Расчет дальности действия радиолокационной станции в различных условиях помеховой обстановки
ВОЕННАЯ
АКАДЕМИЯ РЕСПУБЛИКИ БЕЛАРУСЬ
Контрольная
работа
по
дисциплине: Основы радиолокации
Тема: Расчет
дальности действия РЛС в различных условиях помеховой обстановки
Минск 2013
Исходные данные
Параметры РЛС
№
вар Тип сигнала
кВт


град
|
град D
|
|
|
|
|
|
|
|
|
|
|
4
|
КФМ
|
200
|
30
|
5
|
180
|
2
|
20
|
12
|
0,75
|
0,07
|
Параметры РЛС и характеристики цели
|
№
вар
|
|
,
м
|
|
|
|
|
20
|
51
|
5200
|
-30
|
4
|
310
|
Параметры АШП и мешающих отражений
|
№
вар
|
|
град
|
,
град
|
|
  , / rмин,
км
|
|
|
|
20
|
510
|
60
|
30
|
130
|
5,5
|
45
|
12
|
1. Расчет дальности действия РЛС в
свободном пространстве
Расчет требуемого отношения
сигнал/шум
на выходе
устройства КН, если когерентное накопление осуществляется на всём интервале
наблюдения при
.

Расчёт значения опорной дальности
обнаружения
(дальность
обнаружения целей на фоне собственных шумов при
)
Расчёт дальности обнаружения РЛС в
свободном пространстве
:
Качество принятия решения
характеризуется вероятностной оценкой, поэтому о дальности обнаружения можно
говорить только с вероятностью правильного обнаружения Dи ложной тревоги F. Чем
лучше требуемые характеристики обнаружения Dи F, тем больше требуемое для их
обеспечения отношение сигнал-шум, тем меньше дальность обнаружения
целей.Дальность обнаружения определяется средней мощностью зондирующего сигнала
,направленностью
передающей антенны
,
эффективной площадью раскрыва приёмной антенны, эффективной отражающей
поверхностью цели
и суммарной
спектральной плотностью шума.
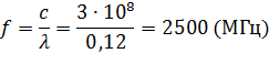
2. Расчет дальности действия РЛС с
учетом условий распространения радиоволн
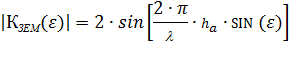
Поле дальней зоны у цели
складывается из прямого сигнала и переотраженного от подстилающей поверхности
Для учета влияния подстилающей
поверхности на дальность действия вводят т.н. интерференционный множитель Земли
Для заданных условий наблюдения цели
рассчитаем значение множителя Земли. При вычислениях считаем, что ДНА
симметричная, а подстилающая поверхность гладкая.

|
|
0
|
5
|
10
|
15
|
20
|
25
|
30
|
35
|
40
|
45
|
|
|
0
|
1,98
|
0,57
|
1,73
|
1,51
|
0,47
|
1,84
|
1,89
|
1,35
|
0,96
|
|
|
50
|
55
|
60
|
65
|
70
|
75
|
80
|
85
|
90
|
|
|
|
1,03
|
1,56
|
1,99
|
1,05
|
1,48
|
1,04
|
1,99
|
1,69
|
1,44
|
|
Рис. 2
Рассчитаем
дальность прямой видимости цели
,
Для заданных условий наблюдения цели
определим значение множителя атмосферы, дальность обнаружения цели с учетом
коэффициента затухания в атмосфере.
Рис. 3

3. Расчет дальности
действия РЛС на фоне активной шумовой помех
А) Расчет дальности действия РЛС на
фоне активной маскирующей помехи в случае самоприкрытия цели (помеха по
основному лепестку ДНА),
). Отношение помеха/шум:
). Дальность действия РЛС на фоне
АШП в случае самоприкрытия цели:
Б) Расчет дальности действия РЛС на
фоне активной маскирующей помехи в случае постановки ее по боковым лепесткам
ДНА, если уровень боковых лепестков ДНА равен
1) Отношение помеха/шум:
) Дальность действия РЛС на фоне АШП
в случае постановки помехи по боковому лепестку ДНА РЛС:
Дальность
действия РЛС на фоне АШП,воздействующих по боковым лепесткам ДНА снижается обратно
пропорцонально корню 4-й степени из мощности помехи(или остатков от её
компенсации). При воздействии АШП по главному лепестку ДНА дальность действия
РЛС резко снижается.
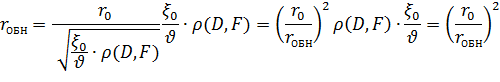
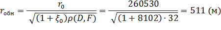
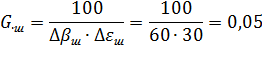
Расчет
коэффициента подавленияМО для обеспечения дальности обнаружения цели равной 50%
от величины дальности действия РЛС в свободном пространстве.
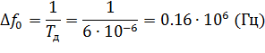
4.
Расчет дальности действия РЛС на фоне мешающих отражений
Рис. 4
Расчет дальности действия РЛС на
фоне мешающих отражений от объемно распределенных отражателей
1. Это случай
протяженного облака
,
т.к.
.
. Расчет Отношения СПМ
без подавления (
):
=
)
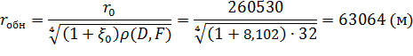
Расчет дальности действия:
Дальность действия на фоне МО при
редкоимпульсном излучении существенно снижается. Причём, наиболее заметно такое
снижение на фоне МО от поверхностно распределённых помех.
Переход к квазинепрерывному
излучению предпочтителен, когда цель находится в зоне МО на дальностях до
радиогоризонта.
На больших дальностях или при
наблюдении цели вне зоны МО предпочтительнее использование импульсного сигнала.
Выводы
Качество принятия решения
характеризуется вероятной оценкой, поэтому о дальности обнаружения можно
говорить только с вероятностью правильного обнаружения D и ложной тревоги F.
Чем выше требуемые характеристики Dи F тем больше требуемое для их обеспечения
отношение сигнал - помеха, тем меньше дальность обнаружения целей.
Поверхность и атмосфера Земли
сказываются в общем случае на распространение радиоволн до цели и обратно, а
значит влияют на мощность отраженного сигнала и на дальность его обнаружения.
Затухание радиоволн в тропосфере
вызывается поглощением и рассеянием их энергии свободными молекулами кислорода,
водяного пара, влагой и пылью.
Величина затухания сильно зависит от
длинны волны, уменьшаясь с её ростом. Затухание приводит к сокращению дальности
действия РЛС. При наличии постановщиков АШП дальность обнаружения уменьшается,
а если цель сама является постановщиком АШП, то дальность обнаружения резко
снижается.