Проведение товароведной характеристики и экспертизы качества карамели с начинкой

  • Вид работы:
    Курсовая работа (т)
  • Предмет:
    Маркетинг
  • Язык:
    Русский
    ,
    Формат файла:
    MS Word
    468,57 Кб
  • Опубликовано:
    2013-12-30
Вы можете узнать стоимость помощи в написании студенческой работы.
Помощь в написании работы, которую точно примут!

Проведение товароведной характеристики и экспертизы качества карамели с начинкой

ВВЕДЕНИЕ

Карамель представляет собой сахаристое кондитерское изделие, состоящие из карамельной массы на основе уваренной смеси сахара и патоки с добавлением или без добавления других видов сырья и пищевых добавок с массовой долей влаги не более 4 %.

Впервые карамель появилась из сахарного тростника. Первыми открыли карамель индийские долиты. Вскоре тростниковый сахар попал к арабам и египтянам. Арабы использовали сахар для приготовления тысяч кондитерских изделий, а древний Египет оценил такие свойства карамели, как пластичность и липкость. Карамель дошла и до Киевской Руси.
Целая торговая марка карамели появилась благодаря немецкому врачу Герр Карлу Солдану, который сварил карамель с горькими лечебными травами.

Карамель обладает высокой питательной ценностью, хорошей усвояемостью и широким ассортиментом изделий. В настоящее время карамельные изделия пользуются значительно меньшим спросом у потребителя. В связи с этим каждый из производителей стремится найти свою нишу и закрепить в ней “своего” клиента. Делается это самыми различными способами, в том числе использованием цветной упаковки, разработкой разнообразных вкусовых начинок и добавок, активным продвижением и рекламой торговых марок, что также играет большую роль в данном сегменте. Чтобы добиться больших объемов выпуска некоторые производители нарушают технологию производства, снижая качество продукции, поэтому на сегодняшний день уровень фальсификации карамельный изделий возрастает. [16]

Целью данной курсовой работы является проведение товароведной характеристики и экспертизы качества карамели с начинкой.

Задачи курсовой работы:

провести обзор конъюнктуры рынка карамели;

дать характеристику классификации и ассортимента карамели;

изучить пищевую ценность и химический состав карамели;

рассмотреть требования к сырью данного продукта;

охарактеризовать технологический процесс производства карамели с начинкой;

описать требования к качеству карамели;

описать требования, предъявляемые к упаковке, маркировке, хранению и транспортированию карамели;

рассмотреть дефекты (пороки) карамели и фальсификацию;

провести экспертизу качества образцов карамели с начинкой, включая информационную, количественную и качественные характеристики

товароведная карамель качество дефект


1. ТОВАРОВЕДНАЯ ХАРАКТЕРИСТИКА КАРАМЕЛИ С НАЧИНКОЙ

.1 Классификация и ассортимент карамели

Карамель - формованное сахаристое кондитерское изделие из карамельной массы на основе уваренной смеси и патоки с добавлением или без добавления других видов сырья и пищевых добавок, ароматизаторов, с массовой долей влаги не более 4 % .[2]

Карамельные изделия классифицируют главным образом по наличию или отсутствию в них начинки, по ее видам, наличию или отсутствию завертки и защитной обработки поверхности. Отдельные сорта отличаются в основном по видам использованного (преимущественно для начинок) сырья, соотношением их количеств, по вкусовым добавлениям.

Согласно действующему в настоящее время основному стандарту на карамельные изделия ГОСТ 6477-88 «Карамель. Общие технические условия» карамель подразделяется на 2 подгруппы:

леденцовую;

с начинками.

Карамель изготовляют со следующими начинками:

фруктово-ягодной;

ликерной;

медовой;

помадной;

молочной;

марципановой;

масляно-сахарной (прохладительной);

сбивной;

кремово-сбивной;

ореховой;

шоколадно-ореховой;

желейной;

из злаковых, бобовых и масличных культур.

Характеристика карамели, карамельных масс и начинок указана в табл.1.

Таблица 1- Характеристика карамели и карамельных масс и начинок

Наименование

Характеристика

1

2

Карамель:


леденцовая

Различной формы и конфигурации (фигурная) или в виде пучка тонких полых трубок (соломки); состоит из карамельной массы или из карамельной массы с различными добавлениями

с начинками

Состоит из оболочки, изготовленной из карамельной массы, и начинки

Карамельная масса:


нетянутая

Стеклообразная прозрачная масса, получаемая увариванием сахаро-паточного (сахаро-инвертного) сиропа

тянутая

Капиллярно-пористая непрозрачная масса с блеском, получаемая перетяжкой нетянутой массы

Начинки:


фруктово-ягодная

Однородная масса, получаемая из протертых плодов и ягод, уваренная с сахаром и патокой и различными добавлениями

ликерная

Уваренный сахаро-паточный сироп с использованием алкогольных напитков и других добавлений

медовая

Уваренный сахаро-паточный сироп с использованием натурального меда и различных добавлений

помадная

Мелкокристаллическая масса, получаемая путем взбивания уваренного сахаро-паточного сиропа с различными добавлениями

молочная

Сахаро-паточный сироп, уваренный с молоком и различными добавлениями

 марципановая

Однородная масса, получаемая из растертого необжаренного орехового ядра или масличного семени, смешанного с сахаром или горячим сиропом

масляно-сахарная (прохладительная)

Масса из сахарной пудры, смешанной с кокосовым маслом, обладающая прохладительным вкусом

сбивная

Масса, взбитая с яичным белком или с другими пенообразующими веществами

кремово-сбивная

Масса, взбитая с яичным белком или с другими пенообразующими веществами, с добавлением сливочного масла, фруктово-ягодного сырья и др.

ореховая

Однородная масса, получаемая из растертого обжаренного орехового ядра или масличного семени, смешанного с сахаром

шоколадно-ореховая

Масса из какао-продуктов и сахара или ореховая масса с добавлением какао-продуктов и др.

желейная

Уваренный сахаро-паточно-агаровый сироп с добавлением фруктово-ягодного пюре

из злаковых, бобовых и масличных культур

Однородная масса, получаемая из муки или крупки из злаковых, бобовых и масличных культур, с добавлением сахара, жира, какао-продуктов и др.


Карамель в зависимости от количества начинок и их расположений изготовляют:

с одной начинкой;

с двумя начинками.

с начинкой, переслоенной карамельной массой (в складку).

В зависимости от способа обработки карамельной массы:

с нетянутой оболочкой;

с тянутой оболочкой;

с жилками, полосками.

В зависимости от защиты поверхности подразделяют на:

открытую;

закрытую.

Открытую карамель в зависимости от способа защитной обработки поверхности подразделяют на:

глянцованную;

дражированную;

обсыпную;

глазированную шоколадной или жировой глазурью. [1,12]

В зависимости от рецептуры карамельной массы она может быть: молочной, витаминизированной, мягкой и лечебной.

Карамельные изделия вырабатывают в широком ассортименте. Это достигается путем придания изделиям различного аромата, вкуса, цвета, формы, отделки, введения разнообразных добавок. Стремление к здоровому образу жизни и потреблению полезных для здоровья продуктов вызвали появление карамели и драже, обогащенных витаминами или содержащих лечебно-профилактические фитодобавки.[14]

Однако наибольший удельный вес имеют изделия с фруктово-ягодными и молочными начинками. Это объясняется в первую очередь тем, что такая карамель вырабатывается на поточно-механизированных линиях большой производительности.

Карамель с фруктовыми, фруктово-ягодными начинками незавернутая выпускается под названием: Фруктово-ягодная - обсыпанная сахарным песком, Китайская смесь - Глянцованная, Атласные подушечки - без защитной обработки поверхности и др.; завернутая - под названием Фруктово-ягодный букет, Пуншевая, Мичуринская, Клубникаа и др. Выпускается глазированная шоколадом завернутая карамель, например, Цитрусовая.

Карамель с ликерными начинками: незавернутая - Ликерная, обсыпанная сахарным песком; завернутая - Бенедиктин, Арктика, Ромовая, Ликерная и др.

Карамель с медовыми начинками: незавернутая - Медовая подушечка, обсыпанная сахарным песком; завернутая - Пчелка и др.

Карамель с молочными начинками: незавернутая - Популярная, обсыпанная какао-порошком, Молочная- глянцованная и др.; завернутая- Малина со сливками, Кофейная и др.; глазированная шоколадом: Нива - незавернутая, Дружба- завернутая.

Карамель с помадной начинкой: незавернутая - помадная, обсыпанная сахарным песком, Бим - Бом - обсыпанная какао-порошком; завернутая - Лимонная и др.

Карамель со сбивными начинками: незавернутая - Восточная глянцованная; завернутая - Красный мак и др.

Карамель с прохладительными начинками: незавернутая - Прохладительная, обсыпанная сахарным песком; завернутая - Снежок и др.

Карамель с марципановыми начинками: незавернутая - Фантазия, обсыпанная сахарным песком, Утро - глянцованная; завернутая - Марципан, Ореховая и др.; глазированная шоколадом завернутая - Красный спорт.

Карамель с ореховыми начинками: незавернутая - Орешек, обсыпанная какао-порошком, Арахисовая - без защитной обработки поверхности и др.; завернутая - Крабы и др.

Карамель с шоколадно-ореховыми начинками: незавернутая - Атласная подушечка с шоколадной начинкой ( без защитной обработки поверхности, в герметичной таре); завернутая - Раковые шейки, Шоколадная, Заря и др.; глазированная шоколадом завернутая - Ленинград и др.

Карамель с двойными начинками: завернутая - Украинка (с ликерной и шоколадно-ореховой начинкой) и др.; глазированная шоколадом завернутая - Петушок с марципановой и шоколадно-ореховой начинкой.[12]

Идентификация карамели с начинкой проводится по органолептическим, физико-химическим, микробиологическим показателям, регламентируемым нормативными документами.

.2 Пищевая ценность и состав карамели

Пищевая ценность пищевого продукта - совокупность свойств пищевого продукта, при наличии которых удовлетворяются физиологические потребности человека в необходимых веществах и энергии.[8]

Пищевая ценность карамели обусловлена высоким содержанием углеводов (77-95%), жиров (0,1-11,9%), белков (0,1-3,4%), сахаров (7-75% с начинкой и 96% леденцовая) небольшим количеством минеральных веществ (К, Са, Mg, Р, Fe). Карамельная масса состоит в основном из углеводов. Начинки разнообразны по составу и свойствам, кроме сахаров они содержат жиры и белки. В карамели находятся также ароматические вещества и пищевые кислоты. Большинство видов карамели бедны витаминами, так как они отсутствуют в основном сырье и разрушаются при нагревании под действием высоких температур в процессе производства. Карамельные изделия отличаются незначительной влажностью и содержат небольшое количество клетчатки, что обуславливает их высокую калорийность и усвояемость. Энергетическая ценность 100 грамм карамели 398-446ккал. [15] Химический состав и пищевая ценность карамели представлена в таблице 2.

Таблица 2 - Химический состав и пищевая ценность карамели (в процентах)

Группа карамели

Вода

Белки

Жир

Углеводы

Органи-ческие кислоты

Зола

Калорий-ность ккал/100г





общее кол-во

в том числе сахара




Леденцовая без начинки

3,0

0

0

96,0

77,0

1,0

-

398

Карамель с начинкой: фруктовой

 

0

0

93,0

73,3

0,8

-

381

ликерной

8,4

0

0

91,0

69,9

0,6

-

376

медовой

6,7

0

0

93,3

73,6

-

-

383

помадной

5,4

0

0

94,1

74,8

0,6

-

388

прохладительной

1,7

0

11,9

85,8

70,5

0,6

-

465

сбивной

6,4

0,4

0

92,7

73

0,5

-

384

марципановой

4,6

1,6

3,1

89,6

70,8

-

0,3

403

шоколадно-ореховой

1,6

3,4

9,5

83,9

69,5

-

0,5

446


.3 Требования к сырью

Основным сырьем для производства карамели является сахар-песок и крахмальная патока, которые составляют 90-95% сухих веществ основных видов карамели с начинкой. Сахар-песок, поступающий на кондитерские фабрики, должен отвечать следующим требованиям ГОСТ 21-94 «Сахар-песок. Технические условия»:

массовая доля сахарозы (в пересчете на сухое вещество),%,не менее 99,75;

массовая доля редуцирующих веществ (в пересчете на сухое вещество),%,не более 0,05;

массовая доля влаги, %,не более 0,14;

массовая доля золы (в пересчете на сухое вещество),%,не более 0,03;

цветность. условных единиц, не более 0,80.

Таким образом, сахар-песок является практически химически чистой сахарозой, и его свойства определяются свойствами последней.

Патока-это продукт неполного гидролиза крахмала кислотами или ферментами. В результате гидролиза из крахмала образуются углеводы различной молекулярной массы. Основную массу сухих веществ патоки составляют декстрины, мальтоза и глюкоза. Патока должна отвечать следующим требованиям ГОСТ Р 52060-2003 «Патока крахмальная. Общие технические условия»:

массовая доля сухого вещества ,%, не менее 78,0;

массовая доля редуцирующих веществ в пересчете на сухое вещество(глюкозный эквивалент),% : для низкоосахаренной- 26-35; карамельной кислотной и карамельной ферментативной- 36-44;мальтозной-38 и более;высокоосахаренной-45 и более;

массовая доля общей золы в пересчете на сухое вещество ,%, не более 0,40;

водородный показатель, pH 4,0-6,0. [7,9]

Для придания отдельным сортам карамели приятного кислого вкуса карамельную массу во время охлаждения подкисляют, используя для этого кристаллические органические пищевые кислоты. Они должны быть стойкими, нелетучими при температурах до 120°C,хорошо растворяться в воде, иметь низкую температуру плавления, обладать слабой инверсионной способностью по отношению к сахарозе.

Лучше других этим требованиям отвечает лимонная кислота. Она имеет низкую температуру плавления (70-75°C), хорошо распределяется в карамельной массе. Нарастание редуцирующих веществ в карамельной массе при температуре 85-90°С составляет около 1%.

Наряду с лимонной кислотой для подкисления карамельной массы применяют виннокаменную или яблочную кислоту. Однако эти кислоты по сравнению с лимонной имеют ряд недостатков. Виннокаменная кислота имеет температуру плавления 170°C и обладает большей инверсионной способностью, чем лимонная. Ощущение кислого вкуса у яблочной кислоты несколько меньше, чем у лимонной и виннокаменной, поэтому ее необходимо добавлять в карамельную массу на 20-30 % больше.

Для подкрашивания карамельной массы используется специально разрешенные органами здравоохранения красители. Для получения полной гаммы цветов необходимы три красителя - желтый, синий и красный. В качестве желтого красителя используется тартразин, синего- индигокармин, красного- кармуазин и понсо. Их применяют в виде водных 5-8 % растворов. При сочетании нескольких красителей можно получить красные, зеленые, оранжевые и другие цвета.

В качестве ароматических веществ используются разрешенные органами здравоохранения спиртовые или ацетиновые эссенции из натуральных эфирных масел или искусственные эссенции. Они подразделяются на натуральные; полученные из натуральных эфирных масел (цитрусовое, розовое, анисовое и др.); идентично натуральные, когда к натуральным веществам добавляется одно или больше синтетических душистых веществ; и синтетические. Количество добавляемых в карамельную массу веществ, в виде эссенций, определяется утвержденной рецептурой для данного сорта изделий. [9]

Для приготовления начинок используют фруктово-ягодные полуфабрикаты, орехи, мед, какао-продукты, жиры, молочные продукты, кофе, вина и спиртные напитки.

К нетрадиционным видам сырья относятся вторичные молочные продукты (натуральные молочные сыворотки), фруктово-ягодные и овощные порошки, основы из сушеных плодов и ягод, концентрированные фруктовые и ягодные соки, виноградное сусло, продукты экструдированных и взорванных круп, порошковые сахаропаточные полуфабрикаты.

В настоящее время при производстве карамели применяют экстракты. Это сложные комплексы различных веществ: эфирных масел, органических кислот, полифенолов, полисахаридов, минеральных веществ и алкалоидов (экстракт зеленого чая, который тонизирует, оказывает витаминное и антисклеортичное воздействие на организм человека, стимулирует обмен веществ, способствует снижению веса, а также экстракт гибискуса). Наличие в экстрактах тех или иных активных веществ и определяет их функциональные свойства. Использование экстрактов позволяет создать изделия с новыми, композиционно сбалансированными ароматами и дополненным природным вкусом. Также используют натуральные эфирные масла шалфея, аниса и мяты.[15]

Все сырье, используемое в производстве карамели с начинкой по качественным характеристикам и нормам безопасности должны соответствовать требованиям, установленным нормативными правовыми актами Российской Федерации, СанПиН 2.3.2.1078-01, СанПиН2.3.2.1293-03.

От качества используемого сырья, приемов его подготовки к переработке, соблюдения технологических режимов зависит сохранность готового продукта и его потребительские свойства.

.4 Технологический процесс производства карамели с начинкой

Технологическую схему производства карамели с начинкой можно разделить на следующие основные стадии:

приготовление карамельной массы;

охлаждение и обработка карамельной массы;

приготовление начинок;

формование и охлаждение карамели;

обработка, завертка, расфасовка и упаковка карамели.

На рис.1 представлена машинно-аппаратурная схема производства карамели с фруктово-ягодными начинками. Основным сырьем для ее приготовления являются сахар-песок, крахмальная патока и фруктово-ягодные заготовки.

Рисунок 1- Машинно-аппаратурная схема производства карамели с фруктово-ягодной начинкой

Сахар из склада передается в подготовительное отделение карамельного цеха или в мешках (при тарном хранении), шнеком (редлером) или системой пневмотранспорта (при бестарном хранении).

Сахар загружают в приемную воронку просевателя 17, где он очищается от посторонних и ферропримесей, затем норией 18 подают в промежуточный бункер 19. Из бункера ленточным дозатором 20 и шнеком 21 сахар дозируется в растворитель непрерывного действия 22.

С помощью объемных дозаторов 23,24 и 25 в смеситель-растворитель подаются в заданных количествах подогретые до температуры 65-70°C патока, инвертный сироп и вода.

В смесителе 8, оборудованном паровой рубашкой, рецептурные компоненты перемешиваются при температуре около 70°C,что обеспечивает растворение основной массы сахара.

Полученная сахаро-паточная смесь влажностью 17-18%,с не полностью растворенными кристаллами сахара, плунжерным насосом 10 непрерывно подается в змеевики варочной колонки 11, обогреваемой паром давлением 450-550 кПа. Уваренный до концентрации 84-86 % сухих веществ сироп через стаканчатый фильтр 26 поступает в сборник-охладитель 27, из которого перекачивается шестеренчатым насосом 2 в промежуточный сборник 28.

Плунжерным насосом 10 карамельный сироп непрерывно подается в змеевик вакуум-аппарата 30. Аппарат обогревается паром давлением 500-600 кПа. Здесь сироп уваривается в карамельную массу до содержания сухих веществ 97,5%.

Вакуум-камера 31 аппарата связана трубопроводом через конденсатор с мокровоздушным насосом 29, с помощью которого в вакуум-камере создается разрежение. Из приемника вакуум-камеры карамельная масса периодически (через 1,5-2 мин) выливается (вручную или автоматом) в воронку охлаждающей машины 33.

Охлаждаемая карамельная масса в виде широкой тонкой ленты проходит под дозаторами 34 и 35, из которых их поверхность карамельной ленты подаются вкусовые и ароматические вещества (кислота, краситель и эссенция). По выходе из охлаждающей машины масса температурой 90°C проминается для равномерного распределения добавлений, и ленточным транспортером передается в тянульную машину 36. Здесь она многократно вытягивается и складывается, насыщаясь воздухом. При обработке в течение 1,0-1,5 мин изменяются структура и цвет массы, достигается равномерное распределение в ней введенных добавок. Температура массы понижается до 85-80°C.

Ленточным транспортером тянутая карамельная масса передается в обкаточную машину 38, где приобретает форму удлиненного конуса. Внутрь конуса с помощью начинконаполнителя 37 подается начинка.

Основным сырьем для приготовления фруктово-ягодных начинок являются сахар, патока и фруктово-ягодные заготовки в виде пульпы или яблочного пюре. Пюре из бочек 1 (или сборника при бестарном хранении) насосом 2 перекачивается в танк 3 с мешалкой для купажирования.

Купажная смесь яблочного пюре насосом 2 подается в шпаритель 4, стекает в промежуточную емкость 5, откуда насосом перекачивается в сборник 6.

Яблочное пюре подается в протирочную машину 7, а затем перекачивается в смеситель 9 для подготовки фруктово-сахарной смеси. Сахарный сироп и патока дозируются в смеситель объемными мерниками. Подготовленная смесь подается насосом 10 в змеевиковую варочную колонку 11 с пароотделителем 12. Колонка обогревается паром давлением 500-600 кПа. Начинка уваривается до влажности 14-19%.

Из пароотделителя начинка стекает в промежуточную емкость 13 и перекачивается в темперирующую машину 16. Начинку охлаждают до температуры 80-85°C, из объемных дозаторов 14 и 15вводят вкусовые и ароматические вещества. Шестеренчатым насосом 2 начинку подают по кольцевому трубопроводу в воронки начинконаполнителей 37. В трубопроводе установлен стаканчатый фильтр. Температура начинки должна быть на 10°C ниже температуры карамельной массы в обкаточной машине 38.

Жгутовытягивающая машина 39 формует из карамельного батона жгут определенного диаметра (14-16 мм) и передает его на формование карамели.

Штампующая машина 40 разрезает карамельный жгут на отдельные дольки и придает им ту или другую форму. Отштампованные цепочки из отдельных долек карамели переходят на узкий ленточный транспортер 41, обдуваются холодным воздухом. Карамельная масса в перемычках между отдельными изделиями быстро твердеет, и поэтому, переходя на виброраспределитель 42, цепочки отформованной карамели распадаются.

В агрегате АОК карамель охлаждается до температуры 25-35°C, становится достаточно твердой, что позволяет подвергать ее завертке, обработке и упаковке.

Отводящим вибролотком 44 охлажденная карамель подается на распределительный транспортер 45,а далее - на автоматы 46 для завертки.

От заверточных машин карамель поступает на сборный транспортер, расположенный в нижней части распределительного конвейера 45, затем наклонным транспортером подается в бункер автовесов. После взвешивания карамель высыпается в короб, установленный на транспортере оклеивающей машины. Упакованная карамель поступает в склад готовой продукции.[9]

Получение карамельной массы состоит из двух технологических процессов:

приготовления карамельного сиропа;

уваривания карамельной массы.

В карамельном производстве обычно используют комбинированные сиропы, в состав которых входит не один вид сахара, а два и более. При этом использую сахарные, инвертные, сахаро-паточные, сахароинвертные, сахаро-инвертно-паточные сиропы. Сахарные сиропы получают растворением в воде сахара, обычно при нагревании. В сахаро-паточные сиропы при подогревании добавляют патоку. Сироп с содержанием сухих веществ около 70% уваривают до конечной температуры кипения 110-114°, при этом в нем остается еще 14-17% воды.

Если патока в сиропе полностью или частично заменяется инвертным сахаром, необходимо приготовить его путем инверсии свекловичного сахара.

Для изготовления карамели без патоки следует к раствору сахара добавлять инвертный сироп в таком количестве, чтобы в готовом сиропе было 17-19% инвертного сахара, считая на сухое вещество сиропа. Тогда в готовой карамельной массе будет 20-22% инвертного сахара, так как при изготовлении карамели из сиропа количество сахара нарастает на 2-3%.

Карамельный сироп поступает в вакуум-аппарат, где из него при уваривании удаляют большую часть воды и получают карамельную массу. Карамельная масса из вакуум-аппарата выходит с температурой 110-120° (на патоке) или 125-135° (на инверте). При этом она имеет сравнительно малую вязкость, однако при понижении температуры вязкость ее возрастает, и при 70-80° масса становится пластичной, ее можно формовать. При дальнейшем понижении температуры масса твердеет, теряет пластичность и при 50-40° делается хрупкой.

Выгруженную из вакуум-аппарата карамельную массу требуется «обработать»- охладить, подкрасить, подкислить, придать ей аромат. Масса должна быть сначала несколько охлаждена, чтобы при последующем введении в нее пищевой кислоты уменьшился гидролиз сахарозы, а при введении спиртового раствора ароматизатора снизились бы потери спирта и душистых веществ, испаряющихся в большей степени при более высокой температуре массы.

При поточном способе производства карамели процессы обработки осуществляются при непрерывном перемещении карамельной массы по наклонной. При этом кислота в виде порошка, а краски и эссенции каплями непрерывно добавляются в передвигающуюся карамельную массу и перемешиваются с ней при пропускании через вальцы или для тянутой карамельной массы- при обработке на тянульной машине непрерывного действия. Эта машина имеет несколько горизонтальных параллельно расположенных стержней, вращающихся относительно друг друга так, что они вытягивают карамельную массу, накладывают один ее слой на другой, вновь вытягивают.

Вытянутая масса становится непрозрачной и приобретает атласный вид благодаря многократному преломлению лучей света, проходящих через прослойки воздуха в карамельной массе. Ее удельный вес меньше (1,3-1,2 г), чем нетянутой (1,5 г), вследствие того, что в нее включены прослойки и пузырьки воздуха. После перетягивания карамельная масса приобретает способность легче засахариваться, поэтому она меньше увлажняется и липнет (после некоторой выстойки).

Для придания карамели внешнего вида, а иногда для придания оболочке сходства с цветом фруктов и ягод в карамельную массу вводят различные пищевые красители, предварительно растворенные в воде. Концентрация водных растворов составляет 5-10%.

Ароматизацию карамельной массы ведут при температуре ниже 90°C спиртовым раствором ароматических веществ. При температуре обработки карамельной массы спирт испаряется, а ароматические вещества остаются в массе.[9,12]

Для придания отдельным сортам карамели приятного кислого вкуса карамельную массу во время охлаждения подкисляют, используя для этого кристаллические органические пищевые кислоты (лимонную, реже виннокаменную и яблочную).

Карамель изготавливают со следующими начинками:

фруктово-ягодной;

ликерной;

медовой;

молочной;

помадной; марципановой;

масляно-сахарной(прохладительной);

сбивной;

кремово-сбивной; ореховой; шоколадно-ореховой; желейной; из злаковых, бобовых и масличных культур.

При этом начинки, несмотря на их разнообразие, должны обладать некоторыми общими качественными характеристиками, в том числе быть стойкими при хранении и не изменять своих вкусовых качеств и консистенции. Поэтому в начинке массовая доля сахаров не должна быть выше 70%. Начинка также не должна: содержать скоропортящихся жиров и других компонентов; взаимодействовать с карамельной массой; растворять ее. Консистенция начинки должна быть однородной и обладать достаточной вязкостью.

Фруктово-ягодные начинки готовят увариванием смеси из сахара, патоки и фруктово-ягодного пюре. Основой для них служит яблочное пюре, к нему можно добавлять пюре вишневое, абрикосовое, сливовое и т.п., а также припасы и другие вкусовые добавления. Во избежание засахаривания начинки при хранении в ней должно быть не менее 30% редуцирующих веществ, а увеличение этого показателя более 60% может привести к растворению карамельной оболочки.

Ликерные начинки имеют в своем составе кроме сахара и патоки, вино, ликер и другие спиртные напитки; к этим начинкам может быть добавлено фруктово-ягодное пюре. При этом массовая доля редуцирующих веществ в ликерной начинке должна быть не ниже 30%.

Медовые начинки кроме сахара и патоки содержат еще и пчелиный мед, к ним может быть добавлено фруктово-ягодное пюре. Массовая доля сухих веществ должна составлять 84-88%.

Молочные начинки кроме сахара и патоки содержат молоко, может быть добавлено масло, кофе, какао. Массовая доля сухих веществ также составляет 84-88%.

Эти четыре начинки получают путем уваривания всех составных частей обычно в вакуум-аппарате под разрежением, чтобы лучше сохранить качество исходного сырья.

Помадные начинки состоят из мелких кристалликов сахара, окруженных межкристальным сиропом с включением пузырьков воздуха. Готовят их путем сбивания сахаро - паточного сиропа при его охлаждении. К помадной массе могут быть добавлены фруктово-ягодные припасы, молочные продукты и т.п. Массовая доля сухих веществ в этой начинке составляет около 90%.

Сбивные начинки получают сбиванием яичных белков с добавлением сахаро-паточного сиропа, уваренного с фруктово-ягодными пюре или молоком и т.п. Массовая доля сухих веществ в этих начинках должна быть в пределах 85-87%.

Прохладительные или масляно-сахарные начинки вырабатывают из смеси сахарной пудры с кокосовым маслом, с добавлением кислоты и мятного масла или мятного ароматизатора. В некоторые сорта карамели предусматривают введение глюкозы вместо сахара, что увеличивает «охлаждающий» эффект. Для приготовления начинок применяют механическое перемешивание составных частей. Для этих начинок характерно высокое содержание сухих веществ - не ниже 96,5%, а при добавлении сухого молока - не ниже 99,5%.

Марципановые начинки готовят из смеси сахарной пудры с тертым миндалем или абрикосовым ядром или другими необжаренными орехами. Эту смесь заваривают горячим сахарным сиропом и перемешивают при охлаждении; часто вводят такие вкусовые добавления, как кофе, какао, мед, молоко, фруктово-ягодные припасы и т.п.

Ореховые начинки состоят из растертой смеси сахарной пудры с обжаренными орехами, с твердым жиром (маслом какао или кокосовым); могут быть добавлены различные вкусовые вещества. Массовая доля сухих веществ в этих начинках должна быть не ниже 97,5%.

Шоколадно-ореховые начинки содержат тертые обжаренные орехи, сахарную пудру, кокосовое масло и какао-продукты. Какао-масло и кокосовое масло вводят в расплавленном виде при температуре 30-40°C.

Желейные начинки получают путем уваривания сахаро-паточно-агарового сиропа с добавлением фруктово-ягодного пюре.

Начинки из злаковых, бобовых и масличных культур готовят с применением муки и крупки из вышеуказанных культур с добавлением сахара, жира, какао-продуктов и др. При этом мука из бобовых должна быть дезодорированной, т.е. лишенной запаха путем обработки нагреванием.

После проминки или вытягивания карамельной массы ее формуют в виде жгута определенного сечения. Оптимальной температурой для выполнения этого процесса являются 70-80°C. Карамельный батон в зависимости от вида карамели и начинки получают, вытягивая карамельные жгуты различными способами: без начинки, с жидкой начинкой и с густой начинкой.

Карамельный жгут для леденцовой карамели получают путем прокатывания карамельного батона до определенной толщины.

Жгут с густой начинкой формуют из заранее приготовленного пирога, состоящего из верхней оболочки и начинки, прокатываемого так же, как и для леденцовой карамели.

Карамельный жгут с жидкой начинкой получают, вводя в карамельную массу начинку через трубку, расположенную внутри карамельного конуса.

В нашей стране для формования карамели с начинкой и без нее наибольшее распространение получили цепные (режущие и штампующие машины).

Формующие режущие (линейные) машины имеют две кольцевые цепи, у которых через равные промежутки (шаги) поставлены ножи. Передвигаясь вместе с карамельным жгутом, ножи верхней и нижней цепи, постепенно сближаясь, сначала сжимают, а затем разрезают теплую пластичную оболочку батона. При этом края оболочки сцепляются, не давая вытекать начинке. Батон разрезается на отдельные кусочки, которые имеют форму подушечек, цилиндрических или приплюснутых.

У штампующих машин вместо ножей установлены острые выступы, разрезающие батон, а с боков - штампы, прижимаемые при движении цепи к батону и формующие отдельные нарезаемые кусочки. В результате получается карамель различной формы (кирпичики, орешки и т.д.) с рисунком на поверхности. Применяют и другие формующие машины.

Отформованная карамель имеет температуру около 60°C. Чтобы она не изменила свою форму и не слиплась, ее быстро охлаждают путем обдувания воздухом на охлаждающем транспортере; после некоторого охлаждения цепочку из карамели разбивают на отдельные штуки. После остывания они становятся твердыми и хрупкими.

Охлажденную карамель завертывают в бумагу или выпускают открытой (без завертки ). Завертку производят «в замок» («в хвостик», «в уголок»), когда концы бумаги с обеих сторон загибаются, или «вперекрутку», когда концы бумаги с обеих сторон закручиваются; можно применять при этом одну или две бумаги, а также фольгу между ними. Применяется также завертка карамели в пачки (тюбики) в виде круглых таблеток.

Для открытой карамели обычно применяют защитную обработку поверхности - глянцевание, обсыпку. При глянцевании на поверхность карамели наносят жировосковой слой в дражеровочных котлах или в аппаратах для глянцевания непрерывного действия; изделия приобретают полированную блестящую поверхность. Обсыпку карамели сахарным песком, какао-порошком и т.п. производят в дражеровочных котлах. Сначала, при их вращении, карамель смачивают сахарным сиропом, а затем добавляют материал для обсыпки, равномерно прилипающий при этом к смоченной поверхности карамели. Некоторые сорта карамели с начинкой глазируют шоколадом. Открытую карамель, не подвергаемую специальной обработке, чтобы избежать увлажнения и слипания, упаковывают в жестяную или иную герметически закрывающуюся тару.[12]

.5 Требования к качеству карамели

Основными органолептическими показателями качества карамели являются: вкус и запах; цвет; поверхность; форма (табл.3).

Таблица 3 - Требования к органолептическим показателям карамели

Наименование показателя

Характеристика

Вкус и запах

Соответствующие данному наименованию, без постороннего привкуса и запаха. Карамель, содержащая жир, не должна иметь салистого, прогорклого или иного неприятного привкуса.Фруктово-ягодные начинки не должны иметь подгорелого привкуса.

Цвет

Свойственный данному наименованию карамели.Окраска равномерная.

Поверхность

Сухая, без трещин, вкраплений, гладкая или с четким рисунком.Не допускаются открытые швы и следы начинки на поверхности.Открытая карамель не должна слипаться в комки.Для карамели, изготовленной на формующее-заверточных и ротационно-формующих машинах, и для карамели с начинками, переслоенными карамельной массой, допускается неясность рисунка, небольшие трещины и сколы краев, а для карамели с начинкой незакрытое карамельной оболочкой место среза.Карамель, глазированная шоколадной глазурью, должна быть блестящей, без жирового и сахарного поседения.Допускается незначительное просвечивание корпуса с донышка карамели и повреждения поверхности при выработке глазированной карамели.В карамели с морской капустой допускаются включения частиц порошка морской капусты.

Форма

Соответствующая данному виду изделий без деформации и перекоса шва.Для карамели, изготовленной на формующе-заверточных машинах, допускается небольшая деформация и неровный срез.

 

В карамельных изделиях нормируются следующие физико-химические показатели : влажность, кислотность, редуцирующие сахара, массовая доля начинки, глазури, массовая доля сахара, отделившегося от оболочки (или другого отделочного материала) в карамели с защитной обработкой, массовая доля общей сернистой кислоты в карамели с фруктово-ягодными начинками и массовая доля золы, нерастворимой в 10%-м растворе соляной кислоты. Данные показатели должны соответствовать установленным требованиям (табл.4).

Таблица 4 - Требования к физико-химическим показателям карамели

Наименование показателя

Норма

1

2

Влажность карамельной массы (полуфабриката) ;%, не более кроме: карамельной массы для карамели молочной и с начинкой, переслоенной карамельной массой; карамельной массы для карамели, вырабатываемой на формующе-заверточных и ротационно-формующих машинах, и карамели леденцовой фигурной

3,0  3,5  4,0

Массовая доля редуцирующих веществ в карамельной массе, %, не более:  в неподкисленной для экспорта с введением кислоты:  0,6% ; более 0,6% и при работе на установках без вакуумного уваривания (кроме карамели для экспорта)  изготовляемой с лактозой

20,0    22,0 23,0   32,0

Кислотность подкисляемой карамели в пересчете на лимонную кислоту; градусы, не менее: леденцовой с введением кислоты -до 0,6%; 1,0% ; 1,5% ; карамели витаминизированной ; карамели «Взлетная»; карамели неглазированной с фруктово-ягодными и помадными начинками с введением кислоты - до 0,4% 0,8 %; 1,0 %; карамели с масляно-сахарными начинками; карамели «Снежинка в сахаре», «Помадная в сахаре», «Велдзе», «Кокосовый орех», «Шална»

  7,1 10,0 16,0 20,0 26,0 3,0  6,0 9,0 7,1 2,0

Влажность начинки

В соответствии с утвержденными рецептурами

Массовая доля начинки в карамели, %: в завернутой карамели с помадными, марципановыми, ореховыми, шоколадно-ореховыми начинками и начинками из зерновых, бобовых и масличных культур, с содержанием штук в 1 кг: до 120; 121-160; 161-190; 191 и более; в карамели с начинками двойными переслоенными карамельной массой; с содержанием штук в 1 кг: до 120; 121-160; 161-190; 191 и более; в завернутой карамели с начинками, кроме перечисленных выше; с содержанием штук в 1 кг: до 100; 101-120; 121-150; 151-200; от 201 и более; в завернутой карамели, изготовленной на ротационных карамелеформующих машинах; с содержанием штук в 1 кг: до 100; 101-120; 121-150; 151-200; От 201 и более; в карамели, глазированной шоколадной и жировой глазурью.

     33,0 31,0 30,0 25,0   32,0 30,0 29,0 25,0   33,0 31,0 29,0 28,0 23,0    27,0 26,0 25,0 22,0  17,0 21,0

Массовая доля начинки, %: в мягкой карамели, глазированной шоколадной глазурью; в карамели открытой; с содержанием штук в 1 кг: до 220 от 221 и более в завернутой карамели, изготовленной способом поштучного формования (по типу линии Страда-1200)

 23,0   25,0 20,0 22,0

Массовая доля глазури, %

В соответствии с утвержденными рецептурами с предельным отклонением

Массовая доля сахара, отделившегося от оболочки, или другого отделочного материала в открытой карамели со специальной защитной обработкой, %, не более

2,0

Массовая доля общей сернистой кислоты в карамели с фруктово-ягодными начинками, %, не более

0,01

Массовая доля золы, не растворимой в 10 % ном растворе соляной кислоты, %, не более

0,2

Массовая доля йода в карамели с морской капустой, % (мг\кг), не менее

20,0·10-4 (20,0)


Допускается отклонение массовой доли начинки от установленной норы +\-2 % и превышение верхнего предела по массовой доле начинки. В карамели с двойными начинками нормируется общая массовая доля двух начинок.

По безопасности, т.е. уровню содержания токсичных элементов, микотоксинов, радионуклидов и микробиологическим показателям карамельные изделия должны соответствовать нормам, приведенным в таблице 5.

Таблица 5 - Требования к показателям безопасности карамели

Показатели

Допустимые уровни, мг/кг, не более

Токсичные элементы: свинец




1,0


мышьяк

1,0


кадмий

0,1


ртуть

0,01


Микотоксины:

0,005


афлатоксин B1


для изделий, содержащих орехи

Пестициды**

Радионуклиды:



цезий-137

160

Бк/кг

стронций-90

100

то же


По микробиологическим показателям карамель регламентируется в соответствии с нормами, указанными в таблице 6. [1,8]

Таблица 6 - Микробиологические показатели качества карамельных изделий

Группа карамелей

КМА-ФАМ, КОЕ/г, не более

Масса продукта, г, в которой не допускаются

Дрожжи, КОЕ/г, не более

Плесени, КОЕ/г, не более



БГКП (колиформы)

Патогенные микроорганизмы, в том числе сальмонеллы



Леденцовая, с начинкой помадной, ликерной, фруктово-ягодной, сбивной

5· 102

1,0

25

50

50

С начинкой ореховой, шоколадно-ореховой

5 ·103

0,1

25

50

50


.6 Упаковка, маркировка, транспортирование и хранение карамели

Карамель как очень гигроскопичный продукт должна быть упакована с соблюдением особых условий. Карамель завертывают в этикетку, этикетку с подверткой или этикетку с фольгой, фольгу. Этикетка или подвертка не должны прилипать к поверхности карамели. Допускается смещение этикетки с выступом из-под нее не более 2 мм. Краски на этикетках не должны переходить на поверхность карамели. Этикетки, коробки, пакеты, банки должны быть художественно оформлены и утверждены предприятием-изготовителем.

Открытые, без защитной обработки поверхности монпасье и карамель фасуют в металлические и комбинированные банки, коробки из картона массой нетто не более 3 кг или пакеты из термоспаивающегося целлофана и полимерных пленок, разрешенных Минздравом РФ, а также в ящики из гофрированного картона массой нетто не более 8 кг с вложением в ящик мешка из полимерной пленки.

Завернутую и открытую карамель фасуют в картонные коробки, металлические и комбинированные банки, пакеты из целлофана, коробки, банки и пакеты из полимерных материалов, разрешенных к применению Минздравом РФ массой нетто не более 1000 г.

Карамельные изделия упаковывают в ящики дощатые, фанерные или из гофрированного картона массой нетто, не более: для открытой, с защитной обработкой поверхности, завернутой и фасованной -18 кг; ликерной завернутой и открытой -12 кг; завернутой «соломки» -5 кг.

Допускаемые отклонения массы нетто упаковочной единицы карамели составляют в процентах, не более: при массе до 50 г включительно -минус 5,0 %; свыше 50 до 500 г включительно -минус 3,0 %; свыше 500 до 1000 г включительно - минус 1,0 %; свыше 1000 г - минус 0,5%. При упаковывании весовой карамели допускается отклонение массы нетто -минус 0,5 %.

Маркировку наносят на этикетку, потребительскую и транспортную тару карамельных изделий. Карамель должна иметь маркировку с указанием:

на этикетках: наименования предприятия-изготовителя и его местонахождения; наименование карамели;

на потребительской таре всех видов: товарного знака и наименования предприятия-изготовителя, его местонахождения; наименование карамели; массы нетто; даты выработки; обозначения документа, в соответствии с которым карамель изготовлена и может быть идентифицирована; информационных сведений о пищевой и энергетической ценности продукта; информации о подтверждении соответствия.

На потребительской таре с диабетической карамелью дополнительно указывают: содержание в граммах в 100 г продукта: ксилита, сорбита, общего сахара (в пересчете на сахарозу); суточную норму потребления ксилита (сорбита) - не более 30 г; размещают надпись «Употребляется по назначению врача», а также символ, характеризующий принадлежность диабетической карамели к группе диабетических изделий.

На каждую единицу транспортной тары наносят маркировку, характеризующую продукцию: товарный знак и наименование предприятия-изготовителя, его местонахождение; наименование продукта; массу нетто и брутто; количество упаковочных единиц и массу упаковочной единицы для фасованной карамели; дату выработки; срок хранения; обозначение стандарта, а также (по ГОСТ 14192-77) манипуляционные знаки: «Осторожно, хрупкое», «Боится сырости», «Боится нагрева».

Маркировку наносят путем наклеивания ярлыка или нанесения четкого оттиска трафаретом или штампом несмывающейся, не имеющей запаха краской.

Номер укладчика или смены указывают на ярлыке, вложенном в коробки, банки, пакеты, или проставляют штемпелем с наружной стороны тары.

Карамель транспортируют всеми видами транспорта в крытых транспортных средствах в соответствии с правилами перевозок грузов, действующими на данном виде транспорта. Не допускается использовать транспортные средства, в которых перевозились ядовитые и резкопахнущие грузы, а также транспортировать карамель совместно с продуктами, обладающими специфическим запахом.

Карамель хранят в обычных для кондитерских изделий условиях. Карамель должна храниться в хорошо вентилируемых помещениях, не имеющих постороннего запаха, не зараженных вредителями хлебных запасов при температуре не выше 18 ± 3 °С и относительной влажности воздуха не более 75 %. Карамель не должна подвергаться воздействию прямого солнечного света. Не допускается хранить карамель совместно с продуктами, обладающими специфическим запахом. При соблюдении нормальных условий хранения карамельные изделия могут храниться без порчи довольно продолжительное время. Сроки хранения карамели при соблюдении указанных условий со дня выработки устанавливаются следующие:

для леденцовой, открытой, упакованной в металлические банки или коробки или завернутой «Фигурной», с морской капустой, ментоловых пастилок, витаминизированной, а также для карамели с фруктово-ягодными, медовыми и помадными начинками, завернутой - 6 месяцев;

для «Декаминовой» - 1 год;

для карамели с шоколадными начинками и шоколадной глазурью, завернутой - 4 месяца;

для молочной карамели, карамели с ликерными, молочными, сбивными и масляно-сахарными начинками, завернутой и открытой с защитной обработкой поверхности (кроме ликерных начинок) - 3 месяца;

для леденцовой с добавлениями, карамели с желейными, содержащими орехи начинками и с начинками из злаковых, бобовых и масличных культур, завернутой, открытой с защитной обработкой поверхности, с ликерными начинками, открытой без защитной обработки поверхности в герметически закрытых банках или мешках из полиэтиленовой пленки - 2 месяца;

для мягкой, полутвердой, глазированной шоколадной глазурью, завернутой - 1,5 месяца;

для глазированной шоколадной глазурью - 1 месяц;

для карамели «соломка» и завернутых фигур - 15 суток.[1,11,12]

1.7 Дефекты (пороки) карамели и фальсификация

В процессе производства, транспортирования в торговлю и хранения карамели с начинкой органолептические свойства могут ухудшаться, особенно если при производстве продукта не были соблюдены в полном объеме гигиенические требования, а также в случае недостаточного качества упаковки, сырья. При этом происходят физические процессы изменения структуры и физико-химические преобразования отдельных компонентов, что может повлиять на органолептические показатели продукта. Происходит ухудшение вкуса, консистенции, цвета. Эти явления называют дефектами, а чаще пороками.

Наличие посторонних привкусов и запахов: привкус карамелизованного сахара (излишнее уваривание начинки), прогорклый, салистый привкус (возможен у жиросодержащих начинок), подгорелый привкус (у фрутово-ягодных начинок),металлический привкус и др. Является также дефектом наличие неясно выраженных вкуса и запаха или слишком резкого запаха из-за чрезмерного количества ароматизатора в изделиях. При хранении карамели в ней могут происходить и другие изменения: ухудшение и уменьшение аромата вследствие окисления и прочих изменений ароматических веществ; появление на поверхности карамели глазированной шоколадом, следов жирового или сахарного «поседения»; высыхание карамели со сбивной, марципановой и фруктовой начинками; засахаривание карамели со сбивными, ликерными и фруктовыми начинками; заражение карамели шоколадной огневкой.

Липкая поверхность (прилипание обертки к корпусу) - следствие хранения карамели при повышенной относительной влажности воздуха (более 75%), перепадов температур при хранении, повышенного содержания редуцирующих веществ, влаги в карамельной массе, вытекания начинки (прободение карамельной оболочки).

Трещины на поверхности, нечеткий рисунок, заусенцы, отбитые углы карамели - результат нарушения технологии производства. Неясный рисунок появляется из-за плохой колибровки батона, штампования слишком горячей массы.

Засахаривание - наблюдается в карамели при хранении в очень сухом помещении, а также при недостатке в ней редуцирующих веществ; начинается с поверхности, а затем проникает внутрь. Карамель становится непрозрачной, окраска ее темнеет.

К дефектам формы также относятся: искривления (деформация в теплом состоянии), толстый расходящийся шов вследствие плохой регулировки карамельной машины.

Дефектами цвета являются: пятна, грязные тона; неравномерная окраска. Причина их появления заключается в несоблюдении правильного технологического режима.[11,12,13]

Фальсифицированная пищевая продукция - пищевые продукты и продовольственное сырье (в том числе карамель), умышленно измененные (поддельные) и (или) имеющие скрытые свойства и качество, информация о которых является заведомо неполной или недостоверной. Могут быть следующие виды фальсификации карамели:

ассортиментная фальсификация (пересортица) достигается за счет подмены одного вида другим;

качественная фальсификация, наиболее широко применяемая при производстве карамели, включает: недовложение компонентов, предусмотренных рецептурой; замена дорогостоящего компонента менее ценным; введение консервантов и антиокислителей;

количественная фальсификация (недовес) - это обман потребителя за счет значительных отклонений параметров товара (массы), превышающих передельно допустимые нормы отклонений. Например, вес нетто упаковки занижен за счет использования более плотной бумаги. Выявить такую фальсификацию можно, предварительно измерив массу карамели поверенными измерительными мерами веса;

информационная фальсификация - это обман потребителя с помощью неточной или искаженной информации о товаре. Этот вид фальсификации осуществляется путем искажения информации в товарно-сопроводительных документах, маркировке и рекламе. При информационной фальсификации о карамели довольно часто искажаются или указываются неточно следующие данные: наименование товара, страна происхождения товара, фирма-изготовитель товара, количество товара, местонахождение предприятия, состав изделий. К информационной фальсификации также относится подделка сертификата качества, таможенных документов, штрихового кода и др. Выявляется такая фальсификация проведением специальной экспертизы.[10]

2. ЭКСПЕРТИЗА КАЧЕСТВА КАРАМЕЛИ

.1Анализ рынка сахаристых кондитерских изделий

Рынок карамели на сегодняшний день достаточно разнообразен, в этом сегменте представлены как отечественные, так и западные производители. В настоящее время разновидности карамели пользуются значительно меньшим спросом, чем, например, шоколад и различные изделия из него. Леденцы, карамель, драже и другие сладости этого типа потребляют около 22% всех жителей России, тогда как доля россиян, отдающих предпочтение шоколадным конфетам, составляет около 56%.Показательна и частота потребления карамели и леденцов - порядка 60% потребителей едят их 2-3 раза в месяц и реже. Один раз в день карамельную продукцию потребляют 5% россиян,4,9%- несколько раз в день

Причин столь низкой популярности некогда любимой россиянами карамели несколько:

современная позиция производителей, которые заинтересованы в выпуске продукции, приносящей большую прибыль, и обширная реклама производителей шоколада, создающая новый стереотип покупательского поведения;

эксплуатация устаревшего оборудования, не позволяющего наладить производство карамели, леденцов и других недорогих кондитерских изделий в достаточном объеме и хаотичная маркетинговая политика производителей или ее полное отсутствие.

На сегодняшний день, по данным агентства «Бизнес Аналитика», карамель и леденцы занимают в структуре производства кондитерских фабрик от 30 до 40%. В среднем по России развесная карамель и леденцы присутствуют более чем в 70% магазинов с кондитерскими отделами и в ассортименте 67% точек, торгующих кондитерской продукцией на мелкооптовых и розничных рынках. На российском рынке насчитывается несколько сотен различных по значимости и мощностям производителей этого вида продукции, но производственные мощности в пределах страны распределены неравномерно. В сегменте карамели и леденцовых конфет соперничают фабрика «Россия» (торговая марка «Савинов») и кондитерская фабрика «СладКо». По всей стране также пользуются спросом карамель и леденцы таких производителей, как «Красный Октябрь», «Рот-Фронт»,«Конфи», «Азарт», концерна «Бабаевский». В регионах лучше всего представлена продукция местных производителей. Однако в рассматриваемом сегменте рынка кондитерских изделий велико число известных с советских времен таких марок карамели, как «Клубника со сливками», «Раковые шейки», «Барбарис», «Дюшес», «Монпансье» и др., которые выпускаются практически всеми отечественными кондитерскими фабриками.

Карамель и леденцы большинства марок, присутствующих сегодня на российском рынке, - это продукция западных производителей. Самым известным брендом является Bon Pari (Nestle, Швейцария/Камская КФ,г. Пермь) - показатель знания этой марки равен 67,5% от числа всех потребителей карамели и леденцов. Известность и секрет успеха бренда Chupa-Chups одноименной испанской компании, который знают 64% потребителей, заключается в разнообразии продукции, предлагаемой производителем: широкий ассортиментный ряд, построенный с учетом вкусов населения, частое появление новинок. Продвижению марки на рынке способствуют также развитая дистрибьюторская сеть и обширная реклама.

Из российских следует отметить марку «Савинов». Этот бренд был разработан компанией Nestle специально для нашей страны, и в настоящее время выпуск этих конфет осуществляет фабрика «Россия». Стратегия продвижения марки на рынке выстроена по тем же принципам, что и для шоколада «Россия». Вторичность образа не способствует его запоминанию, поэтому вывод на рынок марки «Савинов» был далеко не столь успешен, однако его нельзя назвать и неудачным - доля знающих марку «Савинов» составляет около 59% от числа всех потребителей карамели. Рейтинг потребления карамельных и леденцовых конфет рассматриваемых марок по структуре не сильно отличается от рейтинга знания марок. Первое место здесь также принадлежит бренду Bon Pari, продукцию которого предпочитают 49% потребителей, далее следует Chupa Chups - около 42% и «Савинов» - около 36% от числа всех потребителей карамели и леденцов.

Без модернизации оборудования, расширения ассортимента, создания марок, разработки грамотных концепций продвижения и обширной рекламы вряд ли станет возможным вывод и укрепление позиций карамельной продукции на рынке, даже несмотря на то, что количество потенциальных потребителей сахаристых изделий без какао сопоставимо с числом потребителей изделий из шоколада.[16]

.2 Объекты и методы исследования карамели

Экспертиза качества карамельных изделий проводится на основе определения органолептических, физико-химических и микробиологических показателей методами, изложенными в национальных стандартах. Органолептическую оценку проводят по ГОСТ 5897-90, определение влажности - ГОСТ 5900-73, кислотности - ГОСТ 5898-87, массовой доли золы- ГОСТ 5901-87.

В завернутых изделиях определяют маркировку, состояние упаковки и завертки. Особое внимание обращают на герметичность упаковки и плотность облегания карамели подверткой или этикеткой. При наличии развернутых и полуразвернутых изделий определяют их содержание по массе.

Форму и поверхность изделий осматривают при хорошем освещении. Обращают внимание на наличие битых и деформированных изделий, трещин и открытых швов, наличие комков. Отмечают ,сухая карамель или липкая по состоянию поверхности.

Визуально также осматривают выраженность окраски, ее равномерность, а для обсыпных видов - качество обсыпки. Окраска может быть однотонной или состоять из нескольких цветов (полоски, жилки, смесь и др.). Вкус и аромат карамельных изделий определяют опробованием. Отмечают выраженность вкуса, не имеют ли изделия неприятных или посторонних привкусов и запахов, чрезмерно резкого запаха и вкуса эссенций.

Количество начинки в карамели определяют весовым методом или косвенным. Весовой метод применяют для изделий, которые могут быть легко разделены на составные части, он основан на взвешивании составных частей, тщательно отделенных друг от друга. [11]

Количество начинки (X) в процентах вычисляют по формуле

, (1)

где m - масса начинки, г; - навеска карамели, г.

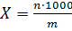
Чтобы установить соответствие образца карамели по содержанию начинки требованиям технических условий, определяют количество изделий в 1кг по формуле

 , (2)

где n-количество взятых изделий, шт.; m- масса нетто взятых изделий, г; 1000- коэффициент пересчета на 1 кг изделий. Размеры изделий определяют измерением не более 5 шт. изделий без оберточного материала, взятых из объединенной пробы. За окончательный результат анализа принимают среднеарифметическое значение результатов измерений. [3]

Метод определения кислотности карамели основан на нейтрализации кислоты, содержащейся в навеске, гидроокисью натрия (гидроокисью калия) в присутствии фенолфталеина до появления розовой окраски. Этот метод применяется для изделий и полуфабрикатов, цвет и окраска которых не мешают наблюдению за изменением цвета индикатора при титровании. Допускается применение данного метода для определения кислотности во фруктово-ягодном сырье. Для проведения анализа берут 5 г измельченного исследуемого продукта помещают в коническую колбу или стакан, приливают 50 см3 дистиллированной воды, предварительно нагретой до температуры 60-70°C, все перемешиваю, охлаждают до температуры (20±5)°C, приливают дистиллированную воду до объема около 100 см3, прибавляют 2-3 капли фенолфталеина и не обращая внимания на незначительный осадок титруют раствором гидроокиси натрия или калия концентрации c (NaOH или KOH)=0,1 моль/дм3 до бледно-розового окрашивания, не исчезающего в течение 1 мин. Допускается проводить растворение навески на газовой горелке или электрической плитке, не доводя раствор до кипения. Допускается титровать неокрашенный или слабоокрашенный раствор навески, не доводя до указанного объема. Кислотность (X) в градусах вычисляют по формуле

, (3)

где K- поправочный коэффициент раствора гидроокиси натрия или калия концентрации c (NaOH или KOH)=0,1 моль/дм3, используемого для титрования, по ГОСТ 25794.1;объем раствора гидроокиси натрия или калия, израсходованный на титрование, см3;масса навески продукта, г;

-коэффициент пересчета на 100 г продукта;

-коэффициент пересчета раствора гидроокиси натрия или калия концентрации 0,1 моль/дм3 в 1 моль/дм3.

Если исследуемый продукт содержит нерастворимые в воде частицы, то навеску массой 20 г помещают в коническую колбу или стакан, хорошо перемешивают ее с отмеренными 200 см3 дистиллированной воды, нагретой до температуры 60-70°C, охлаждают до температуры (20±5)°C, фильтруют в стакан или коническую колбу через вату или фильтровальную бумагу. Затем в коническую колбу отмеряют пипеткой 50 см3 фильтрата, прибавляют 2-3 капли фенолфталеина и титрую раствором гидроокиси натрия или калия концентрации 0,1моль/дм3 до бледно-розового окрашивания, не исчезающего в течение 1 мин. Кислотность (X1) в градусах вычисляют по формуле

 (4)

где K- поправочный коэффициент раствора гидроокиси натрия или калия концентрации c (NaOH или KOH)=0,1 моль/дм3, используемого для титрования по ГОСТ 25794.1.;объем раствора гидроокиси натрия или калия, израсходованный на титрование, см3;- объем дистиллированной воды, взятый для растворения навески,см3;

- коэффициент пересчета на 100 г продукта;- объем фильтрата, взятый для титрования, см3;масса навески продукта, г;

- коэффициент пересчета раствора гидроокиси натрия или калия концентрации 0,1 моль/дм3 в 1 моль/дм3.

Если кислотность требуется выразить в процентах какой-либо кислоты, то градусы кислотности умножают на соответствующий миллиэквивалент, указанный в таблице 7.

Таблица 7- Коэффициенты пересчета кислотности

Наименование кислоты

Миллиэквивалент

Уксусная

0,060

Молочная

0,090

Яблочная

0,067

Лимонная (с одной молекулой воды)

0,070

Винная

0,075


Если невозможно определить кислотность методом титрования с фенолфталеином из-за интенсивной окраски раствора, то в качестве индикатора применяют синюю лакмусовую бумажку. По мере титрования капли титруемой жидкости наносят при помощи стеклянной палочки на полоску лакмусовой бумажки. Титруют до исчезновения покраснения. Чтобы лучше уловить исчезновение красной окраски на лакмусовой бумажке, следует под конец титрования рядом с каплей испытуемой жидкости нанести каплю дистиллированной воды для сравнения и кончать титрование, когда не будет заметно разницы в оттенках двух капель.[4]

Массовая доля сухих веществ в карамели определяется рефрактометрическим методом, сущность которого заключается в определении массовой доли сухих веществ в изделии по коэффициенту преломления его раствора.

На нижнюю призму рефрактометра при помощи стеклянной палочки с резиновым наконечником наносят две капли дистиллированной воды и в течение 5 мин темперируют призмы, направив пучок света в окошко оправы призм. Окуляр передвигают до совмещения визира с границей темного и светлого полей. Рефрактометр считается установленным, если граница полей будет находиться против показателя преломления 1,333 при 20 °С, который соответствует 0% сухих веществ. Если будет отклонение, то с помощью специального торцового ключика, прилагаемого к прибору, устанавливают границу темного и светлого полей против показателя 1,333, соблюдая температуру 20°C.

Для приведения показания рефрактометра к температуре 20 °С пользуются температурными поправками, указанными в табл.8.

Таблица 8 - Температурные поправки к показаниям рефрактометра

°С

Поправка

15

-0,38

16

-0,30

17

-0,24

18

-0,16

19

-0,08

20

0

21

+0,08

22

+0,16

23

+0,24

24

+0,32

25

+0,40

26

+0,48

27

+0,56

28

+0,64

29

+0,73

30

+0,81

 

Для этого проводят не менее трех отсчетов, каждый раз нанося на призмы испытуемую жидкость, и берут среднеарифметическое значение показаний рефрактометра.

Массовую долю сухих веществ ( X1) в процентах в исследуемом изделии вычисляют по формуле

,   (5)

где - показание рефрактометра; - масса раствора навески, г;
 - масса навески, г.

При определении сухих веществ рефрактометром в карамельной массе, изготовленной с патокой, а также в сахарно-паточных сиропах или сахарной помаде, содержащей патоку, в получаемые результаты, выраженные в процентах сухих веществ, вводят поправки в соответствии с таблицей 9.

Таблица 9 - Поправка к показателю СВ рефрактометра

Количество весовых частей патоки  на 100 весовых частей сахара

Поправка

Количество весовых частей патоки  на 100 весовых частей сахара

Поправка

5

-0,04

60

-0,97

10

-0,16

65

-1,03

15

-0,27

70

-1,09

20

-0,37

75

-1,14

25

-0,46

80

-1,19

30

-0,55

85

-1,24

35

-0,63

90

-1,28

40

-0,71

95

-1,33

45

-0,78

100

-1,37

50

-0,85

105

-1,41

55

-0,91

110

-1,45

 

При определении сухих веществ рефрактометром в карамельной массе, изготовленной с уменьшенным количеством патоки и замещением недостающих редуцирующих веществ инвертным сиропом, вводят следующие поправки в соответствии с таблицей 10.

Таблица 10 - Поправка к показателю СВ рефрактометра

Количество весовых частей патоки на 100 весовых частей сахара

Поправка

Количество весовых частей патоки на 100 весовых частей сахара

Поправка

40

-0,44

20

0,00

35

-0,33

15

+0,12

30

-0,23

10

+0,24

25

-0,13

5

+0,36


.3 Информационная характеристика образцов карамели с начинкой

Оценка маркировки и упаковки образцов карамельных изделий проводится в соответствии с требованиями ГОСТ Р 51074-2003 «Продукты пищевые. Информация для потребителя. Общие требования». Результаты исследований приведены в таблице 11.

Таблица 11- Информационная характеристика образцов карамели с начинкой

Наименование показателя

Образец №1

Образец №2

Образец№3

1

2

3

4

наименование продукта

Карамель «Клубника со сливками»

Карамель «Лимончики»

Карамель «Коровка»

наименование и местонахождение изготовителя [юрид. адрес, включая страну, и, при несовпадении с юрид. адресом,адрес(а) производств(а)] и организации в Р Ф, уполномоченной изготовителем на принятие претензий от потребителей на ее тер-рии (при наличии);

ОАО «Кондитерский концерн Бабаевский» Россия, 107140, г.Москва, Малая Красносельская ул., д.7

ОАО «РОТ ФРОНТ» Россия, 115184, г.Москва, 2-й Новокузнецкий пер., д. 13/15

ОАО «Красный Октябрь» Россия, 107140, г. Москва, ул. Малая Красносельская, д.7, стр.24 Адрес производства: Россия, 390029, г. Рязань, ул. Чкалова, д.19Г(филиал ОАО «Красный Октябрь», Производство №2)

 масса нетто

250 г

250 г

250 г

товарный знак изготовителя (при наличии)

Присутствует

Присутствует

Присутствует

 состав продукта

Сахар, патока, сгущенное с сахаром молоко, пюре клубничное, сгущенные с сахаром сливки, ароматизаторы идентичные натуральным «Ванильный», «Клубника», краситель Е122.

Сахар, патока, пюре фруктовое, подварка лимонная, регулятор кислотности -кислота лимонная, краситель E102,ароматизатор идентичный натуральному «Лимон».

Сахар, патока, сгущенное с сахаром молоко, регулятор кислотности -кислота лимонная, ароматизатор идентичный натуральному «Ваниль».

пищевые добавки, ароматизаторы, биологически активные добавки к пище, ингредиенты продуктов нетрадиционного состава

Ароматизаторы идентичные натуральным «Ванильный», «Клубника», краситель Е122.

Регулятор кислотности -кислота лимонная, ароматизатор идентичный натуральному «Лимон», краситель E102.

Регулятор кислотности -кислота лимонная, ароматизатор идентичный натуральному «Ваниль».

пищевая ценность на 100 г продукта

Белки-0,6 г, жиры-0,8 г, углеводы-91,8г.Энергетическая ценность: 362 ккал.

Белки-0 г; жиры-0,1 г; углеводы-92,6 г. Энергетическая ценность: 356 ккал

Белки-0,7 г; жиры-0,9 г; углеводы-92,0 г. Энергетическая ценность: 365 ккал

условия хранения

Хранить при температуре от 15 до 21°C и относительной влажности воздуха не более 75%. Не подвергать воздействию прямого солнечного света.

Хранить при температуре от 15 до 21°C и относительной влажности воздуха не более 75%. Не подвергать воздействию прямого солнечного света.

Хранить при температуре от 15 до 21°C и относительной влажности воздуха не более 75%. Не подвергать воздействию прямого солнечного света.

 срок годности или срок хранения

Годен до:23.12.12

Годен до:23.11.12

Срок годности 9 мес. Годен до: 06.12.12

 дата изготовления и дата упаковывания

28.03.12

27.02.12

11.03.12

обозначение документа, в соответствии с которым изготовлен и может быть идентифицирован продукт

ТУ 9121-002-00340658

ГОСТ 6477

ТУ 9121-011-00340664

информация о подтверждении соответствия

Имеется знак соответствия РСТ «декларирования соответствия товаров», «добровольной сертификации» и «ХАССП»

Имеется знак соответствия РСТ «декларирования соответствия товаров», «добровольной сертификации»

Имеется знак соответствия РСТ «декларирования соответствия товаров», «добровольной сертификации»



На этикетках исследуемых образцов «Клубника со сливками», «Лимончики» и «Коровка» с четким нанесением текста указаны наименование карамели и наименование предприятия-изготовителя, его местонахождение.

Как показали результаты исследования , образцы карамели с начинкой «Клубника со сливками», «Лимончики», «Коровка» соответствуют требованиям ГОСТ Р 51074-2003 «Продукты пищевые. Информация для потребителя. Общие требования» по всем показателям.

.4 Количественная характеристика образцов карамели с начинкой

Количественную оценку карамели с начинкой проводят в соответствии с требованиями ГОСТ 8.579-2002 «Государственная система обеспечения единства измерений. Требования к количеству фасованных товаров в упаковках любого вида при их производстве, расфасовке, продаже и импорте». Результаты исследований приведены в таблице 12.

Таблица 12- Количественная характеристика образцов карамели с начинкой

Показатели

Образец №1 Карамель «Клубника со сливками»

Образец №2 Карамель «Лимончики»

Образец№3 Карамель «Коровка»

Масса нетто номинальная, г

250

250

250

Масса брутто, г

250,62

252,61

252,22

Масса упаковки, г

2,85

3,07

2,97

Масса нетто фактическая, г

247,8

249,5

249,3

Отрицательное отклонение фактическое, г

2,2

0,5

0,7

Допустимое отрицательное отклонение, г

9

9

9


Как показали результаты исследования, образцы карамели с начинкой «Клубника со сливками», «Лимончики», «Коровка» соответствуют требованиям ГОСТ8.579-2002 по показателю «Предел допускаемых отрицательных отклонений содержимого нетто от номинального количества».

.5 Органолептическая характеристика образцов карамели с начинкой

Внешний осмотр образцов карамели показал: этикетка карамели исследуемых образцов сухая, плотно прилегает к корпусу карамели, не прилипает. На упаковке трех заявленных образцов нарушений герметичности не обнаружено.

Органолептическую оценку образцов карамели с начинкой проводят в соответствии с требованиями ГОСТ 6477-88 «Карамель. Общие технические условия». Результаты исследований приведены в таблице 13.

Таблица 13 - Органолептическая характеристика образцов карамели

Наименование показателя

Образец №1 Карамель «Клубника со сливками»

Образец №2 Карамель «Лимончики»

Образец№3 Карамель «Коровка»

Вкус и запах

Вкус выраженный, сладкий, сливочно-клубничный, без посторонних привкусов и запахов. Запах слабовыраженный

Вкус выраженный, сладкий с лимонным кисловатым привкусом, без посторонних привкусов и запахов. Запах слабовыраженный.

Вкус выраженный, сливочный, сладкий, без посторонних привкусов и запахов. Запах слабовыраженный

Цвет

Равномерный, белый со светло-кремовым оттенком,соответствующий наименованию

Равномерный, желтый, соответствующий наименованию

Равномерный, светло-кремовый, соответствующий наименованию

Сухая, без трещин, вкраплений, с четким рисунком, блестящая, без выплывов начинки

Сухая, без трещин, вкраплений, гладкая, блестящая, без выплывов начинки

Сухая, без трещин, вкраплений, с четким рисунком, блестящая, без выплывов начинки

Форма

Корпус карамели удлиненно-овальной формы без деформации и перекоса шва, без заусенцов, отбитых углов.

Корпус карамели круглой формы без деформации и перекоса шва, без заусенцов и отбитых углов.

Корпус карамели овальной формы без деформации и перекоса шва, без заусенцов и отбитых углов.


Как показали результаты исследования, образцы карамели с начинкой «Клубника со сливками», «Лимончики», «Коровка» соответствуют требованиям ГОСТ 6477-88 «Карамель. Общие технические условия» по всем органолептическим показателям.

.6 Физико-химическая характеристика образцов карамели с начинкой

Физико-химическая оценка карамели с начинкой проводится в соответствии с требованиями ГОСТ 6477-88 «Карамель. Общие технические условия». Требования к карамели по физико-химическим показателям приведены таблице 4.Исследование образцов карамели проводили методами, приведенными в разделе 2.2. Результаты исследований представлены в таблице 14.

Таблица 14 - Физико-химическая характеристика образцов карамели с начинкой

Наименование показателя

Образец №1 Карамель «Клубника со сливками»

Образец №2 Карамель «Лимончики»

Образец№3 Карамель «Коровка»

Влажность карамельной массы (полуфабриката), %

2,95

2,7

2,88

Кислотность подкисляемой карамели в пересчете на лимонную кислоту, градусы

_

1,2

1,3

Массовая доля начинки в карамели, %

26

24

25


Для того,чтобы определить соответствие образца карамели по содержанию начинки требованиям технических условий необходимо определить количество изделий в 1кг методом, приведенном в разделе 2.2. Количество штук карамели с начинкой в 1кг составило: образец №1 («Клубника со сливками»)- 149 шт., образец №2 («Лимончики»)- 172 шт., образец №3 («Коровка»)-168 шт.

Как показали результаты исследования образцы карамели с начинкой «Клубника со сливками», «Лимончики», «Коровка» соответствуют требованиям ГОСТ 6477-88 по показателю «влажность », не соответствуют по показателю «массовая доля начинки». Окончательный вывод о соответствии заявленных образцов требованиям ГОСТ 6477-88 по показателю «кислотность» можно сделать при наличии рецептуры.

ЗАКЛЮЧЕНИЕ

В результате выполнения курсовой работы было выяснено что:

карамель - формованное сахаристое кондитерское изделие из карамельной массы на основе уваренной смеси и патоки с добавлением или без добавления других видов сырья и пищевых добавок, ароматизаторов, с массовой долей влаги не более 4%

карамельные изделия классифицируют главным образом по наличию или отсутствию в них начинки, по ее видам, наличию или отсутствию завертки и защитной обработки поверхности. Отдельные сорта отличаются в основном по видам использованного (преимущественно для начинок) сырья, соотношением их количеств, по вкусовым добавлениям.

пищевая ценность карамели обусловлена высоким содержанием углеводов (77-95%), жиров (0,1-11,9%), белков (0,1-3,4%), сахаров (7-75% с начинкой и 96% леденцовая) небольшим количеством минеральных веществ (К, Са, Mg, Р, Fe).

основным сырьем для производства карамели является сахар-песок и крахмальная патока, которые составляют 90-95% сухих веществ основных видов карамели с начинкой.

технологическая схема производства карамели с начинкой делится на следующие основные стадии: приготовление карамельной массы; охлаждение и обработка карамельной массы; приготовление начинок; формование и охлаждение карамели; обработка, завертка, расфасовка и упаковка карамели.

основными органолептическими показателями качества карамели являются: вкус и запах; цвет; поверхность; форма .А из физико-химических показателей : влажность, кислотность, редуцирующие сахара, массовая доля начинки, глазури, массовая доля сахара, отделившегося от оболочки (или другого отделочного материала) в карамели с защитной обработкой, массовая доля общей сернистой кислоты в карамели с фруктово-ягодными начинками и массовая доля золы, нерастворимой в 10%-м растворе соляной кислоты.

карамель как очень гигроскопичный продукт должна быть упакована с соблюдением особых условий. Карамель завертывают в этикетку, этикетку с подверткой или этикетку с фольгой, фольгу.

маркировку наносят на этикетку, потребительскую и транспортную тару карамельных изделий. Карамель должна иметь маркировку с указанием: на этикетках: наименования предприятия-изготовителя и его местонахождения; наименование карамели; на потребительской таре всех видов: товарного знака и наименования предприятия-изготовителя, его местонахождения; наименование карамели; массы нетто; даты выработки; обозначения документа, в соответствии с которым карамель изготовлена и может быть идентифицирована; информационных сведений о пищевой и энергетической ценности продукта; информации о подтверждении соответствия.

карамель транспортируют всеми видами транспорта в крытых транспортных средствах в соответствии с правилами перевозок грузов, действующими на данном виде транспорта. Не допускается использовать транспортные средства, в которых перевозились ядовитые и резкопахнущие грузы, а также транспортировать карамель совместно с продуктами, обладающими специфическим запахом.

карамель должна храниться в хорошо вентилируемых помещениях, не имеющих постороннего запаха, не зараженных вредителями хлебных запасов при температуре не выше 18 ± 3 °С и относительной влажности воздуха не более 75 %. Карамель не должна подвергаться воздействию прямого солнечного света. Не допускается хранить карамель совместно с продуктами, обладающими специфическим запахом

в процессе производства, транспортирования в торговлю и хранения карамели с начинкой органолептические свойства могут ухудшаться, особенно если при производстве продукта не были соблюдены в полном объеме гигиенические требования, а также в случае недостаточного качества упаковки, сырья. При этом происходят физические процессы изменения структуры и физико-химические преобразования отдельных компонентов, что может повлиять на органолептические показатели продукта. Происходит ухудшение вкуса, консистенции, цвета.

рынок карамели на сегодняшний день достаточно разнообразен, в этом сегменте представлены как отечественные, так и западные производители. В настоящее время разновидности карамели пользуются значительно меньшим спросом

На основании результатов проведенной: - информационной оценки образцов карамели с начинкой «Клубника со сливками», «Лимончики», «Коровка» можно сделать вывод, что заявленные образцы соответствуют требованиям ГОСТ Р 51074-2003 «Продукты пищевые. Информация для потребителя. Общие требования» по всем показателям;

количественной оценки можно сделать вывод, что образцы карамели с начинкой соответствуют требованиям ГОСТ 8.579-2002 по показателю « Предел допускаемых отрицательных отклонений содержимого нетто от номинального количества»;

органолептической оценки следует, что исследуемые образцы карамели с начинкой соответствуют требованиям ГОСТ 6477-88 по всем показателям;

физико-химической оценки можно заключить, что исследуемые образцы карамели с начинкой соответствуют требованиям ГОСТ 6477-88 по показателю «влажность», не соответствуют по показателю «массовая доля начинки». Для определения соответствия карамели по показателю «кислотность» необходимо наличие рецептуры.

СПИСОК ИСПОЛЬЗОВАННОЙ ЛИТЕРАТУРЫ

ГОСТ 6477-88 «Карамель. Общие технические условия»

ГОСТ Р 53041-2008 «Изделия кондитерские и полуфабрикаты кондитерского производства. Термины и определения»

ГОСТ 5897-90 «Изделия кондитерские. Методы определения органолептических показателей качества, размеров, массы нетто и составных частей»

ГОСТ 5898-87 «Изделия кондитерские. Методы определения кислотности и щелочности»

ГОСТ 5900-73 «Изделия кондитерские. Методы определения влаги и сухих веществ»

ГОСТ 8.579-2002 «Государственная система обеспечения единства измерений. Требования к количеству фасованных товаров в упаковках любого вида при их производстве, расфасовке, продаже и импорте»

ГОСТ Р 52060-2003 «Патока крахмальная. Общие технические условия»:

СанПиН 2.3.2.1078-01 «Продовольственное сырье и пищевые продукты. Гигиенические требования безопасности и пищевой ценности пищевых

Зубченко А.В. «Технология кондитерского производства»: Учебник.-2-е изд., перераб. / Воронеж, гос. технол. акад. - Воронеж, 2001. - 430 с.

Кругляков Г.Н., Круглякова Г.В. Товароведение продовольственных товаров. Учебник Ростов н/Д: издательский центр "МарТ", 1999г. - 448с.

Шепелев А.Ф., Печенская И.А., Кожухова О.И., Туров А.С., Мхитарян К.Р. «Товароведение и экспертиза продовольственных товаров»: Учебное пособие. - Ростов-на-Дону: Издательский центр «МарТ», 2001. - 680 с.

Е.Петухова «Сахаристые кондитерские изделия: карамель» // Товаровед продовольственных товаров.- №2.-2006.-С.32-40.

И.Чепурной « Сахаристые кондитерские изделия» // Товаровед продовольственных товаров.- №9.-2006.-С.20-24.-С.27-28.

Похожие работы на - Проведение товароведной характеристики и экспертизы качества карамели с начинкой

 

Не нашли материал для своей работы?
Поможем написать уникальную работу
Без плагиата!
Без нейросетей!