Статистический анализ текстов различных авторов на основе их морфологических характеристик
Содержание
Введение
1. Сбор и подготовка данных
2. Двухфакторный дисперсный анализ
2.1 Часть речи: имя существительное
2.2 Часть речи: глагол
2.3 Часть речи: имя прилагательное
2.4 Служебные части речи
Заключение
Введение
Сегодня одной из актуальнейших задач издательского дела
является моделирование и оптимизация редакционно-издательских процессов.
Математическое моделирование типовых технологических процессов используется для
статистического анализа и прогнозирования с целью обеспечения эффективной работы
издательства.
Основой данного курсового проекта является статистический
анализ текста на основе его морфологических характеристик. То есть в каком-либо
произведении выбирается по три отрывка величиной ровно в 100, 200, 300, 400 и
500 символов. Произведений различных авторов должно быть три, соответственно в
сумме будет проанализировано 15 отрывков. В каждом отрывке необходимо
подсчитать количество существительных, прилагательных, глаголов и служебных
частей речи - то есть проанализировать текст с морфологической точки зрения.
При этом остальные части речи также составляют определенный процент от общего
объема, но в дальнейших расчетах не участвуют.
Морфологический состав текста рассматривается в зависимости
от двух факторов: объема текстового отрывка и авторского стиля. Сбор и анализ
статистических данных осуществляется на основе метода дисперсионного, или
вариантного, анализа, разработанного английским математиком и биологом Робертом
Фишером для нужд биологической статистики.
1. Сбор и
подготовка данных
Влияние тех или иных факторов никогда не может быть выделено
в чистом виде. Объясняется это тем, что на результаты опытов влияют
многочисленные случайные обстоятельства, факторы, меняющиеся от опыта к опыту и
не поддающиеся контролю. Метод дисперсного анализа позволяет учесть влияние и
основных факторов, и множества случайных, неконтролируемых.
Для проведения дисперсного анализа было подсчитано количество
разных частей речи (существительных, глаголов, прилагательных и служебных) -
так называемые варианты, - в отрывках из 3 произведений: "Ева
Луна" Исабель Альенде, "Вторая попытка. Управление
случайностями" Катерины Тильман и "Ледяной дворец" Френсиса
Скотта Фицджеральда.
Для анализа влияния объема текста из каждого произведения
было взято 15 отрывков величиной 100, 200, 300, 400 и 500 символов. Причем на
каждый объем приходится по три разных отрывка - для определения отклонения в
группе. Для анализа влияния авторского стиля были изучены произведения трех
авторов. В совокупности собранные данные использовались для описанного ниже
двухфакторного дисперсного анализа.
Таблица 1.1
Текст 1. Исабель Альенде, "Ева Луна"
|
Символы
|
Отрывок
|
|
|
|
100
|
Меня зовут Ева,
что означает жизнь, по крайней мере, так было написано в книге, по которой
мама выби
|
|
Сначала их путь
на каноэ лежал по бесконечным притокам огромной реки, через
умопомрачительные, подав
|
|
Она
отказывалась верить, что жалкое, чахлое солнце, освещавшее монастырский двор,
и есть то самое не
|
|
200
|
Я родилась в
самой дальней комнате темного, сумрачного дома и росла среди старой мебели,
книг на латыни и человеческих мумий, что, впрочем, не смогло привить мне
склонности к меланхолии, ибо появилась
|
|
Время в тех
краях течет неравномерно, расстояния обманчивы и само пространство
искривлено: неопытный путешественник будет ходить там по кругу, раз за разом
возвращаясь к исходной точке своего пути. Гу
|
|
Подплывая к
деревне, любой путешественник мог еще издалека разглядеть Консуэло: ее рыжие
волосы языком пламени плясали на фоне вечной зелени окружающей деревню
сельвы. Ее товарищами по детским играм б
|
|
300
|
Мой отец,
индеец с янтарными глазами, был родом из тех краев, где сливаются воедино сто
рек; от него пахло лесом, а еще он никогда не смотрел на небо прямо и
открыто, поскольку вырос под сводчатым потолком джунглей и подсматривать за
обнаженным небом казалось ему почти непристойным. Консуэло, моя ма
|
|
Неподвижная, то
и дело бледнея от бушующих в ее голове мыслей и образов, сложив на груди
руки, Консуэло часами неподвижно стояла перед алтарем в часовне; монахини
стали даже поговаривать о том, что девочка блаженная, что ее посещают
божественные видения; впрочем, по мнению матери-настоятельницы, кат
|
|
Этому человеку
предстояло стать единственным хозяином в жизни Консуэло; сам он долгие годы
занимался разработкой и совершенствованием методики бальзамирования и
консервации тел умерших: человечество даже не догадывается, какую услугу
оказал ему профессор Джонс, унеся эту тайну с собой в могилу. Кром
|
|
400
|
От нее
требовали присутствовать на службах, помогать и время от времени посещать
уроки чтения, арифметики и катехизиса; все остальное время она познавала мир
так, как считала нужным: флору она постигала на вкус и на запах, за фауной
гонялась, насколько хватало сил и ловкости, а воображение и память ее
наполняли бесчисленные образы, цвета и ароматы, сказки и истории, мифы и
легенды, принесенные рек
|
|
Ей было 12,
когда она познакомилась с одним человеком - закаленным солнцем и непогодой
португальцем, на первый взгляд сухим и суровым, но полным внутреннего света и
радости. Он повсюду с собой таскал кур, которые отличались невероятной, даже
по куриным меркам, страстью ко всему блестящему: как мародеры в захваченной
деревне, они жадно склевывали все яркое и сверкающее, что попадалось им на
|
|
Следуя той же
логике, он провел множество экспериментов по исследованию воздействия ударов
разной силы по головам подопытных - слабоумных с рождения или по призванию;
эти исследования он проводил на основании статьи, вычитанной в одном из
номеров "Эскулапа", где описывался курьезный с точки зрения медицины
случай: якобы кто-то где-то после мозговой травмы превратился из заурядного
человека в гения
|
|
500
|
Как только
Консуэло удалось побороть в себе страх от первой встречи с профессором и
принять мясницкий фартук и могильный запах, исходивший от хозяина, как неотъемлемые,
но незначительные детали его образа, она почувствовала себя в его особняке
как дома. Сам он оказался вполне сносным человеком, легкоранимым, а порой
вызывающим что-то вроде сочувствия или даже симпатии. В общем, по сравнению с
монастырем жизнь в доме профессора показалась Консуэло раем: здесь никому и в
голову не приходило встава
|
|
Дом был набит
книгами: стеллажи и книжные шкафы превращали внутреннее пространство в
настоящий лабиринт. Книжные полки тянулись практически по всем стенам от пола
до потолка: бесконечные ряды томов в кожаных переплетах поражали воображение;
блестящие полупрозрачные страницы, золотые обрезы и тисненые буквы названий -
казалось, на этих полках представлена в печатной форме вся мудрость,
накопленная человечеством. Книги стояли на полках в полном беспорядке:
профессор без всякой системы, без всякого
|
|
Девушка
аккуратно брала в руки каждый том, нежно, словно лаская, стирала с него пыль
и позволяла себе роскошь на пару минут погрузиться в неведомый внутренний мир
незнакомой книги, открыв ее наугад, на первой попавшейся странице.
Мало-помалу она стала узнавать те книги, что уже попадались ей в руки, и
постепенно запомнила тот порядок, в котором они располагались на полках. Она
так и не решилась попросить у хозяина разрешения брать книги к себе в комнату
и читать. По вечерам она тайком снимала ка
|
Таблица 1.2
Содержание некоторых частей речи в тексте 1, слов и %
|
Символы
|
№
|
Всего слов
|
Существительные
|
Глаголы
|
Прилагательные
|
Служебные ч. р.
|
|
|
|
Число
|
Процент
|
Число
|
Процент
|
Число
|
Процент
|
Число
|
Процент
|
|
100
|
1
|
18
|
5
|
27,8
|
3
|
16,7
|
1
|
5,6
|
5
|
27,8
|
|
2
|
14
|
4
|
28,6
|
1
|
7,1
|
3
|
21,4
|
3
|
21,4
|
|
3
|
15
|
2
|
13,3
|
3
|
20,0
|
3
|
20,0
|
2
|
13,3
|
|
200
|
1
|
31
|
8
|
25,8
|
5
|
16,1
|
5
|
16,1
|
9
|
29,0
|
|
2
|
29
|
8
|
27,6
|
3
|
10,3
|
3
|
10,3
|
4
|
13,8
|
|
3
|
29
|
12
|
41,4
|
3
|
10,3
|
3
|
10,3
|
3
|
10,3
|
|
300
|
1
|
49
|
12
|
24,5
|
7
|
14,3
|
3
|
6,1
|
13
|
26,5
|
|
2
|
44
|
15
|
34,1
|
4
|
9,1
|
2
|
4,5
|
12
|
27,3
|
|
3
|
41
|
18
|
43,9
|
5
|
12,2
|
2
|
4,9
|
8
|
19,5
|
|
400
|
1
|
62
|
22
|
35,5
|
10
|
16,1
|
3
|
4,8
|
17
|
27,4
|
|
2
|
59
|
12
|
20,3
|
6
|
10,2
|
7
|
11,9
|
18
|
30,5
|
|
3
|
56
|
21
|
37,5
|
4
|
7,1
|
6
|
10,7
|
16
|
28,6
|
|
500
|
1
|
75
|
21
|
28,0
|
7
|
9,3
|
6
|
8,0
|
23
|
30,7
|
|
2
|
67
|
27
|
40,3
|
6
|
9,0
|
11
|
16,4
|
13
|
19,4
|
|
3
|
81
|
19
|
23,5
|
14
|
17,3
|
3
|
3,7
|
21
|
25,9
|
Таблица 1.3
Текст 2. Катерина Тильман, "Управление случайностями.
Вторая попытка"
|
Символы
|
Отрывок
|
|
|
|
100
|
К примеру, в
крупном городе раз в пять дней раздается выстрел. Так утверждает статистика. Но
если ты
|
|
Вопреки
ожиданиям, Диана не заявила, что лично для Юли раздельное обучение было бы
несомненным благо
|
|
Заумные
рассуждения всегда угнетали Юлю: на них трудно что-то возразить, даже когда
понимаешь их вну
|
|
200
|
Но все-таки Юля
пошла. Как бы там ни было, она не могла жить спокойно, не удовлетворив своего
любопытства относительно грустных гремлинов, подсознания и прочих
странностей. К тому же Юле показалось, чт
|
|
Но держалась
она всегда с достоинством и была очень интересной собеседницей. Юля обнаружила,
что ее новая знакомая прекрасно знает историю, более того, умеет интересно о
ней рассказывать - дар, которы
|
|
Как-то
воскресным утром Юля сидела на диване и ощущала себя глупой, мелкой и никому
не нужной. Эти чувства появлялись у нее периодически, когда после
каких-нибудь неприятностей она задумывалась о свое
|
|
300
|
С первых дней
учебы в Политехническом Юля принимала участие в спектаклях студенческого
театра. И, надо признать, это нравилось ей гораздо больше лекций и семинаров!
И поэтому, узнав о предстоящем конкурсе любительских театров, Юля
взволновалась чрезвычайно. С этой новостью она, не заходя домой, приб
|
|
Встретившись,
как обычно, с бывшими одноклассниками и друзьями детства, Юля порадовалась,
но недолго. Чем дальше, тем заметнее становились различия: кто-то
целеустремленно двигался вперед, предвкушая будущие успехи - и этим
счастливцам было непросто понять тех, кто уже испытал разочарования или поте
|
|
Говорят -
человек жив надеждой, а если эту надежду у него отнять? Останется реальность…
Но как недостаточно только надежды, так и недостаточно только реальности.
Тонечка часто говорила: "Если ты поймешь, что у тебя осталось в жизни
что-то одно, покончи c собой, пока это у тебя еще осталось, потому что
|
|
|
|
400
|
Юля боролась с
этим, как могла - какого черта, ей только двадцать лет, еще рано
разочаровываться в жизни! Она много читала, ходила в кино, поступила на курсы
шитья, покупала билеты на концерты, соблазняла всех подряд, бывала на всех
доступных вечеринках, ездила на выходные за город… Но все это давало только
временное облегчение! Если бы Юле год назад кто-то сказал, что с ней случится
такое, она см
|
|
Юля с сомнением
покачала головой. Романтик-идеалист в таких условиях обязательно кинулся бы в
бой, а не отсиживался бы молча в углу! Нет, тут что-то другое… Но она не
стала спорить с Тонечкой: какая разница, в конце-то концов, если знакомство
все равно не состоялось! Ее волновало другое: почему все остальные вели себя
так агрессивно? Странно это было для обычно спокойной и доброжелательной к
нович
|
|
На столе стоял
самый обыкновенный, но как-то очень значительно выглядевший стакан с
остатками жидкости. Юле страшно было даже прикоснуться к нему… В первый
момент ей захотелось убежать, но постепенно она успокоилась: смерть здесь еще
была таинством, а не ужасом. Она ни на что не намекала, ни о чем не говорила
- она просто была. Пришла за той, что сама позвала ее, и не собиралась пугать
оставшихся.
|
|
500
|
Вначале надо
было просто смотреть. Юле никогда не приходилось стрелять, но теперь ей
казалось, что именно так смотрят через прицел. Незнакомка ощутила взгляд,
забеспокоилась. Остановилась, завертела головой… Потом продолжила путь по
камням, но уже менее уверенно. А Юля начала повторять все ее движения, как бы
отождествляя, "сливая" себя с нею. И когда девочка нерешительно
остановилась на очередном камне, собираясь перешагнуть на другой, Юля
одновременно с ее шагом резко дернулась вправо, имитиру
|
|
Вначале не
происходило ничего особенного: эсперы просто молча шли друг за другом по
узкой тропинке, впрочем, шли очень быстро. Но скоро Юля поняла, что при таком
ритме движения ходьба превращалась в наслаждение, необычное и даже опасное:
малейшая неточность грозила падением вниз со склона. Юля устала от
неожиданной стремительной прогулки, но надеялась, что не окажется слабее
остальных. И действительно, когда эсперы остановились на берегу небольшого
горного озера, почти все тяжело дышали и ощутимо
|
|
Евгений
почувствовал, что попал в затруднительное положение - необходимость
поддерживать "светскую беседу" и развивать знакомство по
классическим канонам, да еще из служебных соображений, делала его глупее, чем
он был на самом деле. Не помогала даже психология отношений, которой его
учили два семестра… Он с досадой осознавал, что не знает самых элементарных
приемов, известных любому начинающему ловеласу! Поэтому он даже обрадовался,
когда Юля прямо спросила его, каким образом он выследил ее в Се
|
Таблица 1.4
Содержание некоторых частей речи в тексте 2, слов и %
|
Символы
|
№
|
Всего слов
|
Существительные
|
Глаголы
|
Прилагательные
|
Служебные ч. р.
|
|
|
|
Число
|
Процент
|
Число
|
Процент
|
Число
|
Процент
|
Число
|
Процент
|
|
100
|
1
|
17
|
5
|
29,4
|
2
|
11,8
|
1
|
5,9
|
4
|
23,5
|
|
2
|
15
|
3
|
20,0
|
2
|
13,3
|
2
|
13,3
|
4
|
26,7
|
|
3
|
15
|
2
|
13,3
|
3
|
20,0
|
1
|
6,7
|
3
|
20,0
|
|
200
|
1
|
31
|
6
|
19,4
|
5
|
16,1
|
2
|
6,5
|
12
|
38,7
|
|
2
|
29
|
6
|
20,7
|
6
|
20,7
|
2
|
6,9
|
5
|
17,2
|
|
3
|
30
|
5
|
16,7
|
4
|
13,3
|
4
|
13,3
|
8
|
26,7
|
|
300
|
1
|
43
|
13
|
30,2
|
5
|
11,6
|
4
|
9,3
|
10
|
23,3
|
|
2
|
39
|
8
|
20,5
|
6
|
15,4
|
2
|
5,1
|
9
|
23,1
|
|
3
|
48
|
8
|
16,7
|
8
|
16,7
|
1
|
2,1
|
17
|
35,4
|
|
400
|
1
|
65
|
15
|
13
|
20,0
|
2
|
3,1
|
15
|
23,1
|
|
2
|
63
|
10
|
15,9
|
9
|
14,3
|
5
|
7,9
|
18
|
28,6
|
|
3
|
65
|
9
|
13,8
|
14
|
21,5
|
1
|
1,5
|
19
|
29,2
|
|
500
|
1
|
71
|
13
|
18,3
|
17
|
23,9
|
2
|
2,8
|
16
|
22,5
|
|
2
|
72
|
15
|
20,8
|
11
|
15,3
|
11
|
15,3
|
18
|
25,0
|
|
3
|
71
|
14
|
19,7
|
13
|
18,3
|
7
|
9,9
|
20
|
28,2
|
Таблица 1.5
Текст 3. Френсис Скотт Ки Фицджеральд, "Ледяной
дворец"
|
Символы
|
Отрывки
|
|
|
|
100
|
Мотор издал
жалобное агонизирующее бормотание, наступила тишина, и воздух разрезал резкий
свист. Сон
|
|
Под ноги ей
попало блюдце с водой от красок, она чертыхнулась, но прибирать не стала и
ушла из комнаты
|
|
Убивать время
оказалось совсем не трудным делом; прекрасно поднималась молодая девичья
поросль, и вс
|
|
200
|
Она глубоко
вздохнула и с великой неохотой поднялась с пола, где остались следы ее
занятий - обкусанное яблоко и раскрашенные для сестренки бумажные куклы. Она
подошла к зеркалу, не спеша и с удовольствием
|
|
От
пресыщенности женским обществом спасали приятели, которые собирались в самом
скором времени заняться делом, а пока были всегда не прочь составить компанию
в гольф или бильярд, посидеть за квартой пива.
|
|
Здесь уже ехать
было небезопасно - самое людное время; прохожие беспечно толкались на
мостовой, с черепашьей скоростью тянувшийся трамвай гнал перед собой протяжно
мычавшее стадо; казалось, и магазины
|
|
300
|
Дом был облит
золотистой охрою, словно декоративная ваза, и редкие пятачки тени давали
особенно почувствовать напор затопляющего света. Дома ближайших соседей
прятались за высокими раскидистыми деревьями, а вот их дом стоял на самом
солнцепеке и целый день с добродушным терпением караулил пыльную дорогу
|
|
Сонными глазами
смотрела вниз Салли Кэррол. Ей захотелось зевнуть, но для этого требовалось поднять
голову, и, подавив зевок, она продолжала молча созерцать автомобиль, между
тем как его владелец, застыв в картинно скучающей позе, ждал ответа. В
следующую минуту новый свист пронзил пыльное безмолвие
|
|
Время от
времени кто-нибудь из них перед отъездом делал прощальный обход друзей, но
основную массу навсегда засасывал этот рай, где небо навевало грезы, сумерки
высыпали светляков, на ярмарках шумели негры и, главное, где водились такие
нежные, с мелодичными голосами девушки, прошедшие бесплатную школу
|
|
400
|
Сверху, из
спальни, опустив на подоконник подбородок, девятнадцатилетняя Салли Кэррол
Хэппер наблюдала за стареньким "фордом" Кларка Дарроу, свернувшим к
их дому. Автомобиль дышал жаром, солнце и мотор нещадно накалили его
металлические части, и сам Кларк Дарроу, со страдальчески-напряженным
выражением оцепеневший за рулем, ощущал себя частью механизма, и притом
весьма ненадежной. Под протестующий
|
|
Кларк был
смуглый, поджарый, немного сутулился при ходьбе. У него был колючий взгляд и
довольно неприветливое лицо, пока он не улыбнется, а улыбался он светло и
часто. Кларк имел "доход", которого ему едва хватало на себя и на
бензин, и, окончив технический колледж своего штата, он третий год сонно
слонялся по мирным улочкам родного городка, делясь планами, как выгоднее
поместить свой капитал.
|
|
400
|
Да, потому что
я никогда не смогла бы выйти за тебя замуж. Никто не займет твоего места в
моем сердце, но если я здесь останусь, я не буду знать покоя. У меня будет
такое чувство, словно я заживо себя схоронила. Понимаешь, во мне две души. Ты
любишь ту, которая все время спит; а на другую нет угомона, из-за нее я бываю
как сумасшедшая. И в других краях она может мне пригодиться, и она будет при
мн
|
|
500
|
Медленно
опустив голову на спинку сиденья, она подставила пахучему ветерку
полуприкрытые ресницами глаза и растрепавшиеся стриженые волосы. Они уже
выехали из города, с обеих сторон их обступало изумрудное буйство кустарников
и травы, высокие деревья осеняли дорогу милосердной крапчатой тенью. По пути
попадались убогие негритянские хижины с обязательным седым стариком, курившим
кукурузную трубку на порожке, и стайкой полуголых негритят, прогуливавших по
некошеной траве перед домом.
|
|
В ноябре из
своего северного города приехал на несколько дней Гарри Беллами - высокий,
широкоплечий, энергичный. В его планах было решить вопрос, остававшийся
открытым с лета, со времени их встречи в Ашвилле. И вопрос решился быстро -
хватило нескольких безмятежных полуденных часов и вечера у жаркого камина.
Гарри Беллами подходил ей по всем статьям, не говоря уже о том, что она его
любила, то есть предназначенной для этого стороной ее души он завладел
всецело. А в душе Салли всему было свое место
|
|
Они прошли в
ворота и по дорожке углубились в волнистую долину могил; пятидесятые годы
лежали пепельно-серые неприбранные; семидесятые щеголяли причудливой лепкой
цветов и урн; девяностые поражали воображение страховидной красотой - на
каменных подушках тяжелым сном спали упитанные мраморные херувимы да свисали
гирлянды безымянных гранитных цветов. Кое-где у холмиков стояли на коленях
женщины с живыми цветами в руках, большинство же могил оставались
непотревоженными, и прелые листья на них источник
|
Таблица 1.6
Содержание некоторых частей речи в тексте 3, слов и %
|
Символы
|
№
|
Всего слов
|
Существительные
|
Глаголы
|
Прилагательные
|
Служебные ч. р.
|
|
|
|
Число
|
Процент
|
Число
|
Процент
|
Число
|
Процент
|
Число
|
Процент
|
|
100
|
1
|
13
|
6
|
46,2
|
3
|
23,1
|
2
|
15,4
|
1
|
7,7
|
|
2
|
19
|
4
|
21,1
|
5
|
26,3
|
0
|
0,0
|
7
|
36,8
|
|
3
|
14
|
3
|
21,4
|
3
|
21,4
|
3
|
21,4
|
1
|
7,1
|
|
200
|
1
|
32
|
8
|
25,0
|
4
|
12,5
|
2
|
6,3
|
9
|
28,1
|
|
2
|
30
|
9
|
30,0
|
8
|
26,7
|
2
|
6,7
|
7
|
23,3
|
|
3
|
27
|
7
|
25,9
|
5
|
18,5
|
2
|
7,4
|
4
|
14,8
|
|
300
|
1
|
43
|
14
|
32,6
|
6
|
14,0
|
9
|
20,9
|
8
|
18,6
|
|
2
|
43
|
12
|
27,9
|
9
|
20,9
|
4
|
9,3
|
8
|
18,6
|
|
3
|
43
|
13
|
30,2
|
6
|
14,0
|
6
|
14,0
|
8
|
18,6
|
|
400
|
1
|
52
|
21
|
40,4
|
4
|
7,7
|
5
|
9,6
|
11
|
21,2
|
|
2
|
63
|
14
|
22,2
|
9
|
14,3
|
7
|
11,1
|
14
|
22,2
|
|
3
|
76
|
8
|
10,5
|
15
|
19,7
|
2
|
2,6
|
23
|
30,3
|
|
500
|
1
|
66
|
24
|
36,4
|
5
|
7,6
|
12
|
18,2
|
11
|
16,7
|
|
2
|
80
|
22
|
27,5
|
9
|
11,3
|
8
|
10,0
|
20
|
25,0
|
|
3
|
67
|
25
|
37,3
|
9
|
13,4
|
12
|
17,9
|
14
|
20,9
|
двухфакторный дисперсный существительное текст
2.
Двухфакторный дисперсный анализ
2.1 Часть
речи: имя существительное
Для выполнения двухфакторного анализа представим собранные
данные в виде таблицы, чтобы выделить группы отрывков с равным объемом и с
одинаковыми авторами, а также вычислим для каждой подгруппы и группы значения Tij, Ti, Tj, xij, xi, xj и x. Эти показатели значат: i - количество
горизонтальных рядов (по фактору А), j - количество вертикальных столбцов (по фактору
В), Tij - сумма вариант по отдельным клеткам (рядов и столбцов), Ti - сумма вариант для i-рядов - по уровням
фактора А, Tj - сумма вариант для j-столбцов - по уровням
фактора В, xij - среднее значение вариант в подгруппе, xi - среднее значение
вариант в строке, xj - среднее значение вариант в столбце, x - среднее значение всех
данных.
Подсчитанные данные также добавляются в таблицу. Для такой
части речи, как имя существительное, она будет иметь следующий вид:
Таблица 2.1.1
Содержание существительных в различных текстах, %
|
Группы по
фактору А (по объему отрывка)
|
Группы по
фактору B (по авторам) и отдельные наблюдения в
них
|
Сумма по
группам объема Ti / среднее по группам объема xi
|
|
И. Альенде
|
К. Тильман
|
Ф.С.
Фицджеральд
|
|
|
Объем, символов
|
№
|
xijk
|
Tij
/ xij
|
xijk
|
Tij
/ xij
|
xijk
|
Tij
/ xij
|
|
|
100
|
1
|
27,8
|
69,7 / 23,23
|
29,4
|
62,7 / 20,90
|
46,2
|
88,7 / 29,57
|
221,1/24,57
|
|
2
|
28,6
|
|
20,0
|
|
21,1
|
|
|
|
3
|
13,3
|
|
13,3
|
|
21,4
|
|
|
|
200
|
1
|
25,8
|
94,8 / 31,60
|
19,4
|
56,8 / 18,93
|
25,0
|
80,9 / 26,97
|
232,5/25,83
|
|
2
|
27,6
|
|
20,7
|
|
30,0
|
|
|
|
3
|
41,4
|
|
16,7
|
|
25,9
|
|
|
|
300
|
1
|
24,5
|
102,5 / 34,17
|
30,2
|
67,4 / 22,47
|
32,6
|
90,7 / 30,23
|
260,6/28,96
|
|
2
|
34,1
|
|
20,5
|
|
27,9
|
|
|
|
3
|
43,9
|
|
16,7
|
|
30,2
|
|
|
|
400
|
1
|
35,5
|
93,3 / 31,10
|
23,1
|
52,8 / 17,60
|
40,4
|
73,1 / 24,37
|
219,2/24,36
|
|
2
|
20,3
|
|
15,9
|
|
22,2
|
|
|
|
3
|
37,5
|
|
13,8
|
|
10,5
|
|
|
|
500
|
1
|
28,0
|
91,8 / 30,60
|
18,3
|
58,8 / 19,60
|
36,4
|
101,2 / 33,73
|
251,8/27,98
|
40,3
|
|
20,8
|
|
27,5
|
|
|
|
3
|
23,5
|
|
19,7
|
|
37,3
|
|
|
|
Сумма по
группам авторов Tj / среднее по группам авторов xj
|
452,1/30,14
|
298,5/19,90
|
434,6/28,97
|
x = 26,34
|
В таблице скомбинированы все данные, которые могут
понадобиться при двухфакторном дисперсном анализе. Процентное содержание
существительных в текстах неодинаково. Это может быть обусловлено как влиянием
факторов А или В, так и случайными отклонениями. Целью дисперсного анализа и
является выяснение ответа на вопрос, от чего же зависит количество разных
частей речи.
В двухфакторном дисперсном анализе можно выделить 5 типов
варьирования, так как определяется общее отклонение, влияние отдельно фактора
А, отдельно фактора В, совместное влияние факторов А и В, а также случайные
отклонения. Каждому из типов варьирования соответствует своя сумма квадратов
отклонений. Поэтому первый этап анализа - вычисление суммы квадратов.
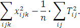
Общая сумма квадратов вычисляется по формуле:
где xijk - каждая варианта;
x - среднее значение вариант по всем данным.
Существует также значительно упрощенная рабочая формула:
где T - сумма Tij, равная;
n - число вариант в каждой подгруппе (равно 3);
c - количество групп по фактору В (равно 3);
r - количество групп по фактору A (равно 5).
Для существительных общая сумма квадратов отклонений по
первой:
или по второй формуле составит:
Сумма квадратов отклонений для варьирования по фактору А:
где xi - среднее значение вариант в строке.
Рабочая формула будет иметь вид:
где Ti - сумма вариант для i-рядов - по уровням
фактора А.
У существительных данная сумма квадратов по фактору А
составит:
или по второй формуле:
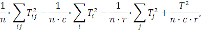
Сумма квадратов отклонений для варьирования по фактору В:
где xj - среднее значение вариант в столбце.
Рабочая формула будет иметь вид:
где
Tj - сумма вариант для j-столбцов - по уровням
фактора В.
Сумма квадратов по фактору В для существительных:
По рабочей формуле:
Сумма квадратов для взаимодействия А и В:
где xij - среднее значение вариант в подгруппе.
Рабочая формула варьирования, характеризующая взаимодействие
А и В:
где Tij - сумма вариант по отдельным клеткам
(рядов и столбцов).
Сумма квадратов отклонений под воздействием факторов А и В на
существительные составит:
По рабочей формуле сумма квадратов отклонений под влиянием
факторов А и В равняется:
Сумма квадратов отклонений вариант от групповых средних
внутри каждой группы - иначе говоря, для случайной вариации внутри групп, -
рассчитывается по формуле:
или равнозначной ей рабочей формуле:
Таким образом, сумма квадратов для случайных отклонений среди
групп существительных будет равна:
или равнозначной ей рабочей формуле:
На следующем этапе анализа необходимо рассчитать степени
свободы, которые понадобятся, чтобы найти средние квадраты ms (вариансы, дисперсии).
Для общей дисперсии число степеней свободы равняется:
для варьирования по фактору А:
для варьирования по фактору B:
для взаимодействия факторов А и В:
для случайной вариации значений внутри групп:
Средние квадраты необходимы для того, чтобы непосредственно измерить
суммарную вариацию, ее контролируемый (под влиянием факторов) и неконтролируемый
(обусловленный множеством случайных факторов) компоненты. Средние квадраты
находятся делением сумм квадратов на соответствующие число степеней свободы.
Дисперсия общего варьирования в данном случае не нужна, так
как она не повлияет на окончательный вывод. Дисперсия для варьирования по
фактору А:
Дисперсия для варьирования по фактору В:
Дисперсия для взаимодействия факторов А и В:
Для случайных отклонений она составит:
Отношение каждой из варианс факторов А и В и вариансы случайных
отклонений называется критерием Фишера. По нему производится оценка величины
отклонения, то есть, в данном случае, зависимости количества существительных от
объема, авторского стиля или обоих этих факторов одновременно. Полученное число
сравнивается с табличным критерием Фишера для вычисленных степеней свободы, и,
если оно больше, то можно утверждать, что фактор влияет на результат. Если же
больше табличное значение, чем вычисленное, то фактор влияния не оказывает, а
все отклонения случайны.
Критерий Фишера для влияния объема на количество
существительных:
Для влияния стиля указанных авторов на количество
существительных:
Для влияния 2 факторов одновременно на количество существительных:
Для сравнения возьмем критерий Фишера из таблицы V "Значения F при уровне значимости
0,05" из "Биологической статистики" Рокицкого П.Ф. [с.299-300] и
сопоставим его с фактическим в таблице:
Таблица 2.1.2
Дисперсионный анализ данных о содержании существительных в
различных текстах
|
Направление
варьирования
|
Сумма квадратов
|
Число степеней
свободы df
|
Средний квадрат ms
|
F фактическое
|
F табличное
|
|
Общее
|
3385,75
|
44
|
-
|
-
|
-
|
|
Влияние фактора
А
|
151,77
|
4
|
37,94
|
0,56
|
2,69
|
|
Влияние фактора
В
|
942,72
|
2
|
471,36
|
6,90
|
3,32
|
|
Влияние
факторов А и В
|
241,02
|
8
|
30,13
|
0,44
|
2,27
|
|
Случайные
отклонения
|
2050,24
|
30
|
68,34
|
-
|
-
|
Вывод: влияние объема текста на количество существительных в
этих текстах не доказано; доказана зависимость между авторским стилем (И.
Альенде, К. Тильман и Ф.С. Фицджеральда) и количеством существительных в
текстах; данные факторы не оказывают совместного влияния на содержание
указанной части речи в текстах.
Для других рассматриваемых частей речи анализ проводится
также, как в приведенном примере.
2.2 Часть
речи: глагол
Таблица 2.2.1
Содержание глаголов в различных текстах, %
|
Группы по
фактору А (по объему отрывка)
|
Группы по
фактору B (по авторам) и отдельные наблюдения в
них
|
Сумма по
группам объема Ti / среднее по группам объема xi
|
|
И. Альенде
|
К. Тильман
|
Ф.С.
Фицджеральд
|
|
|
Объем, символов
|
№
|
xijk
|
Tij
/ xij
|
xijk
|
Tij
/ xij
|
xijk
|
Tij
/ xij
|
|
|
100
|
1
|
16,7
|
43,8 / 14,60
|
11,8
|
45,1 / 15,03
|
23,1
|
70,8 / 23,60
|
159,7/17,74
|
|
2
|
7,1
|
|
13,3
|
|
26,3
|
|
|
|
3
|
20,0
|
|
20,0
|
|
21,4
|
|
|
|
200
|
1
|
16,1
|
36,7 / 12,23
|
16,1
|
50,1 / 16,70
|
12,5
|
57,7 / 19,23
|
144,5/16,06
|
|
2
|
10,3
|
|
20,7
|
|
26,7
|
|
|
|
3
|
10,3
|
|
13,3
|
|
18,5
|
|
|
|
300
|
1
|
14,3
|
35,6 / 11,87
|
11,6
|
43,7 / 14,57
|
14,0
|
48,9 / 16,30
|
128,2/14,24
|
|
2
|
9,1
|
|
15,4
|
|
20,9
|
|
|
|
3
|
12,2
|
|
16,7
|
|
14,0
|
|
|
|
400
|
1
|
16,1
|
33,4 / 11,13
|
20,0
|
55,8 / 18,60
|
7,7
|
41,7 / 13,90
|
130,9/14,54
|
|
2
|
10,2
|
|
14,3
|
|
14,3
|
|
|
|
3
|
7,1
|
|
21,5
|
|
19,7
|
|
|
|
500
|
1
|
9,3
|
35,6 / 11,87
|
23,9
|
57,5 / 19,17
|
7,6
|
32,3 / 10,77
|
125,4/13,93
|
|
2
|
9,0
|
|
15,3
|
|
11,3
|
|
|
|
3
|
17,3
|
|
18,3
|
|
13,4
|
|
|
|
Сумма по
группам авторов Tj / среднее по группам авторов xj
|
185,1/12,34
|
298,5/19,90
|
434,6/28,97
|
x = 15,30
|
Таблица 2.2.2
Дисперсионный анализ данных о содержании глаголов в различных
текстах
|
Направление
варьирования
|
Сумма квадратов
|
Число степеней
свободы df
|
Средний квадрат ms
|
F фактическое
|
F табличное
|
|
Общее
|
1155,70
|
44
|
-
|
-
|
-
|
|
Влияние фактора
А
|
90,89
|
4
|
22,72
|
1,15
|
2,69
|
|
Влияние фактора
В
|
197,75
|
2
|
98,87
|
4,99
|
3,32
|
|
Влияние
факторов А и В
|
272,70
|
8
|
34,09
|
1,72
|
2,27
|
|
Случайные
отклонения
|
594,36
|
30
|
19,81
|
-
|
-
|
Вывод: влияние объема текста на количество глаголов в этих
текстах не доказано; доказана зависимость между авторским стилем (И. Альенде,
К. Тильман и Ф.С. Фицджеральда) и количеством глаголов; оба фактора не
оказывают совместного влияния на содержание глаголов в текстах.
2.3 Часть
речи: имя прилагательное
Таблица 2.3.1
Содержание прилагательных в различных текстах, %
|
Группы по
фактору А (по объему отрывка)
|
Группы по
фактору B (по авторам) и отдельные наблюдения в
них
|
Сумма по
группам объема Ti / среднее по группам объема xi
|
|
И. Альенде
|
К. Тильман
|
Ф.С. Фицджеральд
|
|
|
Объем, символов
|
№
|
xijk
|
Tij
/ xij
|
xijk
|
Tij
/ xij
|
xijk
|
Tij
/ xij
|
|
|
100
|
1
|
5,6
|
47,0 / 15,67
|
5,9
|
25,9 / 8,63
|
15,4
|
36,8 / 12,27
|
109,7/12, 19
|
|
2
|
21,4
|
|
13,3
|
|
0,0
|
|
|
|
3
|
20,0
|
|
6,7
|
|
21,4
|
|
|
|
200
|
1
|
16,1
|
36,7 / 12,23
|
6,5
|
26,7 / 8,90
|
6,3
|
20,4 / 6,80
|
83,8/9,31
|
|
2
|
10,3
|
|
6,9
|
|
6,7
|
|
|
|
3
|
10,3
|
|
13,3
|
|
7,4
|
|
|
|
300
|
1
|
15,5 / 5,17
|
9,3
|
16,5 / 5,50
|
20,9
|
44,2 / 14,73
|
76,2/8,47
|
|
2
|
4,5
|
|
5,1
|
|
9,3
|
|
|
|
3
|
4,9
|
|
2,1
|
|
14,0
|
|
|
|
400
|
1
|
4,8
|
27,4 / 9,13
|
3,1
|
12,5 / 4,17
|
9,6
|
23,3 / 7,77
|
63,2/7,02
|
|
2
|
11,9
|
|
7,9
|
|
11,1
|
|
|
|
3
|
10,7
|
|
1,5
|
|
2,6
|
|
|
|
500
|
1
|
8,0
|
28,1 / 9,37
|
2,8
|
28,0 / 9,33
|
18,2
|
46,1 / 15,37
|
102,2/11,36
|
|
2
|
16,4
|
|
15,3
|
|
10,0
|
|
|
|
3
|
3,7
|
|
9,9
|
|
17,9
|
|
|
|
Сумма по
группам авторов Tj / среднее по группам авторов xj
|
154,7/10,31
|
109,6/7,31
|
170,8/11,39
|
x = 9,67
|
Таблица 2.3.2
Дисперсионный анализ данных о содержании прилагательных в
различных текстах
|
Направление
варьирования
|
Сумма квадратов
|
Число степеней
свободы df
|
Средний квадрат ms
|
F фактическое
|
F табличное
|
|
Общее
|
1443,04
|
44
|
-
|
-
|
-
|
|
Влияние фактора
А
|
159,96
|
4
|
39,99
|
1,37
|
2,69
|
|
Влияние фактора
В
|
134, 19
|
2
|
67,10
|
2,30
|
3,32
|
|
Влияние
факторов А и В
|
273,86
|
8
|
34,23
|
1,17
|
2,27
|
|
Случайные
отклонения
|
875,02
|
30
|
29,17
|
-
|
-
|
Вывод: на количество прилагательных в этих текстах влияние
объема отрывка не доказано; также не доказана зависимость между авторским
стилем (И. Альенде, К. Тильман и Ф.С. Фицджеральда) и количеством
прилагательных; оба фактора не оказывают совместного влияния на содержание
глаголов в текстах.
2.4 Служебные
части речи
Таблица 2.4.1
Содержание служебных частей речи в различных текстах, %
|
Группы по
фактору А (по объему отрывка)
|
Группы по
фактору B (по авторам) и отдельные наблюдения в
них
|
Сумма по
группам объема Ti / среднее по группам объема xi
|
|
И. Альенде
|
К. Тильман
|
Ф.С.
Фицджеральд
|
|
|
Объем, символов
|
№
|
xijk
|
Tij
/ xij
|
xijk
|
Tij
/ xij
|
xijk
|
Tij
/ xij
|
|
|
100
|
1
|
27,8
|
62,5 / 20,83
|
23,5
|
70,2 / 23,40
|
7,7
|
51,6 / 17, 20
|
184,3/20,48
|
|
2
|
21,4
|
|
26,7
|
|
36,8
|
|
|
|
3
|
13,3
|
|
20,0
|
|
7,1
|
|
|
|
200
|
1
|
29,0
|
53,1 / 17,70
|
38,7
|
82,6 / 27,53
|
28,1
|
66,2 / 22,07
|
201,9/22,43
|
|
2
|
13,8
|
|
17,2
|
|
23,3
|
|
|
|
3
|
10,3
|
|
26,7
|
|
14,8
|
|
|
|
300
|
1
|
26,5
|
73,3 / 24,43
|
23,3
|
81,8 / 27,27
|
18,6
|
55,8 / 18,60
|
210,9/23,43
|
|
2
|
27,3
|
|
23,1
|
|
18,6
|
|
|
|
3
|
19,5
|
|
35,4
|
|
18,6
|
|
|
|
400
|
1
|
27,4
|
86,5 / 28,83
|
23,1
|
80,9 / 26,97
|
21,2
|
73,7 / 24,57
|
241,1/26,79
|
|
2
|
30,5
|
|
28,6
|
|
22,2
|
|
|
|
3
|
28,6
|
|
29,2
|
|
30,3
|
|
|
|
500
|
1
|
30,7
|
76,0 / 25,33
|
22,5
|
75,7 / 25,23
|
16,7
|
62,6 / 20,87
|
214,3/23,81
|
|
2
|
19,4
|
|
25,0
|
|
25,0
|
|
|
|
3
|
25,9
|
|
28,2
|
|
20,9
|
|
|
|
Сумма по
группам авторов Tj / среднее по группам авторов xj
|
351,4/23,43
|
391,2/26,08
|
309,9/20,66
|
x = 23,39
|
Таблица 2.4.2
Дисперсионный анализ данных о содержании служебных частей
речи в текстах различного объема
|
Направление
варьирования
|
Сумма квадратов
|
Число степеней
свободы df
|
Средний квадрат ms
|
F фактическое
|
F табличное
|
|
Общее
|
2131,18
|
44
|
-
|
-
|
-
|
|
Влияние фактора
А
|
190,15
|
4
|
47,54
|
0,92
|
2,69
|
|
Влияние фактора
В
|
220,36
|
2
|
110,18
|
2,13
|
3,32
|
|
Влияние
факторов А и В
|
167,16
|
8
|
20,90
|
0,40
|
2,27
|
|
Случайные
отклонения
|
1553,51
|
30
|
51,78
|
-
|
-
|
Вывод: на количество служебных частей речи в этих текстах
таже не влияет объем отрывка; не доказана зависимость между авторским стилем
(И. Альенде, К. Тильман и Ф.С. Фицджеральда) и количеством служебных частей
речи; оба фактора не оказывают совместного влияния на содержание служебных
частей речи в данных текстах.
Заключение
В ходе проведенного анализа отрывков из трех текстов на
зависимость частоты появления частей речи от объема текстового отрывка и при
переходе от одного автора к другому.
В курсовом проекте представлен двухфакторный дисперсный
анализ таких частей речи, как существительные, глаголы, прилагательные и
служебные. Для каждого из них рассчитанное значение коэффициента F было меньше табличного
критерия Фишера, поэтому можно сделать вывод о том, что гипотеза влияния
размера текста в символах на его морфологический состав не подтвердилась.
Однако по аналогичной схеме было доказано, что количество существительных и
глаголов в тексте зависит от авторского стиля (для конкретной выборки авторов).
В случае с прилагательными и служебными частями речи такое влияние не
обнаружено. Также количество всех рассматриваемых частей речи не зависит от
взаимодействия факторов "объем" и "авторский стиль".