Разработка структурной схемы местоопределения
Курсовая
работа
по
дисциплине: Основы радиопеленгации и радиоперехвата
тема:
Разработка структурной схемы местоопределения
Минск,
2009
1. Задание на курсовую работу
.1 Исходные данные
1. Метод определения местоположения - угломерно-разностно-дальномерный.
. Координаты приемных позиций по оси X
:a
,
км=-25в ,
км=25
. Координаты приемных позиций по оси Y :
Ya
, км=0
. Пеленг из точки А на источник излучения
: Θao=45
.
. Пеленг из точки B
на источник излучения : Θвo=---.
. Коэффициент шума приемника: Kш
=4.4.
. Условная вероятность ложной тревоги: F
=10-6.
. Импульсная мощность сигнала источника
излучения:P0
,мВт =2.
. Длительность импульса источника
излучения: T0
, мкс =3.
. Вид обработки: корреляционный РЧ.
. Измеритель: Квазиоптимальный
дискриминатор ФМС с суммарно-разностной обработкой.
. Круговая среднеквадратическая ошибка: Rскдоп
, км =1.
. Коэффициент неидентичностей приемных
каналов по амплитуде: a=0.9.
. Неидентичность приемных каналов по
фазе: ∆φ0
,=4.
. Ширина ДНА источника излучения:∆Θрпу0
=10.
. Средний уровень боковых лепестков ДНА
по мощности источника излучения: ŋрпу , дБ=23 .
. Длинна волны λ,м=0.3.
. Ширина ДНА приёмной антенны ∆ΘРПрУ0,град=30.
19. Время
разности хода
АВ,мс=0.03
2. Выполнение
курсовой работы
.1 Разработка структурной схемы
местоопределения
.1.1 Принцип определения координат
при заданном методе местоопределения
• Построение на местности приемных
позиций.
Местоопределение источника излучения при
угломерно-разностно-дальномерном способе определения находится как точка
пересечения двух линий пересечения: прямой линии и гиперболы.
Система местоопределения, реализующая данный
способ состоит из нескольких (в нашем случае двух) территориально разнесенных
на местности радиопеленгационных пунктов, имеющих в своём составе
радиопеленгатор в точке А и измеряющего направление Θ
и двух приёмных станций соответственно в точках А и В и измеряющих разность
расстояний от источника до приёмных пунктов, узлы и средства связи, средства
сбора пеленгов, средства вычисления и отображения координат пеленгуемых
источников радиоизлучения.
Данная радиопеленгаторная сеть состоит из двух
радиопеленгаторов, координаты которых в прямоугольной системе координат XOY:
РП1 (в точке А) - (-25;0), РП2 (в точке В) - (25;0).Первый радиопеленгатор
(РП1) пеленгует источник излучения под углом Θa0=450,
радиопеленгатор (РП1) совместно с (РП2)определяют разность расстояний - с
временем разности хода
АВ,
=0.03 мс. Положение источника излучения (точка М) определяется как точка
пересечения линии положения и гиперболы проведенной на карте (Рис.1) под углом
Θa0
из точки расположения РП1 и совместной работы РП1 с РП2 по определению разности
расстояния соответственно.
• Расчёт координат источника
радиоизлучения.
Итак, координаты источника радиоизлучения (точка
М) могут быть найдены по формулам:
Xм
=
=19.3км
Yм=ctgΘa0(Xм+
d/2)=ctg45•(19.3+25)=44.3км
где 2a=rp=(ra-rb)=C∙
АВ∙2=3•108
3•10-5•2=18кмp-
разность расстояний
Таким образом: М(19.3;44.3)
.1.2 Структурная схема системы
местоопределения
• Структурная схема системы
местоопределения.
В пункте 2.1.1. мы уже изобразили приёмную
позицию, структурная схема системы местоопределения для рис.1 имеет следующий
вид:
Назначение основных элементов системы.
Распишем назначение основных элементов
приведенной выше структурной схемы системы местоопределения:
.Радиопеленгаторы (измерители) 1 и 2 - на основе
измерения параметров электромагнитной волны определяют радиопеленгационные
параметры, значения которых поступают в счетно-решающее устройство.
. Вычислительное (счётно-решающее) устройство -
определяет координаты источника радиоизлучения в той или иной системе координат
(в нашем случае в прямоугольной системе координат X0Y),
в результате обработки данных, поступающих с радиопеленгаторов.
2.1.3 Расчёт ошибок определения
координат источника радиоизлучения
• Расчёт параметров эллипса рассеивания в точке
источника радиоизлучения.
Расчёт отношения сигнал/шум для первого и
второго радиопеленгаторов:
(1)
(2)
где 
- энергия принятого на пеленгаторе
сигнала (
);
- спектральная плотность шума.
, (3)
где
-мощность принятого на пеленгаторе
сигнала (
);
-длительность импульса источника
излучения (по условию
=3 мкс).
, (4)
где к- постоянная Больцмана
(к=1.38
);
-коэффициент шума приемника (по
условию
=4.4);
- шумовая температура (
=300К)
; (5)
где
-импульсная мощность сигнала
источника излучения (по условию
);
-коэффициент усиления передающей
антенны;
- коэффициент усиления приемной
антенны;
- длина волны (по условию
=0.3м);
r- расстояние
от пеленгаторов до источника излучения.
местоположение
координата радиоизлучение обнаружитель
; (6)
где
- ширина ДНА источника излучения ;
Переведем
из дБ в
разы, использовав следующею формулу:
=
(7)
Итак, расчет отношения сигнал/шум
для 1-го и 2-го радиопеленгаторов начнем с определения коэффициентов усиления
передающей антенны, подставив в выражение (6) данные из условия.
=2.004раз; (8)
Вычислим расстояния от РП-ов до
источника излучения (
):
= 62.6км; (9)
где угол 45
-угол
наклона 1-ой линии положения к оси ОХ.
=44.6км (10)
Теперь определим мощность принятых
на РП-ах сигналов (
и
) по формуле
(5):
=
=5.835•10-14Вт;
=
=1.149•10-13Вт
На основе полученных данных
рассчитаем энергию принятых на РП-ах сигналов, используя выражение (3):
= 5.835∙10-14•3•10-6=17.5∙10-20
Вт
c
=1.149∙10-13•3•10-6=34.5∙10-20
Вт
c
Спектральная плотность шума имеет
следующее численное значение:
= 1.38•10-23•4.4•300=1.8∙10-20
Вт
c
Таким образом, для вычисления отношения
сигнал/шум получены все численные значения. Тогда, подставляя их в выражение
(2), получим:
=
=3.1 ;
=
=4.35 ;
Отношение сигнал/шум было найдено
нами для того, чтобы в последствии определить среднеквадратическое отклонения
(СКО)
Но сначала определим характеристику
радиопеленгаторов 1-го и 2-го -вероятность правильного обнаружения РП-ов 1 и 2-D
и D
:
=
;
=
;
А теперь вычислим
- СКО
измерения пеленга и
СК значение
погрешности измерения разности времён запаздывания:
=
;
C∙
=
=3∙108
3∙10-5•1.8∙10-20/34.5•10-20=0.47км;
=
= 1.56
c;
Ψ=arcsin((d∙sinΘ)/
)=arcsin((50
sin45)/44.6)=52.40
На основе полученных численных
значений
и
найдем
и
―СКО
измерения линий положения 1 и 2:
=ra
=62.6км
=169•10-2км
=
/(2∙sin(ψ/2))= (0.47)/(2∙sin(52.4/2))=53.2•10-2
км
Теперь непосредственно перейдем к расчету
параметров эллипса.
Определим угол отклонения от
биссектрисы из угла
,который
является углом пересечения линий положения v :
V=
arctg
(11)
можно определить при помощи приведенного
выше рисунка.
= Ψ/2=52.40/2=26.20
Зная
, можем найти v ,подставив значение
в выражение
(11)
V=
arctg
=10.90
Чтобы построить эллипс рассеивания
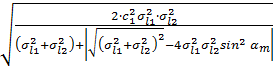
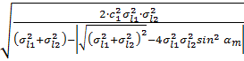
нужно найти малую и большую полуоси, для этого воспользуемся формулами:
a=
b=
;
Тогда:
a=4км b=0.51км
Зная малую (b) и большую(a) полуоси
построим эллипс рассеивания:
2.2 Разработка структурной схемы
обнаружителя сигнала
.2.1 Структурная схема обнаружителя
при заданном способе обработки
· Алгоритм работы обнаружителя.
Согласно условию,вид обработки-корреляционная
обработка на радиочастоте. Таким образом,алгоритм работы фильтрового
обнаружителя:
где
-функция обратная функции
.
Э- энергия сигнала No-
энергия шума. Схема обнаружителя при заданном способе обработки для сигнала со
случайной начальной фазой и амплитудой.
Для сигнала со случайной начальной фазой
необходимо вычислить модуль корреляционного интеграла и сравнить с порогом .
Этот обнаружитель с двумя корреляционными
каналами-их наличие обуславливается неизвестной начальной фазой сигнала. Если
опорный сигнал оказывается сдвинутым по фазе в одном из каналов на 90 градусов,
то в этом канале приращение напряжения на выходе интегратора не будет.
Соответственно будет в другом канале устройства и максимальное. В результате на
выходе результат обработки квадратурных каналов не будет зависеть от начальной
фазы сигнала.
Временные диаграммы поясняющие
принцип работы обнаружителя
.2.2 Расчет характеристик
обнаружителя сигнала
· Расчет отношения сигнал/шум на
выходе обнаружителя.
Обнаружителями являются радиопеленгаторы .Таким
образом расчёт отношения сигнал/шум произведён ранее в пункте 2.1.3
=
=3.1 ;
=
=4.35 ;
Расчёт вероятности правильного
обнаружения для сигнала со случайной начальной фазе и амплитуде. Расчёт
вероятности правильного обнаружения для 1-го и 2-го РП-ов как и отношение
сигнал/шум был выполнен ранее в пункте 2.1.3.
=
;
=
;
Оба пеленгатора обладают невысокими
характеристиками обнаружения сигнала источника радиоизлучения. По результатам
расчётов для 1-го РП из 27-мь из 100-та а для 2-го РП 50 из 100-та
произведённых попыток обнаружения будет успешной.
.3 Разработка структурной схемы
измерителя координат
.3.1 Структурная схема измерителя
при заданном способе обработки
Согласно исходным данным, измерителем является
квазиоптимальный дискриминатор ФМС с суммарно-разностной обработкой.
•Алгоритм работы измерителя
Dфмс(t,∆)=
Im{Z*+(t,Θизм)|-|Z
-(t,Θизм)}
Z+(t,Θизм)=А(∆)(еiФ1(∆)+еiФ2(∆))∙Z(t)
;
Z -(t,Θизм)=А(∆)(еiФ1(∆)-еiФ2(∆))∙Z(t)
;
•Схема измерителя координат.
•Принцип измерения координат. После
обработки в каналах дискриминатора суммарный и разностный сигналы перемножаются
в фазовом детекторе выделяющем(с учётом сдвига опорного сигнала в одном из
каналов на п/2 радиан)мнимую часть произведения разностного и
комплексно-сопряжённого суммарного сигнала в соответствии с алгоритмом
формирования сигнала ошибки.
•Расчет ошибок измерения координат,
обусловленных не идентичностью каналов приёма.
-коэффициент не идентичности
приёмных каналов по амплитуде(α=0.9)
Расчёт произведём для 1- го РП-ра
по формуле:
;
2.4 Построение рабочей зоны системы
местоопределения
· Определение рабочей зоны системы
местоопределения.
Район, в пределах которого линейная ошибка с
определенной вероятностью не превышает допустимую величину (Rск
≤Rдоп)
называется рабочей зоной.
· Методика построения рабочей зоны
системы местоопределения.
Для построения рабочей зоны
угломерно-разностно-дальномерной системы местоопределения рассмотрим следующий
алгоритм - порядок построения зон пеленгования:
. По известным значениям
среднеквадратической ошибки измерения разности времён запаздывания
по
формуле Rскmin=с•
определяется среднеквадратическая круговая ошибка.
2. По значению ошибки Rск
min
и заданному или допустимому значению Rск
доп вычисляется нормированная среднеквадратическая
ошибка
3. На графике ρ=f(g,φ)
(по
рис.5.14 и рис.5.21 приведенных в литературе [2])
по оси координат откладывается значение ρ из
этой точки, проводится линия параллельно оси абсцисс (g), позволяющая получить
множество точек пересечения с ветвями графика.
. Последовательно из каждой точки
пересечения на ось абсцисс опускается перпендикуляр и находится отношение g=rί/d,
соответствующее определенному значению φi.
. По найденному отношению g=rί/d
и заданной величине d
определяются значения rί
для
углов φί,
которые откладываются на лучах, проведенных из центра базы под углами
φi
.
. Соединяем плавной кривой точки на лучах
и получаем линию равной точности в пределах площади ограниченной этой кривой
сохраняется условие . Rск
≤Rскдоп
· Результаты расчета рабочей зоны.
Определяем среднеквадратическую круговую ошибку:
Rск min=С•
=0.47км/2=0.235км
Вычисляем нормированную среднеквадратическую
ошибку:
=
|
φ,град
|
5
|
15
|
25
|
35
|
45
|
55
|
65
|
75
|
85
|
|
g
|
1.56
|
1.75
|
1.08
|
1.47
|
1.45
|
1.68
|
1.8
|
1.2
|
1.2
|
|
r=gd
|
76
|
87.5
|
54
|
73.5
|
72.5
|
84
|
90
|
60
|
60
|
Расчет ошибок
измерения координат, обусловленных шумами.
Расчет, как и в предыдущем пункте, будем
производить для 1-го РП-ра.
Используем формулу:
Тогда:
;
· Расчет суммарной ошибки измерения.
Для расчета используем следующую формулу:
Δ∑=Δα+
Δφ
Тогда
Δ∑=Δα1+
Δφ1=
;
Ошибки возникают из-за не идентичности приемных
каналов по амплитуде и фазе.
Вид рабочей системы местоопределения
Данная система местоопределения не может
измерять координаты близко находящихся источников радиоизлучения, так как
иметься внутренний контур рабочей зоны.
Литература
1. Основы радиоперехвата и анализа
радиоизлучений. Часть 1. Обнаружение и спектральный анализ радиоизлучений:
Учебное пособие/ А.К. Федоров, В.В Латушкин - Минск. Военная академия,
1997-166с.
. Основы радиопеленгации. Часть 1.
Системы местоопределения источников радиоизлучения. Учебное пособие/ В.В
Латушкин, А.К Федоров. Минск: Военная академия, 1997.-91 с.
. Основы радиопеленгации. Часть 2.
Радиопеленгаторы. Учебное пособие / В.В. Латушкин - Минск: Военная академия,
1999-199с.
. Конспект лекций