Проектирование логистических систем

  • Вид работы:
    Курсовая работа (т)
  • Предмет:
    Маркетинг
  • Язык:
    Русский
    ,
    Формат файла:
    MS Word
    172,66 Кб
  • Опубликовано:
    2013-11-18
Вы можете узнать стоимость помощи в написании студенческой работы.
Помощь в написании работы, которую точно примут!

Проектирование логистических систем

Содержание

Введение

Глава 1. Анализ ситуации на рынке велосипедов

Глава 2. Проектирование логистической системы производства велосипедов

.1 Цель, миссия и видение проекта

.2 Древо целей проекта

.3 Организационная структура проекта

.4 CPM

.5 PERT

.6 Группы влияния проекта

.7 Схема коммуникаций

.8 Метод формирования команды проекта

.9 Метод расчета эффективности проекта

.10 Характеристики логистической системы

.11 Риски

Заключение

Список литературы

Введение

Современные условия жесткой конкуренции предприятий, требования потребителей к качеству продукции, оптимизация затрат на производство и реализацию продукции заставляют обратиться к проектированию логистических систем. Если раньше каждое предприятие рассматривало себя отдельно, то сейчас прослеживается тенденция к интеграции предприятий в цепи поставок с целью оптимизации всей цепи от начала возникновения потоков до конечного потребителя. Это выводит конкуренцию на новый уровень, от конкуренции между отдельными предприятиями, к конкуренции между целыми цепями поставок. Предпосылками такого рода интеграции в первую очередь служат развитие информационных технологий, способных создать единую прозрачную информационную инфраструктуру и новое понимание механизмов рынка и развития конкурентных возможностей предприятия.

Целью курсового проекта является проектирование логистической системы производства велосипедов.

Задачи проекта:

·    обоснование необходимости проектирования логистической системы;

·        целеполагание логистической системы;

·        построение структуры логистической системы;

·        построение графика выполнения проектных мероприятий;

·        выявление групп влияния и их интересов;

·        выявление рисков и определение методов управления ими.

Объект исследования - логистическая система производства и реализации велосипедов.

Предмет исследования - проектирование логистической системы производства и реализации велосипедов.

Глава 1. Анализ ситуации на рынке велосипедов

Компания Market Research провела маркетинговые исследования по спросу на велосипеды в Российской Федерации (см. рис. 1.1).

Рисунок 1.1. Спрос на велосипеды (тыс. шт.)

Из графика мы видим устойчивый рост спроса в 2013 году по сравнению с 2012 годом примерно на 40%. Специалисты утверждают, что наступающий кризис дал бум продаж велосипедов. Тенденция роста спроса будет сохраняться и далее.

Так же было проведено исследование компаний конкурентов, характеристики сплавов их рам для велосипедов уступают нашему сплаву, что наглядно видно на рисунке 1.2.

Рисунок 1.2. Сравнение прочности и веса сплавов для рам

Так же ни один из конкурентов на российском рынке не предоставляет услуги по проектированию и изготовлению велосипедов на заказ для профессиональных спортсменов, что является огромным преимуществом для проекта.

Подводя итоги исследований, планируется занять 30-40% долю на российском рынке велосипедов.

При росте спроса в 20% и нашей расчетной доле рынка 35% был составлен прогноз спроса (см. рис. 1.3).

Рисунок 1.3. Прогноз спроса на наши велосипеды.

Исходя из прогноза спроса, были рассчитаны производственная мощность, количество оборудования и человеческие ресурсы, требуемые для удовлетворения спроса.

Производственная мощность - 5700 велосипедов в сутки (240 в час)

Оборудование для производства рам - 50 ед.

Наборы инструментов для сборки велосипедов - 100 ед.

Работники цеха производства рам - 150 чел.

Работники сборочного цеха - 300 чел.

Глава 2. Проектирование логистической системы производства велосипедов

.1 Цель, миссия и видение проекта

Цель проекта: Организация производства 5700 велосипедов в сутки к 01 августа 2016 года.

Миссия проекта: Организация производства высококачественных велосипедов путем использования передовых технологий для поддержания здорового образа жизни общества.

Видение проекта: Налаженное производство 5700 высококачественных велосипедов в сутки, обеспеченное высококвалифицированными сотрудниками, надежными поставщиками сырья и материалов, каналами сбыта готовой продукции и прозрачной информационной инфраструктурой.

.2 Древо целей проекта

логистический маркетинговый спрос управление

На рисунке 2.1 представлено древо целей проекта.

Рисунок 2.1. Древо целей проекта

2.3 Организационная структура проекта

На рисунке 2.2 изображена организационная структура проектной команды, каждому участнику команды проекта отведена своя роль согласно его специальности.

 

Рисунок 2.2. Организационная структура проектной команды

Ввиду сложности проектируемой системы и малой ее изменчивости, а так же высоком уровне специализации следует выбрать функциональную организационную структуру будущего завода (см. рис. 2.3).

Рисунок 2.3. Организационная структура завода

 

2.4 CPM

В таблице 2.1 представлен список планируемых работ, их порядковый номер и длительность в месяцах.

 

№ работы

Наименование работы

Длительность, мес.

1

Строительство зданий и сооружений

10

2

Закупка оборудования

2

3

Закупка инструментов и униформы

3

4

Закупка офисной мебели и техники

1

5

Установка оборудования

3

6

Установка офисной мебели и техники

1

7

Установка программного обеспечения

6

8

Найм персонала

4

9

Заключение договоров с поставщиками

6

10

Заключение договоров с заказчиками

6

11

Запуск производства

0

 

Таким образом, в ходе проекта планируется выполнить 11 работ суммарной продолжительностью 42 месяца. Далее построим сетевой граф выполнения работ, чтобы выявить связи между работами и возможность запараллеливания работ, и рассчитаем критический путь.

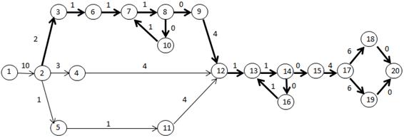
Сетевой граф работ проекта изображен на рисунке 2.4.

 

Рисунок 2.4. Сетевой граф работ проекта

Построив сетевой граф, видим 6 путей:

·    1-2-5-7-8-9-11 = 31 месяц

·        1-2-5-7-8-10-11 = 31 месяц

·        1-3-7-8-9-11 = 29 месяцев

·        1-3-7-8-10-11 = 29 месяцев

·        1-4-6-7-9-11 = 28 месяцев

·        1-4-6-7-8-10-11 = 28 месяцев

Таким образом, критический путь 1-2-5-7-8-9(10)-11 равен 31 месяцу.

Далее на рисунке 2.5 представлен календарный план-график выполнения работ проекта.

Рисунок 2.5. Календарный план-график выполнения работ проекта

Посмотрев на график, видно, что почти все работы кроме третьей и четвертой являются работами критического пути. Третью и четвертую работу можно сдвигать во времени при необходимости, так как они имеют резерв времени.

2.5 PERT

В таблице 2.2. представлен список планируемых событий, их порядковые номера и длительность пути к этим событиям.

 

Таблица 2.2. Список планируемых событий

№ события

Наименование события

Длительность, мес.

1

Принято решение организации произв.

-

2

Построены здания и сооружения

10

3

Закуплено оборудование

2

Закуплены инструменты и униформа

3

5

Закуплена офисная мебель и техника

1

6

Установлено оборудование

1

7

Произведена наладка оборудования

1

8

Проведено тестирование оборудования

1

9

Оборудование налажено

0

10

Оборудование не налажено

0

11

Установлена офисная мебель и техника

1

12

Установлено программное обеспечение

4

13

Проведена наладка ПО

1

14

Проведено тестирование ПО

1

15

Программное обеспечение налажено

0

16

Программное обеспечение не налажено

0

17

Нанят персонал

4

18

Заключены договоры с поставщиками

6

19

Заключены договоры с подрядчиками

6

20

Производство запущено

0


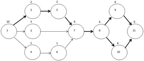
Далее на основе таблицы 2.2 со списком планируемых событий проекта был построен сетевой граф событий проекта (см. рис. 2.6).

 

Рисунок 2.6. Сетевой граф событий проекта

Предположим, что наладка оборудования и наладка программного обеспечения с первого раза прошли успешно и тестирования не выявили ошибок. Следовательно, количество циклов и в первом и во втором случае равно 1. Тогда критический путь так же равен 31 месяцу, как по методу CPM.

2.6 Группы влияния проекта

В таблице 2.3 указаны группы влияния проекта, их интересы и ранг.

 

Таблица 2.3. Интересы и ранг групп влияния

Группы влияния

Интересы групп влияния

Ранг

Акционеры

Прибыль, рост стоимости акций

1

Топ-менеджмент

Доход, престиж, акции, условия труда

7

Сотрудники

Стабильная з/п, соц. пакет, условия труда

Поставщики

Стабильность, ритмичность и объемы поставок

6

Службы надзора

Соответствие требованиям, благодарность

2

Местная общественность

Экологичность, развитие инфраструктуры

10

Клиенты - спортсмены

Гибкость, инновации, доп. услуги

3

Клиенты - дистрибьюторы

Качество, вовремя удовлетворенный спрос

4

Клиенты - потребители

Цена-качество, большой ассортимент

5

Конкуренты

Закрытие нашего предприятия, снижение нашей доли рынка

9


Таким образом, самый высокий ранг влияния присвоен акционерам, а самый низкий местной общественности. Ранг говорит о степени влияния той или иной группы на проект. Исходя из ранга, присвоенного той или иной группе влияния, мы будем выбирать, кому отдать предпочтение при возникновении конфликтной ситуации.

.7 Схема коммуникаций

На рисунке 2.7 изображена схема коммуникаций групп влияния проекта, различными типами стрелок указаны различные коммуникационные каналы.

 

Рисунок 2.7. Схема коммуникаций

Из рисунка 2.7 видно, что используется три основных коммуникационных канала.

2.8 Метод формирования команды проекта

В проекте, используется ролевой метод формирования команды, так как заранее известны роли для каждого участника команды проекта и задачи, стоящие перед ним. Это позволяет четко обозначить зоны ответственности каждого участника команды и подбирать на их места узкоспециализированных специалистов для каждой роли.

Также, заранее известные роли и зоны ответственности позволяют ввести критерии эффективности для каждого участника команды для оценки его работы.

.9 Метод расчета эффективности проекта

Эффективность проекта будет рассчитана исходя из целевых показателей эффективности, заданных на стадии проектирования. А именно, бюджет проекта, сроки выполнения проекта, соответствие результатов проекта его целям, качество выполнения работ по проекту.

Эффективность работы проектной команды будет рассчитана исходя из определенной для каждого члена команды зоны ответственности и ключевых показателей эффективности его работы.

Каждый показатель будет разбит на диапазоны: сильное невыполнение плана, невыполнение плана, соответствие плану, перевыполнение плана, сильное перевыполнение плана; каждому диапазону будет присвоен весовой коэффициент. Так же, весовой коэффициент будет присвоен каждой работе проекта. Далее, исходя из весовых коэффициентов, будет рассчитан итоговый коэффициент эффективности проекта, сравнение которого с целевым коэффициентом, заданным на стадии проектирования продемонстрирует эффективность проекта.

.10 Характеристики логистической системы

Проведя исследования рынка комплектующих (рули, колеса, педали, тормоза, переключатели скоростей, звезды и цепи), а так же оценив рентабельность собственного производства, было принято решение не производить комплектующие самим, а закупать их у производителей, которые специализируются на производстве тех или иных комплектующих.

Таким образом, сами мы планируем производить только рамы из разработанного нами сплава.

Далее в таблице 2.4 приведены характеристики входного материального потока.

 

Таблица 2.4. Характеристики входного материального потока

Материальный поток

Периодичность поставок

Объем поставки

Рули

2 в неделю

20 000 шт.

Колеса

2 в неделю

40 000 шт.

Педали

2 в неделю

40 000 шт.

Тормоза

2 в неделю

40 000 шт.

Переключатели скоростей

2 в неделю

40 000 шт.

Звезды

2 в неделю

200 000 шт.

Цепи

2 в неделю

20 000 шт.

Металл

2 в месяц

100 000 кг

 

В таблице 2.5 приведены характеристики выходного материального потока.

Таблица 2.5. Характеристики выходного материального потока

Материальный поток

Периодичность поставок

Объем поставки

Готовые велосипеды

3 в неделю

13 300 шт.


Помимо стандартных моделей велосипедов, производимых под хранение на складе, мы так же будем производить ряд моделей под заказ, и отдельно - велосипеды, проектируемые под заказ для профессиональных спортсменов.

Сырье и материалы для велосипедов, производимых под заказ и проектируемых под заказ, а так же сами велосипеды не учтены в таблицах входного и выходного материальных потоков, так как не несут регулярный характер и заказываются отдельно, после получения заказов от клиентов.

Расчеты за сырье и материалы, а так же за готовую продукцию будут производиться в течение 30 дней с момента поступления заказа.

Далее на рисунке 2.8 приведена схема материальных, информационных и финансовых потоков логистической системы.

На схеме отражены основные материальные, информационные и финансовые потоки. При преобразовании входного потока стрелка, отображающая выходной поток, меняет цвет по отношению к стрелке, отображающей входной поток.

 

Рисунок 2.8. Схема материальных, информационных и финансовых потоков

2.11 Риски

В таблице 2.6 указаны основные риски и методы управления ими.

 

Таблица 2.6. Риски и методы управления рисками

Риск

Вероятность

Ущерб

Метод управления

Задержка поставки оборудования

Высокая

Низкий

Указание в договоре с поставщиком штрафов за задержку поставки

Поставка некачественного оборудования

Низкая

Высокий

Указание в договоре с поставщиком требований к оборудованию и штрафов за невыполнение обязательств, а так же поставку нового оборудования в замен некачественного

Форс-мажор

Низкая

Высокий

Страхование

Нехватка кадров из-за установленной низкой з/п рабочих

Низкая

Высокий

Выделение бюджета для мотивации сотрудников

Отказ в выдаче разрешений, лицензий

Низкая

Высокий

Выделение бюджета для выполнения предписаний служб надзора

Жалобы и митинги местной общественности

Высокий

Высокий

Выделение бюджета на экологическую безопасность, развитие инфраструктуры района, связи с общественностью

 

Заключение

В ходе выполнения курсовой работы была спроектирована логистическая система производства 5700 велосипедов в месяц. Для этого был проведен анализ текущей ситуации на рынке велосипедов, затем обозначены цель, миссия и видение проекта, определены подцели проекта и отображены в древе целей проекта.

Далее была спроектирована организационная структура проектной команды и будущей логистической системы, определен метод формирования проектной команды. Затем были выявлены основные планируемые работы и события проекта, их длительности и связи, были построены сетевые графы проекта по двум методам CPM и PERT и календарный план-график проекта.

Затем были выявлены основные группы влияния проекта и их интересы, они были ранжированы по степени их влияния на проект, далее была построена схема коммуникаций групп влияния с использованием трех основных коммуникационных каналов.

Далее были заданы и описаны характеристики логистической системы, такие как входной и выходной материальные потоки, информационные потоки, финансовые потоки, была построена схема этих потоков.

В конце были проанализированы основные риски проекта, их вероятности и ущерб, и были определены методы управления рисками.

Таким образом, была спроектирована и всесторонне проанализирована логистическая система производства и реализации велосипедов.

Список литературы

1.   Исследование рынка велосипедов в РФ / Market Research - М.: 2013 - 237 с.

2.      Аникин Б.А. Логистика: уч. пособие - М.: ТК Вебли, 2008 - 408 с.

.        Бауэрсокс Д., Клосс Д. Логистика: интегрированная цепь поставок 2-е изд. /Пер. с англ. - М.: ЗАО "Олимп-Бизнес", - 640 с.

.        Иванов Д.А. Управление цепями поставок. - СПб, 2009 - 542 с.

.        Корпоративная логистика. 300 ответов на вопросы профессионалов / Под общ. и научн. редакцией проф. В.И. Сергеева. - М.: ИНФРА-М, 2005. - 976 с.

.        Кристофер М. Логистика и управление цепями поставок: Пер. с англ. - СПб: Питер, 2004. - 316 с.

.        Сергеев. В.И. Логистика в бизнесе: Учебник. - М.: Инфра-М, 2001. - 608 с.

.        Стерлингова, А.Н. Управление запасами в цепях поставок: учеб./ А.Н. Стерлингова. - М.: ИНФРА-М, 2007. -155 с.

.        Сток Дж. Р., Ламберт Д.М. Стратегическое управление логистикой: Пер. С 4-го англ. изд. - М.: Инфра-М. 2005, XXXII, 797 с.

10. Эффективное управление запасами / Джон Шрайбфедер; Пер. с англ. - 2-е изд. - М.: Альпина Бизнес Букс, 2006. - 304 с.

Похожие работы на - Проектирование логистических систем

 

Не нашли материал для своей работы?
Поможем написать уникальную работу
Без плагиата!
Без нейросетей!