Темп роста белого и пестрого толстолобиков на рыбоводном сельскохозяйственном предприятии ООО 'Ангелинское'

  • Вид работы:
    Дипломная (ВКР)
  • Предмет:
    Сельское хозяйство
  • Язык:
    Русский
    ,
    Формат файла:
    MS Word
    1,2 Мб
  • Опубликовано:
    2013-10-24
Вы можете узнать стоимость помощи в написании студенческой работы.
Помощь в написании работы, которую точно примут!

Темп роста белого и пестрого толстолобиков на рыбоводном сельскохозяйственном предприятии ООО 'Ангелинское'

Министерство образования и науки Российской Федерации

Федеральное государственное бюджетноеобразовательное учреждение

Высшего профессионального образования

"КУБАНСКИЙ ГОСУДАРСТВЕННЫЙ УНИВЕРСИТЕТ"

Кафедра водных биоресурсов и аквакультуры

Факультет биологический

Специальность водные биоресурсы и аквакультура







ДИПЛОМНАЯ РАБОТА

ТЕМП РОСТА БЕЛОГО И ПЕСТРОГО ТОЛСТОЛОБИКОВ НА РЫБОВОДНОМ СЕЛЬСКОХОЗЯЙСТВЕННОМ ПРЕДПРИЯТИИ ООО "АНГЕЛИНСКОЕ"


Работу выполнила А.С. Спирина



2013

РЕФЕРАТ

Дипломная работа изложена на 36 страницах печатного текста и содержит: введение, 4 главы, заключение и список использованной литературы. В работу включены 7 таблицы и 6 рисунков.

Ключевые слова: БЕЛЫЙ ТОЛСТОЛОБИК, ПЕСТРЫЙ ТОЛСТОЛОБИК, ПИТАНИЕ, СПЕКТР ПИТАНИЯ, ЕСТЕСТВЕННАЯ КОРМОВАЯ БАЗА, ВЫРОСТНЫЕ ПРУДЫ, РЫБОВОДНОЕ СЕЛЬСКОХОЗЯЙСТВЕННОЕ ПРЕДПРИЯТИЕ "АНГЕЛИНСКОЕ", ТЕМП РОСТА.

Объектом исследования являлись белый и пестрый толстолобики на рыбоводном сельскохозяйственном предприятии "Ангелинское". Цель работы заключалась в изучении темпа роста белого и пестрого толстолобиков в выростных прудах с естественной кормовой базой.

СОДЕРЖАНИЕ

Введение

.                                                                                                                          Аналитический обзор

.1                                                                                                                        Биологические характеристики белого и пестрого толстолобика

1.2                                                                                                                    Особенности выращивания растительноядных рыб

.                                                                                                                        Описание района исследований

.1 Характеристика прудов

.                                                                                                                        Материалы и методы исследования

4.      Результаты наблюдений за темпом роста белого и пестрого толстолобиков

4.1                                                                                                                    Кормовая база

4.2    Темпы роста

.3      Вылов

Заключение

Список использованных источников

ВВЕДЕНИЕ

Определяющее значение в развитии товарного рыбоводства внутренних водоемов России имеют дальневосточные растительноядные рыбы: белый толстолобик (Hypophthalmichthys molitrix), пестрый толстолобик (Aristichthys nobilis). Растительноядным рыбам отводится важная роль в решении проблемы рационального использования природных ресурсов внутренних водоемов. Применение поликультуры растительноядных рыб позволяет непосредственно утилизировать значительную часть первичной продукции, образующейся в водоеме, создавать чрезвычайно выгодную в биоэнергетическом и хозяйственном отношении экосистему. Разработка биотехники искусственного разведения растительноядных рыб способствовала широкому промышленному внедрению белого и пестрого толстолобиков в рыбное хозяйство страны и позволила намного опередить большинство стран мира в разрешении проблемы борьбы с зарастанием. Успех хозяйственного освоения растительноядных рыб зависел от разработки методов их искусственного разведения. К середине 60-х гг. была создана надежная биотехника искусственного разведения, что позволило организовать крупномасштабное производство посадочного материала, перевести прудовое рыбоводство южных районов на выращивание поликультуры растительноядных рыб и карпа и удвоить рыбопродуктивность прудовых хозяйств без увеличения затрат кормов и удобрений. Для повышения выживаемости молоди разработаны способы подращивания личинок растительноядных рыб в прудах и индустриальных установках. Определены критерии подбора размерно-весового состава посадочного материала для зарыбления водоемов различного типа. Увеличение производства посадочного материала позволило приступить к зарыблению растительноядными рыбами водохранилищ и других водоемов комплексного назначения.

Применение методик эффективного ведения товарного рыбоводства, с проведением интенсификационных мероприятий таких, как: удобрение прудов, известкование, дополнительное кормление, обеспечивает рентабельность прудового хозяйства.

Важнейшей задачей современного этапа развития России является решение продовольственной проблемы, в том числе и, за счет эффективного использования огромного отечественного, природно-климатического, ресурсного и биологического потенциала.

Цель работы изучение темпа роста белого и пестрого толстолобиков на рыбоводном сельскохозяйственном предприятии ООО "Ангелиское".

Для решения поставленной цели необходимо осуществить следующие задачи:

.        Дать характеристику рыбоводному сельскохозяйственному предприятию ООО "Ангелинское";

.        Изучить темп роста белого и пестрого толстолобиков.

.        Исследовать питание и развитие естественной кормовой базы в выростных прудах.

.       
АНАЛИТИЧЕСКИЙ ОБЗОР

1.1 Биологические характеристики белого и пестрого толстолобиков

Белый и пестрый толстолобики - крупные быстро растущие, достигающие массы более 50 кг рыбы, относящиеся к семейству карповых (рис. 1 и рис. 2). Для них характерна большая голова с низко посаженными глазами. Отличаются эти два вида между собой биологическими особенностями и внешними признаками. У пестрого толстолобика крупнее голова и более высокое тело, окраска коричневато-серая, бока серебристые с крупными коричневыми пятнами. У белого толстолобика спина серовато-зеленая и серебристые бока без пятен. Пестрый толстолобик имеет длинные и частые жаберные тычинки, у белого - тычинки срастаются между собой и образуют своеобразную сеть, позволяющую отцеживать более мелкие водоросли и зоопланктон (Ю.С. Решетников).

Рис. 1 - белый толстолобик

Рис. 2 - пестрый толстолобик

Особенности питания толстолобиков определяются строением их фильтрационного аппарата, а также составом и размерами кормовых организмов, имеющихся в водоема. Проявляется видовая специфика питания у белого и пестрого толстолобика уже при массе 3-5 г, когда различия в строении фильтрационного аппарата становятся явными (Никольский Г.В.).

Белый толстолобик питается преимущественно фитопланктоном и детритом, доля которого может превышать 90%. На питание фитопланктоном он переходит при длине тела 3,5 см, предпочитает диатомовые и зеленые водоросли, способен потреблять даже сине-зеленые водоросли, включая макроцистис - водоросль обусловливающую цветение воды в водоемах. Искусственными кормами он не питается (Берг Л.С.).

Пестрый толстолобик предпочитает зоопланктон, потребляет также и искусственные рассыпные корма.

Рыбозаводами получен гибрид белого и пестрого толстолобика, более устойчивый, чем родители, к низким температурам и способный питаться фито- и зоопланктоном.

Половая зрелость у обоих видов рыб наступает в зависимости от климатических условий в разном возрасте. На юге Средней Азии самки белого толстолобика созревают в возрасте трех, пестрого - четырех лет, в центральных районах России и Украины, соответственно, в семь и восемь лет (Веригин Б. В.).

Рыба массой 7-10 кг дает до 1 млн. икринок, диаметр оплодотворенных икринок 1-1,2 мм, после набухания увеличиваются до 5 мм. Плавательный пузырь заполняется воздухом при температуре 20-23 °С через 80-85 часов после выклева. В этот период личинки переходят на смешанное питание и начинают активно плавать (Багров А. М.).

Основную массу личинок во внутренних водоемах Украины получают в июне - первой половине июля, вследствие чего значительно уменьшается вегетационный период выращивания сеголеток, снижается их масса и выживаемость. УкрНИИРХом разработана технология выращивания белого и пестрого толстолобика в плавающих садках, установленных в водоемах-охладителях ТЭЦ, и получения от них потомства в более ранние сроки, чем в прудах, что дает возможность продлить вегетационный период выращивания сеголеток (Багров А. М.).

Исследованиями характера питания сеголеток пестрого и белого толстолобика, проведенными на водоеме-охладителе Змиевской ГРЭС, установлено: при размещении садковых линий на стыке теплых и холодных вод на этапе подращивания личинок толстолобиков температура воды колебалась по годам от 22-28 до 30-34 °С, на этапе выращивания сеголеток - от 26-31,8 до 20,5-21 °С, то есть была в пределах оптимальных величин; в состав фитопланктона в этот период входили водоросли, относящиеся к пяти отделам, - сине-зеленые, зеленые, диатомовые, пирофитовые и эвгленовые. Биомасса в среднем за сезон выращивания сеголеток в районе размещения садковой линии составляла 3,2 г/м³, в садках с сеголетками толстолобиков - от 7-7,9 до 10,5 г/м³. В августе зоопланктон формировался за счет коловраток, ветвистоусых и веслоногих ракообразных. Ведущей группой по численности были веслоногие ракообразные, они составляли в среднем 83% общей численности; биомасса зоопланктона в период подращивания личинок толстолобиков в месте размещения садков составляла по годам от 1,9 до 4.6 г/м³. в период выращивания сеголеток - от 1,6 до 3,1 г/м³. В садках, в которых подращивали личинок, ее величина колебалась от 0,02-0,4 до 0,3-1,5 г/м³, а при выращивании сеголеток - от 0,8-1,4 до 1,6-2,5 г/м³; личинки обоих видов толстолобиков при подращивании в садках после перехода на экзогенное питание потребляли планктон и детрит (Багров А. М.).

У личинок пестрого толстолобика, независимо от плотности посадки в садке, основу пищи составлял зоопланктон (81,1-95,2% общей массы пищевого комка). Чаще всего в содержимом кишечника встречались коловратки, яйца беспозвоночных. У более крупных по размеру и старших особей находили молодь циклопов и дафний. В середине и конце подращивания пестрый толстолобик также потреблял зоопланктон, однако качественный состав его заметно изменялся - увеличивалось число видов за счет ветвистоусых рачков и коловраток повысилось потребление зоопланктонных организмов - от единичных экземпляров в кишечнике в начале срока подращивания до нескольких сотен в конце. В составе пищи личинок белого толстолобика присутствовали фито-, зоопланктон и детрит Личинки младшего возраста в первой половине срока подращивания питались в основном фитопланктоном и детритом. Зоопланктон существенную роль играл во второй половине срока подращивания, и к концу его доля повышалась до 76,4% при плотности 150 тыс. экз. /садок и до 34% при плотности 200 тыс. (садок объемом 30 м³). Кормосмесь в середине подращивания составляла 22-43,5% общей массы пищи, а в конце - от 1,4 до 18%. Во второй половине срока подращивания более крупная молодь могла питаться не только коловратками, но и захватывать более крупный зоопланктон - веслоногих рачков, мелкие формы и молодь ветвистоусых (Познанин Л.П.). Оптимальная для роста и питания толстолобиков температура воды лежит в пределах 26-30 °С. Снижение температуры воды до 8-10 °С сопровождается резким уменьшением интенсивности питания. В первые 3-4 недели активного питания личинки толстолобика потребляют доступные по размерам зоопланктонные организмы - коловратки и мелкие формы ветвистоусых ракообразных. Начиная с конца личиночного периода, при длине 13-14 мм в пищевом комке толстолобиков наряду с зоопланктоном в значительном количестве появляется фитопланктон, который по мере роста мальков приобретает все большее значение. При этом суточный рацион составляет до 70% массы тела. По мере роста молоди и формирования фильтрационно-жаберного аппарата спектр питания белого и пестрого толстолобиков значительно расходится. Белый толстолобик переходит в основном на потребление фитопланктона, а пестрый - на зоопланктон. Однако в питании пестрого толстолобика наряду с зоопланктоном значительное место занимает и фитопланктон, особенно его крупные формы (Багров А. М.). Расстояние между жаберными тычинками в фильтрационном аппарате белого толстолобика составляет 17-25 мкм и почти не меняется с возрастом. У пестрого толстолобика размер фильтрующей ячеи в онтогенезе возрастает, составляя 35 мкм при массе до 50 г и 75 мкм при массе свыше 500 г. Размерный состав потребляемых белым толстолобиком водорослей с его возрастом не изменяется и находится в пределах 21- 112 мкм, подавляющая масса потребляемых водорослей имеет размеры 21-38 мкм. Основные размерные группы водорослей, потребляемых пестрым толстолобиком, составляют 45-70 мкм для рыб массой до 50 г и 60-110 мкм для рыб массой более 500г. Предельные размеры пищевых частиц, потребляемых пестрым толстолобиком, могут быть значительно шире - от 17 до 3000 мкм (Багров А. М.).

Плотность посадки определенным образом влияет на характер потребления корма. У мальков и сеголеток пестрого толстолобика при плотности посадки 20 тыс. экз. /садок в пищевых комках преобладали зоо- и фитопланктон - соответственно 41,3 и 34,2% массы пищи. Детрит имел важное значение в начале и конце срока выращивания. При повышении плотности посадки рыб до 30 тыс. экз/садок ведущее место занял фитопланктон - 49%, при максимальной плотности посадки - 50 тыс. экз/садок при подкармливании рыбы существенное значение имел комбикорм (Макеева А.П.).

При выращивании сеголеток белого и пестрого толстолобика в поликультуре отмечается угнетение роста пестрого толстолобика.

Если учесть, что в пищевом планктоне, вносимом течением в садки, преобладал фитоппанктон, то преимущество получал белый толстолобик - типичный фитоплантктонофаг, у которого были лучшие условия для удовлетворения пищевых потребностей. Пестрый толстолобик, которому присуща зоопланктонофагия, хотя и переходил на питание фитопланктоном, ощущал недостаток зоопланктона, что и отражалось на его росте. Поэтому выращивать сеголеток толстолобиков целесообразно в монокультуре с плотностью посадки 20-30 тыс. экз/садок (Веригин Б. В.).

Следует отметить, что при подращивании личинок пестрого и белого толстолобика в садках на теплых водоемах характер их питания такой же, как и в прудах. Основой пищи служит зоопланктон. При недостаточном его количестве или повышенной плотности посадки личинки переходят на потребление фитопланктона и детрита. Для поддержания высоких темпов роста молоди лучше принять смешанное кормление (добавлять стартовую кормосмесь). Мальки и сеголетки толстолобиков при выращивании в сетчатых садках потребляют естественную пищу (фитопланктон, зоопланктон и детрит), которая попадает с течением через ячеи стенок из водоема-охладителя, и постоянный приток сестона обеспечивает их нормальную жизнедеятельность. Подкормка рыб в этот период (комбикормовой пылью) целесообразна только при снижении развития кормовой базы (Негоновская И.Т.).

При благоприятном температурном режиме и хорошей кормовой базе в возрасте двух лет пестрый толстолобик за летний сезон достигает массы 2,5 кг.,белый - 1,5-2 кг. Мясо толстолобика жирное, нежное и вкусное, в пищу употребляют в свежем, соленом, копченом виде (Веригин Б. В.).

1.2 Особенности выращивания растительноядных рыб

Необходимость подращивания личинок до жизнестойких стадий обуславливается особенностями биологии личиночного периода развития рыб. Личинки предъявляют повышенные требования к условиям среды: температуре, видовому составу и количеству кормовых организмов. Они подвергаются уничтожению различными хищниками и вредителями, причем не только рыбой, но и беспозвоночными (хищными видами циклопов, насекомых). Поэтому содержать личинок необходимо в специально создаваемых, оптимальных условиях. Подращивание как биотехническое звено приобретает важное значение при введении заводского метода получения потомства. Лишь при организации подращивания этот метод может полностью реализовать свои возможности (регулирование температуры, проведение нерестовой кампании в ранние сроки, повышение выхода личинок из икры и т. д.). Подращивание-технологически сложный и относительно трудоемкий процесс, но затраты на него с избытком окупаются сокращением потерь рыбопосадочного материала. Организация подращивания личинок в широких масштабах-важнейший резерв повышения продуктивности товарного рыбоводства (Алиев Д. С.).

Выдерживание личинок

В настоящее время выдерживание личинок производится в аппаратах "Амур", а также приспособленных для этих целей аппаратах ВНИИПРХ до перехода на смешанное питание (морфологически эта стадия совпадает с заполнением плавательного пузыря). Длительность выдерживания личинок зависит от температуры.

Выживаемость от оплодотворенной икры до личинки, перешедшей на смешанное питание, должна быть не ниже 50% (Макеева А.П.).

Подращивание личинок рыб в прудах

Биотехнические приемы, применяемые при подращивании личинок рыб в прудах, должны обеспечивать высокий темп продуцирования кормовой базы с преимущественным развитием вначале мелких форм зоопланктона и последовательной заменой их более крупными формами при благоприятных температурном и кислородном режимах. Важнейшим условием является также предотвращение развития (особенно в первые дни подращивания) хищных видов беспозвоночных и недопущение потерь при облове личинок из прудов (Багров А. М.).

Характеристика прудов.

Подращивание личинок можно производить в прудах различных категорий и размеров. Для подращивания личинок лучше использовать пруды площадью 0,5-1,0 га. В рыбоводной практике предпочтение отдается мальковым прудам площадью 0,5, реже 1,0 га. Отсутствие мальковых прудов побудило некоторые хозяйства пойти по пути отделения от крупных водоемов с помощью дамб небольших мелководных участков для подращивания личинок. Идея "спутниковых" прудов была поддержана и развита во ВНИИПРХ, где был построен "универсальный" пруд, состоящий из соединенных между собой нескольких небольших и одного большого пруда. Такой пруд позволяет проводить полный цикл выращивания рыбы (от личинок до товарной массы) без пересадок в другие пруды (Бекин А. Г.).

Удобрение прудов.

Стимулирование развития зоопланктона в кратчайшие сроки (что очень важно при кратковременности подращивания личинок) обеспечивается внесением в пруды органических удобрений: навоза, компоста, подвяленной растительности, скошенной на дамбах. В соответствии с инструкциями, разработанными в нашей стране, нормы внесения навоза или компоста колеблются от 3 до 7, реже 10 т/га. Навоз и компост вносят по сухому ложу пруда, равномерно распределяют и припахивают дисковой бороной. Свежий (не перегнивший) навоз необходимо вносить за 1,0-1,5 мес. до заполнения пруда водой, В этом случае его отрицательное влияние на кислородный режим пруда, особенно в первые дни после залития, будет минимальным. Перегнивший навоз и компост можно вносить за 7-10 дней до залития пруда. Подвяленную растительность (1-2 т/га) вносят по воде через 3-5 дней после заполнения пруда, когда кислородный режим стабилизируется (при низком содержании кислорода растительность вносить не следует).

Главное назначение минеральных удобрений - нейтрализовать отрицательное влияние органических удобрений на кислородный режим и поддерживать его на оптимальном уровне. Рекомендуется вносить минеральные удобрения из расчета 120-140 кг/га, из них 60--70 кг/га аммиачной селитры и столько же суперфосфата.

Залитие прудов.

Направленное формирование кормовой базы. Для предотвращения попадания с водой хищных видов беспозвоночных (циклопов, водных насекомых) и других ракообразных (лептостерии, щитня, стрептоцефалюса), отрицательно воздействующих на экосистему пруда, применяются сороуловители (фильтры). При малом количестве хищных беспозвоночных в водоисточнике применяют сороуловители из капронового сита № 18-20, при обильном развитии - из сита № 32. В качестве сороуловителей можно использовать обычный лотковый размером 200x60x50 см или просто рукав из сита.

Зарыбление прудов.

При подращивании личинок растительноядных рыб в течение 10 дней до массы 25-30 мг без применения искусственных кормов плотности посадки могут быть доведены по пестрому толстолобику-до 7-8, белому толстолобику - до 8-10 млн/га. В условиях средней полосы (III зона рыбоводства) при подращивании личинок растительноядных рыб до массы 50-60 мг плотности посадки могут достигать 3-4 млн/га. Учитывая различия климатических зон и большие объемы подращивания личинок, особенно в специализированных рыбопитомниках, при разработке рыбоводно-биологических норм приняты колебания плотностей посадки в широком диапазоне - от 1 до 5 млн/га (Белоцерковский Ю. Б.).

Сроки подращивания личинок.

При определении продолжительности подращивания и размеров, до которых молодь следует подращивать, возникает вопрос о критериях жизнестойкости. Первоначально было принято, что повышение жизнестойкости у личинок наступает после того, как они приобретут устойчивость к хищным беспозвоночным (за счет подвижности) и способность потреблять все формы зоопланктона как мелкие, так и крупные, в том числе и хищные. В этом случае личинки, пересаженные в другие водоемы (в частности в выростные пруды), могут легче отыскивать себе пищу, так как спектр питания их достаточно широк. В зависимости от температуры воды, кислородного режима и степени обеспеченности пищей сроки достижения этого этапа обычно составляют 8-12 сут (Суховерхое Ф. М).

При зарыблении выростных прудов подращенными личинками вначале, как правило, высаживают карпа, а через некоторое время растительноядных рыб. В связи с этим в некоторых хозяйствах прибегают к подращиванию личинок растительноядных рыб до массы 100 мг. При этом увеличение размеров подращенных личинок достигается за счет повышения темпа роста при разреженных посадках. Срок подращивания остается прежним (не более 15 сут.). Подращивание в течение 20-30 сут. производится в тех случаях, когда молодь предназначается для зарыбления нагульных прудов, в которых выращивание рыбы осуществляется по непрерывной технологии. За этот срок молодь растительноядных рыб достигает массы 0,3-0,7 г, карпа - 0,5-1,0 г. Для повышения эффективности подращивания личинок применяют различные методы интенсификации раздельно и в комплексе: удобрение прудов, интродукцию кормовых беспозвоночных (инфузории, моины), кормление декапсулированными яйцами артемии салина, искусственными стартовыми кормами. Плотности посадки личинок в зависимости от степени интенсификации процесса составляют 5-12 млн/га, выживаемость - от 60 до 86 % (Веригин Б. В.).

Облов прудов. Выход подращенных личинок.

Спуск прудов и облов молоди следует проводить в ночное время. При этом теплолюбивые личинки растительноядных рыб уходят из прибрежной зоны, где они держатся днем, опускаются в более глубокие слои воды и быстрее уходят с ее током. Облов в ночное время больше соответствует и биологии ската: активный скат молоди многих видов рыб обычно происходит ночью. Вылов личинок производится с помощью малькового уловителя, устанавливаемого на сбросном сооружении.

Мальковый уловитель состоит из бетонного бассейна или деревянного водонепроницаемого ящика длиной 3,5-4,0 м и шириной 1,2-1,5 м. Высоту его подбирают с таким расчетом, чтобы вначале облова перепад горизонтов воды в пруду и уловителе не превышал 10 см. Задняя стенка бассейна состоит из шандор. В ящик (или бассейн) вставляют собственно уловитель из капронового сита № 7-12 (в зависимости от размера молоди) с манжетом из брезента для закрепления на водосливной трубе диаметром не менее 50 см. Крепление капронового уловителя осуществляется веревками за скобы, вмонтированные в бетонный бассейн. Капроновый уловитель на 15-20 см меньше бассейна по ширине и на 50 см по длине. Такая разница в размерах обеспечивает лучшую фильтрацию воды через стенки капронового сита. В уловителе устанавливается продольная неполная перегородка, за которой создается зона затишья, куда уходят личинки от быстротока.

Вначале спуска пруда бассейн заполняют водой и сброс ее начинают осуществлять с помощью шандор в задней стенке бассейна. Таким образом бассейн становится как бы продолжением пруда. Скорость тока в уловителе регулируют шандорами с таким расчетом, чтобы не допускать травмирования личинок. Из уловителя личинок отлавливают сачком из капронового сита № 20-23 и переносят в тазы или другую тару. Личинок следует переносить вместе с водой, для чего под дно сачка подводят миску с водой. Можно изготавливать нижнюю часть сачка из водонепроницаемого материала, но такие сачки менее удобны в работе.Согласно действующим нормативам, выход подращенных личинок должен составлять 40-50%. При строгом соблюдении технологических требований к процессу подращивания выход личинок обычно составляет не менее 60%. Увеличение выживаемости личинок достигается повышением степени интенсификации процесса подращивания (интродукция кормовых организмов, кормление личинок, применение химических препаратов для борьбы с хищными беспозвоночными). В этом случае выход личинок увеличивается до 70-80% и более (Привезенцев Ю.А).

.       
ОПИСАНИЕ РАЙОНА ИССЛЕДОВАНИЯ

 

История создания хозяйства и его путь развития

Специализированный рыбопитомник "Ангелинский" был построен в 1928-1953 году, цель строительства выращивание и снабжение сеголетками карпа окружающих его рисосеющих совхозов и колхозов. Однако, в первые годы эксплуатации на хозяйство был наложен карантин из-за вспышки краснухи карпа (аэромонос). После чего рыбопитомник был преобразован по решению Министерства рыбного хозяйства в 1967 году в полносистемное хозяйство, а рыбопосадочный материал выращивали только для собственных нужд.

До 1964 года хозяйство было убыточным и только с внедрением растительноядных рыб позволило предприятию стать прибыльным и высокопроизводительным.

В 1976 году в результате проведенных оздоровительных мероприятий с рыбхоза был снят карантин по аэромонозу. Для выведения краснухо устойчивого карпа был подключен институт ВНИИПРХ и КрасНИИРХ. После снятия карантина, рыбхоз "Ангелинский" снова сосредоточил всю свою деятельность на выращивание рыбопосадочного материала. Для выращивания сеголетков в рыбхозе использовали в 1976 - 1979 году десять выростных прудов общей площадью 84 га, и три нагульных пруда площадью по 46 га. Нерест карпа проходил в 2 нерестовых, 4 зимовальных и 1 летнематочном пруду. Общая нерестовая площадь составляла 7,88 га из которых только 0,5 га имели целевое назначение. Остальные пруды использовали под нерест после отлова из них годовиков или до высадки на нагул маточного и ремотного поголовья.

До 2000 года рыбхоз "Ангелинский" не имел собственного инкубационного цеха. Для выращивания сеголетков в поликультуре личинок завозили из рыбопитомников края.

В 2001 году было принято решение построить собственный инкубационный цех и создать маточное стадо растительноядных рыб.

Рис.3 - Участок выдерживания производителей

Рис.4 - Инкубационный цех

В этом же году хозяйство было преобразовано в ООО РСП "Ангелинское". С апреля 2004 года предприятие получило статус племенного репродуктора, а с февраля 2008 года хозяйству присвоен статус племенного завода по разведению карпа породы ангелинский чешуйчатый и с 2009 года по разведению карпа ангелинский зеркальный.

В настоящее время основной вид деятельности хозяйства это производство и выращивание рыбы: карпа, растительноядных рыб (белый толстолобик, пестрый толстолобик, белый и черный амур), а также осваивается получение и выращивание веслоноса. Всего земельных угодий 1086га, в том числе водной глади 1003га, под прудами 999 га. С 2000 года по 2012год на хозяйстве было построено инкубационный цех мощностью 150млн. личинок, циркуляционный бассейн для получения икры естественным путем, пруды для накопления товарной рыбы с целью реализации в осенне-зимний период мощностью 150-200 тонн (участок Живорыбная база), технологические склады общей площадью 2640 м².Объем выращиваемой товарной рыбы колеблется от 600-800 тонн.

Рис.5 - Циркуляционный бассейн

2.1 Характеристика рыбоводных прудов

 

Общие сведения

Исследуемые пруды расположены в степной зоне Краснодарского края. Климат умеренно континентальный, смягчает близость Азовского, Черного морей и предгорий Кавказа. Среднегодовая температура находится в пределах 10-12 С. Зима умеренно мягкая, облачная, влажная, ветреная. Средняя температура воздуха зимой минус 1-5 С. Суровые зимы бывают редко, но периодически повторяются. Лето солнечное, теплое, иногда жаркое. Средняя температура воздуха летом 21-24 С.

Вегетационный период для прудов длится 180-200 дней. Годовое количество осадков 400-600 мм в год.

Все пруды, на которых проводили наблюдения, одамбированные, спускные, на зиму осушаются, оборот хозяйства трехлетний. Вода в пруды поступает из нижнего течения р. Кубань по Ангелинскому ерику.

Зарыбление прудов, проведение интенсификационных мероприятий.

Подбор видового состава поликультуры рыб и плотностей их посадки, как известно, осуществляется на основе сведений о характере питания каждого из видов, запасах корма в водоеме. Учитывается также способность вида при недостатке основного корма переходить на заменяющий, в том числе и искусственный, корм.

Из растительноядных рыб предпочтение отдается толстолобику - потребителю фитопланктона и белому амуру. Белый амур - потребитель высшей водной растительности - используется, в основном, в качестве биологического мелиоратора. В окультуренном рыбоводные пруды его сажают в небольшом количестве из расчета получения продукции 1-2 ц/га. Таким образом, эти два вида (белый толстолобик и белый амур) осваивают в прудах свободные кормовые ниши и не вступают в конкурентные отношение из-за пищи с карпом.

Исследование проводили на производственных прудах. Зарыбление прудов было проведено на основании опыта, накопленного хозяйствами за предыдущие годы.

На всех исследованных прудах проводили интенсификационные мероприятия: известкование, выкашивание растительности, удобрение аммиачной селитрой, суперфосфатом и органическими веществами (Ларина, Докучаева, 1984), применяли кормление рыб комбикормами.

Гидрохимический режим

Вода в пойменно-плавневых прудах Ангелинского рыбхоза относилась к гидрокарбонатно-кальциевой, второго типа со слабой минерализацией, сумма ионов в течение сезона в разных прудах колебалась в пределах 0,32-0,47 г/л. Активная реакция воды прудов слабощелочная (рН 8,4 - 8,5), жесткость 3,40-5,55 мг/экв/л, щелочность 2,30-4,45 мг/экв/л. По величине и характеру минерализации вода благоприятна для выращивания рыбы.

Содержание общего азота изменилось от 1,42 до 3,55 мг N/л. Содержание общего фосфора было довольно высоким - 0,24-0,64 мгР/л. Перманганатная окисляемость 5,50-10,05 мгО/л. Прозрачность воды (по шрифту) составила 4,9-8,7 см. Газовый режим во всех прудах этой группы в течение вегетационного сезона был в норме. Иловые отложения содержали до 4,3% гумуса, 145 гм/100 г гидролизуемого азота и 15 мг/100 г фосфора.

3. МАТЕРИАЛЫ И МЕТОДЫ ИССЛЕДОВАНИЙ

В процессе прохождения производственной практики на ООО рыбоводном сельскохозяйственном предприятии "Ангелинское" за 42 дня был собран материал, влияние различного корма для рыб на темп роста белого и пестрого толстолобиков. Для получения данной информации производились промеры темпа роста и веса толстолобика, обработка журналов контрольных обловов на хозяйстве, а так же литературных данных.

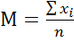
Исследования признаков проводились по общепринятой методике (Правдин, 1966). Определялись средняя навеска, прирост рыбы в граммах на электронных весах (погрешность 1 г). Также производился расчет средних значений каждого показателя, минимальное и максимальное значение, а также ошибки среднего значения. Вычисления проводились с помощью стандартных статистических методов (Лакин, 1973).

Расчет средних значений (М) производилось по формуле (1):

 (1)

где - сумма вариант;

- отдельно взятый признак;

n- количество особей.

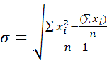
Стандартное отклонение (σ) находилось по формуле (2):

(2)

где  - сумма квадратов отклонений от средней величины;

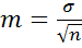
Ошибка среднего значения (m) находились по формуле (3):

 (3)

где  - стандартное отклонение.

Коэффициент вариации определялся по формуле (4):

 (4)

Упитанность по Фультону определялась по формуле (5):

Kу(ф) = M/L3 * 100% (5)

Где М - масса всей рыбы

L - длина тела рыбы

Рыбопродуктивность нагульных прудов рассчитывалась по формуле (6):

Р = (N * m) / Sпр (6)

Где Р - рыбопродуктивность

N - количество штук

m- масса сеголеток

S- площадь пруда

Температура воды измерялась спиртовым термометром с периодичностью в 3 часа. Измерения массы и количества рыб проводились каждые 10-15 дней во время сортировок.

4. РЕЗУЛЬТАТЫ РАБОТЫ

4.1 Естественная кормовая база толстолобиков

По данным биологических исследований рыбоводов ООО "Ангелинское" естественная кормовая база выростных прудов состояла из следующих кормовых компонентов:

Таблица 1 - встречаемость кормовых объектов в выростных прудах

Наименование

Выростной 1 % встр.

Выростной 2 % встр.

Выростной 3 % встр.

Выростной 4 % встр.

Сине-зеленые

14

7

17

17

Диатомовые

16

15

-

-

Зеленые

-

8

15

18

Протококковые

14

7,5

-

17

Эвгленовые

16

7,5

14

-

Жгутиковые

-

15

15

-

Коловратки

12

12,5

12

15

Ветвистоусые

12

12,5

12

15


100

100

100

100


Таким образом наибольший прирост массы рыбы во втором выростном пруду, что обусловлено лучшим развитием естественной кормовой базы. В первом и третьем пруду - прирост примерно одинаковый. В четвертом выростном пруду был наименьший прирост из-за худшего развития кормовой базы.

 

4.2 Темп роста

На Ангелинском рыбхозе изучение средних показателей роста белого и пестрого толстолобиков производилось в 1, 2, 3, 4 выростных прудах.

Темп роста у рыб в начале жизненного цикла очень высок. Личинка, выклюнувшаяся из икринки массой 1мг, к концу сезона имеет массу от 21,0 г до 24,1 г - белый толстолобик и от 21,5 г до 25,4 г - пестрый толстолобик.

Прирост в разных выростных прудах имеет примерно одинаковые значения, но к концу сезона наибольший прирост наблюдался во втором выростном пруду - 7,1 г (б. т.) и 7,2 г (п. т.). Анализ условий выращивания показывает, что при одинаковых плотностях посадки оказывают влияние на рост глубина и площадь. Так, во 2 выростном пруду площадь составляет 4 га, а в 4 - 20 га, при этом в 4 выростном пруду плотность посадки занижена. Несмотря на то, что 4 выростной пруд имел меньшую плотность посадки и большую площадь средние навески здесь были меньше, чем во 2 выростном пруду. Возможно, это связано с глубиной, прогреваемостью пруда, развитием кормовой базы в пруду.

Прогреваемость пруда зависит от его площади и глубины. В свою очередь глубина и площадь прудов оказывают влияние на развитие фито- и зоопланктона, что влияет на темп роста рыбы. Глубины и площади прудов указаны в таблице 2.

Таблица 2 - Глубины и площади прудов

Показатели

Выростной 1

Выростной 2

Выростной 3

Выростной 4

Глубина макс., м

1,5

1

1,5

2

Площадь, га

7

4

7

20


Из таблицы видно, что масса рыб зависит от глубины. Где она выше, там рост рыбы хуже (пруд 4).

Пруд 1 выкопанный, в нем обменные процессы идут слабее. Глубина максимальная 1,5 м, средняя 1 м, большие пруды прогреваются хуже.

Во 2 выростном пруду максимальная глубина 1,5 м, средняя глубина 1 м. Форма этого пруда округлая, много заросших участков, хорошо прогреваемых, следовательно, здесь хорошая кормовая база. Пруд лучше прогревается, чем более глубокие. Дно не илистое, песчаное, и в результате проводимых рыбоводно-мелиоративных работ лучше развивается кормовая база.

Пруд 3 мелкий, хорошо прогревается и удобряется, но в пруду развивается много нитчатых сине-зеленых водорослей, препятствующие развитию других водорослей, которыми питается белый толстолобик (диатомовые, зеленые, протококковые, эвгленовые). Глубина около 1 м.

Пруд 4 глубже остальных прудов, выкопан на глине. В результате поглощения азота и фосфора ухудшалась эффективность вносимых удобрений, и это приводило к снижению уровня развития кормовой базы, что и отобразилось на массе выловленных сеголетков.

Таким образом, наиболее благоприятные условия наблюдались во 2 выростном пруду, пруд лучше остальных прудов прогревался и в нем наблюдалось хорошее развитие кормовой базы, 1 и 3 пруды по условиям выращивания и по массе сеголетков примерно одинаковы, в 4 пруду, несмотря на большую глубину и меньшую плотность посадки средние навески были ниже.

Динамика роста сеголетков белого и пестрого толстолобиков в течение вегетационного периода 2012 года в прудах была неравномерной. Сначала прирост был небольшой, а затем он увеличивался.

Таблица 3 - Средние показатели роста сеголетков белого и пестрого толстолобиков в выростных прудах сп/х "Ангелинское"

дата

Название рыбы

Выростной 1



M, г

L, см

Прирост, г

Kу(ф)

4.09

Б. Т.

0,6

3,4


1,5


П. Т.

0,8

3,8


1,5

8.09

Б. Т.

1,0

4,7

0,4

1,7


П. Т.

1,1

4,9

0,4

1,7

12.09

Б. Т.

3,1

6,1

2,1

2,0


П. Т.

3,2

6,3

2,0

2,0

18.09

Б. Т.

4,8

7,3

1,7

2,6


П. Т.

4,9

7,5

1,7

2,6

21.09

Б. Т.

8,3

10,0

3,5

3,0


П. Т

8,5

10,4

3,6

3,0

27.09

Б. Т.

12,1

11,4

3,8

3,2


П. Т.

12,4

11,8

4,9

3,4

4.10

Б. Т.

16,3

12,2

4,2

3,8


П. Т.

16,8

12,4

4,1

3,7

8.10

Б. Т.

22,6

12,6

6,3

3,8


П. Т.

23,0

12,8

6,5

3,8


Таблица 4 - Средние показатели роста сеголетков белого и пестрого толстолобиков в выростных прудах сп/х "Ангелинское"

дата

Название рыбы

Выростной 2



M, г

L, см

Прирост, г

Kу(ф)

4.09

Б. Т.

0,7

3,5


1,5


П. Т.

0,9

3,9


1,5

8.09

Б. Т.

1,3

4,9

0,6

1,7


П. Т.

1,5

5,2

0,6

1,7

12.09

Б. Т.

3,1

6,1

1,8

2,0

3,3

6,5

1,8

2,0

18.09

Б. Т.

4,9

7,9

1,8

2,3


П. Т.

5,2

8,3

1,9

2,3

21.09

Б. Т.

8,5

10,6

3,6

2,8


П. Т

9,0

10,9

3,8

2,9

27.09

Б. Т.

13

11,4

4,5

3,1


П. Т.

13,4

12,8

4,4

3,1

4.10

Б. Т.

17

12,7

4,0

3,3


П. Т.

17,6

13,1

4,2

3,4

8.10

Б. Т.

24,1

13,2

7,1

3,7


П. Т.

25,4

13,9

7,8

3,8


Таблица 5- Средние показатели роста сеголетков белого и пестрого толстолобиков в выростных прудах сп/х "Ангелинское"

дата

Название рыбы

Выростной 3



M, г

L, см

Прирост, г

Kу(ф)

4.09

Б. Т.

0,6

3,4


1,5


П. Т.

0,8

3,8


1,5

8.09

Б. Т.

1,1

4,7

0,5

1,6


П. Т.

1,4

5,1

0,6

1,7

12.09

Б. Т.

2,9

5,9

1,8

2,0


П. Т.

3,3

6,4

1,9

2,0

18.09

Б. Т.

4,2

6,9

1,3

2,5


П. Т.

4,6

7,1

1,3

2,5

21.09

Б. Т.

8,0

10,0

3,8

2,8


П. Т

8,4

10,7

3,8

2,8

27.09

Б. Т.

11,5

11,2

3,5

3,0


П. Т.

11,9

11,6

3,5

3,0

4.10

Б. Т.

15,9

11,9

4,4

3,3


П. Т.

16,3

12,3

4,4

3,3

8.10

Б. Т.

22,0

12,2

6,1

3,7


П. Т.

22,6

12,6

6,3

3,7


Таблица 6 - Средние показатели роста сеголетков белого и пестрого толстолобиков в выростных прудах сп/х "Ангелинское"

дата

Название рыбы

Выростной 4



M, г

L, см

Прирост, г

Kу(ф)

4.09

Б. Т.

0,6

3,4


1,5


П. Т.

0,7

3,9


1,5

8.09

Б. Т.

1,0

4,6

0,4

1,5


П. Т.

1,3

5,2

0,6

1,6

12.09

Б. Т.

2,6

5,8

1,6

1,9


П. Т.

2,9

6,2

1,6

1,9

18.09

Б. Т.

4,6

7,2

2,0

2,3


П. Т.

5,0

7,8

2,1

2,3

21.09

Б. Т.

7,5

9,9

2,9

2,7


П. Т

7,9

10,7

2,9

2,7

27.09

Б. Т.

11,0

11,0

3,5

2,9


П. Т.

11,6

11,4

3,7

3,0

4.10

Б. Т.

15,0

11,4

4,0

3,5


П. Т.

15,4

11,9

3,8

3,4

8.10

Б. Т.

21,0

11,9

6,0

3,7


П. Т.

21,5

12,2

6,1

3,8


Из таблиц 3,4,5,6 видно, что коэффициент упитанности колебался в пределах от 1,5 до 3,8; прирост за сезон составил в разных прудах от 20,4 г (4 пруд) до 23,4 г (2 пруд) для белого толстолобика и от 20,8 г (4 пруд) до 24,5 г (2 пруд) для пестрого толстолобика. На рисунке 6 изображен рост сеголетков белого и пестрого толстолобиков в 1, 2, 3, 4 выростных прудах.

Рисунок 6 - темп роста сеголеток белого толстолобика.

4.3 Вылов

Если сравнивать темп роста толстолобиков в 1, 2, 3, 4 выростных прудах со стандартными значениями роста, то можно выявить, что темп роста в исследуемых прудах соответствовал норме, за исключением 2 выростного пруда, где рост был выше. Выявляется тенденция повышения роста во 2 выростном пруду и снижения в 4 пруду, что вероятно связано с лучшим развитием кормовой базы в тот период. И наоборот, снижение темпа роста в 4 выростном пруду, что отразилось на массе выловленных сеголетков. Во 2 выростном пруду масса составила 24,1г для белого толстолобика и 25,4 г для пестрого толстолобика, что выше, чем в остальных прудах - 21 г и 21,5 г, соответственно, в 4пруду; 22,6 г и 23,0 г, соответственно, в 1 пруду; 22 г и 22,6 г, соответственно, в 3 выростном пруду.

Таблица 7 - результаты выращивания молоди белого и пестрого толстолобиков и рыбопродуктивность прудов

Вид рыбы

Зарыбление

Вылов

Рыбпрод - ть ц/га


Экз/га

m

Экз/га

m

% выхода


Пруд 1

Б. Т.

39000

1

27500

22,6

70

12

П. Т.

35000

1

25000

23,0

70


Пруд 2

Б. Т.

39500

1

27000

24,1

70

13

П. Т.

35000

1

25000

25,4

70


Пруд 3

Б. Т.

43000

1

28500

22,0

70

12

П. Т.

35000

1

26000

22,6

70


Пруд 4

Б. Т.

34000

1

24500

21,0

70

10

П. Т.

30000

1

23000

21,5

70


Общая рыбопрод-ть

47


ЗАКЛЮЧЕНИЕ

1.      В результате исследования темпов роста белого и пестрого толстолобиков для лучшего роста рыбы были выявлены следующие показатели. Это хорошо развитая кормовая база и небольшая глубина пруда.

.        Производственные процессы начинались с зарыбления выростных прудов. Выход молоди при подращивании 70%.

.        Выростные пруды зарыблялись следующим образом:

белым толстолобиком: пруд 1- 39000 экз/га; пруд 2 - 39500 экз/га; пруд 3 - 43000 экз/га; пруд 4 - 34000 экз/га;

пестрым толстолобиком: пруд 1, 2, 3 по 35000 экз/га; пруд 4 - 30000 экз/га; массой в 1 г.

.        Наиболее больший темп роста наблюдался во втором выростном пруду (24,1 г-Б.Т., 25,4 г - П.Т.), чем послужили его небольшая глубина и предпочтительная для толстолобиков кормовая база.

5.      Коэффициент упитанности белого толстолобика колеблется от 1,5 до 3,8.

.        Общая рыбопродуктивность выростных прудов составила 47 ц/га.

СПИСОК ИСПОЛЬЗОВАННЫХ ИСТОЧНИКОВ

1.      Атлас пресноводных рыб России/ Ю.С. Решетников. Том 1. М.: Наука, 2003.- 379 с.

.        Акклиматизация растительноядных рыб в водоемах СССР.- Кишинев: Штиинца, 1972.-154с.

.        Алиев Д. С, Веригин Б. В., Виноградов В. К., Ерохина Л. В., Макеева А. П. и др. Руководство по биотехнике разведения и выращивания растительноядных рыб. -М.: МРХ СССР, 1970. 71 с.

.        Багров А. М. Гаметогенез и половые циклы растительноядных рыб в разных климатических зонах в связи с искусственным воспроизводством. - Автореф. докт. дис. - М., 1993. - 58 с.

.        Багров А. М., Барсов И. Г., Костылев В. А. Выращивание ремонтного материала растительноядных рыб в прудах тепловодного хозяйства // Сб.науч.тр./ Поликультура растительноядных рыб в прудовом хозяйстве и естественных водоемах. - М.: ВНИИПРХ, 1975. - Вып. 15. - С. 45-51.

.        Багров А.М. 1985. Рост и развитие гонад растительноядных рыб в условиях тропического климата в связи с их искусственным воспроизводством (на примере Кубы): Автореф. дис. ... канд. биол. наук. М., 26 с.

.        Багров А. М., БогерукА. К, Виноградов В. К., Воропаев Н. В., Ерохина Л. В., Иля-сов Ю. И., Кривцов В. Ф., Мельченков Е. А., Савин Г. И., Чертихин В. Г. Толстолобик белый. - А.с. № 32420,1999.

.        Багров А. М., БогерукА. К, Виноградов В. К, Воропаев К В., Ерохина Л. В., Иля-сов Ю. И., Кривцов В. Ф., Мельченков Е. А., Савин Г. И., Чертихин В. Г. Толстолобик пестрый. - А.с. № 32419. - 1999.

.        Багров А. М., БогерукА. К, Виноградов В. К, Воропаев Н. В., Ерохина Л. В., Иля-сов Ю. И., Кривцов В. Ф., Мельченков Е. А., Савин Г. И., Чертихин В. Г. Толстолобик гибридный. - А.с. N 32418. - 1999.

.        Берг Л.С. 1949. Рыбы пресных вод СССР и сопредельных стран. М.; Л.: Изд-во АН СССР. Т. 2. С. 469-929.

.        Бекин А. Г. Универсальный рыбоводный пруд // Рыбоводство и рыболовство.- 1998. №2. С. 10

.        Белоцерковский Ю. Б. Обоснование размерно-весового стандарта молоди растительноядных рыб, выращиваемой для вселения в естественные водоемы низовьев Волги // Культивирование морских организмов / Сб. науч. тр. ВНИРО. - М., 1985. С. 105-112.

.        Веригин Б. В. Возрастные изменения молоди толстолобика (Hypophthalmichthys molitrix Val.) в связи с биологией, Труды Амурской ихтиологической экспедиции 1945-1949 гг., т. 1, 1950.

.        Веригин Б. В. Современное состояние и перспективы рыбохозяйственного использования толстолобика и белого амура в водоемах Советского Союза, Тезисы докладов Всесоюзного совещания по вопросам рыбохозяйственного освоения белого амура и толстолобика в водоемах СССР, Ашхабад, 1961.

.        Веригин Б.В., Макеева А.П., Шубникова Н.Г. 1979. Случай естественной гибридизации толстолобиков Hypophthalmichthys molitrix х Aristichthys nobilis (Pisces, Cyprinidae) // Зоол. журн. Т. 58, № 2. С. 190-196.

.        Веригин Б.В., Негоновская И.Т.1989. Растительноядные рыбы в естественных водоемах и водохранилищах: (Результаты акклиматизации) //Сб. науч. тр. ГосНИОРХ. Вып. 301: Растительноядные рыбы в водоемах разного типа. С. 5-59.

.        Макеева А.П. 1974. Особенности размножения, созревания и развития белого амура, белого и пестрого толстолобиков // Зоология позвоночных. М.:ВИНИТИ. Т.5: Биология, разведение и использование растительноядных рыб. С. 11-60.

.        Москул Г.А. 1994. Рыбохозяйственное освоение Краснодарского водохранилища. СПб: ГосНИОРХ, 136 с.

.        Негоновская И.Т. 1980. О результатах и перспективах вселения растительноядных рыб в естественные водоемы и водохранилища СССР // Вопр. ихтиологии. Т. 20, вып. 4. С. 702-712.

.        Никольский Г.В. 1956. Рыбы бассейна Амура. М.: Изд-во АН СССР. 551 с.

.        Познанин Л.П., Стрекалова И.И. Биология, разведение и использование растительноядных рыб. Зоология позвоночных. Том 5. Москва. 1974. 214 с.

.        Строганов Н. С. и Веригин Б. В. Материалы к вопросу об акклиматизации амурских рыб в Европейской части СССР, "Зоологический журнал", т. 33, вып. 1, 1954.

.        Суховерхое Ф. М. и Писаренко А. С. Опыт выращивания белого амура и толстолобика в прудах, М., 1958.

.        Привезенцев Ю.А., Власов В.А. Рыбоводство. М.: Мир, 2004.- 456с.  

Похожие работы на - Темп роста белого и пестрого толстолобиков на рыбоводном сельскохозяйственном предприятии ООО 'Ангелинское'

 

Не нашли материал для своей работы?
Поможем написать уникальную работу
Без плагиата!
Без нейросетей!