Расчет функций преобразования, чувствительности к измеряемым физическим величинам и схем включения в измерительную цепь различных типов первичных преобразователей
Курсовая
работа
По дисциплине
Основы проектирования приборов и систем
Тема
Расчет
функций преобразования, чувствительности к измеряемым физическим величинам и
схем включения в измерительную цепь различных типов первичных преобразователей
Автор: студент
Цыбизова А.В.
ВВЕДЕНИЕ
измерительный преобразователь числовой сигнал
Датчик - это часть измерительной системы имеющий самостоятельное
конструктивное оформление, но вместе с тем обеспечивающий достижение полезного
эффекта только при наличии всех других средств, входящих в систему Он
осуществляет функцию преобразования вида энергии сигнала, в другой вид, удобный
для передачи информации в пространстве и хранения в течение определенного
времени. Таким обратом, с энергетической точки прения роль датчика заключается
и том, чтобы отобрать некоторую мощность у объекта для создании измерительного
сигнала и передать ее с такими изменениями, которые не нарушили бы на всем пути
следования сигнала адекватность модели и объекта.
Для преобразования механических величин в удобную для передачи и
восприятия форму используются различные физические явления, такие как:
1. Тензорезистивный эффект, заключающийся в изменении активного
сопротивления проводника под действием механических напряжений, для металлов и
сплавов активное сопротивление меняется в основном за счёт изменения
геометрических размеров, для полупроводников - за счёт изменения удельного
электрического сопротивления.
. Пьезоэлектрический эффект, заключающийся в электризации
материала под действием усилия от давления.
. Эффект изменения электрической ёмкости заключается в изменении
геометрических размеров промежутка между электродами или диэлектрической
проницаемости вещества, заполняющего этот промежуток.
4. Эффекты, основанные на электромагнитных явлениях - изменении
магнитного сопротивления цепи в следствии изменения геометрических параметров
или магнитной проницаемости её элементов под действием механических величин.
. Эффект изменения частоты, заключается в изменении собственных колебаний
механического резонатора под действием механических величии.
Первичные приборы, датчики или первичные преобразователи предназначены
для непосредственного преобразования измеряемой величины в другую величину,
удобную для измерения или использования. Выходными сигналами первичных
приборов, датчиков являются, как правило, унифицированные стандартизованные
сигналы, в противном случае используются нормирующие преобразователи
Различают генераторные, параметрические и механические преобразователи:
Генераторные осуществляют преобразование различных видов энергии в
электрическую, то есть они генерируют электрическую энергию
(термоэлектрические, пьезоэлектрические, электрокинетические, гальванические и
др. датчики).
К параметрическим относятся реостатные, тензодатчики,
термосопротивления и т.п. Данным приборам для работы необходим источник
энергии.
Выходным сигналом механических первичных преобразователей (мембранных,
манометров, ротаметров и др.) является усилие, развиваемое чувствительным
элементом под действием измеряемой величины.
Первичный преобразователь, датчик может иметь выходной унифицированный
сигнал и неунифицированный сигнал. Во втором случае используют нормирующие
преобразователи.
Нормирующий преобразователь выполняет следующие функции: преобразует
нестандартный неунифицированный сигнал (например, mV, Ом) в стандартный унифицированный выходной сигнал;
осуществляет фильтрацию входного сигнала; осуществляет линеаризацию статической
характеристики датчика; применительно к термопаре, осуществляет температурную
компенсацию холодного спая.
Нормирующий преобразователь применяется, также в следующих случаях: когда
необходимо подать сигнал измеряемой величины на несколько измерительных или
регулирующих приборов; а также когда необходимо передать сигнал на большие
расстояния, например сигнал от термопары передается на малые расстояния - до
10м, а унифицированный сигнал постоянного тока может передаваться на большие
расстояния - до 100м. В современных промышленных регуляторах нормирующий
преобразователь, как правило, является обязательной составной частью входного
устройства регулятора.
ЗАДАНИЕ 1
Закон Гука
При деформации тела возникает сила, которая стремится восстановить
прежние размеры и форму тела. Эта сила возникает вследствие электромагнитного
взаимодействия между атомами и молекулами вещества. Ее называют силой
упругости. Простейшим видом деформации являются деформации растяжения и сжатия
(рис. 1)
Рисунок 1
Деформация растяжения (x > 0) и сжатия (x < 0). Внешняя сила

При малых деформациях (|x| << l) сила упругости пропорциональна
деформации тела и направлена в сторону, противоположную направлению перемещения
частиц тела при деформации:
x
= Fупр = -kx
Это соотношение выражает экспериментально установленный закон Гука.
Коэффициент k называется жесткостью тела. В системе СИ жесткость измеряется в
ньютонах на метр (Н/м). Коэффициент жесткости зависит от формы и размеров тела,
а также от материала. В физике закон Гука для деформации растяжения или сжатия
принято записывать в другой форме. Отношение е = x / l называется относительной
деформацией, а отношение у = F / S = -Fупр / S, где S - площадь
поперечного сечения деформированного тела, называется напряжением. Тогда закон
Гука можно сформулировать так: относительная деформация е пропорциональна
напряжению у:
Коэффициент E в этой формуле называется модулем Юнга. Модуль Юнга зависит
только от свойств материала и не зависит от размеров и формы тела. Модуль Юнга
различных материалов меняется в широких пределах. Для стали, например, E ≈
2·1011 Н/м2 , а для резины E ≈ 2·106 Н/м2,
т. е. на пять порядков меньше.
Закон Гука может быть обобщен и на случай более сложных деформаций.
Например, при деформации изгиба упругая сила пропорциональна прогибу стержня,
концы которого лежат на двух опорах (рис. 2).
Рисунок 2
Деформация изгиба

, 
Упругую
силу 
действующую
на тело со стороны опоры (или подвеса), называют силой реакции опоры. При
соприкосновении тел сила реакции опоры направлена перпендикулярно поверхности
соприкосновения. Поэтому ее часто называют силой нормального давления. Если
тело лежит на горизонтальном неподвижном столе, сила реакции опоры направлена
вертикально вверх и уравновешивает силу тяжести: 
Сила

с
которой тело действует на стол, называется весом тела.
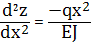
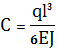
Решение дифференциального уравнения упругой линии:
Проинтегрировав уравнение один раз получим выражение для угла поворота
Q(х) = 
;
Проинтегрировав
уравнение второй раз получим выражение для прогиба z(x):

;
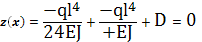
Значение
постоянных С и D определяются из условия закрепления балки:
Прогиб
и угол поворота в заделке определяются как ϴ(0) = 0; z(0) = 0.
Из
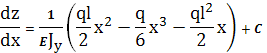
условия М(х) = -qx2/2,
получим:

;
Проинтегрировав
уравнение один раз получим выражение для угла поворота Q(х):
Q(х) = 

Из
граничных условий получим ϴ(0)
= 0; z(0) = 0:

,
тогда:

; тогда:
.
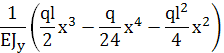
Окончательное
уравнение прогиба и угла поворота:
Q (х) = 
Z (х) = 
Определим
максимальное значение прогибов:
QMAX
= 
;
ZMAX
= 
.
Тогда
чувствительность:

;

.
Расчет:
Примем:
Е = 2,1 х 1011 Па свинец; l= 2,8 х 10
м; q = 19 Нм-2; сечение балки - квадрат (а
=3мм; ) с моментом инерции:
J = 
м

рад
ZMAX
= 
м
Чувствительность:

м/Н

м/Н
ЗАДАНИЕ 2
Пьезоэлектрические преобразователи
Пьезоэлектрическими называются кристаллы и текстуры, электризующиеся под
действием механических напряжений (прямой пьезоэффект) и деформирующиеся в
электрическом поле (обратный пьезоэффект). Особенностью пьезоэффекта является
знакочувствительность, т. е. изменение знака заряда при замене сжатия
растяжением и изменение знака деформации при изменении направления поля.
Область применения пьезоэлектрических преобразователей весьма обширна.
. Преобразователи, использующие прямой пьезоэффект, применяются в
приборах для измерения силы, давления, ускорения.
. Преобразователи, выполненные из материалов, обладающих
пироэффектом, могут быть использованы для измерений тепловой радиации.
3. Преобразователи, использующие обратный пьезоэффект, применяются в
качестве излучателей ультразвуковых колебаний, в качестве преобразователей
напряжения в деформацию, например, в пьезоэлектрических реле, пьезовибраторах
осциллографов, в качестве обратных преобразователей приборов уравновешивания и
т. д.
4. Преобразователи, использующие одновременно прямой и обратный
пьезоэффекты, - пьезорезонаторы, имеющие максимальный коэффициент
преобразования одного вида энергии в другой на резонансной частоте, и резко
уменьшающийся коэффициент преобразования при отступлении от резонансной частоты
(т. е. высокую добротность), - используются в качестве фильтров, пропускающих
очень узкую полосу частот.
Пьезорезонаторы, включенные в цепь положительной обратной связи
усилителя, работают в режиме автоколебаний и используются в генераторах. В
зависимости от типа кристалла, среза и типа возбуждаемых колебаний
пьезорезонаторы могут выполняться с высокостабильной, не зависящей от внешних факторов
собственной частотой и с управляемой собственной частотой. Управляемые
резонаторы используются в частотно - цифровых приборах как преобразователи
различных величин (температура, давление, ускорение и т. д.) в частоту.
Пьезоэлектрические генераторы могут применяться и как амплитудные
преобразователи, работая в режиме изменения добротности, например, для фиксации
соприкосновения колеблющегося кристалла с каким - либо телом. Пьезоэлементы,
кроме того, используются в твердых схемах, заменяющих собой целый ряд
электронных устройств.
Решение
Данные для решения задачи:

; 
; F =
80 Н;
а
= 0,15 м; b = 0,3 м, d = 0,2 м
q = 
·F;

;

- емкость плоского конденсатора (е = е11)
С=

· 2,3·10-12

= 4,5·10-12
Решим
задачу в общем виде
Uвых = 
ЗАДАНИЕ
3
Емкостные преобразователи
Емкостные измерительные преобразователи нашли широкое применение при
проектировании датчиков уровнемеров и манометров, измерителей несплошности и
других механических величин.
Емкостные преобразователи представляют собой электрические конденсаторы,
емкости которых меняются вследствие изменения под действием измеряемой величины
площадей перекрытия обкладок, расстояний между обкладками или диэлектрической
проницаемости среды, находящейся между обкладками.
По конструктивному решению чувствительных элементов (конденсаторов)
емкостные датчики подразделяют на плоскопараллельные, коаксиальные, стержневые,
с обкладками, выполненными из сеток, и т. д.
Несмотря на кажущееся отличие, конструктивные решения можно свести в
основном к двум типам: коаксиальному и плоскопараллельному.
Пренебрегая краевыми эффектами, емкость датчика с плоскопараллельными
обкладками, работающего в диэлектрических средах, можно упрощенно записать в
виде
если информативными параметрами являются расстояние d между обкладками или диэлектрическая проницаемость е
контролируемой среды, или
если информативным параметром является площадь (уровень) перекрытия
обкладок датчика контролируемой средой с диэлектрической проницаемостью еc.
Соответствующие упрощенные выражения для аналогичных случаев
коаксиального датчика имеют вид
где L - полная длина обкладок датчика; L1 - длина части
обкладок датчика, расположенной в газообразной среде; L2 - длина
части обкладок датчика, расположенной в исследуемой среде; г1 -
радиус внутренней обкладки датчика.
Емкостные датчики можно успешно применять для измерения несплошности ряда
диэлектриков и слабо проводящих жидкостей, для измерения уровня диэлектрических
и проводящих сред и давления практически в любых средах (диэлектриках, слабо
проводящих и проводящих.)
Числовые данные

= 800 В;
= 35 В; S = 3
х 10-1м; d = 5 х 10-3м; f = 0,4 х 104Гц
е2
= 4,5
Механическое давление электрического поля емкостного преобразователя
может быть определенно из выражения:

,
где
W -энергия конденсатора,
D - расстояние
между электродами конденсатора.
Энергия
в этом случае может быть определена в виде

,
где
С - емкость плоского конденсатора действует давление:
Р
= (2
C,
если
пренебречь составляющими:
переменным
давлением с удвоенной частотой:

,
Постоянным
давлением равным:

,
Полученное
значение механического давления электрического поля конденсатора
Р = (
800 · 35 sin(2р ·4000t)
= =6,7· 10-8 · sin25120t
=1,7
· 10-22 · sin25120t B
ЗАДАНИЕ
4
Эти датчики согласно нашей классификации относятся к
датчикам омического сопротивления.
Внешний фотоэлектрический эффект можно описать
уравнением Эйнштейна:
,
где
h - постоянная Планка, равная 6,625×10-34 Дж×с;
u - частота оптического излучения;
Me, Ve - масса и скорость электрона;
А
- работа выхода.
Фотоэффект
проявляется если
.
Фотоэлектрические
датчики или фотоэлементы с внешним фотоэффектом состоят из фотокатода К, излучающего
электроны под действием света, и анода А, собирающего эти электроны.
Рис.1 Включение фотоэлемента с внешним фотоэффектом
Катод и анод фотоэлемента помещаются обычно в
стеклянной колбе. Фотокатодом служит щелочно-земельный металл, наносимый обычно
на серебряную подложку, осажденную непосредственно на стеклянной колбе с
внутренней стороны (рис.1) или на специальной пластинке К; анодом служит
металлическое кольцо или сетка, имеющие форму, обеспечивающую попадание света
на катод.
Для измерения фототока, возникающего в цепи
фотоэлемента при освещении его источником света С, фотоэлемент последовательно
с гальванометром Г и сопротивлением R присоединяется к источнику питания Б.
По характеру наполнения колбы различают вакуумные
фотоэлементы, из которых воздух откачан до давления примерно 10-7 мм
рт. ст., и газонаполненные (аргоном или неоном) с давлением в несколько сотых
долей миллиметра ртутного столба. Усиление фототока в газонаполненном
фотоэлементе происходит вследствие ионизации газа, возникающей в фотоэлементе
при излучении электронов его катодом. С увеличением разности потенциалов между
электродами фотоэлемента процессы ионизации нарастают, и коэффициент усиления
фототока увеличивается. Газонаполненные фотоэлементы, обладая большей
чувствительностью, чем вакуумные, менее стабильны и более инерционны. Фототок в
газонаполненных фотоэлементах в 10 раз больше, чем в вакуумных. Световая
характеристика газонаполненных фотоэлементов несколько криволинейна, в то время
как у вакуумных она линейна. К числу недостатков фотоэлементов с внешним
фотоэффектом следует отнести их «утомляемость», выражающуюся в том, что при
непрерывном освещении фотоэффект начинает снижаться, хотя после отключения
фотоэлемента, через некоторый промежуток времени, эффект почти полностью
восстанавливается.
Рис.2
Катод через кварцевое стекло освещается светом. Под действием света из
катода вырываются электроны (называемые фотоэлектронами), которые летят к аноду
(положительно заряженному электроду) и образуют фототок, регистрируемый
миллиамперметром
Рис.3
С помощью такой установки, используя электроды, изготовленные из разных
материалов, снимались вольтамперные характеристики при различных значениях
падающего светового потока Ф. Вольтамперные характеристики - зависимость силы
фототока I от напряжения U между электродами (анодом и катодом).
Фотоэлектрические умножители (ФЭУ)
Вторым путем умножения электронов является
использование вторичной электронной эмиссии. Такие приборы носят название
фотоэлектронных умножителей (ФЭУ). Схема устройства ФЭУ показана на рис.4.
Рис. 4 Фотоумножитель
1 - фотокатод; 2 - анод; 3 - диноды
Электрон, вылетевший из фотокатода под действием
света, ускоряется напряжением Е1 и направляется на первый динод.
Попав на него, электрон за счет вторичной электронной эмиссии выбивает
несколько новых. Вторичные электроны, ускорившись, попадают на второй динод и
также выбивают из него электроны. Число электронов нарастает лавинообразно до
тех пор, пока они после последнего динода не попадут на анод. Усиление фототока
зависит от числа динодов и их коэффициента вторичной эмиссии. Число динодов
(каскадов усиления) в ФЭУ может достигать 10 и более. При коэффициенте
вторичной эмиссии, равном 4, это соответствует увеличению фототока в 106
раз.
Постоянная времени ФЭУ определяется временем развития
электронной лавины между динодами и составляет обычно 10-7- 10-8
с. Фото-умножители специальной конструкции, предназначенные для исследования
быстропротекающих процессов, могут работать до частот более 100 МГц. Такие ФЭУ
способны регистрировать световые импульсы длительностью 4-5 нс.
Недостатками ФЭУ являются некоторая нестабильность и
повышенный темновой ток. Однако при охлаждении жидким азотом (Т =77 К) в
некоторых типах ФЭУ удается уменьшить шумы в такой степени, что оказывается
возможным измерение светового потока мощностью порядка 10-19 Вт.
Такая величина пороговой чувствительности, соответствующая регистрации одного
фотона в секунду, является наилучшей среди всех приемников излучения.
Числовые данные:
постоянная Планка: h =
6,625·10-34Дж·с; W = 1,715 ·10-36 Дж; l = 415 нм = 415 ·10-9 м; с = 3·108 м/с
Формула Эйнштейна:
hн = A + W (1)
Учитывая формулу для скорости света с = л · н получим выражение для
частоты:

Подставляя
в (1) получим

или 
(2)
формула
для вычисления работы выхода
Подставляя
числовые данные

Далее
определим красную границу фотоэффекта: для этого в (1) кинетическую энергию
будем считать нулевым, а частоту н критическим (н = нкр)
hнкр = A + 0 или 
Подставим
числовые значения, получим красную границу фотоэффекта
ЗАДАНИЕ
5
Преобразователи
с переменной длиной воздушного зазора.
Преобразователи этого типа (рис.1,2 ) в основном находят применение для
преобразования малых перемещений и других механических величин (сил, давления и
т.д.), предварительно преобразованных в перемещения. Полное электрическое
сопротивление преобразователя, схематично изображенного на рис.6, можно
записать в следующем виде:

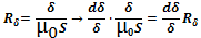
где R - сопротивление обмотки постоянному
току. Поскольку полное магнитное сопротивление Zm носит комплексный характер, то
где Rд - магнитное сопротивление воздушного
зазора. Учитывая, что Rд=д/м0s,

(1)
где
д - длина воздушного зазора; м0=4р·10-7г/м - магнитная
проницаемость воздуха; s - площадь воздушного зазора.
Из
выражения (1) следует, что полное сопротивление преобразователя нелинейно
зависит от величины воздушного зазора д.
Пренебрегая
сопротивлением обмотки постоянному току, для относительного изменения
сопротивления преобразователя, вызванного относительным изменением воздушного
зазора, получим

(2)
Далее
дифференцируем по д:

(3)
Умножим
обе части на 
:

(4)
Учитывая:

(5)
Перепишем
(4) в виде:

(6)
Преобразуем
к виду поделив знаменатель и числитель на 
:

(7)
Переходим
к конечным приращениям:
dz → Дz, dд →
Дд (8)
После
этого можно переписать:

(9)
Введем
обозначение ед=∆д/д - относительное изменение длины воздушного
зазора; Rд -
начальное магнитное сопротивление воздушного зазора. При ед =1

(10)
Из
выражения (10) следует, что при весьма малых относительных изменениях
воздушного зазора, т.е. при весьма малых перемещениях якоря, зависимость еz=f(ед)
оказывается практически линейной. При проектировании преобразователя заданная
величина погрешности линейности является основным ограничением диапазона
входных перемещений.
На
рис.1 приведена схема индуктивного преобразователя с изменяющейся величиной
воздушного зазора, который состоит из ферритового сердечника 1, катушки
индуктивности 2 и подвижного ферритового сердечника 3, который закреплен на
консоле 4.
Рис.
1
При
измерении линейных перемещений Р ферритовый сердечник 3 перемещается
вертикально, изменяя величину воздушного зазора д, что приводит к изменению
индуктивности L преобразователя.
В
качестве измерительной схемы для индуктивных датчиков, как правило,
используется мостовая схема (рис.2).
Рис.
2
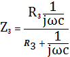
Z1Z3=Z2Z4, (11)
Так как сопротивления, включенные в каждое плечо моста, являются
комплексными. Тогда
Z1=R1+jщL; Z2=R2, (12)

; Z4=R4 (13)
необходимо в уравнение (11) подставить значение комплексных сопротивлений
из уравнений (12) и (13) и получить условие равновесия мостовой схемы,
приравняв между собой вещественные и мнимые части по отдельности:
Z2Z4=R2R4 (14)
Рассмотрим:

,
Учитывая
j2 = -1 и
умножая слагаемые 
на 
получим:

(15)
Умножим
числитель и знаменатель на комплексно сопряженное число с знаменателем
Найдем
произведение Z1Z3:
Сгруппируем
вещественные и мнимые части прировняем к левой части уравнения (11)
Прировняем
между собой вещественные и мнимые части:

(14)

(15)
Рассмотрим
уравнение (15):

(16)
Преобразуем
(14)

и
подставим выражение для С в (14)

Решая
относительно 
находим:

(17)
Величины
сопротивлений резисторов R1 и R2 выбираются из условий максимальной чувствительности
мостовой схемы, которая обеспечиваются при равенстве суммарных сопротивлений
всех плеч мостовой схемы.
Данные
для решения задачи:
R1 = 22 Ом; f = 6 · 103 Гц; L =
21,3 · 10-3 Г
R2 = 200 Ом → R4 = 200 Ом;
Подставим
значение в формулу (17) и получим R3:
Значение
R3 в
выражение (16), получим С:
Таким
образом, найдены все оптимальные параметры элементов моста, которые
обеспечивают его максимальную чувствительность:
R1 = 22 Ом R3 = 32 Ом f = 6 · 103 Гц С = 303
· 10-10 Ф
R2 = 200 Ом R4 = 200 Ом L = 21,3 · 10-3 Г
ЗАКЛЮЧЕНИЕ
В
ходе работы выполнения курсовой работы были изучены устройство, принцип
действия, характеристики преобразователей механического сигнала в виде упругой
балки, пьезоэлектрического преобразователя, емкостного преобразователя,
фотоэлектрического преобразователя и электромагнитных преобразователей.
Проведен ряд числовых расчетов в соответствии с вариантом.
СПИСОК
ИСПОЛЬЗОВАННОЙ ЛИТЕРАТУРЫ
1. Бридли К. Измерительные преобразователи.: Справ.
пособие. -М.: Энергоатомиздат, 1991.
. Проектирование датчиков для измерения механических
величин. /Под ред. Е.П. Осадчего.- М.: Машиностроение, 1978.
. Электрические измерения неэлектрических величин:
Учеб. пособие /Под ред. П.В. Новицкого. - М.: Энергия, 1975.
. Поляков В.Е., Потапов А.И. Пьезоэлектрические
первичные преобразователи: Учеб. Пособие - СПб.: СЗПИ, 1993