритет. Как и в предыдущем режиме, каждому
входу IR7-0 назначается приоритет, но теперь после запроса прерывания и
выполнения соответствующей подпрограммы обслуживания приоритеты изменяются в
круговом порядке таким образом, что последний обслуженный вход будет иметь
низший приоритет. Этот режим характерен для таких применений, в которых
периферийные устройства имеют одинаковый приоритет и ни одному из них нельзя
отдать предпочтения.
Адресуемые приоритеты. Режим аналогичен второму режиму, но допускает
программное определение входа IR, которому назначается низший приоритет.
Режим опроса. В этом режиме прерывания процессора запрещаются, а
требующее обслуживания периферийное устройство идентифицируется с помощью
считывания состояния контроллера.
При запросе прерывания от периферийного устройства выполняются следующие
действия:
на одной или нескольких входных линиях IR7-0 формируется переход от
низкого уровня к высокому, сигнализирующий о готовности устройства к вводу или
выводу;
контроллер воспринимает запросы, учитывает их приоритеты и формирует
сигнал INT прерывания процессора;
процессор завершает текущую команду и, если прерывания разрешены (INTE =
1), выдает в контроллер импульс подтверждения прерывания
;
контроллер по шине данных вводит в процессор код операции команды CALL
вызова подпрограммы;
код операции CALL заставляет процессор сформировать два дополнительных
импульса
, которые осуществляют ввод в
процессор двух байт адресной части команды CALL, представляющие начальный адрес
подпрограммы обслуживания запрашивающего устройства;
управление передается выбранной подпрограмме, а после ее завершения
возвращается прерванной программе.
На рисунке 1 приведена блок-схема контроллера и его программная модель.
Основу контроллера составляют следующие узлы: регистр запросов прерываний IRR,
регистр обслуживаемых прерываний ISR, регистр маски прерываний IMR, шифратор приоритетов
PR, схема каскадирования, буфер шины данных и схемы управления.
Рисунок 1 - Структурная схема (а) и программная модель (б) микросхемы
КР580ВН59
Запросы прерываний обрабатываются тремя взаимосвязанными регистрами.
Регистр IRR фиксирует все запросы прерываний, регистр ISR хранит обслуживаемые
прерывания, а регистр IMR идентифицирует маскируемые (запрещаемые) входы
прерываний. Шифратор приоритетов анализирует содержимое этих трех регистров и
определяет, необходимо или нет генерировать сигнал INT прерывания процессора.
Входные цепи сигналов IR7-0 рассчитаны на восприятие фронта сигнала и
сохранение высокого уровня до подтверждения запроса первым импульсом
.
Пусть действует всего один сигнал запроса прерывания и других
обслуживаемых прерываний нет. Тогда контроллер сразу формирует сигнал INT, а
процессор, реагируя на прерывание, после завершения текущей команды отвечает
импульсом
. После получения со стороны микропроцессора сигнала
подтверждения прерывания
, ПКП вырабатывает вектор прерывания, т. е. начальный адрес
подпрограммы обслуживания того устройства, которое вызвало выдачу INT. Это
осуществляется путем посылки в микропроцессор трехбайтовой команды CALL.
Происходит это следующим образом. При получении сигнала
КР580ВН59 посылает кодовую
комбинацию 11001101 (т.е. код команды CALL в микропроцессорном комплекте серии
КР580) на 8-разрядную шину данных. Этот код команды CALL инициирует еще два
сигнала
, которые должны поступить на ПКП со
стороны процессора.
Последние два сигнала
позволяют микросхеме КР580ВН59 послать сформированный адрес
подпрограммы на шину данных: сначала младшие восемь разрядов адреса, а затем
старшие восемь разрядов адреса. Так завершается выдача трехбайтовой команды
CALL на шину данных системы.
Если какой-либо вход IR замаскирован, сигнал IR зафиксируется в регистре
IRR, но установленный бит регистра IMR не пропустит его в шифратор приоритетов.
Когда выполняемая программа сбрасывает бит IMR, шифратор приоритетов распознает
активный запрос и контроллер генерирует прерывание INT. Маскирование входа с
некоторым приоритетом не запрещает прерывания от входов с меньшими
приоритетами.
Восьмибитный двунаправленный буфер шины данных с тристабильными каскадами
используется для интерфейса с системной шиной данных по линиям D7-0. Через него
передаются управляющие слова (приказы), информация о состоянии контроллера и
команда CALL.
Схемы управления выбирают адресуемые внутренние регистры контроллера,
участвующие в его программировании. В них входят регистры приказов
инициализации, рабочих приказов и регистр состояния.
Схема каскадирования позволяет объединить несколько контроллеров для
расширения числа входов запросов прерываний. При этом один из контроллеров
работает как ведущий (управляющий), а до 8 контроллеров - как ведомые
(управляемые).
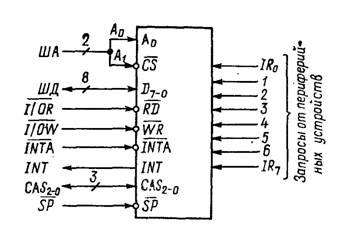
Контроллер имеет следующие управляющие сигналы (рисунок 2):
(выбор кристалла) - L-активный входной сигнал, разрешающий
связь контроллера с шиной данных;
(запись) - L-активный сигнал загрузки информации с шины
данных в адресуемый регистр контроллера;
(считывание) - L-активный вход, инициирующий передачу на
шину данных информации о состоянии контроллера;(прерывание) - выходной
Н-активный сигнал, который подается на вход прерывания процессора;
(подтверждение прерывания) - входной L-активный сигнал от
процессора, на который контроллер реагирует выдачей команды CALL;
Рисунок 2 - Интерфейс контроллера с системной шиной
А0 (адрес) - входной сигнал, адресующий внутренний регистр
контроллера при загрузке приказов и считывании состояния; обычно подключается к
младшей линии А0 шины адреса;2-0 (линии каскадирования) -
при наличии в системе нескольких контроллеров образуют локальную шину и
являются выходными линиями ведущего контроллера и входными - ведомых
контроллеров;
(ведомый) - линия определения контроллера как ведущего (
=1) или ведомого (
=0).
Контроллер воспринимает две разновидности приказов: приказы инициализации
ICW и рабочие приказы OCW.
1.2 Приказы инициализации
После включения питания каждый контроллер необходимо инициализировать
двумя или тремя приказами ICW, которые определяют наличие в системе одного или
нескольких контроллеров, начальный адрес подпрограмм обслуживания прерываний и
размещение подпрограмм в памяти через 4 или 8 байт.
Последовательность инициализации определяется первым приказом ICW1, и для
каждого контроллера ее необходимо закончить до поступления от периферийных
устройств запросов прерываний. Во время инициализации, которая выполняется с запрещенными
прерываниями процессора, сбрасываются схемы фиксации переходов сигналов IR,
регистры ISR и IMR, а также триггеры специальной маски и считывания состояния.
Входу IR7 автоматически присваивается низший приоритет, а входу IR0
- высший.
С каждым входом IR ассоциируется, адрес памяти, который выдается на шину
данных в ответ на импульсы
после выдачи кода операции CALL. Адреса для всех IR
расположены равномерно через 4 или 8 байт и обычно содержат таблицу переходов (команды
JMP) к соответствующим подпрограммам. Для каждого контроллера 32- или
64-байтные области памяти (иногда называемые страницами) могут находиться в
любом месте памяти, начиная с четной границы. Биты A15-6 адреса
передаются в ICW, а младшие биты A7-0 формируются в контроллере.
Значение А5 зависит от заданного интервала и для 4-байтного
интервала программируется в ICW1, а для 8-байтного интервала
устанавливается контроллером. Формат младшего байта адреса для каждого входа IR
приведен в таблице 1.
Таблица 1 - Формат младшего байта адреса
|
Вход
|
Интервал 4 байта
|
Интервал 8 байт
|
|
D7
|
D6
|
D5
|
D4
|
D3
|
D2
|
D1
|
D0
|
D7
|
D6
|
D5
|
D4
|
D3
|
D2
|
D1
|
D0
|
|
IR7
|
A7
|
A6
|
A5
|
1
|
1
|
1
|
0
|
0
|
A7
|
A6
|
1
|
1
|
1
|
0
|
0
|
0
|
|
IR6
|
A7
|
A6
|
A5
|
1
|
1
|
0
|
0
|
0
|
A7
|
A6
|
1
|
1
|
0
|
0
|
0
|
0
|
|
IR5
|
A7
|
A6
|
A5
|
1
|
0
|
1
|
0
|
0
|
A7
|
A6
|
1
|
0
|
1
|
0
|
0
|
0
|
|
IR4
|
A7
|
A6
|
A5
|
1
|
0
|
0
|
0
|
0
|
A7
|
A6
|
1
|
0
|
0
|
0
|
0
|
0
|
|
IR3
|
A7
|
A6
|
A5
|
0
|
1
|
1
|
0
|
0
|
A7
|
A6
|
0
|
1
|
1
|
0
|
0
|
0
|
|
IR2
|
A7
|
A6
|
A5
|
0
|
1
|
0
|
0
|
0
|
A7
|
A6
|
0
|
1
|
0
|
0
|
0
|
0
|
|
IR1
|
A7
|
A6
|
A5
|
0
|
0
|
1
|
0
|
0
|
A7
|
A6
|
0
|
0
|
1
|
0
|
0
|
0
|
|
IR0
|
A7
|
A6
|
A5
|
0
|
0
|
0
|
0
|
0
|
A7
|
A6
|
0
|
0
|
0
|
0
|
0
|
0
|
Форматы всех приказов инициализации приведены на рисунке 3. Значение
входа А0 указывается явно, оно должно быть определено при выполнении
команды OUT, загружающей приказ в контроллер. В приказе ICW1 бит F
(формат) определяет интервал адресов, а бит S идентифицирует наличие в системе
одного или нескольких контроллеров. Поле А7-5 содержит биты
загружаемого начального адреса. Приказ ICW2 содержит старший байт
начального адреса области памяти. В системе с несколькими контроллерами для
ведущего и всех ведомых контроллеров необходим третий приказ ICW3,
определяющий их взаимодействие и зависящий от физического подключения
контроллеров.
Рисунок 3 - Форматы приказов инициализации
После инициализации контроллер готов воспринимать запросы на входах IR7-0
в режиме вложенных прерываний. Входы IR7-0 имеют фиксированные
приоритеты: IR0 - высший, IR7 - низший. При подтверждении
прерывания идентифицируется запрос с наибольшим приоритетом и его вектор
выдается на шину данных. Кроме того, устанавливается соответствующий бит в ISR,
что блокирует восприятие прерываний от этого входа и всех входов с меньшими
приоритетами. Запросы от входов с большими приоритетами генерируют сигналы INT,
которые подтверждаются, если прерывания процессора разрешены командой EI в
текущей подпрограмме. (Напомним, что процессор автоматически запрещает
прерывания при восприятии сигнала INT, а после команды EI выполняет следующую
команду, даже если на входе INT действует высокий уровень). Каждая подпрограмма
обслуживания в режиме вложенных прерываний должна информировать контроллер о
своем завершении посредством загрузки в него приказа неадресуемого конца
прерывания EOI. Этот приказ выдается с А0=0 и D7-0=20Н и
сбрасывает установленный бит регистра ISR с максимальным приоритетом.
При наличии в системе нескольких контроллеров каждый из них
инициализируется автономно. Последовательность инициализации определяет адреса
подпрограмм для всех входов IR и взаимодействия ведущего и ведомых
контроллеров. Эту функцию выполняет приказ ICW3; он сообщает
ведущему контроллеру, какие его входы IR подключены к ведомым контроллерам, а
каждому ведомому - к какому входу IR ведущего контроллера подключен его выход
INT. Данный вход представлен полем идентификации ID2-0 в приказе ICW3
ведомого контроллера. Отметим, что каждый ведомый контроллер может быть
запрограммирован на работу в любом режиме.
1.3 Рабочие приказы
Приказами инициализации без всякой дополнительной информации любой из
контроллеров программируется для работы в режиме вложенных прерываний. Для
задания других режимов работы в контроллер необходимо загрузить дополнительные
рабочие приказы OCW, форматы которых приведены на рисунке 4.
Рисунок 4 - Форматы рабочих приказов
С помощью приказа OCW1, который загружается после
инициализации со значением А0=1, в любой момент времени программно
можно установить и сбросить отдельные биты регистра масок прерываний IMR.
Состояния триггеров этого регистра действуют на выходы регистра IRR, поэтому
даже при маскировании входа IR, сигнал запроса может установить соответствующий
бит IRR, но прерывание процессора не генерируется. После снятия маски
запомненный запрос может привести к формированию сигнала INT.
С помощью приказа OCW2 можно задать пять операций, приведенных
в таблице 2. Приказ неадресуемого конца прерывания EOI дает возможность
сбросить установленный бит регистра ISR с наибольшим приоритетом, а код
адресуемого EOI позволяет сбросить бит ISR, определяемый полем L2-0.
Первый из них рекомендуется для режима вложенных прерываний, а второй - для
всех остальных режимов, что упрощает отладку системы.
Таблица 2 - Варианты приказа OCW2
|
Приказ
|
A0
|
7
|
6
|
5
|
4
|
3
|
2
|
1
|
0
|
Операция
|
|
Неадресуемый EOI
|
0
|
0
|
0
|
1
|
0
|
0
|
0
|
0
|
0
|
Сброс бита ISR с максимальным приоритетом
|
|
Адресуемый EOI
|
0
|
0
|
1
|
1
|
0
|
0
|
L2
|
L1
|
L0
|
Сброс бита ISR определяемого полем L2-0
|
|
Установка приоритета
|
0
|
1
|
1
|
0
|
0
|
0
|
L2
|
L1
|
L0
|
Назначение входу IR, определяемому полем L2-0,
низшего приоритета
|
|
Автоцикл
|
0
|
1
|
0
|
1
|
0
|
0
|
0
|
0
|
0
|
Сброс бита ISR с максимальным приоритетом и назначение
соответствующего входу низшего приоритета
|
|
Адресуемый цикл
|
0
|
1
|
1
|
1
|
0
|
0
|
L2
|
L1
|
L0
|
Сброс бита ISR, определяемого полем L2-0, и
назначение ему низшего приоритета
|
Приказ установки приоритета позволяет программно задать устройство (вход
IR) с низшим приоритетом независимо от EOI, т. е. без изменения регистра ISR.
Поле L2-0 определяет вход IR, которому назначается низший приоритет,
а приоритеты остальных входов назначаются в круговом порядке.
Приказ автоцикла сбрасывает бит ISR с наибольшим приоритетом и входу IR,
соответствующему только что сброшенному биту, назначает низший приоритет.
Приоритеты остальных входов IR модифицируются также в круговом порядке.
Наконец, приказ адресуемого цикла обеспечивает сброс в конце подпрограммы
обслуживания бита ISR, адресуемого полем L2-0. Дополнительно
соответствующему входу IR назначается низший приоритет, а приоритеты остальных
входов упорядочиваются также в круговом порядке.
В таблице 3 приведена сводка приказов OCW3. Первый дополнительный режим
называется режимом специальной маски SMM. Пусть в некоторой подпрограмме
обслуживания имеется фрагмент, когда необходимо разрешить все прерывания, даже
от входов с меньшими приоритетами. Этого можно достичь приказом EOI сброса
соответствующего бита ISR. Однако сброс бита ISR необратим и прерывания от
устройств с меньшими приоритетами остаются разрешенными и после окончания
фрагмента, в котором они допустимы. Для временного прекращения действия бита
ISR служит приказ установки режима SMM. Когда задан этот режим, он действует до
его сброса специальным приказом. Установка режима специальной маски относится
ко всем замаскированным входам. Если, например, возникает запрос IR1, когда
установлен режим специальной маски, а затем подпрограмма маскирует его, то
запросы IR2 и IR3 с меньшими приоритетами будут
разрешены.
Следующий приказ OCW3 относится к режиму опроса, в котором для
идентификации периферийного устройства, запрашивающего обслуживания, процессор
опрашивает не сами устройства, а контроллер, который может работать в любом
режиме. Приказ опроса с установленным битом Р (D2=1) выдается в
контроллер командой OUT. Следующий импульс
, генерируемый при выполнении команды
IN, выдает на шину данных слово состояний прерываний. В этом слове старший бит
D7(I) фиксирует наличие прерывания, биты D6-3 не используются,
а биты D2-0 (поле W2-0) идентифицируют код имеющегося
запроса прерывания с наибольшим приоритетом.
Таблица 3 - Варианты приказа OCW3
|
Приказ
|
А0
|
6
|
5
|
4
|
3
|
2
|
1
|
0
|
Операция
|
|
Установка SMM
|
0
|
X
|
1
|
1
|
0
|
1
|
0
|
0
|
0
|
Установка режима специальной маски
|
|
Сброс SMM
|
0
|
X
|
1
|
0
|
0
|
1
|
0
|
0
|
0
|
Сброс режима специальной маски
|
|
Режим опроса
|
0
|
X
|
0
|
0
|
0
|
1
|
1
|
0
|
0
|
Опрос по следующему импульсу
|
|
Считывание ISR
|
0
|
X
|
0
|
0
|
0
|
1
|
0
|
1
|
1
|
Считывание ISR по следующему импульсу
|
|
Считывание IRR
|
0
|
X
|
0
|
0
|
0
|
1
|
0
|
1
|
0
|
Считывание IRR по следующему импульсу
|
|
|
|
|
|
|
|
|
|
|
|
|
|
Обслуживание запросов устройств осуществляется программной дешифрацией
считанного слова и переходом к соответствующей подпрограмме. Перед считыванием
всегда необходимо загрузить приказ OCW3. В том случае, когда прерывания
отсутствуют, считанное слово содержит I=0 и W2-0=111. Режим опроса
может оказаться удобным в системах с большим числом контроллеров, каждый из
которых должен быть правильно инициализирован (начальные адреса в приказах ICW
могут быть фиктивными).
Последняя функция OCW3 - считывание состояния контроллера,
представленного содержимым регистров IRR, ISR и IMR. Регистры считываются при
загрузке соответствующего приказа OCW3 с последующим выполнением команды IN или
подаче импульса
.
Не требуется записывать OCW3 перед каждым считыванием состояния, если
считывается тот же регистр, что и в предыдущей операции. Для считывания
содержимого регистра IMR не нужен приказ OCW3, так как на линиях
данных D7-0 контроллера находится это содержимое, если
=0 и А0= 1.
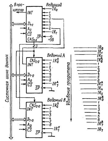
1.4 Каскадное включение контроллеров
Схема контроллера обеспечивает простое увеличение числа запросов
прерываний до 64. На рисунке 5 показана конфигурация с одним ведущим и двумя
ведомыми контроллерами, имеющая 22 входа запросов прерываний. Ведущий
контроллер определяется высоким уровнем сигнала на входе
, а у ведомых приборов этот вход
заземлен. Выходы INT ведомых контроллеров подключаются ко входам IR ведущего
контроллера. Все линии CAS2-0 соединяются параллельно и являются
выходными у ведущего и входными у ведомых контроллеров. Сигналами на этих
линиях ведущий контроллер выбирает соответствующий ведомый контроллер, который
передает в процессор адрес подпрограммы.
Рисунок 5 - Сопряжение трех контроллеров прерываний
Когда на входе IR ведомого прибора появляется сигнал запроса прерывания,
приоритет которого выше обслуживаемого им прерывания, на выходе INT формируется
высокий уровень. С учетом приоритета прерывания, обслуживаемого ведущим
контроллером, на его выходе INT появляется сигнал прерывания процессора. В
ответ на первый импульс INTA от процессора ведущий контроллер выдает на шину
данных код операции CALL, а на линии CAS2-0 - идентификатор ID2-0
прерывающего ведомого контроллера. Поэтому на второй и третий импульсы
ведомый прибор выдает
запрограммированный начальный адрес подпрограммы обслуживания. Кроме того,
устанавливаются соответствующие прерывающим входам биты регистров ISR обоих
контроллеров. Следовательно, при завершении подпрограммы обслуживания
необходимо выдать два приказа EOI: по одному для ведущего и ведомого
контроллеров.
При наличии в системе нескольких контроллеров каждый из них
инициализируется специальной последовательностью приказов. В таблице 4
приведена последовательность инициализации контроллеров, соединенных в
соответствии с рисунком 5. Таблица переходов ведущего контроллера начинается по
адресу 100Н, ведомого контроллера А - по адресу 120Н, ведомого контроллера В -
по адресу 140Н, и все имеют 4-байтный интервал. Приказ ICW3 ведущего
контроллера показывает наличие ведомых контроллеров на входах IR3 и
IR6, а поля ID2-0 в приказах ICW3 ведомых
контроллеров содержат 011 и 110.
Таблица 4 - Инициализация ведущего и ведомого контроллеров
|
Контроллер
|
Приказ
|
A0
|
D7
|
D6
|
D5
|
D4
|
D3
|
D2
|
D1
|
D0
|
|
|
Ведущий
|
ICW1
|
0
|
0
|
0
|
0
|
1
|
0
|
1
|
0
|
0
|
|
|
ICW2
|
1
|
0
|
0
|
0
|
0
|
0
|
0
|
0
|
1
|
|
|
ICW3
|
1
|
0
|
1
|
0
|
0
|
1
|
0
|
0
|
0
|
|
|
Ведомый А
|
ICW1
|
0
|
0
|
0
|
1
|
1
|
0
|
1
|
0
|
0
|
|
ICW2
|
1
|
0
|
0
|
0
|
0
|
0
|
0
|
0
|
1
|
|
ICW3
|
1
|
0
|
0
|
0
|
0
|
0
|
0
|
1
|
1
|
|
Ведомый В
|
ICW1
|
0
|
0
|
1
|
0
|
1
|
0
|
1
|
0
|
0
|
|
ICW2
|
1
|
0
|
0
|
0
|
0
|
0
|
0
|
0
|
1
|
|
ICW3
|
1
|
0
|
0
|
0
|
0
|
0
|
1
|
1
|
0
|
|
|
|
|
|
|
|
|
|
|
|
|
|
|
|
|
|
|
|
|
|
Разработка подпрограмм обслуживания прерываний для системы с несколькими
контроллерами ставит ряд проблем. Пусть ведущий контроллер и ведомый контроллер
А отреагировали на запрос прерывания (то есть установлены биты
и ISR3) и формируется
прерывание на входе
. Ведомый контроллер А сформирует сигнал INT, но ведущий
контроллер не воспримет его из-за установленного в регистре ISR бита ISR3
до получения приказа EOI. Этим нарушается вложенность прерываний, так как
приоритет запроса по входу
выше приоритета обслуживаемого запроса
.
Для решения этой проблемы подпрограмма обслуживания периферийного
устройства, сигнал прерывания которого подключен к ведомому контроллеру, должна
замаскировать у ведущего контроллера входы IR с меньшим приоритетом (в данном
случае IR7-4), а затем выдать в ведущий контроллер приказ EOI того
входа, к которому подключен ведомый контроллер. Этими действиями обеспечивается
восприятие ведущим контроллером прерываний с большим приоритетом (в
рассматриваемом примере
). Если входы ведущего контроллера с меньшими приоритетами не
замаскировать, он будет реагировать на запросы IR7-4, так как бит
ISR3 сброшен приказом EOI.
Подпрограмма должна также сохранять информацию о том, какой вход ведомого
прибора с наименьшим приоритетом обслуживается. Маски входов ведущего
контроллера должны сбрасываться при завершении подпрограммы обслуживания
прерывания с наименьшим приоритетом ведомого контроллера. Если обслуживается
только прерывание от входа
, то маски должны сбрасываться соответствующей ему
подпрограммой обслуживания. Но в рассмотренном выше примере подпрограмма входа
возвращается к подпрограмме
обслуживания прерывания
. Следовательно, подпрограмма, инициированная прерыванием
, должна не сбрасывать маски, а дать
возможность сбросить их подпрограмме обслуживания
. Это реализуется считыванием и
временным запоминанием содержимого регистра IMR ведущего контроллера при
вызовах подпрограмм прерываний ведомого контроллера с последующим
восстановлением содержимого IMR.
1.5 Выбор и обоснование направления проектирования
Так как выбранный контроллер приоритетных прерываний КР580ВН59 является
одной из микросхем микропроцессорного комплекта КР580, то целесообразно в
качестве остального оборудования также использовать микросхемы этого комплекта
или смежных. Однако, у стенда, спроектированного на данных элементах, есть
существенный недостаток - элементы этого комплекта больше не производятся, что
затрудняет их использование.
По этой причине более рациональным будет создание стенда по изучению
контроллера прерываний в виде программной модели. Для обеспечения наглядности
стенда и облегчения проектирования программу следует писать в визуально
ориентированной среде разработки. Наиболее подходящим средством разработки,
отвечающим данному требованию, является Borland C++ Builder. Он выгодно отличается
от аналогично продукта Microsoft Visual C++ простотой освоения и доступной
литературой.
2.
Специальная часть
2.1 Интерфейс программы
Средства разработки C++ Builder позволяют компоновать элементы управления
и индикации до написания кода программы. На рисунке 6 изображен интерфейс
программной модели стенда.
Рисунок 6 - Интерфейс стенда
Интерфейс стенда выполнен в виде структурной схемы контроллера прерываний
с рисунка 1а.
Органы управления и индикации:
. Линии запросов прерываний.
. Индикаторы приоритетов линий запроса прерываний.
. Регистр запросов прерываний.
. Переключатель запрета прерываний процессором.
. Кнопка запуска шифратора прерываний.
. Регистр маскирования линий запросов прерываний.
. Индикатор выполнения текущей программы.
. Регистр обрабатываемых запросов прерываний.
. Формирователь слова инициализации 1.
. Формирователь слова инициализации 2.
. Кнопка записи слов инициализации.
. Формирователь слова управления 2.
. Кнопка записи слова управления 2.
. Переключатель режима специальной маски.
. Индикатор старшего байта адреса.
. Индикатор младшего байта адреса.
. Кнопка повторной инициализации контроллера.
. Кнопка вызова инструкции по работе с программой.
2.2 Определение структуры
Программирование начинается с определения структуры Prior.Prior
{ int prior,nom; //переменные приоритета и номера канала запроса
прерываний*irq,*ocw1,*ocw2,*icw1,*icw2;*isr,*irr,*prior1,*highbyte,*lowbyte; };
Также определяем два экземпляра структуры.tmp, vozr[8], teksost[8];
Получается, что все члены данных структуры связаны с каждым элементом
этих двух массивов.
Далее необходимо для каждого элемента массива teksost[8], отвечающего за
связь канала запросов прерываний с соответствующими регистрами маски, запросов
прерываний, обрабатываемых прерываний, приоритета канала и т.д., определить
начальные параметры.__fastcall TForm1::FormCreate(TObject *Sender)
{[0].prior=10;[0].irq=CheckBox1;[0].ocw1=CheckBox9;[0].ocw2=CheckBox17;[0].irr=Label1;[0].isr=Label9;[0].nom=0;[0].prior1=Label18;[0].icw2=CheckBox34;[0].highbyte=Label26;[0].icw1=CheckBox26;[0].lowbyte=Label34;[7].prior=80;[7].irq=CheckBox8;[7].ocw1=CheckBox16;[7].ocw2=CheckBox24;[7].irr=Label8;[7].isr=Label16;[7].nom=7;[7].prior1=Label25;[7].icw2=CheckBox41;[7].highbyte=Label33;[7].icw1=CheckBox33;[7].lowbyte=Label41;
}
2.3 Инициализация
Перед началом работы с контроллером его необходимо инициализировать двумя
словами инициализации ICW1 и ICW2, позволяющими задать начальный адрес
подпрограмм обработки прерываний, а также интервал между адресами в 4 или 8
байт. Во время инициализации работа контроллера блокируется функцией UnEnable1
и становится возможной после нажатия кнопки «Запись», при этом, с помощью
функции AllDefault, регистры IRR, ISR и IMR будут сброшены, а низший приоритет
присвоен входу IRQ7.UnEnable1()
{i;(i=0;i<8;i++)
{[i].irq->Enabled=false;[i].ocw1->Enabled=false;[i].ocw2->Enabled=false;
}->CheckBox25->Enabled=false;->Button1->Enabled=false;->Button2->Enabled=false;->Button4->Enabled=false;
}AllDefault()
{i;(i=0;i<8;i++)
{((teksost[i].irq->Checked)==true)[i].irq->Checked=false;((teksost[i].ocw1->Checked)==true)[i].ocw1->Checked=false;(teksost[i].isr->Caption=="1")[i].isr->Caption="0";(teksost[i].lowbyte->Caption=="1")[i].lowbyte->Caption="0";(teksost[i].highbyte->Caption=="1");[i].highbyte->Caption="0";
}(Form1->CheckBox25->Checked==true)->CheckBox25->Checked=false;
}
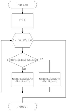
2.4 Регистр IRR
При появлении на одной из линий IRQ запроса прерывания, соответствующий
бит регистра запросов прерываний IRR должен выставляться в «1», а при
исчезновении обратно в «0». Данную операцию производит функция SetIRR.SetIRR()
{i;(i=0;i<8;i++)
{(teksost[i].irq->Checked)
{[i].irr->Caption="1";
}[i].irr->Caption="0";
}
}
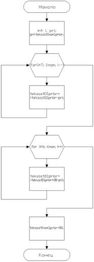
2.5 Шифратор приоритетов
Если на одной или нескольких линиях IRQ появляется запрос на прерывание,
то по нажатию кнопки «Шифратор приоритетов» произойдет сравнение приоритетов
незамаскированных каналов и будет выделен канал с наибольшим приоритетом. Если
обрабатываемых прерываний нет или их приоритет ниже приоритета, канала запрашивающего
прерывание то формируются старший и младший байты адреса подпрограммы обработки
прерывания этого канала, устанавливается в «1» соответствующий бит регистра
ISR, а также выводится уведомление о выполнении новой подпрограммы. В противном
случае ничего не произойдет.
Если включен режим специальной маски, то прерывания будут разрешены от
замаскированных, а также каналов с меньшим приоритетом.
Все вышеперечисленное действительно, если не задействован переключатель
«Запрет прерываний», иначе запросы на прерывания обрабатываться не будут.
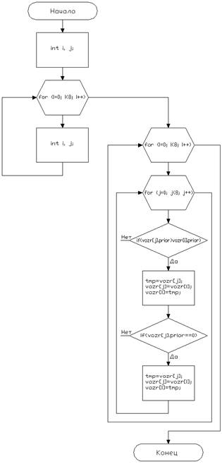
На рисунке 7 представлена блок-схема алгоритма обработки запросов
прерываний. Также ниже представлен код обработки события нажатия на кнопку
«Шифратор приоритетов».
Рисунок 7 - блок-схема алгоритма обработки запросов прерываний
__fastcall TForm1::Button1Click(TObject *Sender)
{i,j,num;flag=false;(!(CheckBox42->Checked)) //Проверка включения
запрета прерываний
{(!(CheckBox25->Checked)) //Проверка включения специальной маски
{();(i=0;i<8;i++)
{((vozr[i].irq->Checked)&&(!(vozr[i].ocw1->Checked)))
{(j=0;j<i;j++)
{(vozr[j].isr->Caption=="1") //Проверяется наличие уже
обрабатываемых=true; //прерываний с большим приоритетом
}(!flag)
{[i].isr->Caption="1";=teksost[i].nom;();(num);
};
}
}
}
{(i=0;i<8;i++)
{(teksost[i].ocw1->Checked)[i].prior=0;
}();(i=0;i<8;i++)
{(vozr[i].irq->Checked)
{(j=0;j<i;j++)
{(vozr[j].isr->Caption=="1")=true;
}(!flag)
{[i].isr->Caption="1";=teksost[i].nom;();(num);
};
}
}
}
}();();
}
Функция GetMasPrior используется сортировки массива teksost[8] по
приоритету в сторону его уменьшения. На рисунке 8 представлена блок-схема
данной функции.
Рисунок 8 - Блок-схема функции GetMasPrior
GetMasPrior()
{i,j;(i=0;i<8;i++)
{[i]=teksost[i];
}(i=0;i<8;i++)
{(j=0;j<8;j++)
{(vozr[j].prior>vozr[i].prior)
{=vozr[j];[j]=vozr[i];[i]=tmp;
}(vozr[j].prior==0)
{=vozr[j];[j]=vozr[i];[i]=tmp;
}
}
}
}
Функция ShowPrior показывает текущее состояние приоритетов каналов
запроса прерываний.
Функция CheckTekProg выводит уведомления о выполняющейся в данный момент
подпрограмме обработки прерывания. На рисунке 9 приведена ее блок-схема.
Рисунок 9 - Блок-схема функции CheckTekProg
CheckTekProg()
{tek=0;i;run=false;();(i=0;i<8;i++)
{(vozr[i].isr->Caption=="1")
{=vozr[i].nom;=true;;
}
}(run)
{->Label17->Caption="Выполняется подпрограмма
обслуживания IRQ"+IntToStr(tek);
}Form1->Label17->Caption="Выполняется основная
программа";
}
Функции SetHighbyte и SetLowbyte используются для формирования
соответственно старшего и младшего байта адреса подпрограммы обработки
прерывания. Старший байт адреса формируется полностью из слова инициализации
ICW2. Младший же байт формируется, в зависимости от интервала между адресами
подпрограмм в 4 или 8 байт, соответственно тремя или двумя старшими битами
слова инициализации ICW1, а также двоичным кодом номера канала запроса
прерывания. Блок схема функции SetHighbyte представлена на рисунке 10, функции
SetLowbyte на рисунке 11.
Рисунок 10 - Блок-схема функции SetHighbyte
SetHighbyte()
{i;(i=0;i<8;i++)
{(teksost[i].icw2->Checked)[i].highbyte->Caption="1";[i].highbyte->Caption="0";
}
}
Рисунок 11 - Блок-схема функции SetLowbyte
SetLowbyte(int num)
{i;(teksost[5].icw1->Checked)
{(i=0;i<3;i++)
{(teksost[i].icw1->Checked)[i].lowbyte->Caption="1";[i].lowbyte->Caption="0";
}[5].lowbyte->Caption=num%2;[4].lowbyte->Caption=(num/2)%2;[3].lowbyte->Caption=(num/4)%2;
}
{(i=0;i<2;i++)
{(teksost[i].icw1->Checked)[i].lowbyte->Caption="1";[i].lowbyte->Caption="0";
}[4].lowbyte->Caption=num%2;[3].lowbyte->Caption=(num/2)%2;[2].lowbyte->Caption=(num/4)%2;[5].lowbyte->Caption="0";
}
}
2.6 Слово управления OCW2
Слово управления OCW2 имеет пять модификаций и указывает вид конца
обслуживания прерывания, а также вид установки дна и дно приоритетного кольца.
Слово управления вступает в силу после нажатия кнопки «Запись».
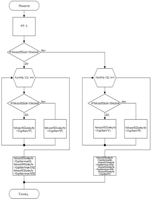
2.6.1 Неадресуемый конец прерывания
Формируется установкой в «1» бита 5 и сбрасывает бит ISR, соответствующий
последнему обслуженному запросу. Блок-схема алгоритма неадресуемого конца
прерывания представлена на рисунке 12.
Рисунок 12 - Блок-схема алгоритма неадресуемого конца прерывания
i,nom,pri,num;
//Неадресуемый
EOI((!(CheckBox17->Checked))&&(!(CheckBox18->Checked))
&&((CheckBox19->Checked)))
{();(i=0;i<8;i++)
{(vozr[i].isr->Caption=="1")
{[i].isr->Caption="0";;
}
}();
}
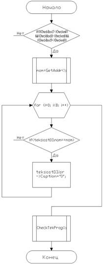
2.6.2 Адресуемый конец прерывания
Данный приказ устанавливает в нулевое состояние бит регистра ISR, номер
которого указан двоично-десятичным кодом в разрядах 2-0, при этом разряды 6 и 5
также должны быть выставлены в «1». На рисунке 13 представлена блок-схема этого
алгоритма.
Рисунок 13 - Блок-схема алгоритма адресуемого конца прерывания
((!(CheckBox17->Checked))&&((CheckBox18->Checked))
&&((CheckBox19->Checked)))
{=GetAddr();(i=0;i<8;i++)
{(teksost[i].nom==nom)[i].isr->Caption="0";
}();
}
В данном алгоритме использована функция GetAddr для перевода номера
канала запроса из двоичной системы в десятичную.GetAddr()
{a1,a2,a3,res;(Form1->CheckBox22->Checked)a1=1; else
a1=0;(Form1->CheckBox23->Checked)a2=1; else
a2=0;(Form1->CheckBox24->Checked)a3=1; else a3=0;=a1*4+a2*2+a3;res;
}
2.6.3 Установка приоритета
Приказ установки приоритета позволяет задать вход IRQ с низшим
приоритетом без выполнения операции конца прерывания. Разряды 7 и 6 должны быть
выставлены в «1», а поле 2-0 определяет вход, которому будет назначен низший
приоритет, приоритеты остальных входов назначаются в круговом порядке.
На рисунке 14 представлена блок-схема алгоритма установки приоритета.
Рисунок 14 - Блок-схема алгоритма установки приоритета
(((CheckBox17->Checked))&&((CheckBox18->Checked))
&&(!(CheckBox19->Checked)))
{=GetAddr();();(nom);
}
Функция DefaultPrior служит для установки приоритетов входов в
стандартное положение (IRQ8 - минимальный, IRQ0 - максимальный).DefaultPrior()
{i;(i=0;i<8;i++)
{[i].prior=(i+1)*10;
}
}
Рисунок 15 - Блок-схема функции SetBottomPrior
SetBottomPrior(int nom)
{i,pri;=teksost[nom].prior;(i=7;i>nom;i--)
{[i].prior=teksost[i].prior-pri;
}(i=0;i<nom;i++)
{[i].prior=teksost[i].prior+(80-pri);
}[nom].prior=80;
}
Правильная работа функции возможна только при стандартном распределении
приоритетов ((IRQ8 - минимальный, IRQ0 - максимальный), поэтому она должна
работать в связке с функцией DefaultPrior.
2.6.4 Автоцикл
Данная команда вводит вид установки приоритета по последнему обслуженному
запросу. По этой команде устанавливается в нулевое состояние бит ISR,
соответствующий последнему обслуженному запросу, и этому же номеру запроса
присваивается низший уровень приоритета (дно приоритетного кольца).
На рисунке 16 изображена блок-схема алгоритма автоцикла.
Рисунок 16 - Блок-схема алгоритма автоцикла
check;=false;(((CheckBox17->Checked))&&(!(CheckBox18->Checked))
&&((CheckBox19->Checked)))
{();(i=0;i<8;i++)
{(vozr[i].isr->Caption=="1")
{[i].isr->Caption="0";=vozr[i].nom;=true;;
}
}(check==true)
{();(num);
}();
}
2.6.5 Адресуемый цикл
Команда вводит вид установки статуса приоритетов по указанию, с
выполнение обычного конца прерывания. По этой команде присваивается дно тому
входу IRQ, номер которого, в виде двоично-десятичного кода, указан в разрядах
2-0 этой команды, при этом устанавливается в нулевое состояние соответствующий
разряд ISR. Биты 7, 6 и 5 также должны быть выставлены в единичное положение.
Блок-схема алгоритма показана на рисунке 17.
Рисунок 17 - Блок-схема алгоритма адресуемого цикла
check1=false;(((CheckBox17->Checked))&&((CheckBox18->Checked))
&&((CheckBox19->Checked)))
{=GetAddr();(i=0;i<8;i++)
{((teksost[i].nom==nom)&&(teksost[i].isr->Caption=="1"))
{[i].isr->Caption="0";=true;;
}
}(check1==true)
{();(nom);
}();
}
3.
Экономическая эффективность проекта
В данной части дипломного проекта рассматриваются:
а) проектные затраты, включающие в себя затраты времени, заработной
платы участников дипломного проекта, затраты на материалы, энергетические
затраты;
б) затраты на внедрение и эксплуатацию создаваемой системы;
в) расчет эффективности созданной системы.
В данном дипломном проекте рассматривается создание лабораторного стенда
для исследования и изучения контроллера приоритетных прерываний.
План предстоящих работ представим в таблице 5.
Таблица 5 - План предстоящих работ
|
№ этапа
|
Наименование этапа
|
Срок исполнения, дни
|
Исполнитель
|
Коэф. загрузки
|
|
1
|
Постановка задачи
|
3
|
Руководитель проекта
|
0,9
|
|
|
|
Инженер-разработчик
|
0,1
|
|
2
|
Обзор литературы
|
8
|
Руководитель проекта
|
0,2
|
|
|
|
Инженер-разработчик
|
0,8
|
|
3
|
Составление плана работы
|
2
|
Руководитель проекта
|
0,8
|
|
|
|
Инженер-разработчик
|
0,2
|
|
4
|
Обзор стендов кафедры АЭП и ПЭ
|
7
|
Инженер-разработчик
|
1
|
|
5
|
Обзор языков программирования и программного обеспечения
|
5
|
Инженер-разработчик
|
1
|
|
6
|
Разработка интерфейса программы
|
9
|
Руководитель проекта
|
0,1
|
|
|
|
Инженер-разработчик
|
0,9
|
|
7
|
Разработка алгоритмов обработки запросов на прерывание
|
20
|
Руководитель проекта
|
0,1
|
|
|
|
Инженер-разработчик
|
0,9
|
|
8
|
Отладка программы
|
5
|
Инженер-разработчик
|
1
|
|
9
|
Технико-экономическое обоснование проекта
|
14
|
Консультант по эк. части
|
0,2
|
|
|
|
Инженер-разработчик
|
0,8
|
|
10
|
Безопасность и экологичность проекта
|
11
|
Консультант по экол. части
|
0,2
|
|
|
|
Инженер-разработчик
|
0,8
|
|
11
|
Оформление пояснительной записки и графической части
|
10
|
Руководитель проекта
|
0,2
|
|
|
|
Инженер-разработчик
|
0,8
|
|
12
|
Подготовка доклада по проекту
|
2
|
Руководитель проекта
|
0,2
|
|
|
|
Инженер-разработчик
|
0,8
|
Таким образом, занятость в разработке проекта составила 96 рабочих дней.
3.1 Расчет затрат на проектирование
В состав затрат на создание проекта лабораторного стенда для исследования
и изучения контроллера приоритетных прерываний включается стоимость всех
расходов для реализации комплекса работ, составляющих создание данной
разработки.
Расчет затрат на проектирование осуществляется по формуле 1:
((1)
где

-
затраты на оборудование, руб.;

-
затраты на амортизацию, руб.;

-
затраты на заработную плату, руб.;

-
отчисления на социальные взносы, руб.;

-
затраты на накладные расходы, руб.;

- затраты
на электроэнергию, руб.;

- прочие
затраты, руб.
3.1.1
Расчет затрат на оборудование и
материалы
Затраты на оборудование и материалы складываются из затрат на
приобретение оборудования и материалов для проектирования. В затраты также
включаются транспортные и монтажные расходы на это оборудование:
, (2)
где
- стоимость оборудования и материалов, руб;
-
затраты на транспортировку оборудования, руб.;
- затраты
на монтаж оборудования, руб.
Затраты
на транспортировку составляют 0,7% от стоимости оборудования:
(3)
Стоимость
монтажа составляет 0,5 % от стоимости оборудования:
(4)
Необходимое
оборудование и материалы для разработки системы представим в таблице 6.
Таблица
6 - Перечень оборудования и материалов, затраты на него
|
№
|
Наименование оборудования
|
Цена за ед., руб.
|
Кол-во, шт.
|
Стоимость
|
|
|
|
|
общая, руб.
|
трансп-ки, руб.
|
монтажа, руб.
|
балансо-вая, руб.
|
|
1
|
Компьютер AMD A-XP 2700+(2,3Ghz)/ 1,28GB/Radeon X1650Pro
512MB/440GB/ DVD±RW
|
20821,9
|
1
|
20821,9
|
145,8
|
104,1
|
21071,8
|
|
2
|
Монитор Samsung SyncMaster 940BF 2мс 19''
|
10079,0
|
1
|
10079,0
|
70,6
|
50,4
|
10199,9
|
|
3
|
Клавиатура BTC-5137 Black PS/2
|
224,0
|
1
|
224,0
|
1,6
|
1,1
|
226,7
|
|
4
|
Мышь проводная Logitech MX400, лазерная USB+PS/2
|
1220,0
|
1
|
1220,0
|
8,5
|
6,1
|
1234,6
|
|
5
|
Принтер Brother HL-2035R(A4 2400x600dpi 18ppm 8MB USB2.0)
|
3250,0
|
1
|
3250,0
|
22,7
|
16,2
|
3289,0
|
|
6
|
Бумага для копировальных аппаратов Снегурочка А4, 500
листов
|
160,0
|
1
|
160,0
|
1,1
|
0,8
|
161,9
|
|
Итого:
|
35754,9
|
250,3
|
178,7
|
36183,9
|
3.1.2 Расчет затрат на амортизацию
Затраты на амортизацию оборудования рассчитываются по формуле 5:
, (5)
где
- норма амортизации, %;
-
балансовая стоимость оборудования, руб.;
- срок
использования оборудования, дни;
- число
дней в году.
Таблица
7 - Затраты на амортизацию оборудования
|
№
|
Наименование оборудования
|
Балансовая стоимость, pуб.
|
Норма амортизации, %
|
Размер амортизационных отчислений, руб.
|
|
1
|
Компьютер AMD A-XP 2700+(2,3Ghz)/ 1,28GB/Radeon X1650Pro
512MB/440GB/ DVD±RW
|
21071,8
|
15
|
805,3
|
|
2
|
Монитор Samsung SyncMaster 940BF 2мс 19''
|
10199,9
|
15
|
389,8
|
|
3
|
Клавиатура BTC-5137 Black PS/2
|
226,7
|
15
|
8,7
|
|
4
|
Мышь проводная Logitech MX400, лазерная USB+PS/2
|
1234,6
|
15
|
47,2
|
|
5
|
Принтер Brother HL-2035R(A4 2400x600dpi 18ppm 8MB USB2.0)
|
3289,0
|
15
|
125,7
|
|
Итого:
|
1376,7
|
3.1.3 Расчет затрат на заработную плату проектировщиков
Затраты на заработную плату рассчитываются на каждом этапе проекта и
зависят от коэффициента загрузки работника на этапе, длительности этапа и
оклада инженера-проектировщика и руководителя проекта. Так как расчет
заработной платы осуществляется на 96 дня, расчет ведем через стоимость
среднедневной оплаты труда.
Среднедневная оплата труда рассчитывается по формуле 6:
(6)
(руб./день)
(руб./день)
(руб./день)
Фонд заработной платы исполнителей дипломного проекта при восьмичасовом
рабочем дне с учетом коэффициента загрузки каждого составит:
(7)
Общие
затраты на заработную плату проектировщиков составит:
(8)
= 3334,46+22070,07+1477,25=26881,78
3.1.4 Расчет отчислений на страховые взносы
Отчисления на страховые взносы составляют 34% от заработной платы и
состоят из отчислений в пенсионный фонд 26%, в федеральный фонд обязательного
медицинского страхования (ФФОМС) 5,1%, и в фонд социального страхования
(ФСС)2,9%.
(9)
3.1.5 Расчет накладных расходов
Накладные расходы принимаем в размере 7% от суммы фонда з/п и отчисления
на страховые взносы:
. (10)
3.1.6 Расчет
затрат на электроэнергию
Затраты на электроэнергию:
(11)
где
Р - мощность токоприемника, кВт;
Т
- время работы i-го токоприемника, ч;
-
коэффициент загрузки токоприемника по времени;

-
коэффициент загрузки токоприемника по мощности;
-
стоимость электроэнергии (одного
).
Так
как компьютер используется на этапах 5 - 12, то общее время его использования
составляет 76 дней. Продолжительность рабочего дня - 8 часов. Принтер
используется на этапах 9, 10, 11, 12 и необходим только на заключительных
стадиях, поэтому будем считать, что общее время его использования составит 10
дней. Причем продолжительность работы в день - около 20 минут.
Таблица
8 - Затраты на электроэнергию
|
№
|
Наиме-нование токопри-емника
|
Мощ-ность, кВт
|
Время использо-вания, ч
|
Цена за
1 руб.Коэф. загрузки по мощностиКоэф.
загрузки по времениЗатраты на электро-энергию, руб.
|
|
|
|
|
1
|
Компьютер AMD A-XP 2700+ (2,3Ghz)/ 1,28GB/ Radeon X1650Pro
512MB /440GB/ DVD±RW
|
0,45
|
608
|
1,5
|
0,9
|
1
|
369,4
|
|
2
|
Монитор Samsung SyncMaster 940BF 2мс 19''
|
0,038
|
608
|
1,5
|
0,9
|
1
|
31,2
|
|
3
|
Принтер Brother HL-2035R(A4 2400x600dpi 18ppm 8MB USB2.0)
|
0,45
|
80
|
1,5
|
1
|
0,04
|
2,2
|
|
Итого:
|
402,8
|
3.1.7 Расчет прочих затрат
Прочие затраты принимаем 2% от суммы всех предшествующих затрат, кроме
накладных:
(12)
3.1.8 Смета проектных затрат
Смету проектных затрат на разработку системы представим в таблице:
Таблица 9- Смета затрат на проект
|
№
|
Наименование затрат
|
Единица измерения
|
Значение показателя
|
|
1
|
Затраты на оборудование
|
руб.
|
36183,9
|
|
2
|
Затраты на амортизацию
|
руб.
|
1376,7
|
|
3
|
Затраты на заработную плату
|
руб.
|
26881,78
|
|
4
|
Отчисления на страховые взносы
|
руб.
|
9139,74
|
|
5
|
Накладные расходы
|
руб.
|
2521,5
|
|
6
|
Затраты на электроэнергию
|
руб.
|
402,8
|
|
7
|
Прочие затраты
|
руб.
|
|
Итого:
|
руб.
|
77986,12
|
3.2 Расчет затрат на монтаж
Затраты на монтаж рассчитываются по формуле 13:
(13)
где
_ затраты на заработную плату, руб.;
-
отчисления на страховые взносы, руб.;
-
затраты на накладные расходы, руб.;
-
затраты на прочие расходы, руб.
3.2.1 Расчет затрат на заработную плату монтирующего персонала
В данном проекте введение лабораторного стенда в работу предусматривается
установкой спроектированной программы на персональный компьютер. Для установки
нового программного обеспечения потребуется учебный мастер. Средняя заработная
учебного мастера составляет 5200 руб (оклад+30% районный коэффициент). Тогда
часовая тарифная ставка учебного мастера:
Работы
по созданию и установке планируется выполнить за 5 рабочих дней, то есть
Тогда затраты на заработную плату персонала,
участвующего в работах, составят:
3.2.2 Расчет отчислений на страховые взносы
Отчисления на страховые взносы составляют 34% заработной платы:
3.2.3 Расчет затрат на накладные и прочие расходы
Затраты на накладные расходы примем равными 10% от суммы затрат на
заработную плату и страховые взносы:
Затраты
на прочие расходы составляют 3% от суммы всех затрат, кроме накладных расходов:
3.2.4 Смета затрат на монтаж
Смета затрат на монтаж оформлена в таблице 10.
Таблица 10 - Смета затрат на монтаж
|
№ п/п
|
Статья затрат
|
Единица измерения
|
Сумма затрат
|
|
1
|
Затраты на заработную плату
|
руб.
|
1181,6
|
|
2
|
Страховые взносы
|
руб.
|
401,74
|
|
3
|
Затраты на накладные расходы
|
руб.
|
158,33
|
|
4
|
Затраты на прочие расходы
|
руб.
|
47,5
|
|
Итого:
|
руб.
|
1789,17
|
3.3 Расчет годовых эксплуатационных затрат
Годовые эксплуатационные затраты рассчитываются по формуле 14:
(14)
где
- затраты на оборудование, руб;
- годовые
затраты на амортизацию оборудования, руб;
- затраты
на заработную плату обслуживающего персонала, руб;
-
отчисления на страховые взносы, руб;
-
накладные расходы, руб;
- годовые
затраты на электроэнергию, руб;
- прочие
затраты, руб.
3.3.1 Расчет затрат на оборудование
Так как лабораторный стенд выполнен в виде программной модели,
устанавливаемой на персональный компьютер кафедры, то дополнительного
оборудования не требуется. Следовательно, затраты на оборудование и его амортизацию
будут равны 0.
3.3.2 Расчет затрат на заработную плату персоналу
Рассчитаем
затраты на заработную плату (
)
лаборанту, обслуживающему стенд. Стенд работает каждый рабочий день, то есть
160 часов в месяц.
Оклад
лаборанта СибГИУ составляет 3631 рублей. Рассчитаем месячную заработную плату
лаборанта, учитывая районный коэффициент - 1,3. Тогда заработная плата
лаборанта в месяц, с учетом поправки на районный коэффициент, составляет:
Годовой
фонд заработной платы составит:
3.3.3 Расчет отчислений на страховые взносы
Отчисления на страховые взносы составляют 34% от фонда заработной платы:
3.3.4 Расчет затрат на накладные расходы
Накладные расходы принимаем 7% от фонда заработной платы и страховых
взносов:
3.3.5 Расчет затрат на электроэнергию
Если стенд будет работать каждый рабочий день, то получится 160 часов в
месяц, а за год 1920 часов. По формуле (11) рассчитаем годовые затраты на
электроэнергию.
3.3.6 Расчет прочих затрат
Прочие затраты принимаем в размере 2% от суммы всех предшествующих
затрат, кроме накладных.
3.3.7 Смета затрат
Таблица 11 - Смета годовых эксплуатационных затрат
|
№
|
Наименование затрат
|
Ед. измерения
|
Значение показателя
|
|
1
|
Затраты на оборудование
|
руб.
|
0
|
|
2
|
Годовые затраты на амортизацию
|
руб.
|
0
|
|
3
|
Затраты заработную плату
|
руб.
|
56643,6
|
|
4
|
Страховые взносы
|
руб.
|
19258,8
|
|
5
|
Затраты на накладные расходы
|
руб.
|
5313,2
|
|
6
|
Затраты на электроэнергию
|
руб.
|
1296
|
|
7
|
Прочие затраты
|
руб.
|
1543,97
|
|
Итого:
|
руб.
|
84055,57
|
3.4 Экономическая эффективность проекта
Экономическая эффективность проектирования и внедрения лабораторного
стенда достигается за счет разницы в стоимости между готовым стендом серийного
производства и стендом изготовленным студентами.
Наиболее близким найденным аналогом является учебный лабораторный
комплекс SDK-2.0, выпускаемы научно-производственной фирмой «ЛМТ», стоимостью
10030 рублей.
Кроме экономического эффекта от внедрения лабораторного стенда повышается
качественный уровень подготовки специалистов, выпускаемых кафедрой АЭП и ПЭ.
Также экономия достигается за счет возможности самостоятельной отладки и
доработки стенда, что затруднительно при использовании другого стенда.
Таблица 12 - Технико-экономические показатели
|
№
|
Статья затрат
|
Единица измерения
|
Значение показателя
|
|
Проектные затраты
|
|
№
|
Наименование затрат
|
Единица измерения
|
Значение показателя
|
|
1
|
Затраты на оборудование
|
руб.
|
36183,9
|
|
2
|
Затраты на амортизацию
|
руб.
|
1376,7
|
|
3
|
Затраты на заработную плату
|
руб.
|
26881,78
|
|
4
|
Отчисления на страховые взносы
|
руб.
|
9139,74
|
|
5
|
Накладные расходы
|
руб.
|
2521,5
|
|
6
|
Затраты на электроэнергию
|
руб.
|
402,8
|
|
Итого:
|
руб.
|
77986,12
|
|
Затраты на монтаж
|
|
1
|
Затраты на заработную плату
|
руб.
|
1181,6
|
|
2
|
Страховые взносы
|
руб.
|
401,74
|
|
3
|
Затраты на накладные расходы
|
руб.
|
158,33
|
|
4
|
Затраты на прочие расходы
|
руб.
|
47,5
|
|
Итого:
|
руб.
|
1789,17
|
|
Эксплуатационные затраты
|
|
1
|
Затраты на оборудование
|
руб.
|
0
|
|
2
|
Годовые затраты на амортизацию
|
руб.
|
0
|
|
3
|
Затраты заработную плату
|
руб.
|
56643,6
|
|
4
|
Страховые взносы
|
руб.
|
19258,8
|
|
5
|
Затраты на накладные расходы
|
руб.
|
5313,2
|
|
6
|
Затраты на электроэнергию
|
руб.
|
1296
|
|
7
|
Прочие затраты
|
руб.
|
1543,97
|
|
Итого:
|
руб.
|
84055,57
|
|
Итого всех затрат:
|
руб.
|
163830,86
|
|
Экономия бюджета от разработки
|
руб.
|
10030
|
программа интерфейс шифратор прерывание
4.
Безопасность и экологичность дипломного
проекта
Безопасность труда зависит от уровня организации труда, параметров
окружающей (производственной) среды, от складывающихся в трудовом коллективе
социально-психологических отношений, и, наконец, от профессиональной подготовки
личности, психофизических особенностей человека. Поэтому следует рассмотреть
основные вопросы, касающиеся условий труду, безопасности и экологичности
проектируемого устройства, рассмотреть мероприятия по противопожарной
безопасности и чрезвычайным ситуациям.
4.1 Анализ условий труда
4.1.1 Микроклимат помещений
Микроклимат помещения - состояние внутренней среды помещения, оказывающее
воздействие на человека, характеризуемое показателями температуры воздуха и
ограждающих конструкций, влажностью и подвижностью воздуха.
Параметры микроклимата обслуживаемой зоны помещений жилых, общественных,
административных и бытовых зданий устанавливаются по ГОСТ 30494-96 [1].
Проектируемый стенд будет расположен в аудитории 303 главного корпуса
СибГИУ общей площадью 200 м2 и объемом 720 м3.
Аудитория, в которой устанавливается стенд, относится к помещениям второй
категории (помещения, в которых люди заняты умственным трудом, учебой).
Параметры, характеризующие микроклимат помещений:
· температура воздуха;
· скорость движения воздуха;
· относительная влажность воздуха;
В таблице 13 приведены параметры микроклимата в 303Г аудитории главного
корпуса СибГИУ, а также данные ГОСТа для данной категории помещения.
Таблица 13 - Параметры микроклимата в аудитории 303Г СибГИУ в холодное
время года.
|
Параметр
|
Значение
|
ГОСТ 30494-96
|
|
|
Оптимальная
|
Допустимая
|
|
Температура воздуха, °С
|
18-20
|
19-21
|
18-23
|
|
Результирующая температура, °С
|
16-20
|
18-20
|
17-22
|
|
Относительная влажность, %
|
40-50
|
45-30
|
не более 60
|
|
Скорость движения воздуха, м/с
|
0,20-0,25
|
не более 0,20
|
не более 0,30
|
Фактические значения не превышают допустимых согласно ГОСТ 30494-96
«Здания жилые и общественные. Параметры микроклимата в помещении».
4.1.2 Искусственное освещение
Проведём обследование условий освещения рабочего места. В настоящий
момент в аудитории 303г установлены 55 светильников с двумя лампами ЛД (ЛД -
люминесцентная лампа дневного света) в каждом. Все светильники в исправном
состоянии. Схема расположения светильников приведена на рисунке 18.
Рисунок
18 - Схема расположения светильников
Основной
метод расчета освещенности - по коэффициенту использования светового потока при
общем равномерном освещении с учетом света, отраженного стенами и потолком.
Расчет выполняем по формуле:
(15)
где E - освещенность рабочей поверхности, лк;= 2340 лм - световой поток
одной люминесцентной лампы ЛД, мощностью 40 Вт;= 20*10 = 200 (м2) -
площадь помещения;= 1,1 - поправочный коэффициент для люминесцентных ламп, учитывающий
неравномерность освещения;= 1,3 - коэффициент запаса, учитывающий снижение
освещенности при эксплуатации (СНиП 23-05-95);= 55 - количество светильников в
аудитории;= 2 - количество ламп в светильнике;
η = 0,57 - коэффициент использования светового
потока, для определения которого нужно знать коэффициенты отражения стен,
потолка и рабочей поверхности ρ = 70%, а также индекс помещения I.
((16)
где A и B - длина и ширина помещения;=2,7 - расстояние от источника света
до рабочей поверхности.
= H - hС - hР = 3,6-0,1-0,7 = 2,8, где
= 3,6м - высота помещения;С = 0,1м - высота свеса светильникаР
= 0,7 - высота рабочей поверхности.
По полученным данным можно рассчитать освещенность рабочей поверхности:
лк
При
использовании электрических источников света, согласно СНиП 23-05-95, для
помещений с разрядом зрительной работы IIIв (высокой точности, свыше 0,3-0,5мм,
со средним контрастом объекта с фоном) нормативная освещенность составляет 200
лк.
Таким образом, освещение в аудитории 304г полностью удовлетворяет
требованиям СНиП 23-05-95 и не нуждается в доработке.
4.1.3 Нормирование шума
Согласно ГОСТ 12.1.003-83 помещение аудитории 304Г соответствует первому
классу помещений по шумовым нормативам.
Таблица 14 - Допустимые значения уровней звукового давления
|
Вид трудовой деятельности, рабочие места
|
Уровни звукового давления, дБ, в составных полосах со
среднегеометрическими частотами, Гц
|
Уровни звука и эквивалентные уровни звука, ДБА
|
|
31,5
|
63
|
125
|
250
|
500
|
1000
|
2000
|
4000
|
8000
|
|
|
Измерительные и аналитические работы в лаборатории
|
93
|
79
|
70
|
63
|
58
|
55
|
52
|
50
|
49
|
60
|
4.1.4 Вибрация
В аудитории 303г отсутствуют механизмы, обеспечивающие неблагоприятное
воздействие вибрации на организм человека.
4.1.5 Электробезопасность
Согласно классификации помещений по опасности поражения электрическим
током лаборатория относится к группе с повышенной степенью опасности поражения
электрическим током, т.к. имеется, большое количество оборудования и
возможности одновременного прикосновения человека к металлическим частям,
имеющим соединение с землей, и металлическим корпусам электрооборудования,
которые могут оказаться под напряжением при повреждении изоляции.
Для обеспечения защиты от случайного прикосновения к токоведущим частям
необходимо применять следующие способы и средства:
защитные оболочки;
защитные ограждения (временные или стационарные);
безопасное расположение токоведущих частей;
изоляция токоведущих частей (рабочая, дополнительная, усиленная, двойная);
изоляция рабочего места;
малое напряжение;
защитное отключение;
предупредительная сигнализация, блокировка, знаки безопасности.
Для обеспечения защиты от поражения электрическим током при прикосновении
к металлическим нетоковедущим частям, которые могут оказаться под напряжением в
результате повреждения изоляции, применяют следующие способы:
выравнивание потенциала;
система защитных проводов;
защитное отключение;
изоляция нетоковедущих частей;
электрическое разделение сети;
малое напряжение;
контроль изоляции;
компенсация токов замыкания на землю;
средства индивидуальной защиты;
защитное заземление;
защитное зануление;
Технические способы и средства применяют раздельно или в сочетании друг с
другом так, чтобы обеспечивалась оптимальная защита.
Защитное зануление - преднамеренное электрическое соединение с нулевым
защитным проводником металлических нетоковедущих частей, которые могут
оказаться под напряжением.
Принцип действия: происходит замыкание на корпус при однофазном КЗ, т.е.
замыкание между фазным и нулевым проводом с целью создания большого тока,
способного вызвать срабатывание защиты, такой защитой могут быть плавкие
предохранители.
Схемы защитного зануления обязательно должны включать:
- нулевой защитный проводник
- заземление нейтрали
- повторное заземление нулевого проводника
Нулевой защитный проводник (необходим для создания тока КЗ), согласно
ПУЭ, должен иметь проводимость не менее половины проводимости фазного
проводника.
Заземление нейтрали необходимо для снижения до безопасных значений
напряжения относительно земли нулевого проводника и присоединенных к нему
корпусов при случайных замыканиях фазы на землю.
Нулевой защитный проводник должен быть тщательно проложен (без обрывов).
На нем запрещается устанавливать рубильники, предохранители.
Питание лабораторного электрооборудования должно осуществляться от сети
не более 220 В при частоте 50 Гц. Сопротивление изоляции токоведущих частей
электроустановок до первого автомата максимальной токовой защиты должно быть не
менее 0,5 МОм.
4.2 Эргономичность
Конструкция рабочего места и взаимное расположение всех его элементов
(сиденье, органы управления, средства отображения информации и т.д.) должны
соответствовать антропометрическим, физиологическим и психологическим
требованиям, а также характеру работы.
Конструкцией рабочего места должно быть обеспечено выполнение трудовых
операций в пределах зоны досягаемости моторного поля. Зоны досягаемости
моторного поля в вертикальной и горизонтальной плоскостях для средних размеров
тела человека приведены на рисунках 2 и 3.
Рисунок 19 - Зона досягаемости моторного поля в вертикальной плоскости
Рисунок 20 - Зона досягаемости моторного поля в горизонтальной плоскости
при высоте рабочей поверхности над полом 725 мм
При проектировании оборудования и организации рабочего места следует
учитывать антропометрические показатели женщин (если работают только женщины) и
мужчин (если работают только мужчины); если оборудование обслуживают женщины и
мужчины - общие средние показатели женщин и мужчин.
Рисунок 21 - Зоны для выполнения ручных операций и размещения органов
управления
- зона для размещения наиболее важных и очень часто используемых органов
управления (оптимальная зона моторного поля); 2 - зона для размещения часто
используемых органов управления (зона легкой досягаемости моторного поля); 3 -
зона для редко используемых органов управления (зона досягаемости моторного
поля)
Рисунок 22 - пространство для ног (ширина не менее 500 мм)
а - расстояние от сиденья до нижнего краярабочей поверхности не менее 150
мм; h - высота пространства для ног не менее 600 мм
4.3 Пожарная безопасность
Все помещения по взрывопожарной и пожарной опасности делятся на категории
А-Д. Существует методика определения категорий помещений и зданий
производственного и складского назначения по взрывопожарной и пожарной
опасности в зависимости от количества и пожаровзрывоопасных свойств,
находящихся в них веществ и материалов с учетом особенностей технологических
процессов размещенных в них производств. Эта методика устанавливается нормами
пожарной безопасности НПБ 105-03.
Сибирский государственный индустриальный университет по взрывопожарной и
пожарной опасности относится к категории Д.
Таблица 15 - Категории помещений по взрывопожарной и пожарной опасности
|
Категория помещения
|
Характеристика веществ и материалов, находящихся
(обращающихся) в помещении
|
|
Д пожароопасные
|
Для производств, в которых используются, в холодном
состоянии, негорючие вещества и материалы.
|
Причины пожаров могут быть электрического и неэлектрического характера.
К причинам электрического характера относятся:
искрение в электрических аппаратах, машинах, электрические разряды;
токи коротких замыканий, нагревающие проводники до высокой температуры,
при которой может возникнуть воспламенение их изоляции;
плохие контакты в местах соединения проводов, когда вследствие большого
переходного сопротивления выделяется большое количество тепла;
Причинами пожаров и взрывов неэлектрического характера могут быть:
неосторожное обращение с огнем;
неисправность оборудования, в результате которой возможно выделение
горючих газов, паров или пыли в воздушную среду;
Главной причиной возникновения пожара в СибГИУ может являться замыкание
электропроводки или возгорание ЭВМ. В качестве противопожарных средств
используются внутренние пожарные краны и наружные пожарные гидранты, первичные
средства пожаротушения.
В СибГИУ установлен соответствующий пожарной опасности противопожарный
режим, в том числе:
определен порядок обесточивания электрооборудования в случае пожара;
определены порядок и сроки прохождения противопожарного инструктажа.
На каждом этаже установлены огнетушители ОХП-10.
Определено лицо, ответственное за приобретение, ремонт, сохранность и
готовность к действию первичных средств пожаротушения. Каждый огнетушитель,
устанавливаемый на объекте, имеет порядковый номер, нанесенный на корпус белой
краской, на него заведен паспорт по установленной форме.
Для тушения загорания и пожаров в начальной стадии их развития
применяются огнетушители:
углекислотные, ОУ-02, ОУ-5;
порошковые ОП-3, ОП-6.
Пожарная безопасность обеспечивается мерами пожарной профилактики и
усилиями отдела Пожарной безопасности.
Для безопасности работы кабельные линии покрываются теплоизоляционными
материалами. Здание оснащено пожарной сигнализацией в соответствии с
требованиями НПБ 166-97.
В лаборатории кафедры установлены тепловые датчики, срабатывающие при
определенной максимальной температуре.
Имеется план эвакуации в случае пожара.
Рисунок 23 - План эвакуации
4.4 Пожаробезопасность электрооборудования
Проектирование, монтаж, наладка, эксплуатация электрических сетей,
электроустановок и электротехнических изделий, а также контроль над их
техническим состоянием необходимо осуществлять в соответствии с техническими
нормами устройства электроустановок (далее - ТНУЭ), нормами технической
эксплуатации электроустановок потребителей (далее - НТЭ), нормами техники
безопасности при эксплуатации электроустановок потребителей (далее - НТБ).
Электродвигатели, электрические светильники, аппараты управления,
пускорегулирующая, контрольно-измерительная и защитная аппаратура,
вспомогательное оборудование, электропроводки и кабельные линии должны иметь
исполнение и степень защиты, соответствующие классу зон по ТНУЭ.
Все электроустановки должны быть защищены аппаратами защиты от токов
короткого замыкания и других ненормальных режимов, могущих привести к пожарам и
загораниям. Плавкие вставки предохранителей должны быть калиброваны с указанием
на клейме номинального тока вставки (клеймо ставится заводом изготовителем или
электротехнической лабораторией).
Все токоведущие части, распределительные устройства, аппараты и измерительные
приборы, а также предохранительные устройства разрывного типа, рубильники, и
все прочие пусковые аппараты и приспособления должны монтироваться только на
негорючих основаниях (мрамор, текстолит, гетинакс).
Соединения, оконцевания и ответвления жил проводов и кабелей во избежание
опасных в пожарном отношении переходных сопротивлений необходимо производить
при помощи опрессовки, сварки, пайки или специальных зажимов.
Устройство и эксплуатация электросетей-времянок не допускается.
Исключением могут быть временные иллюминационные установки и электропроводки,
питающие места производства строительных и временных ремонтно-монтажных работ.
Переносные светильники должны быть оборудованы защитными стеклянными
колпаками и сетками. Для этих светильников и другой переносной
электроаппаратуры надлежит применять гибкие кабели и провода с медными жилами,
специально предназначенных для этой цели, с учетом возможных механических
воздействий.
Электроустановки и бытовые электроприборы в помещениях, в которых по
окончании рабочего времени отсутствует дежурный персонал, должны быть
обесточены, за исключением дежурного освещения, установок пожаротушения и
противопожарного водоснабжения, пожарной и охранно-пожарной сигнализации.
Другие электроустановки и электротехнические изделия (в том числе в жилых
помещениях) могут оставаться под напряжением, если это обусловлено их
функциональным назначением и (или) предусмотрено требованиями инструкции по
эксплуатации.
Не допускается прокладка и эксплуатация воздушных линий электропередачи
(в том числе временных и проложенных кабелем) над горючими кровлями, навесами,
а также открытыми складами (штабелями, скирдами) горючих веществ, материалов и
изделий.
Осветительную электросеть следует монтировать так, чтобы светильники не
соприкасались со сгораемыми конструкциями зданий и горючими материалами.
Электродвигатели, светильники, проводки, распределительные устройства
должны очищаться от горючей пыли не реже двух раз в месяц, а в помещениях со
значительным выделением пыли - не реже четырех раз в месяц.
При эксплуатации электроустановок не допускается:
) использовать приемники электрической энергии (электроприемники) в
условиях, не соответствующих требованиям инструкций организаций-изготовителей,
или приемники, имеющие неисправности, а также эксплуатировать электропровода и
кабели с поврежденной или потерявшей защитные свойства изоляцией;
) пользоваться поврежденными розетками, рубильниками, другими
электроустановочными изделиями;
) обертывать электролампы и светильники бумагой, тканью и другими горючими
материалами, а также эксплуатировать светильники со снятыми колпаками
(рассеивателями), предусмотренными конструкцией светильника;
) пользоваться электроутюгами, электроплитками, электрочайниками и
другими электронагревательными приборами, не имеющими устройств тепловой
защиты, без подставок из негорючих теплоизоляционных материалов, исключающих
опасность возникновения пожара. Эксплуатация электронагревательных приборов при
отсутствии или неисправности терморегуляторов, предусмотренных, конструкцией не
допускается;
) применять нестандартные (самодельные) электронагревательные приборы,
использовать самодельные устройства защиты от перегрузки и короткого замыкания;
) размещать (складировать) у электрощитов, электродвигателей и пусковой
аппаратуры горючие (в том числе легковоспламеняющиеся) вещества и материалы;
) прокладывать транзитные электропроводки и кабельные линии через
складские помещения, а также через взрывоопасные и пожароопасные зоны с
нарушением ТНУЭ;
) применять электронагревательные приборы во всех взрывопожароопасных и
пожароопасных помещениях.
Неисправности в электросетях и электроаппаратуре, которые могут вызвать
искрение, короткое замыкание, сверхдопустимый нагрев горючей изоляции кабелей и
проводов немедленно устраняются дежурным персоналом. Неисправную электросеть
следует отключить до приведения ее в пожаробезопасное состояние.
4.5 Экологичность проекта
Так как лабораторный стенд состоит в основном из микросхем и прочих
радиодеталей, то требуется решение такого вопроса, как утилизация печатных
плат, микросхем, содержащих драгоценные металлы и т.д.
При разборке средств вычислительной техники образуются материалы и
изделия, которые имеют материальную ценность и подлежат реализации.
Таблица 16 - Виды материалов и изделий, подлежащих реализации при
комплексной переработке СВТ
|
№ п.п.
|
Вид материалов или изделий
|
Характеристика
|
|
1
|
Печатные платы, разъемы и соединители, микросхемы
|
вторичные драгоценные металлы
|
|
2
|
Электрические провода и кабели, соединители
|
вторичная медь и её сплавы
|
|
3
|
Свинец и олово из печатных плат
|
вторичные припойные пасты (олово и свинец)
|
|
4
|
Танталовые конденсаторы К-53-1
|
вторичный тантал
|
|
5
|
Некоторые корпуса компьютеров, дисковод и т.д.
|
алюминиевые сплавы
|
|
6
|
Корпуса стоек, ячеек, шкафов, компьютеров
|
сталь
|
|
7
|
Крепежные изделия
|
болты, гайки, винты
|
|
8
|
Вентиляторы и электромоторы
|
по паспорту СВТ
|
|
9
|
Пластиковая "фракция"
|
стеклотекстолит, пластмасса разъёмов и соединителей
|
|
10
|
Экраны компьютеров
|
стеклофаза, содержащая Рв, Сd, CdS, редкоземельные металлы
|
Микросхемы являются наиболее распространенными элементами электронной
техники и представляют собой многослойные, небольшие по размерам устройства,
собранные в пластиковых или керамических корпусах. Токовводы обычно
изготавливаются из магнитных железоникелевых сплавов типа "платинит"
или "ковар", покрываются тонким слоем золота или серебра и
присоединяются к полупроводниковому кристаллу, закрепленному на подложке из
корунда или дуралюмина. Содержание благородных металлов (Au, Ag, Pd) в
микросхемах обычно невелико (0,1-1,0%) и зависит от типа изделий. Используемая
для изготовления корпуса микросхем пластмасса содержит до 60-70% наполнителя
(кремнезем, глинозем, тальк). Сходное с описанным устройство имеют также
транзисторы, диоды и разъемы.
Известен способ переработки лома изделий электронной промышленности,
содержащих золото в форме покрытий на металлических деталях [2]. Данный способ
предусматривает избирательное растворение золотого покрытия в растворителе,
инертном по отношению к материалу основы. В качестве растворителя могут использоваться
растворы тиомочевины, роданистого аммония или йода. Использование
способа-аналога для переработки микросхем, транзисторов и других изделий
электронной техники, содержащих благородные металлы, как правило, на внутренних
поверхностях изделий в сочетании со стеклом, металлокерамикой и пластиком, - не
позволяет перевести в раствор благородные металлы с достаточной полнотой.
Также существует способ переработки лома изделий электронной техники,
согласно которому электронный лом сначала измельчают в молотковой дробилке до
крупности 25,4-6,35 мм, затем измельченный материал подвергают магнитной
сепарации с получением магнитной и немагнитной фракций, которые перерабатывают
раздельно. Магнитную фракцию, содержащую благородные металлы на железоникелевой
основе, используют в качестве реагента металлургического производства -
цементирующий агент в процессе цементации меди из ее растворов. Из немагнитной
фракции выделяют в качестве концентрата благородных металлов металлические
составляющие путем использования электростатической сепарации и сепарации с
помощью вихревых токов [3].
К недостаткам способа относятся: необходимость использования сложного
дорогостоящего оборудования, большая длительность цикла извлечения благородных
металлов, чему способствует, в частности, низкое содержание их в целевых
продуктах сепарации лома.
4.6 Чрезвычайные ситуации
Сибирский государственный индустриальный университет является одним из
крупнейших образовательных учреждений в Кузбассе. Поэтому очень важным является
предупреждение возможных чрезвычайных ситуаций (ЧС).
ЧС бывают природного, техногенного и социального характера.
Наиболее вероятные ЧС - это землетрясения, так как Новокузнецк находится
в сейсмоопасном районе. Не исключена также вероятность террористических актов
ввиду одновременного большого скопления людей на территории университета. ЧС
техногенного характера также вероятны, но менее опасны, так как в лабораториях
университета почти нет опасных производств.
Способы оповещения при ЧС
Звучание сирен, прерывистые гудки предприятий и транспортных средств
означает подачу предупредительного сигнала «Внимание всем!»
Услышав его, следует немедленно включить громкоговоритель, радио
телеприемник (в любое время суток), прослушайте экстренное сообщение по делам
ГО и ЧС.
После сигнала «Внимание всем!» может последовать и другая информация,
например, об угрозе возникновения ЧС, о надвигающейся опасности радиоактивного
или химического заражения, возникновения «Воздушной опасности». В этих случаях
будет передано краткое сообщение о порядке действий и правилах поведения при
данной ЧС.
В рабочее время можно получить информацию о передаче сигнала «Внимание
всем!» от руководителей университета (штаб по делам ГО и ЧС).
Действовать необходимо по их указаниям. Следует соблюдать спокойствие и
порядок. Необходимо быть внимательным к сообщениям работников гражданской
обороны.
4.6.1 Поведение людей в случае землетрясения
Землетрясения - это сильные колебания земной коры, вызываемые
тектоническими или вулканическими причинами и приводящие к разрушению зданий,
сооружений, пожарам и человеческим жертвам.
Землетрясения наносят большой материальный ущерб и уносят тысячи
человеческих жизней. Они вызывают и другие стихийные бедствия, такие, как
оползни, лавины, сели, цунами, наводнения (из-за прорыва плотин), пожары (при
повреждении нефтехранилищ и разрыва газопроводов), повреждения коммуникаций,
линий энерго-, водоснабжения и канализации, аварии на химических предприятиях с
истечением (разливом) СДЯВ, а также на АЭС с утечкой (выбросом) РВ в атмосферу
и др .
Правила поведения человека при землетрясении, происходящем в помещении:
Главное - уберечься от осколков стекла и тяжелых предметов;
Если человек находится на первом этаже здания, необходимо немедленно
покинуть помещение, отойти от здания на не менее как 1/3 его высоты, занять
безопасное место подальше от деревьев, столбов, ограждений, опор линий
электропередач, памятников и т.д;
Если землетрясение застало на втором этаже и выше, ни в коем случае не
пытаться выйти на улицу. Следует занять безопасное место в помещении. Это могут
быть прорезы капитальных внутренних стен, а также образованные ими углы. От
обломков штукатурки и стекла можно защитить себя, спрятавшись под стол;
Не следует выбегать из здания во время землетрясения. Обломки, которые
падают рядом с домом, представляют собой наибольшую опасность. Лучше искать
спасение там, где вы находитесь, дождаться конца землетрясения, а потом
спокойно покинуть помещение;
Как только толчки прекратятся, необходимо покинуть помещение. Опасными
являются карнизы, трубы. Необходимо как можно скорее отойти от дома, столбов,
ограждений. Лучше всего находится на открытой площадке, пустыре, в сквере.
После первых толчков могут произойти еще несколько серий, поэтому
необходимо быть чрезвычайно внимательными и действовать быстро.
4.6.2 Действия в случае совершения теракта(взрыва)
1. Немедленно покинуть место происшествия, так как рядом могут
находиться дополнительные взрывные устройства
2. Держаться подальше от высоких зданий, стеклянных витрин или
транспортных средств.
. Если рядом находятся сотрудники правоохранительных органов,
следовать их указаниям.
. Если сотрудники правоохранительных органов еще не прибыли,
немедленно позвонить им
. Владея информацией, которая поможет задержать подозреваемых и
определить местонахождение транспортного средства, причастного к теракту,
оперативно сообщить об этом в правоохранительные органы.
. Действия при поступлении угрозы по телефону, в письменной или
электронной форме.
. Передать полученную информацию в максимальном объеме в правоохранительные
органы и руководству организации.
4.6.3 Действия при захвате заложников
Когда происходит захват заложников следует помнить, что:
• Только в момент захвата заложников есть реальная возможность скрыться с
места происшествия.
• Настроиться психологически, что моментально не освободят, но помнить,
что освободят обязательно.
• Ни в коем случае нельзя кричать, высказывать свое возмущение.
• Запомнить как можно больше информации о террористах. Целесообразно
установить их количество, степень вооруженности, составить максимально полный
словесный портрет, обратив внимание на характерные особенности внешности,
телосложения, акцента и тематики разговоров, темперамента, манер поведения и
др. Подробная информация поможет правоохранительным органам в установлении
личности террористов.
• По возможности расположиться подальше от окон, дверей и самих
похитителей, т.е. в местах большей безопасности в случае, если
спецподразделения предпримут активные меры (штурм помещения, огонь снайперов на
поражение преступников и др.).
• Не оказывать агрессивного сопротивления, не делайте резких и угрожающих
движений, не провоцируйте террористов на необдуманные действия. Не допускать
действий, которые могут спровоцировать нападающих к применению оружия и
привести к человеческим жертвам.
• По возможности избегать прямого зрительного контакта с похитителями.
• С самого начала (особенно первые полчаса) выполнять все приказы и
распоряжения похитителей. На совершение любых действий (сесть, встать, попить,
сходить в туалет следует спрашивать разрешение).
• Вести себя спокойно, сохранять при этом чувство собственного
достоинства. Не высказывать категоричных отказов, но не бояться обращаться со
спокойными просьбами о том, в чем остро нуждаетесь.
• При наличии у проблем со здоровьем, которые в данной ситуации сильного
стрессового состояния могут проявиться, заявить об этом в спокойной форме
захватившими Вас людям.
• Постепенно, с учетом складывающейся обстановки, можно повышать уровень
просьб, связанных с улучшением вашего комфорта.
При длительном нахождении в положении заложника:
• Не допускать возникновения чувства жалости, смятения и замешательства.
Мысленно подготовить себя к будущим испытаниям. Сохраняйте умственную
активность.
• Избегайте возникновения чувства отчаяния, используйте для этого
внутренние ресурсы самоубеждения.
• Надо думать и вспоминать о приятных вещах..
• Постоянно находитть себе какое-либо занятие (физические упражнения,
чтение, жизненные воспоминания и т. д.).
• Для поддержания сил есть все, что дают, даже если пища не нравится и не
вызывает аппетита.
• Не следует брать в руки оружие, чтобы не перепутали с террористами.
• Если на Вас повесили бомбу, нужно без паники голосом или движением руки
дать понять об этом сотрудникам спецслужб.
Заключение
В данном разделе проведен анализ условий труда и рабочего места студента
в лаборатории 303 главного корпуса, в результате которого выявлено, что
параметры микроклимата, а также вредные производственные факторы соответствуют
норме. Опасные производственные факторы отсутствуют. Также в данном разделе
рассмотрены вопросы пожарной безопасности, охраны окружающей среды и поведение
людей в чрезвычайных ситуациях.
5.
Управление качеством
Раздел «Управление качеством» выполняется в соответствии с выданным
консультантом заданием. В данном разделе рассматриваются методические указания
по работе со стендом для изучения и исследования контроллера приоритетных
прерываний (КПП).
5.1 Системный анализ технических
требований
Целью лабораторных работ на проектируемом стенде является наглядная демонстрация
работы контроллера приоритетных прерываний в различных режимах работы.
В таблице 17 приведена функциональная структура методических указаний по
работе со стендом.
Таблица 17 - Функциональная структура методических указаний по работе со
стендом
|
Уровни структурного описания
|
|
Первый
|
Второй
|
|
Основные и дополнительные этапы
|
|
1. Запуск программы
|
1.1. Программа запускается с помощью файла ProjectINT.exe
|
|
2. Этап инициализации
|
2.1. Формирование слова ICW1 2.2. Формирование слова ICW2
2.3. Нажатие кнопки «Запись»
|
|
3. Исследование работы КПП, маскирование входов
|
3.1. Подать на вход IRQ запрос на прерывание и нажать
кнопку «Шифратор приоритетов» 3.2. Подать на вход IRQ запрос с меньшим
приоритетом и нажать кнопку «Шифратор приоритетов» 3.3. Подать на вход IRQ
запрос с большим приоритетом, замаскировать его и нажать кнопку «Шифратор
приоритетов» 3.4. Подать на вход IRQ тот же запрос, но без маски и нажать
кнопку «Шифратор приоритетов»
|
|
4. Работа со словом управления OCW2
|
4.1. Сформировать команду «Неадресуемый EOI» и нажать
кнопку «Запись» 4.2. Сформировать команду «Адресуемый EOI» и нажать кнопку
«Запись» 4.3. Сформировать команду «Установка приоритета» и нажать кнопку
«Запись» 4.4. Сформировать команду «Автоцикл» и нажать кнопку «Запись» 4.5.
Сформировать команду «Адресуемый цикл» и нажать кнопку «Запись»
|
|
5. Исследование работы КПП в режиме специальной маски
|
5.1. Установить режим специальной маски соответствующим
переключателем 5.2. Послать запрос на прерывание 5.3. Замаскировать вход, с
которого был послан запрос 5.4. Послать запрос на прерывание с входа с
меньшим приоритетом
|
В таблице 17 выделены два уровня этапов описания методических указаний по
работе со стендом. Первые уровни описывают этап в целом, вторые - описывают его
более детально и показывают, из каких промежуточных шагов он состоит.
Рисунок 24 - Функциональная схема методических указаний
На рисунке 24 представлена соответствующая функциональной структуре общая
функциональная схема, на основе которой установлена взаимосвязь технических
требований.
Таблица 18 - Структура технических требований при работе со стендом
|
Код ф-ции
|
Код связи
|
Требования и ограничения Технические характеристики и
показатели качества
|
|
2.1
|
1.1 2.2
|
Запросы на прерывание запрещены, слова управления запрещены
|
|
2.3
|
2.2 3.1 4.1 5.1
|
Приоритеты входов назначаются в стандартном режиме
(IRQ0-высший, IRQ7-низший), регистры IRR, IMR и ISR обнуляются
|
|
3.1
|
2.3 3.2
|
В регистре ISR соответствующий бит выставляется в положение
«1», выдается уведомление о выполнении подпрограммы обработки
соответствующего входа IRQ
|
|
3.2
|
1.1 3.3
|
Ничего не должно произойти
|
|
3.3
|
3.2 3.4
|
Ничего не должно произойти
|
|
3.4
|
3.3
|
Этот запрос должен прервать ранее обрабатываемый запрос с
меньшим приоритетом
|
|
4.1
|
4.2 2.3
|
Подпрограмма обработки прерывания с наибольшим приоритетом
будет завершена, соответствующий бит ISR сбросится в «0»
|
|
4.2
|
4.1 4.3
|
Завершиться подпрограмма обработки прерывания, номер
которой указан в поле 2-0, соответствующий бит ISR сбросится в «0»
|
|
4.3
|
4.2 4.4
|
Приоритет канала, указанного в поле 2-0, становится низшим
|
|
4.4
|
4.3 4.5
|
Подпрограмма обработки прерывания с наибольшим приоритетом
будет завершена, соответствующий бит ISR сбросится в «0», каналу запроса
этого прерывания присваивается низший приоритет
|
|
4.5
|
4.4
|
Завершиться подпрограмма обработки прерывания, номер
которой указан в поле 2-0, соответствующий бит ISR сбросится в «0», каналу
запроса этого прерывания присваивается низший приоритет
|
|
5.2
|
5.1 5.3
|
В регистре ISR соответствующий бит выставляется в положение
«1», выдается уведомление о выполнении подпрограммы обработки
соответствующего входа IRQ
|
|
5.3
|
5.2 5.4
|
Приоритет входа обозначится как «0»
|
|
5.4
|
5.3
|
В регистре ISR соответствующий бит выставляется в положение
«1», выдается уведомление о выполнении подпрограммы обработки
соответствующего входа IRQ
|
5.2
Ресурсное обеспечение качества
Для создания методики необходимы некоторые ресурсы и материалы.
Потребуется компьютер, на который установлено необходимое программное
обеспечение. Кроме того компьютер потребляет 0,45 кВт энергии в час.
Следовательно, потребление электроэнергии надо учитывать. Потребуется наличие
2х специалистов, в данном случае, студент и преподаватель.
5.3 Контроль и оценка качества
Контроль и оценку качества выполненной работы ведёт преподаватель,
периодически контролируя выполнение работы. Во время проверки работы
преподаватель оценивает подробность методики, а также указывает действия со
стендом, которые необходимо пояснить.
5.4 Затраты на создание качества
системы
5.4.1 Расчет затрат на силовую электроэнергию, затраченную при
составлении методики
Затраты на электроэнергию рассчитываются только для персонального
компьютера.
На всем этапе создания методики использовалось 2 рабочих дня. Общее время
использования каждого из них составляет 8 часов.
Энергию по каждому токоприемнику определяются по формуле:
((17)
где
- мощность токоприемника, кВт;

- время
работы токоприемника, ч;

-
коэффициент загрузки i-го токоприемника по времени;

-
коэффициент загрузки i-го токоприемника по мощности;
-
стоимость электроэнергии (одного 
).
Подставив
в формулу значения мощности компьютера 0,45
кВт,
время его использования 8 ч, соответствующие коэффициенты загрузки по времени и
мощности 1 и
0,95, а также стоимость одного кВт-часа электроэнергии
2,9руб., получим затраты на силовую электроэнергию для компьютера:
5.4.2 Расчет материальных затрат
Для составления отчета были использованы некоторые материальные ресурсы,
такие как принтер и бумага для него. Так же на сегодня у каждого студента
имеется ПК, то необходимость в его приобретении отпадает, и затраты на
приобретение ПК можно не учитывать.
Таким образом, затраты на качество представлены в таблице 19.
Таблица 19 - Затраты на материалы и комплектующие
|
№
|
Материалы
|
Цена, руб
|
Кол-во, ед.
|
Затраты, руб.
|
|
1
|
Принтер Brother HL-2035R(A4 2400x600dpi 18ppm 8MB USB2.0)
|
3250
|
1
|
3250
|
|
2
|
Бумага для копировальных аппаратов Снегурочка, A4, 500
листов
|
180
|
1
|
180
|
|
Итого:
|
3430
|
Затраты на доставку можно не учитывать, таким образом
Заключение
В ходе проделанной дипломной работы был спроектирован стенд для изучения
и исследования контроллера приоритетных прерываний. Стенд выполнен в виде
программной модели и предназначен для использования на персональном компьютере.
В программе реализован алгоритм обработки запроса прерывания, а также
изменение режима работы контроллера с помощью слов управления OCW1, OCW2, а
также режима специальной маски.
В проекте так же рассмотрены вопросы охраны труда, экологичности и
безопасности проекта, а так же его экономической эффективности.
Список использованных источников
1. Абрайтас
Б.Б., Аверьянова Н.Н. Микропроцессоры и микропроцессорные комплекты
интегральных микросхем: Справочник. В 2т. - М.: Радио и связь 1988 - Т1 - 368с
. Балашев
Е.П. Микро и мини-ЭВМ: Учебное пособие для вузов. - Л.: Энергоатомиздат, 1984 -
386с.
. Уокерли
Дж. Архитектура и программирование микро-ЭВМ: В 2х книгах. Пер с англ. - М.:
Мир - 1984, 486с.
. Бесерский
В.А., Ефимов Н.Б. Микропроцессорные системы автоматического управления - Л.:
Машиностроение, 1988 - 365с.
. Коффрон
Дж. Технические средства микропроцессорных систем: Практичесикй курс. Пер. с
англ. - М.: 1983 - 344с.
. Либерти
Дж. Освой самостоятельно С++ за 21 день.
. Рейсдорф
К., Хендерсон К. Borland C++ Builder. Освой самостоятельно.
8. ГОСТ
30494-96 «Здания жилые и общественные. Параметры микроклимата в помещении».
9. Масленицкий
И.Н., Чугаев Л.В., Борбат В.Ф. и др. Металлургия благородных металлов. Изд. 2,
под ред. Л.В. Чугаева. - М.: Металлургия, 1987г., с.349-350
. Меретуков
М.А., Орлов А.М. Металлургия благородных металлов. Зарубежный опыт. -
М.:Металлургия, 1991, с. 308-318
. ГОСТ
12.2.032-78 «Рабочее место при выполнении работ сидя. Общие эргономические
требования».
12. <http://electro.narod.ru/safety/fire.htm>
- Меры пожарной безопасности при монтаже, эксплуатации электрических сетей,
электроустановок и электротехнических изделий.
. ГОСТ 12.1.003-83
ССБТ «Шум. Общие требования безопасности».
. СНиП 23-05-95
«Естественное и искусственное освещение».
Листинг программы
Файл Interrupt.cpp
#include <vcl.h>
#pragma hdrstop
#include "Interrupt.h"
#include "unit2.h"
//---------------------------------------------------------------------------
#pragma package(smart_init)
#pragma resource "*.dfm"*Form1;Prior
{prior,nom;//переменные приоритета и номера канала
запроса*irq,*ocw1,*ocw2,*icw1,*icw2;*isr,*irr,*prior1,*highbyte,*lowbyte;
};tmp, vozr[8],teksost[8];SetIRR()
{i;(i=0;i<8;i++)
{(teksost[i].irq->Checked)
{[i].irr->Caption="1";
}[i].irr->Caption="0";
}
}SetHighbyte()
{i;(i=0;i<8;i++)
{(teksost[i].icw2->Checked)[i].highbyte->Caption="1";[i].highbyte->Caption="0";
}
}SetLowbyte(int num)
{i;(teksost[5].icw1->Checked)
{(i=0;i<3;i++)
{(teksost[i].icw1->Checked)[i].lowbyte->Caption="1";[i].lowbyte->Caption="0";
}[5].lowbyte->Caption=num%2;[4].lowbyte->Caption=(num/2)%2;[3].lowbyte->Caption=(num/4)%2;
}
{(i=0;i<2;i++)
{(teksost[i].icw1->Checked)[i].lowbyte->Caption="1";[i].lowbyte->Caption="0";
}[4].lowbyte->Caption=num%2;[3].lowbyte->Caption=(num/2)%2;[2].lowbyte->Caption=(num/4)%2;[5].lowbyte->Caption="0";
}
}ShowPrior()
{i;(i=0;i<8;i++)
{[i].prior1->Caption=teksost[i].prior;
}
}DefaultPrior()
{i;(i=0;i<8;i++)
{[i].prior=(i+1)*10;
}
}AllDefault()
{i;(i=0;i<8;i++)
{((teksost[i].irq->Checked)==true)[i].irq->Checked=false;((teksost[i].ocw1->Checked)==true)[i].ocw1->Checked=false;(teksost[i].isr->Caption=="1")[i].isr->Caption="0";(teksost[i].lowbyte->Caption=="1")[i].lowbyte->Caption="0";(teksost[i].highbyte->Caption=="1");[i].highbyte->Caption="0";
}(Form1->CheckBox25->Checked==true)->CheckBox25->Checked=false;
}UnEnable1()
{i;(i=0;i<8;i++)
{[i].irq->Enabled=false;[i].ocw1->Enabled=false;[i].ocw2->Enabled=false;
}->CheckBox25->Enabled=false;->Button1->Enabled=false;->Button2->Enabled=false;->Button4->Enabled=false;
}UnEnable2()
{i;(i=0;i<8;i++)
{[i].irq->Enabled=true;[i].ocw1->Enabled=true;[i].ocw2->Enabled=true;[i].icw1->Enabled=false;[i].icw2->Enabled=false;
}->CheckBox25->Enabled=true;->Button1->Enabled=true;->Button2->Enabled=true;->Button4->Enabled=true;->Button3->Enabled=false;
}UnEnable3()
{i;(i=0;i<8;i++)
{[i].irq->Enabled=false;[i].ocw1->Enabled=false;[i].ocw2->Enabled=false;[i].icw1->Enabled=true;[i].icw2->Enabled=true;
}->CheckBox25->Enabled=false;->Button1->Enabled=false;->Button2->Enabled=false;->Button4->Enabled=false;->Button3->Enabled=true;
}GetMasPrior()
{i,j;(i=0;i<8;i++)
{[i]=teksost[i];
}(i=0;i<8;i++)
{(j=0;j<8;j++)
{(vozr[j].prior>vozr[i].prior)
{=vozr[j];[j]=vozr[i];[i]=tmp;
}(vozr[j].prior==0)
{=vozr[j];[j]=vozr[i];[i]=tmp;
}
}
}
}GetAddr()
{a1,a2,a3,res;(Form1->CheckBox22->Checked)a1=1; else
a1=0;(Form1->CheckBox23->Checked)a2=1; else
a2=0;(Form1->CheckBox24->Checked)a3=1; else a3=0;=a1*4+a2*2+a3;res;
}CheckTekProg()
{tek=0;i;run=false;();(i=0;i<8;i++)
{(vozr[i].isr->Caption=="1")
{=vozr[i].nom;=true;;
}
}(run)
{->Label17->Caption="Выполняется подпрограмма обслуживания
IRQ"+IntToStr(tek);
}Form1->Label17->Caption="Выполняется основная
программа";
}SetBottomPrior(int nom)
{i,pri;=teksost[nom].prior;(i=7;i>nom;i--)
{[i].prior=teksost[i].prior-pri;
}(i=0;i<nom;i++)
{[i].prior=teksost[i].prior+(80-pri);
}[nom].prior=80;
}
//---------------------------------------------------------------------------
__fastcall TForm1::TForm1(TComponent* Owner)
: TForm(Owner)
{dwStyle = GetWindowLong(Button1->Handle, GWL_STYLE);=
dwStyle|BS_MULTILINE;(Button1->Handle, GWL_STYLE, dwStyle);->Caption =
"Шифратор приоритетов";
}
//---------------------------------------------------------------------------__fastcall
TForm1::CheckBox1Click(TObject *Sender)
{();
}
//---------------------------------------------------------------------------__fastcall
TForm1::Button1Click(TObject *Sender)
{i,j,num;flag=false;(!(CheckBox42->Checked)) //Проверка включения
запрета прерываний
{(!(CheckBox25->Checked)) //Проверка включения специальной маски
{();(i=0;i<8;i++)
{((vozr[i].irq->Checked)&&(!(vozr[i].ocw1->Checked)))
{(j=0;j<i;j++)
{(vozr[j].isr->Caption=="1") //Проверка наличия уже
обрабатываемых=true; //прерываний с большим приоритетом
}(!flag)
{[i].isr->Caption="1";=teksost[i].nom;();(num);
};
}
}
}
{(i=0;i<8;i++)
{(teksost[i].ocw1->Checked)[i].prior=0;
}();(i=0;i<8;i++)
{(vozr[i].irq->Checked)
{(j=0;j<i;j++)
{(vozr[j].isr->Caption=="1")=true;
}(!flag)
{[i].isr->Caption="1";=teksost[i].nom;();(num);
};
}
}
}
}();();
}
//---------------------------------------------------------------------------__fastcall
TForm1::Button2Click(TObject *Sender)
{i,nom,pri,num;
//Неадресуемый EOI((!(CheckBox17->Checked))&&(!(CheckBox18->Checked))
&&((CheckBox19->Checked)))
{();(i=0;i<8;i++)
{[i].isr->Caption="0";;
}
}();
}
//Адресуемый
EOI((!(CheckBox17->Checked))&&((CheckBox18->Checked))
&&((CheckBox19->Checked)))
{=GetAddr(); //номер канала запроса прерываний(i=0;i<8;i++)
{(teksost[i].nom==nom)[i].isr->Caption="0";
}();
}
//Установка
приоритетеа(((CheckBox17->Checked))&&((CheckBox18->Checked))
&&(!(CheckBox19->Checked)))
{=GetAddr();();(nom);
}
//Автоциклcheck=false;(((CheckBox17->Checked))&&(!(CheckBox18->Checked))
&&((CheckBox19->Checked)))
{();(i=0;i<8;i++)
{(vozr[i].isr->Caption=="1")
{[i].isr->Caption="0";=vozr[i].nom;=true;;
}
}(check==true)
{();(num);
}();
}
//Адресуемый циклcheck1=false;(((CheckBox17->Checked))&&((CheckBox18->Checked))
&&((CheckBox19->Checked)))
{=GetAddr();(i=0;i<8;i++)
{((teksost[i].nom==nom)&&(teksost[i].isr->Caption=="1"))
{[i].isr->Caption="0";=true;;
}
}(check1==true)
{();(nom);
}();
}();
}
//---------------------------------------------------------------------------__fastcall
TForm1::FormCreate(TObject *Sender)
{[0].prior=10;[0].irq=CheckBox1;[0].ocw1=CheckBox9;[0].ocw2=CheckBox17;[0].irr=Label1;[0].isr=Label9;[0].nom=0;[0].prior1=Label18;[0].icw2=CheckBox34;[0].highbyte=Label26;[0].icw1=CheckBox26;[0].lowbyte=Label34;[1].prior=20;[1].irq=CheckBox2;[1].ocw1=CheckBox10;[1].ocw2=CheckBox18;[1].irr=Label2;[1].isr=Label10;[1].nom=1;[1].prior1=Label19;[1].icw2=CheckBox35;[1].highbyte=Label27;[1].icw1=CheckBox27;[1].lowbyte=Label35;[2].prior=30;[2].irq=CheckBox3;[2].ocw1=CheckBox11;[2].ocw2=CheckBox19;[2].irr=Label3;[2].isr=Label11;[2].nom=2;[2].prior1=Label20;[2].icw2=CheckBox36;[2].highbyte=Label28;[2].icw1=CheckBox28;[2].lowbyte=Label36;[3].prior=40;[3].irq=CheckBox4;[3].ocw1=CheckBox12;[3].ocw2=CheckBox20;[3].irr=Label4;[3].isr=Label12;[3].nom=3;[3].prior1=Label21;[3].icw2=CheckBox37;[3].highbyte=Label29;[3].icw1=CheckBox29;[3].lowbyte=Label37;[4].prior=50;[4].irq=CheckBox5;[4].ocw1=CheckBox13;[4].ocw2=CheckBox21;[4].irr=Label5;[4].isr=Label13;[4].nom=4;[4].prior1=Label22;[4].icw2=CheckBox38;[4].highbyte=Label30;[4].icw1=CheckBox30;[4].lowbyte=Label38;[5].prior=60;[5].irq=CheckBox6;[5].ocw1=CheckBox14;[5].ocw2=CheckBox22;[5].irr=Label6;[5].isr=Label14;[5].nom=5;[5].prior1=Label23;[5].icw2=CheckBox39;[5].highbyte=Label31;[5].icw1=CheckBox31;[5].lowbyte=Label39;[6].prior=70;[6].irq=CheckBox7;[6].ocw1=CheckBox15;[6].ocw2=CheckBox23;[6].irr=Label7;[6].isr=Label15;[6].nom=6;[6].prior1=Label24;[6].icw2=CheckBox40;[6].highbyte=Label32;[6].icw1=CheckBox32;[6].lowbyte=Label40;[7].prior=80;[7].irq=CheckBox8;[7].ocw1=CheckBox16;[7].ocw2=CheckBox24;[7].irr=Label8;[7].isr=Label16;[7].nom=7;[7].prior1=Label25;[7].icw2=CheckBox41;[7].highbyte=Label33;[7].icw1=CheckBox33;[7].lowbyte=Label41;();();();
}
//---------------------------------------------------------------------------__fastcall
TForm1::N1Click(TObject *Sender)
{->Show();
}
//---------------------------------------------------------------------------__fastcall
TForm1::Button3Click(TObject *Sender)
{();();();();();
}
//---------------------------------------------------------------------------__fastcall
TForm1::Button4Click(TObject *Sender)
{();
}
//---------------------------------------------------------------------------__fastcall
TForm1::CheckBox25Click(TObject *Sender)
{i,number;(!(CheckBox25->Checked))
{(i=0;i<8;i++)
{(teksost[i].prior==80)=teksost[i].nom;
}();(number);
}();
}
Файл Unit2.cpp
#include <vcl.h>
#pragma hdrstop
#include "Unit2.h"
//---------------------------------------------------------------------------
#pragma package(smart_init)
#pragma link "SHDocVw_OCX"
#pragma resource "*.dfm"*Form2;
//---------------------------------------------------------------------------
__fastcall TForm2::TForm2(TComponent* Owner)
: TForm(Owner)
{
}
//---------------------------------------------------------------------------__fastcall
TForm2::FormCreate(TObject *Sender)
{->Navigate(WideString(GetCurrentDir()+"\\Manual.html"),0,NULL,NULL,NULL)
;
}
//---------------------------------------------------------------------------__fastcall
TForm2::FormResize(TObject *Sender)
{->Height=Form2->Height-80;->Width=Form2->Width-40;
}
//---------------------------------------------------------------------------