Определение скорости полета пули с помощью крутильно-баллистического маятника

  • Вид работы:
    Контрольная работа
  • Предмет:
    Физика
  • Язык:
    Русский
    ,
    Формат файла:
    MS Word
    38,23 Кб
  • Опубликовано:
    2013-10-24
Вы можете узнать стоимость помощи в написании студенческой работы.
Помощь в написании работы, которую точно примут!

Определение скорости полета пули с помощью крутильно-баллистического маятника













Протокол работы № 105

"Определение скорости полета пули с помощью крутильно-баллистического маятника"

Студент Полетаев А.М.

Группа ВТВ-167

Цель работы: изучение законов динамики вращательного движения и определения скорости полета пули.

Схема установки для определения скорости полета пули. 1. Проволока 2,3,4. Грузы 5. Зеркало 6. Шкала 7. Осветитель 8. Тяжелый груз

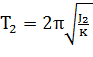
Формулы для определения угла поворота и периода колебаний маятника

 ,  ;

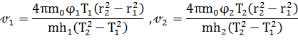
Формулы для определения скорости полета пули

 ;

 ;  ;

Результаты измерений для определения угла поворота маятника

Положение грузов

Расстояние от центров груза до оси r, м

Положение светового "зайчика" на шкале

, м

Расстояние от оси маятника до шкалы , м

Начальное (до выстрела) n0

При максимальном отклонении n

делений

м

делений

м

1

0,065

49

0,049

-134

-0,134

0,183

0,7

0,13

2

0,119

35

0,035

-131

0,166

0,7

0,12

Результаты измерений для определения периода колебаний маятника и скорости полета пули

Положение грузов

r, м

Масса одного груза m0, кг

Масса пули m, кг

Расстояние от пробоины в мишени до оси h, м

Время десяти полных колебаний t, с

Период колебаний T, c

Скорость пули








, м/с

<>, м/с

1

0,065

1,7

0,00049

0,22

134

123,32

122,83

2

0,119



0,22

144

14,4

122,33



Вычисление угла поворота маятника

 ;

Вычисление периода колебаний маятника и скорости полета пули

 ;  ;


Вывод

поворот маятник полет пуля

Во всех опытах выстрел производился из одного и того же ружья, в одном направлении и с одинакового расстояния, поэтому момент внешних сил, приложенных к маятнику, можно считать одинаковым в каждом опыте

 .

. Следовательно, момент инерции J маятника прямо пропорционален расстоянию от центра масс маятника до оси качания.

. Полет пули в данных опытах является прямолинейным равномерным движением.

Похожие работы на - Определение скорости полета пули с помощью крутильно-баллистического маятника

 

Не нашли материал для своей работы?
Поможем написать уникальную работу
Без плагиата!
Без нейросетей!