Сблокированный 2-х квартирный дом
МИНОБРНАУКИ
РОССИЙСКОЙ ФЕДЕРАЦИИ
Федеральное
государственное бюджетное образовательное учреждение высшего профессионального
образования «Санкт-Петербургский государственный инженерно-экономический
университет
Филиал
федерального государственного бюджетного образовательного
учреждения
высшего профессионального образования
«Санкт-Петербургский
государственный инженерно-экономический университет» в городе Твери
КУРСОВАЯ
РАБОТА
по
дисциплине: «Здания и сооружения»
Тема:
«Сблокированный 2-х квартирный дом»
Выполнила:
Капустина Е.Ю.
Руководитель:
Илимер Е.И.
Тверь 2012
Содержание
Введение
Глава 1. Конструктивное решение
здания
.1 Основания и фундамент
.2 Возведение стен
.3 Утеплители для кирпичных стен
.4 Перекрытия и полы
.5 Крыша и кровельные материалы
.6 Лестницы
Глава 2. Характеристика
проектируемого здания
.1 Объемно-планировочное решение
.2 Теплотехнический расчет
.3 Инженерное оборудование
.4 Инновации в строительстве
малоэтажных домов
Заключение
Библиография
Введение
строительство дом кирпич инженерный
За последние десятилетия в Российской Федерации
возникли совершенно новые политические, экономические, социальные условия,
которые привели не только к появлению принципиально новых проблем жилищного
строительства, но и обострению уже существующих проблем.
Много споров идет о том, выгодно или нет
географическое положение города Тверь. С одной стороны, нельзя не признать, что
место города ‒ между Москвой и
Санкт-Петербургом ‒ крайне выгодно в
экономическом плане. Тверь невольно стала крупным транспортным узлом,
пересечением многих туристических и гастрольных маршрутов. С другой стороны,
близость к столицам создает немалые сложности, поскольку оба мегаполиса
оттягивают на себя людской, финансовый, а, в конечном счете, и экономический
потенциал Твери.
Город занимает территорию 147 кмІ. Он расположен
в 167 км от Москвы и в 485 км от Санкт-Петербурга. Климат
умеренно-континентальный: средняя температура января ‒
9,6 єС, июля +18,2 єС, среднее годовое количество осадков ‒
593 мм. Тверь находится на берегах рек Волга, Тверца, Тьмака, Соминка.
Современная территория города включает ряд естественных лесопарков:
Комсомольскую, Первомайскую, Бобачевскую и Березовую рощи и Сахаровский парк.
Совсем недавно на российском рынке недвижимости
появился новый тип жилья ‒ сблокированные
жилые дома (таунхаусы). Современный рынок недвижимости Твери представляет
различные форматы такого жилья. Причем некоторые их названия совсем для нас
непривычны, к примеру - квадрохаусы, лейнхаусы и т.д. Условно все форматы
загородной жилой недвижимости разделяют на 2 категории: отдельно стоящие дома -
это усадьбы, коттеджи, виллы и сблокированные дома ‒
дуплексы, таунхаусы, твинхаусы и т.д. Каждый из них имеет свои характеристики,
достоинства и недостатки.
Сблокированный жилой дом на два хозяина
популярный формат недвижимости на нашем рынке. Сюда относят дуплексы или
твинхаусы. Дуплексы или твинхаусы - это дома площадью 100-300 кв. метров,
разделенные на две равные части, имеющий отдельный вход. Дуплексы достаточно
разнообразны и очень удобны для нескольких поколений одной семьи. Но зачастую в
таких домах по соседству живут чужие люди. Стоит такой дом немного дешевле
отдельного коттеджа.
Количество жилых сблокированных домов в Тверской
области постоянно растет, это говорит о постоянно растущем спросе на такой вид
жилья. Это удобный, комфортабельный и экономичный тип жилья для людей среднего
и высокого класса.
Содержание такого дома будет обходиться
несколько дороже по сравнению с городской квартирой. Здесь люди обычно платят
за всю имеющуюся инфраструктуру, поддержку в рабочем состоянии всех инженерных
конструкций строения и многое другое. Но объединившись в товарищества можно
существенно снизить затраты и платить только за действительно важные и нужные
объекты.
Цель курсовой работы ‒
проектирование 2х-квартирного жилого дома (дуплекса) эконом-класса.
Задачи, которые необходимо решить в процессе
создания проекта:
‒ рассмотреть конструктивные
решения здания, и найти наиболее подходящий вариант для данного проекта;
‒ рассмотреть объемно-планировочное
решение дома, а также рассчитать коэффициент целесообразности здания и нормы
освещенности в помещениях;
‒ рассчитать теплотехнические
показатели;
‒ приобрести навыки по чтению и
выполнению строительных чертежей.
Глава 1. Конструктивное решение здания
При проектировании зданий и сооружений следует
применять такие конструктивные решения, которые в максимальной степени отвечали
бы требованиям экономичности и индустриализации строительства. При этом должны
быть учтены местные условия строительства ‒
климатические, инженерно-геологические, сейсмические, экологические. На выбор
материалов для строительства оказывает возможность использования местных
материалов, заполнителей (щебня, гравия, песка) для бетона, а также наличие и
возможности местных предприятий стройиндустрии, оснащенность строительства
машинами, энергией, водой, наличие различных коммуникаций, особенно
транспортных.
Основным конструктивным решением является
каркасное с ограждающими панелями. Все основные нагрузки в таких зданиях передаются
на каркас, состоящий из колонн, стропильных, подстропильных и других
конструкций, выполняемых преимущественно из железобетонных и стальных
элементов. Применяются решения и с неполным каркасом, в котором вместо крайних
рядов колонн предусматривают несущие каменные или кирпичные стены (обычно с
пилястрами). В зданиях с мостовыми кранами применяют колонны с консолями для
подкрановых балок. На колонны поверху опирают ригели каркаса, представляющие
собой стропильные балки, фермы, арки. По стропильным балкам укладываются панели
покрытий. Колонны понизу жестко закрепляют в фундаментах.
.1 Основания и фундамент
Первое, что определяет выбор типа фундамента ‒
это грунт, его состав, свойства, характер грунтовых вод. Идеальный вариант ‒
природная каменная насыпь под домом, однако такое бывает редко. Хорошо, когда
грунт состоит из крупного однородного песка, без линз торфа или крупных
валунов, а грунтовые воды расположены низко. В этих случаях при правильно
распределенной нагрузке фундамент даст равномерную осадку и не будет в
дальнейшем испытывать от грунта сильных нагрузок. Плохо, когда песок
мелкозернистый и пылевидный, с примесью глины ‒
такой грунт часто обладает свойствами плывуна, а зимой подвержен морозному
пучению. Глинистые грунты (глины, суглинки, супеси) в сухом состоянии служат
надежным основанием, но при обилии воды становятся текучими, а зимой, промерзая
более чем на метр, насыщенный влагой глинистый грунт с огромной силой давит на
конструкцию фундамента, выталкивая их вверх и в стороны.
При большом различии инженерно-геологических
условий площадок строительства на территории РФ, а также разнообразии
конструкций зданий и сооружений, применяемых в массовом строительстве,
используются в основном фундаменты мелкого заложения на естественном или
искусственно преобразованном основании и фундаменты глубокого заложения.
Рис. 1. Фундаменты мелкого заложения [7]
Рис. 2. Фундамент глубокого
заложения [7]
К фундаментам мелкого заложения
(рис. 1) относятся стобчатые, ленточные и плитные фундаменты [1, стр.40]:
‒ ленточный фундамент - это идущая по
периметру всего строения полоса (лента) из железобетона, которая проходит и под
внутренними и под наружными стенами, при этом сохраняя неизменную форму
поперечного сечения. Подобный вид фундамента целесообразен в строительстве
зданий с тяжелыми перекрытиями и со стенами из камня, кирпича или бетона.
Рекомендуется закладывать ленточный фундамент глубже границы промерзания, но,
не превышая 70 сантиметров от уровня земли. Толщина фундамента находится в
зависимости от силы давления, оказываемого на него возводимым зданием;
‒ столбчатый фундамент ‒ система
столбов, установленных по углам, в точках пересечения стен и прочих местах с
выраженной высокой нагрузкой. Считается одним из надежных и экономичных, но
применим при возведении легких строений из дерева. Столбы, изготовленные из
бетона, камня или кирпича устанавливаются на расстоянии в 1,5 - 2,5 метрах друг
от друга, а пространство между ними заполняется песком или щебнем. В целях
сохранения тепла дополнительно столбы соединяются стенкой (забиркой) из кирпича
толщиной до 20 см. Следом накладывается толстый слой железобетона или бетона.
Применяется такой фундамент в домах, где не планируется подвал и где грунт не
склонен к подвижкам;
‒ свайный фундамент - это
конструкция, в основе которой используются сваи, или столбы с острыми
окончаниями, которые при помощи специального оборудования вбиваются или
вкручиваются в грунт до вхождения их в твердый и малоподвижный пласт земли.
Каждая свая рассчитана на нагрузку от двух до пяти тонн. В верхней части сваи
объединяются в жесткую конструкцию с помощью балок. Свайный фундамент
максимально эффективен при крупногабаритном строительстве, там, где верхний
слой грунта мягкий и не выдерживающий высокого давления.
Фундаменты глубокого заложения (рис.
2), как правило, применяются в случае необходимости прорезки слабых грунтов или
для сооружений, передающих на основание значительные нагрузки. Такие фундаменты
можно охарактеризовать следующими особенностями:
‒ для их устройства не обязательно
вскрытие котлована;
‒ отношение глубины заложения подошвы
или погружения свай к ширине фундамента (сваи) более 4;
‒ нагрузка на основание передается
через подошву (давлением) и боковые поверхности (трением).
В качестве материала для фундаментов
наиболее часто применяют железобетон, бетон, каменные материалы. В качестве
рабочей арматуры, как правило, используют горячекатаную арматурную сталь класса
А-III. Фундаменты могут выполняться в монолитном варианте непосредственно на
строительной площадке или в сборном варианте из заранее изготовленных на заводе
элементов. Стоимость железобетонных конструкций здания, включающих устройство
фундаментов, ростверков, фундаментных балок, силовой плиты пола составляет
16-30% от сметной стоимости строительства.
Чтобы в стены дома не проникала
грунтовая влага, устраивается гидроизоляция фундамента. Выполняя гидроизоляцию
фундамента в каменных и кирпичных домах, гидроизоляцию кладут обычно на высоте
15-25 см от уровня земли. Если полы кладут на балки, то гидроизоляция
фундамента должна быть на 5-15 см ниже их. Гидроизоляцию фундамента можно
провести следующими способами [9]:
‒ Кладут слой цементного раствора
(2-3 см) состава 1:2, выравнивают, железнят, сушат. Стелют один слой рубероида.
‒ Кладут 2-3 слоя мастики. Горячую
мастику наносят слоями (общая толщина 7-10 мм).
‒ Настилают насухо 2 слоя гидроизола
с нахлестом не менее 150 мм.
Верх фундамента покрывают битумной мастикой и
наклеивают на нее первый слой гидроизола, который вновь покрывают мастикой, и
наклеивают второй слой.
Для проектируемого дома необходимо применить
устройство ленточного фундамента, а также провести гидроизоляцию фундамента,
чтобы в стены дома не проникала грунтовая влага.
.2 Возведение стен
Материал, который сегодня предлагается на рынке
для возведения стен, может быть разным - это зависит в первую очередь от вкуса
хозяина и тех средств, которые он решил вложить в строительство. Использовать
можно дерево, кирпич, блоки и панели из бетона, природный камень.
Несмотря на появление большого количества
современных материалов, при строительстве малоэтажных индивидуальных домов,
кирпич используется наиболее часто. Хорошо развитая производственная база,
высокие эксплуатационные характеристики (долговечность и прочность),
возможность создания сложных архитектурных форм и декоративных деталей при
кладке стен, а также соображения престижа обеспечили этому материалу огромную
популярность.
Кирпич ‒
наиболее прочный и долговечный строительный материал. Он с успехом противостоит
воздействию окружающей среды, зависящей от климатических особенностей района
(дождь, снег, ветер и т. д.). Наибольшее распространение получили два типа
кирпича: керамический (глиняный) и силикатный, производимый из
известково-песчаной смеси с различного рода добавками.
Для того чтобы дом был крепким и служил долго,
помимо использования качественного кирпича необходимо соблюдать определенные
правила кладки. Одно из них ‒ перевязка,
смещение вертикальных швов. При возведении стен применяют цепную однорядную
кладку, последовательно чередуя тычковые и ложковые ряды. В тычковом ряду
кирпичи уложены длинной стороной поперек стены, а в ложковом ‒
вдоль стены. При многорядной системе пять ложковых рядов перевязаны тычками. В
первом (нижнем) и последнем (верхнем) рядах кладки стен и столбов (под опоры
балок и прогонов) всегда укладывают тычковые ряды.
Рис. 3. Однорядная система перевязки (цепная): 1
‒
тычковый ряд; 2 ‒ ложковый ряд [8]
Для заполнения внутреннего пространства стены
применяют плитный утеплитель (из арболита, фибролита, минеральной ваты, легкого
бетона и других материалов). Его крепят с помощью деревянных реек, прибитых к
пробкам, заложенным в кладку. При расчетной температуре воздуха -30 °С и
толщине стены в полтора кирпича для необходимой теплоизоляции утеплитель должен
быть толщиной 8 см. При кладке из пустотелого кирпича достаточна толщина стены
в 25 см, то есть в один кирпич.
При строительстве малоэтажных жилых домов,
коттеджей ведут облегченную кладку с горизонтальными диафрагмами, состоящую из
двух стенок в полкирпича и утеплителя между ними. Связующими являются тычковые
ряды через два-пять рядов кладки. Внутренние несущие стены здания могут иметь
толщину 25 см. Перегородки выкладывают в полкирпича или в четверть. Если
перегородка длиною более 1,5 м, ее армируют стальной проволокой.
Для того чтобы уменьшить расход материала, а
вместе с тем облегчить нагрузку на фундамент и придать конструктивную жесткость
наружной стене, используют колодцевую кладку (две параллельные стены соединены
между собой поперечными перегородками). Пустующие пространства, так называемые
колодцы, заполняют эффективными утеплителями или менее дорогими составами
[шлак, керамзит, песок, смешанный с опилками и известью-пушонкой в соотношении
1:4:1). В завершение делают три ряда сплошной кладки с армированной сеткой в
последнем. Такие стены не только хорошо защищают строение от проникновения
холодного воздуха снаружи, но и не выпускают тепло изнутри.
Сплошная кладка наружных стен допускается с
системой полной перевязки вертикальных швов, как в каждом ряду, так и через
два, три или шесть рядов. При чередовании только первого и второго получается
однорядная перевязка швов, если же после второго ряда уложить третий, снова
второй, затем первый и т. д., то получится трехрядная перевязка. Для усиления
прочности в горизонтальных швах через три-пять рядов, укладывают арматурную
сетку с шириной ячейки 6-12 см. С этой же целью применяют трехрядные кирпичные
диафрагмы через пять-семь рядов, целые кирпичи кладут на раствор с нижней и
верхней стороны, обеспечивая их прочное связывание. Прутки нуждаются в защите
от ржавления. Для этого в засыпке кельмой выбирают борозды глубиной и шириной
3-4 см. Такой же ширины, но длиной 5-6 см делают борозды около стен. И те, и
другие заполняют цементным раствором так, чтобы укладываемая арматура утопала в
нем наполовину или полностью.
Рис. 4. Кирпичная стена 1-4 ‒
ряды кладки; 5 ‒ поперечная стенка;
6 ‒
раскладка кирпича; 7 ‒ заполнение
утеплителем; 8 ‒ растворная постель
[8]
Перегородки, разделяющие жилой дом на отдельные
помещения (кухня, столовая, спальня, санузлы и т. д.) бывают в полкирпича ‒
12 см или кирпич на ребро ‒ 6,5 см.
Если длина перегородки толщиной 6,5 см превышает 1,5-1,7 м, то ее желательно
также армировать проволочной сеткой.
Параметры кирпичной стены:
Толщина стены ‒
в 1 кирпич ‒ 25 см, в 1,5 кирпича ‒
38 см, в 2 кирпича ‒ 51 см, при
температуре воздуха выше 30 єС ‒ 64 см, т.е.
2 Ѕ кирпича;
Прочность на сдавливание в строительстве
малоэтажных домов ‒ 100-125 кг/смІ;
Предел огнестойкости кирпичной стены в один
кирпич ‒
5,5 часов;
Водопоглощение ‒
не менее 0,6 % от массы кирпича;
Радиактивность ‒
370 Бк / кг (ГОСТ 530-95);
Акустическая изоляция ‒
46 дБ;
Предел огнестойкости стены ‒
1-я степень;
Морозостойность ‒
15-50 Мрз;
Кирпичный дом ‒
это не только добротное строение, конструкция и материал стен которого
позволяет использовать для оформления фасада и внутренней отделки весь
имеющийся на сегодняшний день спектр отделочных материалов, но и самый дорогой
вариант индивидуального дома. В начале текущего строительного сезона стоимость
возведения коробки дома (без внутренней отделки) составляла 250-350 у.е./м2.
Следует быть готовым к тому, что за один сезон завершить строительство и
внутреннюю отделку дома не удастся. Разделить процессы возведения коробки и
внутренней отделки полезно и с той точки зрения, что вновь выстроенный дом
может после первой зимы дать осадку, что приведет к повреждению дорогостоящей
отделки.
Проектируемый кирпичный дом снаружи
оштукатуривается, окрашиваются и украшается декором: цоколь ‒
декоративным камнем, стены ‒ частично
облицовочным кирпичом.
.3 Утеплители для кирпичных стен
Утепление стен кирпичного дома - это очень
важный этап подготовки здания к зимним условиям эксплуатации. Помимо создания
комфортных условий проживания в помещении, качественно сделанное утепление стен
кирпичного дома даст ощутимую экономию финансов на оплате отопления.
Сегодня существует несколько способов утепления
дома. Наиболее популярным и практичным является наружный способ утепления
строения. Этот способ позволяет утеплять не только новые здания, но и с успехом
применять эту технологию на старых строениях. При возведении строений можно
использовать способ устройства трехслойной ограждающей конструкции, в среднем
слое которой располагается утеплитель. Такой способ дает максимальный эффект по
сохранению тепла, но этот вариант приемлем только при строительстве нового
здания. Для такого способа утепления кирпичных стен здания отлично подходит
плиточный минеральный утеплитель, сделанный на основе базальта.
Еще один способ утепления стен ‒
в заранее подготовленную опалубку заливается слой жидкого пенопласта. Этот
материал очень экологичен, не впитывает влагу, не подвержен возникновению
плесени и грибка.
В домах, где были произведены работы по
утеплению, значительно уменьшаются расходы на отопление, снижается риск
образования грибка и плесени на наружных стенах, повышается звукоизоляция
строения. Теплоизоляционные качества стен здания зависят от толщина стен и
коэффициента теплопроводности. Значительную роль в обеспечении комфортных
условий играет и параметр влагопоглощения материала.
Каменная вата
Самым распространенным и недорогим
теплоизоляционным материалом для утепления стен кирпичного дома является
экологически чистая каменная вата, изготовленная в виде плит с размерами 0,6х
1,0м. Грамотное использование этого материала экономит до 50 процентов тепловой
энергии, расходуемой на отопление здания. Каменная вата очень широко
применяется в настоящее время в строительстве при утеплении всего сооружения.
Этот материал прошел все необходимые испытания и экспертизы, подтверждающие его
эффективность и безопасность использования.
Минеральная вата
Работы по утеплению здания проводятся в летний
период, в отсутствие осадков. На стены строения закрепляется утеплитель из
минеральной ваты большой плотности, изготовленный в виде плит. Утеплитель
монтируется на стену с помощью специального крепежа или клея. После этого при
помощи шпаклевок и армирующей сетки выравнивают поверхность, которую
впоследствии окрашивают. Такой метод имеет очень высокое качество утепления
всего дома, включая даже самые мелкие детали, что препятствует проникновению
холодного воздуха. Минусом этого варианта утепления является высокая стоимость
минеральной ваты, т.к. для такой системы требуется материал большой плотности,
значительные затраты на крепеж, клей, шпатлевки и окрасочные материалы.
Вентилируемые фасадные системы
Более дешев и практичен вариант утепления
ограждающих конструкций с последующим монтажом сайдинга или вентилируемого
фасада, который придаст зданию совершенно другой облик, сделает его нарядным и
красивым. Установка вентилируемых фасадных систем - это один из современных
способов утепления зданий. Такая система состоит из минераловатного утеплителя,
декоративно-защитной облицовки из керамогранита и сборный каркас для крепления
фасадных элементов. На наружную стену здания крепится слой плиточной
минеральной ваты, затем устанавливаются вертикальные несущие металлические
профили и на них закрепляется облицовочные элементы. Между минеральным
утеплителем и облицовкой остается зазор, где происходит движение воздуха,
создающее условия для испарения выделяемого конденсата. Такой конструкцией
достигается разница температур между внутренним зазором и улицей, за счет
которой создается воздушная завеса. Смонтированная таким образом система
обеспечивает надежную теплоизоляцию и защиту здания от капризов погоды, снижает
потери тепла, увеличивает срок службы всего здания. К тому же система
вентилируемого фасада имеет достаточно большой срок эксплуатации ‒
не менее 50 лет.
Полистирол
При проектировании сблокированного дома в
качестве одного из наиболее эффективных теплоизоляторов будет использоваться
полистирол. Этот материал в современном строительстве стал незаменимым
изолирующим материалом для утепления ограждающих конструкций. Полистирол
абсолютно инертен к воздействию влаги и не подвержен воздействию грызунов.
.4 Перекрытия и полы
Перекрытия ‒
важнейшая часть дома, одновременно выполняющие несущие и ограждающие функции,
которые связывают между собой вертикальные несущие конструкции (стены),
обеспечивая устойчивость строения. В зависимости от места расположения и
назначения перекрытия подразделяются на подвальные (отделяющие подвал от
первого этажа), цокольные (отделяющие фундамент от первого этажа), междуэтажные
(если в доме более одного этажа) и чердачные (отделяющие чердак от жилого
помещения). Требования к перекрытиям очень высоки ‒
они должны быть жесткими, прочными, огнестойкими, обладать высокой тепло- и
звукоизоляцией.
Рис. 5. Перекрытия по железобетонным балкам
(размеры в мм): А ‒ с межбалочным
заполнением в виде легкобетонных плит; Б ‒
с заполнением межбалочных пустот пустотелыми легкобетонными блоками; 1 ‒
балки железобетонные; 2 ‒ легкобетонные
плиты; 3 ‒ пустотелые блоки; 4 ‒
цементный раствор; 5 ‒ засыпка шлаком
(песком); 6 ‒ звукоизоляционная прокладка
(оргалит); 7 ‒ лага; 9 ‒
толь; 10 ‒ шлакобетон; 11 ‒
пол из линолеума на мастике; 12 ‒
дощатый пол[5]
Самый распространенный способ
устройства перекрытия между этажами, это железобетонные плиты заводского
изготовления. Такие плиты легко укладываются на стены при помощи крана, создают
прочное перекрытие с достаточно высоким коэффициентом шумоизоляции (благодаря
структуре плиты с полыми каналами внутри). Кроме того, такие плиты
рекомендуется укладывать над широкими пролетами, т.к. главная опора плиты ‒ 4 крайних
точки, и она не требует дополнительных подпор и стоек посредине. Плиты
перекрытия изготавливаются разных типоразмеров, длиной от 1,5 до 12 метров.
Благодаря полым каналам внутри плиты можно проложить электропроводку
<#"696515.files/image006.gif">
Рис. 6. Основные типы крыш 1 ‒
односкатные; 2 ‒
двухскатные; 3 ‒ вальмовые;
4 ‒ шатровые; 5
‒ многощипцовые;
6 ‒ мансардные
[6]
Несущие конструкции крыши
В чердачных крышах малоэтажных домов
несущими конструкциями являются, как правило, деревянные стропила или
стропильные фермы. Крыши с наклонными стропилами устраиваются в домах, имеющих
средние опорные стены. Такие крыши относительно экономичны и просты в
изготовлении и эксплуатации. Материалом для их изготовления служит круглый лес
диаметром 15-20 см, доски толщиной 40-60 мм или клееные балки составного
сечения (с фанерной стенкой). Конструкция стропил определяется с учетом уклона
крыши, длины перекрываемого пролета, сечения стропил и обрешетки, массы
кровельного материала и снегового покрова, ветровой нагрузки, расстояния между
стропилами [7].
Висячие стропила или стропильные
фермы в малоэтажном домостроении применяются относительно редко. Они более
сложны в производстве и требуют тщательного изготовления узлов, особенно
затяжек. При неправильном выполнении висячих стропил или ферм горизонтальная
сила (распор) может опрокинуть стены. К достоинствам висячих стропил следует
отнести их способность перекрывать пролеты более 6 м без промежуточных опор.
Это позволяет в одноэтажных домах не устраивать средних несущих стен и иметь
внутри так называемую свободную планировку квартир. При ширине дома до 7−7,5
м такое решение может быть целесообразно и по экономическим соображениям.
В домах с квартирами в двух уровнях
стропильные фермы с промежуточной опорой позволяют более полно использовать
чердачное пространство. В этом случае затяжка входит в состав междуэтажного
перекрытия.
Для изготовления стропильных ферм
используются чаще всего доски или брусья. Круглый лес для этой цели менее
пригоден: при врубках значительно усложняются соединения, узлы и крепежные
детали. Сечения стропил, прогонов и подкосов можно определить по таблицам,
которые даны для балок перекрытий и наклонных стропил.
Фермы из досок с гвоздевым
креплением элементов можно изготавливать на месте строительства, фермы с
соединением элементов на металлических зубчатых пластинах изготавливают в
заводских условиях. Использование в стропильных и ферменных конструкциях балок
составного сечения, получаемых склеиванием брусков мелких сечений со стенкой из
фанеры, позволяет не снижая необходимой несущей способности уменьшить стоимость
конструкций крыш до 10 %, расход пиломатериалов до 15 % и массу монтируемых
элементов до 8 %.
Кровля ‒ это верхний
элемент покрытия, предохраняющий здание от проникновения атмосферных осадков и
механических воздействий. Это очень важный элемент здания, от её надежной
службы зависит долговечность и сохранность всего сооружения, включая отделку и
оборудование. Современная кровля ‒ это сложная конструкция,
представляющая собой «многослойный пирог», состоящий из многих компонентов:
пароизоляционной пленки, утеплителя, гидроизоляции, ветрозащиты, кровельного
покрытия и многих других. Правильная конструкция кровли обеспечивает вентиляцию
подкровельного пространства и надежную защиту от теплопотерь и образования
конденсата.
Самыми востребованными видами
кровельных материалов, используемых для реконструкции и возведения зданий
разных назначений, являются мягкая кровля, профнастил и металлочерепица,
которые применяются в зависимости от угла уклона крыши. Данные виды кровли
обладают высокими технологическими и эксплуатационными характеристиками,
изготавливаются в широкой цветовой гамме, разнообразных формах и структурах,
что позволяет строителям реализовывать дизайнерские проекты любой сложности.
Металлочерепица ‒ как
кровельное покрытие, производится из оцинкованной стали, защищенной с двух сторон
полимерным покрытием, которое надежно защищает кровлю от коррозии и различного
рода деформаций, надолго сохраняет стойкость цветов. Цветовая палитра
металлочерепицы очень разнообразна. Такой вид кровли считается самым
экономичным и относительно недорогим. Благодаря таким уникальным свойствам, как
долговечность и надежность, металлочерепица не требует ремонта и не теряет
своего внешнего вида в течение всего срока эксплуатации. Удобство и простота в
обращении, а также небольшой вес (средний вес мІ ‒ 4-5 кг.) и
высокая устойчивость к разным перепадам климатических температур, позволяют
производить монтаж металлочерепицы в любое время года, оптимально сжатые сроки
и с малыми трудозатратами.
Металлочерепицу производят длинной
до 7 метров, но в основном при изготовлении кровли из металлочерепицы
используют листы не длиннее 4,5 метров. Это связано с температурным расширением
металла при изменении температуры окружающей среды. Также на длину листов
влияет удобство при транспортировке, перегрузке, подъеме на крышу, монтаже.
.6 Лестницы
В зависимости от функций и
значимости в объемно-планировочной композиции жилого дома лестницы делятся на:
входные, расположенные снаружи или в заглублении (нише) дома; основные ‒ для
постоянного сообщения между этажами; вспомогательные (например, ведущие в
подвал), а в домах высотой более 10 м ‒ пожарные, обычно расположенные на
фасаде и ведущие на крышу.
Лестницы должны быть удобными и
безопасными, прочными, иметь необходимую пропускную способность (ширину) для
переноса мебели и оборудования, эвакуации людей в экстренных случаях, а также
удовлетворять противопожарным требованиям.
Лестница состоит из двух основных
элементов ‒ площадок и
лестничных маршей. Площадки подразделяются на этажные, (на уровне пола каждого
этажа) и промежуточные (междуэтажные). Марш ‒ это функциональный и конструктивный
элемент, соединяющий две лестничные площадки и опирающийся на них. Он состоит
из ряда ступеней, укрепленных обычно на двух, а иногда на одной наклонной
балке. Если несущие балки расположены под ступенями, их называют косоурами, а
если по бокам (торцам) ступеней ‒ тетивами. Лестничные марши и
площадки должны иметь ограждения с поручнями ‒ перила,
высотой 800-1000 мм.
В зависимости от числа маршей,
соединяющих два смежных этажа, лестницы бывают одно-, двух- или трехмаршевые
(при устройстве лифта или при высоте этажей от 4,2 м). В таунхаусах чаще всего
встречаются одномаршевые прямолинейные или с поворотом и двухмаршевые лестницы.
Горизонтальную плоскость ступени
называют проступью, а расстояние между двумя соседними проступями ‒
подступенком, который равен высоте ступени. По нормам количество ступеней в
одном лестничном марше должно быть не менее 3 и не более 18. Ширина лестничных
маршей, определяемая расстоянием между перилами или между стеной и перилами
должна быть не менее 900 мм, иначе идущим навстречу друг другу людям будет
трудно разминуться. Ширина лестничных площадок должна быть не меньше ширины
марша, а основная (этажная) площадка, кроме того, должна быть достаточно
просторной для удобного расположения дверей.
В кирпичных двухэтажных коттеджах
часто применяются открытые деревянные лестницы, которые красиво вписываются в
интерьер дома, выполняя роль не только коммуникационного, но и
художественно-композиционного элемента. Удобство и красоту лестницам может
придать нижняя начальная ступень, несколько выступающая из общей ширины марша
(например, овальная в плане). На нее часто устанавливают фигурную стойку перил,
более замысловатую по форме, чем те, которые установлены на остальных ступенях.
Рис. 7. Основные виды лестниц [3]
Деревянные лестницы предпочтительнее
делать из дуба, лиственницы или сосны. Деревянные лестницы обычно не требуют
большого фундамента. Внизу всю лестницу прочно опирают на усиленные балки или
плиты перекрытия и закрепляют у конструкций потолочного перекрытия. На доски
пола лестницы крепить нельзя. Косоуры и тетивы делают из досок толщиной 50-70
мм, шириной не менее 200 мм. Проступи из сплошных или двух узких шпунтованных
досок толщиной 30-50 мм, укладывают на треугольные косяки (деревянные,
металлические), прикрепляемые к косоурам, или устанавливают на ступенчатые
вырезы в косоурах. Торцы ступеней остаются открытыми и требуют тщательной
отделки. Подступенки могут быть толщиной 18-25 мм. Доски лучше соединять
шурупами и клеем, поскольку гвоздевое соединение со временем ослабевает.
В тетиве с внутренней стороны делают
врезки-пазы глубиной 20-25 мм по форме ступеней, в которые вставляют проступи и
подступенки. Для удобства изготовления и сборки пазы должны быть прорезаны по
специальному шаблону до нижней или верхней грани тетивы. Можно крепить ступени
к тетивам и с помощью планок, уголков.
Для большей прочности тетивы иногда
стягивают затяжкой ‒ планкой или
стержнем диаметром 12 мм. Ограждение лестниц (перила) выполняют из деревянных
элементов, ставя на каждой ступени с двух сторон (если нет стены) одну или две
балясины произвольной формы: круглые точеные, дощатые с прорезями или другие с
деревянным или пластмассовым поручнем. В зависимости от дизайна интерьера
ограждение лестницы может быть прозрачным, например из плексигласа, или глухим ‒
оштукатуренным или облицованным плиткой. Иногда его делают из звеньев
металлической или деревянной решетки, закрепленной стойками на нижней и верхней
ступеньках. Марши и площадки снизу могут быть открытыми, подшитыми досками или
оштукатуренными.
Глава 2. Характеристика
проектируемого здания
.1 Объемно-планировочное решение
Объёмно-планировочное решение - это
система размещения помещений в здании. Все помещения квартир в соответствии со
СНиП 2.08.01-89 [5] делятся на три группы: жилые комнаты; подсобные помещения ‒ кухня,
передняя (прихожая), внутриквартирные коридоры, ванная или душевая, уборная,
кладовые (или хозяйственные встроенные шкафы); летние помещения ‒ балконы,
лоджии, веранды, террасы и холодные кладовые.
Запроектированный одноэтажный
блокированного дом с мансардой эконом-класса на 2 семьи, имеет общие размеры в
плане 15,60м x 10,10 м. На
первом этаже находится главный вход в дом, прихожая, гостиная, кухня-столовая,
холл и санузел. На мансардном этаже две спальни, ванная и холл. Максимальное
количество жильцов: 4 человека (в 1 блоке).
Площадь застройки: 159,30 мІ, 1
блока: 79,65 мІ.
Площадь жилая: 106,00 мІ, 1 блока:
53 мІ.
Площадь, приходящаяся на одного
жильца: 24,51 мІ.
Строительный объем: 1237,50 мІ, 1
блока: 618,75 мІ.
Объем здания, приходящийся на одного
жильца: 154,69 мІ.
Технология и конструкция:
Строительство дома из силикатного кирпича.
Фундамент: ленточный с
гидроизоляцией
Наружные стены: силикатные кирпичи
640 мм + утеплитель (полистирол).
Перекрытие: сборные ж/б.
Крыша: деревянная стропильная.
Кровля: вентилируемая, покрытие
металлочерепица.
Стены вентканалов: полнотелый
глиняный кирпич.
Двери внутренние: деревянные.
Оконные блоки: пластиковые.
Фасад: утеплитель + минеральная
штукатурка.
Габаритные размеры дома по осям:
15,60 х 9,07 х 10,10 м.
Минимальные размеры участка: 21,60 x
16,10 м.
Объемно-планировочные показатели (1
блока)
|
Наименование
помещения
|
Площадь,
мІ
|
|
1
этаж всего
|
48,5
|
|
Гостиная
|
18,3
|
|
Кухня
|
16,5
|
|
Прихожая
|
4,7
|
|
Холл
|
7,0
|
|
Санузел
|
2,0
|
|
Мансарда
всего
|
47,7
|
|
Спальня
(1)
|
18,3
|
|
Спальня
(2)
|
16,5
|
|
Ванная
|
6,9
|
|
Холл
|
6,0
|
. Коэффициент целесообразности планировки здания
рассчитывается по формуле:
К1 = 
= 
= 0,54
Коэффициент К1 является плоскостным
показателем и характеризует рациональность планировочных решений дома.
Коэффициент К1 находится в следующем пределе: К1 = 0,54ч0,64 => планировка
дома удачная.
. Коэффициент целесообразности
здания рассчитывается по формуле:
К2 = 
= 
= 6,31
Коэффициент К2 является объемным
показателем и характеризует объемно-планировочное решение жилого дома,
показывает, на сколько рационально здание занимает объем площади. Коэффициент
К2 находится в следующем пределе: К2 = 4,5ч10.
. Отношение площади световых проемов
к площади пола освещаемых помещений по требованиям СНиП 2.08.01-89 [8] не
должно превышать 1 ч 5,5 и должно быть не менее 1 ч 8.
В проектируемом доме на 1 этаже
площадь гостиной составляет 18,3 мІ, следовательно:
F св = (0,125
ч 0,182) * 18,3 = 2,29 ч 3,33
Принимаем размер 2-х окон шириной b = 1200 мм,
высотой h = 1500 мм:
F окна =
(1200 * 1500) * 2 =1,8 * 2 = 3,6
‒ соответствует нормам СНиП
Находим площадь светового проема для кухни
(площадь кухни 16,5 мІ):
F св = (0,125 ч
0,182) * 16,5 = 2,06 ч 3
Принимаем размер 2-х окон шириной b
= 1100 мм, высотой h = 1500 мм:
F окна = (1100 *
1500) * 2 =1,65 * 2 = 3,3

= 
= 
‒ соответствует нормам СНиП
.2 Теплотехнический расчет
Район строительства ‒ Тверь
Зона влажности ‒ нормальная
Расчетная зимняя температура, равная
температуре наиболее холодной пятидневки составляет: tн = ‒ 26 єС
Расчетная температура внутреннего
воздуха: tв = 18 єС
Относительная влажность воздуха: 60%
Влажностный режим помещения ‒ нормальный
Уровень эксплуатации в нормальной
зоне влажности: Б
Коэффициент теплопередачи для
внутренних стен:

в = 8,7 Вт/мІ * єС

н = 23 Вт/мІ * єС
Коэффициент, зависящий от положения
наружной поверхности ограждающих конструкций по отношению к наружному воздуху: n = 1
Нормативный температурный перепад между температурой
внутреннего воздуха и температурой внутренней поверхности ограждающих
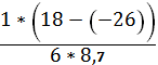
конструкций ∆t = 6єС
Определяем нормативное сопротивление
теплопередачи R:
R = 
= 
= 0,84 
Стены в проектируемом доме состоят
из следующих слоев:
). Цементно-песчаная штукатурка:
r = 1800
кг/мі; 1 = 0,93; S = 11,091
). Кирпич силикатный сплошной:
r = 1800
кг/мі; 1 = 0,81; S = 10,92
). Цементно-песчаная штукатурка:
r = 1800
кг/мі; 1 = 0,93; S = 11,091
Толщина слоя кладки из кирпича ‒ d = 0,64 м
. Определяем требуемое сопротивление
теплопередаче по формуле:
ГСОП = (tв ‒ tо.n.)* Z
Z ‒
продолжительность отопительного сезона (214 дней)
ГСОП = (18 ‒ (‒ 6,6)) * 214
= 5264 єС
. Нормативное сопротивление
теплопередаче обеспечивает отсутствие конденсата на внутренних поверхностях
стены, но по экономическим соображениям с учетов нашей зимы Rmp должно быть
скорректировано по величине градусосуток отопительного периода.
Rєmp = 2,8 + 
* (5264 ‒ 4000) =
3,2424 мІˑ°С/Вт
. Определяем толщину утеплителя:
Rф
= Rєmp
По конструктивным требованиям
необходимо принять толщину утепляющего слоя 0,14 м.
.3 Инженерное оборудование
К инженерному оборудованию здания
относятся: водопровод, канализация, электропроводка, газоснабжение и система
отопления.
Электроснабжение здания
осуществляется от общей электросети. Проведение электропроводки в
запроектированном здании осуществляется перед оштукатуриванием внутренних стен
и перегородок и крепится с помощью специальных крепежных элементов к конструкциям
здания. При необходимости производится сверление отверстий под электропровод в
стенах и перекрытиях.
Канализация проектируемого дома
подключена к центральной городской канализационной сети.
Водоснабжение осуществляется от
общего водопровода. Вода подводится через систему фильтрации на кухне к
смесителю, и в санузлы к смесителю и сливному бачку.
Газоснабжение осуществляется от
внешней газовой сети. Подводится к газовому отопительному котлу, и газовым
колонкам, расположенных на кухне и санузлах. Газовые колонки предназначены для
подогрева воды, поступающей в санузел и на кухню.
Система отопления дома состоит из
труб и батарей отопления, по которым циркулирует нагревающаяся вода из газового
отопительного котла. Такая система отопления называется центральной. Батареи
отопления находятся во всех помещениях и проходят вдоль наружных стен здания на
1 этаже и на мансарде.
.4 Инновации в строительстве
малоэтажных домов
В настоящее время очень актуально
использование инновационных технологий в строительстве малоэтажного жилья. В
качестве инновационных технологий могут использоваться солнечные коллекторы для
подогрева воды летом и зимой, автономная канализация со встроенной системой
биологической очистки, система автономного электроснабжения на основе фотоэлементов
и многое другое.
Строительство из пенобетона
За долгие годы работы в
строительстве коттеджей, частных домов и других объектов недвижимости было
выработано инновационное направление развития данной отрасли. При возведении
строений используется комбинированный метод: наружная кладка выполняется из
облицовочного кирпича любой марки и дизайна толщиной в пол-кирпича, что
позволяет заказчику выбирать неограниченное количество вариантов отделки.
Внутренняя кладка выполняется из типового «белого» кирпича, что позволяет
минимизировать затраты. Между стенами заливается пенобетон.
Пенобетон является лучшим средством
среди строительных материалов для возведения зданий и сооружений. Если дом
построен из монолитного пенобетона, значит в нем будет тепло в холодное время
года, а расходы на отопление сократятся на 30%. У этого материала очень низкий
коэффициент теплопроводности. Для Центральной и Северной России значение
величины термического сопротивления материалов не должно превышать 2,9 кв.м
С/Вт. Чтобы добиться таких показателей, используя традиционные материалы, от
строительного камня до силикатного кирпича включительно, потребуется
выкладывать стену толщиной от 1,1 до 2,4 м. В случае с пенобетоном D600 - D 700
толщина стены будет всего 0,38-0,48 м. Поэтому изделия из пенобетона
используются не только в качестве конструктивных элементов, но и для
теплоизоляции кровель, стен, полов, перекрытий и т.д.
В доме со стенами из пенобетона
будет поддерживаться микроклимат, аналогичный тому, который устанавливается в
деревянном. Летом в нем будет прохладно, а зимой ‒ тепло.
Стены из пенобетона «дышат», они способны впитывать влагу и отдавать ее в
атмосферу. Это исключает возможность возникновения благоприятной среды для
прорастания всевозможных бактерий, грибков или плесени. А влажность в таком
доме будет оптимальная.
Пенобетон сделан из натуральных
компонентов и в процессе эксплуатации не выделяет токсических веществ.
Монолитный пенобетон значительно удешевляет стоимость как строительства дома,
так и его последующую эксплуатацию. Малый вес конструктивных элементов, из
которых будет сложена стена, позволяет сделать облегченный фундамент. К тому же
в два раза сокращаются расходы на погрузку, выгрузку и доставку материалов на
строительную площадку.
Пенобетон способен сопротивляться
действию открытого огня. Согласно лабораторным исследованиям, стена толщиной
150 мм защищает от пожара в течение четырех часов. Поэтому его часто используют
при возведении огнеупорных конструкций и там, где высока вероятность возгорания
из-за наличия легковоспламеняющихся материалов. А добавка в виде
полипропиленовой фибры (фибр волокно) значительно повышает его морозостойкость.
Из других качеств стоит отметить хорошую звукоизоляцию стен и высокую прочность
материала, которая со временем только увеличивается.
Пенобетон хорошо обрабатывается. Его
можно пилить и сверлить, в него без особого труда забиваются гвозди и
прорезаются канавки под электропроводку. Поэтому с его помощью можно воплотить
в жизнь различные дизайнерские решения. К тому же сокращаются сроки выполнения
отделочных работ и облегчается прокладка инженерных систем. Пенобетон не гниет,
так что дом, возведенный из этого материала, будет практически вечным.
Вышеперечисленные достоинства
пенобетона выводят его на первое место среди материалов для жилищного
строительства.
Заключение
В курсовой работе был рассмотрен
проект сблокированного 2-х квартирного кирпичного дома ‒ дуплекса
эконом-класса, разделенного на две равные части. Местоположение проектируемого
дома ‒ город
Тверь, расположенный между двумя крупными мегаполисами: Москвой и
Санкт-Петербургом, что крайне выгодно в экономическом плане.
В процессе работы достигнута цель ‒ был
спроектирован 2-х квартирный жилой дом (дуплекс) эконом-класса, а также решены
следующие задачи:
. Рассмотрены конструктивные решения
здания, и найден наиболее подходящий вариант для данного проекта:
Технология и конструкция здания:
Строительство дома из силикатного кирпича.
Фундамент: ленточный с
гидроизоляцией
Наружные стены: силикатные кирпичи
640 мм + утеплитель (полисти-рол).
Перекрытие: сборные ж/б.
Крыша: деревянная стропильная.
Кровля: вентилируемая, покрытие
металлочерепица.
Стены вентканалов: полнотелый
глиняный кирпич.
Двери внутренние: деревянные.
Оконные блоки: пластиковые.
Фасад: утеплитель + минеральная
штукатурка + декоративная отделка цоколя и частично стен.
. Рассмотрено объемно-планировочное
решение дома, а также рассчитаны коэффициенты целесообразности здания и нормы
освещенности в помещениях.
При расчете коэффициентов: К1,
который является плоскостным показателем и характеризует рациональность
планировочных решений дома и К2, который является объемным показателем,
характеризует объемно-планировочное решение жилого дома и показывает, на
сколько рационально здание занимает объем площади, было выяснено, что
планировка дома удачная.
Отношение площади световых проемов к
площади пола освещаемых помещений в проектируемом доме по требованиям СНиП
2.08.01-89 соответствует нормам.
. Был произведен теплотехнический
расчет.
Найдено нормативное сопротивление
теплопередаче, которое обеспечивает отсутствие конденсата на внутренних
поверхностях стены, а также рассчитана толщина утеплителя (полистирола) для
кирпичных стен.
. Дано описание инженерного
оборудования, которое находится в проектируемом доме.
. Выполнен эскиз фасада дома, а
также начерчен план 1 этажа и мансарды.
Библиография
1. Вильчик, Н.П. Архитектура зданий:
Учебник / Н.П. Вильчик. ‒ М.: ИНФРА-М, 2005.
‒
303 с.
. Комков, В.А. Техническая
эксплуатация зданий и сооружений: Учебник для средних профессионально-технических
учебных заведений / В.А. Комков, С.И. Рощина, Н.С. Тимахова. ‒
М.: ИНФРО-М, 2008. ‒ 288 с.
. Дом и участок: журнал. ‒
Статья «Лестницы» №7 (9) Июль 1998 г.
.Бесплатная библиотека стандартов и
нормативов СНиП II-3-79 «Строительная теплотехника». ‒
Свободный доступ из сети Интернет. ‒
http://www.docload.ru/Basesdoc/1/1896/index.htm
. Бесплатная библиотека стандартов и
нормативов СНиП 2.08.01-89 «Жилые здания». ‒
Свободный доступ из сети Интернет. ‒
http://www.docload.ru/Basesdoc/1/1909/index.htm
. Википедия, Свободная энциклопедия.
‒
Свободный доступ из сети Интернет. ‒
ru.wikipedia.org/wiki
. Группа компаний «ДЕКО»
Проектирование и строительство зданий и сооружений. ‒
Свободный доступ из сети Интернет. ‒
http://www.dekoproekt.ru/fundam.html
. Дом и дача своими руками
«Возведение кирпичных конструкций». ‒
Свободный доступ из сети Интернет. ‒
http://www.cemba.ru/vozvedenie-kirpichnix-konstrukciie.html
. Лисициан, М.В. Архитектурное
проектирование жилых зданий: Учебник Часть 2. ‒
Электронная библиотека. ‒ Свободный доступ
из сети Интернет. ‒
http://www.3anona.ru/books/lisitsian-mv-akrhitekturnoe-proektirovanie-zhilykh-zdaniy-ucchebnik-razdel-2
. ЗАВТРА.NET Инновации в
строительстве: Электрическая черепица от Solarcentury - стильное решение для
современных домов. ‒ Свободный доступ
из сети Интернет. ‒ http://www.vzavtra.net/materialy/elektricheskaya-cherepica-ot-solarcentury-stilnoe-reshenie-dlya-sovremennyx-domov.html