Демографические тренды и вызовы
Содержание
Введение
. Теоретический аспект
демографических трендов и вызовов
.1 Гипотеза Мальтуса
.2 Теория демографического перехода
.3 Уравнение Х. фон Ферстера
.4 Математическая модель мирового
демографического и технологического роста Майкла Кремера
.5 Компактная математическая модель
экономического и демографического роста Мир-Системы
.6 Демографическая модель Сергея
Капицы
. Характеристика демографической
ситуации в мире
.1 Мировой демографический взрыв
.2 Демографические прогнозы - какие
вызовы нас ожидают и чем на них ответить
Заключение
Список использованной литературы
Введение
Актуальность исследования. Демографическая
ситуация в мире в последнее время стала одной из злободневных
социально-экономических проблем. Если в 1000 году население Земли состояло из
275 млн. человек, то к 1900 году нас стало 1,6 миллиарда. В 1988 году родился
пятимиллиардный землянин, а уже в начале третьего тысячелетия на планете
появился на свет шестимиллиардный ребенок. По прогнозам специалистов, к концу
этого десятилетия население Земли может составить 10-11 млрд., человек!
Известна теза, предрекающая обнищание и
вымирание человечества от чрезмерного роста численности людской популяции. Не
менее широко распространены гипотезы о вымирании человечества (а вместе с ним и
всего живого на планете) по причине природных или техногенных катастроф
глобального масштаба. Предсказания футурологического апокалипсиса активно
эксплуатируются романистами, сценаристами и художниками.
Уже на протяжении нескольких столетий
демографическая ситуация является одной из самых «горячих» тем для научных
дискуссий, где сталкиваются оценки пессимистов и оптимистов, а жизнь идет своим
чередом, внося в рассмотрение все новые факторы.
Цель исследования - рассмотрение мировых
демографических трендов и вызовов.
Задачи исследования :
1) рассмотреть классические теории
демографических трендов и вызовов;
2) охарактеризовать современный подход на
примере теории С.Капицы;
) проанализировать динамику мировых
демографических трендов и вызовов на рубеже 20-21 вв.;
) рассмотреть необходимость и варианты
ответов на демографические вызовы.
Объект исследования - мировые демографические
процессы.
Предмет исследования - демографические тренды и
вызовы.
В процессе работы использовались
статистико-математические методы. Информационную основу исследования составили
материалы статистической отчетности а так же статьи и монографии отечественных
и зарубежных авторов, посвященные изучаемой тематике.
Структура работы включает введение, заключение и
основную часть, которая состоит из трех глав.
1. Теоретический аспект демографических трендов
и вызовов
.1 Гипотеза Мальтуса
Первая попытка оценить динамику численности
населения и ответить на вопрос сможет ли Земля прокормить всех живущих на ней,
связана с именем английского учёного Томаса Роберта Мальтуса ( 1766-1834 ),
который пришёл к мысли, что если рост населения ничем не сдерживается, то
население будет удваиваться каждые 25-30 лет и что люди размножаются быстрее,
чем растущие средства существования. Развивая эти идеи, он пришёл к выводу, что
плодовитость бедняков - главная причина их нищенского положения в обществе.
Свои взгляды он анонимно опубликовал в 1798 г. в работе «Опыт о законе
народонаселения в связи с будущим совершенствованием общества»[12].
Т. Мальтус утверждал, что численность населения
возрастает в геометрической прогрессии, в то время как ресурсы, необходимые для
пропитания этого населения - в арифметической. Поэтому рано или поздно эти
графики пересекутся, и наступят голод, войны, болезни.
В действительности замеченная тенденция
переходит на определённом этапе в прямо противоположную - повышение уровня
жизни ведет к снижению рождаемости и не только к стабилизации численности
населения, но и к абсолютному его снижению.
.2 Теория демографического перехода
Теория демографического перехода, в общем виде
разработана Фрэнком Ноутстайном в 1945 г. Теория связывает особенности
демографического положения в связи с экономическим ростом и социальным
прогрессом в зависимости от четырёх стадий демографического перехода, которые
страны и регионы мира проходят в разное время[15].
этап - высокая степень устойчивости - характерен
для обществ с присваивающей экономикой. Ему свойственны одинаково высокие
коэффициенты рождаемости и смертности и очень незначительный рост численности
населения. Колебания коэффициентов связаны с периодами повышенной смертности,
обусловленной отсутствием запасов продовольствия, необходимых для выживания в
экстремальные годы, войнами, эпидемиями. Высокая рождаемость является
естественной реакцией на высокую смертность. Во второй половине 20 века
подобная демографическая ситуация была характерна для племён охотников и
собирателей, проживающих во влажных экваториальных лесах Амазонии, бассейна
реки Конго.
этап - начальный период роста - характеризуется
сохраняющимся высоким коэффициентом рождаемости, снижением коэффициента
смертности, ростом продолжительности жизни и некоторым увеличением общей
численности населения.
Снижение смертности связано с переходом от охоты
и собирательства к земледелию и скотоводству, т.е. к производящему хозяйству,
что позволило создавать запасы продовольствия для экстремальных ситуаций-
засух, наводнений. Улучшение продовольственного обеспечения создало условия для
прироста населения. Демографические показатели 2-го этапа характерны сегодня
для ряда стран Африки и Латинской Америки, которые пока не достигли уровня
экономического развития, когда коэффициент рождаемости начнёт снижаться.
этап - современный период роста- характеризуется
стабилизацией коэффициента смертности на низком уровне и некоторым снижением
коэффициента рождаемости. Последнее связано с индустриализацией и урбанизацией,
повышением уровня жизни, ростом расходов на воспитание детей, включением женщин
в общественное производство, а также распространением медицинских средств
регулирования рождаемости. Тем не менее, в этот период тенденция роста
численности населения сохраняется. Она связана со вступлением в детородный
возраст поколений, родившихся при высоком коэффициенте рождаемости. В конце 20
века на 3-ем этапе находились главным образом страны Латинской Америки.
этап - низкая степень устойчивости -
характеризуется снижением и стабилизацией рождаемости, и смертности, и
численности населения.
Первым регионом, вступившим в этот этап
демографического перехода, была Европа. В 90-е годы к ней присоединились США,
Канада, Австралия, Новая Зеландия, а также Аргентина и Уругвай. Страны
Юго-Восточной Азии, в которых проводится успешная демографическая политика, в
ближайшие годы будут иметь аналогичные тенденции.
Человечество способно увеличивать экологическую
емкость своей среды. Но она ограничена пространством планеты и поэтому не может
возрастать беспредельно. Бесконечность роста численности людей грозит
демографическим взрывом, катастрофой.
.3 Уравнение Х. фон Ферстера
В 1960 г. Х. фон Ферстер, П. Мора и Л. Амиот
опубликовали в журнале Science сообщение о своем удивительном открытии (von
Foerster, Mora, and Amiot 1960)[17]. Они показали, что между 1 и 1958 г. н.э.
динамика численность народонаселения мира (N) может быть с необычайно высокой
точностью описана при помощи следующего поразительно простого уравнения:
где Nt - это численность населения мира в момент
времени t,
а C и t0 - константы; при этом t0 соответствует
абсолютному пределу (сингулярной точке), когда N стало бы бесконечным, если бы
численность населения мира продолжила бы расти по той же самой траектории, по
которой она росла с 1 по 1958 г. н.э.
Параметр t0 был оценен Х. фон Ферстером и его
коллегами как 2026,87, что соответствует 13 ноября 2026 г.; это, кстати,
предоставило им возможность дать своей статье предельно броское название
"Конец света: Пятница, 13 ноября 2026 г. от Рождества Христова".
Уравнение фон Ферстера предполагает нечто не
вполне правдоподобное. Собственно говоря, оно "утверждает", что если
Вы захотите узнать численность населения мира (исчисляемого в миллионах
человек) в некотором году, Вам достаточно просто вычесть этот год из 2027, а
затем поделить 215000 на полученную разность. На первый взгляд, подобный
«примитивный» алгоритм просто не может сработать - действительно, казалось бы,
как динамика такой суперсложной системы, как планетарное человеческое общество
может быть сколько-нибудь точно описана при помощи столь простенького
уравнения? Однако давайте проверим, так ли это на самом деле. Начнем, например,
с 1970 г. Для того, чтобы оценить численность населения мира в 1970 г. при
помощи уравнения фон Ферстера мы должны, прежде всего, вычесть 1970 из 2027.
Естественно, мы получим 57. А теперь осталось просто разделить 215000 на
полученную разность (т.е. на 57), и мы получаем оценку численности населения
мира в 1970 г. (в миллионах): 215000 ÷ 57 = 3771,9. Согласно
базе данных Бюро переписей США (U.S. Bureau of the Census 2006), численность
населения мира на 1970 г. составила 3708,1 млн. чел. При этом, конечно же, ни
один из сотрудников этого бюро не будет настаивать, что численность населения
мира в этом году составляла в точности 3708,1 млн. чел. Действительно, даже на
этот год в нашем распоряжении нет точных переписных данных по достаточно
большому числу стран; кроме того, за один этот год население мира выросло почти
на 80 млн. чел. Так что полученный нами при помощи уравнения фон Ферстера
результат оказывается вполне в пределах погрешности измерения для соответствующего
года.
Теперь при помощи того же уравнения подсчитаем
численность населения Земли в 1900 г. Для этого нам надо поделить 215000 млн.
на 127, что даст нам 1693 млн., что оказывается в точности в пределах имеющихся
эмпирических оценок (1600-1710 млн. чел.).
Теперь проделаем ту же самую операцию для 1800
г.: 2027 - 1800 = 227; 215000 ÷ 227 = 947,1 (млн.).
Согласно имеющимся эмпирическим оценкам, численность населения мира на этот
год, действительно, составляла от 900 до 980 млн. чел. Теперь повторим эту
операцию для 1700 г.: 2027 - 1700 = 337; 215000 ÷ 337 =
640 (млн.
чел.). И снова мы оказываемся полностью в пределах имеющихся эмпирических
оценок численности населения мира на этот год (600-680 млн. чел.). Повторив тот
же алгоритм еще раз, для 1400 г. получаем: 2027 - 1400
= 627; 215000 ÷ 627 = 343 (млн. чел.). И снова
полученный результат оказывается в пределах погрешности эмпирических оценок.
Общая корреляция между кривой, генерируемой
уравнением фон Ферстера и наиболее детальным рядом эмпирических оценок выглядит
следующим образом (см. Рис. 1):
Рис. 1. Корреляция между эмпирическими оценками
долгосрочной динамики численности населения мира (в миллионах чел., 1000 - 1970
гг.) и кривой, генерируемой уравнением фон Ферстера
Формальные характеристики этой корреляции
выглядят следующим образом: R = 0,998; R2 = 0,996; α
= 9,4 × 10-17 ≈
1 × 10-16.
Уравнение фон Ферстера является решением
следующего дифференциального уравнения
Это уравнение может быть записано и следующим
образом:
Где
В данном контексте dN/dt обозначает абсолютные
темпы роста численности населения в определенный момент времени. Таким образом,
данное уравнение говорит о том, что абсолютные темпы демографического роста в
каждый данный момент времени пропорциональны квадрату численности населения на
данный момент времени.
Нельзя не отметить, что это существенно
демистифицирует проблему объяснения гиперболической тенденции роста численности
населения мира. Теперь для того, чтобы объяснить гиперболическую тенденцию
роста численности населения мира мы должны просто объяснить, почему на
протяжении многих тысячелетий абсолютные темпы мирового демографического роста
были в тенденции пропорциональны квадрату численности населения мира.
1.4 Математическая модель мирового
демографического и технологического роста Майкла Кремера
Наиболее существенный вклад в объяснение
феномена гиперболического роста численности населения мира внес М. Кремер
(Kremer 1993)[14].
Модель М. Кремера основывается на следующих
допущениях:
) Прежде всего он делает мальтузианское (Malthus
1978; Мальтус 1993) допущение, что на протяжении большей части существования
человечества рост его численности на каждый данный момент времени был ограничен
потолком несущей способности земли, обусловленным наблюдаемым в данный момент
времени уровнем развития жизнеобеспечивающих технологий (Kremer 1993: 681-682).
Это допущение является совершенно обоснованным. Действительно, на протяжении
большей части существования человечества численность населения мира была
ограничена технологически обусловленным потолком несущей способности Земли. При
полном господстве технологий присваивающего хозяйства (охоты, собирательства и
рыболовства) Земля не могла сколько-нибудь стабильно поддерживать существование
более 10 млн. человек, потому что объем естественно доступной полезной для
человека биомассы на нашей планете ограничен, и численность населения мира
смогла превысить этот потолок, только когда люди начали применять различные
технологические средства для искусственного увеличения объема этой биомассы,
т.е. с переходом от присваивающего хозяйства к производящему (земледелию и
скотоводству). Однако экстенсивное производящее хозяйство также могло
поддержать существование ограниченного числа людей и дальнейший рост
численности населения мира стал возможен только в результате интенсификации
земледелия и других технологических инноваций.
Это допущение было математически выражено М.
Кремером при помощи следующего уравнения:
где G это мировой ВВП,- уровень технологического
развития,- численность населения мира,
а 0 < α < 1 и
r - параметры.
) "Высокая численность населения ускоряет
технологический рост, так как она увеличивает число потенциальных изобретателей
… среди большего населения будет пропорционально больше людей, достаточно
удачливых и сообразительных, чтобы предложить новые идеи" (Kremer 1993:
685), поэтому "темпы технологического роста пропорциональны общей
численности населения". Собственно говоря, М. Кремер пользуется здесь
основным допущением теории эндогенного технологического роста (Kuznets 1960;
Grossman and Helpman 1991; Aghion and Howitt 1992, 1998; Simon 1977, 1981,
2000; Komlos and Nefedov 2002; Jones 1995, 2003, 2005 и т.д.)[8]. Это допущение
может быть сформулировано следующим образом: «Чем больше людей, тем больше
изобретателей»[19]. Так как это положение было сформулировано (хотя и несколько
другими словами) С. Кузнецом (Kuznets 1960), мы будем обозначать
соответствующий тип динамики как "кузнецианский", в то время как
системы, в которых кузнецианская популяционно-технологическая динамика
сочетается с мальтузианской демографической, будут обозначаться как
"мальтузианско-кузнецианские". В целом, сформулированное выше
допущение представляется нам вполне правдоподобным - действительно, вполне
вероятно, что при прочих равных за данный период времени миллиард человек
сделает где-то в тысячу раз больше изобретений, чем миллион человек.
Математически данное допущение выражено М.
Кремером следующим образом:
Это уравнение «утверждает», что абсолютные темпы
технологического роста в каждый данный момент времени пропорциональны, с одной
стороны, наличному на данный момент уровню технологического развития (чем шире
технологическая база, тем больше изобретений можно сделать на ее основе), а с
другой стороны, они пропорциональны численности населения (чем выше численность
населения, тем больше число потенциальных изобретателей).
Модель М. Кремера дает достаточно простое
объяснение гиперболической тенденции роста численности населения мира,
показывая, что он является результатом действия исключительно простого
механизма - механизма нелинейной положительной обратной связи второго порядка,
которая и генерирует гиперболический рост, известный также как «режим с обострением».
В данном случае эта нелинейная положительная обратная связь второго порядка
выглядит следующим образом: технологический рост - рост потолка несущей
способности земли (расширение экологической ниши) - демографический рост -
больше людей - больше потенциальных изобретателей - ускорение технологического
роста - ускоренный рост несущей способности земли - еще более быстрый
демографический рост - ускоренный рост числа потенциальных изобретателей - еще
более быстрый технологический рост - дальнейшее ускорение темпов роста несущей
способности земли и т.д.
Рис. 2. Блок-схема нелинейной положительной
обратной связи между технологическим развитием и демографическим ростом (первый
вариант)
Эта положительная обратная связь может быть
графически представлена и еще более экономным образом (см. Рис.3.):
Рис.3. Блок-схема нелинейной положительной
обратной связи между технологическим развитием и демографическим ростом (второй
вариант)
Подчеркнем, что связь между технологическим
развитием и демографическим ростом не может анализироваться при помощи
каких-либо простых причинно-следственных моделей, ибо мы имеем здесь дело с
действительно динамическим нелинейным отношением между двумя процессами, когда
каждый из них является и причиной, и следствием другого[14].
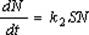
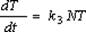
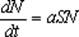
.5 Компактная математическая модель
экономического и демографического роста Мир-Системы
На базе модели М. Кремера российские ученые -
Коротаев, Малков и Халтурина в 2005г разработали математическую модель[14],
которая описывает не только гиперболический рост населения мира, но и
экономическую макродинамику мира вплоть до 1973 г.:
где G это мировой ВВП,
T - уровень технологического развития
Мир-Системы,- численность населения Земли,
а S - "избыточный" продукт,
производимый на одного человека сверх продукта m, минимально необходимого для
простого (с нулевой скоростью роста) (таким образом, S = g - m, где g
обозначает уровень производства ВВП на душу населения);
, k2, k3, и α (0 < α
< 1) - параметры.
Ученые показали, что эта система уравнений может
быть упрощена до следующего вида:
Гиперболический рост численности населения мира
и квадратично-гиперболический рост мирового ВВП представляют собой два
теснейшим образом связанных процесса, две стороны одной медали, двумя
измерениями единого процесса развития Мир-Системы, поддерживаемого механизмом
нелинейной положительной обратной связи между технологическим развитием и
демографическим ростом (см. Рис. 4):
Рис.4. Блок-схема нелинейной положительной
обратной связи между технологическим развитием и демографическим ростом (третий
вариант)
Таким образом, система нелинейных положительных
обратных связей второго порядка с неизбежностью порождает именно
гиперболический рост. Другими словами, долгосрочная тенденция к гиперболическому
росту основных показателей развития Мир-Системы является логичным результатом
нелинейных положительных обратных связей между ее основными субсистемами.
.6 Демографическая модель Сергея Капицы
Именно численность населения выражает собой
суммарный результат экономической, социальной и культурной историй человеческой
деятельности. И такие демографические показатели как расовый и этнический
состав, уровень урбанизации, плотность и география распределения населения,
состояние культуры и образования подчинены главной переменной - общей
численности населения планеты[21].
Сегодня человечество находится в состоянии
демографического перехода. По мнению профессора Капицы, это уникальный процесс,
никогда ранее человечеством не переживаемый[13]. Характеризуется он
прекращением взрывного роста и стабилизацией численности населения. В основе
модели глобального демографического развития, предложенной Сергеем Капицей, -
квадратичный закон роста населения Земли: вначале население увеличивается
незначительными темпами, затем рост ускоряется и по мере приближения к 2000
году устремляется в бесконечность демографического взрыва. По своей сути,
демографический переход является революционным процессом.
На рисунке 5 представлена модель мирового
демографического перехода с 1750 по 2120 годы, график 1 - развитые страны,
график 2 - развивающиеся государства.
демографический рост модель капица
Рис.5. Модель мирового демографического перехода
Математическая модель Сергея Капицы, по мнению ряда
ученых, неплохо описывает первоначальный толчок кривой роста численности и
логично доводит его до сегодняшней ситуации демографического перехода[16; 19;
22 ]. Но остается открытым вопрос о переходе с рассматриваемого
макромоделирования к уровню отдельных стран. Ответ на этот вопрос мог бы
подтвердить или опровергнуть предположение о том, что демографическая
макросистема управляется не принципами внутреннего развития, а посредством
приспособления микроэлементов системы к происходящим изменениям.
На рисунке 6 представлены модели
демографического перехода в приложении к частным ситуациям отдельных стран: 1 -
Швеция, 2 - Германия, 3 - СССР (Россия), 4 - США, 5 - Маврикий, 6 - Шри-Ланка,
7 - Коста-Рика, 8 - Модель.
Рис.6. Частные случаи модели демографического
перехода
Очевидно, не для всех демографов приемлемы общие
математические модели. Некоторые специалисты называют рассуждения Сергея Капицы
сухой теорией аналитических функций и максимально упрощенной моделью. Чаще всего
в практической значимости его рассуждений сомневаются те, кто привык соотносить
степень развития общества с уровнем развития и потребления
топливно-энергетических ресурсов. Оппоненты господинана Капицы считают, что
возвращение к проблеме корреляции демографической системы и системы
социально-экономического развития общества неизбежно.
2. Характеристика демографической ситуации в
мире
Один из величайших парадоксов истории
заключается в том, что небывалые успехи медицины на протяжении двух последних
столетий, казавшиеся одним из главных и наиболее бесспорных доказательств
прогресса, привели к возникновению и небывалых вызовов, на которые человечество
пока не нашло удовлетворительного ответа[4].
Демографические вызовы нового века: вызов
высокой смертности; вызов низкой рождаемости ; вызов демографического старения
; вызов депопуляции ; вызов иммиграции[10].
Основные демографические тренды XXI века[23]
проблемы демографического роста
Общая демография народов земли имеет тенденцию к
росту в геометрической прогрессии параллельно с крайне неравномерным
пространственным распределением этого процесса. Демографический рост порождает
проблему перенаселения, возрастающего дефицита ресурсов, жизненного
пространства, экологии и т.д.
пространственная и культурная дифференциация
демографических процессов
В странах, входящих в состав “богатого Севера” и
некоторых других (преимущественно европейских) секторах Евразии, рост населения
либо нулевой, либо отрицательный. В странах тихоокеанского бассейна и “бедного
Юга” напротив происходит демографический взрыв.
Такое неравновесное состояние ставит серьезные
проблемы, так как количественный показатель народонаселения стран и регионов
оказывается в обратной пропорции с технологическим развитием, геополитическим
могуществом и экономико-технологическим потенциалом.
Помимо всего прочего это обстоятельство
обостряет территориальные проблемы - плотность населения земли крайне
неравномерна. В некоторых (преимущественно азиатских) странах происходит
очевидное перенаселение притом, что огромные регионы особенно пространства
северо-восточной Евразии остаются малозаселенными или незаселенными вовсе.
Есть взгляд, что не следует полностью сбрасывать
со счетов и конспирологическую интерпретацию мировых демографических трендов.
Регулировка рождаемости в странах третьего мира, при ее стимулировании в
развитых государствах, воспринимается многими современными мыслителями
практическим выражением преференций «золотого миллиарда». Конспирология не
просто утверждает возможность управления процессами демографии, но и выдвигает
тезис об ее управляемости в планетарном масштабе, как реализованной
политической реальности. Российская депопуляция в этой связи представляется в
качестве инициированного свыше (или извне) спланированного явления. [6]
Взятая за основу сценарного прогнозирования
развития мира теория «золотого миллиарда» ориентирует мондиалистские структуры
на проведение политики сокращения темпов естественного воспроизводства
населения. Удивительным образом, всеобщий устойчивый спад рождаемости оказался
синхронизирован с началом активизации неомальтузианских разработок.
Идеологическим знаменем неомальтузианства явились доклады Римского клуба. Их
лейтмотивом стала концепция «нулевого роста», раскрываемого как в применении к
экономике, так и народонаселению.
Целенаправленная деятельность США по сокращению
рождаемости в третьем мире признается ныне даже сторонниками теории
демографической модернизации (А.Г. Вишневский). [6] Именно в Соединенных Штатах
находятся крупнейшие мировые центры планирования семьи. В ракурсе
конспирологического объяснения особого внимания заслуживает резонанс
распространения СПИДа, следствием которого явилось не только повышение уровня
смертности, но и ограничение, ввиду внедрения средств контрацепции,
рождаемости. Некоторое время программы планирования семьи реализовывались и в
Российской Федерации. Однако политика ограничения естественного воспроизводства
зачастую вызывает широкие народные протесты то в одном, то в другом регионе
мира. Данный мотив явился, в частности, одним из главных обстоятельств падения
правительства Индиры Ганди в Индии в 1977 г
.1 Мировой демографический взрыв
Демографическая ситуация в мире в последнее
время стала одной из злободневных социально-экономических проблем. Если в 1000
году население Земли состояло из 275 млн. человек, то к 1900 году нас стало 1,6
миллиарда. В 1988 году родился пятимиллиардный землянин, а уже в начале
третьего тысячелетия на планете появился на свет шестимиллиардный ребенок. По
прогнозам специалистов, к концу этого десятилетия население Земли может
составить 10-11 млрд., человек.[11]
ХХ век стал веком стремительного снижения
смертности и роста продолжительности жизни во всем мире, а это привело к
беспрецедентному росту населения планеты. Правда, впервые необычное ускорение
демографического роста за счет растущего преобладания числа рождений над числом
смертей было отмечено еще в XIX веке. Но тогда оно наблюдалось только в Европе
и, по сравнению с ускорением роста населения в XX веке, было небольшим.
Рисунок 7. Рост мирового населения между 400
годом до н.э. и 2000 годом
Во второй половине XX в. рост населения приобрел
лавинообразный характер. Населению земного шара понадобилось 121 год, чтобы
вырасти с одного до двух миллиардов человек, этот рубеж был достигнут в 1926
году; на новый миллиард ушло 34 года, следующий миллиард добавился за 14 лет,
затем - за 13, увеличение населения с 5 до 6 миллиардов человек заняло 12 лет и
завершилось в 1999 году. Темпы роста мирового населения достигли максимума в
60-е годы, в последние три десятилетия XX века они постепенно снижались, но все
еще остаются высокими. Темпы демографического роста в первой половине XXI
столетия ниже, чем во второй половине XX-го. Согласно среднему варианту
прогноза ООН, увеличение мирового населения с 6 до 7 миллиардов займет 13 лет,
с 7 до 8 - 14, с 8 до 9 - 17 лет. Существуют и другие прогнозы, предсказывающие
более скорое замедление роста мирового населения. Но в любом случае в середине
XXI века на Земле будет жить примерно в 5 - 7 раз больше людей, чем в начале
XX-го[2].
Рисунок 8. Рост мирового населения между 1750 и
2000 годами
Сегодня глобальная демографическая проблема -
продолжающийся рост населения в Китае (сегодня порядка 1,4 млрд. жителей).
Многие провинции страны перенаселены. Правительство проводит политику
ограничения количества детей в семьях. Однако это нередко приводит к тому, что
"сверхнормативных" детей китайские семьи до поры до времени скрывают,
а затем отправляют на поиски лучшей жизни, в том числе за границу. В тех
странах, куда переселяются китайцы, появляются свои проблемы. Они связаны с
тем, что выходцы из Поднебесной практически не поддаются ассимиляции: китайские
диаспоры живут компактно, по своим законам. Сегодня "чайнатауны" есть
практически во всех более-менее развитых государствах.
Недавно демографы отметили еще более тревожные
тенденции в демографии КНР. Там рождается все больше мальчиков. Если обычный
баланс полов выражается пропорцией 105 мужчин на 100 женщин, то в Китае в 2007
году он составлял соответственно 117 к 100. Причем демографическая политика
властей, направленная на сокращение прироста населения в сочетании с
традиционным стремлением каждой китайской семьи родить мальчика, только
усугубляет эту тенденцию: родители принимают нелегкое решение медицинским путем
избавиться от эмбрионов женского пола. На недавнем Международном конгрессе
демографов в Туре (Франция) американские ученые предоставили прогноз, согласно
которому между 2015 и 2030 годами взрослых мужчин в Китае будет на 25 млн.
больше, чем женщин[10].
Избыток мужского населения, особенно учитывая
перенаселенность КНР, означает в лучшем случае "трудовую миграцию",
масштабы которой сопоставимы с Великим переселением народов. Это опасность
реальная, поскольку "избыточные" мальчики уже рождаются в Китае.
Причем в данном случае прогноз ученых рассчитан как раз с учетом того, что
нынешние тенденции будут ослаблены. А если все же представить, что китайское
правительство, отдающее себе отчет в остроте проблемы, не сможет все же
справиться с ростом населения, то "избыточных" жителей Поднебесной
может оказаться гораздо больше, чем 25 миллионов. Ведь пропорция 117 к 100 в
приложении к населению Китая дает перевес мужского населения над женским более
чем в 100 миллионов человек.
Резкое снижение численности населения в развитых
странах - самая опасная угроза[22].
Указанная глобальная негативная тенденция будет
иметь наиболее существенное значение для мирового сообщества. Для России она
приобретает явные черты грядущей катастрофы.
Достаточно стремительное старение населения
указанных стран не будет компенсироваться новорожденными.
Тем не менее, необходимо отметить, что в США в
настоящее время уже возникают тенденции, которые позволят устранить или
существенно снизить угрозу демографического кризиса.
Рис. 9. Негативные тенденции будущего населения
мира (млн.)

Тенденция снижения количества детей в семье
затронули практически все индустриальные страны.
Также заметно, что все развитые страны
озаботились вопросами демографии. Некоторые из них смогли преодолеть указанные
негативные тенденции (примером являются скандинавские страны). [1]
Рис.11. Количество детей в семье (на одну
женщину)
Прогнозный рост числа рожденных будет иметь
место с 2030-2035г.г..
Тем не менее, изменение тенденции уже не будет
иметь каких-либо положительных последствий для существенного числа стран,
включая и Россию .
Рис.12. Прогнозируемое ежегодное изменение
численности населения (2008-2020), %
Согласно большинству прогнозов Россия - основной
реципиент демографического шока среди ведущих стран мира.
Однако Россия осталась в стороне от вызова
старения нации. Пока Россия может не жаловаться на демографическую нагрузку.
Россия не относится к числу стран с самым старым
населением, сейчас в большинстве европейских государств оно старше. Согласно
последним данным, опубликованным на сайте ООН, в 2008 г. среди 228 стран мира
по доле лиц в возрасте 60 лет и старше по Россия занимает 44-е место, по
показателю медианного возраста - 33-е, а по индексу старения - 30-е. Как
показывает рис. 13, в настоящее время по степени старения население России
несколько моложе населения Восточной Европы[13], но существенно моложе
населения остальных европейских стран и Японии. Что касается сравнения с США,
то медианный возраст в России выше, доля пожилых (60 лет и старше) - примерно
такая же, а доля самых старых (80 лет и старше) - ниже. Именно по последнему
показателю различия между Россией и остальными странами наиболее велики (см.
также табл. 1).
Рисунок 13. Медианный возраст: сравнение России
с другими странами
Таблица 1. Характеристики населения в возрасте
60 лет и старше, 2008 г.
|
Страна
/ регион
|
Население
в возрасте 60 лет и старше:
|
Мужчин
на 100 женщин
|
Продол-житель-ность
жизни в возрасте 60 лет
|
|
Процент
в насе-лении
|
Процент
насе-ления 80 лет и старше
|
Процент
состоящих в браке
|
Процент
одиноких
|
Процент
занятых
|
|
|
|
|
|
муж/жен
|
муж/жен
|
муж/жен
|
60+
|
80+
|
муж/жен
|
|
Северная
Европа
|
21
|
21
|
74
/ 50
|
21
/ 44
|
20
/ 8
|
78
|
50
|
19
/ 23
|
|
Южная
Европа
|
23
|
19
|
81
/ 48
|
9
/ 26
|
16
/ 6
|
76
|
52
|
20
/ 24
|
|
Западная
Европа
|
23
|
20
|
76
/ 45
|
15
/ 43
|
11
/ 5
|
75
|
42
|
20
/ 25
|
|
Восточная
Европа
|
18
|
14
|
83
/ 47
|
11
/ 31
|
16
/ 7
|
57
|
33
|
15
/ 19
|
|
РФ
|
17
|
14
|
87
/ 53 *
|
10
/ 31
|
51
|
26
|
14
/ 19
|
|
США
|
17
|
21
|
75
/ 48 *
|
15
/ 35
|
30
/ 19
|
77
|
54
|
20
/ 24
|
|
Япония
|
27
|
19
|
86
/ 53 *
|
-
13 -
|
41
/ 19
|
78
|
47
|
22
/ 27
|
Два фактора способствуют более низкой доле
населения в возрасте 80 лет и старше: высокая смертность на протяжении четырех
последних десятилетий и людские потери поколений, принимавших активное участие
во Второй мировой войне. Оба фактора, в первую очередь, важны для мужского
населения. Неудивительно поэтому, что Россия отличается самым низким
соотношением полов в старших возрастах (табл. 1). В то же время большинство пожилых
в России состоит в браке и, за исключением Японии и стран Южной Европы, среди
них реже встречаются одиноко проживающие. Экономическая активность пожилого
населения России одна из самых высоких в Европе, но значительно ниже, чем в
Японии и в США.
Благодаря относительной молодости своего
население Россия имеет и самые низкие уровни демографической нагрузки. Но если
нагрузка пожилыми у нас на протяжении более полувека была одной из самых низких
среди сравниваемых стран и регионов, то нагрузка детьми, напротив, вплоть до
начала 1990-х была одной самых высоких. Именно резкое падение нагрузки детьми в
1990-х привело к тому, что сейчас показатель обшей нагрузки в России стал самым
низким для рассматриваемой группы за весь период, начиная с 1950 г.
.2 Демографические прогнозы - какие вызовы нас
ожидают и чем на них ответить
Прогнозы предсказывают дальнейшее сокращение
рождаемости, а вслед за ним - и прекращение роста мирового населения. Более
того, поскольку рождаемость сокращается даже быстрее, чем предполагали еще 30
лет назад, эксперты корректируют прогнозы в сторону более быстрого замедления
роста населения мира. Прогноз на конец ХХ века оказался очень точным, но на
2050 год он был основательно скорректирован. Если в 1973 году, по среднему
варианту прогноза ООН, ожидалось, что к этому времени на Земле будет жить 11,2
млрд. человек, то в 1994 году эта оценка понизилась до 9,8 млрд., в 1998 - до
8,9 млрд. Правда, два года спустя она снова повысилась до 9,3 млрд. Самый
последний прогноз, выполненный в 2002 году, снова возвращает нас к 8,9 млрд.,
но впервые за все время послевоенных прогнозов сокращение ожидаемой численности
населения отчасти (на 50%) связано не с сокращением рождаемости, а с подъемом
смертности (от СПИДа)[9].
Если глобальные демографически прогнозы до
середины XXI века можно считать более или менее реалистичными, то их продление
на более отдаленные периоды опирается в значительной мере не на реально
наблюдаемые тенденции, а на некие концептуальные представления о них,
умозрительные и, с моей точки зрения, весьма спорные.
В демографической литературе преобладает
идеология "нулевого роста", стабилизации численности населения мира и
его регионов после того, как она достигнет максимума. Соответственно принято
считать, что стабилизируется и уровень рождаемости. При этом падение
рождаемости значительно ниже уровня простого возобновления поколений, которое
наблюдается сейчас в развитых странах, рассматривается как прискорбное
демографическое извращение, которое не может продолжаться долго, а нормальной
следует считать рождаемость, соответствующую именно этому уровню. При низкой
смертности это чуть больше двух рождений на одну женщину - показатель, на
который и выруливают все прогнозы, касающиеся отдаленного будущего.
Так построен и недавний сверхдолгосрочный - на
300 лет - демографический прогноз ООН. Его "средний", т.е. наиболее
часто цитируемый и вообще как бы считающийся наиболее правдоподобным вариант
полностью соответствует этому умозрительному идеалу. Предполагается, что к
середине века демографический взрыв в мировых масштабах в основном завершится,
к 2075 году численность населения планеты достигнет максимума в 9,2 млрд.
человек и затем практически стабилизируется на уровне, близком к 9 миллиардам.
Правда, другие основные варианты - «высокий» и
«низкий» - допускают стабилизацию рождаемости на более высоком или менее
высоком уровне. Соответственно и динамика мирового населения будет иной. В
первом случае, при стабилизации рождаемости на уровне 2,35 рождения на одну
женщину (на 15% выше уровня простого воспроизводства), население Земли к концу
века превысит 14 млрд. человек и будет продолжать расти. Во втором случае, при
стабилизации рождаемости на уровне 1,85 рождения на одну женщину (на 10% ниже
уровня простого воспроизводства), уже после 2040 года, население мира, едва
преодолев планку в 7,5 млрд. человек, начнет сокращаться - до 5,5 млрд. в конце
XXI века, до 3,2 млрд. в конце XXII и до 2,3 млрд. человек в конце XXIII века
(рис. 14).
Рис. 14. Численность мирового населения по трем
вариантам долговременного прогноза ООН. 1950-2300, млрд. человек
Сейчас происходит смена динамической модели
роста численности населения (экспоненциальный рост кончился).
Таблица.2. Эволюция показателей воспроизводства
населения мира:
|
Годы,
периоды
|
Рождаемость
|
Смертность
|
Естественный
прирост
|
Ротация
|
|
1900-1905
|
45
|
35
|
10
|
80
|
|
1950-1955
|
37
|
20
|
17
|
57
|
|
1995-2000
|
23
|
9
|
14
|
32
|
|
2025
|
17
|
8
|
9
|
25
|
В таблице 3. отражена динамика коэффициента
суммарной рождаемости
Таблица 3. Коэффициент суммарной рождаемости,
2002-2008
|
Страна
|
Годы
|
|
2002
|
2003
|
2004
|
2005
|
2006
|
2007
|
2008
|
|
Австралия
|
1,77
|
1,77
|
1,76
|
1,76
|
1,76
|
1,76
|
|
Великобритания
|
1,64
|
1,63
|
1,64
|
1,71
|
1,76
|
1,78
|
1,66
|
|
Германия
|
1,38
|
1,35
|
1,31
|
1,34
|
1,36
|
1,34
|
1,39
|
|
Греция
|
1,27
|
1,25
|
1,27
|
1,28
|
1,30
|
1,33
|
1,34
|
|
Дания
|
1,77
|
1,74
|
1,72
|
1,76
|
1,78
|
1,80
|
1,74
|
|
Италия
|
1,24
|
1,25
|
1,26
|
1,26
|
1,33
|
1,31
|
1,28
|
|
Россия
|
1,19
|
1,22
|
1,29
|
1,32
|
1,34
|
1,38
|
1,38
|
|
Словакия
|
1,30
|
1,20
|
1,18
|
1,20
|
1,24
|
1,25
|
1,33
|
|
Франция
|
1,88
|
1,88
|
1,87
|
1,88
|
1,92
|
1,94
|
1,99
|
2,06
|
2,03
|
2,01
|
2,04
|
2,05
|
2,08
|
2,09
|
|
Швейцария
|
1,50
|
1,38
|
1,39
|
1,39
|
1,42
|
1,42
|
1,43
|
|
Эстония
|
1,33
|
1,34
|
1,37
|
1,37
|
1,47
|
1,50
|
1,40
|
|
Япония
|
1,36
|
1,34
|
1,33
|
1,30
|
1,29
|
1,25
|
1,24
|
Средняя величина суммарного коэффициента по 15
странам Евросоюза составила соответственно 1,47-1,52, по 25 странам ЕС
1,52-1,50 ребенка, т.е. почти на 0,5 ребенка меньше, чем в 70-е годы (в среднем
снижение на 0,25 детей за декаду).
Анализ таблицы показывает, что среднее число
детей, рожденных одной женщиной не превышает прогнозный уровень. Ни в одной из
стран не наблюдается резких колебаний показателя, что является результатом
демографической политики каждой страны.
В развитых странах основным ответом на
демографический вызов высокой смертности правительства ответили средствами
стимулирования рождаемости и увеличения продолжительности жизни при рождении.
За последние 40 лет ожидаемая продолжительность
жизни при рождении увеличилась на восемь лет. Несмотря на то, что ожидаемая
продолжительность жизни для мальчиков по-прежнему ниже, чем для девочек, разрыв
в показателях для мужчин и женщин постепенно сокращается. Если в 1980 году он
составлял 7,0 года (69,8 года для мужчин, 76,8 года для женщин), то в 2004 году
- 6,4 года (74,9 и 81,3 года, соответственно). Япония превосходит Европейский
Союз по продолжительности жизни и мужчин, и женщин (77,7 и 84,5 года,
соответственно), а в США эти показатели несколько ниже, чем в Европе-25 (74,6 и
80,4 года).
Быстро растет продолжительность жизни в менее
развитых странах мира. В Китае она составила в 2004 году 70,4 года для мужчин и
73,7 для женщин, в Индии - соответственно, 63,2 и 64,8 года, в остальных менее
развитых странах - 58,7 и 61,9 года.
В странах Европейского Союза ожидаемая при
рождении продолжительность жизни мальчиков варьировала в 2004 году от 78,4 года
в Швеции до 65,5 года в Латвии, а девочек - от 83,8 года в Испании до 76,9 года
в Венгрии и Эстонии. Различия в продолжительности жизни мужчин и женщин
составляли около 4 лет в Швеции, на Кипре и Мальте, а в странах Балтии - 11-12
лет.
Таким образом, современному человечеству, живущему
в условиях демографического взрыва, приходится одновременно решать две
взаимосвязанные задачи.
Первая из них порождена самим ускорением роста
населения и заключается в том, чтобы просто ответить на демографический вызов.
Так как население мира растет взрывными темпами, рост производства так же
должен быть взрывоподобным - это необходимо, чтобы не допустить отката
человечества назад, снижения достигнутого уровня благосостояния населения
Земли, разрушения уже существующих систем жизнеобеспечения или падения их
эффективности. Эта задача заведомо не может быть решена на базе традиционных
низкоэффективных методов хозяйствования[3]. Даже для того, чтобы просто
прокормить дополнительные миллиарды людей в развивающихся странах, необходим
невиданный рост производства продуктов питания, а это требует внедрения
современных сельскохозяйственных технологий, основанных на широком применении
машин, удобрений, новейших методов ирригации и пр. Быстро увеличивающаяся
плотность населения, и, как следствие, его новое территориальное распределение,
бурная урбанизация, возникновение множества крупных и крупнейших городов резко
повышают требования к элементарному качеству жилищ, минимальному уровню
бытового и санитарного комфорта, транспортного обслуживания и т.д. Везде становится
необходимым крупномасштабное городское и дорожное строительство, сооружение
дорогостоящих инженерных сетей, создание надежных источников водоснабжения,
использование огромного количества транспортных средств, привлечение новых
энергетических ресурсов. Вся система жизнеобеспечения населения становится
другой, и для того, чтобы создать и поддерживать эту новую систему
жизнеобеспечения, более бедные, преимущественно аграрные страны вынуждены
модернизироваться, внедрять новейшие технологии, развивать собственную
промышленность, систему образования и подготовки кадров, здравоохранение, одним
словом, все то, что уже существует в странах более богатых.
Таким образом, из первой задачи автоматически
вытекает вторая: не просто удержать среднедушевой уровень богатства на прежнем
уровне, но резко повысить его с тем, чтобы получить средства для проведения
ресурсоемкой модернизации. Эти внутренние побуждения к модернизации соединяются
с внешними, связанными с неравномерностью мирового развития. Существование богатых
индустриально развитых стран с достигнутыми ими высокими стандартами
потребления, здравоохранения, образования и т. д., в свою очередь, создает
мощный стимул модернизации бедных аграрных стран, которые тоже хотят стать
промышленно развитыми и богатыми[10].
Заключение
Результаты демографических исследований
востребованы политиками и экономистами для построения самого разного рода
сценариев, при этом примерно с середины прошлого века принято за аксиому, что
демографические показатели детерминированы комплексом социально-экономических
факторов. Но в условиях глобализации становится все более понятно, что
демографическая ситуация и ее мировые тренды и вызовы определяют масштабность и
значимость всех остальных проблем - структурных изменений в экономике, глобальной
безопасности, исчерпаемости ресурсов и производства энергии. Именно общая
численность населения становится важнейшим и универсальным показателем для
описания состояния человечества.
Именно численность населения выражает собой
суммарный результат экономической, социальной и культурной историй человеческой
деятельности. И такие демографические показатели как расовый и этнический
состав, уровень урбанизации, плотность и география распределения населения,
состояние культуры и образования подчинены главной переменной - общей
численности населения планеты.
Сегодня человечество находится в состоянии
демографического перехода. Это уникальный процесс, никогда ранее человечеством
не переживаемый. Характеризуется он прекращением взрывного роста и
стабилизацией численности населения, что и обусловило следующие тренды и
вызовы: Демографические вызовы нового века: вызов высокой смертности; вызов
низкой рождаемости; вызов демографического старения ; вызов депопуляции ; вызов
иммиграции.
Основные демографические тренды XXI века:
проблемы демографического роста
- пространственная и культурная дифференциация
демографических процессов
Список использованной литературы
1.
Демографический ежегодник России. 2008: Статистический сборник. М., 2009. С.
262.
2.
Демографический ежегодник России. 2006. Москва, Федеральная служба
государственной статистики, 2006
3.
Антонов А. И., Борисов В. А., Медков В. М., Синельников А. Б. Демография.
Учебно-методический комплекс. М.:Эксперт.:- 2007
4.
Багдасарян В. Э. Управляема ли демография? //Власть- 2006. - №10
5.
Борисов В. А. Редактор-составитель А. И. Антонов Демографическая дезорганизация
России: 1897-2007. Избранные демографические труды.М.:Юнити -2008
.
Вишневский А. Проблемы демографии.Мировой демографический взрыв и антропогенное
давление на климат//Изменения климата и здоровье населения России в XXI веке.
Сборник материалов международного семинара (5-6 апреля 2004 г.) / Под ред. Н.Ф.
Измерова, Б.А. Ревича, Э.И. Коренберга. М.: Издательское товарищество
"АдамантЪ", 2004. с. 34-43)
.
Вишневский А. Демографическая ситуация в стране и мире//Антропоток. - 2008. -№
3
8.
Галецкий В. . Феномен демографической глобализации. //Комерсантъ - 2009. - № 24
региональный выпуск
9.
Дугин А.. Евразийский Путь как Национальная Идея. Москва.:Дашков и К.- 2005
.
Жизнедеятельность населения и антропоэкологическое образование на грани веков.
Под редакцией Б.Б. Прохорова, Л.С. Белоконь. Тезисы Всероссийской научной
конференции. Москва, - 2007 г.
11.
Жиль Пизон. «Все страны мира (2003)». Население и общество. Инф. бюлл. ЦДЭЧ.
2003. №74.
12.
Клупт М. Демография регионов Земли.М.:Эксперт. - 2005
.
Ковалева О., Демографическая модель Сергея Капицы//Эксперт- OPEC. - 2007. - №
12
.
Коротаев, А. В., Комарова Н. Л., Халтурина Д. А. Законы истории. Вековые циклы
и тысячелетние тренды. Демография, экономика, войны . 2-е изд. М.: УРСС, 2007.
С. 7-47.
.
Медков В.М. Демография: Учебник.М.:Эксперт.- 2004
16.
Падение рождаемости, кризис семьи и неизбежность депопуляции в Европе в первой
половине XXI века (социологический подход)//Демографические исследования. -
2008, № 6
17.
Практическая демография. Коллектив авторов, под редакцией Рыбаковского Л.Л.
СПб.:Питер. - 2009
.
Райнер Клинхольц, Демографическое будущее: год 2020-й//Эксперт Сибирь- №21
(209)/26 мая 2009
19.
Соболевская О. Демографический суперпроект - вызов экономике? //Эксперт. -2008.
- №4
.
Социология семьи. Под ред. А. И. Антонова. М.2005.
21.
Сухов А.Н. Миграция в Европе и ее последствия : учебное пособие. СПб.: Питер -
2007.
.
Толстопятов И. Младенцы, старики и пришельцы//Политический журнал.- 2007 - №11
.
Щербакова Е. Рождаемость снизится с 2,65 до 2,05 ребенка на женщину //
Демоскоп. 2006. №2- 3.
25.
Щербакова Е. Младенческая смертность в ЕС-25 снизилась до 4,5‰, а
продолжительность жизни выросла до 74,9 года для мужчин и 81,3 года для
женщин//Демоскоп - 2007 - №5