Проектування та обчислення параметрів цифрового каналу зв’язку
Курсова
робота
з
предмету: Теорія електричного зв’язку
на
тему: Проектування та обчислення параметрів цифрового каналу зв’язку
Вступ
Для більш ефективної передачі
сигналів на великі відстані використовують різного роду методи перетворення сигналів,
для цього використовують різного роду методи під впливом яких первинний
інформаційний сигнал змінюється й набуває нових властивостей. І завдяки ним
сигнал стає більш стійкий до завад й зовнішніх впливів.
Процес взаємодії первинного
інформаційного сигналу і сигналу переносника, в результаті якого змінюється
один з параметрів інформаційного сигналу, а спектр інформаційного сигналу
переноситься в область більш високих частот називається модуляцією.
Модуляція - це процес в результаті
якого,змінюється один або декілька параметрів сигнала-переносника. Сигнал, що
діє на переносник, дістав назву модулюючий. В процесі модуляції спектр
інформаційного сигналу переноситься в область більш високих частот. При цьому
ширина спектру збільшується.
Параметри переносника, що змінюються
під впливом модулюючого сигналу, називаються інформаційними, тому що в їх зміні
закладена передана інформація. Фізичний процес зміни параметрів переносника і є
модуляцією. Таким чином, будь-який модулятор має два входи: один для переносника,
другий - для модулюючого сигналу.
1.
Технічне завдання
Розробити структурну схему системи
зв’язку, призначеної для передавання аналогових сигналів методом ІКМ для
заданого виду модуляції та способу приймання.
Розрахувати основні параметри
системи. Проаналізувати одержані дані та вказати пропозиції щодо
удоскоконалення розробленої системи зв’язку.
Похідні дані для виконання курсової
роботи наведені в таблиці 1, яка складена в 30 варіантах. В таблиці застосовані
наступні позначення:- потужність сигналу, Вт;/Pш.кв. - відношення потужності
сигналу до потужності до потужності сигналу «шум квантування», дБ;2a
- коофіціент амплітуди сигналу, дБ;0 - спектральна густина завади,
ВТ/Гц;м - миттєві відліки аналогового сигналу, В;
Дf - часовий діапазон сигналу, кГц;
АМ-2, ЧМ-2, ВФ-2, ВФМ-2 - вид
модуляції сигналу;
Когерентний, некогерентний - способи
прийому сигналу.
Кор. код - коректуючий код.
Таблиця 1.1. Варіант курсової
роботи.
|
Вар.
|
Миттєві відліки сигналу, В
|
Частотний діапазон Дf, кГц
|
Потуж. Сигналу Pc ,Вт
|
Коефіцієнт Амплітуди K2a, дБ
|
Спектральна густина завади N0,В2/Гц
|
Pc/Pш.кв дБ
|
Метод Мод.
|
Спосіб Прийм. сигналу
|
Кор. код
|
|
3
|
14,8,26
|
0,05-10
|
3.4
|
20
|
2.4*10-6
|
52
|
АМ-2
|
НЕког.
|
К.Х.
|
2.
Розрахункова частина
Джерело повідомлення є фізичний
об’єкт або пристрій який формує на своєму вході конкретне повідомлення (людина,
ЕОМ).
Дескритизація - це процес
перетворення неперервних повідомлень дискретні. При цьому використовується
дискретизація за часом та рівнем. Перехід від аналогового сигналу до
дискретного багато у багатьох випадках дає значні переваги при оброблені,
передаванні та зберіганні інформації.
Квантування це процес виміру
миттєвих відліків, основною задачею є:
. Визначення кількості рівнів
квантування;
. Визначення значення кроку
квантування.
При збільшені рівнів квантування
зростає розрядність коду але це зменшує обсяг повідомлення.
Перетворення дискретного
повідомлення в сигнали здійснюється двома способами квантуванням і моду
модуляцією. Перетворення повідомлення в сигнал має бути зворотнім. В такому
випадку по вихідному сигналу можна буде відновити первини сигнал, тобто
одержати первину всю первину інформацію, що містилась у первинному сигналі.
Кодування це процес об’єднання двох
сигналів в один ( інформаційного сигналу та сигналу переносника). При цьому змінюється
однин із параметрів лінії зв’язку ( амплітуда, частота, фаза) і спектр
інформаційного сигналу переноситься в область високих частот.
Передавач передає про модульовані
сигнали в лінії зв’язку. Передавач адаптує сигнал до параметрів лінії зв’язку.
Лінії зв’язку це середовище
розповсюдження електричного сигналу. Розділяють кабельну лінію і повітряну
лінію підвішену на опорах.
Приймач виявляє та виділяє із
діапазонна частот необхідний сигнал, фільтрує його й підсилює.
Демодуляція сигналу в процесі демодуляції
від сигналу переносника відокремлюється інформаційний сигнал.
Декодер входить до складу АЦП.
Останні два боки призначені для відновлення характеристик первинного сигналу.
Відновлення інформації -
відновлення первинного аналогового сигналу по закону 
, яке відбувається на фільтрі
нижніх частот.
2.1 Перетворення
аналогового сигналу в сигнал ІКМ
)Знайти частоту дескритизації
Дf
fдискр=2*104
2)Знайти крок дескритизації
Дt
Дt
=0.5*10-4
3)
Одержаний
дискретний сигнал записуємо у вигляді ряду В.О.Котельникова.
) Знайти кількість рівнів
квантування L.
L=82
) Знаходимо
розрядність коду
n.
квантування
завадостійкий кодування сигнал
n=7
) Знаходимо
тривалість одного сигналу ϯ
Ʈ= 7.863*10-6
7) Знаходимо
ширину спектру ІКМ сигналу Fікм.
Fікм= 1.272*105
8) Визначаємо крок
квантування Д.
Д= 0.634
) Знаходимо рівні квантування
які відповідають відлікам.
1=22.2
L2=12,7
L3=41.3
10) Розраховуємо
шум квантування.
E1(k Дt)=0.2
E2(k Дt)=-0.3
E3(k Дt)=0.2
11) Кодуємо знайдені рівні.
1) 22=0010110
)13=0001101
)41=0101001
Якщо обчислені рівні
квантування не співпадають із дозволеними рівнями, їх необхідно закодувати до
значень дозволених рівнів. Сукупність значень похибки передається у вигляді
імпульсів разом із закодованим сигналом, сукупність цих імпульсів і є шум
квантування. Рівень шуму квантування залежить від кількості рівнів квантування.
Збільшення рівнів зменшує шум квантування, але при цьому збільшує розрядність
коду, що вимагає від кодуючих пристроїв швидкості та призводить до розширення
смуги частот каналу подавання сигналу.
Рисунок. 2.2.1 Рівні квантування
Рисунок.2.2.2
Шум
квантування
Рисунок
2.2.3
Графічне зображення закодованого сигналу
12)Графічно зображуємо
сигнал за допомогою ряду Котельникова.
Рисунок
2.2.4
Графічне
зображення ряду Котельникова
2.2 Інформаційні характеристики
джерела повідомлення
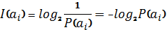
Кількість інформації - це
лагорифмічна функція ймовірності появи і вона дорівнює лагорифму оберненого
значення ймовірності повідомлення:
В системах, що працюють з двійковими
кодами, інформація вимірюється в бітах. Ця одиниця також використовується для
визначення числа двійкових символів 0 і 1, оскільки вони є рівно ймовірними і кожний
із них несе 1біт інформації. Біт завжди є цілим, додатнім числом.
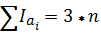
В залежності від визначеної
розрядності визначають кількість інформації,що несуть три закодованих відліки
фрагменту сигналу:
Iai=21
Ентропія джерела повідомлення це
математичне очікування повідомлення. Визначається в біт/повідомлення.
H(A)=21
Продуктивність джерела повідомлення.
Під продуктивність джерела повідомлення розуміють середню кількість інформації,
утворену джерелом за одиницю часу Т. Т=3 Дt.
Якщо час Т джерело видало n
повідомлень
з ентропією H(A),
то продуктивність джерела повідомлення:

(біт/пов.)
t - Середня
тривалість повідомлення
T=150*10-6
(c)
Rдж=140кбит
2.3 Завадостійке
кодування. Побудова коректую чого коду Хемінга
Призначення кодера і декодера
полягає в наступному. На вхід кодера надходить комбінація простого коду Ai
певної довжини к, кодер перетворює її в комбінацію коректуючого коду Bi
довжини n
відповідно до правил кодування, причому n>k.На
вхід декодера з каналу надходить комбінація довжини n:
, де E
комбінація помилок. Наприклад, Bi=101000; нехай
помилка відбудеться в другому і третьому символах, тоді Е=011000, тоді код на
виході декодера Ві0=110000.
В залежності від коректуючої
здатності коду і мети його застосування декодер коректуючого коду може
працювати в режимі виявлення або в режимі виправлення помилок.
В режимі виявлення помилок
декодер аналізує: прийнята комбінація Ві0 дозволена чи заборонена?
Якщо ця комбінація є дозволена, то декодер відповідно до правила декодування
формує на своєму виході комбінацію Аі довжини к.
Якщо ж вона не недозволена,
то вона бракується декодером і на виході декодера комбінація відсутня, а на
виході сигналу помилки з’явиться
певний сигнал.
В режимі виправлення помилок
декодер замість забороненої комбінації Ві0 декодує дозволену кодову
комбінацію до правила декодування і видає комбінацію довжини к.
Мінімальне співвідношення
коректуючих та інформаційних символів нижче якого код втрачає свої коректуючи
властивості, визначається за виразом:
n = k+r ,
де:
k -
кількість символів інформаційного сигналу;
r - кількість
символів коректуючого коду.
Співвідношення між кількістю
символів інформаційного та коректуючого коду:
|
k
|
1
|
1
|
3
|
4
|
4
|
5
|
6
|
7
|
8
|
9
|
10
|
11
|
11
|
|
r
|
2
|
3
|
3
|
3
|
3
|
4
|
4
|
4
|
4
|
4
|
4
|
4
|
4
|
5
|
|
n
|
3
|
4
|
5
|
6
|
7
|
8
|
9
|
10
|
11
|
12
|
13
|
14
|
15
|
16
|
Одним із найпоширеніших системних
кодів, що виправляють помилки, код Хемінга та циклічний код.
Код Хемінга для 8 розрядно
інформаційного коду вибираємо із таблиці кількість коректуючих символів (4) і
складаємо перевірочну матрицю для:
n=11
Таблиця.2.Перевірочна матриця.
|
U1
|
U2
|
U3
|
U4
|
U5
|
U6
|
U7
|
U8
|
U9
|
U10
|
U11
|
U12
|
|
S4
|
0
|
0
|
0
|
0
|
0
|
0
|
0
|
1
|
1
|
1
|
1
|
1
|
0
|
0
|
0
|
1
|
1
|
1
|
1
|
0
|
0
|
0
|
0
|
1
|
|
S2
|
0
|
1
|
1
|
0
|
0
|
1
|
1
|
0
|
0
|
1
|
1
|
0
|
|
S1
|
1
|
0
|
1
|
0
|
1
|
0
|
1
|
0
|
1
|
0
|
1
|
0
|
На основі перевірочної матриці
складаємо синдром помилки, який представляє собою двійкове подання номера
розряду кодової комбінації, в якій виникла помилка. Перевірені розряди синдрому
розміщуються на тих місцях матриці, розряд яких має тільки один символ «1». Як
видно із матриці, таким елементом є: перший, другий, четвертий і восьмий
символи.
Синдром кожного із них(або символ
перевірочного коду) складається як сума за модулем «2» тільки тих символів,які
містять «1» в рядку матриці:
S1=U1+U3+U5+U7+U9+U11=U2+U3+U6+U7+U10+U11=U4+U5+U6+U7+U12=U8+U9+U10+U11+U12
- умовне позначення місця символу
коду у перевірочні матриці.
Візьмемо інформаційний код: 10010100
Символи інформаційного коду
розміщуємо, залишаючи тільки місця символів 1,2,4,8, які призначені для
символів коректуючого коду.
Одержуємо:
|
_
|
_
|
0
|
_
|
1
|
0
|
1
|
_
|
0
|
0
|
0
|
|
U1
|
U2
|
U3
|
U4
|
U5
|
U6
|
U7
|
U8
|
U9
|
U10
|
U11
|
Обчислюємо значення символів
коректуючого коду із виразу синдрому помилки:
U1= U3 + U5 + U7 + U9 + U11= 0+1+1+0+1=1
U2= U3 + U6 + U7 + U10 +U11
U4= U5 + U6 + U7 +U12
U4= 1+0+1=
0 = U9 + U10 +U11+U12
U8= 0+0+1=1
Підставивши в одержані вирази значення символів
інформаційного коду, знаходимо, що коректуючий код:
U1 =1; U2
= 0; U4 = 0; U8
= 1, тобто: 1001.
Повний закодований блок (сукупність
інформаційних та коректуючих символів):
.
Припустимо, що девятий
символ цієї кодової комбінації приймається помилковим, тобто одержують у
приймачі повідомлення такого виду:
101.
Прийнятий сигнал аналізується за
синдромом помилки, тобто всі символи складаються за модулем 2.Отримуємо:
S1=1=0=0=1
Тобто
синдром
помилки:
1001. Відповідає девятому
символу. Виправлення помилки здійснюється шляхом інвертування помилкового
символу.
2.4
Опис маніпуляції сигналу. Амплітудна
маніпуляція
Амплітудна модуляція - вид
модуляції, при якій змінним параметром несучого сигналу є його амплітуда
Визначення
Нехай
· S (t)
- Інформаційний сигнал, | S (t) | ,
· U c
(t) - Несе коливання.
Тоді амплітудно-модульований сигнал U am
(t) може бути записаний таким чином:
Тут m - Деяка константа, звана
коефіцієнтом модуляції. Формула (1) описує має сигнал U c (t)
, Модульований за амплітудою сигналом S (t) з коефіцієнтом модуляції m
. Передбачається також, що виконані умови:
Виконання умов (2) необхідно для того, щоб вираз
у квадратних дужках в (1) завжди було позитивним. Якщо воно може приймати
негативні значення в якийсь момент часу, то відбувається так звана
перемодуляція (надлишкова модуляція). Прості демодулятори (типу квадратичного
детектора) демодулирует такий сигнал з сильними спотвореннями.
Приклад
Спектр АМ коливання
Припустимо, що ми хочемо промодулирован несе
коливання моногармоніческім сигналом. Вираз для несучого коливання з частотою щ
c , Початкову фазу покладемо рівною нулю, має вигляд
U c (t)
= C sin (щ c t).
Вираз для модулирующего синусоїдального сигналу
з частотою щ s має вигляд
U s (t)
= U 0 sin (щ s t + ц),
де - Початкова фаза. Тоді,
відповідно до (1)
U
am (t) = C [1 + m U 0 sin (щ s
t + ц)] sin (щ c t).
Наведена вище формула для y (t) може бути
записана в наступному вигляді:
Радіосигнал складається з несучого
коливання і двох синусоїдальних коливань, званих бічними смугами, кожне з яких
має частоту трохи відмінну від щ c
. Для
синусоїдального сигналу, використаного тут, частоти рівні щ c
+ щ s і щ c - щ s . Поки
що несуть частоти сусідніх радіостанцій досить рознесені, і бічні смуги не
перекриваються між собою, станції не будуть впливати один на одного.
Ширина спектра для АМ-2:
ti=4.545*10-6
B=220*103 біт/с
Дf=2B=440*103
Гц
2.5
Вибір схеми приймача та розрахунок
ймовірної помилки на вході приймача
Пасивний паралельний коливальний
контур представляє собою електричне коло, у якому котушка індуктивності й
конденсатор включені паралельно до джерела енергії.
Реальний паралельний контур (тобто
контур з втратами) на резонансній частоті можна представити у вигляді
ідеального контру без втрат паралельному якому включений рецесивний опір Zвх(0)
або Rпар.
Величина якого обчислюється як : Rпар=Qp.
Таблиця 3.5.1
Варіанти
завдання для розрахунку коливального контуру:
№ U,мВ C,пФ Q L,мГн 
),ОмДt,ГцЧастота
сигналу переносника,
У реальних коливальних контурах
вихідна напруга знімається, як правило, з конденсатора. Для того щоб
коливальний контур мав вибірковість по напрузі, необхідно мати таку схему
контура, в якій значення струму в нерозгалуженому колі при зміні частоти
практичного не змінюється за законом зміни вхідного опору контура.
f0=Дf*Q
Визначити індуктивність контура:

=6.063*10-6 (Гн)
- Характеристичний
опір:
1000 (Ом)
-
вхідний опір контура на резонансній частоті
визначається:
60.317*103 (Ом)
- визначити
I0:
33.158*10-9 (А)
- обчислити
струми в гілках із індуктивністю та ємністю:
1.99*10-6
Визначаємо графічно закон зміни
коефіцієнта передачі контура в межах діапазону частот (за допомогою програми MathCad):
Рис.3.5.1 Закон зміни коефіцієнта
передачі контура в межах діапазону частот
Закон зміни вихідної напруги:
Рисунок.3.5.2 Закон зміни вихідної
напруги
Смуга пропускання коливального
контуру повинна бути не меншою ніж ширина спектру маніпульованого сигналу.
Спектри таких сигналів наведені в табл. 5. Добротність контуру для забезпечення
такої умови визначається з формули:
Суть оптимального приймання сигналу
полягає в тому, що у приймачі необхідно здійснити таке оброблення суміші
сигнал-завада,щоб забезпечити виконання заданого критерію. Ця сукупність правил
називається алгоритмом оптимального сигналу у приймачі. Алгоритми оптимального
приймання(коректного не коректного) наведені у таблиці. Усі алгоритми в цій
таблиці являють собою нерівності, що вказують послідовність операцій, які
необхідно виконати над прийнятою сумішшю сигналу та завади z(t)
для визначення сигналу b1.
Алгоритм приймання в Гаусовому
каналі
|
Тип сигналу
|
Некогерентне
приймання
|
|
АМ-2
|
|
Es
- енергія сигналу S1.
Енергія дискретного сигналу визначається через потужність сигналу та швидкість
та швидкість модуляції B:=
Ps/B, де:- потужність сигналу, Вт
В - швидкість модуляції.

(Бод)
Es=15.455*10-6
Опис оптимального демодулятора
Демодулятора надходить сума
переданого модульованого сигналу s(t)
і завади n(t):
z(t)
= s(t)
+ n(t)
Демодулятор повинен відновити
цифровий сигнал. Критерієм оптимальності є мінімум ймовірності помилки
двійкового символу (біта) цифрового сигналу.
Сигнал цифрової модуляції s(t) - це
послідовність радіоімпульсів, що відображають цифровий сигнал і проходять через
тактовий інтервал Т:
де
- і-ій
радіоімпульс, що передається на к-му тактовому інтервалі
Радіоімпульси можуть
відрізнятися амплітудами, фазами або частотами. Існують різні види цифрової
модуляції АМ-2, ФМ-2, ЧМ-2, КАМ-2, АФМ-2. При цьому радіоімпульс s0(t)використовується
для передавання 0, а радіоімпульс s1(t) -
для передавання 1.
Таблиця 5 Опис елементарних сигналів
si(t)
|
Метод модуляції
|
|
AM-2
|
|
1
|
|
|
0
|
0
|
У цій таблиці використані наступні
позначення:
- коефіцієнт, що визначає енергію
елементарного сигналу(1-біта);
- функція, що описує форму елементарного
сигналу;
- частота несійного коливання;
- відхилення(девіація) частоти при
ЧМ-2.
На рис. 8 наведена схема
когерентного демодулятора сигналів ФМ-2. Під час демодуляції послідовності
елементарних сигналів необхідно виконати дискретизацію з інтервалом Т в моменти
часу
Правильний
вибір цих моментів забезпечує система тактової синхронізації (ТС).
На основі оцінки вирішуючою
схемою виноситься рішення про переданий сигнал. Правило винесення рішення
формулюється на основі сигналу, що де модулюється. Рішення виноситься шляхом
порівняння оцінки
з пороговим
значенням
за
правилом:
, то
передавався сигнал
, а якщо
то
передавався сигнал
.
При ФМ-2
, тобто
рішення виноситься за знаком відліку. Після винесення рішення вирішуючи схема
видає відповідний біт цифрового сигналу.
Генератор опорної напруги
виробляє аналог сигналу, що поступає на вхід приймача. Цей сигнал
перемножується із вхідним сигналом в результаті чого вхідний сигнал
підсилюється за рахунок спів падання частоти і фази, а сигнал завади
подавляється.
Зменшення впливу
сигнал-завада відбувається і узгоджую чому фільтрі. Інтегруючий пристрій
аналізує закодований сигнал. Вирішуючий пристрій результат обробки порівнює з
порогом який дорівнює нулю, якщо сигнал більше нуля - проходить, а менше - ні.
Таким чином на виході
одержують комбінацію одиничок і нулів, яка поступає на суматор, після якого
одержуємо ряд дискет. ФНЧ реагує на дискети за законом sin(x)/x. За
рахунок неможливості ФНЧ миттєво реагувати на виході отримуємо неперервний
сигнал.
2.6 Очислення потенційної
завадостійкості
Під потенційною завадостійкістю
приймання дискретних сигналів розуміють мінімальну можливу ймовірність помилки,
якщо сигнали приймаються оптимальним приймачем.
|
Тип сигналу
|
Некогерентне
приймання
|
|
AM-2
|
0.5exp(-h2/4)
|

відношення енергії сигналу до
спектральної густини завади.
h=2.538

99.959*10-3
(Вт)
Рисунок.3.5.1
Імовірність помилки оптимального
приймання двійкових рівномірних сигналів у каналі з адитивним гауссовим шумом: 1-
сигнал ФМ-2; 2,3- сигнали ВФМ-2; 4,5- ортогональні сигнали ЧМ-2; 6,7- сигнали
АМ-2 (когерентне і некогерентне приймання)
2.7
Пропускна здатність двійкового каналу
Якість передавання повідомлення
залежить від ймовірності помилок сигналів та відношення сигнал-завада, яке не
повинно бути меншим ніж 20 дБ. Найбільше значення швидкості передавання
інформації каналом зв’язку при заданих обмеженнях називають пропускною
здатністю каналу, яка вимірюється у біт/c.
Пропускна здатність двійкового
каналу визначається за формулою:

(біт/с)
2.8 Ефективність
системи зв’язку
Під ефективністю розуміють
степінь використання потужності сигналу, смуги частот каналу та його пропускну
здатність.
Для оцінки міри ефективності
професор А.Г. Зюко запропонував порівняти ці показники зі швидкістю передавання
інформації R.
Узагальнюючою оцінкою
ефективності системи зв’язку є коефіцієнт використання пропускної здатності
каналу:

- коофіціент інформаційної
ефективності.
R=240кБіт
74.094
У реальних каналах зв’язку
швидкість передавання інформації завжди менша за пропускну здатність, тому
.
Коефіцієнт частотної
ефективності: 
характеризує використання смуги
частот каналу:
.
Fk =0.44*106
y=31.818%
Коефіцієнт енергетичної
потужності:
в=98.824*10-3
в= -20.103 dB
Висновки
В цій курсовій роботі роботі я
ознайомився з процесом маніпуляції сигналу переносника, а саме АМ-2 (амплітудна
маніпуляція). Дослідив процес перетворення аналового сигналу в цифровий з
розрахунком його параметрів. Графічно зобразив сигнал за допомогою ряду
Котельникова. Побудував коректуючий код Хемінга. Обчислив ентропію,
продуктивність джерела, ймовірність помилки, пропускну здатність двійкового каналу,
а також ефективність системи зв’язку.
Список використаної літератури
1. Стеклов В.К.,
Беркман JI.H.
Теорія електричного зв'язку. - К.: «Техніка», 2006.
2. Панфілов І.П.,
Дирда В.Ю., Капацін А.В. Теорія електричного зв'язку. - К.:»Техніка», 2008.
3. Шинаков Ю.С.,
Колодяжньїй Ю.,М. Теория передачи сигналов. - М.: «Радио и свіязь», 1989.
4. Зюко
А.Г., Кловский Д.Д. Теория передачи сигналов. - М.: «Связь», 1986.
5. Методичний
посібник для курсової роботи для студентів, що навчаються за освітньою-кваліфікацією
рівнем «Бакалавр» з напрямку «Телекомунікації», Киїів,2012.