Проект волоконно-оптической линии передачи на участке Волгоград-Ставрополь
Введение
Волгоград - административный центр
Волгоградского края, находящегося на юго-западе страны, входит в состав Южного
федерального округа. Население составляет 1021244 человека. Город имеет
развитую структуру коммуникаций, включающую в себя международный порт и
Приволжскую железную дорогу. Большую часть промышленности города составляют
тяжелые отрасли производства, такие как металлургия (металлургический завод
Красный Октябрь), машиностроение (ОАО "Волгограднефтемаш"),
химическая промышленность (волгоградский завод Каустик) и другие.
Ставрополь - административный центр
Ставропольского края, находящегося на северном склоне Большого Кавказа.
Население города составляет 398 266 человек. Наибольшие доли промышленности
города занимает производства пищевых продуктов и производство транспортных
средств, электронного и оптического оборудования. Например: ОАО «Оптрон -
Ставрополь», занимающийся производством электронного оборудования.
Волоконно-оптическая связь является самым
надежным и качественным видом связи, обладающая очень высокой пропускной
способностью. В экономическом плане характеризуется быстрой окупаемостью,
несмотря на дорогое измерительное и монтажное оборудование. Выбор данной
технологии для обеспечения связи между крупными городами является наиболее
выгодным, среди прочих.
Необходимость постройки данной линии передачи,
прежде всего, обусловлена статусом данных городов. Оба города являются крупными
административными центрами, с хорошо развитой экономикой, объединяющими в себе
множество видов промышленности. Потребителями услуг будут являться десятки
заводов и предприятий, преимущественно тяжелых отраслей производства, а также
крупнейшие провайдеры услуг связи (МТС, Вымпелком, Мегафон).
1. Расчет числа каналов на
магистрали
Число каналов, связывающих заданные оконечные
пункты, в основном зависит от численности населения в этих пунктах и от степени
заинтересованности отдельных групп население во взаимосвязи.
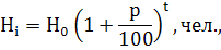
Численность населения в любом областном центре и
в области в целом может быть определена на основании статистических данных
последней переписи населения. Количество населения в заданном пункте и его
подчиненных окрестностях с учетом среднего прироста населения определяется по
формуле:
|
|
(1)
|
где H0
- народонаселение в период переписи населения, чел;
р - средний годовой прирост населения в данной
местности, %;
t - период,
определяемый как разность между назначенным годом перспективного проектирования
и годом проведения переписи населения.
Волгоград:
,
чел.
,
чел.
Ставрополь:
,
чел.
,
чел.
Для расчетов телефонных каналов используют
приближенную формулу:
|
|
(2)
|
где
и
-
постоянные коэффициенты, соответствующие фиксированной доступности и заданным
потерям; обычно потери задаются 5%, тогда
;
;
- коэффициент
тяготения,
;
У - удельная нагрузка, т.е. средняя нагрузка
создаваемая одним абонентом, y
= 0,05 Эрл;
- количество
абонентов, обслуживаемых той или иной оконечной АМТС, определяется в
зависимости от численности населения, проживающего в зоне обслуживания.
Принимая средний коэффициент оснащенности населения телефонными аппаратами
равным 0,5, количество абонентов в зоне АМТС можно определить по формуле:
|
|
(3)
|
где Ht
из формулы (1).
Волгоград - Ставрополь:
Таким образом, можно рассчитать
число каналов для телефонной связи между заданными оконечными пунктами, но по
кабельной магистрали организуют каналы и других видов связи, а также должны
приходить транизтные каналы. Общее число каналов между двумя междугородними
станциями заданных пунктов определяется суммой:
|
nоб=nтф + nтг+nпв+nпд+nтр,
|
(4)
|
где nтф - число двухсторонних каналов
для телефонной связи;
nтг
- то же для телеграфной связи(принимаем 30% от телефонных каналов);
nпв
- то же для проводного вещания(принимаем 30% от телефонных каналов с учетом ширины
канала проводного вещания 1 класса);
nпд
- то же для передачи данных(принимаем 400% от телефонных каналов);
nтр
- транзитные каналы(принимаем 20% от телефонных каналов).
В нашем случае проектируемая ВОЛП является
частью магистральной первичной сети, поэтому предусматриваем организацию
телевизионного канала с учетом его ширины(1600 телефонных каналов).
nоб=nтф
(1+0.3+0.3*3+4+0.2) + 1600 = 4143 каналов
2. Выбор системы передачи и кабеля
.1 Выбор системы передачи
Емкость кабеля и система передачи выбирается в
зависимости от потребного числа телефонных каналов и каналов телевидения при
использовании серийно выпускаемой аппаратуры для их уплотнения.
После расчёта числа каналов производится
пересчет каналов ТЧ в потоки Е1. Для расчёта количества цифровых потоков Е1
можно воспользоваться формулой (5).
|
|
(5)
|
где nобщ
- общее число каналов между двумя междугородними станциями заданных пунктов.
Дополнительный канал Е1 отводится под служебную
связь.
Выбираем уровень STM
- 4.
2.2 Выбор оптического кабеля
Требуемое число оптических волокон в оптическом
кабеле выбирается на основе рассчитанного выше общего числа каналов для
телефонной связи и выбранной системы передачи.
В проекте ВОЛП будет использован кабель марки
ОМЗКГЦ-10-01-0,22-4 (8.0). Расшифровка маркировки:
ОМЗКГЦ - оптический магистральный зоновый для
прокладки в канализации, грунте, с центральной трубкой;
- диаметр модового поля, мкм;
- тип изготовления центральной трубки,
используется полибутилентерафталат;
,22 - коэффициент затухания на длине волны 1550
нм, дБ/км;
- количество волокон в кабеле;
.0 - допустимое растягивающие усилие, кН.
Основные конструктивные элементы:
Рисунок 1 - Конструкция оптического кабеля
ОМЗКГЦ
. Оптическое волокно производства
Fujikura, Corning;
. Гидрофобный компаунд в модуле;
. Центральная трубка из
полибутилентерефталата;
. Гидрофобный компаунд между броней и
модулем;
. Броня из круглых стальных оцинкованных
проволок;
. Защитный шланг из полиэтилена.
Таблица 1 - Характеристики кабеля
Значение
|
|
Тип
конструкции кабеля
|
С
центральной модульной трубкой
|
|
Тип
оптических волокон
|
G.652
|
|
Число
оптических волокон
|
4
|
|
Материал
силового элемента
|
-
|
|
Материал
влагозащитной оболочки
|
Полиэтилен
|
|
Тип
защитного покрытия
|
Стальная
проволока
|
|
Строительная
длина, км
|
5
|
|
Допустимое
тяговое усилие, кН
|
8
|
2.3 Выбор оборудования SDH
Мультиплексор, удовлетворяющий условиям FlexGain
A155.A155 - SDH-мультиплексор выделения/добавления для смешанного трафика
TDM+Ethernet. FlexGain A155 предназначен для построения транспортных сетей SDH
уровней STM-1/4, кольцевых и линейных структур. Поддерживает все типы защиты
SDH- и Ethernet-трафика. Поддерживает два направления STM-4 или до четырех
направлений STM-1. Производительность матрицы кросс-коннекта 5*STM-1.
Применяется на магистральных сетях первого и
второго уровня электросвязи, а также городских межстанционных сетях, местной
сети, сельской телефонной сети, локальной сети.
Рисунок 2 - Мультиплексор FlexGain A155.
Технические характеристики:
. Диапазон рабочих длин волн: 1310-1550
нм;
. Количество портов: Ethernet от 1 до 8,
STM-1 от 1 до 4, STM-4 до 2;
. Скорость передачи: 2,048 - 622,080
Мбит/сек;
. Длина волоконно-оптической линии,
включая 2 дБ на соединения и запас на восстановление ВОК, км: 0-100 км;
. Средний срок наработки на отказ: не
менее 20 лет.
3. Выбор и характеристика трассы
Трасса прокладки кабеля определяется
расположением оконечных пунктов. Трасса должна иметь наикратчайшее расстояние
между заданными пунктами и наименьшее количество препятствий, усложняющих и
удорожающих строительство. Изыскания по выбору трассы осуществляются по
картографическим материалам Атласа автомобильных дорог России.
Таблица 2 - Характеристика трассы с направлением
Волгоград - Ставрополь с правой стороны дороги
|
Показатели
|
Значения
|
|
Всего
|
ОП1-
ОРП2
|
ОРП2-
ОРП3
|
ОРП3-
ОРП4
|
ОРП4-
ОРП5
|
ОРП5-
ОП6
|
|
Протяженность
трассы, км
|
505
|
93
|
91
|
96
|
110
|
115
|
|
Переходы
через дороги, переход
|
32
|
2
|
7
|
5
|
9
|
9
|
|
автомобильные
|
27
|
2
|
7
|
4
|
6
|
8
|
|
железные
|
5
|
0
|
0
|
1
|
3
|
1
|
|
Переходы
через реки, переход
|
6
|
0
|
0
|
4
|
2
|
|
судоходные
|
2
|
0
|
0
|
0
|
2
|
0
|
|
несудоходные
|
4
|
0
|
0
|
0
|
2
|
2
|
Таблица 3 - Характеристика трассы с направлением
Волгоград - Ставрополь с левой стороны дороги
|
Показатели
|
Значения
|
|
Всего
|
ОП1-
ОРП2
|
ОРП2-
ОРП3
|
ОРП3-
ОРП4
|
ОРП4-
ОРП5
|
ОРП5-
ОП6
|
|
Протяженность
трассы, км
|
509
|
101
|
87
|
96
|
110
|
115
|
|
Переходы
через дороги, переход
|
33
|
3
|
5
|
12
|
7
|
6
|
|
автомобильные
|
28
|
3
|
5
|
11
|
5
|
4
|
|
железные
|
5
|
0
|
0
|
1
|
2
|
2
|
|
Переходы
через реки, переход
|
8
|
1
|
0
|
0
|
5
|
2
|
|
судоходные
|
2
|
0
|
0
|
0
|
2
|
0
|
|
несудоходные
|
6
|
0
|
0
|
3
|
2
|
Выбираем направление с правой стороны дороги.
4. Расчет параметров оптического
кабеля
.1 Расчет числовой апертуры,
нормированной частоты и числа мод
Расчет апертуры производится по формуле 6:
|
|
(6)
|
где n1
и n2
показатели (коэффициенты) преломления сердцевины и оболочки соответственно.
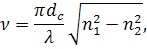
Расчет нормированной частоты ν,
производится
по формуле 7:
|
|
(7)
|
где λ
- длина волны излучателя, мкм;
dc
- диаметр сердцевины ОВ, мкм.
Расчетная нормированная частота лежит в пределах
от 0 до 2,405 - имеет место одномодовый режим передачи.
Рассчитан одномодовый режим передачи; тип
оптических волокон, используемых в оптическом кабеле, G.652 - стандартное
одномодовое волокно.
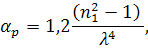
4.2 Расчет ослабления сигнала в ОВ
Коэффициент затухания за счет рассеяния:
|
|
(8)
|
где λ
- длина волны излучателя, мкм;
n1
- показатель преломления сердцевины;
Коэффициент затухания (ослабления):
|
|
(9)
|
где
-
дополнительные кабельные потери, dB/км;
Величина
в
реальных условиях составляет 0,1-0,3, dB/км.
Расчетное значение коэффициента затухания
превышает нормативное значение для длин волн излучателя 1,3 мкм -
.
Это приведет к увеличению числа регенераторов, т.е. необходимо сократить длину
регенерационной секции.
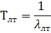
4.3 Дисперсия и пропускная
способность ОВ
Дисперсия рассчитывается по формуле:
|
|
(10)
|
где
=
0,2 нМ - ширина спектра излучения источника;
- коэффициент
удельной материальной дисперсии ОВ для заданной длинны волны;
- коэффициент
удельной волновой дисперсии ОВ для заданной длины волны.
Коэффициент широкополосности (пропускная
способность ОВ) определяется по формуле 11:
|
|
(11)
|
где 𝜏
- дисперсия ОВ;
Расчетная пропускная способность приближена к
теоретической в десятки ГГц км.
5. Определение длины
регенерационного участка
Длина регенерационного участка по затуханию
определяется по формуле 12:
|
|
(12)
|
где
-
строительная длина кабеля;
- потери в
неразъемных соединителях;
- потери в
разъемных соединителях;
- мощность сигнала
на выходе генератора;
- минимальная
мощность сигнала на входе фотоприемника.
Длина регенерационного участка по дисперсии
определяется по формуле:
|
|
(13)
|
где
-
тактовая частота системы передачи, Гц.
Из получившихся значений выбираем наименьшее -
64,4 км.
Число регенерационных участков для каждой секции
ОП-ОРП определяется по формуле:
|
|
(14)
|
|

|
|
(15)
|
|
|
|
Для секции ОП1-ОРП2:
Для секции ОРП2-ОРП3:
Для секции ОРП3-ОРП4:
Для секции ОРП4-ОРП5:
Для секции ОРП4-ОРП5:
Для каждой секции количество НРП будет
рассчитано по формуле (16):
|
|
(16)
|
|
|
|
В каждой секции регенерации будет 2
регенерационных участка, т.е. между соседними обслуживаемыми пунктами
регенерации будет один необслуживаемый регенерационный пункт.
Рисунок 3 - Схема размещения регенераторов
6. Составление сметы затрат на
строительство проектируемой ВОЛС
кабель трасса волоконный оптический
Смета на строительство является основным
документом, по которому осуществляется планирование капитальных вложений,
финансирование строительства и расчета между подрядчиком и заказчиком за
выполнение работы.
Таблица 4 - Смета на строительство проектируемой
ВОЛС
|
Наименование
работ и материалов
|
Единица
измерений
|
Кол-во
на всю трассу
|
Стоимость
материалов и работ, руб.
|
Заработная
плата, руб.
|
|
|
|
На
единицу измерения
|
На
всю трассу
|
На
единицу измерения
|
На
всю трассу
|
|
Оптический
кабель
|
км
|
515
|
30059
|
15480385
|
-
|
-
|
|
Прокладка
оптического кабеля кабелеукладчиком
|
км
|
455
|
6600
|
3003000
|
17100
|
7780500
|
|
Прокладка
кабеля вручную с учетом копки траншеи и закопки траншеи
|
км
|
26
|
6300
|
163800
|
5800
|
150800
|
|
Строительство
телефонной канализации
|
км
|
24
|
10200
|
244800
|
3000
|
72000
|
|
Протягивание
кабеля в телефонной канализации
|
км
|
24
|
1370
|
750
|
18000
|
|
Устройство
переходов через шоссейные и ж/д дороги
|
1
пер
|
31
|
4500
|
139500
|
13900
|
430900
|
|
Устройство
переходов через реки
|
1
пер
|
5
|
8100
|
40500
|
12100
|
60500
|
|
Монтаж,
измерение и герметизация муфт
|
шт.
|
60
|
2880
|
172800
|
3600
|
216000
|
|
Итого
å1,
å2
|
19
277 665
|
8
728 700
|
|
Заработная
плата
|
8
728 700
|
|
Накладные
расходы
|
7
593 969
|
|
Итого
å3
|
35
600 334
|
|
Плановые
накопления
|
2
848 026,72
|
|
Всего
по смете
|
38
448 360,72
|
Количество муфт на участке регенерации
определяется как:
|
|
(17)
|
где lp
- длина регенерационного участка, км;
lc
- строительная длина ОК, км.
Расчет стоимости канало-километра следует
производить по формуле:
|
|
(18)
|
где n
- количество каналов, запускаемых на первом этапе;
С - стоимость канало-километра, руб./кан*км.
7. Расчет надежности ВОЛС
Среднее число (плотность) отказов ОК за счет
внешних повреждений на 100 км. кабеля в год m = 0,34.
Тогда интенсивность отказов ОК за 1 час на длине
трассы ВОЛП определится как:
|
|
(19)
|
где L - длина проектируемой магистрали;
- количество дней в году.
Интенсивность отказов линейного тракта λлт
определится по формуле:
|
|
(20)
|
где -
интенсивность отказов на одном километре кабеля в час;
- интенсивность
отказов на ОП в час;
- интенсивность
отказов на ОРП в час;
- интенсивность
отказов на НРП в час.
Наработка на отказ линейного тракта Тлт
в час определится по формуле:
|
|
(21)
|
|
|
|
Среднее время восстановления линейного тракта Твлт,
в час определится по формуле:
где =
10 часов - среднее время восстановления одного километра кабеля;
= 0,5 часов -
среднее время устранения повреждения на ОП;
= 0,5 часов -
среднее время устранения повреждения на ОРП;
= 2,5 часов -
среднее время устранения повреждения на НРП;
При существующей эксплуатации стратегии
восстановления, начинающегося с момента обнаружения отказа (аварии),
коэффициент простоя (неготовности) определяется по формуле:
|
|
(23)
|
|
|
|
Коэффициент готовности линейного тракта Кг
определится по формуле:
|
(24)
|
|
|
|
|
Суммарное значение Кг и Кп равно единице.
Коэффициент Кг не соответствует современным
параметрам надежности Кг 0,9985. Необходимо
повысить надежность за счет повышенного контроля над технологическим процессом
монтажа муфт, увеличение глубины прокладки оптического кабеля в грунт,
увеличение диаметра канализационной трубы, снижает возможность повреждения
оптического кабеля грызунами.
Заключение
В данной курсовой работе было рассчитано общее
число каналов между двумя междугородними станциями заданных пунктов. На основе
результатов была выбрана система SDH с уровнем STM-4, оптический кабель ОМЗКГЦ
и мультиплексор FlexGain A155. Выбран оптимальный маршрут трассы ВОЛП, учитывая
минимальное количество переходов через авто, ж/д дороги и реки. Рассчитаны
параметры кабеля, такие как апертура и нормированная частота ОВ. Получена
величина ослабления сигнала и даны рекомендации по её уменьшению. Определена
дисперсия в ОВ и пропускная способность одного волокна. На основании полученных
расчетов определена длина регенерационного участка, регенерационных секций и их
число. Составлена смета затрат на материалы и заработную плату. Произведен
расчет стоимости канало-километра. Выполнены подсчеты по определению надежности
волоконно-оптической линии связи, даны рекомендации по повышению надежности.
Составлена ситуационная схема трассы.
Библиография
1.
Официальный сайт администрации города Волгограда [Электронный ресурс] /
Администрация города Волгограда. - электрон. дан. - Волгоград [2013]. Режим
доступа: http://www.volgadmin.ru
.
Официальный сайт администрации города Ставрополя [Электронный ресурс] /
Администрация города Ставрополя. - электрон. дан. - Ставрополь [2013]. Режим
доступа: http://www.stavropol.stavkray.ru/
.
Атлас «Автомобильных дорог России». - ФГУП Омская картографическая фабрика,
2007. - 271 с.
.
Гниломедов Е.И. Оптические направляющие среды и пассивные компоненты
волоконно-оптических линий связи (ВОЛС): Методические указания по выполнению
курсового проекта. - Екатеринбург: Федеральное агентство связи УрТИСИ ФГОБУ ВПО
«СибГУТИ», 2011 - 37 с.
.
Портнов Э.Л. Оптические кабели связи и пассивные компоненты
волоконно-оптических линий связи. Учебное пособие для высших учебных заведений.
- М.: Горячая линия - Телеком, Москва 2007 - 464 с.
Похожие работы на - Проект волоконно-оптической линии передачи на участке Волгоград-Ставрополь
|