Здоровье подростков и здоровьесберегающие технологии в школе
министерство образования рф
Ставропольский государственный университет
Кафедра анатомии, физиологии и гигиены человека
Кафедра общей биологии
дипломная работа
здоровье современных
подростков
и здоровьесберегающие
технологии в школе
Выполнила:
студентка
5-го курса БХФ,
отделения
биологии (ОЗО)
Агишева
Татьяна Ивановна
Научные
руководители:
канд.
мед. наук, доцент
Каюмова
С.С.
канд.
пед. наук., доцент
Мищенко
Р.Н.
Рецензент:
Ставрополь –
2003
содержание
Стр.
Введение. 5
Глава I. Здоровье человека, определение, многогранность форм его
проявления (обзор литературы) 17
I.1. Факторы, определяющие
здоровье человека. 19
I.2. Диагностика уровня здоровья. 20
I.3. Здоровье, возраст,
работоспособность. 24
I.3.1. Динамика умственной
работоспособности. 25
I.3.2. Учебная нагрузка и
работоспособность. 27
I.3.3. Педагогические аспекты
изучения и нормирования учебной нагрузки. 28
I.4. Типология высшей нервной
деятельности. 31
I.4.1. Основные положения
современного учения о типах высшей нервной деятельности. 33
I.4.2. Психолого-педагогический
аспект типологических особенностей ВНД.. 35
I.4.3. Возрастные особенности ВНД
младших школьников. 38
Глава II. Организация и методы исследования.. 40
II.1. Характеристика контингента
обследуемых и организация исследования. 40
II.2. Методы исследования. 40
II.2.1. Определение уровня
физического развития (антропометрия) 40
II.2.2. Оценка состояния осанки в
процессе развития детей. 41
II.2.3. Мониторинг двигательного
развития и двигательной подготовленности учащихся. 42
II.2.4. Мониторинг функционального
состояния организма. 44
II.2.5. Принципы вычисления
адаптационного потенциала системы кровообращения 45
II.2.6. Методика определения
адаптационного потенциала системы кровообращения 46
II.2.7. Оценка школьной мотивации
учащихся младших классов. 47
II.2.8. Определение
адаптоспособности и биоритмического состояния. 47
II.2.9. Методы статистической
обработки цифрового материала. 48
II.2.10. Коэффициент корреляции. 49
Глава III. Результаты исследования и их обсуждение. 51
III.1. Физическое развитие
учащихся. 51
III.1.2. Двигательная
подготовленность учащихся. 52
III.1.3.Оценка состояния осанки
детей. 53
III.2. Функциональное состояние
кардио-респираторной системы.. 54
III.2.1. Адаптационный потенциал
(АП) системы кровообращения. 55
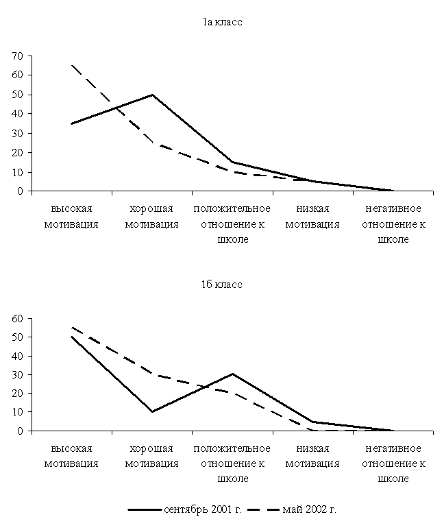
III.3. Определение школьной
мотивации. 56
Глава IV. Здоровьесберегающие технологии и современная система образования.. 57
IV.1. Представление о
здоровьесберегающих образовательных технологиях. 57
IV.2. Принципы и отличительные
особенности здоровьесберегающих образовательных технологий. 61
IV.3. Здоровьесберегающее
образовательное пространство школы.. 68
IV.4. Обеспечение гигиенических
условий образовательного процесса. 79
IV.5. Здоровьесберегающая
организация учебного процесса. 85
IV.5.1. Показатели рациональной
организации учебного процесса. 85
IV.5.2 Рациональное расписание
учебных занятий. 85
IV.5.3. Двигательная активность
учащихся. 87
IV.5.4. Рациональная организация
урока. 89
IV.5.5. Использование в
образовательных учреждениях технических и аудиовизуальных средств обучения. 91
IV.5.6. Рациональная организация
общего режима дня школьников. 92
IV.5.7. Требования к уроку с позиций здоровьесбережения. 93
Заключение. 96
Список литературы.. 97
приложения.. 100
Сокращения, часто встречающиеся в тексте:
АП
– адаптационный потенциал;
ВНД
– высшая нервная деятельность;
ВРИ
– весоростовой индекс;
ДАД
– диастолическое артериальное давление;
САД
– систолическое артериальное давление;
ССС
– сердечно-сосудистая система;
ЦНС
– центральная нервная система;
ЧСС
– частота сердечных сокращений;
ЗОЖ
– здоровый образ жизни;
ЗСТ
– здоровьесберегающие технологии;
МТ
– масса тела;
Р
– рост;
В – возраст.
Проблема сохранения и целенаправленного формирования
здоровья детей, молодёжи в сложных современных условиях развития России
исключительно значима и актуальна, поскольку связана напрямую с проблемой
безопасности и независимости. За последние годы в России произошло значительное
качественное ухудшение здоровья школьников. По данным исследований, лишь 10%
выпускников школ могут считаться здоровыми, 40% имеют различную хроническую
патологию. У каждого второго школьника выявлено сочетание нескольких
хронических заболеваний.
За период обучения в школе число детей с нарушениями
опорно-двигательного аппарата увеличивается в 1,5 – 2 раза, нервными болезнями
– в 2 раза, с аллергическими болезнями – в 3 раза, с близорукостью – в 5 раз.
Особенно неблагоприятная ситуация со здоровьем учащихся
отмечается в школах нового типа (гимназии, колледжи, лицеи, школы с углубленным
изучением предметов и др.), учебный процесс в которых характеризуется
повышенной интенсивностью. К концу года у гимназистов в 2 раза увеличивается
частота гипертонических реакций, а общее число неблагоприятных изменений
артериального давления достигает 90%, появления повышенной невротизации
отмечается у 55% - 83% учащихся школ нового типа.
Заметно возросла заболеваемость подростков: по результатам
профилактических осмотров различные заболевания регистрируются у 94,5%
подростков. Распространённость заболеваний, ограничивающих выбор профессий,
достигает 3%.
Обоснование
проблемы и необходимости её решения программными
методами
1. В условиях социально-экономического кризиса проблемы
детей в Ставропольском крае, как и в России, остаются предельно острыми, и их
безотлагательное решение жизненно необходимо. По-прежнему сохраняются
неблагоприятные тенденции в демографических процессах, состоянии здоровья
детей.
Высокой остается младенческая смертность, растут детская
заболеваемость и инвалидность. Среди причин, способствующих возникновению
инвалидности у детей, основными являются: ухудшение экологической обстановки,
неблагоприятные условия труда женщин, отсутствие условий и культуры здорового
образа жизни в малообеспеченных и неблагоприятных семьях, высокий уровень
заболеваемости родителей, особенно матерей.
Поэтому проблема охраны и укрепления здоровья детей стоит
очень остро. Воспитанники интернатных учреждений на 1-2 года отстают от
паспортного возраста. Их заболеваемость в 2 раза меньше, чем у детей,
воспитывающихся в семье.
Общая заболеваемость детей до 14 лет за последние 5 лет
возросла почти на 10%.
Отмечена тенденция к росту числа заболеваний нервной
системы и органов чувств у детей. Ведущее место в структуре заболеваемости
занимают болезни органов дыхания (53,3%), нервной системы и органов чувств
(10,8%), инфекционные и паразитарные болезни (8,2%), травмы и отравления
(6,2%), болезни кожи и подкожной клетчатки (5,0%).
При проведении медицинских осмотров детей всех возрастов
отмечается увеличение диспансерного контингента детского населения.
Здоровье школьников находится в прямой зависимости от
условий обучения, питания, двигательной активности, правильного чередования
нагрузки и отдыха, условий семейного воспитания. При этом огромное значение
имеет учет поло-личностных особенностей обучающихся и воспитанников.
За период обучения в школе продолжает увеличиваться
патология зрения.
В 1999 году зарегистрирован 21721 ребенок – инвалид до 15
лет (20307 – в 1996 году).
В настоящее время в крае насчитывается 13890 детей,
относящихся к категории лиц с проблемами в развитии и нуждающихся в специальном
(коррекционном) образовании, отвечающем их особым образовательным потребностям.
Происходящие в обществе негативные социально-экономические
процессы особенно болезненно сказываются на детях. Постоянно увеличивается
число детей, лишенных родительского попечения.
Состояние здоровья детского населения края вызывает очень
серьезное опасение специалистов. По статистическим данным, лишь 20% детей
здоровы. 80% – имеют функциональные нарушения и отклонения в состоянии
здоровья, высок процент хронической патологии. Большинство детей 6-7 лет не
готовы к обучению в школе.
Высок процент юношей призывного возраста, которые по
медицинским критериям не готовы к военной службе.
2. Здоровье каждого человека
определяется отношением внешних и внутренних воздействий на его организм, с
одной стороны, и возможностями самого организма противостоять нежелательным
воздействиям, защищаться от них, по возможности усиливая воздействия полезных
для здоровья факторов, с другой стороны. Степень успешности этой деятельности –
устранение вредных воздействий (корректировка окружающей среды) и повышение
устойчивости к ним (тренировка, повышение адаптационных способностей организма)
– определяет направления усилий по сохранению и укреплению здоровья.
Рассматривая факторы,
оказывающие неблагоприятное воздействие на здоровье (патогенные факторы), в
аспекте охраны здоровья учащихся, необходимо разделить их на 2 большие группы:
факторы, непосредственно связанные с образовательным процессом, образовательными
учреждениями (их часто называют «внутришкольными»), и все остальные факторы,
потенциально оказывающие воздействие на здоровье школьников.
Приведем перечень нескольких
общепатогенных факторов, наносящих вред здоровью всех граждан, в том числе и
здоровью школьников, на которые указывают многие исследователи и практики.
1. Низкий уровень
мотивации на сохранение и укрепление индивидуального здоровья. Сейчас все чаще можно слышать об отсутствии культуры
здоровья в России. Человек не стремится взять на себя ответственность за
здоровье. Рождаясь здоровым, самого здоровья человек не ощущает до тех пор,
пока не возникнут серьезные признаки его нарушения. Теперь, почувствовав болезнь
и получив облегчение от врача, он все больше склоняется к убеждению о
зависимости своего здоровья именно от медицины. Тем более, что такой подход
освобождает самого человека от необходимости «работать над собой», жить в постоянном
режиме ограничений и нагрузок. Культурный же человек, как отмечал И.И.Брехман,
«не должен допускать болезни, особенно хронические, так как в подавляющем числе
случаев они являются следствием образа жизни». Действительно, исторически
медицина сложилась как наука, которая в качестве главной цели декларировала
сохранение и укрепление здоровья, продление жизни людей, тогда как лечение
болезней составляло ее вторую часть. По преданию, владыки Древнего Востока
платили своим врачам только за те дни, когда они, владыки, были здоровы. Отношение
к здоровью принципиально изменилось уже в рабовладельческих сообществах по мере
имущественного и социального расслоения людей. При этом рабовладельцы,
предаваясь излишествам и комфорту, все в меньшей степени уделяли внимание
своему здоровью и все больше уповали на лечение возникших его нарушений, на
врача. Видимо, следует считать, что именно это обстоятельство способствовало
тому, что медицина потеряла свое профилактическое значение и стала обращать
основное внимание на лечение болезней. В СССР провозглашался принцип социально-профилактической
направленности медицины, ее бесплатности, доступности, и можно было ожидать,
что заболеваемость существенно снизится, а число здоровых людей значительно
увеличился. Однако статистика говорит о другом. Очевидно, что в рамках старого
подхода к целям и задачам медицины решить проблемы коренного перелома в уровне
здоровья невозможно.
Необходимо определить новую
стратегию сохранения здоровья, основанную на социальной ценности здоровья
личности и идеи ответственного отношения каждого человека за свое здоровье
перед обществом и общества перед человеком. Поскольку здоровье человека, по
данным ВОЗ, на 70-80% определяется его собственным отношением или возможностью
влияния на факторы, имеющие к здоровью отношение, исполнительный комитет ВОЗ
отметил (1995 г.), что «осознанная ответственность общества и, прежде всего,
каждого человека за сохранение и поддержание на надлежащем уровне собственного
здоровья…– ключевой фактор, без которого усилия служб национального
здравоохранения по достижению здоровья для всех будут оставаться недостаточно
эффективными».
2. «Забалтывание» проблемы
здоровья. Существует такой психологический феномен: обсуждая какую-либо
проблему, рассматривая ее со всех сторон, человек снимает часть внутреннего напряжения,
возникшего в связи с этой проблемой. В результате боль, озабоченность
становится меньше. Реальная деятельность в направлении решения возникшей
сложной проблемы подменяется рассуждениями на эту тему. Но ситуация не
разрешается, т.к. только размышлениями и рассуждениями проблему не решить.
Возникает недоумение: как же так, столько времени и сил потрачено на проблему,
а «воз и ныне там», может, эта проблема неразрешима? Организуя деятельность по
сохранению и укреплению здоровья субъектов образовательного процесса,
формированию у них культуры здоровья, следует помнить о существовании данного
феномена, не подменять деятельность рассуждением о ней. Дорогу осилит идущий!
3. Сужение понятия
здоровья. Существует более 300 определений здоровья. Мы предпочитаем
придерживаться определения, приведенного в Уставе Всемирной организации
здравоохранения: здоровье – это состояние полного физического, душевного и
социального благополучия, а не только отсутствие болезней и физических
дефектов. Это определение является одним из самых популярных, в ней
здоровье понимается наиболее обще, емко, виден некий идеал.
Мы живем в непростом мире, и
на нас и наше состояние оказывает влияние множество факторов. По данным
известного ученого, академика РАМН Ю.П.Лисицына, являющегося признанным
авторитетом в области профилактической медицины и санологии, основным фактором,
обуславливающим здоровье человека, является образ жизни (50-55%). Влияние
экологических факторов на здоровье оценивается примерно в 20-25% всех
воздействий, 20% составляют биологические (наследственные) факторы и 10%
приходится на долю недостатков и дефектов здравоохранения. Эти данные, как
модель обусловленности состояния здоровья, отражают результаты исследований по
влиянию тех или иных факторов на здоровье, заболеваемость или болезненность
отдельных групп населения, регионов, конкретных людей, занятых в различных
сферах трудовой деятельности, и до сих пор подтверждаются отечественными и
зарубежными специалистами.
Несмотря на то, что
большинство специалистов придерживаются определения здоровья, данного ВОЗ,
говоря о здоровье, часто имеют в виду его физическую составляющую, забывая о
социально – психологической и духовно – нравственной составляющей понятия.
Действительно, для характеристики состояния населения, как правило,
используется классическая триада: смертность в различных возрастах группах,
уровень и структура общей заболеваемости, а также достигнутый уровень
физического развития. Статистические данные мы можем найти только в рамках этих
критериев. Психологическую составляющую здоровья мы имеем возможность оценить,
но разрозненно, не целостно (уровень интеллекта отдельно, уровень тревожности
отдельно – а где же целостная картина?). Об оценке духовно-нравственной
составляющей здоровья говорить вообще не принято. К сожалению, в настоящее
время еще не разработана комплексная система оценки уровня здоровья человека,
охватывающая все его составляющие. Повсеместно можно заметить явное сужение понятия
здоровья до физического состояния. Важно переломить эту тенденцию и руководствоваться
определением здоровья как многогранного понятия, включающего физический,
социально – психологический и духовно – нравственный аспект.
4. Воздействие
неблагоприятных для здоровья экологических факторов. По данным экологов и
медиков, большая часть территории нашей страны – зоны экологического неблагополучия.
А это определяет вред для здоровья людей и питьевой воды, и выращиваемых на
этих землях овощей, фруктов, ягод, и патогенность воздушной среды. Мясо,
молоко, яйца от животных и птиц, живущих на этих территориях, также будет
оказывать неблагоприятное воздействие на здоровье при употреблении их в пищу.
Конечно, используя очистные фильтры, вымачивая овощи в воде, строго отбирая
молоко и мясо, можно несколько снизить вред для здоровья. Но ходить в
противогазе, защититься от радиации, совсем отказаться от большинства продуктов
питания и т.п. – невозможно. И чем слабее, незащищеннее организм человека, а
именно таков организм ребенка, тем тяжелее последствия для его здоровья от
воздействия вредных факторов окружающей среды.
5. Воздействие
неблагоприятных для здоровья антропогенных и техногенных факторов.
К ним относится описанный в
специальной и популярной литературе широкий спектр патогенных воздействий – от
воздействия электромагнитных полей, в «паутине», которой мы проводим большую
часть жизни, и частых поездок на транспорте («транспортное утомление») до
социально – психологических стрессов, неизбежных при интенсивных межличностных
взаимодействиях, и травмирующего психику воздействия средств массовой
информации, заполонившей эфир рекламой, тенденциозными политическими передачами,
сценами насилия и убийств. Именно эти атрибуты городской жизни
определяют происхождение значительной части неврозов, депрессивных состояний,
психосоматических заболеваний, проявлений агрессии, роста потребления алкоголя
и наркотиков.
6. Отсутствие целостной и
целенаправленной системы формирования культуры здоровья населения. Сюда
можно отнести:
6.1. Отсутствие
последовательной и непрерывной системы обучения здоровью. На различных этапах
возрастного развития человек получает информацию о здоровье в семье, школе,
больнице, из средств массовой информации и т.д. Однако информация эта отрывочна,
случайна, не носит системного характера, зачастую противоречива и нередко исходит
от некомпетентных людей.
6.2. Отсутствие
интегративности, межведомственного подхода к решению проблем, связанных со
здоровьем. В существующих программах, направленных на повышение уровня здоровья
населения, в частности, субъектов образовательного процесса, как правило,
прописано межведомственное взаимодействие, но на практике это осуществляется
недостаточно.
6.3. Низкий уровень санитарно
– гигиенической, просветительской работы. Существующая просветительская работа
по вопросам здоровья, проводимая через средства массовой информации,
популярными лекциями, изданием научно-популярной литературы, чаще всего
ориентирует население преимущественно на лечение, а не на предупреждение
заболеваний. При этом не раскрываются факторы риска и главное – пути их
преодоления, не показываются функциональные возможности организма в
противодействии неблагоприятным влияниям, в устранении начальных признаков
заболевания. Вместо этого упор делается на лекарственные и технические средства
лечения и восстановления здоровья, настойчиво рекламируется деятельность
медицинских центров, что не удивительно, так как осуществляют эту деятельность
обычно медики, более компетентные в вопросах диагностики и лечения заболеваний,
а не их профилактики с использованием социально-психологических технологий.
6.4. Отсутствует мода на
здоровье. Средства массовой информации мало внимания уделяют формированию
гармонично развитого – физически и духовно – человека. Например, физический
имидж человека (хорошее физическое развитие, стройность и т.п.) среди других важнейших
показателей назвали 85% респондентов в США и лишь 25% мужчин и менее 40% женщин
в России. У американских старшеклассников при ранжировании 17 жизненных
ценностей здоровье заняло первое место, а российских – десятое.
6.5. Мало внимания уделяется
вопросам формирования культуры отдыха. Отсутствие такой культуры делает
человека заложником непродуманного, не планируемого времяпрепровождения,
толкает к стремлению «убить» время у телевизора, алкоголизации и пр. В
результате имеющееся свободное время не компенсирует последствий накопившегося
профессионального утомления и не обеспечивает подготовку человека к следующему
трудовому дню.
7. Несовершенство законодательной,
нормативно – правовой базы, регламентирующей деятельность по охране здоровья
населения, в частности, детей и подростков школьного возраста.
Законодательная и нормативная база, регламентирующая деятельность по охране
здоровья школьников, достаточно разнообразна. В то же время она не обеспечивает
в должной степени координацию действий федеральных и местных органов власти, правоохранительных,
лечебно – профилактических, образовательных учреждений и учреждений
Госсанэпиднадзора. Известная декларативность законов не позволяет также
создавать точных подзаконных актов. Размытым остается и категория ответственности
должностных лиц за здоровье учащихся.
8. Несформированность
культуры здоровья у учителей, неблагополучие их состояния здоровья. Тот
факт, что значительная часть учителей слабо подготовлена по вопросам возрастных
особенностей ребенка, психологии и физиологии детского и подросткового организма,
закономерностям развития ребенка и т.п., общеизвестен. Реже объектом внимания и
критики становится недостаточная грамотность учителей в вопросах здоровья и
здорового образа жизни. Регулярно проводимые нами исследования (опрос,
анкетирование, тестирование) свидетельствуют, что по компетентности в этих
вопросах учителя находятся на уровне других специалистов с высшим образованием
– инженеров, экономистов и др. Но даже при наличии знаний в этой области, учитель
не всегда является носителем культуры здоровья. В этом одна из причин
неблагополучия состояния здоровья учительства как профессиональной группы,
которая представляет одну из наиболее выраженных групп риска. Учителя сами
нездоровы и невольно подают дурной пример своим воспитанникам. Ведь «у
нездорового учителя не может быть здоровых воспитанников!»
Если о здоровье учащихся
говорят много и пытаются заниматься его сохранением и укреплением, то по
проблеме здоровья педагогов заметных подвижек в практике работы школ не
заметно. В этом вина как самого учителя, так и всей государственной системы,
многие годы финансирующей образование и здравоохранение по остаточному
принципу, превратившей учителя в одну из самых низкооплачиваемых
профессиональных групп населения. Однако трудно ожидать заметных успехов в
заботе о здоровье учащихся без изменения отношения к здоровью учителя.
Наряду с такими факторами,
как генетическая обусловленность, неблагоприятные социальные, экологические
условия развития и другие им подобные, неблагоприятное и существенное
воздействие на здоровье школьников оказывает другая группа факторов –
«внутришкольные», имеющие непосредственное отношение к проблеме здоровьесберегающих
образовательных технологий. С негативным влиянием именно этих факторов,
к которым относятся интенсификация и нерациональная организация учебного
процесса, несоответствие методик обучения возрастным возможностям школьников
и т.п., специалисты связывают до 40% детского – подростковой патологии. Следует
учесть, что утомительность урока не является следствием какой-либо одной
причины (сложности материала или психологической напряженности), а определенным
сочетанием, совокупностью различных факторов.
Интенсификация
образовательного процесса идет различными путями. Первый – увеличение
количества учебных часов (уроков, внеурочных занятий, факультативов и т.п.).
Фактическая учебная школьная нагрузка (по данным Института возрастной
физиологии РАО, Научного центра охраны здоровья детей и подростков РАМН
и ряда региональных институтов), особенно в лицеях и гимназиях, в гимназических
классах, в классах с углубленным изучением ряда предметов, составляет в
начальной школе в среднем 6,2-6,7 часа в день, в основной школе – 7,2 – 8,3
часа в день и в средней школе – 8,6 – 9,2 часа в день. Вместе с приготовлением
домашних заданий рабочий день современного школьника составляет – 9 – 10
часов в начальной, 10 – 12 в основной и 13 – 15 – в средней школе. Существенное
увеличение учебной нагрузки в подобных заведениях и классах не проходит бесследно:
у этих детей чаще отмечается большая распространенность и выраженность нервно-психических
нарушений, большая утомляемость, сопровождаемая иммунными и гормональными
дисфункциями, более низкая сопротивляемость болезням и другие нарушения. Среди
учащихся этих школ в 1,2 – 2 раза больше, чем в массовой школе (хотя и в массовой
школе далеко не все благополучно), детей со сниженным функциональным зрением,
хронической патологией. В большинстве исследований отмечается четкая
зависимость роста отклонений в состоянии здоровья от обмена и интенсивности
учебной нагрузки.
Другой вариант интенсификации
учебного процесса – реальное уменьшение количества часов при сохранении или
увеличении объема материала. По данным Минобразования, за период с 1945/46 по
1997/98 учебные годы в начальной школе резко сократилось количество часов на
образовательную область филология (на 49%) и на образовательную область
математика (на 62%). Каждому, кто знаком с системой начального обучения и существующими
программами, как традиционной, так и развивающими, понятно, что содержание и
объем учебного материала ни в одной, ни в другой области за последние 50 лет не
уменьшились. Столь резкое сокращение количества часов неизбежно должно было
привести к увеличению домашних заданий и интенсификации учебного процесса.
Частое следствие
интенсификации – возникновение у учащихся состояний усталости, утомления,
переутомления. Именно переутомление создает предпосылки развития острых и
хронических нарушений здоровья, развития нервных, психосоматических и других заболеваний.
Опасность для здоровья этого
состояния показал еще Г.Н.Сперанский. Согласно его исследованиям, если у
ребенка сформировался синдром утомления, выражающийся в снижении
работоспособности, повышенной отвлекаемости, раздражительности, вялости или,
наоборот, в двигательном и речевом возбуждении, головной боли, потере аппетита
или его резком возрастании и многих других симптомах, то даже девятичасовой сон
не снижает утомление. Уже тогда был разработан целый комплекс мер борьбы с
чрезмерным утомлением.
Физиологическая основа
утомления – угнетение деятельности корковых центров. В дальнейшем торможение
распространяется на подкорковые центры, угнетается сосудистая активность,
затрудняется выработка условных рефлексов. Из острого состояния утомление, если
его не компенсировать, может стать хроническим. Особенно часто хронизация
утомления происходит у одаренных детей. Ведь ранняя одаренность – это
увлеченность, а люди, и особенно дети, плохо контролируют свои увлечения.
Конечно, утомление не
объясняется каким-либо одним фактором – оно определяется комбинацией различных
причин, среди которых значительное место занимают умственные и физические
перегрузки, не адекватные возможностям данного организма, статическое положение
тела во время работы, «монотония». Фоном развития утомления обычно является
безразличное или угнетенное эмоциональное состояние.
Фактор, который в
общественном мнении традиционно связывают с неблагоприятными последствиями для
здоровья учащихся, – экзаменационный стресс. Особо пристрастное внимание
к этому вопросу в этом году связано с введением в ряде регионов страны единого
выпускного экзамена. Если посмотреть на эту проблему более широко, то любой
вызов ученика к доске, контрольная работа, тестирование – уже маленький
экзаменационный стресс. И хотя контроль знаний – очень ответственная процедура,
вред здоровью ученика может нанести не любой ответ на уроке и не любой экзамен,
а лишь такая процедура проверки знаний, при которой не соблюдаются необходимые
психолого-педагогические и этические нормы и требования, не обеспечена
атмосфера справедливости и доброжелательности, не приняты во внимание
индивидуальные особенности отвечающего (экзаменующегося). Но встречающиеся
плохие экзаменаторы – это не повод отменять саму процедуру экзамена, так же как
существование плохих, низкоквалифицированных учителей – не повод закрывать все
школы.
Приведем примерный перечень
внутришкольных факторов, представляющих потенциальную угрозу для здоровья
учащихся.
I. Гигиенические условия, факторы
1.1.
шум
1.2.
освещенность
1.3.
воздушная среда
1.4.
размер помещений, кубатура
1.5.
дизайн, цвет стен
(видеоэкологические факторы)
1.6.
используемые стройматериалы,
краска
1.7.
мебель: размеры, размещение в
помещении
1.8.
видеоэкранные средства –
компьютеры, телевизоры
1.9.
пищеблок: ассортимент, качество
пищи, организация питания
1.10. качество питьевой воды, используемой в школе
1.11. экологическое состояние прилегающей к школе территории
1.12. состояние сантехнического оборудования.
II.Учебно-организационные факторы
(зависящие в большей степени от администрации школы)
2.1. объем
учебной нагрузки, ее соответствие возрастным и индивидуальным возможностям
школьника
2.2.
расписание уроков, распределение нагрузки по дням, неделям, в учебном году
2.3.
организационно-педагогические условия проведения урока (плотность, чередование
видов учебной деятельности, проведение физкультминуток, упражнений для зрения и
т.п.)
2.4. объем
физической нагрузки – по дням, за неделю, за месяц (на уроках физкультуры, на
переменах, во внеучебное время)
2.5.
особенности устава школы и норм жизни школы
2.6.
медицинское и психологическое обеспечение школы
2.7.
участие родителей учащихся в жизни школы
2.8. стиль
управления администрации, характер отношений «по вертикали»
2.9.
психологический климат педагогического коллектива, характер отношений «по горизонтали»
2.10.
интегрированность школы в окружающий социум, влияние администрации района и
других организаций на жизнь школы
2.11.
наличие/отсутствие системы работы по формированию культуры здоровья и здорового
образа жизни учащихся
2.12.
позиция и уровень компетентности руководства по вопросам сохранения и укрепления
здоровья учащихся.
III. Психолого-педагогические факторы
(зависящие в большей степени от учителя)
3.1.
психологический климат в классе, на уроке, наличие эмоциональных разрядок
3.2. стиль
педагогического общения учителя с учащимися
3.3.
характер проведения опросов и экзаменов, проблема оценок
3.4.
степень реализации учителем индивидуального подхода к ученикам (особенно,
группы риска)
3.5. особенности
работы с «трудными подростками» в классе
3.6.
соответствие используемых методик и технологий обучения возрастным и функциональным
возможностям школьников
3.7.
степень ограничений в свободе естественных телесных, эмоциональных и мыслительных
проявлений учащихся на уроках (и вообще во время пребывания в школе)
3.8.
личные, психологические особенности учителя, его характера, эмоциональных
проявлений
3.9.
состояние здоровья учителя, его образ жизни и отношение к своему здоровью
3.10.
обременение учителя собственными проблемами, его способность психоэмоционального
переключения
3.11.
степень педагогической автономии и возможности инновационной деятельности
учителя
3.12.
профессиональная подготовленность учителя по вопросам здоровьесберегающих
образовательных технологий.
Перечисленные и другие аналогичные им факторы – это поле
нашей деятельности, те направления, работая по которым можно и нужно переломить
тенденцию к снижению уровня здоровья подрастающего поколения.
3. Диагностика состояния учащихся ГОУ СОШ №2 с. Лад- Балка
выявила следующие результаты: в 2001 году из 704 учащихся 168 учащихся состоят
на диспансерном учете, из них: у окулиста – 44 человека, у хирурга – 45
человек; у ЛОР - врача – 3 человека, у педиатра – 30 человек, у
гастроэнтеролога – 32 человека, у эндокринолога – 4 человека, 5 человек –
инвалиды детства.
Имеются дети – 12 человек, у которых выявлено сразу
несколько заболеваний.
Наибольший процент заболеваний у детей от общего числа
учащихся приходится на:
а) желудочно-кишечный тракт – 4,9%;
б) органы зрения – 4,3%;
в) опорно-двигательный аппарат – 3%.
Рост заболеваемости детей наблюдаются по возрастам:
-
1-4 классы - 21%
-
5-9 классы - 54,2%
-
10-11классы - 24,6%
Отягощенность хроническими заболеваниями, конечно же
сказывается на уровне работоспособности в течение как учебного дня, так и
учебного года, при этом наблюдается ухудшение функций вегетативной нервной
системы (головные боли, боль в области сердца, тошнота, вялость, рассеянность,
высокая утомляемость). Таким образом, проблема организации помощи ребенку в
сохранении, укреплении и формировании здоровья весьма актуальна.
Главной целью предпринятого нами исследования на базе ГОУ
Ладбалковской средней общеобразовательной школы №2 было: на основе изучения
закономерностей влияние современной школы на здоровье детей разработать систему
сохранения и формирования здоровья учащихся через личностно-ориентированный
подход к оздоровлению, образованию и воспитанию детей.
Поставлены следующие задачи для достижения главной цели:
1.
Изучить, проанализировать, обобщить современные
теоретические, методические подходы к формированию здоровья учащихся в
педагогическом процессе и в повседневной жизни.
2.
Изучить влияние здоровьесберегающей технологии профессора
В.Ф.Базарного на здоровье учащихся.
3.
Внедрить в практику работы школы Программу школы по
здоровьесберегающим технологиям в образовательном процессе «Здоровье – основа
развития личности».
4.
Разработать и реализовать:
· Методические
рекомендации по сохранению, укреплению, формированию здоровья и здорового
образа жизни учащихся и педагогического коллектива через учебно-воспитательный
процесс;
· Методические
рекомендации по реализации личностно – ориентированного подхода к обучению,
воспитанию, оздоровлению и развитию детей на основе мониторинга и качества и
двигательной подготовленности учащихся;
5.
На основе данных комплексного мониторинга здоровья и
успеваемости создать банк данных по школе.
6.
Организовать обсуждение получаемых в ходе исследования
результатов в педколлективе школы, в индивидуальных собеседованиях с учащимися
и их родителями, а также проведение родительских собраний с целью анализа
структуры здоровья класса, выявления причин понижения его уровня и выработки
совместных программ соответствующих действий по их устранению.
Ход естественного эксперимента предусмотрен с первых
классов школы. Это не случайно. Именно школа с первого класса должна
способствовать воспитанию у детей привычек, а затем и потребностей к здоровому
образу жизни, формированию навыков принятия самостоятельных решений в отношении
поддержания и укрепления своего здоровья.
Объектом исследования является
процесс формирования здоровья учащихся через личностно – ориентированный подход
к оздоровлению, образованию и воспитанию учащихся.
Предметом исследования являются особенности организации
учебновоспитательного процесса по здоровьесберегающей технологии профессора
В.Ф.Базарного; особенности образовательной среды, условий, способствующих
сохранению и формированию здоровья детей.
Рабочая гипотеза
Если значительные потери здоровья детей и подростков
связаны с обучением в школе, то внедрение личностно – ориентированного подхода
к оздоровлению, образованию и воспитанию учащихся позволит сохранить и повысить
уровень здоровья и общей культуры школьников. Эти результаты будут способствовать
воспитанию у ребёнка потребности быть здоровым, научить его этому, организовать
помощь в сохранении и формировании здоровья. Выпускник школы должен быть
личностью духовно, физически и социально здоровой, способной управлять своим
здоровьем и формировать его.
Глава I. Здоровье человека, определение, многогранность форм его проявления
(обзор литературы)
Понятие «Здоровье человека», на первый взгляд,
представляется простым и ясным. Здоровый человек вообще не задумывается над
смыслом этого состояния. Не случайно Ф.Энгельс в своё время сделал очень
простое определение здоровья: «Здоровье – это то, о чём мы вспоминаем, когда
его нет».
На самом деле – это одна из
важнейших категорий человеческого бытия. Известный отечественный патофизиолог
академик И.В.Давыдовский писал, что установить чёткую грань между здоровьем и
болезнью невозможно. Поэтому при медицинских заключениях самым расхожим
определением является «практически здоров».
Здоровье и болезнь человека
представляют собой производные окружающей среды. Здоровье нельзя рассматривать
как нечто независимое, автономное. Оно является результатом социальных и
природных факторов, следствием преломления окружающей среды в биологическом
субстрате организма.
Для научных разработок и
практического использования эта категория (здоровье) должна иметь более чёткое
определение. И таких определений предложено много.
Е.Гольдсмит (1980г.):
«Здоровье – такое состояние, которое даёт возможность сохранять здоровье, т.е.
длительно сохраняющаяся способность к восстановлению после химических,
физических, инфекционных, психологических и социальных воздействий».
И.И.Брехман (1990г.):
«Здоровье – способность сохранять, соответственно возрасту, устойчивость в
условиях резких изменений количественных и качественных параметров триединого
потока – сенсорной, вербальной и структурной информации».
А.Я.Иванюшкин (1982г.)
предлагает три уровня ценностного смысла «здоровья» и «болезни»:
1) биологический –
изначальное здоровье – это:
· совершенство саморегуляции организма;
· гармония физиологических процессов;
· максимум адаптации, как следствие.
2) социальный – это:
· мера социальной активности;
· деятельное отношение к миру.
3) личностный, психологический – здоровье есть не
отсутствие болезни, а скорее отрицание её в смысле преодоления, т.к. здоровье –
не только состояние организма, но и «стратегия жизни человека».
И, наконец, определение
всемирной организации здравоохранения (ВОЗ): «Здоровье – это полное физическое,
психическое и социальное благополучие, а не только отсутствие болезни, т.е. это
физическая, социальная, психологическая гармония человека, доброжелательные
отношения с людьми, природой и самим собой».
Подытоживая, следует отметить
совсем понятные вещи: здоровье человека – одна из предпосылок счастья и его
полноценной жизни. Не случайно на вопрос о том, что является более ценным для
человека – богатство или слава, один из древних философов ответил: «Ни
богатство, ни слава ещё не делают человека счастливым. Здоровый нищий
счастливее богатого короля».
Что касается взаимоотношений
двух состояний – здоровья и болезни, то следует отметить, что здоровье это
закономерность, природная заданность. Человек рождается здоровым в результате
генетической запрограммированности. Болезнь же – это частность, нарушение
закономерности, природной гармонии. Изначальное природное свойство всего живого
на планете Земля (генетическая запрограммированность здоровья) не следует путать
с нарушениями в генетическом коде, связанными с искусственным воздействием антропогенов,
обладающих мутагенным действием, поражающим структуру ДНК (носителя наследственности)
даже при условии, что Природа спрятала этот аппарат в самую глубину (ядро)
клетки. За прошедшие десятилетия, через которые прошли 44000 поколений предков
человека (из них 16000 поколений людей – «Homo Sapiens»)
наследственный код человека не пострадал так значительно, как это произошло за
один XX век. Не случайно эксперты ВОЗ провозгласили
экологическое неблагополучие (денатурация Биосферы) второй проблемой Земли
после ядерной войны: и то, и другое может привести к гибели всего живого на
Земле – разница только во времени.
Следует отметить, что и
здоровый человек не может приспособиться к любым изменениям среды обитания,
несмотря на 8 – 10-ти кратный запас прочности его приспособительных
(адаптационных) механизмов. Адаптация имеет свои пределы. Видимо, этим можно
объяснить тот факт, что у современного человека произошло нарушение заданной природной
устойчивости (изначального здоровья) и он стал производить на свет больных или
даже уродливых детей. Не случайно также, что большая половина людей находится в
так называемом «третьем состоянии», т.е. неполном здоровье, когда между
здоровьем и болезнью «…располагается целая гамма промежуточных состояний,
указывающих на особые формы приспособления, близкие то к здоровью, то к
заболеванию и всё же не являющиеся ни тем, ни другим». (И.И.Брехман, 1990г.).
Понятие нормы, как и совпадающее с ним понятие здоровья, до сего времени
продолжает оставаться предметом острой дискуссии. Наиболее гибкое понятие нормы
предложено В.П.Петленко: «Норма есть биологический оптимум живой системы…этот интервал «оптимального
функционирования живой системы» имеет подвижные границы, в рамках которых
сохраняется связь со средой, а также согласованность всех функций организма.
Нормальная система – это всегда оптимально функционирующая система».
Для оценки состояния нормы
или здоровья обычно принято пользоваться различными показателями:
антропометрическими, физиологическими, биохимическими. Они обычно оцениваются
как некие средние или среднестатические величины, варьирующие в достаточно широких
пределах.
По данным статистики,
представленным экспертом ВОЗ академиком Ю.П.Лисициным на VII
Всероссийском симпозиуме «Эколого-физиологические проблемы адаптации» (Москва,
1994г.), в нашей стране в последние годы сложилась крайне неблагоприятная ситуация,
позволяющая говорить об «обвале общественного здоровья», если рассматривать
общество как социальный организм:
· возрастание общей смертности, которая превышает в 5,6
раза рождаемость, смертность в трудоспособном возрасте в России в 4 раза выше,
чем в США;
· падение рождаемости: за один 1994 год оно составило
9,7% – беспрецедентный случай в истории нашей страны;
· средняя продолжительность жизни за последние три года
снизилась с 70 до 67 лет (по последним данным, в России – 58 лет);
· резкое увеличение числа абортов, которое достигло в
России половины количества этих операций, производимых во всём мире;
· распространение алкоголизма, снижение
иммунорезистентности, и, как следствие, - учащение эпидемических вспышек
опасных инфекционных болезней.
Глобальная картина состояния здоровья неуловима. Но наука
располагает определёнными данными, характеризующими с разных сторон состояние
здоровья в обществе.
Общепринятые показатели здоровья:
1.
Смертность и её причины, хотя эти
данные не полностью отражают картину здоровья.
2.
Продолжительность жизни при
рождении. Известны данные о том, что место рождения часто определяет возраст
смерти. Детям наименее развитых стран Африки предстоит прожить 40 лет, а
продолжительность жизни в развитых странах мира превысила 70 лет (выше всего в
Японии – 78 лет).
3.
Важный показатель – детская
смертность. Это более чувствительный показатель социальных условий и состояния
здоровья, чем средняя продолжительность жизни. В развитых странах мира
смертность детей колеблется от 10 до 25 случаев на 1000 живорождённых детей.
Здоровье детей и подростков – это фундамент, на котором
формируется здоровье взрослого человека. Перенесённые болезни в детстве
подтачивают этот фундамент, т.к. большинство из них не проходит бесследно и
заканчивается, как правило, различными нарушениями здоровья: от незаметных
невооружённым глазом структурно - функциональных сдвигов до инвалидности.
Всё это подтверждает мысль о том, что наиболее гуманными,
социально и экономически целесообразными мерами любого государства по
формированию здоровья нации являются меры по охране и укреплению здоровья
подрастающего поколения. Государство, не делающее этого, не имеет будущего
(ООН).
I.1. Факторы, определяющие здоровье человека
Человек рождается, живёт и
умирает в многофакторной природно-социальной среде, которая изменением своих
физических свойств, химического состава и информационно – коммуникационной
напряжённости оказывает на человека постоянное воздействие.
Человек познаёт окружающую
среду, как считают исследователи этого вопроса, и адекватно реагирует на её
факторы с помощью поступающей информации, представленной (И.И.Брехман) тремя её
видами:
·
Сенсорная – поступает через органы
чувств с помощью первой сигнальной системы;
·
Вербальная – проводником которой
является вторая сигнальная система (устное и письменное слово);
·
Структурная – поступает в организм
через дыхательную систему и желудочно-кишечный тракт – компоненты пищи, воды,
лекарств, вдыхаемого воздуха и др., структура которых представляет «язык
свойств», считываемых организмом.
Объём информации может быть оптимальным, избыточным,
недостаточным. Информация может быть необходимой (полезной), индифферентной,
вредной. Всё это формирует отношение организма к окружающей среде. От характера
информации зависят возможности организма к адаптации и компенсации.
I.2. Диагностика уровня здоровья
Окружающая человека среда чрезвычайно разнообразна и
многофакторна, что создаёт определённые трудности в оценке взаимоотношений
этого множества с организмом человека. Поэтому необходимой мерой является
классифицирование этого множества по наиболее общим признакам и ранжирование
значимости отдельных групп. С учётом таких посылок можно выделить три группы
факторов, наиболее значимых, определяющих:
· Качество
жизни людей;
· Наследственность;
· Образ
жизни и поведение человека (людей).
Качество жизни людей, по мнению многих исследователей и
приводимым ими фактам, является основным здоровьесберегающим и наиболее
эффективным комплексным фактором. Качество жизни граждан обеспечивается
государством, экономическими, социальными и оздоровительными программами.
Группа факторов, интегрированная в понятие «Качество жизни», определяя
здоровье, моральное и психологическое состояние людей, продолжительность их
жизни и социальную значимость, мало подвластна каждому индивидууму и даже
коллективам, зависит от государства и его социально – экономических,
экологических и других здоровьесберегающих программ.
Вторая группа факторов, определяющих популяционное здоровье
людей, начиная с рождения, – наследственность. Наследственные заболевания или
нарушения в физическом развитии и функционировании организма сопровождали
человечество издревле и были связаны с трудно объяснимыми изменениями в
отдельных звеньях генотипа. Эта группа болезней занимала сравнительно небольшой
удельный вес в патологии человека. XX
век, век научно-технического прогресса, коренным образом изменил значимость
этого фактора в формировании организма человека. Это связано с двумя группами
причин. Во – первых, это интенсификация потребления природных ресурсов,
переработка которых обусловила выброс в окружающую среду колоссального
количества отбросов, вредных для всего живого на Земле. Во – вторых, человек
сам активно разрушает свой генотип с помощью вредных привычек. Основными и
наиболее опасными из них является курение табака, неумеренное употребление
алкоголя, пристрастие к наркотикам (наркомания) и химическим веществам
наркотического действия (токсикомания).
Из анализа данных отечественных и зарубежных исследователей
причин болезней человека и их удельной значимости вытекает, что, если все
причины болезней и нарушений гармонического развития принять за 100%, то
расклад выглядит следующим образом: образ жизни и поведение людей определяет
50% всех болезней, состояние окружающей среды – 20%, наследственные факторы –
20%, состояние здравоохранения, его организация, медикаментозные и
технологические средства – 8%, прочие факторы – 2%. Таким образом, если
разделить 20 «наследственных» процентов на равные части и 10% присоединить к
первым 50%, так как человек лично «умудряется» изменять свой генотип с помощью
губительных привычек, то от каждого из нас зависит наше здоровье и долголетие
на 60%.
Таким образом, третьей группой факторов является образ
жизни, имеющий ведущее значение (60%) в сохранении и укреплении здоровья,
подвластный во многом регулированию самим человеком. Прежде всего, это не
столько то, чего человек не должен делать (вредные привычки), сколько то, что
он должен повседневно делать, укрепляя и совершенствуя организм, своё здоровье.
Здоровый образ жизни многообразен. Однако основными его
элементами являются система постоянного тренирующего и посильного возрасту
состояния здоровья движения; физиологически обоснованное питание, система
закаливания организма, использование природных методов периодической очистки
организма, знание и использование методов психологической разгрузки и
психологической амортизации; использование целебных и питательных резервов
зелёного царства Земли и многое другое. Элементы здорового образа жизни должны
способствовать не только отсутствию болезней, но такому состоянию здоровья,
которое ВОЗ определяет как «состояние полного физического, психического и
социального благополучия».
Диагностика
уровня здоровья. Состояние здоровья рассматривается как способность
организма адаптироваться к условиям окружающей среды. Переход от здоровья к
болезни происходит путём постепенного снижения адаптационных возможностей организма
через пограничные состояния, которые получили название донозологических. Организм
человека, испытывающий непрерывные стрессорные воздействия, необходимо рассматривать
как динамическую систему, осуществляющую непрерывное приспособление к условиям
среды путём изменения уровня функционирования отдельных систем и соответствующего
напряжения регуляторных механизмов. Приспособление или адаптация к новым
условиям достигается ценой затраты функциональных ресурсов организма.
Адаптация – одно из фундаментальных свойств живой материи,
является результатом и средством разрешения внутренних и внешних противоречий
жизни, существует и формируется на грани жизни и смерти, здоровья и болезни, за
счёт их столкновения и взаимоперехода. Адаптированность носит не только
биологический характер, но и социальный, достигается иногда ценой определённых
повреждений, дисгармонией по сравнению с нормой.
Гомеостатические свойства целостного организма являются
результатом одновременного действия многочисленных и сложноорганизованных
регуляторных организмов, среди которых одно из важных центральных мест занимает
вегетативная регуляция, обеспечивающая постоянное уравновешивание вещества и
энергии в организме, его органах и тканях.
Адаптация и гомеостаз – взаимосвязанные и дополняющие друг
друга процессы. На основании представлений о гомеостазе и адаптации И.И.Брехманом
и группой авторов была предложена классификация функциональных состояний
организма. По 10-ти балльной шкале предлагалось выделить достаточно тонкие
границы функциональных состояний у здоровых и практически здоровых людей.
В результате обобщения опыта массовых профилактических
обследований сформировалась классификация, включающая 4 класса состояний:
· здоровье
с достаточными функциональными (адаптационными) возможностями организма;
· донозологические
состояния, при которых оптимальные адаптационные возможности организма
обеспечиваются более высоким, чем в норме, напряжением регуляторных систем, что
ведёт к повышенному расходу функциональных ресурсов организма;
· преморбидные
состояния, характеризующиеся снижением функциональных возможностей организма и
проявляющиеся в 2-х стадиях:
а) с преобладанием неспецифических изменений со стороны
сердечно – сосудистой системы (ССС);
б) с преобладанием специфических изменений со стороны
определённых органов и систем, гомеостаз которых нарушен, но благодаря
механизмам компенсации проявление заболеваний может быть выражено или
находиться в начальной стадии и иметь компенсаторный характер;
· состояние
срыва адаптации с резким снижением функциональных возможностей организма в
связи с нарушением механизмов компенсации.
В данном состоянии, как правило, наблюдаются различные
заболевания в стадии субкомпенсации или декомпенсации. Снижение адаптационных
возможностей организма связано с изменением физиологических функций, в
частности, с изменением миокардиального и гемодинамического гомеостаза. Это
характеризуется ростом артериального давления, снижением внешней работы сердца.
Но при донозологических и преморбидных состояниях изменение физиологических
показателей не выходит за пределы клинической нормы и не привлекает внимание врачей.
Наибольший вклад в разработку методов прогностической оценки состояния
организма сделан Р.М.Баевским. Он осуществляет поиск методов, позволяющих
судить о состоянии организма на ранних стадиях его приспособительной деятельности.
Для более верной оценки эколого-социальных факторов необходимо учитывать
возрастные изменения функционального состояния организма. Каждая стадия
возрастных изменений входит в диапазон соответствующей нормы и не требует
специальных лечебных воздействий.
В представленной Р.М.Баевским схеме (рис.1) стадий
возрастных изменений исходным является возраст 21-23 года, когда ответы
организма на воздействие факторов внешней среды не сопровождаются включением в
механизм адаптации каких-либо дополнительных звеньев. Период профилактики заканчивается
к 40 годам и начинается период лечения. И.И.Брехман считает, что профилактика,
направленная на укрепление здоровья, во второй половине жизни человека ещё
более важна, чем для людей молодых и среднего возраста.
Рис. 1. Стадии возрастных
изменений.
I.3. Здоровье, возраст, работоспособность
В настоящее время принято выделять несколько компонентов
(видов) здоровья:
1. Соматическое здоровье –
текущее состояние органов и систем организма человека, основу которого
составляет биологическая программа индивидуального развития, опосредованная
базовыми потребностями, доминирующими на различных этапах онтогенетического
развития. Эти потребности, во-первых, являются пусковым механизмом развития
человека, а, во-вторых, обеспечивают индивидуализацию этого процесса.
2. Физическое здоровье –
уровень роста и развития органов и систем организма, основу которого составляют
функциональные резервы, обеспечивающие адаптационные реакции.
3. Психическое здоровье –
состояние психической сферы, основу которого составляет состояние общего
душевного комфорта, обеспечивающее адекватную поведенческую реакцию. Такое
состояние обусловлено как биологическими, так и социальными потребностями, а
также возможностями их удовлетворения.
4. Нравственное здоровье –
комплекс характеристик мотивационной и потребностно-информационной сферы
жизнедеятельности, основу которого определяет система ценностей, установок и
мотивов поведения индивида в обществе. Нравственным здоровьем опосредована
духовность человека, так как оно связано с общечеловеческими истинами добра и
красоты.
В упрощённом виде можно
считать, что критериями здоровья являются:
· для соматического и физического здоровья – я могу;
· для психического – я хочу;
· для нравственного – я должен.
Признаками здоровья являются:
· специфическая (иммунная) и неспецифическая
устойчивость к действию повреждающих факторов;
· показатели роста и развития;
· функциональное состояние и резервные возможности
организма;
· наличие и уровень какого-либо заболевания или дефекта
развития;
· уровень морально-волевых и ценностно-мотивационных
установок.
Работоспособность человека –
умение мобилизовать свою энергию на высококачественное выполнение той или иной
работы. Работоспособность зависит от разных факторов:
1) физиологические – возраст,
пол, состояние здоровья, питание, отдых;
2) физические – воздействуют
на организм через органы чувств: степень и характер освещения помещения,
температура воздуха и его влажность;
3) психические – включают
самочувствие человека, его настроение, а также воздействие поощрений, порицаний
и другое.
В повседневной жизни все эти
факторы действуют в совокупности. А знание динамики работоспособности организма
детей и подростков даёт возможность правильно организовать их деятельность. Чем
старше ребёнок, тем он более работоспособен, успешнее сопротивляется утомлению.
Специальные исследования умственной работоспособности школьников показали, что
13-14-летний подросток сделает работу в два раза большую, чем ребёнок 7-8 лет.
С возрастом повышается мышечная работоспособность, возрастает и сила, и
выносливость. Ребёнок менее утомляется при равномерной нагрузке. Всё это – следствие
развития и совершенствования сердечно-сосудистой и дыхательной систем, обеспечивающих
потребности организма в кислороде.
Всем физиологическим
процессам, протекающим в организме человека, присущи ритмические колебания. В
этом, по наблюдению физиологов, проявляется установка ЦНС и её высшего отдела –
коры больших полушарий человеческого мозга на «отсчёт времени». Наукой
установлены закономерности возрастных изменений работоспособности учащихся.
Наиболее общими параметрами,
характеризующими функциональное состояние ЦНС при бодрствовании, являются
основные свойства нервной системы: возбудимость, реактивность, лабильность и их
соотношения. Совокупность этих показателей определяет состояние ЦНС. В свою
очередь, различные уровни возбудимости и реактивности нервной системы являются
результатом взаимодействия коры больших полушарий с нижележащими отделами
мозга, в частности, неспецифическими системами ствола и среднего мозга.
Особенности этих взаимодействий определяются, с одной стороны, уровнем морфофункциональной
зрелости этих структур, а с другой – воздействием регуляционных механизмов,
запускаемых различными факторами.
Определение особенностей
адаптивных реакций мозга при выполнении того или иного вида деятельности на
каждом отдельном этапе онтогенеза имеет большое значение для разработки и
организации оптимальных форм и методов воспитания и обучения. Сопоставление
данных, полученных нейрофизиологическими исследованиями, с данными изучения
работоспособности, а также педагогическими характеристиками учащихся выявило
волнообразные изменения (в течение учебного года) умственной работоспособности
и внимания. Эти сдвиги объясняются особенностями школьного режима и
интенсивностью умственной деятельности.
I.3.1. Динамика
умственной работоспособности
Работоспособность имеет свойства
периодически изменяться в течение суток, по дням недели и сезонам года.
При выполнении определённой
работы работоспособность имеет определённые колебания:
а) фаза врабатывания;
б) фаза оптимальной
устойчивой работоспособности;
в) фаза утомления;
г) повышение
работоспособности, «конечный порыв».
У большинства людей с чётким
режимом дня, особенно современным, каждый день в одно и то же время отходом ко
сну и утренним подъёмом, в вечерние часы в коре головного мозга всё интенсивнее
нарастает торможение и работа в это время оказывается не продуктивной.
При изучении умственной
работоспособности в течение 2001-2002 учебного года по 7 классам московских
школ было подвергнуто анализу 36000 данных, которые показали статистически
достоверные изменения скорости, точности, продуктивности от начала к концу
занятий. Без учёта количества уроков в день у учащихся интенсивность (скорость)
работы повышалась на 13% от начала занятий к их окончанию и оставалась без
существенных изменений до конца самоподготовки. При этом количественный
показатель (точность работы) возрастал от начала занятий к концу
самоподготовки.
Динамика коэффициента
продуктивности, при расчётах которого учитываются значения как объёма задания,
так и степень точности её выполнения, оказалась аналогичной изменению скорости
работы. Сила активного внутреннего торможения (САВТ) от 8 часов 30 минут падала
к концу всех уроков, существенно восстанавливалась к концу самоподготовки и
резко ухудшалась к её завершению.
Сопротивляемость организма
утомлению (показатель адаптивности) к окончанию занятий, особенно к концу
самоподготовки, ухудшается существенно. Подобные изменения прослеживались в
течение дня в разные периоды учебного года, лишь уровень показателей был более
высоким в 3 и 4 четвертях (февраль, апрель), нежели в первой четверти (октябрь).
Наибольшее напряжение ЦНС организм детей испытывает в начале учебного года.
Однако на фоне относительно
высоких показателей работоспособности учащихся количество ошибок на
дифференцировку к концу года возрастает на 30%, что отражает ухудшение работы
ЦНС, нарушение равновесия между возбудительным и тормозным процессами,
ослабление активного внутреннего торможения.
Недельная динамика умственной
работоспособности также характеризуется фазовыми подъёмами и существенными
спадами. В большинстве случаев в начале и конце недели скорость и точность
работы оказывается ниже, чем в её середине.
Ухудшение работоспособности и
резкое (на 10,7%) падение к среде показателя адаптивности, величина которого
отражает уровень адаптированности организма к учебной нагрузке в недельном временном
периоде, указывает на раннее наступление утомления, существенное напряжение
механизмов регуляции функционального состояния физиологических систем и поиск
ресурсов для выравнивания работоспособности. В результате обеспечивается
относительно высокий подъём (только в четверг) всех показателей умственной работоспособности.
Рассмотренная динамика
работоспособности по средним величинам показателей отчётливо выражена и в
каждый из периодов года. По данным М.В.Антроповой (1984г.), скорость и точность
работы достоверно увеличивается соответственно на 33% и 23% от 1 к 2 четверти и
31% и 10% от 3 к 4 четверти. Существенно повышается устойчивость дифференцировок,
адресованных ко второй сигнальной системе.
Несмотря на довольно
значительные колебания работоспособности учащихся и их утомление от начала к
концу учебных занятий в течение дня, динамика показателей от сентября к апрелю
благоприятна.
Таким образом, результаты
изучения дневной и недельной динамики работоспособности в течение года
позволяют утверждать, что в условиях действующего режима занятий и низкой
двигательной активности общая учебная нагрузка является чрезмерной. Она приводит
к утомлению большинства здоровых, прилежных и дисциплинированных учащихся, к
дефициту отдыха и ночного сна. У части учащихся к концу дня и недели
функциональное состояние ЦНС находится на грани перенапряжения.
I.3.2. Учебная
нагрузка и работоспособность
Охрана здоровья детей требует строгого нормирования
различных видов их деятельности и правильной организации режима суток. Это не
значит, однако, что школьники вообще не должны утомляться. Наоборот, до
определённого предела напряжение функциональных систем, временное снижение
полноценности функции – утомление – необходимо. Без этого не будет
совершенствования функциональных систем, становления нового уровня
регулирования, долговременной адаптации учащихся к умственной и физическим нагрузкам.
Важно оградить учащихся от
чрезмерного утомления, рационально организовать учебные занятия, повысить
двигательную активность и обеспечить эффективный отдых.
Исследования, выполненные
М.В.Антроповой по нормированию учебной деятельности учащихся, преимущественно –
продолжительности самостоятельных учебных занятий по подготовке домашних
заданий, показали, что в условиях организации работы, отдыха и питания
учащихся, отвечающих требованиям гигиены, наиболее эффективная продолжительность
подготовки уроков составляет у учащихся 6-7 классов 2,5 часа. Вместе с тем, 150
минут активной работы с учётом времени перерывов (всего18 минут), являются и
предельно допустимой продолжительностью работы, ибо после её завершения у
учащихся регистрировались признаки острого утомления: нарастание произвольных
перерывов, падение остроты зрения и электрической чувствительности, низкая
умственная работоспособность.
Установленные нормативы
получили своё подтверждение при физиолого-гигиенической оценке организации
обучения и учебной нагрузки школьников в условиях перехода школы на новое
содержание образования.
Колебания работоспособности в
течение учебных занятий – её спады, а затем подъёмы – связаны с рядом причин.
Среди них важную роль играют чередование уроков по степени сложности предмета,
использование активных методов преподавания и технических средств обучения, и
т.п. На 5-м уроке у младших школьников и 6-м уроке у старших школьников
работоспособность снижена на 50% по сравнению с 1-2 уроками, поэтому уроки
труда, физической культуры, музыки, изобразительного искусства как наиболее лёгкие
следует проводить последними.
Изменение уровней показателей
умственной работоспособности зависит и от количества уроков, что отчётливо
выражено в каждый из периодов учебного года.
При шести и даже пяти уроках
в конце самоподготовки уровень показателей оказывается на 18-22% ниже, чем при
четырёх уроках. Скорость работы оставалась относительно высокой до конца
самоподготовки при 4 уроках и уменьшалась при 6 уроках.
Подъёмы и спады показателей
от часа к часу занятий в разные периоды учебного года демонстрировали
перестройки в функциональном состоянии физиологических систем.
I.3.3.
Педагогические аспекты изучения и
нормирования учебной нагрузки
Практика работы школы и развитие педагогической науки в
нашей стране показывают, что изучение учебной нагрузки школьников становится
особенно актуальным в процессе перехода школы на новое содержание образования.
Увеличение объёма и возрастание сложности учебной информации при относительно
неизменном учебном плане школы (время, отводимое на изучение отдельных школьных
предметов) выдвигают проблему обоснования оптимальной общей и учебной нагрузки
школьников в число наиболее важных педагогических проблем. На начальном этапе
при создании программ проблема нормализации учебной нагрузки решалась путём
строгого отбора учебного материала. Многие вопросы на этом этапе решались на
основе экспертных оценок, анализа опыта преподавания и тенденции развития
данного учебного предмета, методики преподавания. Вместе с тем, целый ряд
вопросов требовал экспериментального подтверждения, результаты которого и
являлись критериями при определении глубины изучения того или иного раздела. К
комплексному исследованию учебной нагрузки школьников методисты приступили, уже
имея в отношении её педагогических аспектов определённые теоретические
разработки, экспериментальные данные. Результаты теоретических исследований
нашли отражение в работах А.С.Чеснокова, Е.К.Страута и И.М.Курдюмовой (1984г.).
В этой работе выделены параметры, по которым можно оценить объём учебной
нагрузки школьников.
Для количественной
характеристики учебной нагрузки учащихся использовались следующие параметры:
1) число элементов знаний
(понятия, термины, правила, факты, явления);
2) объём текста (учебник,
дополнительная литература);
3) число заданий, выполняемых
учащимися в процессе урока и дома;
4) объём учебного времени, необходимого
для выполнения занятий, рекомендуемых программой;
5) объём учебного времени,
используемый для систематического повторения, проверки и контроля знаний.
Анализ программ, учебников
(учебных пособий), сборников задач и упражнений, тематического и поурочного
планирования позволили дать характеристику учебной нагрузки учащихся по первым
трём из числа перечисленных выше параметров. Это дало возможность судить об
изменении нагрузки по классам и её распределении по неделям в течение учебного
года.
В ходе экспериментальных
исследований оказалось возможным выделить три группы психолого-педагогических
факторов, влияющих на объём и содержание учебной нагрузки школьников. Первая из
них определяет, характеризующие учебный процесс по данному предмету и включающие
программу, учебники, планирование уроков, деятельность учителя и ученика,
которые определяются принятой методикой обучения. Ко второй относятся факторы,
определяющие условия обучения в конкретной школе (расписание уроков, внеклассной
работы). Третью группу составляют факторы, характеризующие самого ученика с
точки зрения сформированности учебных умений и навыков, а также уровня
психического развития и физиологического состояния его организма. Разумеется,
факторы, относящиеся к различным группам, взаимосвязаны между собой и эту связь
необходимо учитывать, если рассматривать учебный процесс и сопутствующие ему
явления в динамике.
В ходе комплексного
исследования важно было получить качественную и количественную оценку того
влияния, которое оказывает на общую нагрузку школьное расписание. Установленная
неравномерность учебной нагрузки в течение недели подтверждается по параметрам:
числу страниц учебного материала текста к числу заданий, выполняемых в классе и
дома (рис.2).
Рис. 2.
Распределение объема учебной нагрузки учащихся по дням недели (В.В.Усанов).
Решать вопрос о распределении
нагрузки по дням недели следует с учётом данных, полученных физиологами о
динамике работоспособности учащихся, об изменении физиолого-гигиенических
показателей, которые характеризуют показатели их организма.
Более сложным является вопрос
о причинах возникновения в ходе учебного процесса перегрузки в тех случаях,
когда материал, изучаемый согласно программе, соответствует как учебному плану,
так и возможностям учащихся.
Центральным звеном
учебно-воспитательного процесса является урок. Поэтому важным становится вопрос
о том, как следует строить урок, с тем, чтобы не допустить возникновения
перегрузки учащихся. С этой целью в процессе комплексного исследования
обращалось особое внимание на построение урока, его отдельные компоненты, на
выявление того, какое влияние они могут оказать на объём домашней нагрузки
учащихся.
Для устранения перегрузки
учащихся домашней работой путём перенесения центра тяжести учебной нагрузки на
урок нужны обоснованные расчёты времени на различные виды учебной работы,
выполняемой в ходе приготовления домашнего задания по каждому предмету, с помощью
которых учитель может регламентировать учебную нагрузку класса и каждого
ученика в отдельности. Необходимо также выяснить, какую долю в утомляемость
учащихся может вносить сама учебная работа, а в какую – различные преходящие
факторы, сопровождающие процесс обучения: психическое и физиологическое
состояние учащихся, которое является следствием несоблюдения
физиолого-гигиенических норм в школе и дома, нежелание учиться, страх перед
получением неудовлетворительной оценки и т.д.
Разрабатывая совместно с психологами
рекомендации по оптимальному объёму, сложности и скорости изучения учебного
материала на уроке и дома, планирование учебного процесса и совершенствуя
методику обучения, методисты нуждаются в получении со стороны физиологов
показателей нормативной работоспособности школьников, данных о том, какую же
долю вносит сама учебная деятельность учащихся в их общую нагрузку.
I.4. Типология высшей нервной деятельности
В разные периоды развития
общества по-разному решались оздоровительные, воспитательные, образовательные
задачи в отношении подрастающего поколения, но всё же прямо или косвенно
затрагивалась проблема работоспособности организма ребёнка.
Стремление поддержать высокую
работоспособность ребёнка, охранить его от чрезмерного утомления возникло,
видимо, с началом систематического обучения детей (в России – в X-XI
веках). (М.В.Антропова, 1968г.).
В древних рукописях
упоминаются отдельные элементарные правила гигиены воспитания и обучения –
необходимость закаливания и дневного сна, значение пищи, питья, сна и покоя.
Основные положения по гигиене
воспитания и обучения впервые были сформулированы в законодательном акте –
«Духовном регламенте». Здесь указывается на необходимость преподавать предметы
в сокращении, давая основы предмета, чтобы не перегружать и не утомлять
учащихся.
Начиная с середины XIX
века, ряд врачей, физиологов и педагогов в России и во многих других странах
посвящают свои работы изучению режима дня учащихся, их учебной нагрузки,
состояния здоровья и динамики работоспособности: Нестеров В.Г. (1882 г.);
Быстров Н.И. (1886г.) – врач, профессор; Беляев А.В. (1887 г.); Яковлева А.А.
(1889г.) – врач-психиатр.
Они выявили различные
отклонения в состоянии здоровья учащихся, вызванные большой учебной нагрузкой
(нервные расстройства, головная боль и др.).
Большинство работ,
посвященных изучению работоспособности учащихся под влиянием умственной
деятельности, проводились в то время с использованием одной из частных методик
исследования: эргографии, эстезиометрии, дозирования работы – подсчета букв,
написания диктантов, записи частоты дыхания и пульса, определения кровяного давления.
Однако уже тогда многие авторы указывали на то, что изучение состояния организма
с применением только одной методики не дает полной картины работоспособности детей.
Не учитывались возрастные психологические особенности детей, факторы внешней
среды, режим дня, не уделялось внимание отбору детей по состоянию здоровья,
физическому развитию, успеваемости.
С крупнейшими открытиями
И.М.Сеченова, И.П.Павлова, Н.Е.Введенского и А.Д.Ухтомского стало возможным не
только иначе вести исследования, но и давать им иную трактовку. Знания основных
законов высшей нервной деятельности вообще и типологических особенностей
высшей нервной деятельности ребенка на разных возрастных этапах, в частности,
дает возможность правильно подходить к разработке педагогического процесса,
толкования фактических результатов наблюдений детей и экспериментов.
«Темперамент» (от латинского tempetramentum – надлежащее соотношение частей) – характеристика
индивида со стороны динамических особенностей психической деятельности, то есть
темпа, ритма, интенсивности отдельных психических процессов и состояний. В
структуре темперамента можно выделить три главных компонента: общую активность
индивида, его двигательные проявления и эмоциональность.
Общая психическая активность
характеризует «динамические» особенности личности, ее тенденции к
самовыражению, эффективному освоению и преобразованию внешней действительности.
Степени активности распределяются от вялости, инертности и т.д., до предельной
энергичности, стремительности действий.
Двигательный или моторный
компонент определяется его значением как средства, с помощью которого
актуализируется внутренняя динамика психических состояний.
Среди динамических качеств
двигательного компонента следует выделить быстроту, силу, резкость, ритм,
амплитуду и ряд других признаков мышечного движения (часть из них относится к
речевой моторике).
Эмоциональность характеризует
особенности возникновения, протекания и прекращения разнообразных чувств,
эффектов и настроений. Основные моменты «эмоциональности» – впечатлительность,
импульсивность, эмоциональная лабильность.
Впечатлительность выражает
степень эффективной восприимчивости субъекта, импульсивность – быстроту, с
которой эмоция становится побудительной силой поступка и действий,
эмоциональная лабильность – скорость, с которой данное эмоциональное состояние
прекращается или сменяется другим.
История формирования учения о типах высшей нервной деятельности
Наиболее древнейшими являются
гуморальные теории, связывающие темперамент со свойствами тех или иных жидких
сред организма. Так, Гиппократ считал, что преобладание горячей крови (sangvis)
делает человека энергичным и решительным сангвиником, избыток охлаждающей слизи
(phlegma) придает ему черты хладнокровного и медлительного
флегматика, едкая желчь (chole) обуславливает вспыльчивость и раздражительность холерика,
а черная испорченная желчь (melaiha chole) определяет поведение
вялого унылого меланхолика.
В новое время психологическая
характеристика этих типов темперамента была систематизирована И.Кантом:
сангвинистический характер отличается быстрой сменой эмоций при малой их
глубине и силе; меланхолический – глубиной и длительностью переживаний;
флегматический – медлительностью, спокойствием и слабостью внешнего выражения
чувств. Однако в своих толкованиях И.Кант допустил смешение черт темперамента и
характера. Определяющую роль в становлении темперамента И. Кант приписывал
качественным особенностям крови.
Близко к гуморальным теориям
стоит идея П.Ф.Лесгафта о том, что в основе проявлений темперамента в конечном
счете, лежат свойства системы кровообращения, а именно толщины и широты стенок
сосудов у различных людей.
В 1924 году немецкий
психопатолог Э.Кречмер в своей книге «Строение тела и характер» излагает
морфологическую теорию, в которой определяет темпераменты через основные
конституционные типы телосложения. Свои исследования он начинает с душевнобольных
и исходит из двух основных форм душевных заболеваний – циклотимии и шизофрении
– и устанавливает корреляцию между конституцией человека и его характером в
этих случаях. Далее он выходит в своих выводах за пределы психиатрии и включает
в круг рассмотрения все разнообразие черт характера человека. Согласно
Кречмеру, для людей шизотимического (шизоидного) темперамента характерны
следующие особенности: астенический тип конституции (длинная и узкая грудная
клетка, длинные конечности, удлиненное лицо, слабая мускулатура) и свойства
психастенической шкалы (от чрезмерной ранимости, аффективности до раздражительности
и тупого «деревянного» равнодушия). Шизоидам присущи замкнутость, уход в себя,
свой внутренний мир, несоответствие реакций внешним стимулам, контрасты между
судорожной порывистостью и скованностью действий. К циклоидному
(циклотимическому) темпераменту Кречмер относит людей пикнического типа с
широкой грудью, коренастой фигурой, круглой головой, выступающим животом. Их
индивидуальные особенности располагаются вдоль «диастенической шкалы», т.е. от
повышенного весёлого настроения у маниакальных субъектов до постоянно
сниженного и мрачного состояния духа у депрессивных индивидов. Циклоидам
свойственны соответствие реакций стимулам, открытость, умение слиться с
окружающей средой, естественность, мягкость и закруглённость движений.
Кречмер утверждал, что в
основе всего разнообразия характеров лежат два вышеназванных противоположных
типа, которые существенно различаются между собой и в своём крайнем проявлении
дают душевную болезнь. Они встречаются в обыденной жизни, но в более или менее
разбавленном виде.
Кречмер преувеличивал роль
конституционных особенностей как факторов психического развития личности. Он
исходил из первостепенного значения желез внутренней секреции для строения тела
и образования темперамента.
I.4.1. Основные
положения современного
учения о типах высшей нервной деятельности
Теоретическое и экспериментальное обоснование ведущей роли
центральной нервной системы (ЦНС) в динамических особенностях поведения впервые
дал И.П.Павлов, выделивший три основных свойства нервной системы: силу,
уравновешенность и подвижность процессов возбуждения и торможения. Из ряда
возможных сочетаний он выделил четыре типа высшей нервной деятельности:
1.
Сильный, уравновешенный, подвижный (живой) тип с сильно
выраженными процессами возбуждения и торможения, их уравновешенностью и
способностью к лёгкой замене одного другим.
3.
Сильный неуравновешенный тип – с сильными процессами
возбуждения, преобладающими над торможением. Отрицательные рефлексы
вырабатываются с трудом, агрессивен.
4.
Слабый тип отличается слабыми процессами возбуждения и
легко возникающими тормозными реакциями, труслив, характерны
пассивно-оборонительные реакции.
Проявление этих типов в поведении Павлов поставил в прямую
зависимость с античной классификацией Гиппократа:
Рис. 3. Схема типов ВНД по И.В.Павлову.
При оценке этой типологии надо иметь в виду, что она была
построена применительно к ВНД животных и непосредственно к человеку неприложима
без существенных оговорок.
Б.М.Теплов и В.Д.Небылицин предложили, помимо силы,
уравновешенности и подвижности нервных процессов, ввести ещё свойство
динамичности.
Динамичность характеризует скорость формирования
положительных и отрицательных временных связей. Каждым их этих четырёх свойств
должно характеризоваться как возбуждение, так и торможение. Например, говоря о
силе нервных процессов, следует подразделять это свойство на силу возбуждения и
уравновешенность силы возбуждения и торможения. В этом случае можно будет более
полно характеризовать типологические особенности человека.
Тип нервной системы врождённый и в целом его изменить
нельзя. Однако И.П.Павлов экспериментально доказал возможность изменения
отдельных его свойств. Так, оказалось возможным путём тренировки у безудержного
типа (холерика), у которого сильный процесс возбуждения не уравновешен менее
сильным процессом торможения, добиться силы тормозного процесса и привести его
в определённое равновесие с процессом возбуждения. Павлов считал, что путём
длительной тренировки можно укрепить нервную систему даже слабого типа, тем
более, что, по мнению В.Д. Небылицина, слабый тип обладает высокой
чувствительностью, благодаря которой он может приспосабливаться к условиям
жизни.
И.П.Павлов предлагал выделять человеческие типы высшей
нервной деятельности на основе степени развития первой и второй сигнальной
системы. Он выделял:
1.
Художественный тип, для которого характерно конкретное
мышление, преобладание первой сигнальной системы, то есть чувственное
восприятие действительности. К этому типу относятся люди с хорошо развитым
чувственным восприятием, выраженными аффектами на всё происходящее. Они склонны
к профессиям чувственно-эмоционального круга. Этот тип часто отмечается у
актеров, художников, музыкантов. При невротическом срыве люди художественного
типа склонны давать реакции истерического круга.
2.
Мыслительный тип, когда хорошо выражено отвлечение от
действительности, абстрактное мышление. К этому типу относятся личности с
хорошо развитым абстрактным мышлением и отвлеченными понятиями. Они склонны к
занятиям математикой, теоретическими науками. При невротическом срыве склонны
к психастеническому типу реакции.
3.
Средний тип, когда нет преобладания того или иного образа
мышления. Павлов считал, что крайние типы встречаются редко, а большинство
людей относятся к среднему типу, то есть эта классификация, тоже не отражает
все разнообразие форм ВНД человека.
Многие ученые отмечают, что значение работ И.П.Павлова по
проблеме темпераментов заключается прежде всего в выяснении роли свойств
нервной системы как первичных и самых глубоких параметров психологической
организации индивида.
I.4.2.
Психолого-педагогический аспект типологических особенностей ВНД
В психологи издавна описание темперамента охватывало четыре
типа, в основу которых положено учение относительно основных типов
человеческого поведения.
Американский ученый (психолог) У.Шелдон в своей концепции
выделяет три основных типа соматической конституции («соматотипа»):
эндоморфный, мезоморфный и эктоморфный.
Для эндоморфного типа характерны мягкость и округлость
внешнего облика, слабое развитие костной и мускульной систем. Ему соответствует
висцеротонический темперамент с любовью к комфорту, чувственными устремлениями,
расслабленностью и медленными реакциями.
Мезоморфный тип отличается жесткостью и угловатостью
облика, преобладанием костно-мускульной системы, атлетичностью и силой. С ним
связан соматотонический темперамент с любовью к приключениям, склонности к
риску, жаждой мускульных действий, агрессивностью.
Эктоморфному типу свойственны изящество и хрупкость
телесного облика, отсутствие выраженной мускулатуры. Этому соматотипу
соответствует церебротонический темперамент, характеризующийся малой
общительностью, заторможенностью, склонностью к обособлению и одиночеству,
повышенной реактивностью.
Как и Кречмер, Шелдон проводит мысль о фатальной
соматической обусловленности самых разнообразных психических черт личности, в
том числе и таких, которые целиком определяются условиями воспитания и
социальной сферы.
Л.С.Выготский, анализируя описанные Н.Н.Корниловым в 1921
году темпераменты детей в книге «Очерки психологии ребенка раннего возраста»,
выделил основной описываемый автором признак – тип движения органов или
готовность движений, угадываемый в чертах тела. Для дальнейшего объяснения
классификации Корнилова Выготский подключает ещё одну характеристику реакции
(кроме темпа реагирования быстрого или медленного) – динамичность или силу.
Корнилов характеризует основные типы человеческого
поведения:
1) лица с природной склонностью к быстрому и сильному
способу реагирования – мускульно-активный тип;
2) мускульно-пассивный тип – лица с природной склонностью к
быстрому и слабому реагированию;
3) сенсорно-активный тип – лица с природной склонностью к
медленному и сильному способу реагирования;
4) сенсорно-пассивный тип – люди с природной склонностью к
медленному и слабому способу реагирования.
Л.С. Выготский делает вывод о том, что эти четыре типа
установлены независимо от учения о темпераментах и в конечных выводах
совпадают с классическим учением.
Английский психолог Ганс Юрген Айзенк предложил диаграмму,
характеризующую типы темпераментов следующими качествами и характеристиками
(рис. 4).
Рис. 4. Диаграмма типов темперамента по Г.Ю.Айзенку.
Чрезвычайно сложным является вопрос определения границ
темперамента, возможен ли переход лиц с природной склонностью к одному типу в
результате упражнения в другой тип и т.д. Экспериментальные исследования
показали, что правила перевоспитания темпераментов охвачены общим законом,
первостепенно значимым для педагогики. Всякий человек легко переходит от
ослабленного к усиленному типу реакции, т.е. от пассивного к активному способу
реагирования, от замедленного к ускоренному. Обратный переход от быстрого к
медленному и от сильного к слабому типу оказывается чрезвычайно затруднительным
и в целом ряде случаев почти невозможным.
Таким образом, легче всего поддаются перевоспитанию лица
сенсорно-пассивного типа, труднее всего поддается воспитанию (перевоспитанию)
группа мускульно-активного типа (холерического), так как их нельзя приучить к
хладнокровию. Решающее значение для педагога имеет точное различение черт,
которые определяются нервно-психической организацией ребенка и действуют с
рождения, и черт, которые могут быть названы воспитательными. Или: что в
характере принадлежит прирожденной конституции и что – воспитанию?
Общий тип нервной системы (темперамент) мало влияет на
усвоение теоретических знаний, но имеет немаловажное значение при овладении
практическими знаниями, в результате чего успехов достигают быстрее всех
представители живого типа (сангвиники), а у слабого типа (меланхолики) процесс
обучения значительно замедлен. Это необходимо учитывать при профессиональной
подготовке. Однако, человек с любым типом нервной системы может овладеть
вершинами культуры и стать полноценным членом общества. Этот вопрос до сих пор
является предметом активных споров.
Долгое время учёные придерживались диаметрально
противоположных мнений: биологи и физики в большинстве своём были слоны
относить особенности характера исключительно к биологическим моментам
конституции; психологи социального толка придерживались обратных позиций.
И только учение И.П.Павлова пролило свет на этот вопрос,
позволило испытать совершенно новую его постановку и примерило обе крайние
точки, определив с точностью экспериментального естествознания истинную роль
каждого.
I.4.3. Возрастные
особенности ВНД младших школьников
В 1954 году русский физиолог Н.И.Красногорский предложил классификацию
типов ВНД у детей, в которой учтены взаимоотношения сигнальных систем и
взаимодействие коры с подкоркой. Эта классификация в настоящее время является
наиболее полной и включает четыре типа.
Сангвинический тип – оптимально возбудимый, уравновешенный,
быстрый. Характеризуется быстрым образованием условных рефлексов, которые легко
угасают и легко восстанавливаются. Возбуждение и торможение легко сменяются.
Речь быстрая, громкая, отчётливая, с правильными ударениями и интонациями, с
богатым запасом слов, выразительной мимикой.
Флегматический тип – сильный, оптимально возбудимый,
уравновешенный, медленный. Условные рефлексы образуются быстро и прочно,
имеются прочные тормозные реакции. Дети легко приспосабливаются к силе
условного раздражителя, примерно ведут себя, хорошо учатся. Речь правильная, с
достаточным словарным запасом, без резко выраженных эмоций, жестикуляции,
мимики. При трудных заданиях повышают свою активность, стараются их выполнить.
Холерический тип – сильный, повышенно возбудимый, безудержный,
неуравновешенный. Характеризуется сильной подкорковой деятельностью, которая не
всегда в полной мере регулируется корой. Условные связи образуются медленнее,
чем у первых двух типов. Дети учатся удовлетворительно, но тяжело
приспосабливаются к требованиям школы. Они высоко эмоциональны, возбудимы и
вспыльчивы, им свойственны «взрывы» необоснованных реакций, сопровождающихся
избыточной подвижностью. Речь развивается нормально, но бывает нервная, с
колеблющимися интонациями.
Меланхолический тип – слабый, пониженно возбудимый,
уравновешенный, отличается общей пониженной возбудимостью коры и подкорки,
сравнительно низкой деятельностью сигнальных систем. У таких детей медленно
образуются условные рефлексы, они быстро утомляются и впадают в тормозное состояние.
Речь слабая, тихая, бедна словами. У детей данного типа легко развиваются
невротические реакции и неврозы.
Тип ВНД во многом определяется врождёнными свойствами
нервной системы, но не является совершенно незыблемым. Павлов, изучая
особенности типологических свойств нервной системы, пришёл к выводу, что
необходимо различать генотип (наследственную основу ВНД или темперамент) и
фенотип – сплав наследственных и приобретённых черт ВНД, что и составляет
характер.
Любой ребёнок в процессе развития совершает эволюцию от
холерического, художественного (по И.П. Павлову) темперамента к уравновешенному
мыслительному. Тем не менее, существуют дети явно возбудимые и явно
заторможенные, энергичные и пассивные, самоуверенные и робкие, выносливые и
утомлённые.
На протяжении школьного периода организм ребёнка
претерпевает множество перемен в физическом плане, в ЦНС. Для каждого
возрастного периода характерны отличительные особенности, знание которых
необходимы педагогам, родителям, самим учащимся.
Возрастной интервал от 6,5 до 10 лет объединяет школьников
начальной школы. Этот период протекает с сокращением скорости роста в длину
(лишь на 2-3 см в год), появлением избыточного веса, происходит снижение
интенсивности обменных процессов, частоты сокращения сердца и дыхания в покое,
возрастает величина ударного объёма сердца и резервных объёмов дыхания,
завершается определённый этап формирования двигательного качества – ловкости,
хотя, с другой стороны, они ещё далеко не достигают максимальных показателей
быстроты (частоты повторений) в простейших движениях, их абсолютная и
относительная сила сравнительно невелика. Физиологические функции стремительно
развиваются, но во многом отличаются от окончательного, взрослого уровня. Объём
выполняемой работы до появления признаков утомления составляет 40 кДж, а у
взрослого в 40 раз больше. У них высоки ежедневные энергозатраты, остаётся
недостаточно зрелой система регулирующих механизмов организма (нервных и
эндокринных). Любое напряжение организма в этот период всегда связано с активной
перестройкой работы чуть ли не всех органов и систем, и цена адаптации к
изменению внешних условий особенно велика. В период от 6-7 до 9-10 лет
изменяются структура и функции мозга, его адаптационные возможности.
Дети, принадлежащие к данной возрастной категории,
отличаются повышенной сенситивностью к факторам среды и особо нуждаются в
индивидуализации учебно-воспитательного процесса с учётом их возрастно-половых
особенностей и индивидуальных свойств ЦНС.
Глава II. Организация и методы исследования
II.1. Характеристика контингента обследуемых и
организация исследования
Показатели здоровья являются наиболее объективными и
надёжными критериями благоприятного или неблагоприятного влияния факторов
внешней среды, в том числе и обучения, на рост и развитие организма. Их знание
позволяет обосновать профилактические мероприятия по охране и укреплению
здоровья.
Нами было обследовано 48 учащихся (27 мальчиков и 21
девочка) в возрасте 6,5 – 8 лет, обучающихся в 1-х классах Ладбалковской ГОУ
СОШ № 2 Красногвардейского района, Ставропольского края (1 «А» класс –
экспериментальный класс, 1 «Б» класс – контрольный класс).
Изучались данные антропометрии, основные показатели
гемодинамики, состояние резервов ССС по величине адаптационного потенциала с
использованием принципов метода, предложенного Баевским (1984г.) в модификации
П.А.Филеши, Н.Н.Сиваковой (1994г.). Данное исследование проводилось в три
этапа:
1) начало учебного года – 15.09.01г.;
2) середина учебного года – 17.12.01г.;
3) конец учебного года – 24.05.02г.
Данные исследования были проанализированы Министерством
Образования Ставропольского края (сектор здоровьесберегающих технологий),
СКИПКРО (кафедра педагогики и психологии здоровья), СГУ (кафедры
психофизиологии, анатомии, физиологии и гигиены человека).
II.2.
Методы исследования
II.2.1. Определение
уровня физического развития (антропометрия)
Для характеристики физического развития и телосложения
используются следующие антропометрические измерения: длина тела (см), масса
тела (кг), окружность грудной клетки (см), окружность плеча (см), окружность
бедра (см), ширина плеч (см), ширина таза (см), длина туловища (см), длина
верхней и нижней конечности (см).
Перечисленные показатели физического развития определялись
общепринятыми методами (Рис.5.).
Рис. 5. Методика замера уровня
отстояния нижнего края лопатки от грудной клетки (грудино-лопаточный тест).
Измерение тела
При измерении длины, тела испытуемый
стоял на платформе ростомера, выпрямившись, слегка выпятив грудь и втянув
живот, руки по швам, пятки вместе, носки врозь, касаясь вертикальной стойки
ростомера пятками, ягодицами, межлопаточной областью, а голову держал так,
чтобы верхний край козелка уха и нижний край глазницы находились в одной
плоскости. Линейка плотно, но без нажима касается темени.
Окружность грудной клетки измеряется
при максимальном вдохе, максимальном выдохе и при спокойном дыхании с помощью
сантиметровой ленты. Лента располагается сзади под углом лопатки, спереди по
нижнему краю околососковых кружков. У девочек лента проходит спереди на уровне
среднегрудинной точки (4-е ребро, начало грудных желёз). Разность в окружности
грудной клетки при максимальном вдохе и максимальном выдохе дала значение
экскурсии грудной клетки (в сантиметрах).
Определение массы тела производилось
путём взвешивания испытуемого на медицинских весах, которые перед началом
взвешивания обязательно были отрегулированы. При взвешивании испытуемый
аккуратно вставал на середину площадки весов.
II.2.2. Оценка
состояния осанки в процессе развития детей
Грудино-лопаточный тест является
самым простым и наиболее эффективным для оценки происходящих во времени сдвигов
в состоянии осанки у детей. С помощью данного теста оценивается величина
отстояния лопатки от плоскости грудной клетки. В норме, как известно, лопатка
по всей плоскости должна прилегать к грудной клетке, в случаях же нарушений
осанки и, в частности, «заглубления» спины между нижним краем лопатки и
плоскостью груди, возникает «зияющее» пространство, величина которого и
подлежит замеру.
Величину отстояния края лопатки можно измерить с помощью
обычной жёсткой сантиметровой линейки. Ребёнка просим принять привычную позу
свободного стояния. После этого сантиметровая линейка ставится строго
перпендикулярно на поверхности груди непосредственно у нижнего края лопатки.
При этом фиксируется количество миллиметров от поверхности груди до наружной
поверхности нижнего края лопатки (рис.6.). Данная величина включает в себя не
только размер «щели» между грудиной и лопаткой, но и толщину самой лопатки. Но
поскольку данная величина служит отправной для последующих замеров в динамике,
то её и можно брать за первичную матрицу количественного выражения.
Например, у Коли В. в начале учебного года
грудино-лопаточный замер составил 14мм. Спустя же полгода эта величина была уже
18мм. Данная ситуация указывает, что за полгода у мальчика явно произошло явное
ухудшение осанки на 4мм.
Грудино-плечевой тест, является
также довольно простым, но чрезвычайно информативным. Методика заключается в
измерении размера от середины одного плеча до середины другого по передней и
задней поверхности груди. После чего, передний размер делят на задний. В норме
частное от деления должно быть в пределах 1-0,9. Показатели 0,9-0,8 следует
относить уже к начальным проявлениям нарушения осанки. Показатели 0,7 и ниже –
выявленные проявления нарушений осанки. Однако, целесообразнее ориентироваться
не столько на «норму», сколько на анализ исходных данных в динамике.
Например, у Светы И. В начале учебного года передний
грудино-плечевой размер составил 27см, задний – 28см. Спустя полгода передний
размер оказался 26см, а задний – 29см. Здесь мы имеем на лицо явное ухудшение
осанки.
II.2.3. Мониторинг
двигательного развития и двигательной
подготовленности учащихся
Комплекс методик по проведению данного мониторинга
позволяет осуществить сравнительный анализ параметров и выявить тенденции
развития.
Для комплексной оценки двигательного развития и
двигательной подготовленности включены следующие тесты:
·
Бег на дистанцию 30м;
·
Челночный бег 3х10м;
·
Прыжок в длину с места (лицом вперёд);
·
Сгибание и разгибание рук в упоре лёжа;
·
Метание набивного мяча весом 1кг из исходного положения сед
ноги врозь;
·
Подъём в сед из положения лёжа;
·
Наклон вперёд из положения сидя;
·
Бег на 1000м.
Для проведения исследования наиболее предпочтительные
утренние часы.
Бег на дистанцию 30м (сек).
Тест позволяет оценить уровень развития быстроты учащихся. Выполняется с
высокого старта по команде (голосом) учителя, находящегося на линии финиша.
Одновременно стартуют два ученика. Результат фиксируется секундомером с двумя
стрелками или двух секундомеров.
Челночный бег 3х10м (сек) – позволяет
исследовать не только быстроту, но и косвенно оценить ловкость, координационные
способности испытуемого. Тест проводят в спортивном зале по заранее нанесённой
разметке. Проводят две линии на расстоянии 10м друг от друга (линии старта и
финиша). Они должны быть достаточно длинными, чтобы можно было тестировать
сразу двух испытуемых. Учитель находится на линии финиша. По команде учителя
включается секундомер, испытуемые берут по одному мячу (кубику), которые лежат
за линией старта, подбегают к линии финиша, кладут мячи на неё, бегут к линии
старта, берут по второму мячу, бегут к финишу. В момент касания вторым мячом
пола за линией финиша останавливается секундомер. Для учащихся, впервые
выполняющих тест, даётся предварительное апробирование.
Прыжок в длину с места лицом вперёд (см).
Позволяет оценить скоростно-силовые возможности учащихся. Проводится по
общепринятой методике в спортивном зале или на спортивной площадке. Испытуемый
с исходной линии, поставив ноги врозь, производит прыжок толчком двух ног с
взмахом руками. Приземление одновременно на обе ноги. Отсчёт ведётся от линии
отталкивания до места приземления пятки. Регистрируется лучший результат из
трёх попыток с точностью до 1см.
Сгибание и разгибание рук в упоре лёжа (количество раз).
Тест позволяет оценить силовые возможности, силовую выносливость ребёнка.
Исходное положение упор лёжа; голова, туловище, ноги составляют прямую линию.
Сгибание рук выполняется до прямого угла в локтевом суставе; разгибание – до
полного выпрямления рук, при сохранении прямой линии – голова, туловище, ноги.
Метание набивного мяча весом 1кг способом двумя руками из-за
головы, из исходного положения сед ноги врозь (см).
Тест позволяет оценить скоростно-силовые качества ученика, ребёнок выполняет
два броска, фиксируется лучший результат.
Подъём в сед из положения лёжа за 30 секунд
(количество раз). Исходное положение лёжа на спине на мате, ноги согнуты
в коленях под углом 90о, стопы фиксирует помощник, руки за головой,
пальцы в замок. Фиксируется количество выполненных упражнений до положения седа
(туловище перпендикулярно полу).
Наклон вперёд из положения сидя (см).
Тест позволяет оценить гибкость, подвижность суставов позвоночника и
тазобедренного сустава. На полу обозначают разметку: центральную линию плечевой
оси и перпендикулярную к ней линию, на которую наносят сантиметровые деления по
обе стороны от центральной линии. Сидя на полу, ступнями ног (пятками) следует
касаться центральной линии, ноги выпрямлены в коленях. Ступни вертикальны,
расстояние между ними составляет 20-30 см. Выполняется три пружинящих наклона,
результат фиксируется на перпендикулярной мерной линии по кончикам пальцев, с
удержанием согнутого положения в течение 3-х секунд. Касание пальцами разметки
до центровой линии (на которой размещены пятки) записывается в протокол со
знаком «–» (недостаточная гибкость касания); касание на центральной линии –
«0»; результат за центровой линией записывается знаком «+» (повышенная гибкость
касания).
Бег 1000м (сек). Тест позволяет
оценить выносливость. Бег выполняется с высокого старта. Результат фиксируется
с помощью секундомера до десятых долей секунды. Для учащихся начальных классов
допускается прохождение дистанции при чередовании бега или ходьбы.
II.2.4. Мониторинг
функционального состояния организма
Ортостатическая
проба
Многократно подсчитывается пульс ( по возможности и
артериальное давление) до получения стабильного результата в положении стоя и в
положении лёжа. Затем делаются те же измерения сразу же после изменения
положения тела и по истечении 1, 3, 5 и 10 минут. Таким образом оценивается
быстрота восстановления частоты пульса и величины артериального давления. О
хороших адаптивных возможностях системы кровообращения и её регуляторных
механизмов свидетельствует учащение пульса не более чем на 11 ударов,
удовлетворительных – на 12-18 ударов, неудовлетворительных – на 19 ударов и
более.
Проба
Мартинэ
Измеряется величина артериального давления и подсчитывается
частота пульса в состоянии покоя. Затем обследуемый выполняет 20 низких (глубоких)
приседаний (ноги на ширине плеч, руки вытянуты вперёд) в течение 30 секунд.
Непосредственно после нагрузки и вплоть до полного восстановления измеряют все
показатели. У здоровых детей состояние сердечно-сосудистой системы оценивается
как хорошее при учащении пульса не более чем на 50% – 75%, неудовлетворительное
– при учащении пульса, более чем на 75%. После проведения пробы при здоровой
реакции на физическую нагрузку систолическое (верхнее) артериальное давление
возрастает на 25-40 мм рт. ст., а диастолическое (нижнее) или остаётся на
прежнем уровне, или незначительно снижается (на 5-10 мм рт. ст.).
Восстановление пульса длится от 1 до 3 минут, а артериального давления – от 3
до 4 минут.
Проба
Штанге
Подсчитывается частота пульса в состоянии покоя. Затем в
положении сидя после глубокого вдоха и выдоха делают вдох глубиной 80%
максимального. Затем, задержав дыхание на возможно долгий срок, закрывают рот,
зажимают нос пальцами. В конце вдоха включается секундомер и измеряется время
задержки дыхания. Сразу же после окончания задержки дыхания определяют частоту
пульса (за 1 минуту).
Информативность этого теста можно увеличить, если сразу
после задержки дыхания измерить частоту дыхания. Здоровые не тренированные люди
способны задерживать дыхание на 30-55 секунд, тренированные – на 60-90 секунд.
При утомлении, развитии процессов дезадаптации время задержки дыхания
снижается. У хорошо тренированных людей дыхание не должно учащаться, так как
возникшая кислородная задолженность у них погашается за счёт углубления, а не
за счёт учащения дыхания.
Частоту пульса у учащихся определяли на лучевой артерии. Во
избежание ошибок подсчёт пульса производился 2-3 раза, затем определялась
средняя величина, которая и вносилась в тетрадь.
Для измерения артериального давления манжетку аппарата
Рива-Роччи плотно оборачивали вокруг середины плеча испытуемого и закрепляли
её. Фонендоскоп устанавливали в области сгиба на лучевой артерии ниже манжетки.
С помощью груши в манжетку нагнетается воздух до полного исчезновения пульса.
Осторожно приоткрывается вентиль на груше, медленно выпускается воздух из
манжетки, внимательно следят за уровнем ртути в манометре и прислушиваются к
тонам, передающимся по фонендоскопу. Момент появления первого тона
соответствует максимальному (систолическому давлению). В дальнейшем тоны
усиливаются, а затем ослабевают или же исчезают. В момент исчезновения тонов
показания манометра соответствуют минимальному (диастолическому) давлению.
САД – систолическое артериальное давление.
ДАД – диастолическое артериальное давление.
ПД = САД – ДАД
II.2.5. Принципы
вычисления адаптационного потенциала
системы кровообращения
Распознавание функциональных состояний на основе анализа
данных о вегетативном и миокардиально-гемодинамическом гомеостазе требует
определённого опыта и знаний в области физиологии и клинической медицины. Для
того, чтобы сделать метод оценки функциональных резервов доступным не только
для специалистов – медиков, но и для широкого круга педагогов, воспитателей,
спортивных тренеров, был разработан ряд формул, позволяющих вычислять
адаптационный потенциал (АП) системы кровообращения по заданному набору
показателей с помощью Уравнений множественной регрессии. Одна из таких формул
основана на использовании наиболее простых и общедоступных методов исследования
(определение МТ, АД, ЧСС, роста и точного возраста).
АП
= 0,001 (ЧСС) + 0,014 (САД) + 0,008 (ДАД) + 0,009 (МТ) – 0,009 (Р) + 0,014 (В)
– 0,27, где
АП – адаптационный потенциал;
ЧСС – частота сердечных сокращений (уд/мин);
САД – систолическое артериальное давление (мм рт. ст.);
ДАД – диастолическое артериальное давление (мм рт. ст.);
Р – рост (см);
МТ – масса тела (кг);
В – возраст (годы).
На основе выраженных формулой математических
закономерностей предложен ряд методов, где математические расчёты сведены до
минимума и не требуют наличия микрокалькулятора, а определение АП производится
по специальным таблицам, номограммам. В нашем исследовании мы использовали
методические рекомендации, разработанные П.А.Филеши, Н.Н.Сивако-вой (1989,
1990), А.П.Берсеневой (1989), Р.М.Баевским (1978, 1984).
Значение АП, вычисляемое в условных баллах по частоте
пульса, артериальному давлению, росту и массе тела с учётом возраста
обследуемого, позволяет:
1.
выделить группы школьников с разным уровнем здоровья;
2.
определить потенциальную способность организма
адаптироваться к учебному режиму школы и физическим нагрузкам;
3.
выявить величину и направленность изменения уровня
здоровья, физической тренированности при динамическом наблюдении;
4.
принять решение о дифференцированном допуске к занятиям
физическими упражнениями или необходимости углубленного врачебного
обследования;
5.
определить характер рекомендаций и необходимых мероприятий
(разработать комплекс рекомендаций по программам с учётом группы здоровья
школьников).
II.2.6. Методика
определения адаптационного потенциала
системы кровообращения
Функциональные резервы системы кровообращения определяли по
разработанной П.А.Филеши и Н.Н.Сиваковой модификации методики определения АП
системы кровообращения, предложенной Р.М.Баевским и соавторами.
Описание
методики
С помощью данного метода устанавливается донозологический
диагноз в следующих вариантах:
1.
высокая степень адаптации;
2.
удовлетворительная адаптация;
3.
напряжение механизмов адаптации;
4.
перенапряжение механизмов адаптации;
5.
истощение механизмов адаптации.
Для прогноза возможной заболеваемости указанные значения
несут следующую информацию:
·
наиболее высокая вероятность в группе 5; в неё попадают
лица со скрытыми формами заболеваний, явлениями предболезни, хроническими и
нераспознанными болезнями, а также патологическими отклонениями, требующими
более детального врачебного обследования;
·
4 группа – лица с высокой вероятностью развития заболеваний
в достаточно близком будущем в случае, если не будут предприняты определённые
меры профилактики;
·
2 и 1 группы состоят из людей, которые могут вести обычный
образ жизни, существенно не отличающийся от распространённого. Под термином
«обычный» следует понимать здоровый образ жизни (11, с. 39).
Проведённые нами исследования позволяют говорить о том, что
применение оценки адаптационного потенциала системы кровоснабжения является
практически важным подходом к решению одной из актуальных проблем – объективной
оценки уровня здоровья и физического развития и их изменений под воздействием
учебного режима школы.
II.2.7. Оценка
школьной мотивации учащихся младших классов
Для оценки школьной мотивации у учащихся проводилась анкета
«Расскажи о школе», которая для учащихся 1 класса заполнялась родителями по
ответам ребёнка (анкета).
Максимальная оценка 30 баллов. Чем выше балл, тем выше
школьная мотивация.
25 – 30 баллов – высокая школьная мотивация;
20 – 24 балла – хорошая школьная мотивация;
15 – 19 баллов – положительное отношение к школе, но школа
привлекает больше внеучебными сторонами;
10 – 14 баллов – низкая школьная мотивация;
Ниже 10 баллов – негативное отношение к школе.
Анализ школьной мотивации проводился трижды в течение года:
1 – с 15 по 25 октября;
2 – с 15 по 25 декабря;
3 – с 10 по 25 мая.
В конце года по результатам всех наблюдений была составлена
сводная таблица (таблица 2).
II.2.8.
Определение адаптоспособности и биоритмического состояния
Определение
длительности индивидуальной минуты
Длительность индивидуальной минуты (ИМ) является одним из
критериев эндогенной организации биологических ритмов. У здоровых людей ИМ
является относительно стойким показателем, характеризующим эндогенную
организацию времени и адаптационные способности организма.
У лиц с высокими способностями к адаптации ИМ превышает
минуту физического времени.
У лиц с невысокими способностями к адаптации ИМ равна в
среднем 47,0 – 46,2с.
У хорошо адаптирующихся – 62,90 – 69,71с. (Н.И.Моисеева,
1991; Л.И.Губарева, А.А.Колесникова, 1995).
ИМ имеет циркасептальный ритм – её величина максимальна во
вторник и среду и минимальна в пятницу и субботу. По величине ИМ можно судить
также о наступлении утомления у учащихся.
Длительность ИМ определяется по методу Халберга (1969). Для
этого по команде экспериментатора испытуемый начинает счёт секунд про себя (от
1 до 60). Цифру 60 испытуемый произносит в слух. Истинное время фиксируется с
помощью секундомера. Для надёжности определяем ИМ 2 – 3 раза и рассчитываем
среднюю величину. Если ребёнок не умеет считать до 60, то ему показываем ход
секундной стрелки на часах и предлагаем посчитать 10 секунд (соответственно на
секундомере также фиксируем 10 сек). Полученный результат умножаем на 6 и
заносим в таблицу.
II.2.9. Методы
статистической обработки цифрового материала
Для обработки полученных данных использовались формулы
вариационной статистики, согласно которой для характеристики вариационных рядов
необходимо определить следующие величины:
1. Средняя арифметическая или средняя статистическая
величина, М.
, где
М – средняя арифметическая величина;
а – варианты (или x);
n – число вариантов.
2. Среднее квадратичное отклонение (стандартное) или
квадратичная ошибка одного измерения. Определяется для того, чтобы знать,
насколько далеко рассеяны отдельные варианты вокруг М.
При нормальном распределении реальные величины изучаемых
показателей распределяются симметрично вокруг средней арифметической величины.
Степень рассеянности вариант характеризуется средним
квадратичным отклонением, обозначающимся сигмой и вычисляющимся по формуле:
, где
Σа2 – сумма квадратов отклонений каждой
величины от М,
n – число измерений (вариант).
В большинстве физиологических исследований группа считается
биологически однородной, если в пределах М±σ распределяется 68,8% всей
выборки, в пределах М±2σ распределяется 94,4% всей выборки.
3. Стандартная ошибка (ошибка средней арифметической
величины), m.
Она отвечает на вопрос: можно ли считать, что результаты
нашей выборки характерны и для генеральной совокупности?
Стандартную ошибку вычисляют по формуле:
,где
σ – среднее квадратичное отклонение;
n – число измерений.
4. Показатель существенности разности, t.
Помогает определить достоверность различий
среднеарифметического значения двух зависимых выборок. Для этого вычисляют t-критерий, являющийся показателем существенности различий
по формуле:
,где
М1 – среднеарифметическая величина первой
выборки;
М2 – среднеарифметическая величина второй
выборки;
m1 и
m2 –
соответствующие стандартные ошибки.
На основании величины t
и числа наблюдений по таблице распределения Стьюдента находится вероятность
различия (или уровень значимости), p.
Если значение p для данного числа степеней свободы оказывается равным 0,05
и меньше, то можно говорить о существенных различиях полученных результатов
(16, 31).
II.2.10.
Коэффициент корреляции
Определяется для обнаружения взаимосвязи между двумя
определяемыми (изучаемыми) признаками. Для этого в обоих анализируемых
вариационных рядах (коррелируемых) определяют среднюю арифметическую величину
(М1, М2) и отклонения от неё каждой варианты (а1
и а2). Затем производят расчёт по формуле:
Величина r
колеблется от –1 до +1: r=0
говорит об отсутствии связи. Знак перед величиной r
указывает на характер корреляции (« + r»
- положительная, прямая корреляция, т.е. возрастание одного признака влечёт
увеличение другого; « – r»
- отрицательная, обратная корреляция, т.е. увеличение значения одного признака
ведёт к уменьшению другого.
Значение r
оценивается следующим образом:
0 – 0,3 – слабая корреляция;
0,3 – 0,5 – заметная корреляция;
0,5 – 0,7 – выраженная корреляция;
0,7 – 0,8 – тесная корреляция;
0,8 – 0,9 – весьма тесная корреляция;
0,9 – 1 – функциональная, корреляция.
Все уровни корреляции, кроме функционального, говорят о
том, что между изучаемыми показателями имеется связь, но на каждый из них
оказывают влияние и какие – то иные факторы. Для установления достоверности
корреляции (её неслучайности) определяют среднюю ошибку коэффициента
корреляции, mr.
Если n
< 100, то
Критерий значимости t
коэффициента корреляции определяется по формуле:
,
затем устанавливается уровень значимости p
по таблице
(n* =
n – 2).
Глава III. Результаты исследования и
их обсуждение
Как было сказано выше, в нашем исследовании мы изучали
соматическое развитие детей, функциональное состояние кардио-респираторной
системы, адаптационные возможности и психическое состояние учащихся 1-х классов
(48 человек) в 2001 – 2002 учебном году.
Полученные данные были использованы в анализе МОСК (сектор
здоровьесберегающих технологий), СКИПКРО (кафедра педагогики и психологии
здоровья), СГУ (кафедра анатомии, физиологии и гигиены человека).
III.1.
Физическое развитие учащихся
Физическая работоспособность является интегральным
выражением возможностей человека и входит в понятие здоровье. У разных людей
развитие отдельных компонентов физической работоспособности резко отличается.
Она зависит от наследственных и внешних условий. На физическую
работоспособность оказывают влияние самочувствие и мотивация индивидуума.
Кроме того, анализ физического развития проводится с целью
выявления закономерностей роста и развития, индивидуальной оценки достигнутого
уровня физического развития и степени его гармоничности, изучения влияния
факторов окружающей среды, а также учебной и спортивной деятельности
подростков.
Нами были обследованы 48 учащихся, обучающихся по разным
учебным программам («Школа – 2100 (1А класс) и программа Л.В.Занкова (1Б класс)
и работающих в условиях различного режима дня. Результаты обследования,
представленные в таблице 2, свидетельствуют, что показатели роста и массы тела
у детей 1А класса и 1Б класса не обнаруживают резких достоверных отличий.
Таблица
2
Оценка
физического развития обследованных учащихся
|
возраст
уч-ся
|
класс
|
на 15.09.01г.
|
на 24. 05.02г.
|
|
нормальное
|
отклонения
|
нормальное
|
отклонения
|
|
деф-т массы тела
|
изб-к массы тела
|
низкий рост (задержка физ. развития)
|
деф-т массы тела
|
изб-к массы тела
|
низкий рост (общая задержка физ. развития)
|
|
7 лет
|
1 А
|
81,6%
|
11%
|
3,5%
|
0,4%
|
98,8%
|
0,4%
|
0,8%
|
0,4%
|
|
7 лет
|
1 Б
|
82%
|
10%
|
3%
|
-
|
97,8%
|
1,2%
|
2%
|
-
|
В начале учебного года дефицит массы тела у учащихся 1А
класса на 1% выше, чем у учащихся 1Б класса, соответственно на 0,5% разница
показателя «избыток массы тела».
Нормальное физическое развитие в начале учебного года в1А
классе имели 81,6% учащихся, в 1Б классе 82%. На конец года нормальное
физическое развитие имели 98,8% учащихся 1А класса, 97,8% - учащиеся 1Б
класса. У 0,4% учащихся (1ученик) 1А класса не отмечено изменений в физическом
развитии, т.е. отсутствовала положительная годовая динамика (возможно из – за
наличия хронического заболевания желчно – выводящих путей).
Одним из важных критериев физического развития является
рост тела в длину.
Анализ данных «рост», «вес», «ОГК» показали, что окружность
грудной клетки несколько снижена у учащихся 1Б класса.
Годовой прирост учащихся 1А класса в длине составил 5 –
9см, а 1Б класса – 2 – 5 см. Особенно отмечено увеличение ростовых показателей
у девочек 1-х классов.
Изменение
антропометрических показателей (M±m) учащихся 7 лет
за
2001-2002 уч. год
|
возраст
|
класс
|
на 15.09.01г.
|
на 24.05.02г.
|
|
рост (см)
|
вес (кг)
|
ОКГ (см)
|
рост (см)
|
вес (кг)
|
ОКГ (см)
|
|
7 лет
|
1А
|
123,7±0,9
|
25,2±0,6
|
58,5±0,8
|
139,7±1,7
|
30,4±1,6
|
63,7±1,4
|
|
7 лет
|
1Б
|
122,7±0,8
|
23,6±0,8
|
57,1±0,8
|
124,9±0,8
|
25,2±0,6
|
58,5±0,8
|
Сопоставление суммарных показателей соматического развития
учащихся 1А и 1Б классов не выявило снижения росто-весовых показателей в начале
и в конце учебного года.
III.1.2.
Двигательная подготовленность учащихся
Проведение тестов для оценки двигательного развития и
двигательной подготовленности учащихся позволяет оценить и их возрастную
динамику. Необходимо отметить, что в 1А классе уроки физкультуры проходили 3
раза в неделю, а в 1Б классе – 2 раза в неделю.
Таблица
3
Средние
значения двигательной активности учащихся 1-х классов
|
№ п/п
|
Показатели
|
Девочки
|
Мальчики
|
|
1 А
|
1 Б
|
1 А
|
1 Б
|
|
На 15.09.2001г.
|
На 24.05.2002г.
|
На 15.09.2001г.
|
На 24.05.2002г.
|
На 15.09.2001г.
|
На
24.05.2002г.
|
На
15.09.2001г.
|
На
24.05.2002г.
|
|
1.
|
Бег 30м/с
|
11,4
|
7,3
|
9,8
|
11,2
|
9
|
7
|
9,4
|
9,5
|
|
2.
|
Челночный бег 3х10м
|
13,9
|
9
|
10,9
|
14,2
|
10,9
|
9,3
|
11
|
12
|
|
3.
|
Сгибание, разгибание рук в упоре лёжа
|
12
|
20
|
12
|
20
|
20
|
22
|
13
|
22
|
|
4.
|
Поднимание туловища из положения лёжа
|
5
|
11
|
6
|
9
|
5
|
8
|
8
|
10
|
|
5.
|
Наклон туловища вперёд из седа
|
10
|
14
|
16
|
27
|
10
|
14
|
28
|
25
|
|
6.
|
Бросание набивного мяча из-за головы
|
158
|
206
|
195
|
146
|
166
|
195
|
206
|
226
|
Как видно из таблицы, происходят волнообразные изменения
высоких и низких результатов выполнения уровня стандартных программ физической
культуры в школе. Уровень быстроты девочек и мальчиков 1А класса к концу года
увеличился, а девочек и мальчиков 1Б класса – уменьшился. К концу учебного года
значительно возросли силовые возможности и силовая выносливость у детей в обоих
классах, так же как и скоростно-силовые возможности учащихся обоих классов.
Анализ индивидуальной физической подготовленности учащихся показал, что в
начале учебного года низкий уровень физической подготовленности имели 33,3%
учащихся в 1А классе и 25% учащихся в 1Б классе. К середине года – 29% учащихся
1А класса, 28% учащихся 1Б класса, а к концу учебного года их число понизилось
до 16% в 1А классе и 18% - в 1Б классе. Эти данные показывают стабильное
увеличение числа детей, имеющих высокие результаты на уроках физической
культуры. Более высокие результаты на уроках физической культуры в 1А классе –
84%, против данных 1Б класса – 82%, обусловлены 3 часами физической культуры в
неделю, одного урока ритмики, использованием учителем класса активного
двигательного режима учащихся, использованием элементов оздоровительной системы
профессора В.Ф. Базарного.
Очевидно, что более благоприятный режим
учебно-воспитательного процесса в 1А классе способствует повышению уровня
физической подготовленности учащихся. Об этом же свидетельствует и значительно
более низкое количество пропущенных занятий и «Индекс здоровья». Так, в I полугодии процент неболевших детей в 1А классе составил
62%, а в 1Б классе – 54%, во втором полугодии – в 1А классе – 96%, в 1Б классе
– 75%.
|
Классы
|
Кол-во учащихся
|
Пропущено по болезни уроков за
(% неболевших детей)
|
|
I
полугодие
|
II
полугодие
|
I
полугодие
|
II
полугодие
|
|
1А класс
|
24
|
120
|
20
|
62%
|
96%
|
|
1Б класс
|
24
|
200
|
68
|
54%
|
75%
|
III.1.3.Оценка
состояния осанки детей
Состояние осанки у детей представляет собой не только
важнейший показатель, отражающий качество физического развития детей, но и
качества энергетического и функционального статуса, в том числе уровня общего
здоровья в целом (Савельева О.Н., 1971; Хрущёв С.В., 1980; Оладо Э.Я., 1988 и
др.). И это не случайно, т.к. осанка, в той либо иной степени, но всегда
глубоко затрагивает не только структуру позвоночника, но и функциональное
состояние центрального ствола спинного мозга, регулирующего
энерго-информационные процессы внутренних органов и систем организма. При этом
установлено, что осанка оказалась чрезвычайно чувствительной и подверженной
влиянию широкого спектра гигиенических факторов, в том числе комплекса факторов
школьной среды.
Нами были проведены грудино-плечевой тест и
грудино-лопаточный тест. Анализ показал, что к концу учебного года наблюдается
ухудшение состояния осанки у 12,5% учащихся, у значительной части учащихся
просматривается начальное проявление нарушения осанки (41,6%). Наиболее заметно
эта проблема вырисовывается в 1А классе. Причинами этого, по всей видимости,
является качество состояния освещённости, недостаточное чередование в режиме
дня детей умственной и физической активности, несоответствие мебели.
III.2.
Функциональное состояние кардио-респираторной системы
Важное место в адаптации, особенно к физическим нагрузкам,
имеет состояние кардио-респираторной (сердечно-сосудистая и дыхательная
системы) системы. Кроме того, от состояния данной системы во многом зависит
становление остальных систем организма ребёнка, поскольку, участвуя в процессах
развёртывания и реализации генетической программы, система кровообращения
определяет развитие других систем растущего организма.
Для характеристики состояния кардио-респираторной системы
нами были использованы величины окружности грудной клетки (ОГК) и экскурсии грудной
клетки (ЭГК), а также величина артериального давления (СД, ДД, ПД), частоты
сердечных сокращений (ЧСС) и показатель, характеризующий состояние регуляторных
механизмов, адаптационный потенциал (АП).
Анализ окружности грудной клетки (ОГК) и экскурсии грудной
клетки (ЭГК) (таблица 4), косвенно свидетельствующих о развитии дыхательной
мускулатуры и жизненной ёмкости лёгких, выявил их удовлетворительное состояние.
Функциональным показателем состояния дыхательной системы, в
частности, и адаптационных возможностей организма в целом является показатель
задержки дыхания (ЗД). Анализ результатов исследования выявил, что в начале
учебного года у 79% (19) учащихся 1А класса и у 21% (5) учащихся 1Б класса
время задержки дыхания было существенно снижено. К концу учебного года время
задержки дыхания снижено у 33% (8) учащихся 1А класса и 16% (4) учащихся 1Б
класса.
Сопоставление величин ЧСС у детей двух классов показало,
что у детей 1Б класса ЧСС ниже. Учитывая тот факт, что в данной возрастной
группе более низкие величины ЧСС рассматриваются как показатели более высокой
степени зрелости сердечно-сосудистой системы, допустимо предполагать более
раннее становление регуляторных механизмов данной функциональной системы. В
пользу этого предположения свидетельствует и факт более высоких величин
систолического давления у детей данного возраста 1Б класса. В совокупности
данные измерения допустимо расценивать как показатель направления развития
сердечно-сосудистой системы в область ваготонической вегетативной дистонии. В
1А классе отмечается повышение ЧСС. При этом пульсовое давление снижено, что
косвенно указывает на уменьшение силы сердечных сокращений и соответственно
ударного объёма крови и свидетельствует о менее экономичном режиме работы
сердца.
III.2.1.
Адаптационный потенциал (АП) системы кровообращения
Комплексным показателем, отражающим функциональную зрелость
и функциональные резервы системы кровообращения, является величина
адаптационного потенциала (А.П.Берсенева, 1989, Р.М.Баевский, 1979, 1984г,
П.А.Филеши и соавт., 1990).
По величине АП производится оценка степени адаптации
организма к условиям повседневной деятельности, физическим нагрузкам; определяется
необходимость дополнительного обследования, вероятность отнесения к одной из
групп здоровья, характер рекомендаций и мероприятий, тенденция изменения уровня
здоровья при повторных обследованиях.
В нашем исследовании мы определяли величину АП по методике
П.А.Филеши, Н.Н.Сиваковой. Согласно полученным данным, величина АП у учащихся
первых классов (7 лет) колеблется от 0,95 до 1, 66. В соответствии с этими
данными учащиеся находятся в зоне удовлетворительной адаптации.
Ни у одного учащегося обоих классов не наблюдалось
напряжения механизмов адаптации в течение трёх измерений в 2001 – 2002 учебном
году.
Таким образом, состояние сердечно – сосудистой системы по
основным показателям (ЧСС, САД, ДАД) находится в пределах возможных норм у
учащихся обоих классов. Динамика АП в течение учебного года показывает
благоприятные условия функционирования систем жизнеобеспечения учащихся обоих
классов, так как на протяжении всего года АП стабильно указывал на
удовлетворительный уровень адаптации.
Показатели коэффициента здоровья (КЗ) также
удовлетворительные. Об удовлетворительных адаптационных возможностях организма
в целом и сердечно – сосудистой и эндокринной систем свидетельствуют показатели
величины ИМ – в 1А классе – 1,73 + 0,20; в 1Б классе – 1,70 + 0,1. Исследования
ИМ, проведённые в начале учебного года и в конце года, показали, что в начале
учебного года все учащиеся показали завышенные результаты по индивидуальной
минуте. В конце учебного года продолжительность индивидуальной минуты
приблизилась к показателям, указывающим на хорошую способность к адаптации
(таблица 4).
Таблица
4
Показатели
индивидуальной минуты
|
Класс
|
Кол-во
уч-ся
|
Кол-во уч-ся, имеющих высокие способности к адаптации (> 60c.)
|
Кол-во уч-ся, имеющих хорошую способность к адаптации
(62,9-69,71с.)
|
Кол-во уч-ся, имеющих невысокую способность к адаптации
(47,0-6,2с.)
|
|
15.09.01г.
|
24.05.02г.
|
15.09.01г.
|
24.05.02г.
|
15.09.01г.
|
24.05.02г.
|
|
1А
|
24
|
13
|
5
|
10
|
18
|
1
|
1
|
|
1Б
|
24
|
12
|
3
|
10
|
20
|
2
|
1
|
Данные показатели свидетельствуют о становлении ведущих
адаптационных систем организма: сердечно – сосудистой, эндокринной и нервной.
Снижение величины ИМ в данный период указывает на снижение адаптивных
возможностей их организма в период адаптации к новым социальным условиям –
поступление в школу, а также на рост утомляемости к концу учебного года.
(Л.И.Губарева, А.А.Колесникова, 1995).
III.3.
Определение школьной мотивации
Определение школьной мотивации проводили по анкете
«Расскажи о школе» (приложение 1). Анализ школьной мотивации проводился трижды
в течение года. В конце учебного года был установлен результат.
Анализ исследования школьной мотивации учащихся 1А класса
показал, что к концу учебного года увеличилось количество учащихся, имеющих
высокую мотивацию, уменьшилось количество детей, имеющих положительное
отношение к школе, но школа привлекает детей внеурочной деятельностью (график
2).
В 1Б классе к концу учебного года увеличилось количество
детей, имеющих высокую и хорошую мотивацию, уменьшилось количество детей,
имеющих положительное отношение к школе, но школа привлекает их также
внеурочной деятельностью (график 2).
Глава IV. Здоровьесберегающие
технологии и современная система образования
IV.1.
Представление о здоровьесберегающих
образовательных технологиях
В условиях, когда образование стало всеобщим, а профессия
учителя массовой, надеяться на индивидуальное мастерство педагога становится
всё труднее. Поэтому в настоящее время педагоги и методисты ведут активные
поиски дидактических средств, которые могли бы сделать процесс обучения похожим
на хорошо отлаженный механизм. Ещё Я.А.Каменский стремился найти такой общий
порядок обучения, при котором оно осуществлялось бы по единым законам человека
и природы. Тогда обучение не потребовало бы иного, кроме искусного
распределения времени, предметов и методов. Об актуальности такого подхода к
образованию – технологического, с которым методисты, педагоги обращаются к
новым для них понятиям – педагогические технологии, технологии обучения,
образовательные технологии (an educational technology).
Определить понятие «здоровьесберегающие образовательные
технологии» представляется корректным, исходя из «родового» понятия
«образовательные технологии». Если последние отвечают на вопрос «как учить?»
(В.В.Гусев, 2000), то логичным окажется ответ: так, чтобы не наносить вред
здоровью субъектов образовательного процесса – учащихся и педагогов. Тогда и
другие отличительные с особенности технологии от методики – воспроизводимость,
устойчивость результатов, отсутствие многих «если» (если талантливый учитель,
талантливые дети, богатая школа и т.п.) отражают приоритет принципа «Не
навреди!». Технология проектируется исходя из конкретных условий и ориентируясь
на заданный, а не предполагаемый результат. Поэтому проектирование
здоровьесберегающей образовательной среды мы рассматриваем в качестве
важнейшего элемента работы по сохранению и укреплению здоровья учащихся.
Термин «здоровьесберегающие образовательные технологии»
(далее – ЗОТ) можно рассматривать и как качественную характеристику любой
образовательной технологии, её «сертификат безопасности для здоровья», и как
совокупность тех принципов, приёмов, методов педагогической работы, которые
дополняя традиционные технологии обучения и воспитания, наделяют их признаком
здоровьесбережения.
Близкими к ЗОТ являются медицинские технологии
профилактической работы, проводимой в образовательных учреждениях. Примерами
такой работы служит вакцинация учащихся, контроль за сроками прививок, выделение
групп медицинского риска и т.п. Эта деятельность также направлена на сохранение
здоровья школьников, профилактику инфекционных и других заболеваний, но уже не
с помощью образовательных технологий.
Существует не мало возможностей конструктивного взаимодействия
педагогов и медиков в их совместной работе по сохранению и укреплению здоровья
учащихся. Так, в примере с реализацией медицинских мероприятий по вакцинации,
педагогический коллектив школы может обеспечить психолого-педагогическое
сопровождение этих, не самых любимых детьми процедур. Известно, что эффект для
здоровья любой медицинской манипуляции в немалой степени определяется
отношением к ней пациента, его ожиданиями. Исследования показывают, что
количество осложнений, гиперреакций на введение вакцины можно значительно
сократить, если предварительно сформировать у детей необходимую установку, что
достигается психолого-педагогическими методами.
Медицинский подход к здоровьесбережению, реализуемый в
рамках профилактического направления, от психолого-педагогического отличается
не только методами и профессиональной подготовкой специалистов, но и тем, что
освобождает человека от ответственности за своё здоровье, передавая эту
ответственность врачу, медицине. Противоположный подход состоит в мобилизации
чувства ответственности человека за своё здоровье, воспитание постоянной
потребности заботиться о нём (а значит – и о здоровье других людей). Это не
предполагает запугивания, бывшего на вооружении у санитарного просвещения
советских времён и активно используемого сейчас некоторыми врачами – наркологами
и другими специалистами. Формирование у учащихся ответственности, в том
числе и за своё здоровье, воспитательный процесс, который следует рассматривать
в качестве одной из важнейших задач учреждений образования.
Но перед человеком, который осознал ответственность за
собственное здоровье, почувствовал потребность заботиться о нём, встаёт вопрос
о том, как это грамотно делать. Ведь заниматься укреплением здоровья негодными
средствами – «себе дороже». Чего стоит, к примеру, большая часть программ по
сбрасыванию лишнего веса! В отношении здоровья в полной мере справедлива
истина: «Лучше не делать никак, чем делать не правильно!» Но как правильно? И
здесь эстафете технологий здоровьесбережения передаётся от воспитательных
программ – учебным (health
educahion). Научить ребёнка, молодого человека
общим принципам, современным системам и методам охраны и укрепления здоровья,
безусловно, - задача образовательных учреждений. А уже за консультациями по
частным вопросам, за корректировкой оздоровительной программы с учётом
индивидуальных особенностей, с целью восстановления пошатнувшегося здоровья
человек может обратиться к медику (физиологу, психологу), специалисту по
вопросам здоровья.
Таким образом, современный уровень цивилизации и культуры
выдвигает в число важнейших для человека приоритетов задачу самому научиться не
болеть, быть здоровым. Для системы образования эта задача трансформируется в
императив использовать для достижения этой цели те технологии, которыми как раз
и владеет педагог, психолог. Недоработка школы в этой сфере сравнима с
исключением из школьных программ всех уроков математики.
Постановка задачи здоровьесбережения в образовательном
процессе может рассматриваться в двух вариантах – задача-минимум и задача-оптимум.
Задача-минимум и отвечает фундаментальному принципу медицины и педагогики: «No nocere!» («Не навреди!»). Реализация её
рабочей программы включает выявление и каталогизацию факторов, оказывающих или
потенциально способных оказать вредное (патогенное) воздействие на организм
учащегося – его физическое, психическое (психологическое), репродуктивное, духовно-нравственное
здоровье, и, в дальнейшем, устранение самих этих факторов или смягчение их
воздействия на учащихся и педагогов. Соответственно, сами патогенные (или условно
патогенные) факторы, связанные со школой, образовательным процессом, могут быть
разделены на три группы: касающиеся гигиенических условий образовательного процесса
(гигиенические), обусловленные организацией обучения (организационно-педагогические)
и связанные непосредственно с работой учителей, администрации, сотрудников
образовательного учреждения (психолого-педагогические факторы).
Таким образом, решение задачи-минимум с использованием
здоровьесберегающих образовательных технологий заключается в обеспечении таких
условий обучения, воспитания, развития, которые не оказывают негативного
воздействия на здоровье всех субъектов образовательного процесса. Эта
задача аналогична концепции охраны труда школьника. В традиционном понимании, сложившимся
в нашей стране ещё в советское время, охрана труда - это предупреждение
травматизма и других очевидно вредных воздействий на здоровье
производственника. «Производство» школьника – его парта, класс, деятельность –
учёба. Задача руководства управления образования, директора школы, учителя – по
возможности защитить тело и психику ребёнка в школе от воздействия как очевидно
травмирующих факторов, так и тех, эффект которых проявляется постепенно, путём
кумуляции. То же самое касается охраны труда и здоровья педагогов.
Справедливости ради отметим, что приоритеты в охране труда и здоровьесбережении
разные: в первом случае – сохранение трудовой единицы и повышение
производительности труда (экономическая задача), во втором – забота о человеке,
его здоровье (гуманитарная задача).
Как мы уже говорили, на практике выделяется 3 источника
угроз для здоровья учащихся и педагогов:
1.
Гигиенические, средовые факторы;
2.
Организационно – педагогические факторы;
3.
Психолого-педагогические факторы.
ЗОТ в первую очередь касается третьей группы факторов, что
выдвигает на первый план задачу формирования соответствующей компетенции у всех
работников образовательных учреждений. Но рассмотрение здоровьесберегающих
технологий только как характеристики работы учителя было бы методологической
ошибкой. Слишком тесна взаимосвязь всех вышеуказанных факторов, особенно в
отношении достигаемого эффекта. Кроме того, к трём общепринятым факторам угрозы
для здоровья учащихся, мы склонны отнести и безграмотность в вопросах
здоровья: не менее половины проблем со здоровьем мы создаём себе сами! А
это также образовательная проблема. Таким образом, ЗОТ можно рассматривать
как альтернативу угрозам здоровью, исходящим их всех источников, так или иначе
связанных с образовательным процессом.
Было бы ошибкой считать заботой о здоровье ребёнка создание
тепличных условий, содержание его в школе под своеобразным «колпаком»,
защищающим от всех вредных влияний. Во-первых, это невозможно практически, а,
во – вторых, что очень важно, в этом случае, переступив порог школы, ребёнок
столкнётся с теми воздействиями, которые окажутся для него непереносимыми ввиду
неготовности к взаимодействию с ним. Простейшей иллюстрацией этого может
служить физическое (температурное) закаливание. Наивная попытка «кутания» ребёнка
в стремлении защитить от простуд оборачивается противоположным желаемому
результатом. Подготовить школьника к самостоятельной жизни, значит сформировать
у него адекватные механизмы адаптации – физиологической, психологической,
социальной. Это и должна делать школа через ЗОТ – тренируя, обучая, воспитывая.
Создание на уроке моделей реальных условий жизни – это те мостики, которые позволяют
учащемуся в дальнейшем использовать полученные знания, умения, навыки на
практике, а не тяготиться ими как информационным балластом. Это искусство – подготовка
ученика к реальной жизни – определяет, в конечном счёте, профессионализм
учителя, является содержанием «педагогической адаптологии» (Смирнов Н.К.,
2000), рассматривающей в определённом аспекте многие проблемы формирования,
сохранения и укрепления здоровья учащихся и составляющей один из теоретических
конструктов представления о ЗОТ.
Критерием здоровьесберегающих качеств образовательных
технологий при решении с их помощью защиты от патогенных факторов будет наличие
или отсутствие ухудшения здоровья учащихся и педагогов, находящееся в очевидной
связи с воздействием таких факторов. Это согласуется со сложившейся у нас
практикой работы системы здравоохранения (обращаться к врачам надо только тогда
когда заболеешь), но вступает в противоречие с принципами профилактической
медицины и концепцией здоровья, принятой Всемирной организацией
здравоохранения, согласно которой здоровье – не только отсутствие болезни, но и
состояние полного физического, психического и социального благополучия.
Если организовать работу школы в сфере охраны здоровья
только задачей-минимум – защитой ученика от вредных воздействий – то лишь
небольшая часть образовательного потенциала школы окажется задействованной в
интересах здоровья учащихся. Такой подход на наш взгляд, не отвечает
стратегическим принципам здоровьесбережения и не приводит к достижению целей
системы образования. Ведь получается, что пока ребёнок в школе, о нём
заботятся, за порогом же школы образовательное учреждение снимает с себя всякую
ответственность за здоровье своего воспитанника. Усилия в этой сфере не могут
ограничиваться только фильтрацией воздействий, непосредственно связанных с
образовательным процессом, ролью щита от них. У школы достаточно ресурсов для
помощи своим воспитанникам в сохранении здоровья, как в период обучения, так и
после окончания школы. Это и учебно-воспитательные программы, и внеклассная
работа, и воздействие через родителей учащихся, и т.д. Содействие процессам
формирования адаптационных ресурсов ребёнка, возможностей противостоять
патогенному воздействию окружающей среды – как природной, так и социальной –
важнейшая стратегическая задача, решаемая доступными образовательным
учреждениям средствами – обучением, воспитанием, содействием развитию.
В соответствии с этим и понимание ЗОТ представляет нам
как задача-оптимум, включающая решение задачи-минимум, а также формирование
у учащихся физического, психического, духовно-нравственного здоровья,
воспитание у них культуры здоровья, действенной мотивации на ведение здорового
образа жизни. Тогда более правильным представляется определение
здоровьесберегающих образовательных технологий как совокупности всех
используемых в образовательном процессе приёмов, технологий, не только
оберегающих здоровье учащихся и педагогов от неблагоприятного воздействия
факторов образовательной сферы, но и способствующих воспитанию у учащихся
культуры здоровья. «Рядовой» признак ЗОТ, как и всех образовательных
технологий, определяется учебно-воспитательным процессом, исполняющим роль методологического
стержня, к которому адресуются все конкретные технологии, приёмы и методы.
Поэтому и противопоставление условий организации образовательного процесса
(устранение вредных воздействий, достижение максимальной работоспособности без
ущерба для здоровья) его содержанию, в связи с вопросами здоровья, весьма
условно.
Последнее принципиально важно, ибо задача школы состоит не
только в том, чтобы сохранить здоровье учащихся на период обучения, но и в том,
чтобы подготовить их к дальнейшей успешной и счастливой жизни, не достижимой
без достаточного уровня здоровья.
Задача здоровьесберегающей педагогики – обеспечить
выпускнику школы высокий уровень здоровья, сформировать культуру здоровья,
тогда аттестат о среднем образовании будет действительной путёвкой в счастливую
самостоятельную жизнь, свидетельством умения молодого
человека заботиться о своём здоровье и бережно относиться к здоровью других
людей.
IV.2.
Принципы и отличительные особенности
здоровьесберегающих образовательных технологий
В числе главных недостатков современной системы образования
в России, российской школы – её авторитарность, доходящая в некоторых
учебных заведениях и у некоторых учителей до деспотизма. Впрочем, это касается
особенностей системы образования не только нашей страны. В попытках выстроить
дисциплину, организовать учебный процесс, учителя и администрация школ
неоправданно часто и интенсивно используют «административный ресурс». Понятие
«заставить ученика» – из числа самых распространённых. Оно не всегда
проговаривается вслух, но отношения учителя с учеником по большей части
определяются именно этим глаголом. Чтобы удерживать дисциплину в классе на
уровне, необходимом для проведения урока, обеспечить возможность учиться
школьникам, которые хотят этого, от учителя требуется выдержка, самообладание,
владение широким арсеналом педагогических приёмов и коммуникативных техник.
Иногда у педагога недостаточно профессионализма, технологической
оспособленности, чтобы преодолеть отсутствие у школьников интереса к учёбе,
низкий культурный уровень, особенно в сочетании с высокой конфликтностью,
агрессивностью, ощущением безнаказанности, неумением держать себя в руках, владеть
своими эмоциями и т.п. В некоторых случаях неспособность соблюдать правила
дисциплины, двигательная расторможенность, эмоциональная неуравновешенность
нередко обусловлены органическими мозговыми или функциональными нервно –
психическими отклонениями, в отношении которых педагогические методы бессильны.
А таких подростков в классе бывает не один и не два…И здесь легко от
требовательности перейти к принуждению, что не одно и то же! Возможность
достичь положительного результата без принуждения учащегося и отличает
настоящего педагога-профессионала от «просто учителя». Именно авторитарная
позиция восполняет обычно нехватку профессионализма, энергетических и
личностных ресурсов учителя, выполняя компенсаторную роль.
Негативные стороны авторитарной позиции известны:
сковывается инициатива учащихся, снижается уровень проявления и развития
креативности, снижается самооценка, формируется состояние хронического стресса,
как и во всех случаях, когда человек ощущает зависимость от другого. Длительное
пребывание в такой ситуации приводит к формированию протестных реакций,
энергетика которых, постепенно накапливаясь, может стать причиной неожиданного
всплеска агрессивности («немотивированная агрессия»). Воспитательное же
воздействие психологического давления извне – формирование таких черт характера
как неискренность, безынициативность, безответственность, застенчивость и т.п.
Негативное воздействие на здоровье так же обусловлено и
жестко навязанными извне ограничениями телесных проявлений учащихся: отмечено,
что чем более авторитарен учитель, тем более скованными чувствуют себя на его
уроке ученики. А это ограничивает возможности эмоционально – двигательных
противовесов «монотонии», ускоряет наступление утомления и переутомления.
Поэтому можно утверждать, что чем больше в школе и на уроках отдельных учителей
проявлений авторитаризма, тем в меньшей степени эта педагогическая технология
может быть названа здоровьесберегающей.
С авторитарностью обычно сопряжены и другие характерные
особенности педагогической деятельности. В частности, это дидактоцентрическая
ориентация педагогического процесса, противостоящая антропоцентрической. Когда
приоритетом деятельности учителя, ориентиром ее совершенствования становится
методика обучения, страдает главное действующее лицо образовательного процесса
– ребенок. В этом случае он превращается из субъекта в объект.
Именно учителям авторитарного стиля, в значительно большей
степени, чем другим, присуще стремление к назидательности. А её избыток
обуславливает снижение интереса к поступающей информации. Кроме того,
назидательность – подчёркивание своей приоритетной позиции («подстройка
сверху») со всеми нежелательными последствиями такой коммуникации.
Для самого учителя, директора, руководителя управления
излишняя авторитарность значима как признак принадлежности к «типу А», т.е. к
людям «стресс – коронарного» типа реагирования, имеющим повышенный риск
заболеваний сердечно-сосудистой системы, в частности риск инфарктов.
Замечательный пример неавторитарной педагогики –
педагогическая система Александра Нила, описанная в его книге «Саммерхилл –
воспитание свободой» (М.:Педагогика – Пресс, 2000). Блестящий, афористичный
язык, которым она написана и который в полной мере сохранён переводчиками –
мудрыми педагогами Э.Гусинским и Ю.Турчаниновой – позволяет рекомендовать эту
книгу не только как образец педагогической классики, но и как руководство по
здоровьесберегающей технологии (хотя этот термин в ней, понятно, не
используется).
Писать о необходимости индивидуализации воздействий
стало традиционным для педагогической литературы. Однако укажем, что в
интересах здоровья ребёнка «не загонять» его в прокрустово ложе шаблонов
поведения, жёстких временных регламентов, расписанных до минут схем действий и
т.п. Даже учёт только лишь возрастных и темпераментных особенностей учащегося
требует серьёзной «подстройки» психолого-педагогических воздействий. Известно,
насколько травматичным для психики ребёнка с флегматичными чертами является
постоянное напоминание, что он медлит, опаздывает, не успевает, тем более, если
это сопровождается физическим воздействием или педагогическими санкциями.
Формирование невроза в этих случаях – лишь дело времени! Ещё больше шансов
«заработать» невроз от действий неквалифицированного педагога представителя
меланхолического темперамента.
Но темпераментные характеристики – лишь небольшая часть
индивидуальных особенностей ребёнка, которые необходимо учитывать для того,
чтобы педагогическая технология, субъектом воздействия которой он оказывается,
не нанесла вреда его здоровью. Дополнительную диагностическую и методическую
сложность представляет то, что черты характера и другие психологические
особенности тесно спаяны с уровнем и качественными показателями состояния
здоровья. Патогенные воздействия умеренной силы приводят сначала к нарушениям
психического здоровья (психолого-педагогический уровень), а затем могут
трансформироваться в патологию медицинского характера – пограничные нервно –
психические и другие функциональные расстройства, психосоматические заболевания.
Из определения здоровьесберегающих образовательных
технологий видно, что важнейшей целью внедрения ЗОТ в образовательный процесс
является формирование культуры здоровья. Именно на это должны быть в
значительной степени направлены усилия школы и семьи, с учётом приоритета в данном
вопросе воспитания над обучением. Культура здоровья должна не изучаться, а
воспитываться. Психологическая основа этого – мотивация на ведение здорового
образа жизни. Неотъемлемой частью культуры здоровья является информированность
в вопросах здоровья и здорового образа жизни. Как добиться успеха в жизни, как
не стать жертвой алкоголя или наркотиков – приобщившись к культуре здоровья, за
ответами на все эти вопросы ребёнок, подросток обращается именно к учителю,
специалисту. И тогда полученная от них информация имеет максимальные шансы быть
использованной на практике. Круг замыкается: обучение вопросам здоровья,
воспитание культуры здоровья, использование здоровьесберегающих технологий, как
основного инструмента педагогической работы составляют единое целое – дорогу к
здоровью.
Раскрывая с разных сторон содержание ЗОТ и их связь с
неизвестными педагогическими технологиями, напомним, что фундаментальный
принцип педагогической тактики состоит в том, что не учитель должен
«навязывать» ученику информацию (в любой форме – фактов, правил,
закономерностей, советов, нравоучений), а ученик должен запросить её у учителя
и получить требуемый ответ. То есть задача учителя – научить учащегося спрашивать.
А для этого необходимо сформировать у него интерес, мотивацию к познанию,
обучению, осознание того, что именно он хочет узнать, готовность и умение
задавать (сформулировать) вопрос. «А какое же это имеет отношение к ЗОТ?» -
спросит читатель. И хорошо, что спросит, что спросит – так бы делали и наши
школьники! А отношение следующее. Во-первых, задание вопросов – это проявление
и тренировка познавательной активности, а она тесно коррелирует с адаптационной
способностью, умением и готовностью находить оптимальные варианты решения в
различных ситуациях, включая и те, которые представляют риск для здоровья. Во –
вторых, это показатель включённости ученика в обсуждаемую проблему и,
следовательно, хорошего уровня его работоспособности (в состоянии утомления,
безразличия и т.п., учащиеся вопросов не задают). Наконец, в – третьих, это
показатель адекватно развитых коммуникативных навыков: застенчивый, «закомплексованный»,
боящийся учителя ребёнок вопросов задавать не будет, в результате возрастает
багаж непонятного учебного материала, что ведёт к переутомлению и снижению
интереса к обучению. Конечно, это резко отражается на успеваемости. Таким
образом, можно заключить, что количество и качество задаваемых учеником
вопросов служит одним из индикаторов его психофизического состояния,
психологического здоровья, а также тренирует его успешность в учебной
деятельности. Соответственно, по тому, как и какие вопросы задают на уроке,
можно судить об уровне профессионализма учителя. Полушутливая фраза о том, что
«если вопросов не задают – это значит, что или всё понятно, или ничего не
понятно», по сути – не верна. Это признак или безразличного отношения к
полученной информации, или неуважения к её источнику, или низкого уровня
слушателей. В школе – и то, и другое, и третье – показатель недостаточной
квалификации учителя.
Схематично, модель работы по вышеназванной технологии,
ведущей к здоровьесбережению, включает три этапа. На первом учитель сообщает
ученикам информацию (рассказывает, читает, демонстрирует в визуальной форме),
построенную с таким расчётом, чтобы стимулировать (спровоцировать) вопросы
учащихся. На втором этапе учащиеся задают вопросы. На третьем – учитель на них
отвечает (если сможет!). Поощряется как задавание вопросов, так и попытки
ответить на вопрос – чужой или свой собственный. Сравнение этой технологии с
традиционной (в рамках одной программы и при одинаковом временном ресурсе)
показало (Смирнов Н.К., 1999) снижение утомляемости учащихся и лучшее качество
усвоения даже большего объёма материала. Урок проходит на более высоком
эмоциональном фоне, сопровождается дополнительной тренировкой коммуникативных
навыков у учащихся и большей удовлетворённостью от урока как у учителя, так и у
учеников. Всё это – косвенные подтверждения здоровьесберегающего эффекта
указанной технологии.
Творческий характер образовательного процесса –
крайне необходимое условие здоровьесбережения. Включение ребёнка в творческий
процесс не только природосообразно, служит реализации той поисковой активности,
от которой зависит развитие человека, его адаптационный потенциал, способствует
достижению цели работы школы – развитию личности учащегося, но и снижает
вероятность наступления утомления. Цепочка взаимосвязи здесь простая: обучение
без творческого заряда – неинтересно, а значит, в той или иной степени,
является насилием над собой и другими. Насилие же разрушительно для здоровья,
как через формирование усталости, так и само по себе.
Как правило, возможности для реализации творческих задач
достигаются использованием на уроках и во внеурочной работе активных методов
и форм обучения. В качестве примера эффективных и доступных форм работы
можно привести дискуссию, психолого-педагогический тренинг. К сожалению, для
использования их в повседневном учебном процессе необходима не только
корректировка учебных программ, но и соответствующая подготовка педагогов. Фактически,
это смещение традиционного методического репертуара учителя в сторону
психологических технологий. Именно этот вектор профессионального развития
учителя позволяет ему не только получить удовольствие от своей работы, в
большей степени реализовать индивидуальный подход к учащимся, но и превратить
используемые педагогические технологии в здоровьесберегающие.
По нашему убеждению, представленность психологической, и
даже психотерапевтической составляющих в работе современного учителя во многом
определяют её эффективность. Это связано как с бурным развитием прикладной
психологии, методов воздействия на психику человека, его поведение, так и
психопатологической отягощённостью нынешних детей и подростков, недостатком
внимания к их проблемам со стороны родителей. Конечно, учитель не должен
заниматься психотерапией в медицинском значении этого слова –
консультированием, лечением, гипнозом, но подход к ребёнку, ориентированный на
его личностные особенности и проблемы, комплексы, мешающие ему жить и т.п., как
раз и отличает профессионального педагога, Учителя (с большой буквы!), от
«урокодателя», невольно рассматривающего ученика через призму очередной
методики обучения. Именно при таком понимании задач учителя и используемых им
технологий можно рассматривать «педагогическую психотерапию» (Смирнов Н.К.,
1998) как область знаний и практического опыта, тесно корреспондирующую со
здоровьесберегающими образовательными технологиями.
Учитывая известную патогенную роль формирующихся в процессе
обучения состояний переутомления, дистресса и им подобных, можно говорить о
здоровьесберегающем эффекте тех образовательных технологий, которые направлены
на снижение утомляемости учащихся и позволяют, за счет большей эффективности
учебного процесса, достичь поставленных целей (выполнить учебную программу), не
перегружая школьника. Дополнительные психолого-педагогические ресурсы
открываются здесь в направлении диагностики и использования сенситивных
периодов в развитии ребёнка, ситуационно возникающих состояний, повышающих
восприимчивость к одним воздействиям и закрывающих сенсорные каналы для других
и т.п. Гибкое и согласованное использование учителем визуального и слухового
каналов донесения информации до ученика, правильный выбор их соотношения
применительно к конкретному учащемуся не только повышает эффективность процесса
обучения, но и способствуют снижению психического напряжения ребёнка до физиологически
оптимального уровня.
В этом аспекте, важный принцип здоровьесбережения состоит в
оценке учителем того, какой ценой для здоровья конкретный учащийся, с учётом
всех его индивидуальных особенностей и состояния здоровья, должен расплатиться
за полученные на уроке знания, умения, навыки. «Цена обучения для здоровья»
- вот тот критерий, который при использовании здоровьесберегающих технологий
служит учителю мерилом допустимости тех или иных педагогических воздействий.
Выше мы уже упоминали о недостатке простого и достоверного
психолого-педагогического и медико-физиологического инструментария для оценки
влияния, оказываемого на здоровье учащихся той или иной образовательной
технологии. Поэтому часто приходится использовать косвенные индикаторы оценки,
особенно в практической работе учителя, директора школы. Одним из таких
индикаторов может служить степень интереса школьника к учёбе, конкретному
предмету, часто облечённое в желание или нежелание идти в школу. Очевидно,
что степень этого интереса и желания отражает и степень позитивного влияния на
здоровье используемых учителем (или учителем данной школы) технологий: ученик,
для которого школа – тяжёлое и неприятное испытание, каждодневно оставляет в её
стенах частичку своего здоровья. Отсюда вытекает целесообразность и
корректность использования опросов и анкетных исследований для оценки того,
насколько профессиональный уровень педагогов позволяет им сберегать здоровье
своих воспитанников. (Примеры таких анкет приведены в следующей главе).
Отдельного обсуждения с позиции здоровьесбережения
заслуживает вопрос о многократных повторениях на уроках одного и того же
(фазы, идеи, примера). Это отдельная важная тема психолого-педагогических
технологий, адресованная, главным образом, учителю. Здесь лишь укажем, что
прямо противоположными: и как артефакта работы учителя, связанного с его
состоянием, здоровьем, психологическими особенностями (усталость, повышенная
тревожность, ригидность, атеросклероз), и как эффективного приёма педагогического
воздействия, умелого использования технологии для лучшего усвоения изучаемого
материала отдельными учащимися. Соответственно, в первом случае будет наблюдаться
резкий рост утомления учащихся, во втором – его снижение. Таким же широким
будет диапазон оценок возможности использование учителем специальных приёмов
для оптимизации психологического состояния учащихся с целью их последующей
работы в определённых режимах, таких как:
1.
Механического запоминания;
2.
Усвоение новых закономерностей, логических связей;
3.
Творческой деятельности, фантазировании;
4.
Однотипной деятельности для закрепления полученных знаний
(выполнение упражнений, решение примеров) и др.
При соответствующей настройке учебная деятельность
школьника будет протекать в психологически более комфортных условиях, что
приведёт к более высокой её продуктивности и меньшим энерго- и трудозатратам.
А, следовательно, к меньшему утомлению ребёнка. Но если уровень квалификации
учителя, его психологическая компетентность недостаточны, результат окажется
противоположным ожидаемому.
На этих примерах хорошо видно, насколько чревата ошибкой
попытка оценить какой то элемент педагогической практики только по его названию,
внешнему признаку. Оценивать и принимать управленческие решения в отношении
здоровьесберегающих технологий целесообразно, только проанализировав суть
нововведения, педагогического приёма, явления, технологии.
При планировании работы школы с усилением внимания к
вопросам здоровьесбережения необходимо, во исполнение принципа «Не навреди!»,
продумать чёткую систему отслеживания всего комплекса показателей
(психофизиологических и психолого-педагогических), отражающих воздействие
инноваций на состояние здоровья учащихся. То есть должен проводиться
комплексный мониторинг по трём взаимосвязанным направлениям – динамике
состояния здоровья (статистика, объективные показатели, самооценка), динамике
психофизиологических показателей (включая оценку утомления, настроения, уровня
стресса, напряжения и т.п.), изменениям психолого-педагогических характеристик
(успеваемости, поведения, работоспособности, отношения к учёбе и др.). Важно
определить те корреляции, которые позволяют сделать вывод о цене для здоровья,
которой оплачиваются учащимся успехи в школьной и внешкольной деятельности (
кружки, секции, компьютер, хобби).
Обязательным элементом здоровьесберегающей организации
урока в соответствии с современными требованиями являются физкультминутки.
Описания их содержания можно найти в рекомендациях физиологов и гигиенистов. С
позиций здоровьесбережения польза от простого выполнения нескольких физических
упражнений или гимнастики для глаз минимальна, если при этом учитываются три
условия.
1.
Состав упражнений физкультминутки должен зависеть от
особенностей урока (какой это предмет, в какой вид деятельности были включены
учащиеся до этого, каково их состояние и т.д.).
2.
Обязательным является эмоциональная составляющая
физкультминутки. Амплитуда стимулируемых эмоций учащихся может быть различной –
от выраженной экспрессии до спокойной релаксации, но во всех случаях занятие
должно проводиться на положительном эмоциональном фоне.
3.
Учителю, проводящему физкультминутки, необходимо выработать
для каждого класса 2 – 3 условных вербально-поведенческих знака («якоря» в
терминологии нейролингвистического программирования), позволяющих быстрее и
эффективнее переключать школьников в другой режим деятельности.
Условие и составная часть практической реализации ЗОТ –
формирование культуры здоровья учащихся – одна из важных задач школы, которая
может быть успешно решена лишь при наличии необходимого уровня культуры в этой
сфере у самого учителя. Поэтому такое внимание мы уделяем подготовке, повышению
квалификации, непрерывному обучению по этим вопросам педагогов, психологов,
директоров школ.
В отличие от предметов «фундаментального» цикла –
математики, физики, истории и т.п., вопросы имеют сугубо прикладное значение.
Поэтому наряду с тематическими образовательными программами (см. ниже), необходимой
составной частью диалога учителя с учеником является способность каждого
учителя ответить на задаваемые учащимися и актуальные для них вопросы по
проблемам здоровья. По крайней мере, наиболее типичные и не требующие
специальных медицинских знаний. С другой стороны, сам учитель, в процессе
преподавания своей дисциплины и проведения воспитательной работы, должен уметь
и стремиться приводить примеры, отмечать закономерности, связанные с вопросами
здоровья, возможностями его сохранения и укрепления. В этом же русле должна
строиться одна из сторон работы педагога с родителями учащихся. Соответственно,
учитель должен быть подготовлен к такой работе. И не только по популярным
брошюрам на тему здоровья или книгам по основам медицинских знаний. Такая
подготовка включает участие в тренингах, обсуждение и анализ с коллегами
типичных ситуаций, проектную работу, посвящённую построению
здоровьесберегающего образовательного пространства школы и другие формы
последипломной учебной работы, позволяющие учителю не только использовать ЗОТ
на своих уроках, но и помочь другим учителям, администрации превратить школу в
место, где грамотно заботятся о здоровье и учащихся, и педагогов.
Некоторые аспекты современного представления о ЗОТ,
описанные в этой главе с учётом ситуации неблагополучия со здоровья субъектов
образовательного процесса, нерешённости многих организационных вопросов,
характерных для сегодняшнего дня, в неполной мере отражают тот круг проблем, к
которым имеет прямое или косвенное отношение задача сохранения и укрепления
здоровья учащихся. Поэтому необходимо чётко представлять, что гигиенический
контроль за соблюдением требований СанПиНов и отслеживание степени утомления на
уроке – это наиболее очевидные, но не определяющие направления работы школы по
формированию здоровьесберегающего образовательного пространства.
IV.3.
Здоровьесберегающее образовательное пространство школы
Для планирования и проведения работы, направленной на
сохранение и укрепление здоровья учащихся, превращения используемых в школе
педагогических технологий в здоровьесбережение методически полезным
представляется введение и конкретизация на отдельных примерах представления о здоровьесберегающем
пространстве школы (далее – ЗПШ), объединяющем феномены, сферы, пути и процессы
реализации здоровьесберегабщих образовательных технологий, и объединённых в
несколько структур по характеру этих феноменов и психолого-педагогических
характеристик. Воздействие этого пространства на учащихся и педагогов
происходит непосредственно в школе, однако, как во всех других случаях, когда
мы имеет дело с человековедческими технологиями, первичное воздействие служит
лишь запуском процессов дальнейших изменений как педагогического пространства,
так и субъектов в нем действующих.
Наивно было бы ожидать, что
изложенные ниже представления о ЗПШ окажутся для опытных педагогов и
руководителей образовательных учреждений тем откровением, которое на подобие чудодейственному
бальзаму позволит решить все проблемы системы образования, связаны со здоровьем
учащихся. Это лишь попытка на основе определенной систематизации взглянуть на
более или менее известные явления и феномены педагогической деятельности под
углом зрения оценки их воздействия на здоровье субъектов образовательного
процесса и возможны корректировки этого воздействия.
Изменения, которые происходят
в образовательном пространстве, не столь очевидно и быстро проявляются как,
например, результат удачно сделанной операции. Но такова особенность
большинства профилактических и психолого-педагогических (воспитательных, в
широком смысле) воздействий: отдельные малозаметные сдвиги в состоянии организма,
физиологических и психологических процессах, личностных структурах, накапливаясь,
приводят в результате к уже заметным изменениям. То же в случае патогенных
факторов, характерных для системы образования: их почти незаметное каждодневное
воздействия на учащихся и педагогов приводят к постепенному истощению ресурсов
здоровья, появлению сначала пограничных, а за тем клинически выраженных
нарушений здоровья и дефектов, уже трудно поддающихся восстановлению.
Главные особенности ЗПШ,
отличающие его, в том числе, и от общеизвестных гигиенических норм и рекомендаций,
соответствуют принципам здоровьесберегающих образовательных технологий и кратко
могут быть представлены тремя положениями.
Если гигиенические факторы,
перечисленные СанПиНах, по определению несут явный или потенциальный вред для
здоровья, то сутью ЗПШ является его позитивная основа, направленность на те
процессы и ресурсы, организационные и содержательные возможности педагогической
системы, которые способствуют не только сохранению, но и формированию,
приращению потенциала здоровья учащихся. Вытеснение негативных воздействий и
производимых ими эффектов, позитивные, переориентациями, благодаря этому,
суммарного вектора направленности внешних воздействий системы образования, в
отношении здоровья учащихся, с негативного на позитивный, и составляет важную
отличительную особенность ЗПШ.
Другой особенностью ЗПШ
является инновационно-творческая основа формирования и реализации всех усилий,
направленных на повышение эффективности здоровьесбережения, с максимально
возможным использованием индивидуального подхода к каждому учащемуся.
Наконец, третья особенность -
направленность на вовлечение самих учащихся в деятельность по оптимизации
этого пространства, что представляет воспитательную программу, способствующую
превращению школьников из пассивных и безответственных объектов, которых
взрослые защищают от вредных для их здоровья воздействий, в субъектов процесса
здоровьесбережения, с совершенно другим чувством ответственности, наделенных
собственными правилами и обязанностями. В их числе - необходимость обретения
багажа знаний, обязательного для грамотной заботы о своем здоровье и здоровье
своих близких.
В структуре ЗПШ можно
выделить несколько феноменологически близких явлений, которые в совокупности
его и составляют. Образно это можно представить как шар, или сферу, динамично
переливающуюся несколькими разными цветами, каждый из которых определяет
какую-либо совокупность феноменов, как составную часть всей сферы (образная
модель предложена М.В. Аносовой). Эти совокупности однородных феноменов, эти
"подпространства" мы будем для удобства называть соответствующими
пространствами - экологическим, эмоционально-поведенческим, вербальны,
культурологическим и др. Кратко опишем основные из них.
Экологическое пространство связано с воздействием всей совокупности средовых
факторов, воздействующих в школе на учащихся и педагогов. Номинально некоторые
из них совпадают с гигиеническими факторами, характеристики и степени
воздействия которых регламентированы в СанПиНах. То есть три отличия,
позволяющих представить это пространство не просто как новое обозначение хорошо
известных факторов. Во-первых, в СанПиНах представлен набор отдельных позиций
с количественными рамками, которых необходимо придерживаться. Анализ же
педагогического пространства ориентирован преимущественно на качественную
оценку воздействия всей совокупности однородных факторов, тем более, что на
самом деле их воздействие всегда сочетанное и взаимосвязанное. Во-вторых, в
отличие от гигиенического подхода, центрированного на самих патогенных
факторах, центром внимания в педагогическом пространстве оказываются субъекты
педагогического процесса и сами эти процессы. Наконец, в-третьих, в
педагогическом пространстве существует не мало элементов, которые или пока не
регламентированы, или не могут быть регламентированы и каталогизированы в
принципе. Так, весящая на стене картина может смещать фокус внимания человека в
целостном восприятии всего помещения, в зависимости от того впечатления,
который именно на него производит именно эта картина (как по модальности отношения,
так и по силе его выраженности). Например, в одном из опросов учащихся после
урока о том, что привлекало или отвлекало их внимание, больше половины указали
на большую скрепку, которая лежала на полу на видном месте. Понятно, что
никакие гигиенические перечни такого учесть не могут.
Одним из элементов
экологического пространства является воздушная среда. Ее воздействие на
учащихся и педагогов не ограничивается теми сторонами, которые регламентированы
СанПиНами - они известны и приводятся в соответствии с требованиями путем
поддержания комфортной температуры и регулярного проветривания помещения
класса. Но кроме этого, влияние на здоровье и настроение учащихся оказывают,
например, запахи, регламентация которых, кроме самой общей фразы, в СанПиНах
отсутствует. В последние годы представление о воздействии запахов на человека
оформились в новую науку - ароматологию и ее прикладную ветвь - ароматотерапию.
Лучший источник полезных и гармоничных запахов - растения. Выращивание в
классах комнатных растений, в соответствии с рекомендациями ученых и
обобщениями практического опыта, безусловно, целесообразно, но должно быть
связано не с задачами лечения, а только сохранения и укрепления здоровья.
Растения наши молчаливые
друзья и помощники, чудесные целители и врачеватели. Они дарят людям ничем не
заменимый кислород, поглощают вредные газы и вещества, задерживают пыль,
уменьшают воздействие городского шума. В помещении растения создают необходимый
психоэмоциональный комфорт, являясь чуткими хранителями безопасности и покоя.
Свое здоровье действие растения проявляют путем выделения эфирных масел,
которые действуют подобно гормонам, проникая в системы организма, влияя на
эмоции и физические реакции, регулируя их, активизируя защитные силы организма
в борьбе против инфекционных заболеваний, стимулируя образование лейкоцитов
крови. Определенные эфирные масла имеют связь с конкретными органами тела.
Например, гераниевое масло активизирует кору надпочечников и снимает
напряжение, вызванное стрессов, апельсиновое используют для борьбы с тревогой,
страхом.
Все цветы выделяют цветы
фитонциды, которые губительно действуют на болезнетворные микробы. Возможности
оздоровления воздуха в помещении при помощи комнатных растений просто
беспредельны. Летучие выделения некоторых растений в силу своей биологической
активности даже в микроскопических дозах (10-6мг/см3)
могут обладать бактерицидным, бактериостатическим, фунгицидным действием. От
летучих фитонцидов амариллиса, агапантуса, зиферантеса, гипеаструма некоторые
бактерии погибают быстрее, чем от фитонцидов чеснока. Для оздоровления воздуха
в комнате полезно держать такие растения, как хлорофитум, мирт, розмарин,
аглаонему, аспарагусы. Давно известны фитонцидные свойства хвойных. Это
криптомерия, можжевельник, сосна. Они также наполняют помещение отрицательно
заряженными ионами, которые поглощают излучения телевизоров и компьютеров.
При подборе растений в классе
должны быть соблюдены два обязательных условия:
1.
Запах растений не должен быть
очень сильным, отвлекающим;
2.
присутствие растений в классе не
должно вызывать аллергических реакций ни у кого из учащихся.
Важно, чтобы это направление в гармонизации педагогического
пространства вместо решения задачи повышения работоспособности и снижения
утомляемости учащихся не превратилось в «игру в запахи» на уроках – модное
увлечение наподобие фитотерапии. Известно, что создание в середине 90-х годов
во многих школах фитобаров, давало как положительные результаты, так, к
сожалению, и отрицательные, проявившиеся в случаях аллергических реакций у
школьников. Поэтому необходимо соблюсти все необходимые предосторожности,
включая проверку закупаемого сырья и проведение в подозрительных случаях
аллергических проб у детей. Тогда кстати придётся и опыт педагога-валеолога
Ю.Титовой, помогающей старшеклассникам с помощью специально подобранных запахов
дифференцированно активизировать работу левого или правого полушария на уроках
естественно-математического или гуманитарного профиля, соответственно. Известны
также другие интенсивные примеры использования запахов в практике работы школ.
Для ароматизации воздуха
можно использовать и искусственные препараты, но экологичнее и дешевле
выращивать живые растения. Кроме того, при этом решается и другая, не менее
важная задача – воспитательная. Выращивание растений в классе, уход за ними лучше
поручать самим школьникам. Привлекаясь к уходу за растениями, дети приучаются бережно
относиться к ним, а значит, и ко всему живому, получая, тем самым, основы экологического
воспитания.
С помощью комнатных растений
удаётся восполнить дефицит общения с природой, который неизбежно возникает в
городах среди однообразия стандартных домов, раздражающего шума машин, не
гаснущего часами экрана телевизора или компьютера. Специалисты по видеоэкологии
также уверены, что в помещении, где люди находятся подолгу, обязательно должны
быть комнатные растения.
То повышенное внимание,
которое мы уделяем этому элементу экологического пространства школы, связано не
только с воздействием воздуха, которым мы дышим, на здоровье, но и с тем, что
при выполнении на уроках физических, а, тем более, дыхательных упражнений (в
рамках физкультминуток), воздух в классе обязательно должен быть чистым и
лёгким – иначе вреда от этих занятий будет больше, чем пользы.
Нельзя не упомянуть и ещё об
одном аспекте, актуальном для работы школы по сбережению здоровья учащихся.
Известно, что эффективность профилактики табакокурения остаётся пока на крайне
низком уровне. Дополнительные возможности, повышающие действенность этой
профилактической программы и реализуемые не «в лоб», набившим оскомину
повторением, что «курить вредно», могут быть созданы регулярным упоминанием
всеми учителями школы в разном контексте о своём внимании к качеству воздуха,
которым все мы дышим, приведении ими аргументов о зависимости от этого
состояния здоровья, работоспособности и т.п.
То, что описано выше для
отдельных классов, относится и к пространству школы в целом. Особое внимание
следует уделить спортзалам и рекреациям, где дыхание у учащихся активизируется,
приводя к усилию газообмена, а также туалетам, воздушной среде в которых должно
быть уделено особое внимание по понятным причинам. Ну, а количество зелёных
растений в школе всегда являлась критерием реальной заботы администрации об
учащихся.
Другим элементом
экологического пространства школы является его видеоэкологическая составляющая.
Видеоэкология изучает воздействие на психику, а через неё – на телесную
организацию человека и его здоровье – зрительных образов той среды, в которой человек
находится. Исследованиями В.А.Филина в 80-х – 90-х годах и др. учёных показано,
что однообразные по геометрическим формам, преимущественно прямоугольные, с многократно
повторяющимися элементами архитектура интерьера помещений, часто используемые
вещи и т.д. оказывают негативное воздействие на человека. Наоборот, разнообразие
форм и линий, округлые очертания, комбинации различных геометрических фигур
способствует более высокой работоспособности, лучшему настроению,
оптимистическим ожиданиям. Сходные закономерности и в отношении цветовой гаммы:
бесцветное окружение (бело – серо – коричневое) с ритмично повторяющимися
линиями повышает утомляемость человека, понижает эмоциональный настрой.
Эти закономерности пока почти
не используются в оформлении интерьеров классов и школы. Однообразное убранство
большинства классов, преобладание квадратно – прямоугольных фигур, кроме
неизбежных оконных, дверных проёмов и доски, унылая цветовая гамма без
праздничных тонов и т.п. является фактором негативного влияния на психику
учащихся. Влияние это слабое, но учитывая длительность пребывания школьников в
подобных однообразных пространствах, эффект постепенно кумулируется. Редко
можно встретить в классе рисунки, картины, которые могли бы нейтрализовать
унылость интерьера. В основном – либо учебно-наглядные пособия, либо портреты
деятелей науки и искусства.
Уже из этих примеров видно,
что возможностей для проявления инициативы (но научно обоснованной!), и
использования этого поля деятельности для реализации творческой активности для
реализации творческой активности учащихся, у учителей достаточно. Важно
обеспечить сочетанное решение воспитательных задач с задачами здоровьесбережения.
Эмоционально –
поведенческое пространство здоровьесбережения школы – также являющееся собственной частью ЗПШ, представлено
совокупностью поведенческих паттернов, действий поступков, эмоциональных
процессов, проявлений учащихся и педагогов, реализуемых во время их пребывания
в школе. Характеристиками этого пространства могут служить:
· уровень коммуникативной культуры учащихся и педагогов;
· характеристики эмоционально – психологического климата в школе в целом
и в каждом классе в отдельности, а также – в педагогическом коллективе школы;
· стиль поведения учащихся и учителя на уроке;
· формы и характер поведения учащихся на переменах;
· забота учащихся и педагогов о психологических результатах своего
воздействия на других людей в процессе общения (что можно рассматривать в
качестве определяющего признака интеллигентности в целом) и т.д.
Усилиями педагогов и
психологов изученность этих сторон работы школы находится на хорошем уровне,
чего нельзя сказать о достигнутых результатах, которые устраивали учителей.
Отметим здесь лишь несколько моментов, отражающих взаимосвязь этих сторон
школьной культуры со здоровьем учащихся и педагогов.
В психофизиологии уже
несколько десятилетий назад доказаны тесные связи между характером напряжений
различных групп мышц тела человека и его работоспособностью, утомляемостью,
эмоциональным состоянием. На этих закономерностях построена кинезиология. По
рисунку телодвижений и поз можно достаточно поставить психологический диагноз
состояния (см. книгу Аллана Пиза «Язык телодвижений» и др. подобные издания).
Скованность движений, стереотипность поз, наличие мышечных «зажимов» и т.п.
являются свидетельством и одной из причин эмоционального дискомфорта,
дезадаптированности, нерациональной траты организмом энергии. Длительное
существование таких проявлений особенно у растущего организма, приводит к их
фиксации и развитию стойких патологических синдромов, как со стороны
опорно-двигательного аппарата, так и других систем и органов (нервной,
сердечно-сосудистой и др.). Поэтому не только сгорбленная или «скособоченная»
поза ученика должна быть объектом внимания учителя, но и более тонкие
проявления, о которых упоминалось выше. Например, когда ученик пишет, индикатором
общего напряжения служит напряжение кисти его руки, которое часто неоправданно
сильно. А раз рука устает, устает и сам ребенок. Мы, конечно, не призываем к
переходу на перьевые ручки с чернилами, поскольку в распоряжении учителя
имеется арсенал педагогических средств для уменьшения воздействия этого
патогенного фактора. Научить ребят писать, не напрягая руку - значит помочь им
сберечь частичку сил на каждом уроке, что в сумме (за день, месяц, год!) даст
заметный прирост здоровьесбережения. Существуют и специальные упражнения для
кисти, которые можно включать в физминутки. Для воздействия на мышечные группы
других частей тела в программах физминуток можно предусмотреть элементы массажа
и взаимомассажа (последнее - с разделением по полу!). Фактором снижения
напряжения, преодолением утомления, активизации позитивных физиологических
процессов в организме могут служить музыкально-ритмические занятия,
эмоционально-голосовые упражнения антистрессовой направленности (Смирнов Н.К.,
1996 г.), хоровые упражнения (например, по методу Огороднова) и другие.
Во время ответа ученика у
доски индикаторами его нерационального напряжения служат поза (неестественность
телодвижений, не знает куда деть руки, опускает голову), характер голоса,
движения пальцев рук. Понятно, что оценка знаний школьника, отвечающего в
неадекватно напряженном состоянии, не может быть обыкновенной. Но еще важнее
воздействие таких состояний на здоровье учащегося. Грань между тренирующим и
патогенным воздействием напряжения не очевидна, но опыт и наблюдательность
педагога должны подсказать ему правильное решение. Задача - не допустить, чтобы
нежелательные привычки закреплялись, мешая подростку реализовать свои
возможности, как в школе, так и в дальнейшей жизни. Как этого достичь - это
тема отдельной работы, предназначенной для учителя.
Но и самому учителю следует
обратить внимание на то, как он держится в классе, какие позы для него
характерны, как эмоциональное состояние отражается на характеристиках речи,
какие мышечные "зажимы" мешают телу. А данные самодиагностики открывают
перспективы для самокоррекции или обращения к помощи специалистов. Напоминаем
принципиальный педагогический тезис, особенно значимый для проблемы здоровьесбережения:
пример учителя по всему спектру внешних проявлений - образец для учащихся,
причем, во многом на подсознательном уровне.
Умение «дирижировать»
состоянием активности учащихся (и управлять своими собственным) - важный
критерий оценки здоровьесберегательности используемых учителем педагогических
технологий . Отдельные позы, жесты, действия, эмоциональные посылы учителя,
периодически повторяясь на уроке, могут стать (и становятся!) стимулами, запускающими
определенные реакции и состояния у учащихся. Когда это находится под контролем
учителя, т.е. служит инструментов его воздействия на класс, то это, конечно
полезно. В других случаях, когда визуальное и вербальное обращение учителя
противоречиво (независимо от его желания), у учащихся формируются
противонаправленные тенденции, что дезорганизует их деятельность, формирует
стресс. Отслеживать эти закономерности самому учителю сложно и здесь на помощь
прийти метод супервизии (наблюдения специалиста), что и составляет одну из
задач присутствия учителей на уроках друг друга. Главное - знать, что именно
наблюдать и отслеживать, а для этого необходима помощь психолога или обучение
на курсах.
Эмоционально-поведенческие
проявления школьников на переменах - также важный элемент оценки этой стороны
ЗПШ. Возможность переключения, деятельности физического раскрепощения,
двигательной и эмоциональной разрядки на переменах - условие восстановления к
следующему уроку, которые школа должна создать, а ученики - использовать.
Еще одна актуальная проблема,
тестирующая компетентность учителя, директора школы в вопросах
здоровьесбережения - так называемая «канализация агрессии» учащихся
педагогическими средствами. Причин для проявления агрессивности у населения
вообще, и у подростков, в частности, достаточно. Это стрессы, фрустрации,
неудовлетворенность условиями жизни, зависть, агрессивность окружающей среды,
потеря ориентировки и т.д. Проявление агрессивности на уроках нарушают
дисциплину, разрушают эмоциональный климат, деформируют ход учебного процесса.
Всё это, включая непосредственно агрессивное напряжение, имеет отношение к
здоровью субъекта, проявляющего агрессивность, и всех, кто его окружает. Именно
здесь психолого-психотерапевтическая грамотность учителя позволяет находить
оптимальные пути нормализации ситуации, с учётом индивидуального подхода к
подростку.
Эмоциональный климат урока во
многом зависит от юмористической составляющей педагогического общения. О том,
что «хороший смех дарит здоровье» сказано немало. Учитель без чувства юмора и
умения проявить его в необходимый момент и в подходящей форме лишается большей
части своей педагогической и личностной привлекательности. Не случайно чувство
юмора – один из приоритетов, который всегда указывают в перечне качеств
желательного собеседника. Постоянная серьёзность – признак психологического нездоровья.
Улыбка, искренний смех ученика на уроке стоит, с позиций здоровьесбережения, не
меньше физкультминутки. Это мощный противовес подкрадывающемуся к школьнику
состояния утомления. Несколько уместных и умных шуток в течение урока – показатель
его качества, критерий для оценки. Полезная для здоровья «встряска» происходит
и с мыслительным процессом, оживляя творческий настрой, причём не только
учеников, но и учителя. Отдельная сторона оценки использования шуток на уроке –
воспитательная. Примитивно – злобный стереотип шуток, как проявление
самоутверждения за счёт других, наносит непоправимый ущерб личностному
развитию, культурному росту. К сожалению, образцов именно такого юмора (в
повседневной жизни, на телеэкране) гораздо больше, чем умного и доброго. Задача
учителя – попытаться помочь подростку правильно использовать колоссальные
ресурсы юмора для обретения радости и здоровья.
Вербальное пространство характеризуется феноменами речевого поведения всех
субъектов образовательного процесса. Точная стенограмма (магнитофонная запись)
речи учителя на уроке может быть проанализирована на предмет оценки его
вербального воздействия на состояние и здоровье учащихся. Критериев при этом
насчитывается более 20. наряду с такими обобщёнными, как «культура речи»,
«чёткость формулировок», «последовательность и ясность изложения мысли» и т.п.,
предметом анализа может быть употребление отдельных типичных слов, таких,
например, как «давайте!».
Эта императивная форма
глагола – одна из очень встречающихся в русской речи. Не являются исключением и
уроки. Произнесённое учителем, это слово сигнализирует о запуске некоего нового
процесса деятельности и служит, поэтому, активизатором состояния учащихся. Даже
если реального действия, после этого, не воспоследует («Давайте вспомним…», но
далеко не все вспоминают), у учащихся на подсознательном уровне (на «автопилоте»)
формируется готовность что-то сделать, т.е. напряжение. Многократное повторение
этой ситуации на уроке, в течение дня, способствует, с одной стороны, большому
утомлению школьника (как всякое «включение – выключение»), с другой – снижает
мобилизационную готовность в ситуациях действительного включения в новую
деятельность, поскольку условный вербальный стимул подкреплялся лишь в части
случаев.
Архетипичность и
психологическая обусловленность механизмов реагирования на подобные слова
хорошо проиллюстрирована в одной из притч о Ходже Насреддине. Тонущий в реке
богач не реагировал на крики пытающихся его спасти с берега людей: «Давай
руку!» И только когда мудрый Насреддин крикнул ему: «На!», протягивая свою
руку, тот уцепился за неё и был спасён. Даже угроза собственной жизни оказалась
слабее магического неприятия требования «давай!» для человека, всю жизнь
привыкшего брать и отбирать.
Нельзя не обратить внимания и
на авторитарную окраску этого слова. Она тем больше, чем ближе её смысл на
шкале «призыв – требование» ко второму полюсу. Воздействие этого слова
смягчается, когда говорящий сам готов включиться в новую деятельность:
«Давайте!» вместо «Давай!»
Это лишь фрагмент анализа
только одного слова, часто используемого на уроках. Но на этом примере видно,
сколь детальным и продуктивным может быть анализ только вербального
воздействия, которое оказывает учитель на своих учеников, их здоровье. И хотя
чаще всего это слабые, субпороговые, для большинства учащихся воздействия,
накапливаясь день ото дня, из месяца в месяц, они оказывают уже реально
патогенное воздействие, особенно на детей, индивидуально предрасположенных
именно к ним (психологическая сенсибилизация). Такой же анализ может быть
проведён в отношении семейного общения и контактов учащихся между собой.
Если вышеописанный пример
касался в большей степени ситуаций в классе, то следующая иллюстрация
вербального пространства здоровьесбережения школы касается феномена,
локализующегося преимущественно вне класса и связанного с культурными традициями
как отдельных семей, школ, так и нашей страны в целом. Этот феномен – речевая
культура школьников, формирование которой всегда считалось одной из важнейших
задач школы, и которая также может и должна быть распространена в аспекте
здоровьесбережения. Если для некоторых стран «эпоха Бивиса и Бадхеда», в
которую мы сейчас погружаемся, и так была достаточно типична, то для России эта
деградация культуры разрушает фундаментальные основы ценностных ориентаций и
чревата трудно прогнозируемыми последствиями, центром сосредоточения которых
может оказаться школа. В рамках этой большой проблемы выделяется своей
актуальностью и шокирующей выраженностью вопрос об употреблении ненормативной
лексики.
В последнее время в стране
катастрофически возросло употребление слов – паразитов и ненормативной
лексики (мата) всеми слоями населения, но особенно подростками, молодёжью.
Эта тенденция, имеющая корни в национально – исторических традициях, отражает
современное снижение общего уровня культуры, обеднение словарного запаса, находящееся
в очередной связи с социальным климатом в обществе, ухудшением психологического
и духовно-нравственного здоровья подрастающего поколения.
Можно с определённостью
утверждать, что человек, привычно и часто использующий ненормативную лексику,
уже имеет отклонения в области психологического здоровья и процесс его
дальнейшей деградации продолжается. Неэффективность процессов мышления,
отражённая в «загрязнённой» речи («Как говорим, так и мыслим»), свидетельствует
о снижении адаптационных возможностей организма, примитивизации личности,
повышенной вероятности принятия ошибочных решений, использовании не лучших
образцов поведения. Хорошо известна и тесная связь этого феномена с уровнем
асоциальности, вероятностью криминального окружения, злоупотреблением алкоголем
и другими одурманивающими веществами. Из понимания здоровья как единого целого,
в котором физическое (соматическое), психическое (душевное), духовно – нравственное
здоровье соединены теснейшими взаимосвязями, следует подтверждаемый
исследователями факт патогенного воздействия употребления ненормативной лексики
(мата) не только на психическое, но и на соматическое (телесное) здоровье,
благодаря процессам резонансных колебаний клеточных структур. Если молитва, по
убеждениям и ощущениям представителей любой религии, оказывает оздоравливающее
действие не только на верующего, но и на любого молящегося, то ненормативную
лексику можно сравнить с «антимолитвой», разрушающей и душу, и тело.
По данным наших исследований
(2001), выявлены корреляции активного и «привычного» употребления мата:
·
с повышенным уровнем невротизации,
«опроблемленности» личности;
·
с повышенным уровнем враждебности,
агрессивности к окружающим и соответствующего восприятия социальной среды;
·
с неудовлетворённостью своей
жизнью;
·
со сниженной самооценкой;
·
со сниженным уровнем (напряжением
механизмов) социально – психологической адаптации;
·
с показателями ригидности
личности, снижением объёма оперативной памяти и другими социально –
психологическими характеристиками.
В школах и на пришкольных
участках, где дети общаются в неформальной обстановке, употребление
ненормативной лексики, в сочетании с вообще убогим словарным ассортиментом,
стало скорее нормой, чем исключением. Точно количественно оценить эту часть
пространства школы невозможно – прибор «матометр» ещё не создан. Однако,
результаты анкетных опросов могут дать ориентировочные показатели, сравнимые
между классами, школами, сопоставимые в динамике.
Но главная задача школы, в
том числе и на путях решения задачи здоровьесбережения, нам видится в том,
чтобы воспрепятствовать развитию этой тенденции, направить свои усилия на
формирование моды на речевую культуру (как составную часть общей культуры
человека). Психолого-педагогические технологии этого разработаны и мы, с полным
правом, причисляем их к здоровьесберегающим, не только на основе вышеизложенных
фактов и доводов, но и потому, что принципы и программы этой работы по большей
части совпадают с формированием моды на здоровье, как стратегического направления
общегосударственной политики в области здравоохранения.
Культурологическое
здоровьесберегающее пространство отражает
феномены культуры и искусства, интегрированные в образовательные процессы школы
и через это влияющие на здоровье учащихся и педагогов. Воздействие средств
искусства на здоровье человека отмечали философы и врачеватели ещё много
столетий назад. В XX веке появились такие понятия и направления работы как
«арттерапия», «библиотерапия», «музыкотерапия», «изотерапия» и т.п. И хотя эти
термины касаются в основном лечебных процедур, значительная часть этих программ
имеет профилактическую, коррекционную и развивающую направленность. Ролевые
игры и тренинги, хоровое пение, художественное оформление школы – всё это не
лечебные, а образовательные формы работы. Именно в этом смысле мы и будем
рассматривать возможность их использования в образовательных учреждениях.
Если внеурочная
воспитательная работа часто включает занятия сценических студий, секций
изобразительного искусства, музыкально-хоровых кружков и т.п., то на уроках,
кроме пения, такие формы учебной работы – исключение. Вместе с тем,
определённую часть учебного материала, особенно по предметам гуманитарного
цикла, можно трансформировать в формы и методы, присущие сфере искусства.
Разыгрывание сценок исторических событий и литературных сюжетов – самый часто
встречающийся на практике вариант интеграции сценического искусства, ролевых
игр в уроки истории и литературы. При этом не только повышается эффективность
образовательного процесса, интерес к урокам, но и достигается позитивный
результат для здоровья учащихся. Нейтрализация напряжения и стресса,
эмоциональная разрядка, повышение коммуникативной компетентности, в том числе
при разрешении конфликтов, преодоление эгоцентрической позиции через
идентификацию с историческими, литературными или вымышленными героями – вот
лишь краткий перечень психологических эффектов, которые возникают при таких
формах проведения уроков. Использование здоровьесберегающих технологий при
решении именно воспитательных задач в наибольшей степени может быть успешно
реализовано именно в этом пространстве.
IV.4.
Обеспечение гигиенических условий образовательного процесса
По мнению ученых, удельный
вес влияния отрицательных факторов окружающей среды в школе происходит
накопление этого воздействия до 20% и более. Гигиенические требования к детским
учреждениям остаются на данных, а физиологических изменений в организме детей в
результате взаимодействия его со средой с учетом возраста и особенностей
организации учебно-воспитательного режима в школе, и зафиксированы в СанПиНах.
Приведем описание основных факторов, на которые необходимо обращать внимание
как администрации школы, так и учителям, использующим здоровьесберегающие
образовательные технологии.
Действие звуковых
раздражителей – монотонных,
неприятных, длительно или периодически существующих (сигналы автомобильного
транспорта, работа люминесцентных ламп, вентиляционных установок,
электрохолодильного оборудования, станков, приборов). Ответной реакцией
организма на эти воздействия служит головная боль, быстрая утомляемость,
снижение работоспособности, повышение артериального давления, снижение функций
центральной нервной системы, расстройство функции внимания. Создание спокойной
звуковой обстановки, устранение раздражающих посторонних звуков создает
предпосылки благоприятного психологического климата.
Воздушно-тепловой режим в школах обеспечивает от ТЭЦ, районных или местных котельных.
Отопительные приборы должны располагаться под оконными проемами. Температура
воздуха в классе должна поддерживаться в пределах 18 - 210С. Во
внеучебное время в помещениях должна поддерживаться температура не ниже 150С.
Относительная влажность воздуха должна бать в пределах 40-60%. До начала
занятий и после окончания необходимо осуществлять сквозное проветривание
учебных помещений.
Одним из важнейших
компонентов условий жизнедеятельности ребенка является естественное и
искусственное освещение. Все учебные помещения школы должны иметь естественное
боковое левостороннее освещение. При этом недопустимо направление светового
потока спереди и сзади от учащихся. Неблагоприятная световая обстановка (блёскость,
наличие в поле зрения очень ярких светильников, низкий уровень освещенности,
большие перепады освещенности, слепимость прямыми солнечными лучами). Эти
факторы вызывают у школьников быструю утомляемость, боль в области глаз,
головную боль, быстрое снижение функции зрительного анализатора.
Для создания светового
комфорта нормируются уровни естественной и искусственной освещенности в школе.
Создание рассеянного, равномерного освещения на уровне психофизически
оптимальных показателей, устранений из поля зрения ярких светильников, создание
матовой фактуры поверхностей и оборудование светозащитных устройств на окнах
улучшают световую обстановку. В классах уровень освещенности должен соответствовать
300/200 лк. Важным условием нормальной работы зрительного анализатора человека
является не только достаточность, но и равномерность освещения, при этом она не
должна превышать 3:1. Оконные проемы в классах должны быть оборудованы
регулярными солнцезащитными устройствами типа жалюзи, тканевыми шторами
световых тонов, сочетающихся с цветом стен, мебели. В нерабочем состоянии шторы
должны размещаться в простенках между окнами. Запрещается применять шторы из
поливинилхлоридной пленки.
В последние годы проводится
все больше исследований по видеоэкологии, на основании которых создаются
рекомендации о желательной цветовой гамме в интерьере, дизайне помещении, форме
мебели и предметов, украшающих как жилое, так и учебное (рабочее) помещение.
(Выводы и рекомендации видеоэкологов касаются и внешнего вида домов, улиц наших
городов, влияние всех этих факторов на здоровье, но для работы школы это может
лишь фрагментом учебных программ).
Использование при оформлении
интерьера таких цветов, как насыщенно-коричневый, насыщено-голубой, красный,
черный, белый, насыщенно-зеленый. Такая окружающая обстановка раздражает или
угнетает учащегося. У него учащается или урежается пульс и повышается
артериальное давление. Работоспособность падает, снижается внимание, уменьшается
активность.
Для создания благоприятной
окружающей обстановки психологии, специалисты по воздействию цвета, советуют
использовать для классных помещений младших школьников цветовую гамму,
создающие теплую, жизнерадостную обстановку. У старших школьников надо
стремиться к созданию деловой атмосферы, способствующей сосредоточенной работе.
Для отделки классов должны использоваться материалы и краски, создающие матовую
поверхность светлых тонов желтого, бежевого, розового, зеленого и голубого.
Мебель должна быть цвета натурального дерева или светло-зеленого.
Для школьных помещений
рекомендуется гамма цветов от желтовато-зеленого через желтый до оранжевого,
однако синий и зеленый цвет также подходят для классных комнат, ориентированных
на юг. Для коридоров и рекреаций рекомендуется использовать цвета, не
встречающиеся в отделке классов, выходящих в коридор, при сохранении общей
световой гармонии.
Гигиенические требования к использования
учащимися персональных компьютеров приобретают день ото дня все большую
актуальность: компьютеризация стремительно входит в нашу жизнь, растет число
компьютеров в школах, все большей популярностью пользуются они у подростков.
Для значительной части городской молодежи работа на компьютере, выполнение
домашних заданий, а еще больше – игры, стали привычной формой времяпрепровождения.
В последний год – два многих притянул к себе Интернет. Очевидно, что эта
тенденция будет развиваться, и что без компьютера современному образованному
человеку на рынке труда делать нечего.
Неблагоприятное воздействие
работы на компьютере на здоровье изучено достаточно хорошо. При несоблюдении
гигиенических требований вредное воздействие происходит на зрительный
анализатор, вызывая ухудшение зрения и психофизическое утомление. Необходимо
учитывать также электромагнитное излучение и воздействие ионизирующей радиации.
Недостаточно изученным
остается пока воздействие на психику подростков разных возрастов компьютерных
игр. Состояние эмоционального напряжения, стресса, в котором пребывают играющие
на компьютере, не находит разрядки в физической активности. А это со временем
приводит к сосудистым нарушениям, гипертонической болезни и другим
психосоматическим заболеваниям. Нарастает у играющего подростка и потенциал
агрессивности, гимнастики основного мышечного аппарата делает эту разрядку
неполноценной. Кроме того, на психологическом уровне формируется модель
силового достижения цели, преодоление трудностей, разрешения конфликтных
ситуаций, что находит выход в противоправном поведении в реальной жизни. И хотя
исследования в этой области далеки от завершения, учитывать этот фактор
воздействия на психику ребенка, его здоровья необходимом и педагогам, и
родителям.
Неблагоприятное воздействие
характера и условий работы на ПК может быть уменьшено путем установления
регламента продолжительности работы школьников с компьютерами, рационального
кондиционирования воздуха, введения регулярных занятий физкультурой,
специальных упражнений для профилактики зрительного утомления.
Для школьников при работе с
ПК необходимо обеспечивать наилучшие значения визуальных параметров в
оптимальном диапазоне. Они должны быль указаны в технической документации на
ПК. В случая отсутствия этих данных эксплуатации ПК не допускается. В
помещениях с ПК в школах должны обеспечиваться оптимальные параметры микроклимата,
т.е. при температуре 19 - 210С относительная влажность воздуха
должна быть соответственно 62 - 55% (допускается температура 18 - 220С
и относительная влажность 39 -31%).
Для повышения влажности
воздуха в помещении с ПК следует применять увлажнители воздуха, заправляемые дистиллированной
или прокипяченной водой. Помещение с ПК перед началом и после каждого урока
должны быть проветрены. При выполнении работы на ПК уровень шума на рабочем
месте не должен превышать 50дБА. На рабочих местах для размещения шумных
агрегатов ПК (принтеров и т. п.). Уровень шума не должен превышать 75дБА.
При организации рациональной
световой среды необходимо преодолевать два основных недостатка: отблески от
экрана и ослепление ребенка, работающего на ПК встречным светом. Для защиты от
них применяются специальные антибликовые покрытия экранов и различные фильтры.
Экран видеомонитора должен находится от глаз пользователя на оптимальном
расстоянии 60-70 см, но не ближе 50см.
Для учителей
общеобразовательных школ устанавливается длительность работы в компьютерных
классах не более 4 часов в день. Продолжительность не прерывной работы с ПК без
регламентированного перерыва не должна превышать 2 часа.
Для учащихся 10-11классов по
основам информатики должно быть не более 2 уроков в неделю, а для остальных классов
– 1 урок в неделю с использованием ПК.
Непрерывная длительность
занятий с ПК не должна превышать:
для учащихся 1 классов (6
лет) – 10 минут,
для учащихся 2 - 5 классов –
15 минут,
для учащихся 6 - 7 классов –
20 минут,
для учащихся 8 - 9 классов –
25 минут,
для учащихся 10 - 11 классов
– на первом часу учебных занятий 30 минут, на втором – 20 минут.
Работа на компьютере должна
проводиться в индивидуальном темпе и ритме. Учителю надо помочь учащемуся
выработать подходящий для него темп работы.
Отдельная проблема, требующая
организационных решений администрации школ, управлений образования – питания
учащихся в школе. Факты свидетельствуют, что в большинстве школ эта
проблема решается неполноценно.
Правильное, рациональное
питание – важный и постоянно действующий фактор, обеспечивающий процессы роста
и развития организма, условие сохранения здоровья в любом возрасте, но особенно
в детском и подростковом. Факторами, определяющими соответствие питания
принципам здорового образа жизни и гигиены питания в организованной форме,
можно считать следующие:
· состав продуктов питания,
· качество продуктов питания,
· количество продуктов питания (на один прием пищи, в день, в месяц),
· режим питания,
· организация питания.
Не останавливаясь подробно на
всех вопросах правильного питания, укажем лишь на отдельные моменты, имеющие
значение для организации детского питания в школе.
Для детей школьного возраста
желательно распределять рацион не менее чем на четыре приема пищи, причем не
менее трех приемов пищи должно быть с горячими блюдами. Учитывая, что дома не
все дети питаются в достаточном количестве и правильно, школа должна по
возможности компенсировать этот пробел в сохранения здоровья ребенка.
В образовательных учреждениях
должно быть организовано 2 - разовое горячее питание для детей групп
продленного дня и горячие завтраки для остальных детей, но при возможности,
желательно, чтобы все дети получали в школе 2 - разовое питание.
Питание может быть
организовано в столовой, работающей на сырье или полуфабрикатах, а также в
буфете раздаточной. При входе в столовую должны быть установлены умывальники из
расчета 1 кран на 20 посадочных мест, с подводкой горячей и холодной воды и
устройством смесителей. Раковины должны быть обеспечены мылом, электрополотенцами,
бумажными рулонными полотенцами или индивидуальными салфетками.
Питание детей осуществляется
в соответствии с рекомендуемыми 7 и 10 - дневными меню. Подсчет ингредиентов и
калорийности пищи должен проводиться медицинской сестрой 1 раз в месяц по
накопительной бухгалтерской ведомости. Готовые первые и вторые блюда могут
находится на мармите или горячей плите не более 3-х часов.
В организации питания большое
значение имеют не только режим питания для каждой взрослой группы, но и
правильное распределение рациона питания по отдельным приемам пищи, а также
создание оптимальных условий приема пищи. Цветы на столиках, картины на стенах,
звучание легкой фоновой музыки и т.п. не только улучшает усвоение пищи (что
доказано), но формируют культуру питания.
Рекомендуемый состав питания
описан в многочисленных инструкциях и руководствах. В детском возрасте
соотношение белков, жиров и углеводов должно быть 1:13 в младшем 1:1:4 в
старшем возрасте. Удельный вес животного белка в рационах детей должен быть
достаточно высок: в школьном возрасте – 60% от общего (суточного) количества
белка. Эксперименты с вегетарианской диетой для школьников неприменимы.
Наиболее благоприятные соотношения кальция и фосфора для детей старше 4-х лет
1:1,2 или 1:1,5.
Отклонения от положенной
нормы для витаминизированных готовых блюд или продуктов массового потребления
не должна превышать 20%.
Правильность распределения
рациона по отдельным приемам пищи определяется по калорийности. При этом в
процентах выражают отношение калорийности отдельного приема пищи (завтрак, обед
и т.д.) к общей калорийности всего рациона, принимаемой за 100%.
Первый завтрак должен
составлять 25% всего рациона, обед – 35-45%, полдник – 10-15% и ужин – 20-25%.
Уборка обеденных столов
должна проводится после каждого приема пищи. Столы с гигиеническим покрытием
протираются с применением раствора моющих средств.
В столовой детям запрещается
находится в производственных помещениях столовой, соприкасаться с
технологическим оборудованием, мыть столовую и кухонную посуду, резать хлеб,
чистить вареные овощи, разливать горячую пищу. К дежурству в столовой можно
привлекать детей в возрасте старше 12 лет; перед дежурством в столовой все дети
дежурного отряда проверяются медработником на личную гигиену. В столовой детям
разрешается разносить столовые приборы, хлеб, собирать грязную посуду и
относить на отдельное место, мыть обеденные столы. Ежегодно к началу учебного
года, для поддержания должного санитарно-гигиенического режима в школьной
столовой проводится необходимый ремонт во всех помещениях.
Отдельного упоминания
заслуживает вопрос, почти не упоминаемый в регламентирующих работу пищеблоках
документах. Администрация школы должна следить за ассортиментом продуктов,
предлагаемых в школьном буфете. Известно, что газированные напитки типа «Фанты»,
«Пепси» и т.п., а также чипсы, жаренные пирожки вредны для пищеварительной
системы не только ребенка, но и любого взрослого. Регулярное Употребление таких
продуктов в пищу неизбежно приведет к гастриту, нарушению обмена веществ и другим
нарушениям здоровья. Наряду с просветительской работой на уроках о том, что
есть полезно, а что вредно, в ассортименте буфетов должен быть, как минимум,
выбор между чипсами и яблоками, апельсинами, между «Фантой» и минеральной
водой, квасом.
Отдельной проблемой, также
связанной с работой школьного пищеблока, является качество используемой
питьевой воды. Общеизвестно, что в большинстве регионов страны, даже после
очистки, эта вола оказывает неблагоприятное воздействие на желудочно-кишечный
тракт, на организм в целом. Кипячение воды, содержащей хлор, ведет к образованию
в ней вредных для здоровья хлорсодержащих веществ. Пить в сыром виде ее не рекомендуется,
особенно детям, а такая потребность постоянно возникает. Вода многих территорий
не содержит необходимых микроэлементов – йода, фтора и других.
Задача руководства управления
образования, совместно с директорами школ и медицинскими работниками центра
Госсанэпиднадзора решить проблему питьевой воды: добиться ее качественной
очистки, с учетом содержания в ней тех или иных компонентов, обеспечивать
избавление воды от хлора, чему способствует ее отстой не менее суток, с соблюдением
необходимых санитарно-гигиенических требований и т.п. Желательно отфильтровать
водопроводную воду через дополнительные фильтры (для домашних условий это не
проблема, но и в школе можно установить фильтр промышленной мощности). Можно
организовать в школе баки с кипяченной водой, обеспеченные одноразовыми
пластмассовыми стаканчиками. Действенным оказывается привлечение для решения
этой задачи возможностей родителей учащихся.
IV.5.
Здоровьесберегающая организация учебного процесса
Рациональная организация
учебного процесса необходима для предотвращения перегрузки, перенапряжения и
обеспечение условий успешного обучения школьников, сохранение их здоровья. Ниже
приводится некоторые рекомендации, включая рекомендации специалистов ИВФ РАО и
других научных учреждений.
IV.5.1. Показатели
рациональной организации учебного процесса
Показателями рациональной
организации учебного процесса являются:
·
объем учебной нагрузки –
количество уроков и их продолжительность, включая затраты времени на выполнение
домашних заданий;
·
нагрузка от дополнительных занятий
в школе – факультативов, индивидуальных занятий, занятий по выбору и т.п. (их
частота, продолжительность, виды и формы работы);
·
занятие активно-двигательного
характера – динамические паузы, уроки физической культуры, спортивные занятия и
т.п. (их частота, продолжительность, виды и формы занятий).
IV.5.2 Рациональное
расписание учебных занятий
Физиолого-гигиенические
требования к составлению расписания уроков в школе определяются динамикой
изменения физиологических функций и работоспособностью учащихся на протяжении
учебного дня и недели. Рационально составленное расписание должно учитывать
сложность предметов и преобладание динамического или статического компонентов
во время занятий. В качестве одного из возможных способов оценки уроков можно
использовать ранговую шкалу трудности предметов (Сивков, 1988).
Шкала трудности предметов для младших классов
|
№
|
Предмет
|
Балл
|
|
1.
|
Математика
|
8
|
|
2.
|
Русский
(национальный) язык
|
7
|
|
3.
|
Природоведение
|
6
|
|
4.
|
Русская
(национальная) литература
|
5
|
|
5.
|
История
(4 класс)
|
4
|
|
6.
|
Рисование
и музыка
|
3
|
|
7.
|
Труд
|
2
|
|
8.
|
Физкультура
|
1
|
Шкала трудности предметов для старших классов
|
№
|
Предмет
|
Балл
|
|
1.
|
Математика,
русский язык (национальная школа)
|
11
|
|
2.
|
Иностранный
язык
|
10
|
|
3.
|
Физика,
химия
|
9
|
|
4.
|
История
|
8
|
|
5.
|
Родной
язык, Литература
|
7
|
|
6.
|
Естествознание,
география, ОБЖ
|
6
|
|
7.
|
Физкультура
|
5
|
|
8.
|
Труд
|
4
|
|
9.
|
Черчение
|
3
|
|
10.
|
Рисование
|
2
|
|
11.
|
Пение
|
1
|
Наиболее трудные предметы
рекомендуется включать в расписание вторыми или третьими (но не первыми и не
последними) уроками. Нельзя ставить 2 или 3 трудных урока подряд (например,
физика, математика, иностранный язык), лучше чередовать их с менее трудными
(например, история, математика, география). Уроки физкультуры, труда, пения,
рисования, дающие возможность переключения с умственной деятельности на физическую,
более эмоциональные, лучше всего использовать во второй части (четвертыми или
пятыми), но не в самом конце учебного дня. Следует учесть, что утомительность
урока определяется не каким-то одним фактором (сложностью материала или
эмоциональностью), а определенным сочетанием, совокупностью трех основных
факторов: трудностью, насыщенностью учебными элементами, эмоциональным состоянием
учащихся.
Школьное расписание
оценивается положительно, если образуется кривая с одним подъемом – в среду и в
пятницу или во вторник и в среду (как в дни самой высокой продуктивности), и
считается нерациональным при наибольшей сумме баллов в понедельник или субботу,
а также при неравномерном распределении нагрузок в недельном цикле. При
организации 5-дневной недели нагрузка учащихся в течение каждого учебного дня
не должна быть выше, чем при 6 - дневной учебной недели – не должно
увеличиваться количество занятий, а также суммарный балл нагрузки. Это связано
с изменением работоспособности во время учебной деятельности. В начале она
повышается (период врабатывания), затем устанавливается на высоком уровне
(период снижения работоспособности и развития утомления). В период снижения
работоспособности выделяют 3 зоны: неполной компенсации, конечного порыва и
прогрессирующего утомления. Исходя из этого, начало урока, учебной недели,
четверти, года должно быть облегченным, т.к. продуктивность в это время снижена.
По завершении периода врабатывания к учащимся можно предъявить более высокие
требования. В это время рекомендуется проводить изложение нового и сложного
материала, давать контрольные работы и др. В середине учебной недели (вторник,
среда), четверти и года следует планировать наибольший объем учебной нагрузки,
факультативные занятия, кружковую работу и др. По окончании периода высокой
работоспособности, т.е. при появлении начальных признаков утомления, если речь
идет об учебном дне, рекомендуется проведение уроков труда, физкультуры или
других предметов, обеспечивающих смену деятельности.
В зоне прогрессивного падения
работоспособности нельзя требовать выполнения интенсивных нагрузок: при этом
происходит истощение организма, что может отрицательно сказаться на состоянии
здоровья школьников.
Максимально допустимое количество часов в неделю
при разной ее продолжительности
|
Классы
|
Максимально
допустимая нагрузка в часах
|
|
при 6-дневной
неделе
|
при 5-дневной
неделе
|
|
3-летняя начальная
школа
|
|
1- 3
|
25
|
22
|
|
4-летняя начальная
школа
|
|
1
|
22
|
20
|
|
2- 4
|
25
|
22
|
|
5
|
25
|
22
|
|
6
|
32
|
29
|
|
7
|
34
|
31
|
|
8- 9
|
35
|
32
|
|
10-11
|
36
|
33
|
|
Часы
факультативных, групповых и индивидуальных занятий в школах должны входить в
объем максимально допустимой нагрузки учащихся.
|
IV.5.3.
Двигательная активность учащихся
Двигательная активность
учащихся складывается из ежедневной (утренняя гимнастика, пешая походка,
подвижные перемены и паузы в режиме учебного дня) и периодической, которая
может быть весьма разнообразной. В представленной ниже таблице приведены
рекомендованные объемы различных видов двигательной активности для учащихся 1 и
10 классов, разработанные с учетом интенсивности и характера соответствующих
видов деятельности. В целом двигательная активность школьника должна занимать
не менее 1/5 суточного бюджета времени (за вычетом времени сна и дневного
отдыха), а ее структура несколько различается для детей разных возрастных групп.
Это связано с тем, что у детей младшего возраста больше доля неорганизованной
двигательной активности, но значительно меньше вклад тех ее видов, которые
могут быть отнесены к трудовой деятельности. Некоторые виды двигательной
активности могут рассматриваться как взаимозаменяемые. Так, например, занятия в
спортивных секциях и в некоторых кружках художественной самодеятельности (в
частности, танцевальных) могут быть вполне сопоставимы по интенсивности и
объему физической нагрузке.
Недостаток двигательной активности
– одна из наиболее распространенных причин адаптационных ресурсов организма
городских школьников. Пребывание на уроках, приготовление домашних заданий,
занятия у компьютера, отдых у телевизора, чтение книг, нахождение в транспорте
– все эти формы времяпрепровождения проходят в статическом состоянии. Организм
человека в процессе эволюции не приспособился к такой низкой физической
активности. Синдром гиподинамии является одним из условий многих недугов
взрослых людей (сердечно-сосудистая патология, нарушения опорно-двигательного
аппарата, обмена веществ и др.), а тем более – подростков. Растущему организму
необходимо адекватные физические нагрузки. И только единичными уроками
физкультуры и краткими прогулками после уроков этот объем нагрузки не восполняется.
Во всех случаях двигательная активность детей должна быть организованна так,
чтобы предотвращать гиподинамию и в то же время не приводит к их переутомлению.
Примерный объем двигательной активности учащихся разных классов приведен в
таблице.
|
Классы
|
Ежедневный
объем времени
(часов)
|
Культурно-оздоровительные
мероприятия
|
|
Гимнастика до
учебных занятий (мин)
|
Физкультминутка
на уроках
(мин)
|
Подвижные перемены
(мин)
|
|
I
|
2
|
5-6
|
5
|
15-20
|
1
|
|
II
|
2
|
5-6
|
5
|
15-20
|
1
|
|
III
|
2
|
5-6
|
5
|
15-20
|
1
|
|
IV
|
2
|
5-6
|
5
|
15-20
|
1
|
|
V
|
2
|
5-7
|
5
|
35-45
|
1
|
|
VI
|
2
|
5-7
|
5
|
35-45
|
1
|
|
VII
|
2
|
6-8
|
5
|
35-45
|
1
|
|
VIII
|
2
|
6-8
|
5
|
35-45
|
1
|
|
IX
|
2
|
6-8
|
-
|
35-45
|
1
|
|
X
|
2
|
6-8
|
-
|
15-20
|
-
|
|
XI
|
2
|
6-8
|
-
|
15-20
|
-
|
Классы
|
Уроки физкультуры в
неделю
(час)
|
Внеклассные формы
занятий в неделю: спортсекции, кружки физкультуры, группы ОФП
(час)
|
Общешкольные
мероприятия
|
Самостоятельные
занятия физкультурой не менее (мин)
|
|
Участие в соревнованиях
в учебном году (раз)
|
Дни здоровья и
спорта
|
|
I
|
2
|
1,1
|
6-8
|
Е
|
10-15
|
|
II
|
2
|
1,3
|
6-8
|
Ж
|
15-20
|
|
III
|
2
|
1,3
|
6-8
|
Е
|
15-20
|
|
IV
|
2
|
1,3
|
6-8
|
М
|
15-20
|
|
V
|
2
|
1,3
|
8-9
|
Е
|
20-25
|
|
VI
|
2
|
1,3
|
8-9
|
С
|
20-25
|
|
VII
|
2
|
2
|
8-9
|
Я
|
20-25
|
|
VIII
|
2
|
2
|
8-9
|
Ч
|
20-25
|
|
IX
|
2
|
2
|
8-9
|
Н
|
25-30
|
|
X
|
2
|
2
|
10
|
О
|
25-30
|
|
XI
|
2
|
2
|
10
|
|
30-35
|
IV.5.4.
Рациональная организация урока
От правильной организации
урока, уровня его гигиенической рациональности во многом зависит функциональное
состояние школьников в процессе учебной деятельности, возможность длительно
поддерживать умственную работоспособность на высоком уровне и предупреждать
преждевременное нарушение утомления. Нельзя забывать и о том, что гигиенические
условия влияют на состояние учителя, его здоровья. А это, в свою очередь,
оказывает влияние на состояние и здоровья учащихся.
Физиологически обоснованной
является продолжительность урока в 45 минут. Исключение составляют лишь ученики
1 - х классов, для которых урок должен длиться 35 минут соответственно низкой
устойчивости их внимания. Для учащихся 2-х классов рекомендуется комбинировать
урок с использованием последних 10 минут для снятия утомления (чтение
художественной литературы, настольные игры, разучивание комплекса физических
упражнений и др.). В остальных классах рекомендуется проведение физкультминуток
на 4-ом уроке через 20 мин то его начала или с развитием первой фазы
умственного утомления у значительной части учащихся класса (фазы умственного
беспокойства). Такая работа необходимо для повышения умственной
работоспособности детей и снятия у них мышечного статического напряжения.
Сдвоенные уроки не рациональны, за исключением тех случаев, когда проводятся
лабораторные, контрольные работы, уроки труда и занятия физкультурой в зимнее
время при выполнении программы по лыжной подготовке.
Оценка соблюдения
гигиенических требований проводят по ряду регламентированных позиций, с
использованием хронометража.
Хронометраж урока проводится по:
·
плотности урока (% времени,
затраченного школьниками на учебную работу);
·
количеству видов учебной
деятельности (письмо, чтение, слушание, рассказ, рассматривание наглядных
пособий, ответ на вопрос, решение примеров);
·
длительность каждого вида учебной
деятельности (в минуту);
·
частоте чередования видов
деятельности (среднее время в минутах смены деятельности);
·
количеству видов преподавания
(словесный, наглядный, аудиовизуальный через технические средства обучения,
самостоятельная работа);
·
месту, длительности и условиям
применения ТСО;
·
частоте чередования видов
преподавания;
·
наличию, месту, содержанию и длительности
физкультминуток.
Отслеживается момент снижения
учебной активности школьников как показатель наступления их утомления.
(Определяется в ходе хронометража по возрастанию двигательных и пассивных
отвлечений у детей в процессе учебной работы).
Кроме того, определяется и
фиксируется психологический климат на уроке, наличие эмоциональных разрядок,
соблюдение учащимися правильной позы, ее соответствие виду работы и чередование
в течение урока.
Некоторые гигиенические
критерии рациональной организации урока приведены в таблице.
|
№
|
Факторы урока
|
Уровни
гигиенической рациональности урока
|
|
рациональный
|
недостаточно рациональный
|
нерациональный
|
|
1.
|
Плотность урока
|
не менее 60% и не более
75-80%
|
85-90%
|
более 90%
|
|
2.
|
Количество видов учебной деятельности
|
4-7
|
2-3
|
1-2
|
|
3.
|
Средняя продолжительность различных видов учебной
деятельности
|
не более 10мин.
|
11-15 мин.
|
более 15 мин.
|
|
4.
|
Частота чередования различных видов учебной деятельности
|
смена не позже чем
через 7-10 мин.
|
смена через 11-15
мин.
|
смена через 15-20
мин.
|
|
5.
|
Количество видов преподавания
|
не менее 3-х
|
2
|
1
|
|
6.
|
Чередования видов преподавания
|
не позже чем через
10-15 мин.
|
через 15-20 мин.
|
не чередуется
|
|
7.
|
Наличие эмоциональных разрядок (кол-во)
|
2-3
|
1
|
нет
|
|
8.
|
Место и длительность применение ТСО
|
в соответствии с гигиеническими
нормами
|
с частичным соблюдением
гигиенических норм
|
в произвольной
форме
|
|
9.
|
Чередование позы
|
поза чередуется в соответствии
с видом работы. Учитель наблюдает за посадкой учащихся
|
имеются случаи несоответствия
позы виду работы. Учитель иногда контролирует посадку учащихся
|
частые несоответствия
позы виду работы. Познание не контролируется учителем
|
|
10.
|
Наличие, место, содержание и продолжительность физкультминуток
|
на 20 и 35 мин.
урока по 1 мин. из 3-х легких упражнений с 3-4 повторениями каждого
|
1 физкультминутка с
неправильным содержанием или продолжительностью
|
отсутствуют
|
|
11.
|
Психологический климат
|
преобладают положительные
эмоции
|
имеются случаи отрицательных
эмоций. Урок эмоционально индифферентный
|
преобладают отрицательные
эмоции
|
|
12.
|
Момент наступления утомления учащихся по снижению учебной
активности
|
не ранее 40 мин.
|
не менее 35-37 мин.
|
до 30 мин.
|
IV.5.5.
Использование в образовательных учреждениях технических и
аудиовизуальных средств обучения
Использование новых
технических и аудиовизуальных средств повышения наглядность обучения и создает,
казалось бы, условия для сохранения работоспособности. Но с другой – ТСО увеличивают
объем информации, получаемой учащимися по сравнению с обычным урокам. И хотя
форма подачи ее более наглядная, повышает внимание и интерес учащихся к
изучаемому материалу, возросший объем информации увеличивает напряжение, темп
работы, возрастает нагрузка на зрительный и слуховой анализаторы. При применении
ТСО в младших классах от 3 до 4-6 раз в неделю на том или ином уроке расписания
занятий должно строиться таким образом, чтобы в течении учебного дня
происходило переключение деятельности учащихся с предметов, нагружающих
преимущественно II сигнальную систему (математика, чтение, русский
язык), на предметы, включающие в работу I сигнальную
систему, создающие положительную атмосферу (труд, физкультура, ритмика). Это
способствует сохранению работоспособности. В настоящее время в Америке и Англии
принята длительность передач учебного телевидения для старших школьников 30
мин, а для младших школьников 20 мин (от 3 до 6 раз в неделю).
Использование в старших
классах приводит к большой утомляемости в основе которой лежит несколько
причин: 1) за то же время, что и при традиционных формах обучения, дается
большой объем информации; 2) хотя форма и способ подачи его более наглядны,
высокая плотность передачи знаний (при отсутствии обратной связи) затрудняет процесс
восприятия. Поэтому необходимо регламентировать время передачи, определять
наиболее благоприятный тип передачи и структуры ТВ-урока, а также создавать
оптимальные условия просмотра ТВ-передач в школе. Педагоги и психологи считают
оптимальным следующее распределение времени на уроке типа телевизионной лекции:
5 мин в начале урока для работы учителя с классом; 25-35-передачи и то 5 до 15
мин – работа учителя с классом по условию материала, его обобщению и
дополнению. При телевставке на уроке время можно распределить так: 15 мин – для
работы учителя, 15-20 – телевставка и оставшиеся 15-10 мин – работа учителя по
просмотренным материалам или дальнейшее изложение курса.
Неблагоприятное изменение
работоспособности и функционального состояния организма учащихся отмечается
главным образом под влиянием: а) передач длительностью свыше 25 - 35 мин (в
зависимости от предмета); б) преобладание в передачи слова над изображением, а
также слишком большого количества схем, печатного текста, диаграмм, вызывающих
значительное напряжение зрительного анализатора; в) однообразной структуры
урока при недостаточном контакте «ведущий – учащийся - педагог»; г)
неблагоприятных условий просмотра телевизионных передач (1 телевизор на класс,
расположение учащихся к экрану телевизора ближе 2 м и далее 6 м; засветка
экрана солнечными лучами или просмотр в полной темноте, плохое качество
изображения) и т.д.
Длительность непрерывного
применения аудиовизуальных средств в учебном процессе устанавливается согласно
следующей таблице:
|
Классы
|
Длительность
просмотра (минут)
|
|
диафильмов,
диапозитивов
|
кинофильмов
|
телепередач
|
|
1 – 2
3 – 4
5 – 7
8 – 11
|
7 – 15
15 – 20
20 – 25
–
|
15 – 20
15 – 20
20 – 25
25 – 30
|
15
20
20 – 25
25 – 30
|
В течение недели количество
уроков с применением ТСО не должно превышать для учащихся младших классов 3-4,
старших классов – 4-6. При использовании ТСО необходимо также знать, что
оптимальным размером объекта восприятия для подростков, на расстоянии 7,3 м
непосредственно против экрана, является 40 мм. Потеря информации при считывании
ее с экрана на стене будет минимальной, когда горизонтальный размер предъявляемого
объекта составляет 60 мм и виден учащимися крайних столов под углом зрения в
горизонтальной плоскости 20 минут. Оптимальная плоскость просмотра плоского
экрана ограничена сторонами треугольника, составляющими угол у вершины в 900,
а допустимая – в 1100.
IV.5.6.
Рациональная организация общего режима дня школьников
Проблема перегрузки тесно
связана с нарушениями в организации общего режима для учащихся.
В режиме дня учащихся 1-х
классов должно быть предусмотрено:
·
полноценный ночной сон (не менее
10 часов);
·
активный отдых (прогулка) на
воздухе (не менее 2,5 часов);
·
дневной сон (для ослабленных
детей) (1 - 1,5 часа);
·
свободное время (игры, чтение,
любимые занятия, TV, компьютер) (не менее 1,5 часов);
·
время на гигиенические процедуры и
самообслуживание (не менее 1,5 часов);
·
время на еду (4- 5 раз) (не менее
1,5 часов);
·
учебные занятия + дорога в школу
(4 - 5 часов);
·
домашнее занятие (до 1 часа);
·
дополнительные занятия (музыка,
спорт и т.п.) (до 1 часа).
В режиме дня учащихся 10 -
х классов должно быть предусмотрено:
·
полноценный ночной сон (не менее 8
часов);
·
активный отдых на воздухе (не
менее 1,5 часов);
·
гигиенические процедуры,
самообслуживание, домашние дела (1 - 1,5 часа);
·
еда (около 1 часа);
·
свободное время (чтение, TV,
компьютер) (1 - 1,5 часа);
·
учебные занятия + дорога в школу
(6 - 7 часов);
·
домашние занятия (3 - 3,5 часа);
·
дополнительные занятия
(факультативы, по выбору, музыка, ин. язык, спорт и т.д.) (1 - 1,5 часа).
Увеличение времени на занятия
в школе, и домашние задания неизбежно влечет за собой сокращение времени
ночного сна, активного отдыха на воздухе и свободного времени.
Нормативы основных режимных моментов в учебные дни
(продолжительность в часах)
|
Элементы режима
|
1 класс
|
10 класс
|
|
Сон (включая дневной сон)
|
11,5 – 12,5 ч.
|
8,0 – 9,0 ч.
|
|
Прогулки
|
2,5 – 4,0 ч.
|
1,5 – 2,5 ч.
|
|
Шкала (учебные занятия)
|
4,0 ч. (6-дневная
неделя)-
4,5 (5-дневная
неделя) ч.
|
6,0 ч. (6-дневная
неделя)-
7,0 (5-днавная
неделя) ч.
|
|
Домашнее задания (приготовление уроков)
|
0,5 – 1,0 ч.
|
3,0 – 3,5 ч.
|
|
Занятия по интересам
|
0,5 – 1,0 ч.
|
1,0 – 1,5 ч.
|
1. Обстановка и гигиенические
условия в классе (кабинете): температура и свежесть воздуха, рациональность
освещения класса и доски, наличие/отсутствие монотонных, неприятных звуковых
раздражителей и т.д.
2. Количество видов учебной
деятельности: опрос учащихся, письмо, чтение, слушание, рассказ, рассматривание
наглядных пособий, ответы на вопросы, решение примеров, задач и др. Норма: 4 -
7 видов за урок. Однообразность урока способствует утомлению школьников, как
бывает, например, при выполнении контрольной работы. Сочинение - более
творческая задача, и коэффициент утомления при этом несколько ниже. Наоборот:
частая череда смен одной деятельности другой потребует у учащихся
дополнительных адаптационных усилий.
3. Средняя продолжительность
и частота чередования различных видов учебной деятельности. Ориентировочная
норма – 7-10 минут. Комментарии здесь аналогичные.
4. Количество видов
преподавания: словесный, наглядный, аудиовизуальный, самостоятельная работа и
т.д. Норма: не менее трех.
5. Чередование видов
преподавания. Норма: не позже чем через 10-15 минут.
6. Наличие и выбор места на
уроке методов, способствующих активизации инициативы и творческого
самовыражения самих учащихся, когда они действительно превращаются из
«потребителей знаний» в субъектов действия по их получению и созиданию. Это
такие методы как метод свободного выбора (свободная беседа, выбор
действия, выбор способа действия, выбор способа взаимодействия, свобода
творчества и т.д.); активные методы (ученики в роли учителя, обучения
действием, обсуждение в группах, ролевая игра, дискуссия, семинар, ученик как
исследователь); методы, направленные на самопознание и развитие (интеллекта,
эмоций, общения, воображения, самооценки и взаимооценки).
7. Место и длительность
применения ТСО (в соответствии с гигиеническими нормами), умение учителя
использовать их как возможности инициирования дискуссии, обсуждения.
8. Поза учащихся, чередование
позы (наблюдает ли учитель реально за посадкой учащихся; чередуются ли позы в
соответствии с видом работы).
9. Наличие, место, содержание
и продолжительность оздоровительных моментов на уроке физминутки,
динамические паузы, минутки релаксации, дыхательная гимнастика, гимнастика
для глаз, массаж активных точек; соответствуют ли условия в классе для проведения
таких норм работы, особенно для дыхательных упражнений. Норма: на 15-20 минут
по 1 минуте из 3-х легких упражнений с 3-4 повторениями каждого.
10. Наличие в содержательной
части урока вопросов, связанных со здоровьем и здоровым образом жизни,
демонстрация, прослеживание этих связей. Формирование отношения к человеку и
его здоровью как к ценности; выработка понимания сущности здорового образа
жизни; формирование потребности к здоровому образу жизни; выработка индивидуального
способа безопасного поведения, сообщение учащимся о возможны последствиях
выбора поведения и т.д.
11. Наличие мотивации
деятельности учащихся на уроке. Внешняя мотивация: оценка, похвала, поддержка,
соревновательный момент и т.п. Стимуляция внутренней мотивации: стремление
больше узнать, радость от активности, интерес к изучаемому материалу и т.п.
12. Психологический климат на
уроке. Взаимоотношения на уроке: между учителем и учениками ( комфорт -
напряжение, сотрудничество - авторитарность, индивидуальные - фронтальные,
учет возрастных особенностей: достаточный - недостаточный); между учениками
(сотрудничество - соперничество, дружелюбие - враждебность, заинтересованность
- безразличие, активность - пассивность).
13. Наличие на уровне
эмоциональных разрядок: шутка, улыбка, юмористическая или поучительная
картинка, поговорка, известное высказывание (афоризм) с комментарием, небольшое
стихотворения, музыкальная минутка и т.п.
В конце урока обратить
внимание на следующее.
4. Плотность урока, т.е.
количество времени, затраченного школьниками на учебную работу. Норма: не
менее 60% и не более 75 - 80%.
15. Момент наступления
утомления учащихся и снижения их учебной активности. Определяется в ходе
наблюдения по возрастанию двигательных и пассивных отвлечений у детей в
процессе учебной работы. Норма: не ранее 25-30 минут в 1 классе, 35-40 минут в
начальной школе, 40 минут в средней и старшей школе, 30 минут для учащихся
классов компенсирующего обучения.
16. Темп окончания урока:
- быстрый темп,
«скомканность», нет времени на вопросы учащихся, быстрое, практически без
комментариев записывание домашнего задания;
- спокойное завершение урока,
учащиеся имеют возможность задать учителю вопросы, педагог комментирует
заданное на дом задание, учитель и учащиеся прощаются.
- задерживание учащихся в
классе после звонка (на перемене).
Наше исследование было направлено на изучение
психосоматического и физического развития детей, обучающихся в 1-х классах.
В результате исследования были определены следующие
тенденции:
1.
Комплекс школа – детский сад создаёт возможность для
успешной адаптации учащихся к школе, так как происходит плавный переход от
игровой к учебной деятельности, подтверждением чего являются показатели АСО в
нашем исследовании.
2.
Введение в учебный план 1А класса трёх уроков физической
культуры, урока ритмики, использование активного двигательного режима учащихся,
использование элементов оздоровительной системы В.Ф.Базарного способствует
повышению уровня физической подготовленности учащихся, быстрому развитию
выносливости, скоростно-силовых возможностей учащихся. Физическое развитие идёт
относительно равномерно.
3.
Оценка состояния осанки детей показала, что осанка детей 7
лет чрезвычайно чувствительна и подвержена влиянию широкого спектра
гигиенических факторов, в том числе комплекса факторов школьной среды. Это
необходимо принимать во внимание и неустанно заботиться о правильной позе,
осанке, походке учащихся.
4.
Сопоставление суммарных показателей соматического развития
учащихся 1-х классов не выявило снижения росто-весовых показателей в начале и
конце учебного года. Судя по показателям весоростового индекса, не отмечено
дефицита массы тела, а, следовательно, можно говорить об отсутствии загрязнения
окружающей среды и других стрессорных факторов, которые могли бы привести к
отставанию физического развития.
5.
САД и ДАД, как и ЧСС, показатели МПК указывают на
увеличение ударного объёма сердца и резервных объёмов дыхания. Это приводит к
тому, что максимальный уровень активности функций практически не снижается.
Снижение частоты сокращения сердца и дыхания в покое соответствует возрастным
закономерностям этого возраста и определяет, с одной стороны, более экономный
режим функционирования, а с другой – расширение функционального диапазона, в
котором может поддерживаться активность тех или иных функций.
6.
Приведённые данные явственно отражают зависимость
психосоматического развития детей от организации учебно-воспитательного
процесса, позволяют относительно объективно оценить педагогические новации,
введённые в учебные планы, что даёт нам право рекомендовать их для внедрения в
практику общеобразовательной школы.
1.
Апанасенко Г.Л. Охрана здоровья здоровых: некоторые
проблемы теории и практики. М.; Просвещение, 1987.
2.
Антропова М.В. Физиолого-гигиеническое изучение учебной
нагрузки учащихся 7 классов в условиях обучения по усовершенствованным
программам: Сборник научных трудов /ред. кол.: В.И.Козлов и М.В.Антропова. М.,
изд. АПН СССР, 1984. – 148с.
3.
Антропова М.В. Работоспособность учащихся в процессе
учебной и трудовой деятельности. М.: Просвещение, 1968.
4.
Антропова М.В. Изучение общей умственной работоспособности
школьников в возрастном аспекте. //В кн.: Методы исследования функций организма
в онтогенезе. М.,: Просвещение, 1975.
5.
Антропова М.В. Родителям о здоровье школьников, М.:
Педагогика, 1975.
6.
Андрюлис Э.К., Прошкувене Р.Т. Умственная работоспособность
школьников в зависимости от общего уровня физического развития // Новые
исследования в СССР М.; 1986, № 2.
7.
Баевский Р.М., Берсенева А.П. Донозологическая диагностика
в оценке состояния здоровья. // В кн.: Функциональные особенности сердца при
физических нагрузках в возрастном аспекте. – Ставрополь, 1977. – с 33.
8.
Байдалов Н.Р., Копосова Т.С., Гендитная Л.В., Кононюк Н.Н.
Методы оценки физического развития в комплексной оценке состояния здоровья
школьников. Ленинград, 1987. – 30с.
9.
Брехман И.И. Валеология – наука о здоровье. 2-е изд.,
перераб. – М.: Физкультура и спорт, 1990. – 208с.
10.
Большая советская энциклопедия. М.: Советская энциклопедия,
1975. т – 19. с.63 – 64, т – 25. с.415 – 416.
11.
Валеология. Диагностика, средства и практика обеспечения
здоровья. / Под ред. И.И. Брехмана. СПБ.: Наука, 1993, 269с.
12.
Гаркави Л.Х., Свакина Е.Б. Адаптационные реакции и
резистентность организма. Р-н-Д .: ун-та, 1977, 120с.
13.
Глушкова Е.К. и др. Динамика работоспособности и
функционального состояния организма учащихся среднего возраста при обучении в
современной школе. М.: Просвещение, 1974.
14.
Губарева Л.И. Контрольные и курсовые работы по физиологии
человека и животных. Ставрополь: СГПУ,1994, 83с.
15.
Выготский Л.С. Педагогическая психология / Под ред.
В.В.Давыдова. М.: Педагогика, 1991, с. 324 – 341.
16.
Дичев Р.Р., Гасаров К.Е. Проблема адаптации и здоровье
человека. М.: Медицина 1976.
17.
Зубкова В.М. Изменение функционального состояния организма
учащихся в течение учебного дня и учебной недели. // В кн.: Гигиеническая
оценка обучения учащихся в современной школе. М.: 1975.
18.
Карпенко А.Н. Краткий психологический словарь /В.А.
Петровский, М.Г. Ярошевский. М.: Политиздат, 1985, с. 204, 361.
19.
Казначеев В.П., Баевский Р.М., Берсенева А.П.
Донозологическая диагностика в практике массовых обследований населения. Л.:
Медицина, 1980, с. 226.
20.
Криворучко Т.С. Динамика показателей функционального
состояния организма учащихся с 1 по 8 класс. // В кн.: Актуальные вопросы
гигиены обучения и воспитания. М.: Просвещение. 1977.
21.
Леонтьева Н.Н., Маринова К.В. Анатомия и физиология
детского организма: (основы учения о клетке и развитии организма, нервная
система, опорно-двигательный аппарат). Учебник для студентов пединститутов по
специальности № 2110. «Педагогика и психология (дошк.)» 2 – е изд., перераб.
М.: Просвещение, 1986, с. 184 – 187.
22.
Лисицын Ю.П., Шуткин А.И., Матюшин И.Ф. Медицина и
гуманизм. М.: Медицина, 1984, с. 6 – 9.
23.
Материалы VII
Всероссийского симпозиума «Эколого – физиологические проблемы адаптации». (26 –
28 апреля 1994 года) М.: 1994,с. 390.
24.
Панова Н.А., Пачева Т.В., Филеши П.А. Возрастно-половые
особенности физического развития и функционального состояния сердца у
школьников г. Ставрополя. // Из кн.: Функциональные особенности сердца при
физических нагрузках в возрастном аспекте. Ставрополь. 1977, с. 146.
25.
Панин Л.Е. Энергетические аспекты адаптации. Л.: Медицина,
1978, с. 191.
26.
Петленко В.П. Основные методологические проблемы теории
медицины. Л.: Медицина, 1982, с. 73.
27.
Полис А.Ф. Эмоциональное и норма поведения личности. //
Вопросы философии., 1984 № 5//.
28.
Пратусевич Ю.М. Умственное утомление школьников. М.:
Просвещение, 1964, с. 230.
29.
Симонов В.П. Мотивированный мозг. М.: Наука, 1987, с. 237.
30.
Статистическая обработка результатов исследования
(Методологические указания к практикуму по физиологии человека и животных.
Часть III. Ставрополь: СГПИ, 1990, с. 20 – 25.
32.
Физиология человека (Г.И. Косицкий. 3 – е изд., перераб. и
доп. М.: Медицина, 1985, с. 495 – 497).
33.
Хрипкова А.Г., Антропова М.В. Физиологические аспекты
учебной нагрузки учащихся в режиме дня. // Советская педагогика, 1980 № 10., с.
10 – 18
34.
Царегородцев Г.И., Ерохин В.Г. Экология человека в системе
медицинского знания. // Вопросы философии. 1980г. № 8: с. 73 – 76
35.
Цицишвили Р.В. К вопросу о нормировании режима сна школьников.
// Режим дня детей и подростков. М.: 1959.
36.
Чайченко Г.М. Основы физиологии ВНД. Киев: изд-во при Киев.
ун-те, 1987 – с. 176.
37.
Шапошникова В.И. Биоритмы – часы здоровья. М.: Советский
спорт, 1991, с. 63.
38.
Экхольм Э. Окружающая среда и здоровье человека. Перевод
М.А. Богусловский. М.: Прогресс, 1980, с. 234.
39.
Новокатикян А.О., Крыжановская В.В. Возрастная
работоспособность лиц умственного труда. Киев, 1979.
40.
Филеши П.А., Сивакова Н.Н. Исследование АП системы
кровообращения. (Методические рекомендации). Ставрополь, 1997.
Приложение
№
Оценка
школьной мотивации учащихся младших классов
Расскажи
о школе
(анкета
для учащихся 1 класса, заполняется родителями по ответам ребёнка)
|
Вопросы
|
Ответы в баллах
|
|
3
|
1
|
0
|
|
1.Тебе нравится в школе?
- да
- не очень
- нет
|
|
|
|
|
2. Утром ты всегда с радостью идёшь в школу или тебе
часто хоч5ется остаться дома?
- иду с радостью
- бывает по-разному
- чаще хочется остаться дома
|
|
|
|
|
3. Если бы учитель сказал, что завтра в школу не
обязательно приходить всем ученикам, ты пошёл бы в школу или остался дома?
- пошёл бы в школу
- не знаю
- остался бы дома
|
|
|
|
|
4. Тебе нравится, когда у вас отменяют какие-нибудь
уроки?
- не хотел бы
- не знаю
- хотел бы
|
|
|
|
|
5. Ты хотел бы, чтобы тебе не задавали никаких домашних
заданий?
- не хотел бы
- не знаю
- хотел бы
|
|
|
|
|
6. Ты хотел бы, чтобы в школе остались одни перемены?
- нет
- не знаю
- хотел бы
|
|
|
|
|
7. Ты часто рассказываешь о школе своим родителям?
- часто
- редко
- не рассказываю
|
|
|
|
|
8. Ты хотел бы, чтобы у тебя был другой, менее строгий
учитель?
- мне нравится наш учитель
- точно не знаю
- хотел бы
|
|
|
|
|
9. У тебя в классе много друзей?
- много
- мало
- нет друзей
|
|
|
|
|
10. Тебе нравятся твои одноклассники?
- нравятся
- не очень
- не нравятся
|
|
|
|
|
Суммарный балл
|
|
|
|
3 балла – первый ответ;
1 балл – второй ответ;
0 баллов – третий ответ.
Приложение
2
Школьные
мотивации учащихся 1-х классов Ладбалковской средней
общеобразовательной
школы
приложение 3
КАРТА
ОБСЛЕДУЕМОГО
Фамилия________________________________
Имя_________________________
Дата
рождения_______________ Месторождения___________________________
Национальность________________
Отец_____________ Мать_________________
Адрес
школы___________________________ класс__________________________
Домашний
адрес_______________________________________________________
Дата
обследования_______________ полных лет____________________________
Заболевания___________________________________________________________
Кол-во
пропущенных дней по причине болезни______ группа здоровья________
Антропометрические
данные:
Длина
тела______________ Масса тела____________ Длина туловища__________
Длина
плеча____________ Длина ноги____________ Ширина плеч_____________
Окружность
плеча_______ Плечевая дуга_________ Ширина таза______________
Окружность
бедра_______ ОКГ: в покое_____ на вдохе_____ на выдохе________
Экскурсия
грудной клетки_______________________________________________
Тип
конституции_______________________________________________________
Весо-ростовой
индекс_____________ Росто-весовой индекс___________________
Уровень
физического развития___________________________________________
Грудино-лопаточный
тест______________ Грудино-плечевой тест_____________
Состояние
осанки_______________________________________________________
Состояние
зрительного аппарата__________________________________________
Время
бега на дистанции 30м/с_________ Челночный бег 3*10м/с______________
Сгибание
и разгибание рук в упоре лёжа, кол-во раз__________________________
Метание
набивного мяча весом 1кг из исходного положения сед ноги врозь, см__
Подъём
в сед из положения лёжа, кол-во раз________________________________
Наклон
вперёд из положения сидя (гибкость), см______ Бег на 1000м, м/с_______
Артериальное
давление в покое: САД_________ ДАД______ ПД_______________
ЧСС
в покое____________________________________________________________
Артериальное
давление после ортопробы: САД_______ ДАД______ ПД_________
ЧСС
после ортопробы___________________________________________________
Проба
Мартинэ__________________ Проба Штанге__________________________
Величина
АП____________________ Величина КЗ___________________________
Тест
МПК: ЧСС до нагрузки________ ЧСС после____________________________
Величина
МПК_____________________ МПК/кг_____________________________
Уровень
тревожности_____________ Адекватность самооценки (АСО)__________
Оценка
школьной мотивации_____________________________________________
Длительность
индивидуальной минуты_____________________________________
Состояние артериального давления и возраста (индекс А)
|
САД возраст
|
Диастолическое артериальное давление (ДАД)
|
|
40
|
45
|
50
|
55
|
60
|
65
|
70
|
75
|
80
|
85
|
90
|
95
|
|
80
|
144
|
148
|
152
|
156
|
160
|
164
|
168
|
172
|
176
|
190
|
184
|
188
|
|
85
|
151
|
155
|
159
|
163
|
167
|
171
|
175
|
179
|
183
|
187
|
191
|
195
|
|
90
|
158
|
162
|
166
|
170
|
174
|
178
|
182
|
186
|
190
|
194
|
198
|
202
|
|
95
|
165
|
169
|
173
|
177
|
181
|
185
|
189
|
193
|
197
|
201
|
205
|
209
|
|
100
|
172
|
176
|
180
|
184
|
188
|
199
|
196
|
900
|
204
|
208
|
212
|
216
|
|
1005
|
179
|
183
|
187
|
191
|
195
|
199
|
203
|
207
|
211
|
215
|
219
|
223
|
|
110
|
186
|
190
|
194
|
199
|
202
|
206
|
210
|
214
|
218
|
222
|
226
|
230
|
|
115
|
193
|
197
|
201
|
205
|
209
|
213
|
217
|
221
|
225
|
229
|
233
|
237
|
|
120
|
200
|
204
|
208
|
212
|
216
|
220
|
224
|
228
|
232
|
236
|
240
|
244
|
|
125
|
207
|
211
|
215
|
219
|
223
|
227
|
231
|
235
|
239
|
243
|
247
|
251
|
|
130
|
214
|
218
|
222
|
226
|
230
|
234
|
238
|
240
|
246
|
250
|
254
|
258
|
|
135
|
221
|
225
|
229
|
233
|
937
|
241
|
245
|
249
|
253
|
257
|
261
|
265
|
|
140
|
228
|
232
|
236
|
240
|
244
|
248
|
259
|
256
|
260
|
264
|
268
|
272
|
|
145
|
235
|
239
|
243
|
247
|
251
|
255
|
259
|
263
|
267
|
271
|
275
|
279
|
|
150
|
249
|
246
|
250
|
254
|
258
|
269
|
266
|
270
|
274
|
278
|
289
|
286
|
|
155
|
249
|
253
|
257
|
261
|
265
|
269
|
273
|
277
|
281
|
285
|
289
|
293
|
|
160
|
256
|
260
|
264
|
268
|
272
|
276
|
280
|
284
|
288
|
292
|
296
|
300
|
Значение «САД + возраст»
берется с приближением до 2 единиц.
Нормальная масса тела (НМ), девочки 6-17 лет
|
Рост (см.)
|
Возраст
|
|
6
|
7
|
8
|
9
|
10
|
11
|
13
|
14
|
15
|
16
|
17
|
|
100-104
|
16
|
|
|
|
|
|
|
|
|
|
|
|
|
105-109
|
17
|
|
|
|
|
|
|
|
|
|
|
|
|
110-114
|
18
|
18
|
18
|
|
|
|
|
|
|
|
|
|
|
115-119
|
21
|
21
|
21
|
20
|
|
|
|
|
|
|
|
|
|
120-124
|
23
|
23
|
23
|
23
|
22
|
|
|
|
|
|
|
|
|
125-129
|
25
|
26
|
26
|
26
|
26
|
24
|
|
|
|
|
|
|
|
130-134
|
27
|
29
|
29
|
29
|
29
|
28
|
25
|
|
|
|
|
|
|
135-139
|
30
|
31
|
31
|
39
|
39
|
31
|
30
|
32
|
40
|
|
|
|
|
140-144
|
|
34
|
34
|
34
|
35
|
35
|
34
|
36
|
43
|
42
|
|
|
|
145-149
|
|
|
37
|
37
|
38
|
38
|
38
|
40
|
46
|
45
|
47
|
47
|
|
150-154
|
|
|
|
40
|
41
|
42
|
43
|
43
|
49
|
48
|
50
|
50
|
|
155-159
|
|
|
|
|
44
|
46
|
47
|
47
|
53
|
51
|
53
|
53
|
|
160-164
|
|
|
|
|
|
49
|
51
|
51
|
56
|
54
|
56
|
57
|
|
165-169
|
|
|
|
|
|
|
55
|
55
|
59
|
57
|
59
|
60
|
|
170-174
|
|
|
|
|
|
|
|
58
|
69
|
63
|
61
|
63
|
|
175-179
|
|
|
|
|
|
|
|
|
|
66
|
64
|
67
|
|
180-184
|
|
|
|
|
|
|
|
|
|
|
67
|
70
|
Нормальная масса тела (мальчики 6-17 лет)
|
Рост (см.)
|
Возраст
|
|
6
|
7
|
8
|
9
|
10
|
11
|
12
|
13
|
14
|
15
|
16
|
17
|
|
100-104
|
16
|
|
|
|
|
|
|
|
|
|
|
|
|
105-109
|
18
|
18
|
|
|
|
|
|
|
|
|
|
|
|
110-114
|
19
|
19
|
19
|
|
|
|
|
|
|
|
|
|
|
115-119
|
21
|
21
|
21
|
21
|
|
|
|
|
|
|
|
|
|
120-124
|
23
|
24
|
24
|
24
|
24
|
|
|
|
|
|
|
|
|
125-129
|
25
|
26
|
26
|
26
|
26
|
26
|
|
|
|
|
|
|
|
130-134
|
27
|
29
|
29
|
29
|
29
|
29
|
29
|
|
|
|
|
|
|
135-139
|
30
|
31
|
31
|
32
|
32
|
32
|
32
|
32
|
|
|
|
|
|
140-144
|
|
34
|
34
|
34
|
35
|
35
|
36
|
36
|
37
|
|
|
|
|
145-149
|
|
|
37
|
37
|
39
|
39
|
39
|
40
|
40
|
40
|
|
|
|
150-154
|
|
|
|
40
|
42
|
42
|
42
|
43
|
44
|
44
|
47
|
|
|
155-159
|
|
|
|
|
45
|
45
|
45
|
47
|
47
|
47
|
51
|
53
|
|
160-164
|
|
|
|
|
|
49
|
49
|
51
|
51
|
51
|
54
|
57
|
|
165-169
|
|
|
|
|
|
|
53
|
55
|
55
|
55
|
56
|
60
|
|
170-174
|
|
|
|
|
|
|
59
|
59
|
59
|
61
|
61
|
63
|
|
175-179
|
|
|
|
|
|
|
|
62
|
63
|
64
|
65
|
66
|
|
180-184
|
|
|
|
|
|
|
|
|
66
|
67
|
68
|
69
|
|
185-189
|
|
|
|
|
|
|
|
|
|
71
|
72
|
73
|
|
190-194
|
|
|
|
|
|
|
|
|
|
|
75
|
76
|
|
195-199
|
|
|
|
|
|
|
|
|
|
|
|
79
|
Соотношение массы тела и роста с частотой пульса
(индекс Б)
|
Частота пульса (ЧП)
|
Избыток или дефицит массы тела (М)
|
|
-20
|
-15
|
-10
|
-5
|
0
|
+5
|
+10
|
+15
|
+20
|
+25
|
|
50
|
-80
|
-75
|
-71
|
-66
|
-62
|
-57
|
-53
|
-48
|
-44
|
-39
|
|
55
|
-74
|
-70
|
-65
|
-61
|
-56
|
-52
|
-47
|
-43
|
38
|
-34
|
|
60
|
-69
|
-64
|
-60
|
-55
|
-51
|
-46
|
-42
|
-37
|
-33
|
-28
|
|
65
|
-63
|
-59
|
-54
|
-50
|
-45
|
-40
|
-36
|
-32
|
-27
|
-23
|
|
70
|
-58
|
-53
|
-49
|
-44
|
-40
|
-35
|
-31
|
-26
|
-22
|
-17
|
|
75
|
-52
|
-48
|
-43
|
-39
|
-34
|
-30
|
-25
|
-21
|
-16
|
-12
|
|
80
|
-47
|
-42
|
-38
|
-33
|
-29
|
-24
|
-20
|
-15
|
-11
|
-6
|
|
85
|
-41
|
-37
|
-32
|
-28
|
-23
|
-14
|
-10
|
-5
|
-1
|
|
90
|
-36
|
-31
|
-27
|
-22
|
-18
|
-13
|
-9
|
-4
|
0
|
+4
|
|
95
|
-30
|
-26
|
-21
|
-17
|
-12
|
-8
|
-3
|
+1
|
+6
|
+10
|
|
100
|
-25
|
-20
|
-16
|
-11
|
-7
|
-2
|
+2
|
+7
|
+11
|
+15
|
|
Мониторинг психосоматического развития и состояния
адаптационных систем школьников на 2001-2002 учебный год (1А класс).
|
|
Ф.И.О.
|
Год
рождения
|
Рост
|
Вес
|
Длина
тул-ща
|
Длина
руки
|
Длина
ноги
|
Шир.плеча
|
Окр.плеча
|
Плечев. дуга
|
|
1.Бавин Витя
|
05.10.1994
|
135-144-144
|
35-35-35
|
40-44-44
|
45-45-47
|
62-68-68
|
29-30-30
|
21-22-22
|
39
|
|
2.Батагов Владимир
|
16.05.1994
|
131-141-141
|
26-26-28
|
40-42-42
|
46-46-46
|
62-68-68
|
24-26-26
|
20-20-21
|
35
|
|
3.Бековшилин Сергей
|
28.01.1994
|
125-133-133
|
28-30-32
|
40-41-41
|
42-43-43
|
60-62-62
|
24-26-26
|
23-23-24
|
36
|
|
4.Виташина Настя
|
30.06.1994
|
122-128-128
|
20-22-23
|
39-41-41
|
40-42-43
|
55-55-63
|
23-24-24
|
20-21-21
|
35
|
|
5.Гальцев Женя
|
16.01.1995
|
122-129-129
|
23-23-24
|
36-38-39
|
40-41-42
|
54-56-64
|
23-24-24
|
20-21-21
|
34
|
|
6.Заздравных Юля
|
25.01.1994
|
116-124-124
|
18-19-19
|
37-39-39
|
38-40-40
|
54-57-57
|
23-24-24
|
17-18-18
|
33
|
|
7.Заздравных Сергей
|
|
|
|
|
|
|
|
|
|
|
8.Землянухина Анна
|
13.09.1994
|
130-137-137
|
28-26-28
|
38-41-41
|
41-43-43
|
59-65-65
|
22-23-23
|
20-21-22
|
35
|
|
9.Колесникова Юля
|
21.12.1994
|
117-129-129
|
21-26-30
|
36-38-40
|
41-43-43
|
55-56-56
|
22-22-27
|
23-24-24
|
35
|
|
10.Клюева Саша
|
07.09.1994
|
117-124-124
|
21-22-24
|
35-36-39
|
42-43-44
|
54-55-60
|
26-26-26
|
20-20-20
|
33
|
|
11.Лопатин Сергей
|
17.10.1994
|
115-118-130
|
21-22-25
|
35-35-35
|
39-39-39
|
51-57-57
|
22-24-25
|
19-20-20
|
34
|
|
12.Митрофанов Витя
|
09.11.1994
|
122-131-151
|
24-26-26
|
34-38-38
|
40-42-42
|
56-60-60
|
22-22-22,5
|
18-19-20
|
30
|
|
13.Мгоев Ибрагим
|
29.12.1992
|
130-136-130
|
30-30-31
|
38-41-41
|
43-44-44
|
57-64-64
|
25-26-26
|
20-20-22
|
37
|
|
14.Молчанова Анна
|
30.10.1994
|
120-122-127
|
21-23-23
|
37-40-41
|
39-40-40
|
57-59-59
|
22-24-24
|
18-19-20
|
32
|
|
15.Оспещев Саша
|
27.09.1994
|
117-124-124
|
21-23-23
|
35-36-36,5
|
39-41-41
|
54-59-59
|
23-23-23,5
|
19-19-20
|
34
|
|
16.Повалий Сергей
|
04.01.1994
|
125-133-134
|
21-23-23
|
35-39-39
|
40-41-42
|
54-65-65
|
22-24-24
|
17-18-19
|
34
|
|
17.Пилиев Эдуард
|
07.10.1993
|
120-127-127
|
21-21-23
|
35-36-39
|
39-41-41
|
56-59-59
|
26-26-26,5
|
18-19-20
|
33
|
|
18.Пилиева Кристина
|
26.11.1994
|
116-125-126
|
21-21-23
|
36-38-41
|
38-41-42
|
52-54-61
|
21-22-22
|
18,5-19-20
|
35
|
|
19.Унанян Ашот
|
29.01.1994
|
123-131-131
|
27-26-27
|
38-39-39
|
41-44-44
|
52-60-60
|
23-25-25
|
20-21-21
|
38
|
|
20.Чафонова Катя
|
14.11.1994
|
127-134-134
|
22-25-25
|
39-41-42
|
40-42-44
|
57-63-63
|
24-26-26
|
19-20-21
|
32
|
|
21.Червякова Ира
|
21.06.1994
|
122-131-131
|
20-20-20
|
37-39-39
|
43-46-46
|
54-61-61
|
21-22-22
|
19-21-19
|
33
|
|
22.Щетинина Катя
|
17.10.1994
|
128-136-136
|
25-25-26
|
36-38-39
|
42-44-44
|
55-62-62
|
23-23-23
|
19-19-20
|
35
|
|
23.Щетинина Вика
|
21.06.1994
|
125-131-131
|
23-27-27
|
35-38-38,5
|
41-41-43
|
54-54-59
|
23-24-24
|
18-19-21
|
34
|
|
24.Юровникова Вика
|
21.01.1995
|
116-124-125
|
21-21-22
|
34-36-38
|
40-41-41
|
53-54-54
|
22-24-24
|
18-19-19,5
|
33
|
№
п\п
|
ОГК в покое
|
На входе
|
На выходе
|
Экскурс
ГК
|
ВРИ
|
РВИ
|
Гр-лоп тест
|
Гр-плеч тест
|
Осанка
|
Зрение
|
САД
|
ДАД
|
ЧСС в покое
|
|
1
|
73-71-71
|
78-75-75
|
72-70-70
|
6-5- 5
|
0,25-0,24-0,2
|
35-44-44
|
|
0,93
|
|
|
90-90-100
|
70-50-70
|
90-87-77
|
|
2
|
64-65-65
|
69-68-69
|
65-64-64
|
4 -4-5
|
0,19-0,18-0,2
|
31-41-41
|
|
0,9
|
|
0,9, 0,8
|
95-90-90
|
65-70-70
|
90-85-82
|
|
3
|
64-64-64
|
66-66-67
|
62-65-63
|
4 -9 -4
|
0,22-0,22-0,2
|
25-33-33
|
0,3
|
0,35
|
|
0,9 0,9
|
100-100-100
|
60-50-60
|
90-87-78
|
|
4
|
60-60-59
|
65-66-62
|
60-60-57
|
5-6 -5
|
0,16-0,17-0,18
|
22-28-28
|
|
0,9
|
|
|
100-95-95
|
60-60-60
|
85-80-86
|
|
5
|
61-61-59
|
64-63-62
|
61-61-58
|
0,18-0,18-0,18
|
22-29-23
|
0,7
|
0,8
|
|
|
90-90-90
|
60-50-60
|
85-81-86
|
|
6
|
56-55-55
|
58-57-57
|
56-54-54
|
2-3- 3
|
0,15-0,15-0,15
|
16-24-24
|
0,5
|
0,8
|
|
0,8
|
100-90-100
|
60-50-50
|
83-76-80
|
|
7
|
|
|
|
|
|
|
|
|
|
|
|
|
|
|
8
|
61-62-62
|
65-65-66
|
61-61-60
|
4–4 -4
|
0,25-0,19-0,2
|
30-37-37
|
1
|
0,8
|
ск
|
0,9 0,9 0,8
|
90-100-90
|
60-60-60
|
83-80-78
|
|
9
|
61-61-64
|
56-68-67
|
61-61-62
|
5 -7-7
|
0,17-0,2-0,2
|
17-29-29
|
|
0,9
|
|
|
95-90-90
|
65-60-65
|
53-72-80
|
|
10
|
58-58-57
|
62-62-61
|
59-58-58
|
3–4-3
|
0,17-0,18-0,19
|
17-24-24
|
|
0,9
|
|
0,9 0,9 0,8
|
100-90-80
|
70-50-60
|
80-74-80
|
|
11
|
62-60-60
|
64-63-63
|
59-59-60
|
5–4–3
|
0,18-0,19-0,18
|
15-24-30
|
|
0,93
|
|
|
90-90-90
|
60-70-70
|
88-82-84
|
|
12
|
57-60-60
|
60-63-64
|
51-59-58
|
9–4 -6
|
0,16-0,12-0,2
|
22-31-31
|
|
0,95
|
|
|
100-100-85
|
70-60-55
|
90-87-80
|
|
13
|
69-66-66
|
72-69-70
|
70-65-65
|
2–4-5
|
0,23-0,22-0,23
|
30-36-36
|
|
|
|
|
100-100-100
|
70-65-60
|
90-86-88
|
|
14
|
60-59-59
|
63-63-63
|
57-58-58
|
6–4–4
|
0,45-0,28-0,23
|
20-17-27
|
|
0,92
|
|
|
90-95-80
|
60-55-60
|
80-72-80
|
|
15
|
59-59-59
|
63-62-63
|
59-58-57
|
4–4–6
|
0,17-0,18-0,16
|
17-24-25
|
0,25
|
0,8
|
|
|
90-90-90
|
60-60-70
|
88-83-88
|
|
16
|
64-60-60
|
66-63-63
|
62-59-59
|
4–4–4
|
0,16-0,17-0,18
|
25-33-34
|
|
0,95
|
|
|
85-100-80
|
55-60-60
|
89-86-82
|
|
17
|
61-65-63
|
64-69-66
|
60-64-61
|
4 – 4 – 5
|
0,17-0,17-0,18
|
20-27-27
|
0,5
|
0,8
|
|
|
95-100-90
|
60-50-70
|
70-73-87
|
|
18
|
60-59-62
|
63-63-65
|
58-58-60
|
5 – 5 – 5
|
0,18-0,17-0,18
|
16-25-26
|
|
0,9
|
|
|
90-90-110
|
60-50-80
|
85-80-84
|
|
19
|
66-65-65
|
71-69-70
|
64-64-64
|
7 – 4 – 5
|
0,21-0,19-0,02
|
23-31-31
|
1
|
0,95
|
ск
|
|
100-95-95
|
65-65-60
|
90-83-79
|
|
20
|
63-60-60
|
64-63-62
|
61-58-58
|
3 – 3 – 2
|
0,18-0,19-0,19
|
27-34-34
|
|
0,98
|
|
|
95-100-90
|
65-70-55
|
83-83-85
|
|
21
|
57-56-56
|
60-61-60
|
51-58-57
|
9 – 5 – 4
|
0,16-0,17-0,13
|
22-31-31
|
|
0,9
|
|
|
90-95-100
|
60-60-65
|
83-86-84
|
|
22
|
61-56-57
|
65-60-61
|
60-57-56
|
5 – 4 – 4
|
0,16-0,18-0,19
|
28-36-36
|
0,5
|
0,8
|
|
|
90-100-100
|
60-60-70
|
85-80-83
|
|
23
|
63-56-56
|
66-60-61
|
62-57-57
|
4 – 3 – 4
|
0,18-0,21-0,2
|
25-31-31
|
|
0,96
|
|
|
85-90-90
|
55-55-60
|
80-75-84
|
|
24
|
59-59-59
|
62-63-64
|
59-58-57
|
3 – 5 - 7
|
0,18-0,24-0,20
|
16-24-25
|
|
0,9
|
|
|
80-85-90
|
50-60-60
|
83-86-82
|
|
№
п\п
|
ОРТОПРОБА
|
Проба Мартинэ
|
Проба Штанге
|
Тест МПК
|
|
|
|
САД
|
ДАД
|
ЧСС
|
ЧСС до
|
ЧСС после
|
Величина
МПК
|
МПК/кг
|
|
1
|
85-110-100
|
70-65-65
|
140-92-87
|
90/70-90/70-115/65
|
28-47-45
|
90-87-77
|
140-106-115
|
0,94-2,4-2,4
|
2,03 уу уу
|
|
2
|
100-105-90
|
70-75-70
|
150-95-91
|
100/70-100/70-105/70
|
30-42-41
|
90-85-82
|
150-107-110
|
0,04-2,4-2,4
|
0,038 уд уд
|
|
3
|
100-110-100
|
60-65-65
|
135-93-88
|
90/60-90/60-115/55
|
17-45-47
|
90-87-78
|
135-106-98
|
0,9-2,7-2,6
|
0,03уд выс
|
|
4
|
100-95-95
|
60-67-55
|
120-86-96
|
90/60-90/50-110/55
|
18-30-25
|
85-80-86
|
120-107-108
|
1,06-0,02-0,02
|
0,05уу уд
|
|
5
|
90-90-90
|
65-50-50
|
140-90-96
|
90/60-90/50-100/55
|
20-36-32
|
85-81-86
|
140-95-112
|
1,004-1,65-1,64
|
2,04выс выс
|
|
6
|
100-100-101
|
60-60-50
|
125-83-95
|
90/60-90/60-100/55
|
15-39-25
|
83-76-80
|
125-98-110
|
1,04-0,31-0,31
|
0,06уд уд
|
|
7
|
|
|
|
|
|
|
|
|
|
|
8
|
85-105-90
|
65-70-60
|
125-87-80
|
90/60-90/60-105/60
|
20-35-36
|
83-80-78
|
125-85-98
|
0,96-0,59
|
0,037 хор
|
|
9
|
95-90
|
65-60
|
125-85-91
|
90/60-90/60-100/60
|
24-32-40
|
83-79-80
|
125-120-105
|
1,06-2,07-2,04
|
0,05уд уд
|
|
10
|
100-97-80
|
70-55-60
|
105-78-95
|
100/70-100/70-100/60
|
15-26-20
|
80-74-80
|
105-105-100
|
1,05-1,23-0,31
|
0,05уд уд
|
|
11
|
90-103-90
|
60-72-65
|
123-89-94
|
90/60-90/60-100/65
|
15-30-33
|
88-82-84
|
123-120-108
|
1,01-1,75-1,28
|
0,05уд уд
|
|
12
|
100-110-85
|
65-70-50
|
90-95-92
|
100/65-100/65-100/50
|
26-39-38
|
90-87-80
|
140-135-110
|
0,92-1,82-1,82
|
0,04 уд уд
|
|
13
|
95-105-100
|
60-70-60
|
130-90-98
|
70/60-90/60-110/60
|
18-35-38
|
90-86-88
|
130-102-110
|
0,93-0,1-1,83
|
|
14
|
90-100-80
|
60-60-60
|
120-77-90
|
90/60-90/60-95/60
|
31-28-23
|
80-72-80
|
120-105-100
|
1,06-1,77-1,77
|
0,05 уд
|
|
15
|
85-95-90
|
65-70-60
|
130-88-98
|
90/60-90/60-105/60
|
18-32-40
|
88-83-88
|
130-130-110
|
1,01-1,8-1,8
|
0,44 0,38 уд
|
|
16
|
90-105-80
|
50-50-60
|
140-90-94
|
100/60-90/60-95/60
|
20-37-28
|
89-86-82
|
140-130-102
|
1,12-1,47-1,47
|
0,05 уд
|
|
17
|
95-100-90
|
60-60-70
|
115-83-97
|
90/55-90/55-105/60
|
39-38-34
|
80-87
|
115-108
|
0,92-0,92-1,8
|
0,44 уд
|
|
18
|
90-90-110
|
60-60-70
|
110-90-99
|
95/55-85/55-120/70
|
19-28-25
|
85-80-84
|
110-110-105
|
1,05-1,07-1,7
|
0,05уд выс
|
|
19
|
105-100-95
|
60-70-55
|
120-96-92
|
100/60-100/60-105/55
|
26-25-40
|
90-86-79
|
140-130-98
|
0,98-0,98-1,47
|
0,87 уд выс
|
|
20
|
90-100-90
|
60-60-55
|
115-98-93
|
90/60-110/60-90/60
|
40-37-40
|
83-83-85
|
118-102-115
|
1,04-1,83-1,03
|
0,04 уд уд
|
|
21
|
90-95-100
|
55-60-65
|
130-96-94
|
90/60-105/60-90/60
|
25-36-25
|
83-86-84
|
120-104-125
|
1,07-1,83-1,4
|
0,04 уд уд
|
|
22
|
90-100-100
|
60-60-60
|
120-90-100
|
90/60-90/60-115/60
|
|
85-80-88
|
120-110-110
|
1,04-1,04-1,47
|
0,04уд
|
|
23
|
90-90-90
|
60-55-60
|
110-85-94
|
90/60-90/60-105/60
|
21-20-33
|
80-75-84
|
110-100-105
|
1,05-0,91-1,8
|
0,05 уд
|
|
24
|
90-90-96
|
60-70-65
|
110-93-92
|
90/60-90/60-110/60
|
25-25-20
|
83-86-82
|
110-110-102
|
1,05-1,05-2,1
|
0,05уд
|
Мониторинг психопатического развития и состояния
адаптационных систем школьников
на 2001-2002 учебный год (1Б класс)
|
Ф.И.О.
|
Год рождения
|
Рост
|
Вес
|
Окружность
плеча
|
Окружность бедра
|
|
1.Бобров Алексей
|
15.06.94
|
115-128-128
|
26-21-22
|
18-18,5-19
|
32-35-32
|
|
2.Галонян Глен
|
|
|
|
|
|
|
3.Евтушенко Кристина
|
23.09.94
|
129,5-130-130
|
26-25-28
|
18-19-19
|
39-38-39
|
|
4.Ефремова Лена
|
30.04.94
|
120-121-121
|
19-19-17
|
17-18-18
|
33-33-33
|
|
5.Исаев Олег
|
2.05.94
|
124-125-127
|
22-21-20
|
17-18-18
|
32-34-35
|
|
6.Киоса Валя
|
8.05.95
|
127-127-128
|
24-21-22
|
17-18-18
|
35-34-35
|
|
7.Кириченко Вова
|
15.10.94
|
127-129-131
|
25-25-25
|
18-19-20
|
36-35-38
|
|
8.Кириченко Григорий
|
22.06.94
|
122-123-123
|
21-20-20
|
18-19-20
|
34-34-35
|
|
9.Кандухашвили Ал
|
22.10.93
|
|
|
18-19-20
|
36-38-38
|
|
10.Лунева Анна
|
22.10.94
|
121-123-126
|
24-23-24
|
17-18-18,5
|
36-37-37
|
|
11.Лунева Жанна
|
9.06.95
|
122-123-124
|
20-19-19
|
17-17-17,5
|
31-32-32
|
|
12.Масалов Саша
|
17.07.94
|
122-123-125
|
25-23-25
|
17-17-17
|
36-36-37
|
|
13.Меснянкин Никита
|
11.09.94
|
127-128-128
|
23-24-26
|
18-18-19
|
38-38-38
|
|
14.Мишенина Настя
|
21.03.95
|
110-111-111
|
19-18-19
|
17-17-18
|
35-35-35
|
|
15.Молоева Лилия
|
22.02.93
|
128-134
|
11-22-23
|
16-16-17
|
38-38-39
|
|
16.Молоев Телман
|
22.02.93
|
126-127
|
25-26
|
18-18-19
|
38-39-40
|
|
17.Назаренко Иван
|
30.04.94
|
126-128-130
|
29-27-23
|
18-18-19
|
38-39-40
|
|
18.Нечаева Наташа
|
27.07.94
|
125-127-128
|
26-26-25
|
19-19-20
|
38-38-38,5
|
|
19.Осетров Денис
|
24.08.94
|
128-130-131
|
25-24-26
|
18-19-19
|
37-37-38
|
|
20.Петрищева Таня
|
29.05.94
|
124-127-127
|
26-26-28
|
20-20-20
|
35-35-36
|
|
21.Семенихин Женя
|
21.11.94
|
130-133-135
|
31-33-34
|
19-20-20
|
41-42-42
|
|
22.Семыкин Сережа
|
15.09.94
|
111-113-113
|
18-17-19
|
17-18-19
|
31-32-33
|
|
23.Сингужина Альб
|
22.02.95
|
122-124-125
|
28-28-30
|
19-19-20
|
39-39-40
|
|
24.Фиталов Алеша
|
22.07.94
|
116-118-120
|
21-22-22
|
18-18-18
|
38-37-38
|
|
25.Хамидов Джамалд
|
20.08.94
|
134-137
|
36-38
|
19-20-20
|
43-45-45
|
|
№ п\п
|
ОГК в
покое
|
На входе
|
На
выходе
|
Экскур
ГК
|
ВРИ
|
РВИ
|
Гр-лоп
тест
|
Гр-
плеч
тест
|
Осанка
|
Зрение
|
САД
|
ДАД
|
ЧСС в
покое
|
|
1.
|
60-62-54
|
63-66-60
|
59-62-54
|
4-4-6
|
0,20-0,16-0,17
|
25-28-29
|
0,8 0,8
|
12 14
|
|
|
100-100-90
|
65-60-60
|
100-100-100
|
|
2.
|
|
|
|
|
|
|
|
|
|
|
|
|
|
|
3.
|
58-60-56
|
63-66-60
|
59-60-56
|
4-6-4
|
0,20-0,18-0,19
|
29,5-30-30
|
0,7 0,8
|
11 14
|
|
|
100-100-90
|
65-65-60
|
100-100-100
|
|
4.
|
55,5-58-56
|
61-63-63
|
54-55-55
|
7-6-6
|
0,15-0,15-0,18
|
20-21-22
|
0,7 0,7
|
12 12
|
|
|
100-100-90
|
70-60-60
|
100-95-100
|
|
5.
|
53,5-55-55
|
57-60-60
|
53-55-55
|
4-5-5
|
0,17-0,16-0,16
|
24-25-27
|
0,8 0,8
|
12 12
|
|
|
90-90-90
|
55-55-55
|
100-100-100
|
|
6.
|
54-56-36
|
57-59-39
|
54-56-56
|
3-3-3
|
0,18-0,16-0,16
|
22-27-28
|
0,7 0,7
|
12 12
|
|
|
90-90-90
|
60-60-60
|
100-100-100
|
|
7.
|
58-60-60
|
63-65-65
|
68-60-60
|
5-5-5
|
0,19-0,19-0,19
|
27-29-31
|
11 12
|
|
|
100-100-70
|
60-60-55
|
100-90-100
|
|
8.
|
56-58-58
|
58-60-60
|
57-57-56
|
1-3-4
|
0,17-0,16-0,16
|
22-23-23
|
0,7 0,7
|
12 13
|
|
|
100-100-90
|
60-60-55
|
100-100-100
|
|
9.
|
|
|
|
|
|
|
|
|
|
|
|
|
|
|
10.
|
59-61-61
|
61-63-63
|
58-59-59
|
3-4-4
|
0,19-0,18-0,18
|
21-23-26
|
0,8 0,7
|
13 15
|
|
|
95-90-95
|
55-60-55
|
100-100-100
|
|
11.
|
52-51-52
|
56-58-56
|
51-54-50
|
5-4-6
|
0,16-0,15-0,15
|
22-24-24
|
0,7 0,7
|
12 12
|
|
|
80-90-95
|
55-55-65
|
100-90-90
|
|
12.
|
57-59-56
|
61-63-60
|
36-59-56
|
5-4-4
|
0,20-0,18-0,18
|
22-23-25
|
0,7 0,6
|
12 12
|
|
|
95-95-95
|
60-60-60
|
100-90-100
|
|
13.
|
58-60-58
|
62-64-62
|
58-60-58
|
4-4-4
|
0,18-0,18-0,18
|
27-28-28
|
0,8 0,7
|
11 15
|
|
|
90-90-90
|
55-55-65
|
95-95-90
|
|
14.
|
54-56-54
|
56-55-56
|
54-56-52
|
2,5-3-4
|
0,17-0,15-0,18
|
10-11-11
|
|
|
|
|
100-100-100
|
60-60-60
|
100-100-90
|
|
15.
|
59-56
|
62-59
|
59-56
|
3-3
|
0,18-0,16
|
18-21
|
0,8 0,8
|
13 11
|
|
|
100-90
|
60-60
|
90-90
|
|
16.
|
56-56
|
60-60
|
57-58
|
3-3
|
0,19-0,19
|
26-27
|
0,6 0,6
|
12 11
|
|
|
90-85
|
60-60
|
95-90
|
|
17.
|
56-68-60
|
60-62-62
|
56-60-60
|
4-2-2
|
0,23-0,21-0,21
|
26-27-29
|
0,8 0,7
|
13 13
|
|
|
200-100-100
|
60-60-60
|
100-100-100
|
|
18.
|
56-58-58
|
60-62-62
|
56-57-57
|
4-5-5
|
0,20-0,20-0,20
|
25-27-28
|
0,7 0,8
|
12 12
|
|
|
85-85-85
|
60-60-60
|
100-100-100
|
|
19.
|
58-59-58
|
63-64-63
|
58-59-58
|
5-5-5
|
0,19-0,18-0,18
|
28-30-31
|
0,7 0,7
|
12 15
|
|
|
90-90-85
|
60-60-60
|
100-100-100
|
|
20.
|
61-60-58
|
64-65-62
|
60-60-58
|
4-5-4
|
0,21-0,2-0,15
|
24-27-27
|
0,8 0,8
|
13 14
|
|
|
90-90-95
|
60-65-60
|
98-78-92
|
|
21.
|
62-65-58
|
63-66-62
|
61-65-57
|
2-1-5
|
0,25-0,24-0,2
|
30-33-35
|
0,9 0,8
|
0,9-12-13
|
|
|
85-85-90
|
60-60-65
|
78-82-90
|
|
22.
|
54-56-54
|
56-59-56
|
53-56-50
|
3-3-6
|
0,15-0,15-0,16
|
11-13-13
|
0,7 0,6
|
12 11
|
|
|
95-100-90
|
55-60-55
|
100-95-90
|
|
23.
|
58-60-58
|
65-62-63
|
60-58-60
|
5-5-3
|
0,22-0,23-0,2
|
22-24-25
|
0,7 0,7
|
0,9-11-13
|
|
|
90-90-90
|
65-60-65
|
100-90-95
|
|
24.
|
56-58-56
|
59-61-59
|
56-58-57
|
3-3-2
|
0,19-0,17-0,18
|
16-18-20
|
0,6 0,6
|
1-13-13
|
|
|
100-95-100
|
60-55-60
|
100-98-90
|
|
25.
|
60-63
|
66-69
|
60-63
|
6-6
|
0,24-0,4
|
34-37
|
0,7 0,7
|
1-12-13
|
|
|
85-90
|
60-60
|
80-91
|
|
№ п\п
|
ОРТОПРОБА
|
Проба Мартимэ
|
Проба
Штанге
|
Тест МИК
|
Величина
МПК
|
МПК / кг
|
|
САД
|
ДАД
|
ЧСС
|
|
ЧСС до
|
ЧСС после
|
|
1.
|
100-100-90
|
60-60-60
|
100-110-107
|
110/60 110/60 110/60
|
50 52 51
|
100 100 100
|
110 110 107
|
0,96 0,96 1,06
|
0,01 0,01 0,03
|
|
2.
|
|
|
|
|
|
|
|
|
|
|
3.
|
105-105-95
|
70-70-65
|
110-110-105
|
110/60 110/60 110/60
|
50 51 50
|
100 100 95
|
110 110 105
|
1,05 1,05 1,03
|
0,04 0,04 0,07
|
|
4.
|
105-100-95
|
95-60-65
|
110-105-110
|
110/60 110/60 110/60
|
50 30 32
|
100 105 100
|
110 115 110
|
1,06 1,02 1,06
|
0,05 0,04 0,04
|
|
5.
|
90-90-90
|
60-60-60
|
110-100-110
|
110/60 110/70 110/65
|
54 54 54
|
100 100 100
|
110 110 110
|
1,02 1,02 1,02
|
0,05 0,05 0,05
|
|
6.
|
95-95-95
|
65-65-65
|
110-110-110
|
110/60 110/55 110/60
|
50 52 52
|
100 100 100
|
110 110 110
|
1,06 1,06 1,06
|
0,4 0,4 0,4
|
|
7.
|
110-100-90
|
60-60-60
|
110-110-110
|
110/60 110/60 110/60
|
50 52 54
|
100 90 90
|
110 100 102
|
0,99 0,99 1,04
|
0,63 0,03 0,04
|
|
8.
|
100-100-90
|
60-60-60
|
110-108-110
|
110/60 110/60 110/60
|
50 51 52
|
100 100 90
|
110 112 102
|
1,02 1,02 1,05
|
0,05 0,05 0,05
|
|
9.
|
|
|
|
|
|
|
|
|
|
|
10.
|
90-90-90
|
60-60-60-
|
110-110-110
|
110/60 110/35 110/50
|
53 53 53
|
100 90 90
|
110 100 97
|
1,04 1,02 1,04
|
0,04 0,04 0.04
|
|
11.
|
90-90-95
|
60-60-65
|
110-110-95
|
110/60 110/60 110/55
|
53 53 53
|
100 100 90
|
110 110 95
|
1,06 1,06 0,85
|
0,05 0,05 0,05
|
|
12.
|
100-100-100
|
60-60-60
|
100-90-110
|
110/60 110/60 110/55
|
52 52 52
|
100 100 100
|
120 120 110
|
1,01 1,01 0,01
|
0,04 0,04 0,04
|
|
13.
|
85-85-85
|
60-60-60
|
110-112-98
|
110/50 110/60 110/60
|
55 55 55
|
100 100 90
|
110 107 98
|
1,01 1,01 0,98
|
0,04 0,04 0,03
|
|
14.
|
100-100-100
|
65-65-65
|
110-110-96
|
110/60 110/50 110/60
|
50 50 50
|
100 100 90
|
110 110 95
|
1,13 1,13 1,13
|
0,06 0,06 0,06
|
|
15.
|
100-95
|
60-65
|
100-97
|
110/60 110/55
|
32 30
|
105 90
|
1,04 1,04
|
1,06 0,02
|
|
16.
|
100-95
|
60-60
|
100-95
|
110/55 100/50
|
35 30
|
103 91
|
113 98
|
1,98 1,92
|
0,02 0,02
|
|
17.
|
100-100-100
|
70-60-70
|
100-110-110
|
110/60 110/55 100/60
|
25 25 25
|
100 100 100
|
110 110 110
|
0,98 0,98 0Ю98
|
0,03 0,03 0,03
|
|
18.
|
90-90-90
|
60-60-60
|
110-110-110
|
110/60 110/60 110/55
|
28 28 26
|
100 100 100
|
110 110 110
|
1,06 1,06 1,06
|
0,04 0,04 0,04
|
|
19.
|
100-110-100
|
65-65-65
|
110-110-110
|
110/60 110/60 110/60
|
32 30 32
|
100 100 100
|
110 110 110
|
0,90 0,9 0,9
|
0,04 0,04 0,04
|
|
20.
|
100-100-110
|
65-65-70
|
112-110-105
|
110/60 105/60 110/60
|
28 24 26
|
100 100 100
|
110 110 110
|
1,05 1,05 1,05
|
0,040 0,40 0,04
|
|
21.
|
90-95-90
|
65-60-60
|
100-105-102
|
115/60 110/60 90/55
|
36 37 30
|
90 95 92
|
110 105 110
|
0,97 0,97 0,97
|
0,03 0,03 0,03
|
|
22.
|
100-95-90
|
60-55-60
|
105-110-102
|
110/60 105/60 100/60
|
26 28 30
|
100 90 90
|
110 100 90
|
1,02 1,02 1,02
|
0,06 0,06 0,02
|
|
23.
|
95-95-95
|
65-70-65
|
110-102-108
|
115/60 110/60 105/65
|
24 25 25
|
100 95 95
|
110 112 112
|
1,04 1,04 1,04
|
0,04 0,04 0,04
|
|
24.
|
100-100-100
|
65-60-60
|
110-105-100
|
115/65 110/70 100/60
|
32 33 30
|
100 100 100
|
110 110 107
|
0,45 0,45 0,45
|
0,44 0,48
|
|
25.
|
90-95
|
65-60
|
102-105
|
110/70 105/65
|
40 38 38
|
100 100
|
110 108
|
0,97 0,95
|
0,03 0,005
|