Анализ ARC-цепи и расчет LC-фильтра
Санкт-Петербургский
Государственный Университет Телекоммуникаций им. проф. М.А. Бонч-Бруевича
Кафедра
“Теория электрических цепей”
Курсовая
работа
по
дисциплине “Теория электрических цепей”
«Анализ
ARC-цепи и расчет LC-фильтра»
Выполнил:
Касперович Дмитрий
Александрович
Проверил: Черных Ю.К.
Санкт
- Петербург
Задание 1. Анализ ARC-цепи
. Выбрать для своего варианта
ARC-цепь из табл.1.2 и рассчитать значения её параметров для числа M.
. Найти операторную
передаточную функцию ARC-цепи типа H(p)=U2(p)/U1(p).
3. Получить
комплексную передаточную функцию H(jω) путём
замены переменной p=jω в H(p). Записать выражения для амплитудно-частотной H(ω)=|H(jω)|
и фазочастотной (ω)=argH(jω) характеристик.
Построить графики АЧХ и ФЧХ в диапазоне частот 0…
При использовании ПК
рекомендуется выбирать fmin=1 Гц и fmax таким, чтобы на
графиках отображались характерные качества АЧХ и ФЧХ исследуемой ARC-цепи.
Обычно, fmax=5…100 кГц.
. Найти
переходную характеристику цепи h(t) по операторной передаточной функции H(p).
Построить график h(t) при изменении времени от 0 до 
При использовании ПК
рекомендуется выбирать tmin= 1 нс, а время tmax - таким,
чтобы было чётко видно установившееся значение h(t). Обычно, tmax=
0,1…5 мс. По рассчитанному графику переходной характеристики цепи h(t)
определить период свободных колебаний Tсв и частоту свободных
колебаний fсв (ωсв=2πfсв),
а также декремент затухания 
=h(t1)/h(t1+Tсв),
где t1 - значение времени при максимальном значении переходной
характеристики (h(t1)=max h(t)).
. Получить
выражения для комплексных спектральных плотностей напряжения на входе U1(jω)
и выходе U2(jω)
цепи, если на вход поступает прямоугольный видеоимпульс напряжения с амплитудой
U и длительностью tи (рис. 1.1,а). Рассчитать и построить график
спектральной плотности амплитуд напряжения |U1(jω)|
прямоугольного импульса, у которого амплитуда U=1 В, а
длительность равна tи=3,6∙Tсв/N, мс. Также
построить графики АЧХ=|H(jω)| и спектральной
плотности амплитуд напряжения на выходе цепи |U2(jω)|=|U1(jω)|∙|H(jω)|.
Графики строить в интервале частот 0
0 с
шагом 0,2ω0, где ω0=2π/tи.
. Найти реакцию
цепи u2(t) при воздействии на ARC-цепь периодической
последовательности прямоугольных видеоимпульсов (рис. 1.1,б).
=1 В,
n=6, T=0,1(N+M)π, мс
Рис. 1.1
Таблица 1.1
|
Вариант
|
|
Номер гармоники
|
|
|
к
|
0
|
1
|
2
|
3
|
4
|
5
|
6
|
|
|
Ur1
|
0,167
|
0,318
|
0,274
|
0,212
|
0,138
|
0,063
|
0
|
|
Д
|
6
|
|
-
|
|
|
|
|
|
-
|
Решение
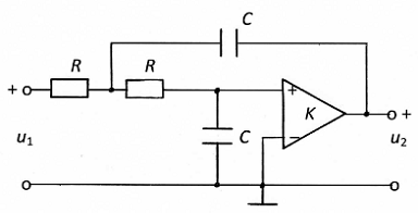
В соответствии с номером варианта Д
и значением N=1 М=5 выбираем схему расчета
Рисунок 1.2 -Схема цепи
|
№
|
Схема ARC-цепи
|
Параметры
|
2
R=
10M кОм С= 
нФ
К= 2,54
Вычисляем параметры цепи:= 50 кОм, С
= 2нФ.
.Определим операторную функцию цепи.
Составим схему замещения цепи, заменив
усилитель напряжения управляемым напряжением (ИНУН) (рисунок 1.3).
Рис.1.3 Эквивалентная схема
замещения ARC-цепи.
Операторная передаточная функция
будет равна:
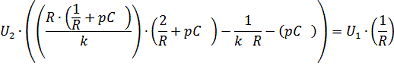
Составим уравнения узлов по методу
узловых напряжений:

Выразим напряжение 
через напряжения 
и 
из уравнения (2):

Перенесем слагаемые с 
в правую часть
уравнения, а слагаемые с 
оставим в левой части,
предварительно вынеся 
за скобки:
Выразим отношение 
:
Разделим числитель и
знаменатель на 
, окончательно получим
выражение для передаточной функции первого звена фильтра:
где

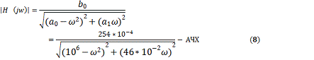
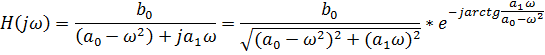
3. Получим комплексную передаточную
функцию цепи по найденной операторной функции цепи.
Комплексная функция цепи находится
путем замены р -> jω:
АЧХ цепи отражается модулем
комплексной функции, а ФЧХ -аргументом:
Используя прикладную программу
FASTMEAN построим графики АЧХ и ФЧХ цепи. Схема модели представлена на рисунке
1.4.
Рисунок 1.4 - Схема модели в программе
FASTMEAN
Графики АЧХ и ФЧХ представлены на
рисунке 1.5 (АЧХ - верхний рисунок, ФЧХ - нижний рисунок.
Рисунок 1.5 АЧХ и ФЧХ цепи
С помощью электронной
линейки по графику АЧХ получено значение квазирезонансной частоты fкрез=1,500
кГц. АЧХ(fкрез)=5,7. ФЧХ(fкрез)=75,6°. Определены
граничные значения амплитудно-частотной характеристики: |H(0)|=2,7; |H(
)|=0.
4. Определим переходную
характеристику цени по найденному операторному выражению.
т.е.
Рисунок 1.6 График переходной
характеристики в FASTMEAN
Используя график переходной
характеристики, находим период свободных колебаний, частоту и декремент
затухания:
t1=0,321 мкс; h1=|h1(t1)|=3,749
t2=0,964 мкс; h2=|h2(t2)|=2,813
период колебаний:
частота колебаний:
декремент затухания:
.Нахождение спектральной плотности
входного сигнала
Импульсный сигнал задается
выражением:

Где 
Рассчитаем 
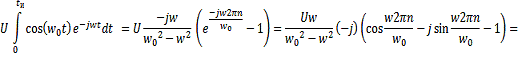
Воспользуемся прямым
односторонним преобразованием Фурье:
Проинтегрируем по
частям:
Повторно проинтегрируем
по частям:
Приравняем части,
выделенные жирным цветом, и перенесем слагаемые с интегралом в левую часть:
Преобразуем левую часть:

Подставив верхний и
нижний пределы, получим:
Окончательно выразим:
Для удобства расчетов
возьмем фазу 
Приведем к виду 
:
Мы получили выражение
спектральной плотности входного сигнала. Выделим его составляющие:
Возьмем n=10, подставим
численные данные и построим графики:
Рис. 1.7 График
спектральной плотности амплитуд входного сигнала
Рис. 1.8 График
спектральной плотности фаз входного сигнала
Нахождение спектральной
плотности выходного сигнала
Спектральная плотность
выходного сигнала находится как произведение спектральной плотности входного
сигнала на ОПФ цепи.
В нашем случае:
Спектральная плотность
амплитуд выходного сигнала находится как произведение спектральной плотности
амплитуд на АЧХ всей цепи.
Спектральная плотность
фаз выходного сигнала находится как сумма спектральной плотности фаз входного
сигнала и ФЧХ всей цепи.
Все коэффициенты и
значения берутся из рассчитанных выше пунктов.
Рис. 1.9 График
спектральной плотности амплитуд выходного сигнала
Рис. 1.10 График
спектральной плотности фаз выходного сигнала
. Найдём реакцию цепи
при подаче на её вход последовательности прямоугольных видеоимпульсов
напряжения (см. рис. 1.1, б). Пусть период следования импульсов равен T
0,1(M+N)π
0,1(3+2)π
0,5π мс,
а скважность Q
3. При таком значении
скважности в ряду Фурье для воздействия будут отсутствовать третья и шестая
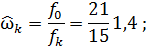
гармоники (см. табл. 1.3). Частота первой гармоники равна 
4∙

. Тогда напряжение на
входе цепи запишется с учётом данных табл. 1.3 в следующем виде:
1(t)

0,333
0,551∙cos(4∙103t-60°)

0,276∙cos(8∙103t-120°)

0,138∙cos(16∙103t-60°)

0,110∙cos(20∙103t-120°),
В.
Реакция цепи u2(t)
на периодическое воздействие u1(t) есть сумма реакций на
гармонические составляющие этого воздействия:
k2
= Uk1∙|H(jkω1)|;

= 
+ ϴ(kω1).
Выражения для АЧХ и ФЧХ
получены ранее:
Вычислим значения АЧХ и
ФЧХ на частотах гармоник входного напряжения.
При ω

ω1

4 ∙103,

:
При ω

ω1

∙103, 
:
При ω

ω1

∙103, 
:
При ω

ω1

∙103, 
:
Примечание. При
вычислении значений ФЧХ для четвёртой и пятой гармоник использовалась формула:
На выходе ARC-цепи
амплитуда k-й гармоники изменяется в |H(jk𝜔1)|
раз, а начальная фаза - на величину ϴ(kω1).
Тогда напряжение на выходе ARC-цепи равно:
2(t)
0,333∙0
0,551∙0,288∙cos(4∙103t
60°
172°)

0,276∙1,473∙cos(8∙103t
159,1°)

0,138∙7,261∙cos(16∙103t
°

∙5,618∙cos(20∙103t
°
°)

0,159∙cos(4∙103t
112°) 
0,407∙cos(8∙103t
39,1°)

1,002∙cos(16∙103t
1,7°) 
0,618∙cos(20∙103t
87°), B.
На рис. 1.7 представлены
графики спектров амплитуд и фаз входного (а) и выходного (б) напряжений.
а)
б)
Задание 2. Расчёт
LC-фильтра
линейный электрический цепь фильтр
Рассчитать двусторонне нагруженный
LС-фильтр, полагая, что его элементы имеют пренебрежимо малые потери.
Исходные данные.
Код выполнения для варианта Б- 21.
Следовательно, фильтр верхних частот (ФВЧ) с характеристикой Баттерворта
Исходные даны для расчёта ФВЧ с
характеристикой Баттерворта:0 =17,0 дБ -минимально допустимое
рабочее ослабление (затухание) в полосе задерживания;0=4,5M
кГц=21кГц- граничная частота полосы пропускания для ФВЧ;k=3M
кГц=15кГц- граничная частота полосы задерживания для ФВЧ;
∆a=3 дБ - неравномерность
характеристики ослабления;1=100N Ом=100 Ом -внутреннего
сопротивления источника на входе фильтра.
Решение.
В работе необходимо выполнить расчет
LC-фильтра верхних частот удовлетворяющего равноволновой характеристике
Баттерворта. При этом в полосе задержания затухание не должно быть меньше aQ=17дБ.
В полосе пропускания - неравномерность ослабления должна быть не хуже ∆a=3
дБ
При расчете LC фильтров используют
методику, основанную на расчете низкочастотного фильтра прототипа (ФПНЧ), с
последующим преобразованием его к требуемому виду. Воспользуемся данной
методикой при расчете требуемого фильтра верхних частот.
В начале определяется порядок ФПНЧ:
Где 
- нормированная частота
для ФВЧ.
Подставляем исходные данные и
вычисляем необходимый порядок фильтра:
Примем порядок фильтра n=6.
Для ФПНЧ порядка п = 6 схема будет
иметь вид, представленный на рисунке 2.2.
Данному порядку фильтра и виду
характеристики по справочникам выбирают нормированные значения элементов. Так
для фильтра 6-го порядка с характеристикой Баттерворта нормированные
коэффициенты имеют следующие значения:
|
n
|
6
|
|
|
0,5176
|
|
|
1,4140
|
|
|
1,9320
|
|
|
1,9320
|
|
|
1,4140
|
|
|
0,5176
|
|
|
1,0000
|
Выполняем переход от ФПНЧ к
требуемому по заданию ФВЧ. Для этого необходимо на схеме ФПНЧ выполнить замену
емкостей на индуктивности, и наоборот согласно таблице 2.1. В результате
реальная схема ФВЧ примет вид представленный на рисунке 2.3.
Таблица 2.1- Преобразование
элементов ФПНЧ в ФВЧ
|
Элемент ФПНЧ
|
Элемент фильтра
|
Тип фильтра
|
|
|
|
|
ФВЧ
|
|
|
|
|
Для вычисления
номинальных значений параметров, т.е. значений соответствующих заданным
величинам внутреннего сопротивления генератора 
и частоты 
, следует
воспользоваться формулами:
Вычисляем параметры номинальных
элементов ФВЧ:
находим нормированные значения
элементов фильтра:
вычисляем номинальные значения
элементов:
Вычислим величину затухания на
границе полосы задержания. Величина ослабления определяется по аналогичному выражению,
которое было использовано при расчете порядка фильтра:
Для построения качественного графика
воспользуемся программой моделирования FASTMEAN. Схема модели фильтра
представлена на рисунке 2.4. В результате анализа частотной характеристики
фильтра была получена АЧХ представленная на рисунке 2.5.
По АЧХ фильтра видим, что ожидаемое
ослабление составит не менее в полосе задержания.
На рисунке 2.6 представлена
результирующая схема ФВЧ, а в таблице 2.2 - значения элементов фильтра.
Таблица 2.2 Номиналы элементов
фильтра
|
R1,Ом
|
С2„ мкФ
|
12,мГн
|
С3, мкФ
|
L4,мГh
|
С5, мкФ
|
L6, мГн
|
R2, Ом
|
|
100
|
146,5
|
536,2
|
39,2
|
392,4
|
53,0
|
1464,9
|
100
|
Список использованной литературы
1. Белецкий А.Ф. Теория линейных электрических цепей: Учебник. 2-е
изд. - СПб.: Издательство «Лань», 2009. - 544 с.
. Бакалов В.П., Дмитриков В.Ф., Крук Б.И. Основы теории цепей:
Учебник для вузов; Под редакцией В.П. Бакалова. 3-е изд. - М.: Горячая линия -
Телеком, 2009. - 596 с.