Корреляционно-регрессионный анализ зависимости смертности населения Вологодской области от заболеваемости
Введение
корреляционный
регрессивный смертность заболеваемость
Актуальность данной темы, состоит в
том, что в настоящее время в России все еще не преодолена тенденция к снижению
средней продолжительности жизни. Так, согласно данным Росстата России, средняя
продолжительность жизни составляет 58,5 лет у мужчин и 72,0 года у женщин.
Устойчивость к снижению определяется сложившейся структурой смертности по
причинам, полу и возрасту: высоким уровнем смертности населения в молодых и
средних возрастных группах от главных причин (болезней системы кровообращения,
новообразований, несчастных случаев, отравлений и травм). В свою очередь
непосредственным фактором консервации нежелательного возрастно-полового
распределения коэффициентов смертности выступают особенности заболеваемости,
летальности и инвалидности от различных патологий. Исключение составляют
несчастные случаи, отравления и травмы, смертность от которых на прямую
обуславливается множеством специфических факторов внешней среды, в том числе
социально-экономического характера. Для определения действенных механизмов
воздействия на снижение уровня смертности и разработки социально-экономических
и медико-демографических мер по увеличению средней продолжительности жизни
необходимо понять закономерности динамики и структуры смертности,
проанализировать основные коэффициенты смертности населения, оценить влияние
современной ситуации в области заболеваемости и инвалидности от основных групп
патологий на уровень смертности.
Целью данной курсовой работы
является статистический анализ смертности населения в Вологодской области.
В соответствие с этой целью были
поставлены следующие основные задачи:
рассмотреть понятие смертности;
определить сущность и основные
показатели смертности населения;
изучить динамику смертности населения
Вологодской области;
провести корреляционно-регрессионный
анализ зависимости смертности населения от заболеваемости.
Объектом исследования курсовой
работы является население Вологодской области.
Предметом исследования - смертность
населения области.
В процессе работы были использованы
табличный и графический методы, методы сравнения, корреляционно-регрессивный
анализ.
Информационную базу работы составили
учебная литература, данные областного отделения статистики, использовались
статистические данные из Демографического ежегодника, а также из Российского
статистического ежегодника.
1. Теоретические
аспекты статистического изучения смертности населения
.1 Понятие
смертности населения
Смертность - процесс вымирания
поколения, складывающейся из множества единичных смертей, наступающих в разных
возрастах. Совокупность смертей определяет порядок вымирания реального или
гипотетического поколения. Статистическое описание порядка вымирания дают
таблицы смертности (таблицы дожития) [8].
Смерть - это естественное событие,
связанное с прекращением жизни, т.е. завершением обмена веществ между
человеческим организмом и окружающей средой. Смертность представляет собой
демографический процесс, включающий всю совокупность смертей в населении за
определенный период времени (обычно за год) [1].
Смертность является вторым после
рождаемости важнейшим демографическим процессом. Изучение смертности имеет
своим предметом влияние, которое смерть оказывает на население, на его
численность и структуру.
В демографии под смертностью
понимают процесс вымирания поколения и рассматривают ее как массовый
статистический процесс, складывающийся из множества единичных смертей,
наступающих в разных возрастах и определяющих в своей совокупности порядок
вымирания реального или условного поколения [11].
Смерть является первичным витальным
событием, для которого система демографической статистики собирает и
комбинирует данные. Статистика смертей, как и вообще анализ смертности,
необходимы и для целей демографических исследований (чисто познавательный
аспект), и для практики, прежде всего для органов здравоохранения и социальной
политики.
Смертность - это частота случаев
смерти в социальной среде [4].
Наиболее важными и приоритетными
направлениями использования статистики смертей и смертности являются: анализ
существующей демографической ситуации и тенденций ее изменения; удовлетворение
административных и исследовательских нужд служб здравоохранения в связи с
разработкой и выполнением программ общественного здоровья и оценкой их
эффективности; определение политики и действий в иных, кроме здравоохранения,
сферах деятельности; удовлетворение потребностей в информации об изменениях в
населении в связи с разнообразной профессиональной и коммерческой деятельностью
(демогрэфикс).
Смертность - массовый процесс
прекращения индивидуальных жизней, протекающий в населении. Наряду с
рождаемостью смертность формирует естественное движение (воспроизводство)
населения [6].
Данные о смертности необходимы как
для анализа прошлых демографических тенденций, так и для разработки
демографических прогнозов. Последние, как известно, используются практически во
всех сферах деятельности: для планирования развития жилищных служб, системы
образования, здравоохранения, для реализации программ социальной защиты, для
производства товаров и услуг для различных групп населения.
Статистика смертности необходима в
анализе заболеваемости как на национальном, так и на региональном уровнях.
Органы здравоохранения используют данные статистики смертности для мониторинга
и совершенствования своей деятельности.
Исторические типы смертности:
1. архаичный, экзогенный - очень
высокая смертность в основном из-за внешних причин: эпидемии, катастрофы,
голод, несчастные случаи и т.д. Характерна сверхранняя смерть.
Продолжительность жизни 20-22 года.
2. традиционный - характерен
для обществ традиционного уклада, вплоть до XIX - начала XX века. Доминируют
экзогенные факторы смертности. Увеличился социальный контроль над смертностью -
развитие медицины. Увеличение продолжительности жизни до 30-35 лет. Нормальная
смертность.
. современный - преобладают
эндогенные причины: болезни дегенеративного типа, смертность перемещается в
более старшие возраста. Сильно увеличивается продолжительность жизни, падает
коэффициент младенческой смертности.
Уровень смертности является одним из
индикаторов экономического и социального благополучия общества. Особенно в
данном отношении информативны частные показатели смертности, фиксирующие ее в
отдельных возрастных группах и по классам причин смерти.
При анализе смертности того или
иного населения стараются обращать внимание на уровень младенческой и детской
смертности, смертности среди трудоспособного населения, предотвратимой
смертности (которой можно было бы избежать - от травм, отравлений, ДТП по
причине злоупотребления алкоголем и т.д.) и, по существующей научной традиции,
на общие коэффициенты (число умерших на тысячу человек).
1.2 Факторы и причины
смертности населения
Уровень смертности складывается под
воздействием многих факторов, которые подразделяются на четыре важнейшие
группы:
. природно-биологические факторы -
наследственность, экологическая обстановка и др.;
. социально-экономические факторы -
образ жизни, уровень жизни, характер и условия труда, развитие системы
здравоохранения, войны и др.;
. демографические (структурные)
факторы - половой, возрастной, брачный, территориальный и.т.д. состав
населения;
. факторы - пособники смертности:
курение, алкоголь, наркотики и.т.д. [8].
Вместе с этим в статистике
смертности выделяют эндогенные и экзогенные факторы. Эндогенные обусловлены
внутренним развитием организма, его старением и снижением жизнеспособности (как
правило, это смертность в старших возрастных группах). Экзогенные факторы
связаны с воздействием на людей внешней окружающей среды (эта смертность
характерна для любого возраста).
Следует различать такие понятия, как
фактор смертности и причина смерти. Фактор - это то, что содержит в себе
потенциальную возможность смерти, а причина смерти - это конкретное
обстоятельство, которое повлекло за собой смерть (например, фактор смертности -
курение, причина смерти - рак легких).
По-разному сочетаясь между собой,
факторы смертности обусловливают непосредственную причину смерти. Современная
статистика причин смерти основывается на принципе отбора одной, ведущей или начальной
причины смерти, вызвавшей последовательность патологических процессов,
непосредственно приведших к смерти.
Изучение структуры уровня смертности
по причинам смерти - необходимое условие в исследовании факторов смертности.
Изучая структуру смертности по причинам смерти можно установить роль тех или
иных природных и социальных факторов, объективных и субъективных, зависящих и
не зависящих от воли отдельного человека.
Существует несколько основных причин смертности:
1. Сердечно-сосудистые
заболевания: повсеместно занимают среди причин смерти первое место. Смертность
от этого важнейшего класса причин в России намного выше, чем в других странах
Запада и, что особенно тревожно, увеличивается на протяжении последних 30 лет,
тогда как в этих странах происходит ее непрерывное сокращение. Смертность от
болезни сосудов мозга - второй основной группы сердечно-сосудистых заболеваний
- непрерывно росла в России на протяжении последних 30 лет. Неблагоприятные
изменения смертности от нарушения мозгового кровообращения наблюдались во
многих странах Восточной Европы. Вероятно, они объясняются недостаточным
качеством медицинского обслуживания пожилых людей, среди которых данная
патология встречается наиболее часто. В России, кроме того, еще большему
усилению неблагоприятной тенденции способствует, по-видимому, злоупотребление
алкоголем.
2. Инфекционные заболевания и
болезни органов дыхания: В 1965 г. смертность от инфекционных болезней была в
России значительно выше, чем в Западных странах, особенно среди мужчин - для
них различие было двукратным. В последующем она неуклонно снижалась, но так как
снижение происходило и в России, и на Западе, разрыв между ними сохранялся. В
обоих сторонах благоприятная тенденция в последние годы сменилась на
противоположную: в России в 2002-2003 гг. отмечен резкий подъем, обусловленный
изменениями условий жизни. В России эволюция смертности от инфекционных
болезней определяется, в основном, смертностью от туберкулеза. Эта болезнь
преобладает в классе инфекционных болезней: в разные годы на ее долю
приходилось от 70 до 90% всех смертей от инфекционных заболеваний у мужчин и от
40 до 70%, соответственно, у женщин. Существенный рост смертности обоих полов
от этой болезни с 1992 г. - тревожный показатель, он свидетельствует о
значительном расширении соответствующей группы риска. Смертность от болезней
органов дыхания также в основном снижалась в течение последних 30 лет.
Благоприятные изменения явно прослеживаются для острых респираторных
заболеваний инфекционной этиологии, таких как грипп и пневмония. Менее
устойчиво положение с хроническими заболеваниями, к примеру, с хроническим
бронхитом или астмой.
3. Новообразования: Смертность
от злокачественных новообразований в России в течение последних 30 лет была
ниже, чем в ряде других западных стран, хотя по отдельным опухолевым
заболеваниям это не всегда так. В частности, в России хуже положение с раком
органов дыхания - ведущей причиной смерти в классе новообразований у мужчин в
обеих странах, тесно связанной с распространением курения. По большинству
опухолевых заболеваний положение в России ухудшается. Неблагоприятная эволюция
характерна, в частности, для тех заболеваний, которые были относительно
благополучными по смертности в середине 60-х годов, например, для рака
кишечника и прямой кишки у обоих полов, для новообразований верхних дыхательных
путей и рака простаты у мужчин, рака молочной железы у женщин. Рост смертности
от этих заболеваний вписывается в динамику перехода к структуре опухолевой
патологии, напоминающей современную западную. Нынешнее положение предвещает
дальнейшее увеличение смертности от новообразований в России.
4. Внешние причины: Что относят к
внешним причинам? Убийства, самоубийства, несчастные случаи (транспортные и
производственные происшествия, утопления, пожары, падения с высоты, поражения
электрическим током, случайное механическое удушение и др.), отравления (в том
числе - случайные отравления алкоголем), не уточненные насильственные причины и
некоторые другие Т.е. это все случаи гибели людей. Смертность от внешних причин
- несчастных случаев, отравлений, травм и насильственных причин менялась в
России особенно непредсказуемо и служила причиной большинства кратковременных
колебаний общей смертности. Алкоголизм - одна из главных причин
демографического кризиса в стране. По подсчетам одного из основоположников
изучения алкогольной смертности в России А.В. Немцова приблизительно каждая третья смерть в России имеет прямой
или косвенной причиной алкоголь, по данным других исследователей алкогольная
смертность составляет до 300 - 400 тысяч человек ежегодно. В России, особенно у
мужчин, очень высока насильственная смертность, не связанная с несчастными
случаями. Смертность от насильственных причин, как мужчин, так и женщин, растет
в России. Постепенный рост мужской смертности от самоубийств в России.
Параллельно наблюдается быстрый рост насильственных смертей без уточнения их
случайного или преднамеренного характера. Это заставляют предположить, что
смертность от убийств в России отражается в статистике не полностью, а часть
убийств регистрируется под рубрикой смертей неустановленного характера. [15]
В настоящее время статистический
учет смертности осуществляется на основе врачебных свидетельств о смерти,
заполняемых либо лечащим врачом, либо врачом, установившим факт смерти. К числу
основных данных, регистрируемых в свидетельстве, относятся: место смерти (в
стационаре, дома, в другом месте), место постоянно жительства, пол, фамилия,
имя и отчество, даты рождения и смерти (в том числе для детей, умерших до
достижения одного месяца, - родился он доношенным или нет).
Наряду с этим фиксируется причина
смерти. В соответствии с рекомендациями ВОЗ раздельно указываются: а)
непосредственная причина смерти - травма, заболевание или его осложнение,
непосредственно приведшее к смерти; б) заболевание, обусловившее
непосредственную причину смерти; в) основное (первоначальное) заболевание,
которое и учитывается при распределении случаев смерти по причинам в
статистической разработке. Наряду с этим могут быть сделаны отметки о
существенных состояниях, зафиксированных у умершего, диагноз
паталогоанатомической экспертизы и другие признаки. Один экземпляр врачебного
свидетельства направляется в органы Министерства здравоохранения, второй
выдается на руки родственника умершего.
Врачебное свидетельство о смерти
служит основанием для записи акта о смерти, производимой в органах ЗАГС.
Ежемесячно эти акты вместе со вторыми экземплярами врачебных свидетельств
передаются в статистические органы для разработки данных о смертности и ее
структуре по причинам и возрасту умерших [10].
В результате такой практики
образуется двойная, дублирующая друг друга, система статистического учета
смертности и ее разработки: ведомственная и государственная, - результаты
которых не всегда совпадают.
1.3 Основные
показатели смертности населения в статистике
Основой для анализа тенденций
смертности и ожидаемой продолжительности жизни, как и в случае с рождаемостью,
являются данные двоякого рода. Во-первых, это абсолютные числа умерших с
распределением по возрасту, полу и причинам смерти. Во-вторых, это абсолютные
численности групп населения (всего населения в целом, а также - женщин и мужчин
определенного возраста), с которыми эти числа соотносятся. На основе этой
информации разворачивается вся система показателей, измеряющих уровень смертности
и используемых для расчета ожидаемой продолжительности жизни.
Смертность как частоту случаев
смерти среди населения изучают с помощью системы коэффициентов (табл. 1.1).
В формулах таблицы 1.1 S -
среднегодовая численность населения; Si - среднегодовая численность мужчин
(женщин); - численность умерших в определенном возрасте; MxSx
- среднегодовая численность населения в определенном возрасте.
Общая и частная численности умерших
отражают абсолютные масштабы смертности, но ничего не говорят об ее интенсивности.
Общий коэффициент смертности при всей простоте расчета и наглядности следует
признать грубой оценкой в силу серьезной зависимости от структуры населения
(прежде всего, половозрастной).
Таблица 1.1 - Основные показатели
статистики смертности населения[3].
В формулах табл. 1.1 S -
среднегодовая численность населения; Si - среднегодовая численность мужчин
(женщин); - численность умерших в определенном возрасте; MxSx - среднегодовая
численность населения в определенном возрасте.
Частный коэффициент смертности
повторяет все достоинства и недостатки общего коэффициента. Возрастной
коэффициент смертности выступает в качестве наиболее точного показателя
интенсивности смертности. Если он рассчитан дифференцированно по полу, то
устраняет влияние половой и возрастной структур населения.
Для качественной характеристики
уровня общего коэффициента смертности в статистике населения используется
специальная шкала. Если на каждую тысячу населения за год умирает до 10 человек,
то это низкий уровень; от 10 до 15 человек - средний уровень; от 15 до 25
человек - высокий уровень; от 25 человек и более - очень высокий уровень
смертности.
Основные показатели смертности
населения взаимосвязаны:
) общий коэффициент смертности равен
средней арифметической из частных коэффициентов смертности, взвешенных по доле
мужчин и женщин в обществе.
) общий коэффициент смертности равен
средней арифметической из возрастных коэффициентов смертности, взвешенных по
доле жителей отдельных возрастных групп в общей численности населения: (по
аналогии можно вычислить коэффициенты смертности мужчин и женщин в
отдельности).
При помощи каждой из взаимосвязей
(идентично с рождаемостью) можно построить свою систему факторных индексов,
чтобы определить как относительное, так и абсолютное влияние отдельных
составляющих на результативный показатель.
Среди показателей смертности
населения особо выделяется группа специфических параметров, которые
характеризуют конкретные актуальные аспекты исследуемого процесса. К ним,
прежде всего, относится коэффициент младенческой смертности. Под младенческой
смертностью понимается смертность детей на первом году жизни. Для ее
количественной характеристики вычисляется одноименный коэффициент, который
показывает численность детей, умерших в возрасте до 1 года, в расчете на 1000
человек родившихся. Если учитывать, что из всех детей, умерших в возрасте до 1
года, в данном календарном году часть мальчиков и девочек были рождены в
предыдущем году, то можно воспользоваться коэффициентом младенческой
смертности, рассчитанным по методу Ратса.
Смерть всегда наступает не вовремя,
но по вполне конкретным причинам. В этой связи статистика населения
рассматривает основные классы причин смерти (инфекционные болезни,
злокачественные новообразования, заболевания сердечно-сосудистой системы,
несчастные случаи, отравления, травмы и др.) и дает им количественную оценку.
Коэффициент смертности по причине смерти отражает численность умерших
вследствие конкретного заболевания в расчете на 100000 человек населения.
Проведение сравнительного анализа
общих коэффициентов смертности на практике требует их стандартизации, так как
эти параметры сильно зависят от структуры населения (особенно возрастной).
Стандартизация - это условный прием,
направленный на устранение влияния структуры населения на уровень общего
коэффициента смертности. Существует несколько версий стандартизации: прямая,
косвенная и обратная. Наибольшее распространение в силу своей логической
наглядности получила прямая стандартизация. Ее сущность сводится к
использованию одной и той же неизменной (стандартной) возрастной структуры
населения. Это позволяет при расчете различных общих коэффициентов смертности
исключить из рассмотрения роль динамики возрастного состава общества.
В качестве стандартного населения
(стандарта) могут использоваться показатели, характерные для одной из
сравниваемых групп общества либо для страны в целом.
В целях детального исследования
последовательности вымирания поколений людей в статистике населения строятся
специальные вероятностные таблицы, которые получили название таблиц смертности
(дожития). Таблица смертности - это система взаимосвязанных показателей,
характеризующих распределение исходной совокупности родившихся по
продолжительности жизни. Впервые в современном понимании таблицы смертности
построил английский ученый Д. Граунт в 1662 г.
Все таблицы смертности в статистике
населения подразделяют на несколько видов:
) в зависимости от охвата возрастных
групп населения - полные (построенные по одногодичным возрастным группам) и
краткие (построенные по пятилетним или десятилетним возрастным группам);
) в зависимости от пола жителей -
мужские, женские, либо для населения в целом;
) в зависимости от характера
информации - общие (вся смертность) и специальные (по причинам смерти).
Таблица смертности включает восемь
основных показателей, взаимосвязанных как горизонтально (в пределах одного
возраста), так и вертикально (между соседними возрастами) [12].
. Возраст - x. Рассматривается в
пределах от 0 до 100 лет. 0 - начальный возраст таблицы смертности. 100 -
предельный возраст таблицы смертности, к которому теоретически (а часто
практически) вымирает вся исходная совокупность родившихся.
. Численность доживающих до возраста
x - l. Характеризует, сколько человек из исходной совокупности родившихся
доживает до каждого конкретного возраста. Представляет собой убывающую
последовательность чисел. Исходная численность родившихся, или корень таблицы
смертности (l), принимается равной 10000 или 100000 человек. x0
. Численность умерших в возрасте x
лет - dx.
Характеризует, сколько человек из доживших до возраста x лет не доживет до
возраста x+1 лет. Находится по формуле:
,
где lx - число доживающих до возраста х лет из 100 000 одновременно
родившихся; lx+1 - число доживающих до
возраста х+1 лет из 100 000 одновременно родившихся.
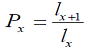
. Вероятность дожития - Px. Характеризует вероятность
дожития до возраста x+1 лет для тех, кто дожил до возраста x лет. Находится по
формуле:
,
где lx+1 - число доживающих до возраста х+1 лет из 100 000 одновременно
родившихся; lx - число доживающих до
возраста х лет из 100 000 одновременно родившихся.
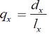
. Вероятность смерти - qx. Характеризует вероятность
смерти в интервале возраста от x до x+1 лет. Находится по формуле:
,
где dx - Число умерших в возрасте от х до х+1; lx - число доживающих до возраста х лет из 100 000 одновременно
родившихся.
Сумма вероятности дожития и
вероятности смерти должна быть равна единице, т.е. Px + qx = 1.
. Численность живущих в возрасте от
x до x+1 лет - Lx. Характеризует
(условно, так как получена расчетным путем) сколько человек из исходной
совокупности родившихся доживет до возраста х лет и полностью проживет этот год
жизни.
. Число человеко-лет предстоящей
жизни в возрасте x лет и старше - TX. Характеризует, сколько человеко-лет предстоит
прожить всем дожившим до возраста х лет. Находится по формуле:
,
где Lx - число живущих в возрасте х лет; Tx+1 - Число прожитых человеко-лет предстоящей жизни в возрасте x+1
лет;
. Средняя продолжительность
предстоящей жизни - e. Указывает, сколько лет в среднем предстоит прожить
каждому человеку, дожившему до возраста х лет. Находится по формуле:
,
где Tx - число прожитых человеко-лет предстоящей жизни в возрасте x лет; lx - число доживающих до возраста х лет из 100 000 одновременно
родившихся.
При анализе таблиц смертности
выделяют два основных аспекта: демографический и экономический. Демографический
связан с выявлением закономерностей вымирания отдельных поколений человеческого
общества. Экономический ориентирован на оценку возможностей участия населения в
общественном производстве в зависимости от продолжительности жизни. В комплексе
они позволяют сделать более глубокие выводы о динамике средней
продолжительности жизни населения и последствиях ее изменения.
2. Показатели
смертности населения Вологодской области
Для того, что бы проанализировать
статистику смертности в Вологодской области, в первую очередь требуется
рассмотреть коэффициент смертности населения. Общий коэффициент смертности
является демографическим коэффициентом, показывает число людей, умирающих в
единицу времени в населении некоторой территории.
Таблица 2.1 - Динамика общего коэффициента
смертности населения в Вологодской области за 2007-2012 гг.
|
Показатели
|
2007 г
|
2008 г
|
2009 г
|
2010 г
|
2011 г
|
2012 г.
|
|
Всего умерло от всех причин, чел.
|
19509
|
19918
|
19742
|
20174
|
18780
|
18014
|
|
Средняя численность населения, чел.
|
1219800
|
1214100
|
1208300
|
1201200
|
1198500
|
1196200
|
|
Коэффициент смертности, %
|
15,99
|
16,41
|
16,34
|
16,79
|
15,67
|
15,06
|
Рассчитав коэффициент смертности
населения по Вологодской области, можно сделать вывод, что показатель
смертности с 2007 года по 2012 год снизился до 15,06%
Рис. 2.1. Динамика
общего коэффициента смертности населения в Вологодской области за 2007-2012 гг.
Подводя итог, можно сделать вывод:
Вологодская область имеет высокий уровень смертности. Основное доказательство
этому - общий коэффициент смертности, который попадает в интервал [15-24,9%]
(до 10% - низкий, от 10 до 14.9% - средний, от 15 до 24.9% - высокий, 25 и
более - чрезвычайно высокий).
За анализируемый период темп
снижения смертности (92,34%) не превышал темп снижения численности населения
(98,07%).
Рассмотрим гендерную структуру
смертности населения Вологодской области.
Таблица 2.2 - Гендерная структура
умерших жителей Вологодской области
|
Показатели
|
2007 г
|
2008 г
|
2009 г
|
2010 г
|
2011 г
|
2012 г
|
|
Всего в т.ч.
|
19509
|
19918
|
19742
|
20174
|
18780
|
18014
|
|
- женщины, чел.
|
7118
|
9049
|
8205
|
9250
|
8681
|
9215
|
|
Уд.вес.% (женщины)
|
0,36
|
0,45
|
0,42
|
0,46
|
0,48
|
0,46
|
|
- мужчины
|
12391
|
10869
|
11537
|
10924
|
10169
|
10198
|
|
Уд.вес.% (мужчины)
|
0,64
|
0,55
|
0,58
|
0,54
|
0,54
|
0,52
|
Как видно из данных, представленных
в таблице 2.2, за анализируемый период число умерших мужчин превышает
численность умерших женщин. Так в 2012 году в общей структуре умерших 52%
приходится на мужчин и 46% - на женщин. В анализируемом периоде наблюдается
рост смертности среди женщин - на 29,5% и снижение смертности среди мужчин - на
17,7%. (рис. 2.2).
Рис. 2.2. Динамика
умерших мужчин и женщин в Вологодской области в 2007-2012 гг., чел.
Таблица 2.3 - Смертность
населения области по основным классам причин, чел.
|
Показатели
|
2007 г
|
2008 г
|
2009 г
|
2010 г
|
2011 г
|
2012 г.
|
|
Всего умерших, чел.
|
19509
|
19918
|
19742
|
20174
|
18780
|
18014
|
|
в том числе по причинам смерти:
|
|
|
|
|
|
|
|
от инфекционных и паразитарных болезней
|
165
|
175
|
154
|
152
|
139
|
136
|
|
от новообразований
|
2509
|
2635
|
2601
|
2562
|
2574
|
2517
|
|
от болезней:
|
|
|
|
|
|
|
|
системы кровообращения
|
11256
|
11465
|
11360
|
11661
|
11133
|
11052
|
|
психических расстройств
|
38
|
45
|
31
|
42
|
25
|
21
|
|
нервной системы и органов чувств
|
110
|
111
|
114
|
109
|
104
|
103
|
|
органов дыхания
|
590
|
724
|
751
|
825
|
648
|
617
|
|
органов пищеварения
|
1053
|
1088
|
1095
|
1256
|
1072
|
1013
|
|
от несчастных случаев, отравлений и травм
|
2421
|
2398
|
2333
|
2329
|
2030
|
2011
|
|
из них от:
|
|
|
|
|
|
|
|
убийств
|
203
|
176
|
179
|
168
|
144
|
128
|
|
самоубийств
|
431
|
323
|
357
|
309
|
290
|
274
|
В 2012 году структура смертности
населения области выглядит следующим образом: на 1-м ранговом месте находятся
болезни системы кровообращения (61,4%), на 2-м - новообразования (14,0%), на
3-м - от несчастных случаев, отравлений и трав (11,2%). Эти три причины в целом
определяют более 80% смертей из 18014 смертей, зарегистрированных в 2012 году.
Рис. 2.3. Удельный вес ведущих
причин смертности населения Вологодской области за 2007-2012 гг.; в % от общего
числа смертей
Остановимся более подробно на
распространенности смертности от трех ведущих причин. Самой распространенной из
них являются заболевания системы кровообращения.
Рис. 2.4. Смертность от болезней
системы кровообращения в Вологодской области за 2007-2012 года
В динамике уровня смертности в
регионе от болезней системы кровообращения можно выделить два периода:
2007-2010 гг. - увеличение и 2010-2012 гг. - снижение, тем не менее в 2012 году
в сравнении с 2007 годом произошло снижение числа умерших по этой причине на
2%.
Следующей распространенной причиной
смертности населения являются несчастные случаи, травмы и отравления. В 2012 г.
смертность от них составила 11,2% от общего числа смертей.
Рис. 2.5. Смертность от несчастных
случаев, травм и отравлений в Вологодской области за 2007-2012 года
Уровень смертности от несчастных
случаев, травм и отравлений в регионе в 2012 г. был равен 83,1% от уровня 2007
г., это говорит о том, что смертность от этих причин ежегодно снижается.
Еще одной наиболее распространенной
причиной смертности вологжан являются новообразования. На территории
Вологодской области в данный период наблюдались большие колебания уровня
смертности от новообразований (рис. 2.6).
Рис. 2.6. Смертность от
новообразований в Вологодской области за 2007-2012 года
В целом смертность от
новообразований в Вологодской области за рассматриваемый период постепенно
снизилась на 7%.
Таким образом, основными причинами
смертности населения Вологодской области являются заболевания системы
кровообращения (56,1%), несчастные случаи, отравления и травмы (15,7%),
новообразования (11,7%). При этом смертность населения от трех основных причин
с 2007 по 2012 год постепенно снижается.
Таблица 2.5 - Динамика изменения
младенческой смертности по основным причинам в Вологодской области за 2009-2012
года.
|
Год
|
2009
|
2010
|
2011
|
2012
|
|
Всего умерших до 1 года
|
201
|
182
|
177
|
175
|
|
в том числе от:
|
|
|
|
|
|
состояний, возникающих в перинатальный период
|
85
|
77
|
84
|
57
|
|
врожденных аномалий
|
30
|
41
|
31
|
48
|
|
болезней органов дыхания
|
17
|
14
|
19
|
18
|
|
инфекционных и паразитарных болезней
|
5
|
5
|
10
|
10
|
В 2012 году по сравнению с 2009
годом уменьшилась младенческая смертность (с 182 до 175 младенцев - на 4%). Для
младенческой смертности причинами, порождающими основную массу избыточных
смертей, являются состояния, возникающие в перинатальный период и врожденные
аномалии - 32,6 и 27,4% от общего числа умерших в возрасте до 1 года
соответственно.
3. Изучение
динамики смертности населения Вологодской области
.1 Расчет
аналитических показателей ряда динамики
На 1 января 2013 года численность
населения Вологодской области составила 1196,2 тыс. чел. В период с 2008 года
численность населения уменьшилась на 23,6 тыс. чел. или на 1,9%.
Таблица 3.1 - Динамика численности
населения Вологодской области, тыс. чел.
|
Год
|
Все население
|
В т.ч.
|
Общий прирост (+), убыль (-) населения, к предыдущему году
|
|
|
Городское
|
Сельское
|
Все население
|
Городское
|
Сельское
|
|
2008
|
1219,8
|
846,1
|
373,7
|
-
|
-
|
-
|
|
2009
|
1214,1
|
846,2
|
367,9
|
-5,7
|
0,1
|
-5,8
|
|
2010
|
1208,3
|
846,2
|
362,1
|
-5,8
|
0
|
-5,8
|
|
2011
|
1201,2
|
350,4
|
-7,1
|
4,6
|
-11,7
|
|
2012
|
1198,5
|
852,9
|
345,6
|
-2,7
|
2,1
|
-4,8
|
|
2013
|
1196,2
|
852,9
|
343,3
|
-2,3
|
0
|
-2,3
|
За последние 5 лет численность
сельского населения снизилась на 30,4 тыс. чел. или 8,1%. Городское население
увеличилось в рассматриваемом периоде на 6,8 тыс. чел. или 0,8%.
Снижение населения области
характеризуется, прежде всего, естественной убылью населения.
Таблица 3.2 - Динамика изменения
численности населения Вологодской области
|
Показатели
|
2007 г.
|
2008 г.
|
2009 г.
|
2010 г.
|
2011 г.
|
2012 г.
|
|
Рождаемость, чел.
|
14178
|
14616
|
15095
|
15102
|
15570
|
16678
|
|
Смертность, чел.
|
19509
|
19918
|
19742
|
20174
|
18780
|
18014
|
|
Естественный прирост (убыль) населения области, чел.
|
-5331
|
-5302
|
-4647
|
-5072
|
-3210
|
-1336
|
|
Коэффициент естественного прироста, чел. на 1000 чел.
|
-4,4
|
-4,4
|
-3,8
|
-4,2
|
-2,7
|
-1,1
|
В области на протяжении последних
лет сохраняется естественная убыль населения, т.е. превышение смертности над
рождаемостью населения, однако ее темпы замедляются.
Так в 2007 году ежегодная
естественная убыль населения составила 5331 чел., тогда как в 2012 году
ежегодная естественная убыль составила 1336 чел. (таблица 3.2)
Снижение естественной убыли
населения происходит за счет роста рождаемости и снижения смертности населения
области.
В период с 2007 по 2012 года
рождаемость возросла с 14178 до 16678 чел. или на 17,6%, в то же время
смертность населения уменьшилась с 19509 до 18014 чел. или на 7,7%.
Рис. 3.1. Динамика
смертности населения Вологодской области, чел.
За период 2007-2012 гг.
в Вологодской области уменьшилась численность умершего населения на 2365 чел.
или на 11,61% (табл. 3.3). Наибольшими темпами (на 1394 тыс. чел. или на 7,85%)
численность умершего населения области снижалась в 2011 году по сравнению с
2010 годом.
Таблица 3.3 - Показатели ряда
динамики - смертности населения Вологодской области
|
Период
|
Чел.
|
Абсолютный прирост, ед.
|
Коэффициент роста
|
Темп роста, %
|
Темпы прироста, %
|
Абсолютное значение 1% прироста
|
|
|
цепной
|
базисный
|
цепной
|
базисный
|
цепной
|
базисный
|
цепной
|
базисный
|
|
|
2005
|
20379
|
-
|
-
|
-
|
-
|
-
|
-
|
-
|
-
|
|
|
2006
|
20066
|
-313
|
-313
|
0,9846
|
0,9846
|
98,46
|
98,46
|
-1,54
|
-1,54
|
203,79
|
|
2007
|
19509
|
-557
|
-870
|
0,9722
|
0,9573
|
97,22
|
95,73
|
-2,78
|
-4,27
|
200,66
|
|
2008
|
19918
|
409
|
-461
|
1,0210
|
0,9774
|
102,10
|
97,74
|
2,10
|
-2,26
|
195,09
|
|
2009
|
19742
|
-176
|
-637
|
0,9912
|
0,9687
|
99,12
|
96,87
|
-0,88
|
-3,13
|
199,18
|
|
2010
|
20174
|
432
|
-205
|
1,0219
|
0,9899
|
102,19
|
98,99
|
2,19
|
-1,01
|
197,42
|
|
2011
|
18780
|
-1 394
|
-1 599
|
0,9309
|
0,9215
|
93,09
|
92,15
|
-6,91
|
-7,85
|
201,74
|
|
2012
|
18014
|
-766
|
-2 365
|
0,9592
|
0,8839
|
95,92
|
88,39
|
-4,08
|
-11,61
|
187,8
|
Средний абсолютный прирост
определяется как среднее арифметическое из абсолютных приростов за отдельные
периоды времени динамического ряда:
,
где n - число приростов.
= -296 чел.
Средний коэффициент роста
определяется как среднее геометрическое из коэффициентов роста за отдельные
периоды времени динамического ряда:
= 0,9825 или 98,25%
Среднегодовой темп
прироста определяют исходя из среднего темпа роста:
= 98,25-100 = -1,75%
За анализируемый период
смертность населения Вологодской области снижалась в среднем на 1,75% или на
296 чел. в год.
корреляционный
регрессивный смертность заболеваемость
3.2 Выявление
тенденций уровней динамического ряда
Скользящие средние являются широко
распространенным статистическим методом исследования основной тенденции
развития социально-экономических процессов и явлений. Суть метода заключается в
определении простых средних значений изучаемого показателя с выбранным шагом
скольжения. Он может быть нечетным (s=3,5,7…) или четным (2,4,6…), но в последнем случае необходимо
прибегнуть к приему центрирования данных, то есть расчету скользящих средних
2-го порядка с шагом s=2.
Сглаживание ряда динамики с помощью
трехзвеньевой скользящей средней, используя таблицу 3.5
Таблица 3.5 - Расчет скользящих
средних значений числа умерших в Вологодской области за 2007-2012 года
|
Период
|
Год
|
Уровни ряда, чел.
|
Скользящие суммы, чел.
|
Скользящие средние, чел.
|
|
2007
|
1
|
19509
|
-
|
-
|
|
2008
|
2
|
19918
|
59169
|
19723
|
|
2009
|
3
|
19742
|
59834
|
19945
|
|
2010
|
4
|
20174
|
58696
|
19565
|
|
2011
|
5
|
18780
|
56968
|
18989
|
|
2012
|
6
|
18014
|
-
|
-
|
В результате обработки ряда динамики
смертности населения в Вологодской области методом скользящей средней
проявилась тенденция к снижению смертности.
Но наиболее эффективным
способом выявления основной тенденции развития является аналитическое
выравнивание. При этом уровни ряда динамики выражаются в виде функций времени:
Аналитическое
выравнивание может быть осуществлено по любому рациональному многочлену.
Смысл метода аналитического
выравнивания уровней ряда динамики сводится к выявлению такого уравнения
тренда, которое могло бы теоретически описывать фактические сложившиеся
тенденции. Уравнение тренда отличается от уравнения регрессии только
обозначением факторного признака: вместо символа х (какой-либо признак фактор)
используется обозначение t (признак фактор время).
Выполним аналитическое выравнивание
ряда динамики смертности населения в Вологодской области за 2005-2012 года.
Таблица 3.6 - Аналитическое
выравнивание ряда динамики
|
Год
|
Уровни ряда, чел.
|
t
|
t2
|
  
|
|
|
|
|
2005
|
20379
|
1
|
1
|
23379
|
19847,21
|
3531,79
|
12473540,61
|
|
2006
|
20066
|
2
|
4
|
42132
|
19911,65
|
1154,35
|
1332523,93
|
|
2007
|
19509
|
3
|
9
|
58527
|
19976,09
|
-467,09
|
218173,07
|
|
2008
|
19918
|
4
|
16
|
79672
|
20040,53
|
-122,53
|
15013,60
|
|
2009
|
19742
|
5
|
25
|
98710
|
20104,97
|
-362,97
|
131747,22
|
|
2010
|
20174
|
6
|
36
|
121044
|
20169,41
|
4,59
|
21,07
|
|
2011
|
18780
|
7
|
49
|
131460
|
20233,85
|
-1453,85
|
2113679,83
|
|
2012
|
18014
|
8
|
64
|
144112
|
20298,29
|
-2284,29
|
5217980,81
|
|
ИТОГО
|
160582
|
36
|
204
|
699036
|
140412,59
|
0
|
21502679,28
|
Таким образом, уравнение
для Вологодской области примет вид
Оценка надежности
построенного уравнения регрессии производится посредством критерия Фишера.
FФ=1,2
причем 1,2>0,05, значит уравнение регрессии значимо.
Основная тенденция
(тренд) показывает, как воздействуют систематические факторы на уровень ряда
динамики. Аналитическое выравнивание динамического ряда делает более четким
направление основной тенденции. Так из таблицы 3.6 видно, что уровень
смертности населения в Вологодской области в период с 2005 года по 2012 год
постепенно снижается.
По окончании расчетов
основной тенденции является целесообразным построить график, на котором
изобразим исходные данные и теоретические значения уровней ряда (рис. 3.1).
Рис. 3.1 Динамика
смертности населения в Вологодской области за 2005-2012 года
Теперь выполним
прогнозную экстраполяцию для Вологодской области по количеству умерших человек
за 2005-2012 года посредством аналитического выравнивания (Таблица 3.7). Данный
метод предполагает представление уровней данного ряда динамики в виде функции
времени y=f(t) (в данном случае
). Подставляя значения
нужного периода, мы получим прогнозное значение на этот период.
Таблица 3.7 - прогнозирование
экстраполяции методом аналитического выравнивания по количеству умершего
населения за 2005-2012 гг.
|
Год
|
Период
|
Фактическое значение признака, ед.
|
Прогнозируемое значение признака, ед
|
|
2005
|
1
|
23379
|
19847,21
|
|
2006
|
2
|
21066
|
19911,65
|
|
2007
|
3
|
19509
|
19976,09
|
|
2008
|
4
|
19918
|
20040,53
|
|
2009
|
5
|
19742
|
20104,97
|
|
2010
|
6
|
20174
|
20169,41
|
|
2011
|
7
|
18780
|
20233,85
|
|
2012
|
8
|
18014
|
20298,29
|
|
2013
|
9
|
-
|
20362,73
|
Проведя прогнозную
экстраполяцию методом аналитического выравнивания, мы получили прогнозное значение
на следующий год (2013)
=
20362,73 человек. Можно сказать, что при проведении прогноза на более далекий
период, количество умершего населения будет увеличиваться т.к. наблюдается
тенденция увеличения.
При выявлении тенденции
уровней динамического ряда, получилось, что целесообразно использовать линейное
уравнение регрессии (прямая). А значит самым точным из прогнозов,
является прогноз методом аналитического выравнивания по прямой, в результате
которого предполагается, что в 2013 году количество смертности увеличится (
=
20362,73 ед.).
4. Корреляционно-регрессионный
анализ зависимости смертности населения Вологодской области от заболеваемости
Рассмотрим ряд динамики смертности
населения и числа заболевших в Вологодской области за 2005-2012 гг.
Таблица 4.1 - Ряд динамики числа
умерших и числа заболевших за 2005-2012 года.
|
Год
|
Заболеваемость, тыс. чел., xi
|
Смертность, тыс. чел., yi
|
|
2005
|
985,7
|
20,4
|
|
2006
|
995,3
|
20,1
|
|
2007
|
998,5
|
19,5
|
|
2008
|
1021,3
|
19,9
|
|
2009
|
972,1
|
19,7
|
|
2010
|
965,9
|
20,2
|
|
2011
|
1009,6
|
18,8
|
|
2012
|
1008,4
|
18,0
|
В таблице 4.1 приведены параллельные
ряды факторного (количество заболевших) и результативного (количество умерших)
признаков.
На основании данных таблицы 4.1
построим корреляционное поле зависимости индивидуальных значений числа умерших
от числа заболевших.
Рис. 4.1 - Корреляционное поле
зависимости индивидуальных значений числа умерших от числа заболевших за
2005-2012 года
Сгущение точек корреляционного поля
имеет тенденцию к снижению, от левого верхнего угла к нижнему правому.
Следовательно, можно сделать вывод, что между факторами имеется прямая
корреляционная зависимость. Рассредоточенность точек большая, значит связь не
значительная.
3.1 Выбор формы связи
посредством регрессионного анализа
Проведем регрессионный анализ числа
умерших по Вологодской области за 2005-2012 гг.:
Предположим, что связь
между числом умерших и числом заболевших описывается линейным уравнением
регрессии
Для расчета
коэффициентов a0,
a1
линейного уравнения регрессии построим таблицу вспомогательных
расчетов (Таблица 4.2).
Таблица 4.2 - Вспомогательные
расчеты для построения уравнения регрессии
|
Год
|
Число заболевших, тыс. чел., Xi
|
Вспомогательные расчеты
|
|
|
Число умерших, тыс чел., xi ∙ yi
|
Выравнивание
значения по уравнению с прямой,
|
|
|
|
2005
|
985,7
|
20,4
|
20108,28
|
971604,49
|
19,336
|
|
2006
|
995,3
|
20,1
|
20005,53
|
990622,09
|
19,324
|
|
2007
|
998,5
|
19,5
|
19470,75
|
997002,25
|
19,330
|
|
2008
|
1021,3
|
19,9
|
20323,87
|
1043053,69
|
19,314
|
|
2009
|
972,1
|
19,7
|
19150,37
|
944978,41
|
19,258
|
|
2010
|
965,9
|
20,2
|
19511,18
|
932962,81
|
19,282
|
|
2011
|
1009,6
|
18,8
|
18980,48
|
1019292,16
|
19,208
|
|
2012
|
1008,4
|
18,0
|
18151,20
|
1016870,56
|
19,232
|
|
сумма
|
7956,8
|
156,6
|
155701,7
|
7916386
|
156,6
|
На основании данных таблицы 4.2
построим систему нормальных уравнений для выявления связи между факторным
признаком - числом зарегистрированных браков - и результативным признаком -
количеством родившихся.
Решив систему уравнений,
получаем значения параметров:
= -40,03;
=
0,021
Таким образом, линейное
уравнение связи принимает вид:
. Подставляя в него
поочередно все значения числа xi,
получаем
(теоретические
число умерших (столбец 6 таблицы 4.2)). Правильность произведенных расчетов
подтверждает тот факт, что сумма теоретических уровней ряда равна сумме
фактических уровней:
Оценка надежности
построенного уравнения регрессии производится посредством критерия Фишера.
FФ=0.94,
0.94>0,05 значит уравнение регрессии значимо.
Параметр
-
коэффициент регрессии - показывает, что при увеличении числа заболевших
на 1 ед. число смертей увеличивается на 0.02 чел.
Нанесем фактические и
теоретические значения количества умерших на график. (Рис. 4.2)
Рис. 4.2 - Линии
регрессии фактических и теоретических значений числа умерших за 2005-2012 гг.
Как видно из рис. 4.2,
несовпадение линии теоретических и фактических значений говорит о том, что
связь между числом заболевших и числом умерших не полная.
Для измерения степени
близости связи, рассчитаем все виды дисперсий.
общая дисперсия,
измеряющая общую вариацию результативного признака за счет действия всех
факторов:
;
факторная (теоретическая)
дисперсия, измеряющая вариацию результативного признака у за счет
действия только факторного признака х:
0,85;
остаточная дисперсия,
характеризующая вариацию признака у за счет всех факторов, кроме х:
0,605;
Проверим, выполняется ли
правило сложения дисперсий:
0,85
+0,605 = 1,46 (верно).
Оценим тесноту связи с
помощью линейного коэффициента корреляции (формула):
Линейный коэффициент
вариации получился положительным, следовательно, связь между признаками прямая.
Однако значение абсолютной величины равно 0,48, что попадает в интервал [0.3;
0.5], значит связь между признаками умеренная.
Проведя
корреляционно-регрессионный анализ связи между количеством заболевших и уровнем
смертности в Вологодской области, можно сказать, что: между данными
показателями существует прямая умеренная корреляционная связь.
Как видно из рисунка
4.2, несовпадение линии теоретических и фактических значений говорит о том, что
связь между числом заболевших и числом умерших не полная.
Заключение
Смерть - это естественное событие,
связанное с прекращением жизни, т.е. завершением обмена веществ между
человеческим организмом и окружающей средой. Смертность представляет собой
демографический процесс, включающий всю совокупность смертей в населении за
определенный период времени (обычно за год).
Смертность является вторым после
рождаемости важнейшим демографическим процессом. Изучение смертности имеет
своим предметом влияние, которое смерть оказывает на население, на его
численность и структуру.
Проведя статистический анализ
смертности населения в Вологодской области, можно сделать следующие выводы:
. Смертность населения за
2007-2012 гг. постенно снизилась на 8%, хотя общий коэффициент смертности
попадает в интервал [15-24,9%], что говорит о высоком уровне смертности в
Вологодской области. За анализируемый период численность умерших мужчин
превышает численность умерших женщин, например в 2012 году в общей структуре
умерших 52% приходится на мужчин и 46% - на женщин. На всем протяжении периода
наблюдается рост смертности женщин и снижение смертности мужчин.
Из всех причин смертности населения
наиболее значимыми являются болезни системы кровообращения, которые составляют
61% от всех причин смертности. Также на смертность в Вологодской области влияют
новообразования и несчастные случаи, травмы и отравления, их доля составляет
25%. Для младенческой смертности причинами, порождающими основную массу
избыточных смертей, являются состояния, возникающие в перинатальном периоде и
врожденные аномалии - 60% от общего числа умерших в возрасте до 1 года. Тем не
менее младенческая смертность с 2009 года снизилась на 4%.
. В области на протяжении
последних лет сохраняется естественная убыль населения, хотя происходит ее
снижение (так в 2007 году ежегодная естественная убыль населения составила 5331
чел., тогда как в 2012 году ежегодная естественная убыль составила 1336 чел.).
За анализируемый период смертность
населения Вологодской области снижалась в среднем на 1,75% или на 296 чел. в
год.
В результате обработки ряда динамики
смертности населения в Вологодской области методом скользящей средней
проявилась тенденция к снижению смертности.
. Для выявления тесноты связи
между уровнем смертности и количеством заболевшего населения я использовала
методом современной математической статистики корреляционно-регрессионный
анализ. Таким образом:
связь между факторами прямая
после расчета системы нормальных
уравнений, оказалось, что связь между факторным и результативным признаками не
тесная, r=0,48 (0,32<0.70). Не совпадение линий регрессии фактических и
теоретических значений (Рисунок 4.2) еще раз доказывает, что связь не
функциональна.
В завершении хотелось бы сказать,
что уровень смертности населения региона во многом определяется социально
обусловленными, предотвратимыми факторами: чрезмерным потреблением алкоголя,
декларативным отношением населения к своему здоровью, недостаточным
материально-техническим и кадровым обеспечением учреждений здравоохранения,
низким уровнем доходов населения. Для решения проблемы высокой смертности
населения необходим комплекс мер, имеющих четко обозначенные конечные цели и
сроки их достижения.
Список использованных
источников
1.
Гусаров В.М. Статистика: Учебное пособие для вузов. - М.:
ЮНИТИ-ДАНА, 2011. - 463 с.
2.
Ефимова М.Р. и др. Практикум по общей теории статистики:
Учеб.пособие / М.Р. Ефимова, О.И. Ганченко, Е.В. Петрова. - М.: Финансы и
статистика, 2010. - 280 с.
3.
Колесникова И.И. Социально-экономическая статистика: Учебное
пособие/ И.И. Колесникова. - М.: Новое знание, 2011. - 250 с.
4.
Курс социально-экономической статистики: Учебник для вузов / Под
ред. М.Г. Назарова. - М.:Финстатинформ, ЮНИТИ-ДАНА, 2010. - 771 с.
5.
Курс социально-экономической статистики: Учебник для вузов/ Под
ред. проф. М.Г. Назарова. - М.: Финстатинформ, 2009. - 976 с.
6.
Лукьянчикова Т.Л. Статистика: учебное пособие/ Т.Л. Лукьянчикова.
- Орел: ОрелГТУ, 2011. - 117 с.
7.
Октябрьский П.Я. Статистика: Учебное пособие. 2-е изд., испр. и
доп. - СПб.: Изд-во С. Петерб. ун-та, 2010. - 344 с.
8.
Социальная статистика: Учебник / Под ред. И.И. Елисеевой. - М.:
Финансы и статистика, 2008. - 320 с.
9.
Статистика: Учеб. пособие / Под ред. проф. М.Р. Ефимовой. - М.:
ИНФРА-М, 2011. - 336 с.
10. Статистика: Учебное пособие/ Харченко Л.П., Долженкова В.Г.,
перераб. и доп. - М.: ИНФРА-М, 2011. - 384 с.
11. Россия в цифрах. 2012: Краткий стат. сборник/ Росстат - 2012. -
477 с.
12. Теория статистики: Учебник / Под ред. Г.А. Громыко. - М.: ИНФРА-М,
2010. - 414 с.
13. Теория статистики: Учебник / Под ред. Р.А. Шмойловой. - 2-е изд.,
доп. и перераб. - М.: Финансы и статистика, 2009. - 576 с.
14. Чернова А.В. Статистика: Учебное пособие. - Орел, Орел ГТУ, 2011.
-285 с.
15. Котляровская Т.И. Современная концепция качества статистических
данных и ее использование в статистической практике // Вопросы статистики. -
2010. - №5. - С. 3
16. Соловьева Г.В. Уровень жизни и экономическое развитие региона //
Вопросы статистики. - 2011. - №5. - С. 71-75
17. Социально-экономическое положение стран СНГ в 2012 г. // Общество
и экономика. - 2012. - №3. - С. 24-36
18. www.vologdaoblstat.ru