|
Обозначение
|
Наименование и единица
измерения
|
Значение
|
|
РПРД БС
|
Мощность передатчика БС,
дБВт
|
13
|
|
GПРД БС
|
К-т усиления передающей
антенны БС , дБ
|
18
|
|
fПРД БС
|
Полоса рабочих частот
передачи БС, МГц
|
935-960
|
|
РПРМ БС
|
Чувствительность приемника
БС, дБВт
|
-138
|
|
GПРМ БС
|
К-т усиления приемной
антенны БС , дБ
|
18
|
|
fПРМ БС
|
Полоса рабочих частот
приема БС, МГц
|
890-915
|
|
РПРД МС
|
Мощность передатчика МС,
дБВт
|
-3
|
|
GПРД МС
|
К-т усиления передающей
антенны МС, дБ
|
0
|
|
fПРД МС
|
Полоса рабочих частот
передачи МС, МГц
|
890-915
|
|
РПРМ МС
|
Чувствительность приемника
МС, дБВт
|
-104
|
|
GПРМ МС
|
К-т усиления приемной
антенны МС, дБ
|
0
|
|
fПРМ МС
|
Полоса рабочих частот
приема МС, МГц
|
935-960
|
Рельеф местности в зоне обслуживания ∆hБС системы
подвижной радиосвязи определяется по карте местности с учетом расположения
трехсекторной антенны К730380 в месте расположения БС.
Коэффициент
согласования антенны с радиосигналом по поляризации (для передатчика и
приемника) принимается равным
.
базовый
станция радиоволна покрытие
1.
Определение зоны покрытия трехсекторной БС с помощью моделей предсказания, учет
потерь при распространении радиоволн
Основу территориального планирования составляет энергетический расчет, в
процессе которого определяется архитектура сети и ее пространственные
координаты с учетом качества обслуживания и информационной нагрузки. Заданное
качество принятого сигнала определяется чувствительностью приемника. В общем
виде уравнение передачи может быть представлено как:
(1)
где РПРМ - мощность радиосигнала на входе приемника
(определяется чувствительностью приемника);
РПРД - мощность передатчика;
ηФПРД,
ηФПРМ- КПД передающего и приемного
фидеров;
GАПРД, GАПРМ - коэффициенты усиления передающей и приемной антенн;
ξП, ξС - коэффициенты согласования антенн с радиосигналом по
поляризации;
LΣ - суммарное затухание радиоволн на
трассе.
Значение мощности радиосигнала на входе приемника удобно выражать в
децибелах относительно ватта. При этом уравнение (1) принимает вид:
(2)
По этой формуле несложно определить суммарные энергетические потери,
возникающие на трассе распространения радиоволн:
(3)
Для БС суммарное затухание радиоволн на трассе равно:
Для
МС суммарное затухание радиоволн на трассе равно:
Определим
суммарное затухание радиоволн как потери распространения для соответствующего
типа местности LР и
поправки, учитывающей рельеф местности LРЕЛ:
(4)
Определим поправку, учитывающей рельеф местности. Для этого в районе
ориентировочного местоположения БС на карте города выбираем место, которое
будет удовлетворять одновременно следующим условиям:
для размещения антенны БС в соответствующем районе имеется подходящее по
условиям задания здание или опора, на которых можно арендовать площадь для
размещения антенны БС;
перед антенной БС на расстоянии приблизительно 5 км для GSM-900 и 3 км для GSM-1800 не должно быть значительных
возвышенностей (экранов), желательно во всех трех направлениях, для которых
производится расчет (север, юго-запад и юго-восток).
На данном рисунке также отмечено здание, на котором будет устанавливаться
базовая станция. Это девятиэтажное
здание.
Рисунок 1 - Местоположение БС
Рисунок- 2 проекция местности
Рассчитаем высоту данного здания вместе с антенной:
h=9*3=27
м
Вместе с антенной: h=27+3=30
метров.
Строим в трех направлениях рельеф местности. На рельефе указываем высоты
для следующих точек местности: первая точка - точка расположения антенны БС;
следующие точки выбираем через 5 км для стандарта GSM-900 в каждом направлении и через 3 км для стандарта GSM-1800 в каждом направлении. Получим
по 6 точек в каждом направлении, соединив которые плавной линией, определим в
соответствующем направлении рельеф местности.
В данной работе используется трехсекторная антенна, разделим местность на
3 сектора: сектор А - 0º, сектор В - 120º, сектор С - 240º.
Рисунок 3- Три сектора местности
Рисунок 4- Рельеф местности в направлении к
северу от БС
Рисунок 5-Рельеф местности в направлении к
юго-западу от БС
Рисунок 6-Рельеф местности в направлении к
юго-востоку от БС
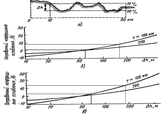
Определим поправки, учитывающие рельеф местности для всех трех
направлений. Коэффициент Lрел
определяем,
интерполируя между графиками рисунка 6,5,4.
Рисунок 7-
График для определения
поправки, учитывающей рельеф местности
При
;
дБ -
секторА - 0º
При
;
дБ -
сектор В - 120º
При
;
дБ -
сектор С - 240º
Определим
потери распространения для соответствующего типа местности:
.
От БС к МС:
дБ -
секторА - 0º
дБ -
сектор В - 120º
дБ -
сектор С - 240º
.
От МС к БС:
дБ -
секторА - 0º
Определив
из потери распространения для соответствующего типа местности LР, можно приступить к определению радиуса зоны покрытия
базовой станции с помощью эмпирических моделей Окомура и Хата, Волфиша-Икегами
(WIM).
. Модель COST231-Хата
Могенсен с соавторами предложил расширить модели Окомура и Хата на
частотный диапазон от 1,5 до 2 ГГц. В этом диапазоне использование модели
Окомура и Хата приводит к недооценке затухания сигнала. Модель COST231-Хата
справедлива для несущих частот в диапазоне от 1,5 до 2 ГГц, высоте антенны
базовой станции от 30 до 200 м, высоте антенны подвижной станции от 1 до 10 м и
расстоянию между ними от 1 до 20 км. Модель позволяет оценивать затухание по
формуле
, (3.11)
Где
С - постоянная: для средних городов и пригородных районов с умеренной
растительностью С = 0 и для центров крупных городов С = 3.
Формально
модели Окомура и Хата и COST231-Хата можно использовать только для высоты
антенны базовой станции, превышающей 30м, однако их применение возможно и для
более низких высот при условии, что соседние строения значительно ниже антенны.
Модель
COST231-Хата не подходит для оценки затухания сигнала при расстояниях между
подвижной и базовой станциями менее 1 км. В этом случае затухание сильно
зависит от топографии местности, в которой происходит распространение сигнала.
Эту модель также нельзя использовать для оценки распространения сигнала по
улицам с высокими строениями (по так называемым уличным каньонам).
м- высота
антенны базовой станции
м- высота
антенны мобильной станции
1.От БСк МС:
МГц
.1 СекторА - 0º:
1.2 Сектор В - 120º:
км
.3
Сектор С - 240º:
км
. От МС к БС:
МГц
2.1 Сектор А
- 0º:
км
Результаты расчета сведем в таблицу 4.
Таблица 4 - Результаты расчётов модели Окомура и Хата
|
Направление сектора БС
относительно СП, град.
|
Потери при распространении,
LP, дБ
|
Ожидаемое расстояние между
БС и МС, км
|
Ожидаемое расстояние между
МС и БС, км
|
|
БС-МС
|
МС-БС
|
|
|
|
Сектор С
|
136,2
|
154,2
|
0,987
|
3,465
|
|
Сектор Ю-З
|
146,7
|
|
1,962
|
|
|
Сектор Ю-В
|
128,45
|
|
0,594
|
|
. Модель Волфиша-Икегами (WIM)
Потери распространения для соответствующего типа местности показывают,
что уровень сигнала заметно флуктуирует из-за изменения высоты зданий, ширины
улиц, характера местности. Поэтому, определив радиус зоны покрытия БС по
модели, указанной в задании, необходимо повторить расчет радиуса зоны покрытия,
используя модель Волфиша-Икегами (WIM), нашедшую еще более широкое применение в
области мобильных технологий. Модель WIM используется при расчете затухания в
городской среде.
Модель может применяться в случаях, когда антенна базовой станции
расположена как выше, так и ниже линии уровня крыш городской застройки. В
совокупность эмпирических факторов, учтенных расчетной формулой входят высоты
антенн базовой и подвижной станций, ширина улиц, расстояния между зданиями,
высота зданий и ориентация улиц относительно направления распространения сигнала.
В модели WIM различают два случая LOS (прямая видимость) и NLOS
(non-line-of-sight, т.е. в случае непрямой видимости). В случае LOS, если на
прямой распространения сигнала от передатчика и приемника нет заграждений, то
WIM-модель описывается уравнением:
(12)
Потери в свободном пространстве:
(13)
(14)
где dm - расстояние в метрах.
Параметры, также используемые в NLOS WIM: b- высота антенны
базовой станции(40-50 м от земли);m- высота антенны абонента (1-3 м
от земли);B- высота зданий;
- высота
антенны базовой станции от уровня крыш;расстояние между зданиями (20-50 м);
ω-ширина улиц (обычно b/2);
Теперь
рассмотрим несколько вариантов в случае NLOS WIM.
:
(15)
:
(16)
:
(17)
Как правило, городские районы застроены разновысокими зданиями. Ширина
улиц и расстояние между зданиями также колеблются в широких пределах. Поэтому
при расчете по модели WIM
принимаем несколько условий:
высота одного этажа в жилом здании принимается равной3 м;
в одноэтажных жилых зданиях высота неплоской крыши принимается равной 2
м;
расстояние между одноэтажными зданиями не менее 5 м;
ширина улиц, застроенных одноэтажными домами не менее 10 м;
расстояние между многоэтажными зданиями принимается равной 20м;
ширина улиц, застроенных многоэтажными зданиями принимается равной20 м;
высота одного этажа в офисном учебном и т. п. помещении принимается
равной3,5 м;
высота одного этажа промышленного предприятия принимается равной7,5 м.
Следовательно, необходимо знать процент застройки района, в котором
размещается антенна БС, зданиями различного типа. На основании этого
определяется средняя высота зданий, среднее расстояние между зданиями и средняя
ширина улиц для всего района, определенного в задании.
Высоту
здания, на котором будет размещена антенна БС, усреднять не рекомендуется. Зная
высоту этого здания и высоту положения антенны БС в соответствии с заданием,
можно определить
- высоту антенны базовой станции от уровня крыш.
м
м
м
м
м
м
LOS:

1.
От БС к МС:
МГц
.1Сектор
А - 0º:
LOS:
NLOS:
1.2
Сектор В - 120º:
LOS:
:
1.3 Сектор С
- 240º:
LOS:
:
.
От МС к БС:
МГц
2.1 Сектор А
- 0º:
Результаты
расчета сведем в таблицу 5.
Таблица
5 - Результаты расчётов модели Волфиша-Икегами(WIM)
|
Направление сектора БС
относительно СП, град.
|
Потери при распространении,
LP, дБ
|
Ожидаемое расстояние между
БС и МС, км
|
Ожидаемое расстояние между
МС и БС, км
|
|
БС-МС
|
МС-БС
|
|
|
|
Сектор С
|
136,2
|
154,2
|
3,957
|
4,261
|
|
Сектор Ю-З
|
146,7
|
|
2,541
|
|
|
Сектор Ю-В
|
128,45
|
|
4,297
|
|
По произведенным расчетам представим зоны покрытия БС и МС.
Рисунок 8 -
Зона покрытия БС, рассчитанная с помощью модели Окомура и Хата
Рисунок 9-
Зона покрытия БС, рассчитанная с помощью модели Волфиша-Икегами(WIM)
Заключение
В ходе выполнения данной курсовой работы мной была определена зона
покрытия БС стандарта GSM, расположенной в центральном районе города Алматы,
эмпирическим методом. Также было рассчитано покрытие МС двумя методами.
Модель Окумуры-Хаты - наиболее известная и используемая модель
предсказания, позволяет оценить размер зон обслуживания соты системы подвижной
связи по уровню затухания сигнала, но не проводит оценку зависимости уровня
сигнала от рельефа местности, погодных условий, времени суток, уровня помех.
Модель Волфиша-Икегами рассчитана на плоское основание города, из-за чего
она не применима для городов с сильной неравномерностью рельефа. Модель может
применяться в случаях, когда антенна базовой станции расположена как выше, так
и ниже линии уровня крыш городской застройки. В совокупность эмпирических
факторов, учтенных расчетной формулой входят высоты антенн базовой и подвижной
станций, ширина улиц, расстояния между зданиями, высота зданий и ориентация
улиц относительно направления распространения сигнала.
По полученным вычислениям видно, что результаты расчетов зон покрытия
базовой и мобильной станции двумя методами приблизительно одинаковы, что
подтверждает справедливость использования двух рассмотренных методов.
Список литературы
1 Агатаева Б.Б., Сарженко Л.И. Мобильные телекоммуникации и
цифровые системы передачи. Методические указания и задания к выполнению
курсовой работы для студентов всех форм обучения специальности 5В0719 -
Радиотехника, электроника и телекоммуникации. - Алматы: АИЭС, 2010. -18 с.
Бабков В.Ю., Вознюк М.А., Дмитриев В.И. Системы мобильной
связи / СПб ГУТ. - СПб,1999. - 330с.
Веселовский К. Системы подвижной радиосвязи / Пер. с польск.
И.Д. Рудинского; под ред. А.И. Ледовского. - М.: Горячая линия - Телеком, 2006.
- 536с.
Печаткин А.В. Системы мобильной связи. Часть 1.- Рыбинск:
РГАТА, 2008.
Коньшин С.В., Сабдыкеева Г.Г. Теоретические основы систем
связи с подвижными объектами: Учебное пособие. - Алматы: АИЭС, 2002.
6 Коньшин С.В. Подвижные
телекоммуникационные радиосистемы: Учебное пособие. - Алматы: АИЭС, 2003.