Сигнали та процеси в радіотехніці
Курсовий
проект
«Сигнали
та процеси в радіотехніці»
Задача 1. Виконати спектральний
аналіз детермінованого сигналу
.1. Отримати у загальному вигляді
аналітичний вираз спектральної густини сигналу Sv(t),
параметри
якого наведені у таблиці 1. Розрахувати та побудувати графіки залежностей
модуля і аргументу спектральної густини від частоти. Визначити енергію сигналу
та ефективну ширину спектра сигналу. Розрахувати та побудувати автокореляційну
функцію та енергетичний спектр сигналу.
.2. Знайти спектр періодичної
послідовності імпульсів Sp(t),
отриманої повторенням розглянутого у пункті 1.1 одиночного імпульсу із заданим
періодом із заданим періодом Т. Розрахувати та побудувати спектри амплітуд і
фаз періодичної послідовності імпульсів. Визначити середню потужність сигналу і
відносну середньоквадратичну похибку апроксимації сигналу двадцятьма першими
гармоніками. Розрахувати та побудувати автокореляційну функцію сигналу Sp(t).
.3. Знайти спектральну густину
поодинокого радіоімпульсу Sr(t),
обвідною якого є імпульс, розглянутий у пункті 1.1. Частоту заповнення fo
взяти у десять разів більшу за ефективну ширину спектра сигналу
Sv(t).
Розрахувати та побудувати графіки залежностей спектральної густини від частоти.
Розрахувати та побудувати автокореляційну функцію сигналу Sr(t).
.4. Знайти спектр періодичної
послідовності імпульсів Spr(t),
отриманої повторенням розглянутого у пункті 1.3 одиночного радіоімпульсу із
заданим періодом Т. Розрахувати та побудувати спектри амплітуд і фаз
періодичної послідовності імпульсів.
Задача 2. Виконати дискретизацію
сигналу Sv(t)
.1. Визначити інтервал дискретизації
∆t
та
частоту дискретизації fd
у
відповідності з теоремою Котельникова.
.2. Для двох інтервалів
дискретизації ∆t
та ∆t/2
розрахувати та зобразити дискретні сигнали з ідеальними вибірками (у вигляді
дельта-функції), їх спектри.
.3. Проаналізувати, як зміниться
спектр дискретного сигналу при дискретизації реальними вибірками (прямокутний
імпульс з амплітудою 1 В і тривалістю 0.25 мс). Розрахувати та зобразити
реальний дискретний сигнал та його спектр, при інтервалі дискретизації, рівному
∆t
та ∆t/2.
.4. Розрахувати та зобразити
дискретний сигнал з пункту 2.2 на виході ідеального фільтру нижніх частот за
умови, що частота зрізу fср
дорівнює fd/2.
Задача 3. В таблиці 2 наведено
параметри носійного гармонічного сигналу a(t)
=
Ao*cos(2πfot
+
θ) та модулюючого сигналу s(t)
=
E*cos(2πFt
+
γ)
.1. Записати аналітичний вираз:
а) амплітудно-модульованого
коливання з коефіцієнтом модуляції М;
б) частотно-модульованого коливання
з девіацією частоти fд;
в) фазо-модульованого коливання з
індексом модуляції m.
.2. Розрахувати амплітудно-частотні
і фазо-частотні спектри АМ, ЧМ і ФМ коливань із зміненими параметрами.
Побудувати амплітудно-частотні спектри цих радіосигналів.
.3. Збільшити частоту модуляції у b
раз. Розрахувати спектри АМ, ЧМ і ФМ коливань із зміненими параметрами.
Побудувати амплітудно-частотні спектри АМ, ЧМ і ФМ коливань із зміненими
параметрами.
.4. Зобразити графіки сигналу з АМ,
ЧМ та ФМ, якщо носійним коливанням є сигнал a(t)
=
Ao*cos(2πfot),
а модулюючим - сигнал Sv(t)
з пункту 1.1.
Вступ
дискретний сигнал амплітудний спектр
Найважливішим завданням радіотехніки
була і залишається якісна передача сигналів на великі відстані. Хоча з часу
відкриття А.С. Поповим способу передачі сигналу по радіоканалу апаратурна
реалізація змінилася невпізнанно, основні елементи радіоканалу - передавач,
приймач і середа розповсюдження - по колишньому виконують ті ж функції, що і в
кінці XIX
століття. Використовувані в радіотехніці способи передачі сигналів засновані на
тому, що низькочастотні коливання, які змінюються за відповідним законом,
управляють параметрами носійного коливання високої частоти. Таке перетворення
називається модуляцією і виконується на передавальній стороні. Випромінений
антеною передавача модульований сигнал у вигляді електромагнітних хвиль поширюється
на великі відстані і наводить в антені приймального пристрою сигнал. Після
частотного виділення (фільтрації) та посилення прийнятий сигнал демодулюється.
У курсовому проекті 3 завдання - в першому необхідно проаналізувати спектри
періодичних та неперіодичних відео та радіосигналів, у другому - виконати
дискретизацію сигналу з першого пункта, та в третьому завданні - промодульовати
заданий сигнал.
1. Спектральний аналіз
детермінованого сигналу
.1 Запишемо значення сигналу в
відповідності до таблиці 1
Таблица 1 -
Параметри
сигналу
|
Вариант
|
А, В
|
B, В
|
С, В
|
D, B
|
E, B
|
τ, мс
|
Т, мс
|
|
22
|
4
|
1
|
3
|
2
|
5
|
1
|
25
|
Розрахуємо спектральну густину
сигналу. Як відомо, спектральна густина сигналу та сигнал зв`язані
прямим перетворенням Фурьє:
Модуль та аргумент спектральної
густини:
Побудуємо графіки залежностей модуля
і аргументу спектральної густини від частоти:
Рисунок 1 - Залежність модуля
спектральної густини від частоти
Рисунок 2 - Залежність аргументу
спектральної густини від чатоти
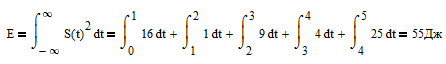
Енергія сигналу:
Рисунок 3 - Ефективна ширина спектра
сигналу
де G(f)
= |S(f)|²,
∆feff
= 1,06 кГц.
Розрахуємо АКФ сигналу Sv(t):
Розрахуємо рівняння відрізків,
з`єднуючих ці точки:
Так як АКФ парна, то відобразимо її
симетрично, відносно осі ординат:
Рисунок 4 - АКФ сигналу Sv(t)
Побудуємо енергетичний спектр
сигналу:
Рисунок 5 - Енергетичний спектр
сигналу
.2 Розрахуємо спектр періодичної
послідовності імпульсів Sp(t),
отриманої повторенням одиночного імпульсу із заданим періодом Т
Де
Розрахуємо постійну складову:
Побудуємо спектри амплітуд і фаз
періодичної послідовності імпульсів:
Рисунок 6 - Амплітудний спектр
періодичної послідовності імпульсів
Рисунок 7 - Фазовий спектр
періодичної послідовності імпульсів
Середня потужність сигналу:
Вт
Відносна середньоквадратична похибка
апроксимації сигналу двадцятьма першими гармоніками:
Розрахуємо АКФ сигналу Sp(t):
Побудуємо АКФ періодичного сигналу:
Рисунок 8 - АКФ періодичного сигналу
.3 Частота заповнення радіоімпульса:
кГц
Знайдемо спектр поодинокого
радіоімпульса:
- теорема
модуляції
Модуль спектра:
Побудуємо цей спектр
Рисунок 9 - Модуль спектра
поодинокого радіоімпульса
Розрахуємо аргумент спектра:
Побудуємо аргумент спектра:
Рисунок 10 - Аргумент спектра
поодинокого радіоімпульса
Розрахуємо АКФ радіоімпульсу:
Побудуємо АКФ радіоімпульсу:
Рисунок 11 - АКФ радіоімпульсу
.4 Розрахуємо спектр періодичної
послідовності імпульсів Spr(t):
Побудуємо амплітудний спектр:
Рисунок 12 - Амплітудний спектр
періодичної послідовності імпульсів
Побудуємо аргумент спектра:
Рисунок 13 - Аргумент спектра
періодичної послідовності імпульсів
2. Дискретизація сигналу Sv(t)
У відповідності з теоремою
Котельникова: fd = ∆feff
= 1.06 кГц
∆t
= 1/fd = 0.943 мс.
Для інтервалу дискретизації ∆t
розрахуємо дискретний сигнал з ідеальними виборками. Для того, щоб отримати
дискретний сигнал, потрібно даний неперервний сигнал Sv(t)
перемножити
на періодичну послідовність дельта - функцій.
Рисунок 14 - Періодична
послідовність дельта-функцій
Розрахуємо дискретний сигнал:
Побудуємо цей сигнал:
Рисунок 15 - Дискретний сигнал з
інтервалом дискретизації ∆t
Розрахуємо спектр дискретного
сигналу:
Побудуємо модуль цього спектра та
аргумент:
Рисунок 16 - Модуль спектра
дискретного сигналу
Рисунок 17 - Аргумент спетра
дискретного сигналу
Аналогічно розрахуємо та побудуємо
сигнал та його спектр для интервала дискретизації ∆t/2:
Періодична послідовність дельта -
функцій:
Рисунок 18 - Періодична
послідовність дельта-функцій
Дискретний сигнал:
Рисунок 19 - Дискретний сигнал з
інтервалом дискретизації ∆t/2
Спектр дискретного сигнала:
Рисунок 20 - Модуль спектра
дискретного сигналу
Рисунок 21 - Аргумент спетра
дискретного сигналу
Побудуємо періодичну послідовність
прямокутних імпульсів з амплітудою 1 В і тривалістю 0,25 мс, інтервал
дискретизації ∆t:
Рисунок 22 - Періодична
послідовність прямокутних імпульсів
Розрахуємо дискретний сигнал:
Побудуємо його:
Рисунок 23 - Дискретний сигнал
Розрахуємо спектр цього сигналу:
Побудуємо його:
Рисунок 24 - Модуль спектра
дискретного сигналу
Рисунок 25 - Аргумент спектра
дискретного сигналу
Аналогічно розрахуємо та побудуємо
дискретний сигнал та його спектр для інтервала дискретизації ∆t/2:
Побудуємо періодичну послідовність
прямокутних імпульсів з амплітудою 1 В і тривалістю 0,25 мс, інтервал
дискретизації ∆t/2:
Рисунок 26 - Періодична
послідовність прямокутних імпульсів
Розрахуємо дискретний сигнал:
Побудуємо його:
Рисунок 27 - Дискретний сигнал
Розрахуємо спектр цього сигналу:
Побудуємо його:
Рисунок 28 - Модуль спектра
дискретного сигналу
Рисунок 29 - Аргумент спектра
дискретного сигналу
Розрахуємо дискретний сигнал на
виході ідеального ФНЧ в відповідності до теореми Котельникова:
Побудуємо цей сигнал:
Рисунок 30 - Дискретний сигнал на
виході ідеального ФНЧ
3. Модулювання носійного сигналу
Таблиця 2 - Параметри носійного
гармонічного сигналу та модулюючого
|
Номер варіанту
|
Ao, B
|
fo, МГц
|
Θo, рад
|
E, B
|
F, кГц
|
γ, рад
|
m, рад
|
M, %
|
fд, кГц
|
b
|
|
22
|
23.9
|
3
|
1
|
14.7
|
1.3
|
-1
|
9
|
62
|
16.2
|
3
|
В відповідності до таблиці 2
запишемо аналітичний вираз:
а) амплітудно - модульованого
коливання з коефіцієнтом модуляції М:
б) частотно - модульованого
коливання з девіацією частоти fd:
в) фазо - модульованого коливання з
індексом модуляції m:
Розрахуємо амплітудно - частотний та
фазо - частотний спектри АМ коливання:
Представимо даний сигнал як суму
гармонічних сигналов:
Амплітудний спектр:
Побудуємо амплітудний спектр:
Рисунок 31 - Амплітудний спектр АМ
сигналу
Розрахуємо фазо - частотний спектр:
Розрахуємо амплітудно - частотний та
фазо - частотний спектри ЧМ коливання:
Запишемо таблицю для того, щоб
побудувати спектр ЧМ сигнала:
Таблица 3 - Спектр ЧМ сигнала
|
f, кГц
|
n
|
Jn(m)
|
Ao*Jn(m)
|
Θo+nγ
|
Θo+nγ+φ(Jn(m))
|
|
2983.1
|
-13
|
-0.12
|
-2.868
|
14
|
14+π
|
|
2984.4
|
-12
|
0.195
|
4.66
|
13
|
13
|
|
2985.7
|
-11
|
-0.27
|
-6.453
|
12
|
12+ π
|
|
2987
|
-10
|
0.3
|
7.17
|
11
|
11
|
|
2988.3
|
-9
|
-0.23
|
-5.497
|
10
|
10+ π
|
|
2989.6
|
-8
|
0.045
|
1.075
|
9
|
9
|
|
2990.9
|
-7
|
0.17
|
4.063
|
8
|
8
|
|
2992.2
|
-6
|
-0.224
|
-5.354
|
7
|
7+ π
|
|
2993.5
|
-5
|
0.073
|
1.745
|
6
|
6
|
|
2994.8
|
-4
|
0.162
|
3.872
|
5
|
5
|
|
2996.1
|
-3
|
-0.191
|
-4.565
|
4
|
4+ π
|
|
2997.4
|
-2
|
-0.065
|
-1.553
|
3
|
3+ π
|
|
2998.7
|
-1
|
0.223
|
5.33
|
2
|
2
|
|
3000
|
0
|
0.048
|
1.147
|
1
|
1
|
|
3001.3
|
1
|
-0.223
|
-5.33
|
0
|
π
|
|
3002.6
|
2
|
-0.065
|
-1.553
|
-1
|
-1+ π
|
|
3003.9
|
3
|
0.191
|
4.565
|
-2
|
-2
|
|
3005.2
|
4
|
3.872
|
-3
|
-3
|
|
3006.5
|
5
|
-0.073
|
-1.745
|
-4
|
-4+ π
|
|
3007.8
|
6
|
-0.224
|
-5.354
|
-5
|
-5+ π
|
|
3009.1
|
7
|
-0.17
|
-4.063
|
-6
|
-6+ π
|
|
3010.4
|
8
|
0.045
|
1.075
|
-7
|
-7
|
|
3011.7
|
9
|
0.23
|
5.497
|
-8
|
-8
|
|
3013
|
10
|
0.3
|
7.17
|
-9
|
-9
|
|
3014.3
|
11
|
0.27
|
6.453
|
-10
|
-10
|
|
3015.6
|
12
|
0.195
|
4.66
|
-11
|
-11
|
|
3016.9
|
13
|
0.12
|
2.868
|
-12
|
-12
|
Побудуємо амплітудний спектр:
Рисунок 32 - Амплітудний спектр ЧМ
сигналу
Розрахуємо амплітудно - частотний та
фазо - частотний спектри ФМ коливання:
Запишемо таблицю для того, щоб
побудувати спектр ФМ сигнала:
Таблица 4 - Спектр ФМ сигнала
|
f, кГцnJn(m)Ao*Jn(m)Θo+nγΘo+nγ+φ(Jn(m))
|
|
|
|
|
|
|
2987
|
-10
|
0.125
|
2.9875
|
26.7
|
26.7
|
|
2988.3
|
-9
|
-0.215
|
-5.1385
|
24.13
|
24.13+π
|
|
2989.6
|
-8
|
0.305
|
7.2895
|
21.56
|
21.56
|
|
2990.9
|
-7
|
-0.328
|
-7.8392
|
18.99
|
18.99+π
|
|
2992.2
|
-6
|
0.204
|
4.8756
|
16.42
|
16.42
|
|
2993.5
|
-5
|
0.055
|
1.3145
|
13.85
|
13.85
|
|
2994.8
|
-4
|
-0.266
|
-6.3574
|
11.28
|
11.28+π
|
|
2996.1
|
-3
|
0.181
|
4.3259
|
8.71
|
8.71
|
|
2997.4
|
-2
|
0.145
|
3.4655
|
6.14
|
6.14
|
|
2998.7
|
-1
|
-0.245
|
-5.8555
|
3.57
|
3.57+π
|
|
3000
|
0
|
-0.09
|
-2.151
|
1
|
1+π
|
|
3001.3
|
1
|
0.245
|
5.8555
|
-1.57
|
-1.57
|
|
3002.6
|
2
|
0.145
|
3.4655
|
-4.14
|
-4.14
|
|
3003.9
|
3
|
-0.181
|
-4.3259
|
-6.71
|
-6.71+π
|
|
3005.2
|
4
|
-0.266
|
-6.9574
|
-9.28
|
-9.28+π
|
|
3006.5
|
5
|
-0.055
|
-1.3145
|
-11.85
|
-11.85+π
|
|
3007.8
|
6
|
0.204
|
4.8756
|
-14.42
|
-14.42
|
|
3009.1
|
7
|
0.328
|
7.8392
|
-16.99
|
-16.99
|
|
3010.4
|
8
|
0.305
|
7.2895
|
-19.56
|
-19.56
|
|
3011.7
|
9
|
0.215
|
5.1385
|
-22.13
|
-22.13
|
|
3013
|
10
|
0.125
|
2.9875
|
-24.7
|
-24.7
|
Побудуємо амплітудний спектр:
Рисунок 33 - Амплітудний спектр ФМ
сигналу
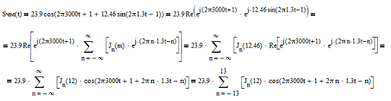
Розрахуємо амплітудно - частотний та
фазо - частотний спектри АМ коливання з частотою модуляції збільшеної у b
раз:
Амплітудний спектр:
Побудуємо амплітудний спектр:
Рисунок 34 - Амплітудний спектр АМ
сигналу
Розрахуємо фазо - частотний спектр:
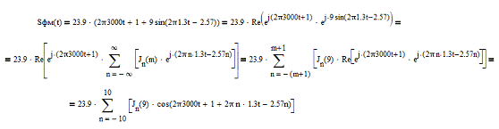
Розрахуємо амплітудно - частотний та
фазо - частотний спектри ЧМ коливання:
Запишемо таблицю для того, щоб
побудувати спектр ЧМ сигнала:
Таблица 5 - Спектр ЧМ сигнала
|
f, кГц
|
n
|
Jn(m)
|
Ao*Jn(m)
|
Θo+nγ
|
Θo+nγ+φ(Jn(m))
|
|
2949.3
|
-13
|
-0.12
|
-2.868
|
14
|
14+π
|
|
2953.2
|
-12
|
0.195
|
4.66
|
13
|
13
|
|
2957.1
|
-11
|
-0.27
|
-6.453
|
12
|
12+ π
|
|
2961
|
-10
|
0.3
|
7.17
|
11
|
11
|
|
2964.9
|
-9
|
-0.23
|
-5.497
|
10
|
10+ π
|
|
2968.8
|
-8
|
0.045
|
1.075
|
9
|
9
|
|
2972.7
|
-7
|
0.17
|
4.063
|
8
|
8
|
|
2976.6
|
-6
|
-0.224
|
-5.354
|
7
|
7+ π
|
|
2980.5
|
-5
|
0.073
|
1.745
|
6
|
6
|
|
2984.4
|
-4
|
0.162
|
3.872
|
5
|
5
|
|
2988.3
|
-3
|
-0.191
|
-4.565
|
4
|
4+ π
|
|
2992.2
|
-2
|
-0.065
|
-1.553
|
3
|
3+ π
|
|
2996.1
|
-1
|
0.223
|
5.33
|
2
|
2
|
|
3000
|
0
|
0.048
|
1.147
|
1
|
1
|
|
3003.9
|
1
|
-0.223
|
-5.33
|
0
|
π
|
|
3007.8
|
2
|
-0.065
|
-1.553
|
-1
|
-1+ π
|
|
3011.7
|
3
|
0.191
|
4.565
|
-2
|
-2
|
|
3015.6
|
4
|
0.162
|
3.872
|
-3
|
-3
|
|
3019.5
|
5
|
-0.073
|
-1.745
|
-4
|
-4+ π
|
|
3023.4
|
6
|
-0.224
|
-5.354
|
-5
|
-5+ π
|
|
3027.3
|
7
|
-0.17
|
-4.063
|
-6
|
-6+ π
|
|
3031.2
|
8
|
0.045
|
1.075
|
-7
|
-7
|
|
3035.1
|
9
|
0.23
|
5.497
|
-8
|
|
3039
|
10
|
0.3
|
7.17
|
-9
|
-9
|
|
3042.9
|
11
|
0.27
|
6.453
|
-10
|
-10
|
|
3046.8
|
12
|
0.195
|
4.66
|
-11
|
-11
|
|
3050.7
|
13
|
0.12
|
2.868
|
-12
|
-12
|
Побудуємо амплітудний спектр:
Рисунок 35 - Амплітудний спектр ЧМ
сигналу
Розрахуємо амплітудно - частотний та
фазо - частотний спектри ФМ коливання:
Запишемо таблицю для того, щоб
побудувати спектр ФМ сигнала:
Таблица 6 - Спектр ФМ сигнала
|
f, кГц
|
n
|
Jn(m)
|
Ao*Jn(m)
|
Θo+nγ
|
Θo+nγ+φ(Jn(m))
|
|
2961
|
-10
|
0.125
|
2.9875
|
26.7
|
26.7
|
|
2964.9
|
-9
|
-0.215
|
-5.1385
|
24.13
|
24.13+π
|
|
2968.8
|
-8
|
0.305
|
7.2895
|
21.56
|
21.56
|
|
2972.7
|
-7
|
-0.328
|
-7.8392
|
18.99
|
18.99+π
|
|
2976.6
|
-6
|
0.204
|
4.8756
|
16.42
|
16.42
|
|
2980.5
|
-5
|
0.055
|
1.3145
|
13.85
|
13.85
|
|
2984.4
|
-4
|
-0.266
|
-6.3574
|
11.28
|
11.28+π
|
|
2988.3
|
-3
|
0.181
|
4.3259
|
8.71
|
8.71
|
|
2992.2
|
-2
|
0.145
|
3.4655
|
6.14
|
6.14
|
|
2996.1
|
-1
|
-0.245
|
-5.8555
|
3.57
|
3.57+π
|
|
3000
|
0
|
-0.09
|
-2.151
|
1
|
1+π
|
|
3003.9
|
1
|
0.245
|
5.8555
|
-1.57
|
-1.57
|
|
3007.8
|
2
|
0.145
|
3.4655
|
-4.14
|
-4.14
|
|
3011.7
|
3
|
-0.181
|
-4.3259
|
-6.71
|
-6.71+π
|
|
3015.6
|
4
|
-0.266
|
-6.9574
|
-9.28
|
-9.28+π
|
|
3019.5
|
5
|
-0.055
|
-1.3145
|
-11.85
|
-11.85+π
|
|
3023.4
|
6
|
0.204
|
4.8756
|
-14.42
|
-14.42
|
|
3027.3
|
7
|
0.328
|
7.8392
|
-16.99
|
-16.99
|
|
3031.2
|
8
|
0.305
|
7.2895
|
-19.56
|
-19.56
|
|
3035.1
|
9
|
0.215
|
5.1385
|
-22.13
|
-22.13
|
|
3039
|
10
|
0.125
|
2.9875
|
-24.7
|
-24.7
|
Побудуємо амплітудний спектр:
Рисунок 36 - Амплітудний спектр ФМ
сигналу
Зобразимо графіки сигналу з АМ,ЧМ та
ФМ, якщо носій ним коливанням є сигнал a(t)
=
Ao*cos(2πfot),
а модулюючим - сигнал Sv(t)
з пункту 1.1
Для сигналу з АМ:
де ka
- коефіцієнт амплітудної чутливості,
Побудуємо сигнал з АМ:
Рисунок 36 - Модуль сигналу з АМ
Для сигналу з ЧМ:
де kf
- коефіцієнт частотної чутливості,
Побудуємо сигнал з ЧМ:
Рисунок 37 - Модуль сигналу з ЧМ
Для сигналу з ФМ:
де kф
- коефіцієнт фазової чутливості,
Побудуємо сигнал з ФМ:
Рисунок 38 - Модуль сигналу з ФМ
Висновки
Курсова робота була присвячена
розгляданню сигналів та їх спектрів. Були знайдені амплітудні та фазові спектри
неперіодичних та періодичних сигналів, АКФ сигналів. Ефективна ширина спектра
сигналу визначається за рівнем 90% енергії сигналу. Ми розраховували значення
АКФ при значенні часу кратному τ, тому
що сигнал приймає значення чисел, які не залежать від часу, а потім шукали
рівняння прямих, які з`єднують ці точки. Щоб з неперервного сигналу зробити
дискретний, необхідно неперервний сигнал премножити на періодичну послідовність
імпульсів одиничної амплітуди та дуже малої тривалості. Щоб з дискретного
отримати неперервний сигнал, необхідно дискретний сигнал пропустити через ФНЧ.
Отримати неперервний сигнал без спотворень неможливо, тому що всі спектральні
складові дискретного сигналу умножаються на амплітудні коефіцієнти, які
визначаються формою АЧХ фільтра, в результаті форма спектра востановленого
сигналу спотворюється. Щоб передавати інформацію використовують модуляцію -
інформаційний сигнал НЧ перемножається на гармонічний сигнал ВЧ. Гармонічний
сигнал змінюється за законом інформаційного сигнала. Буває амплітудна, частотна
та фазова модуляція.
В цій курсовій роботі я побудував
спектри сигналів, сигнали та АКФ цих сигналів.
Список використаної
літератури
. Баскаков С.И.
Радиотехнические цепи и сигналы. М.: Высшая школа, 2008г.
. Гоноровский И.С.
Радиотехнические цепи и сигналы. М.: Радио и связь, 2010г.