Гормон окситоцин
МИНОБРНАУКИ
ФЕДЕРАЛЬНОЕ ГОСУДАРСТВЕННОЕ БЮДЖЕТНОЕ ОБРАЗОВАТЕЛЬНОЕ УЧРЕЖДЕНИЕ МГТУ МИРЭА
Факультет:
Кибернетики
Базовая
кафедра: №540 - "Биомедицинская электроника"
КУРСОВАЯ
РАБОТА
на
тему:
"Гормон
окситоцин"
Дисциплина:
"Биология человека"
МОСКВА
2013
Содержание
Введение
1. Химическая структура и синтез окситоцина
1.1 Роль в терморегуляции
1.2
Стимуляция сокращения матки
2. Окситоцин и патологии
.1 Аутизм
.2 Депрессия и синдром беспокойных
ног
.3 Синдром "Неонатального
отделения от матери"
.4 Неустойчивый вес
.5 Позднее развитие речи и сниженный
интеллект
. Нейрохимия личных отношений
.1 Парохиальный альтруизм
Заключение
Список литературы
Введение
Курсовая работа посвящена гормону окситоцину,
его различным свойствам и функциям в работе организма. Рассмотрены свойства
окситоцина с точки зрения эволюционных теорий и влияние окситоцина на возможное
возникновение патологий в организме человека. Основными источниками материала
для данной работы являются: книга в двух томах Александра Маркова
"Эволюция человека" и статья из журнала "Психофармакология и
биологическая наркология".
История открытия
Первооткрывателем окситоцина считается
американский биохимик Винсент Дю Виньо. Работы дю Виньо над гормонами задней
доли гипофиза окситоцином и вазопрессином начались в 1932 году и продолжились
до 1940 года, когда они были прерваны Второй мировой войной. В это время
основными направлениями лаборатории были метаболические аспекты
транссульфурирования и трансметилирования, и дю Виньо считал работу над
гормонами задней доли гипофиза своим хобби. Определённые результаты были
достигнуты в методах очистки гормонов, преимущественно с использованием методик
осаждения и электрофореза, но наиболее важными были некоторые предварительные
наблюдения, позволившие предположить, что окситоцин и вазопрессин являются
производными цистина. Во время войны стали доступны новые методики, что сильно
повлияло на проект по изучению гормонов задней доли гипофиза. Непосредственную
важность представляла методика противоточного распределения Крейга,
опубликованная в 1944 году, и методика колоночной хроматографии с крахмалом
Мура и Штайна для количественного разделения смесей аминокислот кислотного
гидролизата белка в микромасштабах. Дю Виньо вернулся к изучению гормонов
задней доли гипофиза в 1947 году. Качественный состав окситоцина был установлен
по анализу кислотного гидролизата по методике Мура-Штайна. Циклическая природа
гормона была доказана окислением пероксомуравьиной кислотой и последующим
анализом гидролизата, который показал наличие цистиновой кислоты. Цикл
замыкался путем образования дисульфидной связи между двумя остатками цистеина.
Структура окситоцина была установлена по динитрофторбензольному методу Сенгера
и сочетанием метода Эдмана с анализом частичных кислотных гидролизатов. После
установления структуры ученый подтвердил ее синтезом[1]. Открытия дю Виньо,
связанные с окситоцином и вазопрессином, имели фундаментальную значимость.
Впервые было продемонстрировано, что замена определенных аминокислотных
остатков в последовательности физиологически активного пептида, может вызвать
существенные изменения в биологическом поведении. В 1955 году дю Виньо
удостоился получения Нобелевской премии по химии "за выделение,
структурную идентификацию и общий синтез циклического пептида,
окситоцина".
Общие понятия
Окситоцин - гормон, выделяемый задней долей
железы гипофиза, который воздействует на кровяное давление, усиливает
сокращения матки и контролирует функцию выделения молока молочными железами[2].
Роль окситоцина не ограничивается его влиянием на матку и молочные железы, о
чем свидетельствует его наличие не только у представителей класса
млекопитающих, но и у других позвоночных. Кроме того, окситоцин существенно
изменяет водно - солевой гомеостаз, проявляя антагонистические по отношению к
родственному гормону - вазопрессину свойства, фактически являясь диуретиком.
Многочисленны и противоречивы данные о влиянии окситоцина на артериальное
давление.
1. Химическая структура и
синтез окситоцина
Окситоцин не является собственным гормоном
нейрогипофиза, а лишь накапливается в нем, перемещаясь по аксонам гипоталамо-
гипофизарного пучка из ядер переднего гипоталамуса - супраоптического и
паравентрикулярного, в нейронах которых он и синтезируется. В настоящее время
установлено, что окситоцинергические нейроны в большей степени сосредоточены в
паравентрикулярном ядре, нежели в супраоптическом[3]. Основной особенностью
этих нейросекреторных клеток является наличие специфических гранул, интенсивно
окрашивающихся по методу Гомори (Гомори - положительных) и содержащихся в
разном количестве как в нейроплазме, так и в отростках - аксонах и дендритах, а
также заполняющие расширения этих отростков - так называемые тельца Херринга.
Гранулы с нейросекретом перемещаются по нервным волокнам в нейрогипофиз, где
частично накапливаются в виде телец Херринга, а главным образом в
вазонейральных синапсах, которыми заканчиваются эти аксоны на капиллярах
нейрогипофиза, и поступают с током крови на периферию. Нейросекрет выделяется
не только в кровь, но и в полость желудочка или в воронкообразное углубление
благодаря тому, что некоторые дендриты нейросекреторных клеток внедряются между
клетками эпендимы и достигают своими окончаниями полостей желудочковой системы.
Синтез окситоцина осуществляется по классической
схеме, характерной для синтеза веществ пептидной природы: ДНК - РНК - белок.
Синтезируемый прогормон накапливается внутри клетки и высвобождается путем
экзоцитоза под воздействием различных стимулов. Регуляция синтеза окситоцина
осуществляется. По принципу "обратной связи " - при выделении
окситоцина в кровь он воздействует на клетки эндотелия капилляров мозга таким
образом, что увеличивается или уменьшается способность специфического усвоения
нейронами предшественников РНК, необходимых для пептидного синтеза. Синтез и
секреция окситоцина может регулироваться рефлекторно при раздражении рецепторов
растяжения шейки матки, рецепторов сосков молочных желез. Синтез и секреция
окситоцина прямо зависят от уровня эстрогенов в крови (Wallace J. et al.,
1991).
Окситоцин по своей химической структуре
представляет собой октапептид, т.е. состоит из 9 аминокислот, молекула его
имеет циклический характер благодаря наличию дисульфидной связи. От молекулы
вазопрессина окситоцин отличается лишь аминокислотами в 3, 4 и 8 положениях.
Поэтому данные соединения обладают одновременно прессорным, антидиуретическим и
окситоцическим действием, хотя и в разной степени. Если в 8 положении находится
основная аминокислота - аргинин или лизин, то соединение приобретает
вазопрессорное или антидиуретическое действие. Если 8 положение занято
нейтральной аминокислотой (лейцином), то соединение проявляет окситоцические
свойства.
.1 Роль в терморегуляции
Известным эффектом окситоцина является его
способность индуцировать гипертермию; Инъекция небольших количеств гормона
непосредственно в область переднего гипоталамуса, преоптическую область или
желудочки мозга вызывала подьем температуры (Richard P. et al., 1991).
Окситоцин также способен снижать температуру кожи, вызывая сосудистый спазм, тем
самым принимая участие в энергосберегающей системе организма (Agren G. et al.,
1995). Напротив, циркулирующий окситоцин может также вызывать дилатацию кожных
сосудов, особенно заметно в областях, окружающих молочные железы лактирующих
крыс, возможно для передачи тепла от матери к новорожденным (Uvnas-Moberg К.,
Ericsson M., 1996).
1.2 Стимуляция сокращения матки
Окситоцин оказывает стимулирующее действие на
гладкую мускулатуру матки, повышает сократительную активность и, в меньшей
степени, тонус миометрия. Это действие связано с влиянием окситоцина на
мембраны клеток миометрия; непосредственного влияния на сократительные элементы
миоплазмы он не оказывает. Под воздействием окситоцина усиливается
проницаемость мембраны для ионов калия, понижается ее потенциал и повышается
возбудимость. Окситоцин повышает также секрецию молока, усиливая выработку
лактогенного гормона передней доли гипофиза (пролактина). Кроме того, он может
вызывать быстрое выделение (выбрасывание) молока из молочной железы в связи с
воздействием на ее сократимые элементы. В малых концентрациях окситоцин
увеличивает частоту и амплитуду сокращений матки, в больших концентрациях
способствует повышению тонуса матки, учащению и усилению её сокращений (вплоть
до тетанических сокращений или развития тонической контрактуры матки).
Окситоцин содействует сокращению шейки матки перед родами и в течение второго и
третьего периода схваток. Выделение окситоцина во время грудного вскармливания
производит умеренные, но часто болезненные сокращения во время первых недель
лактации. Это служит для свертывания крови в креплении плаценты в матке[4].
2. Окситоцин и патологии
Роль гормона окситоцина в регуляции эстрального
цикла, беременности и лактации хорошо известна и была рассмотрена выше.
Введение окситоцина грызунам вызывает известные двигательные стереотипии разной
длительности: у новорожденных - сосательные движения челюстей , у взрослых -
груминг . Достаточно убедительно документировано участие пептида в механизмах
внимания и кратковременной памяти ,узнавании знакомых лиц и социальном
поведении . Показано, что в "гиперсоциальном" эффекте
("экстази") участвуют рецепторы окситоцина (ОТ) и серотонина . Это
побудило исследователей обратить внимание на возможное участие окситоцина в ряде
патологий, сопряженных с нарушениями социальных контактов . Наиболее очевидными
из них являются аутизм, депрессии и синдром неонатального отделения от матери.
Естественной моделью состояния, характеризуемого снижением социальных
контактов, является сон. Несмотря на сложность генеза каждой из перечисленных
патологий и фаз сна, сравнительный анализ характерных для них изменений
соматовисцеральной активности свидетельствует об их сходстве по ряду
двигательных компонентов, а так же реакций сердечнососудистой и дыхательной
систем. Можно предположить, что окситоцин является ключевым фактором,
обусловливающим это сходство. Однако определенная противоречивость данных
клиники и результатов экспериментов на животных, а также сложность
взаимодействия окситоцина с другими гормонами и медиаторами требуют более
детального анализа на примере каждой из указанных патологий, сопряженных с
изменениями функций двигательной и висцеральных систем[5].
2.1 Аутизм
Известно, что формирование признаков аутизма у
человека происходит в пренатальный или ранний постнатальный периоды. Одной из
причин аутизма считается ряд генетических нарушений, которые могут возникать
под влиянием воспалительных процессов и экологических факторов [126, 169]. В
зависимости от времени формирования этих нарушений и обусловивших их факторов
проявления аутизма могут несколько различаться, однако основной комплекс
характерных для аутизма признаков сохраняется. К ним относят: дефициты
социального общения, избегание взгляда, навязчивые двигательные стереотипии
(необычные повторяющиеся касания объектов и самостимулирующее, иногда само
повреждающее поведение), упорная приверженность к рутине или ритуалам,
повышенная резистентность дыхательных путей. Нарушения речи, памяти и
когнитивных функций, сопряженные с пре- и постна-тальными, в том числе
генетически обусловленными, изменениями в развитии нервной системы, приводящими
к преобладанию внутриполушарных связей над межполушарными, преимущественно
наблюдаются у мальчиков . У пациентов с аутизмом изменения генома были выявлены
в 11 областях, четыре из которых локализованы на хромосомах 2q, 7q, 16p и 19p,
одна в области 15q11-q13 и шесть дополнительных областей на хромосомах 4q, 5p,
6q, 10q, 18q и Xp Обнаружена корреляция между аутизмом и мутацией гена одной из
субъединиц (В3) ГАМКАрецептора, а также -с нарушением экспрессии транспортера
серотонина (5НТТ). Показано, что при аутизме активность транспортера серотонина
в нейронах возрастает [129]. Помимо ГАМК и серотонин зависимых механизмов,
фактором формирования компонентов синдрома аутизма могут быть нарушения
окситоцинергической системы мозга . Так, у человека асоциальность и навязчивые
повторяющиеся двигательные стереотипии при аутизме сопряжены с хромосомными
нарушениями в области 20р 11-1-11-2, расположенной проксимальнее гена ОТ и содержащей
ген, кодирующий "прогормональную" конвертазу РС2. Интраназальные
инфузии нонапептида увеличивали социальные контакты и уменьшали выраженность
двигательных компонентов синдрома аутизма. Показано, что, в отличие от
здоровых, для детей с аутизмом характерен сниженный уровень ОТ в плазме крови и
отсутствие его повышения с возрастом. Кроме того, с нарушениями в хромосоме 15q
13-14, отмеченными при аутизме, сопряжены и проявления синдрома Прадер-Вилли,
связанного с уменьшением числа ОТ-ергических нейронов в гипоталамусе, снижением
концентрации ОТ в плазме крови и увеличением ее в ликворе. Среди факторов
снижения секреции ОТ можно назвать высокий уровень норадреналина и
тестостерона. Известно, что при активации симпато-адреналовой системы в начале
стресс-ответа норадреналин подавляет секрецию ОТ как компонент ориентировочной
реакции, относящейся к предыдущей стадии общего адаптационного синдрома .
Двусторонняя орхидэктомия и вызванное этим снижение концентрации тестостерона в
плазме крови крыс приводили к достоверному и значительному росту содержания ОТ
в плазме крови . Поскольку тестостерон на фоне снижения прогестерона
(предшественника андрогенов) и эстрадиола (производного андрогенов) вызывает
агрессию и подавляет экспрессию ОТ в переднем мозге и стволе, то он может быть
причиной формирования локальной нервной сети с высокой возбудимостью, лежащей в
основе агрессивности, опережающей внешние воздействия, характерных для
пациентов с аутизмом. Кроме того, большая частота аутизма у мальчиков также
может быть связана с присущим полу высоким уровнем тестостерона. Однако
введение ОТ в III желудочек мозга бодрствующим мышам на фоне эндогенного ОТ,
характерного для нормы, также вызывают повторяющиеся стереотипии: вытягивания,
вздрагивания, писк и повторяющийся груминг, у крыс - груминг, особенно области
гениталий, и хлопанье крыльями у цыплят. Однократные интраназальные введения
нонапептида самцам крыс в тесте "открытое поле" в условиях стресса
новизны, когда уровень секреции эндогенного ОТ повышен, оказывали длительное (до
72 час) стимулирующее двигательную активность воздействие с запуском ряда
стереотипий. Среди них локомоции, длительный груминг морды, переходящий в
груминг тела и генез длительно повторяющейся стереотипии "чеса",
состоящей из комплекса последовательных реакций: замах задней конечностью и
груминг ею головы, скусывание с пальцев этой конечности и возвращение ее в
исходное положение и далее -многократные "автоматизированные" повторы
данного комплекса движений. Эта стереотипия не наблюдалась в фоне, при введении
растворителя, антисыворотки к окситоцину либо смеси антисыворотки с
окситоцином. Как уже упоминалось, введения ОТ новорожденным крысятам вызывали
двигательную стереотипию челюстных мышц - повторяющиеся сосательные движения.
Известно, что ОТ, как и другие гормоны матери, может поступать новорожденным с
молоком. Периферические и центральные введения ОТ у крыс тормозят угасание
двигательных реакций и этим затрудняют переключение с одной реакции на другую.
Это может способствовать формированию длительно существующей доминанты
навязчивого комплекса движений. Центральное введение нонапептида вазопрессина,
родственного OT, приводит к усилению агрессивности и самоповреждающему
поведению у грызунов,которое наблюдается в виде стереотипий и у детей с
аутизмом (например, повторяющиеся удары головой). Сходство двигательных
синдромов, характерных для пациентов с аутизмом при сниженном уровне
эндогенного ОТ, и комплексов реакций, запускаемых у животных введениями
экзогенного гормона, требует дополнительных исследований. Оно может быть
результатом суммации у грызунов влияний экзо- и эндогенного ОТ, приводящей к
концентрационно зависимому подавлению синтеза рецепторов ОТ (либоснижению их
аффинности) в гипоталамусе. Логично предположить и усиленную активацию
окситоциназ в этих условиях, что может приводить к изменению соотношения ОТ и
его фрагментов, в чем некоторые авторы видят одну из причин аутизма.В целом
данные исследований, проведенных на человеке и в модельных опытах на животных,
свидетельствуют о роли активности окситоцинергической системы в формировании
таких признаков аутизма как двигательные расстройства и асоциальное поведение.
Это обусловлено, прежде всего, участием ОТ в регуляция возбудимости и
лабильности нервной системы. Рассмотрим возможность участия окситоцинергической
системы в генезе некоторых признаков депрессии[5].
.2 Депрессия и синдром "беспокойных
ног"
окситоцин патологии нейрохимия
альтруизм
Согласно современным представлениям депрессивные
расстройства являются следствием длительного воздействия эндо и/или экзогенных
стрессорных факторов, среди которых следует отметить психосоциальные факторы.
При этом обязательным условием характерного для депрессии длительного
увеличения секреции ГК является нарушение обратной отрицательной связи:
снижается число и аффинность рецепторов ГК и минералкортикостероидов в нейронах
мозга, в первую очередь, в гиппокампе и кортиколиберин-секретирующих нейронах
гипоталамуса. Авторы задаются вопросом: может ли подавление секреции ОТ и
активности серотонинергической системы быть фактором двигательных расстройств,
наблюдаемых не только при аутизме, но и при депрессии? Если при аутизме это
повышенная тревожность, низкая концентрация внимания и повышенная двигательная
активность в виде, прежде всего, стереотипий, то к числу двигательных
расстройств, характерных для депрессии, относится синдром "беспокойных
ног" (СБН). Синдром начинается с неприятных ощущений в мышцах
(парастезий), которые нивелируются периодическими навязчивыми (как при аутизме)
движениями ног во сне. В бодрствовании, особенно при повышенной тревожности
(что может быть свидетельством, в частности, снижения секреции ОТ как
анксиолитика), синдром беспокойных ног представлен навязчивым стремлением к
бесцельным длительным локомоциям. Облегчение неприятных ощущений в мышцах
нижних конечностей при подергиваниях и движениях указывает на сосудистую
природу парастезий при СБН.
Видимо, именно поэтому применяемые в клинической
практике агонисты допамина, обладающие вазодилататорным эффектом, приносят при
этом облегчение. Часто повторяющиеся движения конечностей приводят к
клиническим нарушеним сна, полисомнии, компенсаторной дневной сонливости и
хроническому чувству усталости , то есть к характерным признакам депрессии.
Очевидно, что описанные нарушения сна возможны
лишь при незначительном снижении возбудимости нервной системы. В норме,
напротив, высокий уровень секреции окситоцина, мелатонина, лептина и цитокинов
на стадии медленноволнового сна обусловливает усиление тормозных процессов в
ЦНС. Логично предположить, что характерное для депрессии увеличение секреции ГК
в сочетании со снижением уровня секреции названных "сомногенных"
гормонов, в том числе, и ОТ, может быть причиной повышенной возбудимости ЦНС на
медленноволновой стадии сна, делающей возможным проявления СБН и частых
просыпаний. Это предположение согласуется с наблюдениями клиницистов. Например,
у пациентов, страдающих СБН, могут проявляться симптомы депрессии; усталость,
нарушения сна, ухудшение внимания и психомоторное возбуждение. Заметим, что два
последних признака, как и двигательное расстройство, могут свидетельствовать, в
соответствии с функциями ОТ, о снижении уровня его секреции.
Это подтверждают также частое сочетание
депрессии и СБН с повышенной чувствительностью к боли и склонностью к
социальной изоляции, дефицитом внимания и двигательной гиперактивностью.
Частота ассоциации депрессии и СБН с обструктивным апноэ во сне согласуется с
моносинаптической активацией окситоцинергическими нейронами гипоталамуса центра
вдоха продолговатого мозга. Кроме того, связь депрессии и СБН с нарколепсией
перекликается с описанием нарколепсии при нарушениях в окситоцинергической
системе.Высокая частота сочетания у пациентов симптомов депрессии и СБН
позволила предположить, что эти патологии взаимообусловливают друг друга или же,
что одна и та же причина вызывает оба заболевании. По-видимому, то и другое
предположения справедливы, тем более что в генезе признаков обеих патологий
участвуют сходные медиаторы и гормоны. Помимо ОТ, ГК, пролактина, глутамата и
эндоканнабиноидов, к их числу можно отнести допамин и серотонин.
.3 Синдром "неонатального отделения от
матери"
Комплекс симптомов, характерных для детей,
которые были отлучены от матери и грудного вскармливания вскоре после рождения,
был описан сравнительно недавно и получил название синдрома "неонатального
отделения от матери" (Neonatal Maternal Selection, НОМ). К числу его
симптомов относят: преувеличенную гипервентиляцию на гипоксию, неустойчивый
вес, ускоренное половое развитие, позднее развитие речи и интеллекта. Очевидно,
что первопричиной их формирования является недостаточность тех гормонов матери,
которые в раннем постнатальном онтогенезе поступают новорожденному с молоком.
Последнее чрезвычайно важно для формирования так называемого
"гормонального импринтинга", облегчающего у ребенка транскрипцию
генов рецепторов к тем гормонам, которые у него отсутствуют или секретируются
еще на недостаточном уровне. Кроме того, гормоны материнского молока
обеспечивают рост, дифференцировку и активность клеток всех тканей ребенка, в том
числе, нервной, тогда как антитела и цитокины молока матери участвуют в
иммунной защите. По-видимому, в формировании некоторых симптомов синдрома НОМ
может участвовать и ОТ. Хотя двигательные расстройства пока не описаны как
компоненты данного синдрома, однако весьма высока возможность сходства
механизмов изменений висцеральных и интеллектуальных функций при данном
синдроме и патологиях, описанных выше.
.4 Преувеличенная гипервентиляция
на
гипоксию
Показано, что перед рождением ОТ матери
проникает через плаценту в церебральный кровоток плода и подготавливает мозг к
гипоксии во время родов через изменение типа ГАМКрецептора, опосредованно
переключая процессы возбуждения на преимущественно тормозные. Возможно, этот
механизм, а также антиоксидантные и иммуностимулирующие функции ОТ определяют
пик его секреции в 2.00-2.30 ночи, предваряющий завершение первой
медленноволновой стадии сна, которая сопряжена с падением частоты дыхания и
артериального давления, нарастающей гипоксией и снижением температуры тела. Нарастающая
гипоксия вызывает секрецию лептина из пре и адипоцитов, пик которой сопадает с
окситоцином на этой стадии сна.
Известный как ингибитор аппетита и пищевого
поведения, лептин усугубляет гипоксию, подавляя частоту дыхания на уровне
медуллярной зоны вдоха.
Способность ОТ облегчать периферический
интероцептивный вход к нейронам ядра солитарного тракта может способствовать
участию нонапептида в переключении от гиповентиляции на медленноволновой стадии
сна к гипервентиляции - на быстроволновой. Характерная для НОМ преувеличенная
гипервентиляция в ответ на гипоксию в сочетании с наличием окситоцин и
вазопрессинергических аксонов от паравентрикулярного ядра гипоталамуса,
адресованных медуллярной зоне вдоха и спинальному ядру диафрагмального нерва,
свидетельствуют о возможной роли гиперкомпенсаторной секреции ОТ у ребенка в
отсутствие материнского нонапептида.
Нельзя исключить участия в этой реакции
вазопрессина, секреция которого увеличивается на следующей быстроволновой
стадии сна, сопряженной с гипервентиляцией, и/или рецептора вазопрессина V1a,
имеющего аффинность и к ОТ. Синергистом окситоцина в гипервентиляции является
орексин А, синтезируемый в нейронах паравентрикулярного ядра гипоталамуса и
выделяемый окончаниями их аксонов в вентролатеральной медуллярной зоне вдоха.
Возможно участие и других факторов, секреция которых обусловлена гипоксией.
Вместе с тем, на ведущее значение ОТ в
формировании этого признака синдрома HOM указывают особенности синдрома
Прадер-Вилли, связанного с редкой делецией локуса 15q11-13 в 15й отцовской
хромосоме.
Этот редкий синдром характеризуется не только
уменьшением числа нейронов в паравентрикулярном и супраоптическом ядрах
человека, при этом ОТсодержащих - на 54 %, но и снижением частоты дыхания в
ответ на гипоксию. Изменения соотношения секреции ОТ и других гипоталамических
гормонов, регулирующих дыхательный центр ствола мозга, могут служить причиной
нарушений не только функций дыхательной системы, но метаболизма в целом.
.5 Неустойчивый вес
Очевидно, что неустойчивость веса
свидетельствует о нарушении механизмов гомеостатирования обмена веществ и
энергии, включающих, прежде всего, регуляцию поступление окислителя (кислорода)
и субстрата окисления (нутриентов), а также процессов окисления. Как было
указано выше, систему внешнего дыхания через дыхательный центр регулирует
комплекс гормонов и медиаторов, среди которых значительная роль отводится ОТ,
орексину и лептину. Тканевое дыхание активируют тиреоидные гормоны, а
поступление нутриентов определяет соотношение гормонов с орекси и
анорексигенными функциями, в том числе, орексина и лептина. Поскольку ОТ и
вазопрессин активируют орексинсекретирующие нейроны гипоталамуса, рассмотрим
возможность опосредованного через орексин участия ОТ в формировании признака
неустойчивого веса синдрома НОМ.
.6 Позднее развитие речи сниженный интеллект
Известно, что гипотиреоидизм беременных является
наиболее важным фактором риска нарушений развития нервной системы плода. У
новорожденных с синдромом НОМ изменение уровня тиреоидных гормонов в крови
может иметь аддитивный эффект либо быть фактором риска нарушений в
постнатальном развитии и функционировании нервной системы даже в случае
нормального гормонального статуса матери во время беременности. Позднее
развитие речи указывает на замедленное формирование не только соответствующих
зон премоторной и моторной коры больших полушарий, но и на затрудненность
формирования на уровне заднего мозга и мозжечка артикуляционных стереотипий и
связанных с речью паттернов дыхательных движений. Участие ОТ в регуляции
активности дыхательного центра, двигательных центров и механизмов памяти
позволяет предположить вклад нарушения уровня секреции нонапептида в
формирование и этого признака синдрома[5].
3. Нейрохимия личных отношений
В заключительной части работы я
приведу отрывки, с минимальными пояснениями, из глав книги "Эволюция
человека" биолога Александра Маркова.
Взаимоотношения между людьми
еще недавно казались биологам слишком сложными, чтобы всерьез исследовать их на
клеточном и молекулярном уровне. Тем более что теологи и гуманитарии всегда
были рады поддержать подобные опасения. Да и тысячелетние традиции, испокон
веков населявшие эту область всевозможными абсолютами, "высшими
смыслами" и прочими призраками, глубоко укоренились в нашей культуре.
Однако успехи, достигнутые в
последние десятилетия генетиками, биохимиками и нейрофизиологами, показали, что
изучение молекулярных основ нашей социальной жизни- дело вовсе не безнадежное
(Donaldson, Young, 2008).
Одно из самых интересных
открытий состоит в том, что некоторые молекулярные механизмы регуляции
социального поведения оказались на редкость консервативными - они существуют,
почти не меняясь, сотни миллионов лет и работают с одинаковой эффективностью
как у людей, так и у других животных. Типичный пример - система регуляции
социального поведения и общественных отношений с участием нейромедиаторов
окситоцина и вазопрессина.
Эти вещества могут работать и
как обычные нейромедиаторы (то есть передавать сигнал от одного нейрона другому
в индивидуальном порядке, через синапсы), и как нейромодуляторы (вещества,
выделяемые нейронами в межклеточное пространство и воспринимаемые
внесинаптическими рецепторами других нейронов), и как нейрогормоны (вещества,
выделяемые нейронами в кровь и регулирующие работу различных органов).
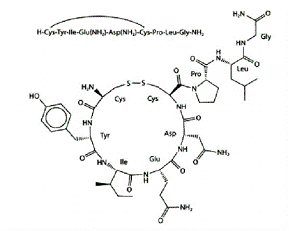
Рис. 1. Структура молекулы окситоцин: цистеин -
тирозин - изолейцин - глутамин - аспарагин - цистеин - пролин - лейцин -
глицин.
У млекопитающих окситоцин и
вазопрессин вырабатываются нейронами гипоталамуса. У беспозвоночных, не имеющих
гипоталамуса, соответствующие пептиды вырабатываются в аналогичных (или
гомологичных) нейросекреторных отделах нервной системы. Когда крысам пересадили
рыбий ген изотоцина (так называется гомолог окситоцина у рыб), пересаженный ген
стал работать у крыс не где-нибудь, а в гипоталамусе. Это значит, что не только
сами нейропептиды, но и системы регуляции их экспрессии (включая регуляторные
области генов нейропептидов) очень консервативны, то есть сходны по своим
функциям и свойствам у весьма далеких друг от друга животных.
У всех изученных животных эти
пептиды регулируют общественное и половое поведение, однако конкретные
механизмы их действия могут сильно различаться у разных видов. Например, у
улиток гомолог вазопрессина и окситоцина (конопрессин) регулирует откладку яиц
и эякуляцию. У позвоночных исходный ген удвоился, и пути двух получившихся
нейропептидов разошлись: окситоцин влияет больше на самок, а вазопрессин - на
самцов, хотя это далеко не строгое правило.

Если девственной крысе ввести в
мозг окситоцин, она начинает заботиться о чужих крысятах, хотя в нормальном
состоянии они ей глубоко безразличны. Напротив, если у крысы-матери подавить
выработку окситоцина или блокировать окситоциновые рецепторы, она теряет
интерес к своим детям.
Если у крыс окситоцин вызывает
заботу о детях вообще, в том числе о чужих, то у овец и людей дело обстоит
сложнее: тот же самый нейропептид обеспечивает избирательную привязанность
матери к собственным детям. Например, у овец под влиянием окситоцина после
родов происходят изменения в обонятельном отделе мозга (обонятельной луковице),
благодаря которым овца запоминает индивидуальный запах своих ягнят и только к
ним у нее развивается привязанность[6].
.1 Окситоцин и парохиальность
Одной из наук изучающих эволюцию человека
является эволюционная психология. Перед рассмотрением следующей части курсовой
работы необходимо уточнить несколько определений.
)Альтруизм (лат. - alter
- другой) в этике - нравственный принцип, предписывающий бескорыстные действия,
направленный на благо других людей. Способность приносить свою выгоду в жертву
ради общего блага[7].
)В биологии альтруизм: поведение, ведущее к
повышению "приспособленности" (репродуктивного успеха) других особей
в ущерб своим собственным шансам на успешное размножение.
)Парохиальный альтруизм - альтруизм
направленный, ориентированный только на "своих" и вместе с тем
сочетающийся с готовностью проявления агрессии к "чужим". Классификация
"свой/чужой" подразумевает межгрупповые отношения. "Свой" -
член группы (не обязательно родственник).
Отрывок из главы "Окситоцин и
парохиальность":
Разумеется, парохиальный альтруизм не канул в
лету: он и сегодня остается весьма характерной особенностью человеческой
психики и поведения. Многие люди готовы пожертвовать своими интересами (то есть
совершить альтруистический поступок) ради своих. При этом они часто с не
меньшей готовностью идут на жертвы и ради того, чтобы причинить ущерб
представителям враждебных групп. Действия террористов-самоубийц и военные
подвиги - типичные примеры такого поведения. При острой межгрупповой вражде
помощь своим и вред, причиненный чужим, в равной мере идут на пользу группе. В
человеческих обществах альтруистические действия обоих типов, как правило,
высоко ценятся, считаются "патриотическими",
"высокоморальными" и "героическими". Положительная связь
между репутацией и репродуктивным успехом особей (имеются в виду те, кто выжил
после геройского поступка) могла дополнительно подстегивать развитие
парохиального альтруизма у наших предков (это пример непрямой реципрокности, о
которой говорилось выше).
Если парохиальный альтруизм так
прочно укоренен в нашей психике и имеет столь глубокие эволюционные корни, то у
него должна быть и вполне четкая генетическая и нейрологическая основа.
Парохиальный альтруизм должен быть как-то "закодирован" в нашем
геноме и в структуре мозга. Более того, вполне могут существовать специфические
нейромодуляторы или гормоны, влияющие на соответствующие аспекты нашего
поведения.
Читатели вряд ли удивятся,
узнав, что первым "подозреваемым" стал окситоцин - вещество,
выделяемое нейронами гипоталамуса и играющее ключевую роль в регуляции
социальных и семейных отношений у животных.
До сих пор, однако, оставалась
неизученной работа окситоциновой системы в контексте межгрупповой конкуренции.
Делает ли окситоцин нас такими же добрыми и доверчивыми по отношению к чужакам,
как и к своим? Это было бы весьма удивительно, ведь сотрудничество с
представителями враждебной группировки ведет к ровно противоположному эффекту
по сравнению с внутригрупповой взаимопомощью. Общество, как правило,
расценивает такое поведение уже не как подвиг и патриотизм, а как измену и
предательство.
Различает ли окситоциновая
система эти нюансы? По идее, она должна их различать, иначе в условиях
межгрупповой вражды ее действие стало бы попросту вредным для общества и для
индивидов, в него входящих. А межгрупповая вражда, скорее всего, была
"нормой жизни" на протяжении почти всей человеческой истории.
Некоторые установленные ранее
факты подкрепляют предположение о том, что окситоцин стимулирует не альтруизм
вообще, а именно парохиальный альтруизм. В частности, известно, что у некоторых
животных окситоцин активизирует территориальное поведение и агрессию против
"нарушителей границ". В опытах на людях было показано, что в условиях
напряженного соревнования окситоцин может усиливать чувство зависти к сопернику
и злорадство в случае победы.
Для проверки этой гипотезы
голландские психологи провели три эксперимента (De Dreu et al., 2010). Все они
проводились на мужчинах (как мы помним, на женщинах влияние окситоцина не
изучают, потому что окситоцин, помимо прочего, стимулирует маточные сокращения
при родах). За полчаса до начала эксперимента каждый испытуемый должен был
закапать себе в нос выданный ему препарат. В половине случаев это был раствор
окситоцина, в половине - водичка (плацебо).
В первом эксперименте всех
участников разделили на команды по три человека. Команды попарно участвовали в
экономической игре, основанной на классической "дилемме заключенного"
(так называют ситуацию, когда каждому выгодно вести себя эгоистично вне
зависимости от действий партнеров, однако совокупный выигрыш всей группы
оказывается максимальным при альтруистическом поведении участников)
(классическая "дилемма заключенного" выглядит примерно так. Задержаны
двое подозреваемых в совершении тяжкого преступления, но у полиции недостаточно
доказательств. Каждому из задержанных следователь предлагает следующие условия:
"Если ты согласишься свидетельствовать против сообщника, а он будет
молчать, мы тебя сразу отпустим, а его посадим на десять лет. Ему мы предложили
то же самое. Если он тебя заложит, а ты будешь молчать, получишь десять лет, а
его мы отпустим. Если вы оба друг друга заложите, оба получите по пять лет.
Если оба будете молчать - оба отсидите по полгода и пойдете на свободу, так как
у нас нет доказательств"). Каждому игроку выдали по 10 евро, и он должен
был по своему усмотрению разделить эту сумму на три части. Первая часть
доставалась ему целиком, вторая шла в "общественный фонд", третья - в
"межгрупповой фонд". За каждый евро, внесенный в общественный фонд,
все три члена команды получали по 0,5 евро. Таким образом, максимальный общий
выигрыш достигается в том случае, если игроки отдадут в общественный фонд все
свои деньги: тогда каждый заработает по 15 евро. За каждый евро, внесенный в
"межгрупповой фонд", все члены команды тоже получали по 0,5 евро;
кроме того, у каждого игрока другой команды отнимали такую же сумму.
Вкладывание денег в общественный фонд рассматривалось как показатель
"внутригрупповой любви". Деньги, внесенные в межгрупповой фонд,
служили мерилом "межгрупповой ненависти".
После введения плацебо 52%
испытуемых больше всего денег оставили себе (проявили "эгоизм"), 20%
самую большую сумму внесли в общественный фонд ("любовь к своим"),
28% отдали предпочтение межгрупповому фонду ("ненависть к чужим").
Под действием окситоцина только 17% участников поступили как "эгоисты",
58% проявили "любовь к своим", 25% - "ненависть к чужим".
Обработав полученные результаты несколькими статистическими методами, авторы
заключили, что окситоцин усиливает "внутригрупповую любовь", но не
влияет на "межгрупповую ненависть".
Кроме того, испытуемых
попросили оценить, чего они ожидают от своих партнеров по команде и от
противников в этой игровой ситуации. Их ответы позволили понять, как влияет
окситоцин на доверие к своим и недоверие к чужим. Оказалось, что доверие к
своим (то есть ожидание альтруистического поведения с их стороны) резко
возросло под действием окситоцина. Недоверие к чужим, то есть ожидание подлости
с их стороны, не изменилось.
Эти результаты показывают, что
окситоцин по-разному влияет на отношение к своим и чужим. Если бы люди под
действием окситоцина в равной степени "добрели" по отношению ко всем
окружающим, то следовало бы ожидать, что ненависть и недоверие к чужим
снизятся. Но этого не произошло. Окситоцин улучшил отношение только к
"своим". Это подтверждает гипотезу о том, что окситоцин стимулирует
именно парохиальный альтруизм, а не альтруизм вообще.
Известно, что люди сильно
различаются по своей склонности к альтруизму и кооперации. Может быть,
окситоцин по-разному влияет на людей с разным характером? Чтобы выяснить это,
был поставлен второй эксперимент. Он отличался от первого только тем, что всех
участников в начале протестировали, чтобы определить их склонность к
альтруизму, и разделили по результатам тестирования на "эгоистов" и
"альтруистов". Оказалось, что окситоцин влияет на обе группы
одинаково: как у альтруистов, так и у эгоистов введение окситоцина усилило
любовь и доверие к своим, но не повлияло на отношение к чужим.
Первые два эксперимента
показали, что склонность к немотивированной (не приносящей выгоды) агрессии
против чужаков под действием окситоцина не усиливается. Но, может быть,
окситоцин будет стимулировать агрессию, если у игроков появится возможность
нажиться за счет противников? Кроме того, в первых двух экспериментах у игроков
не было возможности защититься от агрессии со стороны другой команды. Может
быть, окситоцин способствует принятию превентивных мер, своего рода упреждающих
ударов, целью которых является защита группы от внешнего врага?
Чтобы ответить на эти вопросы,
был поставлен третий эксперимент,, в котором каждый игрок должен был от лица
своей команды решить, будет ли он сотрудничать с командой соперников.
Представитель второй команды, со своей стороны, должен был принять такое же
решение. При этом игроки ничего не знали о решениях, принятых другими игроками.
Распределение выигрышей
строилось, как и раньше, по принципу "дилеммы заключенного", только
на этот раз речь шла о сотрудничестве между командами, а не между членами одной
и той же команды. Если представители обеих команд выражали готовность
сотрудничать, все получали по 1 евро. Если оба представителя отказывались
сотрудничать, все получали по о,6 евро. Если игрок отказывался сотрудничать, а
представитель другой команды соглашался, то первая команда оказывалась в
выигрыше. Величина этого выигрыша могла быть большой (члены первой команды
получали по 1,4 евро) или маленькой (1,1 евро). Манипулируя этим показателем,
исследователи могли выяснить, в какой степени влияет на решения игроков
жадность, то есть желание обогатиться за счет противников. Если игрок
соглашался сотрудничать, а представитель другой команды отказывался, то первая
команда оказывалась в проигрыше, который мог быть большим (члены команды
получали лишь по 0,2 евро) или маленьким (о,5 евро). Сравнение этих вариантов
позволяло оценить влияние страха, или желания защитить себя и свою команду от
возможных враждебных действий со стороны противников.
Оказалось, что окситоцин
повышает частоту "актов агрессии" по отношению к соперникам (то есть
отказов от сотрудничества, что всегда ущемляло интересы противников), но не всегда,
а только если такое поведение мотивировалось страхом, то есть желанием защитить
группу. Окситоцин не стимулировал враждебность к чужакам под действием
жадности, но стимулировал ее под действием страха.
Эти выводы подтвердились
результатами опросов испытуемых после игры. У участников, находившихся под
действием окситоцина, выявилась повышенная готовность нанести "упреждающий
удар" по соперникам, чтобы защитить команду от агрессии с их стороны. Без
окситоцина стремление к таким действиям было выражено слабее. Окситоцин,
однако, не усилил у игроков желание навредить соперникам из соображений
"жадности", то есть для того, чтобы поживиться за их счет. Кроме
того, окситоцин в этой игре, как и в первых двух экспериментах, повысил доверие
к своим, но не повлиял на степень недоверия к чужим.
Исследование показало, что
парохиальный альтруизм действительно находится под контролем окситоциновой
системы. Окситоцин улучшает отношение к своим и готовность их поддерживать и
защищать, но не меняет отношения к чужакам. Окситоцин может даже стимулировать
агрессию, но только в том случае, если она имеет характер "упреждающего
удара" и направлена на защиту своей группы от возможных враждебных
действий со стороны соперников. Окситоцин, однако, не вызывает у людей желания
навредить чужакам "просто так", без всякой выгоды для себя, и не
стимулирует агрессивные акты, основанные на корыстных мотивах. Иными словами,
окситоцин может провоцировать "оборонительную", но не
"наступательную" агрессию[6,8].
Заключение
Данная курсовая работа является обзором
разноплановой литературы о гормоне окситоцине. Были рассмотрены
антропологические, биологические, биохимические, биофизические аспекты действия
окситоцина на человеческий организм. Проделав данную работу, я убедился в
мысли, что наш организм куда более сложная система чем может показаться.
Оказалось, что один гормон одновременно регулирует лактационные функции
организма женщины, родовые сокращения матки и в то же время влияет на
личностные человеческие отношения, повышает доверие, уменьшает страх. Окситоцин
проделывает большую работу в определении межгрупповых отношений между людьми.
Если несколько тысяч лет назад окситоцин активировал акты агрессии в случаях,
когда человек хотел защитить свою группу, то совершенно очевидно, что и сейчас
выполняет те же функции. Учитывая, что мы живем в мире, где все время идут
войны и меж/внутри национальные конфликты, то мне кажется, изучение
биологической природы принятия решений человеком является очень насущной
проблемой.
Список литературы
1.V.du Vigneaud, Frederick H.
Carpenter, Robert W. Holley, Arthur H. Livermore, Julian R. Rachele The
oxidation of oxytocin with performic acid // J. Biol. Chem.,
191:309-13. - 1951.
. Оксфордский толковый словарь по
психологии/Под ред. А.Ребера,2002 г.
. Теппермен Дж., Теппермен X.
Физиология обмена веществ и эндокринной системы.- М.:-Мир,
1989.-С.
166-168.
. Mitchell B.F., Fang X., Wong
S. Oxytocin: aparacrine hormone in the regulation of parturition? //Rev.
Reproduction. 1998. Vol.
3.
.Черныешова М.П., Ноздрачев А.Д.
Нонапептид окситоцин: соматические и висцеральные функции при некоторых
психопатологиях. Психофармакология и биологическая наркология / ТОМ 9 / ВЫПУСК
3-4 / 2009
6.Марков А. В. Эволюция человека. В
2 книгах. Книга 2. Обезьяны, нейроны и душа. - Corpus, 2011. - 512 с
. Конт. О. Общий обзор позитивизма.
Гл. 15. Альтруизм как основание личной морали Спб.: "Брокгауз" 1912.
8. De Dreu C. K. W. et al. The
Neuropeptide Oxytocin Regulates Parochial Altruism in Intergroup Conflict Among
Humans // Science. 2010. V. 328.
Аннотация
Работа довольно полно отображает современное
представление об одном из основных активных гормонов, выделяемых задней долей
железы гипофиза - окситоцине. Наряду с описанием функций гормона в работе
приводятся сведения о патологических изменениях, наблюдаемых в организме
человека при снижении уровня выделения окситоцина. Необходимо отметить хороший
список использованных в работе литературных источников.
Профессор Швалев В.Н.