Исследование температурных зависимостей в образцах при воздействии лазерными импульсами различной длительности

  • Вид работы:
    Курсовая работа (т)
  • Предмет:
    Другое
  • Язык:
    Русский
    ,
    Формат файла:
    MS Word
    947,02 Кб
  • Опубликовано:
    2014-02-21
Вы можете узнать стоимость помощи в написании студенческой работы.
Помощь в написании работы, которую точно примут!

Исследование температурных зависимостей в образцах при воздействии лазерными импульсами различной длительности

СОДЕРЖАНИЕ

ВВЕДЕНИЕ

. ФИЗИЧЕСКИЕ ОСОБЕННОСТИ ЛАЗЕРНОЙ СВАРКИ ТИТАНОВЫХ СПЛАВОВ

.1 Выбор условий лазерной сварки титановых сплавов

. ИССЛЕДОВАНИЕ ПРОЦЕССА ЛАЗЕРНОЙ СВАРКИ ТИТАНОВЫХ СПЛАВОВ ТОЛЩИНОЙ МЕНЕЕ 1 ММ

.1 Моделирование процесса воздействия лазерного излучения на металл

.2 Исследование влияния энергетических и временных характеристик, а также условий фокусировки импульсного лазерного излучения на плавление титановых сплавов толщиной 0,5 мм

.3 Экспериментальные исследования процессов лазерной сварки титановых сплавов

ЗАКЛЮЧЕНИЕ

СПИСОК ИСПОЛЬЗОВАННЫХ ИСТОЧНИКОВ

ВВЕДЕНИЕ

Основной физической характеристикой процесса нагрева при лазерной сварке металлов является температурное поле на поверхности и в объеме материала, которое может быть определено теоретическими или экспериментальными методами. Если температурное поле известно в зависимости от пространственных координат и в любой момент времени, то можно найти такие важные параметры процесса, как мгновенное значение скоростей нагрева и охлаждения, температурные градиенты по разным направлениям. Знание этих параметров позволяет правильно выбрать требуемый режим работы лазерных установок (энергию, плотность мощности, продолжительность воздействия и др.), используемых в технологических процессах лазерной сварки.

Известно, что параметры температурных полей вычисляются аналитическими, разностными и другими методами. При выполнении данной работы использовалось специальное программное обеспечение, с помощью которого аналитическим путем, решая уравнения теплопроводности, можно определить параметры процесса лазерной сварки металлов методом сквозного проплавления в заданной области в любой момент времени.

При разработке технологии сварки необходимо иметь ясное представление об основных параметрах режимов процесса, их взаимосвязи и влиянии на критерии, определяющие качество сварного соединения. Оптимизация параметров режимов по критериям качества является главной задачей при выборе режимов любого технологического процесса и, в частности, процесса лазерной сварки. [1-2]

Основными параметрами импульсной лазерной сварки являются: энергия импульса, длительность импульса, диаметр сфокусированного луча, положение фокального пятна относительно свариваемой поверхности, скорость сварки, частота следования импульсов.

Кроме того, существуют технологические приемы, такие, как защита шва от окисления, дополнительное легирование или подача присадочного материала.

Правильное сочетание основных параметров лазерной сварки и технологических приемов обеспечит удовлетворение таких критериев качества сварных соединений, как: геометрическая форма сварного шва, механические свойства соединений, технологическая прочность, отсутствие внутренних и внешних дефектов, химический состав и структура шва.

1. ФИЗИЧЕСКИЕ ОСОБЕННОСТИ ЛАЗЕРНОЙ СВАРКИ ТИТАНОВЫХ СПЛАВОВ

Благодаря сочетанию особых физико-химических свойств титан и его сплавы находят довольно широкое применение при изготовлении сварных конструкций в различных отраслях промышленности из-за малой плотности, высокой прочности и коррозионной стойкости.

Основные трудности, возникающие при сварке титана и его сплавов, заключаются в следующем.

. Высокая химическая активность металла при высокой температуре и особенно в расплавленном состоянии по отношению к кислороду и водороду.

. Склонность к росту зерна при нагреве до высокой температуры, особенно выше 330 °С (в области β -фазы).

. Повышенная склонность к образованию холодных трещин при повышении содержания в основном металле и шве примесей газов. Трещины такого типа могут возникнуть сразу же после сварки, а также после вылеживания (процесс замедленного разрушения).

Для устранения этих трудностей требуется как можно меньшая погонная энергия при сварке, что достигается при использовании таких концентрированных источников, как электронный луч и лазер.

За счет более низкого, чем у стали, коэффициента теплопроводности, повышенного электросопротивления и пониженной теплоемкости при сварке титана плавлением тратится меньше энергии, чем при сварке углеродистой стали плавлением, т. е. КПД проплавления титана значительно выше.

Качество сварных соединений при сварке титана любыми методами, в том числе и лазерным лучом, во многом определяется технологией подготовки кромок деталей под сварку. Подготовительные операции зависят от исходного состояния заготовки. Плоские листовые заготовки, нарезанные ножницами, детали, изготовленные холодной штамповкой, подготавливают под сварку путем фрезерования или точения кромок (5...6-й классы чистоты).

Для удаления газонасыщенной пленки применяют комплексную обработку, включающую дробеструйную или пескоструйную обработку с последующим разрыхлением химическим травлением оксидно-нитридной пленки, осветлением и промывкой.

При неполном удалении газонасыщенной пленки со свариваемых кромок происходит переход газов в шов, что вызывает его охрупчивание.

Важным фактором при лазерной сварке титана и его сплавов является точность сборки изделий и строгое соблюдение допустимых зазоров между кромками детали. Эти требования обусловливаются высоким коэффициентом поверхностного натяжения титана наряду с низкой вязкостью расплавленного металла. За счет этого при увеличенных зазорах увеличивается вероятность появления прожогов.

Зависимость допустимого зазора от толщины материала представлена на (рисунок 1). В ряде случаев свариваемые стыки подготавливают с технологическим утолщением, которое для толщины 6,0 мм может составлять, например, 1...1.5 мм.

Рисунок 1 - Зависимость допустимого зазора в стыковом соединении от толщины свариваемого металла

Существенное влияние на свойства сварных соединений оказывает качество защиты шва и состав защитной среды.

С точки зрения качества при лазерной сварке необходимо осуществлять защиту как поверхности, так и корня шва [2]

Обязательным условием является защита остывающих участков металла шва и околошовной зоны до температуры 400...500 °С. Требуется также защита металла с обратной стороны шва, даже если он не расплавлялся, а только нагревался до 400... 500 °С. На практике обычно используют сопла с дополнительным хвостовиком, куда подается защитный газ.

Из-за высокой химической активности титана по отношению к газам для защиты зоны сварки от воздуха можно применять только инертные газы высокой степени очистки или бескислородные фторидно-хлоридные флюсы.

Для защиты поверхности шва и плазмоподавления используется гелий высокой чистоты, ориентировочный расход 10...12 л/мин. Для защиты остывающей поверхности шва и корня целесообразно применять аргон повышенной чистоты с ориентировочным расходом: корень шва - 4...5 л/мин, поверхность шва - 15...18 л/мин. Длина и ширина насадки выбираются в зависимости от условий остывания металла.

Приближенно о надежности защиты можно судить по внешнему виду шва. Блестящая, серебристая поверхность - надежная защита, хорошее качество шва. Желто-голубой цвет шва или появление на нем серых налетов указывает на плохую защиту: низкая пластичность швов вследствие загрязнения газами.

Режимы лазерной сварки выбираются из условий обеспечения качественного формирования, необходимой геометрии шва, предотвращения образования холодных трещин и создания наиболее благоприятных структур.

Наилучшие результаты достигаются при повышенных скоростях сварки, в частности более 80...100 м/ч. Меньшие скорости приводят к увеличению ширины шва за счет малой теплопроводности металла, образованию неблагоприятных структур и повышают вероятность насыщения металла вредными газами, в частности водородом. Режимы сварки некоторых титановых сплавов представлены в таблице 1.

Таблица 1

Режимы сварки титановых сплавов

Титановый сплав

Толщина металла, мм

Мощность излучения, кВт

Скорость сварки, м/ч

Фокусное расстояние линзы, мм

Заглубление, мм

 ВТ6 ВТ6 ВТ28  ПТ3В

3.0 5.0 2.0 3.0 5.0 4.0

3.0 4.0 4.0 3.3 4.0 4.0

80 80 160 100 95 160

300 300 230 149 149 500

± 1.0 ± 1.5 - 1.0 - 1.0 - 1.5 ± 1.0


Как видно из таблицы, в диапазоне скоростей 80...100 м/ч сохраняется соотношение порядка 1 кВт мощности на 1 мм проплавления, что можно использовать в практике для ориентировочного выбора режима сварки [3].

Механические свойства сварных соединений для нескольких методов сварки титанового сплава ПТ-ЗВ толщиной 3,0 мм, сваренного встык, представлены в таблице 2.

Таблица 2

Механические свойства сварных соединений

Метод сварки

σв, МПа

σ-1, МПа

ан, Дж / см2




шов

ЗТВ

шов

ЗТВ

АрДс ЭЛС ЛС Основной металл

760 780 800 800

280 300 400 550

95 89 98 70

31 26 27 26

34 26 27 -


Как видно из таблицы, механические свойства лазерных сварных соединений находятся на уровне свойств основного металла. По прочности лазерные соединения не ниже электронно-лучевых и выше аргонодуговых. Пластичность зоны термического влияния (ЗТВ), оцениваемая ударной вязкостью, на лазерных соединениях выше, чем на аргонодуговых.

При испытаниях на переменный изгиб установлено, что циклическая прочность лазерных соединений в среднем на 25...30 % выше, чем при аргонодуговой и электронно-лучевой сварке.

Отличия в механических свойствах основного металла и сварных соединений, а также лучшие показатели лазерной сварки в сравнении с электронно-лучевой и аргонодуговой сваркой могут быть в основном связаны с изменением химического состава шва и со структурными изменениями в сварном соединении. В частности, при лазерной сварке со скоростью 100 м/ч скорость охлаждения титановых сплавов в полиморфной области составляет 400...600 град/с, против 20...25 град/с при дуговой сварке.

Подобные скорости охлаждения приводят к повышению дисперности металла шва в 3...4 раза и значительному измельчению зерна в околошовной зоне. Электронная микроскопия показывает, что внутри зерна околошовной зоны при высокой скорости охлаждения появляются тонкие пластины α'-фазы, расположенные достаточно плотно относительно друг друга, в случае медленного охлаждения - пластины более массивные и с относительно большим расстоянием между собой. В связи с этим повышение прочностных свойств титановых сварных соединений при лазерной сварке объясняется прежде всего тем, что пластинки α'-фазы в этих условиях, будучи благоприятно расположенными и уменьшенными по размерам, являются своего рода дислокационными барьерами.

Другой фактор, оказывающий существенное влияние на механические свойства сварных соединений, - это химический состав шва. При лазерной сварке наблюдается наименьшее выгорание легирующих элементов в сравнении с электронно-лучевой и дуговой сваркой. Это объясняется тем, что при наличии вакуума при электронно-лучевой сварке увеличивается скорость испарения металла из сварочной ванны, что приводит к обеднению легирующими элементами. Повышенное выгорание легирующих элементов при аргонодуговой сварке связано с существованием достаточно долгого времени ванны значительных размеров [3].

Таким образом, сочетание благоприятных условий кристаллизации и пониженной склонности к выгоранию легирующих элементов при лазерной сварке титановых сплавов способствует получению более высоких механических свойств сварных соединений в сравнении с другими методами сварки.

1.1     Выбор условий лазерной сварки титановых сплавов

При сварке титановых сплавов лазерным излучением, необходимо учитывать то, что при температурах 350°С и выше титановые сплавы активно поглощают кислород с образованием структур внедрения, имеющих высокую прочность, твердость (может быть в 2 раза выше, чем у титана) и малую пластичность. Кислород стабилизирует α-фазу при его взаимодействии по реакции

Ti + O2 = TiO2

образованием поверхностного слоя большой твердости, который называется альфированным слоем [2].

При нагреве до температуры 550°С и выше титан энергично растворяет азот, химически взаимодействует с ним, в результате часто образуется малопластичные фазы внедрения (нитриды):

Ti + 0,5N2 = TiN либо 6Ti +N2 = Ti3N

Азот, находящийся в титане в виде нитридов и элементов внедрения, повышает твердость и снижает его пластичность. Поверхностный слой титана насыщается повышенным количеством азота и кислорода (альфированный слой). Попадание частиц этого слоя в сварной шов приводит к хрупкости металла и образованию холодных трещин, в связи с чем перед сваркой его следует полностью удалять. [3]

а)                                                      б)

Рисунок 2 - Влияние кислорода и азота в титане на его свойства и растворимость водорода в титане, где σB - прочность, а δ - пластичность.

На рисунке 2а показано изменение механических свойств титана при насыщении его кислородом или азотом в % от исходного состояния. Столь резкое повышение прочности и снижение пластичности обусловило жесткое ограничение допустимого содержания этих газов в титане до 0,15% и азота до 0,05%.

Водород даже при малом содержании наиболее резко ухудшает свойства титана. Хотя содержание водорода с увеличением температуры падает (рисунок 2б), водород, находящийся в твердом перенасыщенном растворе выделяется и образует отдельную фазу - гидриды титана (TiH2), которая сильно охрупчивает титан и способствует образованию холодных трещин через длительное время после сварки (замедленное разрушение). Кроме того, водород способствует образованию пор. В связи с этим обстоятельством допустимое содержание водорода в металле ограничивается до 0,01%, и принимаются все меры к устранению возможности наводораживания металла (например, сварочную проволоку подвергают вакуумному обжигу. [4-5]

Из-за высокой химической активности титана и его сплавов по отношению к газам для защиты зоны сварки от воздуха необходимо применять только инертные газы высокой степени очистки или бескислородные фторидно-хлоридные флюсы.

Для защиты поверхности шва и плазмоподавления используется гелий высокой чистоты, расход 10…12 л/мин. Для защиты остывающею поверхности шва и корня необходимо применять аргон повышенной чистоты с расходом: корень шва - 4…5 л/мин, поверхность шва - 15…18 л/мин. Длина и ширина насадки для подачи газов выбирается в зависимости от условий остывания металла.

О надежности защиты можно судить по внешнему виду шва. Блестящая, серебристая поверхность - надежная защита, хорошее качество шва. Желто-голубой цвет шва или появление на нем серых налетов указывает на плохую защиту: низкая пластичность швов вследствие загрязнения газами.

2. ИССЛЕДОВАНИЕ ПРОЦЕССА ЛАЗЕРНОЙ СВАРКИ ТИТАНОВЫХ СПЛАВОВ ТОЛЩИНОЙ МЕНЕЕ 1 ММ

.1 Моделирование процесса воздействия лазерного излучения на металл

Образование сварного соединения сопровождается целым рядом физических явлений оказывающих влияние как на механизм соединения так и качество сварного шва [3]. Изучение и анализ этих явлений позволяет управлять процессом сварки и обоснованно выбирать режимы и объяснять получаемые свойства.

Процесс импульсной лазерной сварки основан на тепловом действии света на среду. Процесс взаимодействия лазерного излучения с веществом условно можно разделить на следующие стадии: поглощение света и передача энергии тепловым колебаниям решетки твердого тела; нагревание металла без разрушения; плавление; разрушение материала за счет испарения и выброса расплава; остывание после окончания действия импульса [5].

Так как лазерное излучение используется для сварки в виде концентрированного потока энергии, то в ряде случаев это дает основание принять тепловой источник на поверхности в виде сосредоточенного в бесконечно малом пятне - в точке. Тогда для описания тепловых процессов можно использовать хорошо разработанную теорию распространения теплоты сосредоточенных источников, развитую в работах Н. Н. Рыкалина.

Теория распространения теплоты сосредоточенных источников позволяет успешно определять температурные поля в зонах, удаленных от источника на расстояния, превышающие в 3 ¸ 5 раз диаметр пятна лазерного излучения d. Процессы распространения теплоты в зонах, расположенных ближе к источнику, могут быть достоверно описаны лишь с учетом характера распределения плотности мощности в пятне лазерного излучения.

Наиболее общим случаем является нормальное (гауссово) распределение плотности мощности Е(r) в сечении сфокусированного лазерного излучения. При действии такого излучения на поверхности тела возникает тепловой источник нагрева также с нормальным распределением плотности мощности в пятне лазерного излучения (см. рис. 3).

Эффективная тепловая мощность q нормально-кругового источника определяется интегрированием плотности мощности по поверхности.

,

где - максимальная плотность мощности в центре пятна нагрева; Aэф - эффективный коэффициент поверхностного поглощения лазерного излучения; Еm - максимальная плотность мощности лазерного излучения по оси; k - коэффициент сосредоточенности, характеризующий форму кривой нормального распределения; r - радиальное расстояние данной точки от центра.

Интегрирование плотности мощности теплового источника (1) по нагреваемой поверхности F дает значение эффективной тепловой мощности:


Таким образом, плотность мощности для гауссового распределения будет определяться формулой:


где P - мощность лазера.

1 - лазерное излучение; 2 - обрабатываемая деталь

Рисунок 3 - Нормальное распределение плотности мощности в пятне лазерного излучения

Вследствие специфических особенностей воздействия излучения лазера на материалы (большая интенсивность потока, кратковременность воздействия, малая глубина проникновения излучения в металлы и т.д.) требуется точная дозировка импульса излучения, чтобы сварка происходила без большого количества испарившегося материала.

Нужно отметить, что при оценке необходимых условий для сварки допускается ряд идеализаций, которые могут оказать существенное влияние как на точность количественных расчетов, так и на качественные оценки.

Для расчетов, приведенных во второй части, использовалась следующая модель лазерной сварки методом сквозного проплавления (см. рис. 4).

Пластина из исследуемого металла с геометрическими размерами (мм): 1х1х0,1 расположена поверх другой пластины с геометрическими размерами (мм): 1х1х0,2. Расстояние между пластинами hmax = 2∙10-6 м, что соответствует 8 классу обработки поверхностей.

Рисунок 4 - Вид образца для лазерной сварки и направление воздействия лазерного излучения

Аналитические расчеты проводились в предположении, что контакт между отдельными слоями не является идеальным, т.е. на границе раздела существует термическое сопротивление, величина которого зависит от чистоты обработки поверхностей, номинального давления между пластинами, пластических свойств свариваемых материалов и т.д. При сварке лазером нормальное усилие, как правило, отсутствует, и термическое сопротивление на границе раздела материалов может достигать значительной величины, несмотря на высокий класс чистоты поверхностей.

Для расчетов в данной работе использовалось выражение, являющееся решением системы уравнений теплопроводности с заданными краевыми условиями, причем источник считается поверхностным, т.е. глубина проникновения излучения мала по сравнению с толщиной верхнего слоя по (τ) [6-7].


где T(z) - температура на глубине z,

q1(s, P) - преобразованная по Ханкелю функция поверхностного источника,

J0(R2, ss) - функция Бесселя,

h - толщина верхней пластины,

θ2 - коэффициент теплопроводности металла,

a2 - коэффициент температуропроводности металла,

 - параметр, характеризующий расстояние между пластинами,

τ - длительность лазерного импульса,

μn - корни решения уравнения μ/χ = ctg(μ), где χ = (α · h)/θ1 (θ1 - коэффициент теплопроводности среды).

Распределение температурных полей рассчитывалось с помощью метода конечных элементов, суть которого заключается в том, что любую непрерывную величину можно аппроксимировать дискретной моделью, которая строится на множестве кусочно-непрерывных функций, определенных на конечном числе подобластей.

Расчеты температурных зависимостей проводились при различных плотностях мощности, длительностях лазерного импульса, расстояниях между пластинами. При этом использовались следующие теплофизические характеристики:

титан - плотность ρ = 4507 кг/м3, температура плавления tпл = 1668 ºС, коэффициент теплопроводности θ = 21,9 Вт/(м∙К), коэффициент температуропроводности χ = 1,19∙10-4 м2/с.

Аналитические расчеты проводились в предположении, что контакт между отдельными слоями не является идеальным, т.е. на границе раздела существует термическое сопротивление, величина которого зависит от чистоты обработки поверхностей, номинального давления между пластинами, пластических свойств свариваемых материалов и т.д. При сварке лазером нормальное усилие, как правило, отсутствует, и термическое сопротивление на границе раздела материалов может достигать значительной величины, несмотря на высокий класс чистоты поверхностей.

2.2     Исследование влияния энергетических и временных характеристик, а также условий фокусировки импульсного лазерного излучения на плавление титановых сплавов толщиной 0,5 мм

Рассмотрим влияние радиуса пятна лазерного излучения на распределение температурного поля по глубине образца.

Расчеты проводились для образцов из титановых сплавов ВТ1-0 с геометрическими размерами 1х1х0,5 мм и ПТ7-М цилиндрической формы диаметром 500 мкм и высотой 0,6 мм.

Расчет температурных полей для сплава ВТ1-0 проводился в три этапа: 1 - при диаметре пятна 250 мкм; 2 - при диаметре пятна 200 мкм, 3 - при диаметре пятна 150 мкм. Длительность импульса оставалась неизменна в течение всего эксперимента [7].

Рисунок 5 - Пространственное распределение температуры в образце из титанового сплава ВТ1-0 (длительность импульса 4 мс, диаметр пятна 250 мкм)

На рисунке 6 приведено распределение температурных полей в образце из сплава ВТ1-0 по глубине для пятна диаметром 250 мкм.

Рисунок 6 - Распределение температуры по глубине образца для пятна диаметром 250 мкм (длительность импульса τ = 4 мс)

Рисунок 7 - Пространственное распределение температуры в образце титанового сплава ВТ1-0 (длительность импульса 4 мс, диаметр пятна 200 мкм)

Рисунок 8 - Распределение температуры по глубине образца для пятна диаметром 200 мкм (длительность импульса τ = 4 мс)

Рисунок 9 - Пространственное распределение температуры в образце из сплава ВТ1-0 (длительность импульса 4 мс, диаметр пятна 150 мкм)

На рисунке 10 приведено распределение температурных полей в образце из нержавеющей стали 12Х18Н10Т по глубине

Рисунок 10 - Распределение температуры по глубине образца для пятна диаметром 150 мкм (длительность импульса τ = 4 мс)

На рисунке 11 приведено сравнение глубин проплавления в образце из титанового сплава ВТ1-0 для различных диаметров пучка лазерного излучения.

Анализ полученных результатов показывает, что оптимальным диаметром пятна лазерного излучения для наиболее глубокого проплавления является 150 мкм.

Расчет температурных полей для образца из сплава ПТ7-М проводился в несколько этапов. На первом этапе длительность лазерного импульса была неизменна: 5 мс, а варьировалась энергия: 0,75 Дж, 1,1 Дж, 1,4 Дж.

На рисунке 12 показано пространственное распределение температуры по координатам X,Y,Z для образца из титанового сплава ПТ7-М при длительности импульса τ = 5 мс и энергии 0,75 Дж.

Рисунок 11 - Глубины проплавления для пучков различного диаметра

Где d, d1, d2 - диаметры соответственно 250, 200 и 150 мкм, D, D1, D2 - диаметры зон проплавления для пучков d, d1, d2 соответственно, h, h1, h2 - глубины проплавления при воздействии пятна лазерного излучения диаметров d, d1, d2 соответственно. h = 0,1 мм, h1 = 0,4 мм, h2 = 0,6 мм.

Рисунок 12 - Пространственное распределение температуры в образце из титанового сплава ПТ7-М (длительность импульса 5 мс, энергия 0,75 Дж)

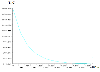
На рисунке 13 приведено распределение температуры в образце из сплава ПТ7-М по глубине для пятна диаметром 250 мкм.

Рисунок 13 - Распределение температуры по глубине образца для пятна диаметром 250 мкм (длительность импульса τ = 5 мс, Е = 0,75 Дж), К

На рисунках 14, 15 показаны пространственное распределение температуры в образце и распределение по глубине при диаметре пятна 250 мкм, энергии лазерного импульса 1,1 Дж и длительности 5 мс.

Рисунок 14 - Пространственное распределение температуры в образце из титанового сплава ПТ7-М (длительность импульса 5 мс, энергия 1,1 Дж), С

Рисунок 15 - Распределение температуры по глубине образца для пятна диаметром 250 мкм (длительность импульса τ = 5 мс, энергия 1,1 Дж)

На рисунке 16 показано распределение температуры в образце при длительности импульса 5 мс и энергии 1,4 Дж.

      

Рисунок 16 - Пространственное распределение температуры в образце из титанового сплава ПТ7-М (длительность импульса 5 мс, энергия 1,4 Дж)

На рисунке 17 приведено распределение температурных полей в образце из титанового сплава ПТ7-М по глубине.

Рисунок 17 - Распределение температуры по глубине образца для пятна диаметром 150 мкм (длительность импульса τ = 4 мс)

На втором этапе расчетов длительность лазерного импульса была уменьшена до 3 мс, а значения энергии равнялись 0,9 Дж и 1,5 Дж.

Рисунок 18 - Пространственное распределение температуры в образце из титанового сплава ПТ7-М (длительность импульса 3 мс, энергия 0,9 Дж)

Рисунок 19 - Распределение температуры по глубине образца для пятна диаметром 250 мкм (длительность импульса τ = 3 мс, энергия 0,9 Дж)

Рисунок 20 - Пространственное распределение температуры в образце из титанового сплава ПТ7-М (длительность импульса 3 мс, энергия 1,5 Дж)

Рисунок 21 - Распределение температуры по глубине образца для пятна диаметром 250 мкм (длительность импульса τ = 3 мс, энергия 1,5 Дж)

На последнем этапе длительность импульса была уменьшена до 1 мс, а энергия равнялась 0,5 Дж и 1,5 Дж.

Рисунок 22 - Пространственное распределение температуры в образце из титанового сплава ПТ7-М (длительность импульса 1 мс, энергия 0,5 Дж)

Рисунок 23 - Распределение температуры по глубине образца для пятна диаметром 250 мкм (длительность импульса τ = 1 мс, энергия 0,5 Дж)

Рисунок 24 - Пространственное распределение температуры в образце из титанового сплава ПТ7-М (длительность импульса 1 мс, энергия 1,5 Дж)

Рисунок 25 - Распределение температуры по глубине образца для пятна диаметром 250 мкм (длительность импульса τ = 1 мс, энергия 1,5 Дж)

Дальнейшее увеличение энергии лазерного импульса при длительности в 1мс не считается целесообразным, так как глубина проплавления слабо зависит от увеличения энергии, т.е. чтобы увеличить глубину проплавления необходимо существенное повышение энергии. Таким образом, для сварки титановых сплавов толщиной менее 1 мм длительность лазерного импульса 3-5 мс является оптимальной. Увеличение или уменьшение длительности при данных значениях энергии ведет к уменьшению глубины проплавления и, следовательно, к ухудшению качества сварного соединения. Увеличение энергии импульса для сварки титановых сплавов данной толщины ведет к нежелательным процессам в области воздействия лазерного излучения, в частности, к выносу материала из сварочной ванны, что также отрицательно сказывается на качестве сварного соединения.

Анализ полученных результатов показывает, что оптимальным значениями энергии и длительности лазерного импульса для сварки титановых сплавов менее 1 мм являются: E = 1,4 Дж; t = 5 мс и E = 1,5Дж; t = 3 мс.

2.3   
Экспериментальные исследования процессов лазерной сварки титановых сплавов

При разработке технологических процессов сварки титановых сплавов лучом лазера для обеспечения качества и надежности соединений необходимо учитывать следующие положения.

1   Подготовку свариваемых кромок следует выполнять на металлорежущих станках (строгание, фрезерование, точение), что обеспечивает необходимую точность и отсутствие изменения структуры в месте обработки.

2   Поверхность металла в зоне сварки следует очищать от окалины, ржавчины, других загрязнений, а также от влаги. Перечисленные загрязнения создают условия для образования пористости, окисных включений, а в некоторых случаях и трещин в металле шва и в зоне термического влияния за счет насыщения водородом.

3   Зачистку поверхности следует производить щетками из нержавеющей стали на участке не менее 10…15 мм как сверху, так и снизу свариваемых кромок. Зачищаются также и торцы, если они имеют окисленную поверхность. После зачистки место сварки обезжиривают.

4   В случае сварки деталей, упрочняемых термической обработкой, особенно крупногабаритных, подготовку кромок под сварку (подрез торца, выполнение разделки) и их зачистку следует выполнять после термической обработки для обеспечения необходимой точности сборки свариваемых деталей и параметров шероховатости поверхности.

5   Сборка под сварку должна обеспечивать возможность тщательной подгонки кромок на всей длине шва с минимальным зазором за счет применения специальных сборочных приспособлений.

6   При сборке под сварку ставить прихватки не рекомендуется. В случае необходимости прихватки выполнять лучом лазера

7   По возможности предусматривать припуск (0,5…0,8 мм) по толщине свариваемых кромок на обработку лицевой и корневой поверхности шва для ликвидации возможных подрезов и неравномерных проплавов.

При разработке технологии сварки изделий из титановых сплавов необходимо иметь представление об основных параметрах режимов процесса, их взаимосвязи и влиянии на критерии, определяющие качество сварного соединения. Оптимизация параметров режимов по критериям качества является главной задачей при выборе режимов любого технологического процесса и, в частности, лазерной сварки [5].

Основными параметрами импульсной лазерной сварки являются: энергия импульса, длительность импульса, диаметр сфокусированного луча, положение фокального пятна относительно свариваемой поверхности (степень расфокусировки), скорость сварки, частота следования импульсов [5-6].

Кроме того, существуют технологические приёмы, такие, как защита шва от окисления, дополнительное легирование или подача присадочного материала, сканирование луча и некоторые другие, при осуществлении которых появляются дополнительные параметры.

Критерии качества сварных соединений весьма разнообразны и зависят от технических требований к изделию. Наиболее общими критериями считаются: геометрия сварного шва, или размеры литой зоны, механические свойства соединений, технологическая прочность, отсутствие внутренних и внешних дефектов, химический состав и структура шва.

Параметры режимов сварки. Рассмотрим подробнее указанные параметры режимов и их связь с критериями качества с точки зрения оптимизации технологии импульсной лазерной сварки

Энергия в импульсе - основная энергетическая характеристика, существенно определяющая процесс сварки. Она влияет как на общее количество теплоты, введённое в зону воздействия, так и на некоторые характеристики излучения (длительность импульса, его структуру и расходимость). Энергия измеряется в Дж и обозначается W. Энергию импульса, необходимую для расплавления металла без выплеска, можно ориентировочно оценить по формуле

,

где t - длительность импульса; r - радиус сфокусированного пучка.

Диаметр сфокусированного луча влияет как на площадь обработки, так и на плотность мощности E (Вт/см2), которая зависит от него следующим образом:

.

лазерный сварка титановый сплав

При выборе диаметра сфокусированного луча следует учитывать соотношение необходимой площади нагрева с плотностью мощности, требуемой для получения заданной глубины проплавления. Для сварки используют диаметры сфокусированного луча в диапазоне от 0,05 до 1,0 мм. Формирование необходимого диаметра луча зависит также от фокусного расстояния линзы, которое при сварке выбирается в диапазоне от 30 до 100 мм.

Для регулирования плотности мощности в световом пятне и его диаметра широко применяют расфокусировку излучения. При этом поверхность свариваемых деталей располагают выше или ниже фокальной плоскости объектива, где сфокусированный световой пучок имеет наименьший диаметр. Применяя расфокусировку при сварке, следует иметь в виду, что при расположении поверхности деталей над фокальной плоскостью, в случае прогиба сварочной ванны, плотность мощности на её поверхности увеличивается и испарение становится более интенсивным. Это может привести к нежелательным результатам. Поэтому при сварке расфокусировку осуществляют обычно перемещением свариваемых деталей под фокальную плоскость объектива.

Параметр скорости сварки рассматривается при сварке малых толщин только при шовной сварке. При импульсном режиме шов образуется путём наложения сварных точек (с некоторым перекрытием). В зависимости от назначения сварного соединения коэффициент перекрытия может быть в пределах 0,3…0,9. Для вакуумных швов он должен быть не менее 0,5. Скорость шовной импульсной сварки определяется диаметром сварных точек d, коэффициентом их перекрытия k и частотой следования импульсов f:

.

При заданном коэффициенте перекрытия, от которого зависит качество шва, например его прочность или герметичность, увеличить скорость сварки можно за счёт увеличения диаметра светового пятна или его вытягивания в направлении шва. Увеличение диаметра ограничивается возможностями применяемого оборудования. Кроме того, увеличение диаметра светового пятна не всегда приемлемо по конструктивным соображениям. В этих случаях при сохранении ширины шва скорость сварки можно повысить за счёт вытягивания светового пятна.

Промышленные сварочные установки с твердотельными лазерами позволяют вести шовную сварку со скоростью до 300 мм/мин при частоте следования импульсов до 20 Гц. Дальнейшее увеличение производительности требует увеличения частоты импульсов.

В ходе экспериментальных исследований определены основные характеристики технологического процесса сварки образцов из титановых сплавов.

Для сварки использовался твердотельный лазер на YAG, работающий в режиме свободной генерации, со следующими параметрами:

энергия в импульсе - до 2-10 Дж;

длительность импульса - 3-5·10 - 3 с;

частота следования импульсов - до 20 Гц;

расходимость излучения - 17 мрад;

диаметр сфокусированного пятна - 0,2 - 1,2 мм;

коэффициент перекрытия - 0,3 - 0,5.

Результаты экспериментальных работ по лазерной сварке изделий из титановых сплавов представлены в таблице 3.

Таблица 3

Технологические режимы лазерной сварки изделий из титановых сплавов

Материал

Энергия в импульсе, Дж

Длительность импульса, мс

Частота следования импульсов, Гц

Диаметр пятна, мм

Коэффициент перекрытия

Газовая среда

Титановый сплав ВТ1-0  Титановый сплав ПТ7-М

4    1-1,5

3    3-5

8    8

0,9-1    0,5

0,5   0,5

He-Ar (Ar-CO2)  He-Ar (Ar-СO2)


Защиту поверхности шва от окисления необходимо осуществлять через сопло гелием или смесью гелия с аргоном в соотношении 2:1, а также аргона с углекислым газом при соотношении 3:1. Корень шва с обратной стороны необходимо защищать аргоном.

Результаты испытаний образцов из титановых сплавов показали, что сварные соединения герметичны.

ЗАКЛЮЧЕНИЕ

В ходе выполнения курсовой работы проведен поиск и анализ научной и патентной литературы.

Изучены физические особенности лазерной сварки титановых сплавов и условия получения качественных сварных соединений.

С помощью метода конечных элементов проведены расчеты распределения температурных полей по поверхности и глубине образцов из титановых сплавов. Расчеты проводились в предположении, что контакт между отдельными слоями не является идеальным, т.е. на границе раздела существует термическое сопротивление, величина которого зависит от чистоты обработки поверхностей, номинального давления между пластинами, пластических свойств свариваемых материалов и т.д.

Исследовано влияния энергетических и временных характеристик, а также условий фокусировки импульсного лазерного излучения на плавление титановых сплавов малых толщин.

Таким образом, для сварки титановых сплавов толщиной менее 1 мм длительность лазерного импульса 3-5 мс является оптимальной. Увеличение или уменьшение длительности при данных значениях энергии ведет к уменьшению глубины проплавления и, следовательно, к ухудшению качества сварного соединения. Увеличение энергии импульса для сварки титановых сплавов данной толщины ведет к нежелательным процессам в области воздействия лазерного излучения, в частности, к выносу материала из сварочной ванны, что также отрицательно сказывается на качестве сварного соединения. Установлено, что оптимальным диаметром пятна лазерного излучения для наиболее глубокого проплавления является 150 мкм.

СПИСОК ИСПОЛЬЗОВАННЫХ ИСТОЧНИКОВ

1. Лазерная и электронно-лучевая обработка материалов: Справочник / Н.Н. Рыкалин, А.А. Углов, И.В. Зуев, А.Н. Кокора.- М.: Машиностроение, 1985.- 496 с., ил.

2. Григорьянц А. Г. Основы лазерной обработки материалов. - М.: Машиостроение, 1989.-304с.

3. Колачев Б. А., Елагин В. И., Ливанов В. А. Металловедение и термическая обработка цветных металлов и сплавов. Учебник для вузов.- 3-е изд., перераб. и доп. - М.: МИСИС 1999. - 416с

4. Лазерная сварка пористых и компактных титановых элементов / Н.К. Толочко, К. И. Аршинов, И. А. Ядройцеев и др. // Физика и химия обраб. Материалов. - № 4. - С 75-78.

5. Федоров С. А. Сварка лазерным лучом тонкостенных конструкций из титановых сплавов по лазерному резу / C. А. Федоров// Свароч. пр-во. - 1993. - № 8. - С. 16

6. Штамповка, сварка, пайка и термообработка титана и его сплавов в авиастроении / А. Г. Братухин, Ю. Л. Иванов, Б. Н. Марьин и др.; под ред. А. Г. Братухина и др. - М.: Машиностроение, 1997. - 600с.

7. Есьман Р.И., Бахмат В.А., Королев В.М. Теплофизика литейных процессов.- Мн.: Беларуская навука. 1998.- 144 с.: ил.

Похожие работы на - Исследование температурных зависимостей в образцах при воздействии лазерными импульсами различной длительности

 

Не нашли материал для своей работы?
Поможем написать уникальную работу
Без плагиата!
Без нейросетей!