Разработка рекомендаций по применению систем функционального дополнения спутниковой навигации

  • Вид работы:
    Дипломная (ВКР)
  • Предмет:
    Информатика, ВТ, телекоммуникации
  • Язык:
    Русский
    ,
    Формат файла:
    MS Word
    1,71 Мб
  • Опубликовано:
    2013-07-27
Вы можете узнать стоимость помощи в написании студенческой работы.
Помощь в написании работы, которую точно примут!

Разработка рекомендаций по применению систем функционального дополнения спутниковой навигации

Аннотация

В дипломной работе «Разработка рекомендаций по применению систем функционального дополнения спутниковой навигации» рассмотрены основы действия и характеристики спутниковых навигационных систем, виды систем наземного функционального дополнения и их особенности, описание и работа контрольно-корректирующей станции, метод частотной модуляции с минимальным сдвигом для передачи диффпоправок, сделан расчет дальности действия контрольно-корректирующей станции. Приведены рекомендации по эффективному применению контрольно-корректирующей станции.

Страниц-67;

Рисунков-21;

Таблиц-8.

Условные обозначения

Xi - координаты i-того спутника ;

Yi - координаты i-того спутника ;

 Zi - координаты i-того спутника ;

X0 , Y0 , Z0 - координаты потребителя ;

ri - измеренная псевдодальность до i-того спутника ;

δr - ошибка в измерении дальности до НКА за счет рассогласования шкал времени НКА и потребителя ;

∆t - рассогласование шкал времени НКА и потребителя ;

C - скорость света;

m - номер строки в навигационном кадре ;

tk - время начала кадра внутри текущих суток, определяемое в шкале бортового времени ;

tb - порядковый номер временного интервала внутри текущих суток по шкале системного времени ГЛОНАСС, к середине которого относится передаваемая в кадре оперативная информация ;

M - модификация НКА, излучающего сигнал («00» - ГЛОНАСС, «01» - ГЛОНАСС - М) ;

γn(tb) - относительное отклонение несущей частоты спутника n от номи-нального значения на момент времени tb;

fn(tb) - прогнозируемое значение несущей частоты спутника n с учетом гравитационного и релятивистского эффектов на момент времени tb;

fнn - номинальное значение несущей частоты n-ного спутника;

τn(tb) - сдвиг на момент времени tb шкалы времени (tn) спутника n относительно шкалы времени (tс) системы . τn(tb)= tс(tb)-tn(tb) ;

xn(tb), yn(tb), zn(tb) - координаты спутника n в системе координат ПЗ-90 на момент времени tb ;

xn(tb), yn(tb), zn(tb) - составляющие вектора скорости спутника n в системе координат ПЗ-90 на момент времени tb ;

xn(tb), yn(tb), zn(tb) - составляющие ускорения спутника n в системе координат ПЗ-90 на момент времени tb , обусловленное действием Луны и Солнца ;

Bn - признак недостоверности кадра спутника n (символ «1» в старшем разряде обозначает непригодность данного спутника для навигационных определений) ;

P - признак режима работы НКА по частотно-временной информации;

NT - календарный номер суток внутри четырехлетнего интервала, начиная с високосного года ;

FT - фактор точности измерений, характеризующий ошибку набора данных на момент времени tb , излучаемых в навигационном сообщении ;

n - номер НКА, излучающего данный навигационный сигнал ;

∆τn - смещение навигационного радиосигнала поддиапазона L2 относительно навигационного радиосигнала поддиапазона L1, излучаемого спутником n;

tf1 - аппаратурные задержки соответствующих поддиапазонов ;

tf2 - аппаратурные задержки соответствующих поддиапазонов ;

En - интервал времени между расчетом (закладкой) оперативной информации для спутника n и моментом времени tb (характеризует возраст оперативной информации) ;

P1 - признак величины интервала времени (мин) между значениями tb в данном и предыдущем кадрах ;

P2 - признак нечетности (символ «1») или четности («0») числового значения слова tb ;

P3 - признак, показывающий, что в кадре передается альманах для 5-ти НКА (символ «1») или 4-х НКА («0») ;

P4 - признак , показывающий что в данном кадре передается обновленная (символ «1») эфемеридная или частотно-временная информация;

ln - признак недостоверности (ln =1) кадра спутника n;

τс - поправка к шкале времени системы ГЛОНАСС относительно UTС(SU);

τGPS -поправка на расхождение системных шкал времени GPS и ГЛОНАСС

N4 - номер четырехлетнего периода;

NA - календарный номер суток внутри четырехлетнего периода, начиная с високосного года ;

nA - условный номер спутника в системе ;

HnA - номер несущей частоты радиосигнала, излучаемого спутником nA;

λnA - долгота в системе координат ПЗ-90 первого восходящего узла орбиты спутника nA внутри суток NA ;

t λnA - время прохождения первого восходящего узла орбиты спутника nA внутри суток NA ;

∆inA - поправка к среднему значению наклонения орбиты спутника nA на момент времени tλnA ;

∆TnA - поправка к среднему значению драконического периода обращения спутника nA на момент времени tλnA;

∆TnA - скорость изменения драконического периода обращения спутника с номером nA ;

εnA - эксцентриситет орбиты спутника nA на момент времени t λnA ;

ωnA - аргумент перигея орбиты спутника nA на момент времени t λnA ;

MnA - признак модификации спутника nA;

B1 - коэффициент для определения ∆UT1, равный величине расхождения всемирного и координированного времени на начало текущих суток ;

B2 - коэффициент для определения ∆UT1, равный величине суточного изменения расхождения ∆UT1 ;

KP - признак ожидаемой секундной коррекции шкалы UTS в конце текущего квартала на величину ±1сек;

τnA - грубое значение сдвига шкалы времени спутника nA относительно шкалы времени системы на момент времени t λnA ;

СnA - обобщенный признак состояния спутника nA ;

ε - относительная диэлектрическая проницаемость;

σ - проводимость;- радиус Земли;

β - индекс модуляции;

φ - фаза;(t) - сигнал на входе;(t) - сигнал на выходе;c - длина бита;

e - математическая константа, равная e = 2,718;

q - параметр, характеризующий электрические свойства почвы;

A0 - амплитуда;

t - время;

f - частота.

Условные сокращения

ABAS-Aircraft Based Augmenting System;

BINR- протокол обмена по последовательному порту;

С/А - Coarse/Acquisition ;/ATM - Communication, Navigation, Surveillance/Air Traffic Management;Ground Based Augmenting System;- Global Navigation Satellite System;

 GMSK/FM - Gauss Minimum Shift Keying Frequency Modulation;

GPS- Global Positioning System;- GNSS Receiver for Atmospheric Sounding;- Horizontal Dilution of Precision;- Local Area Augmentation System;- Minimum Shift Keying;- Pseudorange Correction;- Range Rate Correction;

RSIM - Reference Station/Integrity Monitor;- Radio Technical Commission for Maritime Services;SC-104-Radio Technical Commission for Maritime Services, Special Committee 104;- Real Time Kinematic;- Satellite Based Augmenting System;(SU) - Universal Time Coordinated (Soviet Union);- Vertical Dilution of Precision;- World Geodetic System 1984;- Weighted Dilution of Precision;

ВС-воздушное судно;

ГА - Гражданская Авиация;

ГЛОНАСС- глобальная навигационная спутниковая система России;

ГНСС - СНС ГЛОНАСС/GPS;

ИКАО - Международная организация гражданской авиации;

ЛККС - локальная контрольно-корректирующия станция;

ЛПДС - локальные дифференциальные подсистемы;

КА - космический аппарат;

КИ - корректирующая информация;

ККС - контрольно-корректирующая станция;

КС - контрольная станция;

КХ - код Хемминга;

МВ - метка времени;

МСЭ-международный союз электросвязи;

НКА - навигационный космический аппарат;

НКУ - наземный комплекс управления;

ОС - опорная станция;

ПЗ-90 - параметры Земли 1990г.;

РДПС - региональная дифференциальная подсистема;

РМк - радиомаяк;

СВ - средняя волна;

СИК - станция интегрального контроля;

СКП - среднеквадратическая погрешность;

СКО - среднеквадратическое отклонение;

СНС - спутниковая навигационная система;

ССН - система спутниковой навигации;

ШДПС - широкозонная дифференциальная подсистема;

ФЦП - Федеральная целевая программа;

ЧМ - частотная модуляция.

Оглавление

Введение

1. Спутниковые навигационные системы

1.1.    Общие сведения о спутниковых навигационных системах

1.2.   Определение координат потребителя СНС

.3.     Структура навигационного сообщения системы ГЛОНАСС

.4.     Дифференциальный метод определения координат

. Спутниковые системы функционального дополнения

.1. Общие сведения и классификация систем функционального дополнения.

.1.1. Общие положения систем функционального дополнения

.1.2. Псевдоспутники (псевдолиты)

.2. Правовая основа применения систем функционального дополнения

.3. Описание и работа контрольно-корректирующей станции

.3.1. Назначение контрольно-корректирующей станции

.3.2. Технические характеристики

3. Расчет дальности действия ККС

.1. Особенности распространения волн средневолнового диапазона

3.2.Модель распространения радиоволн, полученная графическим путем

.3. Метод частотной модуляции с минимальным сдвигом

Выводы и рекомендации

Список использованной литературы

Введение

Традиционные средства навигации не достаточно точно обеспечивают требуемую надежность и точность, недостаточно автоматизированы и не могут устранить влияние человеческого фактора. Основным навигационным средством будущего станут глобальные спутниковые системы навигации (Global Navigation Satellite System - GNSS). В настоящее время развернуты две GNSS - GPS (Global Positioning System) NAVSTAR (Navigation Satellite Time And Ranging), принадлежащая США, и Российская глобальная навигационная спутниковая система ГЛОНАСС. В соответствии с Постановлением Правительства РФ от 25 августа 2008г. № 641 «Об оснащении транспортных, технических средств и систем аппаратурой спутниковой навигации ГЛОНАСС или ГЛОНАСС/GPS» все ВС должны быть оснащены аппаратурой ССН ГЛОНАСС или ГЛОНАСС/GPS. Глобальная навигационная спутниковая система (GNSS), как навигационный элемент систем управления воздушным движением CNS/АТМ, включает в себя сочетания комбинаций следующих составляющих, размещенных на земле, спутниках и на борту воздушного судна:

GPS;

ГЛОНАСС;

бортовая система функционального дополнения (АВАS);

спутниковая система функционального дополнения (SВАS);

наземная система функционального дополнения (GВАS);

бортовой приемник GNSS.

Системы функционального дополнения позволяют повысить точность до единиц и долей сантиметра.

В России не достаточно широко развернута сеть контрольно-корректирующих станций (ККС). В настоящий момент осуществляется Федеральная Целевая Программа «ГЛОНАСС», по итогам которой развертывание дифференциального сервиса должно закончиться в 2011 г. Поэтому организация функциональных дополнений спутниковой навигационной системы в настоящее время является актуальной. В данной дипломной работе будут рассматриваться вопросы применения ККС, которые составляют основу систем дифференциального сервиса.

1. Спутниковые навигационные системы

.1 Общие сведения о спутниковых навигационных системах

Система ГЛОНАСС предназначена для глобальной оперативной навигации приземных подвижных объектов. Она разработана по заказу и находится под управлением Министерства Обороны РФ. По своей структуре ГЛОНАСС так же, как и GPS, считается системой двойного действия, то есть может использоваться как в военных, так и в гражданских целях.

Рис.1. Сегменты высокоорбитальных навигационных систем ГЛОНАСС и GPS

Система в целом включает в себя три сегмента (рис. 1).

космический сегмент, в который входит орбитальная группировка искусственных спутников Земли (иными словами, навигационных космических аппаратов (НКА);

сегмент управления, наземный комплекс управления (НКУ) орбитальной группировкой космических аппаратов;

аппаратура пользователей системы.

Из этих трёх частей последняя, аппаратура пользователей, самая многочисленная. Система ГЛОНАСС является беззапросной, поэтому количество потребителей системы не имеет значения. Помимо основной функции (навигационных определений) система позволяет производить высокоточную взаимную синхронизацию стандартов частоты и времени на удалённых наземных объектах и взаимную геодезическую привязку. Кроме того, с её помощью можно производить определение ориентации объекта на основе измерений, производимых от четырёх приёмников сигналов навигационных спутников.

Российская Глобальная Навигационная спутниковая система состоит из 24 НКА, расположенных в трех орбитальных плоскостях на высоте 19100 км (рис.2), что соответствует периоду обращения 11 часов 15 минут. Наклонение орбиты 64,8°. Каждый НКА непрерывно передает данные о собственном местоположении в прямоугольной системе координат (эфемериды), а также альманах данных о грубом местоположении всех НКА СНС. Координаты НКА ГЛОНАСС задаются в геодезической системе ПЗ-90 с использованием параметров Земли 1990 г. Каждый НКА работает на разных частотах в диапазоне от 1602,5625 до 1615,5000 МГц с шагом 0,5625 МГц. Сигнал модулируется одинаковой псевдослучайной последовательностью с тактовой частотой 0,5625 МГц с периодом 1 мс.

Американская система GPS по своим функциональным возможностям аналогична отечественной системе ГЛОНАСС. Её основное назначение - высокоточное определение координат потребителя, составляющих вектора скорости, и привязка к системной шкале времени. Аналогично отечественной, система GPS разработана для Министерства Обороны США и находится под его управлением. Согласно интерфейсному контрольному документу, основными разработчиками системы являются:

по космическому сегменту - Rockwell International Space Division, Martin Marietta Astro Space Division;

-по сегменту управления - IBM, Federal System Company;

по сегменту потребителей - Rockwell International, Collins Avionics & Communication Division.

Космическая навигационная система GPS также состоит из 24 рабочих НКА, расположенных в 6 орбитальных плоскостях по 4 НКА на каждой (рис.2). Орбитальные плоскости расположены под углом 55° к экватору. Каждый НКА передает сигналы на частоте 1575,42 МГц, с модуляцией индивидуальном псевдослучайным кодом. Широкополосный сигнал формируется на НКА путем фазовой манипуляции несущей частоты сигналом псевдослучайной последовательности из 1023 компонентов тактовой частотой 1,023 МГц. Данные передаются со скоростью 50 бит/с, в них содержится информация об эфемеридах, техническом состоянии, временном сдвиге опорного генератора и т.д. Эфемериды НКА GPS привязаны к Всемирной Геодезической Системе 1984 г. (WGS-84).

При совместной работе эти системы называются Глобальными Навигационными Спутниковыми Системами (Global Navigation Satellite System).

Рис.2. Космический сегмент систем ГЛОНАСС и GPS.

Сравнение текущих уровней развития ГЛОНАССа и GPS приведено в табл.1.

Таблица 1

Сравнительное состояние развертывания спутниковых систем

Характеристики GPS и ГЛОНАСС

GPS

ГЛОНАСС

Количество спутников (резерв)

24 (3), реально - 30, с увеличением до 48

24, сегодня на орбите 19

Количество орбитальных плоскостей

6

3

Количество спутников в каждой плоскости

4

8

Гарантийный срок эксплуатации спутника (лет)

10

3 - «Ураган», 7 - «Ураган-М», 10 - 12 - «Ураган-К» (начиная с 2010 г.)

Покрытие сигналом

Весь земной шар

Весь земной шар (сегодня - до 90% территории РФ и до 60% земного шара)

Точность определения местоположения потребителя сигнала (м)

100 (гражданский сигнал), 10 (военный сигнал),

30 - 60 - при использовании КА «Ураган», 5 - 10 - «Ураган-М», 1 - 3 - «Ураган-К»


В отличие от системы GPS, спутники ГЛОНАСС в своем орбитальном движении не имеют резонанса (синхронности) с вращением Земли, что обеспечивает им большую стабильность. Таким образом, группировка КА ГЛОНАСС не требует дополнительных корректировок в течение всего срока активного существования. Тем не менее, срок службы спутников ГЛОНАСС заметно короче.

Что касается сегмента управления, то станции GPS расположены по всему миру, в то время как станции слежения ГЛОНАСС находятся только на территории России. Поскольку ГЛОНАСС - стратегическая система, то независимость от других стран играет особую роль.

Потребительское оборудование ГЛОНАСС разработано только для специальных применений и, в отличие от приемников GPS, пока не доступно для индивидуального пользования. Однако сейчас полным ходом идет разработка коммерческих совмещенных приемников ГЛОНАСС/GPS.

1.2 Определение координат потребителя СНС

Для определения координат потребителя необходимо знать координаты спутников (не менее 4) и дальность от потребителя до каждого видимого спутника. Для того, чтобы потребитель мог определить координаты спутников, излучаемые ими навигационные сигналы моделируются сообщениями о параметрах их движения. В аппаратуре потребителя происходит выделение этих сообщений и определение координат спутников на нужный момент времени. Координаты и составляющие вектора скорости меняются очень быстро, поэтому сообщения о параметрах движения спутников содержат сведения не об их координатах и составляющих вектора скорости, а информацию о параметрах некоторой модели, аппроксимирующей траекторию движения НКА на до-статочно большом интервале времени (около 30 минут). Параметры аппроксимирующей модели меняются достаточно медленно, и их можно считать постоянными на интервале аппроксимации. Параметры аппроксимирующей модели входят в состав навигационных сообщений спутников. В системе GPS используется Кеплеровская модель движения с оскулирующими элементами. В этом случае траектория полёта НКА разбивается на участки аппроксимации длительностью в один час. В центре каждого участка задаётся узловой момент времени, значение которого сообщается потребителю навигационной информации. Помимо этого, потребителю сообщают параметры модели оскулирующих элементов на узловой момент времени, а также параметры функций, аппроксимирующих изменения параметров модели оскулирующих элементов во времени как предшествующем узловому элементу, так и следующем за ним. В аппаратуре потребителя выделяется интервал времени между моментом времени, на который нужно определить положение спутника, и узловым моментом. Затем с помощью аппроксимирующих функций и их параметров, выделенных из навигационного сообщения, вычисляются значения параметров модели оскулирующих элементов на нужный момент времени. На последнем этапе с помощью обычных формул кеплеровской модели определяют координаты и составляющие вектора скорости спутника. В системе ГЛОНАСС для определения точного положения спутника используются дифференциальные модели движения. В этих моделях координаты и составляющие вектора скорости спутника определяются численным интегрированием дифференциальных уравнений движения НКА, учитывающих конечное число сил, действующих на НКА. Начальные условия интегрирования задаются на узловой момент времени, располагающийся посередине интервала аппроксимации. Как было сказано выше, для определения координат потребителя необходимо знать координаты спутников (не менее 4) и дальность от потребителя до каждого видимого спутника, которая определяется в навигационном приёмнике с точностью около 1 м. Рассмотрим метод определения координат на плоскости (рис.3) и в пространстве (рис.4):

(X1 - X0)2 + (Y1 - Y0)2 = r12

(X2 - X0)2 + (Y2 - Y0)2 = r22

Рис.3. Метод определения координат на плоскости.

Рис. 4. Метод определения координат в пространстве

(Xi - X0)2 + (Yi - Y0)2 + (Zi - Z0)2 = (ri + δr )2 , (1)

δr = c∆t,

i = 1, … 4,

где Xi , Yi , Zi - координаты i-того спутника ;

X0 , Y0 , Z0 - координаты потребителя ;

ri - измеренная псевдодальность до i-того спутника ;

δr - ошибка в измерении дальности до НКА за счет рассогласования шкал времени НКА и потребителя ;

∆t - рассогласование шкал времени НКА и потребителя ;

c - скорость света .

В спутниковой системе навигации ГЛОНАСС используется прямоугольная геоцентрическая система координат OXaYaZa (ПЗ-90) с началом координат в центре масс Земли.

Ось Z совпадает с осью вращения Земли и проходит через Северный полюс;

Ось X находится в плоскости экватора и проходит через нулевой меридиан;

Ось Y дополняет геоцентрическую систему координат до правой.

1.3 Структура навигационного сообщения системы ГЛОНАСС

Навигационное сообщение содержит оперативную и неоперативную информацию.

Оперативная информация (табл.3) относится к тому НКА, с борта которого передается данный навигационный радиосигнал и содержит:

оцифровку меток времени НКА;

сдвиг шкалы времени НКА относительно шкалы времени системы ГЛОНАСС;

относительное отличие несущей частоты излучаемого навигационного радиосигнала от номинального значения;

эфемериды НКА.

Неоперативная информация (табл.4) содержит альманах системы, включающий в себя:

данные о состоянии всех НКА системы (альманах состояния);

сдвиг шкалы времени каждого НКА относительно шкалы времени системы ГЛОНАСС (альманах фаз);

параметры орбит всех НКА системы (альманах орбит);

сдвиг шкалы времени системы ГЛОНАСС относительно UTC(SU).

Навигационное сообщение СНС ГЛОНАСС иерархически структурировано в виде строк, кадров и суперкадров (табл.2)

Строка навигационного сообщения имеет длительность 2 с (вместе с меткой времени) и содержит 85 двоичных символов, передаваемых в относительном коде. Первый символ является холостым для относительного кода. Последние восемь символов в каждой строке являются проверочными символами кода Хэмминга, позволяющими исправлять одиночный ошибочный символ и обнаруживать два ошибочных символа в строке. Альманах системы необходим аппаратуре потребителя для планирования сеанса, т.е. выбора оптимального созвездия и прогнозирования для составляющих его НКА доплеровского сдвига несущей частоты. Отсутствие альманаха системы в памяти приемника потребителя приводит к значительному увеличению длительности сеанса, за счет времени, затрачиваемого на поиск сигналов и определение оптимального созвездия. Тем не менее, структура навигационного сигнала СНС ГЛОНАСС обеспечивает более быстрое обновление (или первичный прием) альманаха за счет меньшей длительности суперкадров (2,5 мин) по сравнению с GPS (12,5 мин)

Оперативная информация используется непосредственно в сеансе навигации. Частотно-временные поправки вносятся в результаты измерений, а эфемериды применяются при определении координат и вектора скорости потребителя. спутниковый навигационный волна модуляция

Кадр имеет длительность 30 с и состоит из 15 строк длительностью 2 с каждая. Он содержит полный объем оперативной информации для излучающего НКА (строки 1…4) и четверть альманаха. В кадрах с первого по четвертый передается альманах по пяти спутникам, в пятом кадре по оставшимся четырем. Альманах для каждого спутника занимает по две строки.

Таблица 2

Структура навигационного сообщения ГЛОНАСС

Номер кадра в суперкадре

Номер строки в кадре

Вид информации

I

1

0

Оперативная информация для передающего сообщение НКА

КХ

МВ


0


КХ

МВ


3

0


КХ

МВ


4

0

Неоперативная информация (альманах) для НКА №№ 1 - 5

КХ

МВ


0


КХ

МВ


15

0


КХ

МВ

II

1

0

Оперативная информация для передающего сообщение НКА

КХ

МВ


0


КХ

МВ


3

0


КХ

МВ


4

0

Неоперативная информация (альманах) для НКА №№ 6-10

КХ

МВ


0


КХ

МВ


15

0


КХ

МВ

III

1

0

Оперативная информация для передающего сообщение НКА

КХ

МВ


0


КХ

МВ


3

0


КХ

МВ


4

0

Неоперативная информация (альманах) для НКА №№ 11-15

КХ

МВ


0


КХ

МВ


15

0


КХ

МВ

IV

1

0

Оперативная информация для передающего сообщение НКА

КХ

МВ


0


КХ

МВ


3

0


КХ

МВ

IV

4

0

Неоперативная информация (альманах) для НКА №№ 16-20

КХ

МВ


0


КХ

МВ


15

0


КХ

МВ

V

1

0

Оперативная информация для передающего сообщение НКА

КХ

МВ


0


КХ

МВ


3

0


КХ

МВ


4

0

Неоперативная информация (альманах) для НКА №№ 21-24 резерв

КХ

МВ



КХ

МВ


14

0


КХ

МВ


15

0

резерв

КХ

МВ




















Таблица 3

Состав, структура и размещение оперативной информации в кадре навигационного сообщения ГЛОНАСС

 Информационное слово

Число разрядов

Цена младшего разряда

 Диапазон значений

Единица измерения

 Номер строки в кадре

 Номера разрядов в строке

M

4

1

0…15

безразм.

1…15

81 - 84

 tk

5

1

0…23

час

 1

 65 - 76


6

1

0…59

мин




1

30

0 ; 30

с



tb

7

15

15..1425

мин

2

70 - 76

M (1)

2

1

0 ; 1

безразм.

4

9 - 10

γn(tb)

11

2-40

±2-30

безразм.

3

69 - 79

τn(tb)

22

2-30

±2-9

с

4

59 - 80

xn(tb), yn(tb), zn(tb)

27

2-11

±2,7*10-4

км

1, 2, 3

9 - 35

xn(tb), yn(tb), zn(tb)

24

2-20

±4,3

км/с

1, 2, 3

41 - 64

xn(tb), yn(tb), zn(tb)

5

2-30

±6,2*10-9

км/с2

1, 2, 3

36 - 40

Bn

3

1

0…7

безразм.

2

78 - 80

P (1)

1

1

0 ; 1

безразм.

3

66

NT

11

1

0…2048

сутки

4

16 - 26

FT (1)

4


1…512

м

4

30 - 33

n (1)

5

1

0…31

безразм.

4

11 - 15

∆ τn

5

±2-30

±13,97*10-9

с

4

54 - 58

En

5

1

0…31

сутки

4

49 - 53

P1

2


0…60

мин

1

77 - 78

P2

1

1

0 ;1

безразм.

2

77

P3

1

1

0 .1

безразм.

3

80

P4 (1)

1

1

0 .1

безразм.

4

34

ln (1)

1

1

0 .1

безразм.

3,5,7,9, 11,13,15

65(строка 3 9(ост. стр,)

(1) - планируется ввести в навигационное сообщение ГЛОНАСС - М .

Суперкадр содержит 5 кадров и длится 2,5 мин. В пределах суперкадра оперативная информация и строка 5 (системные данные) повторяются в каждом кадре. Границы строк, кадров и суперкадров различных НКА синхронны с погрешностью не более 2 мс.

Содержание слов оперативной информации:

m - номер строки в навигационном кадре ;

tk - время начала кадра внутри текущих суток, определяемое в шкале бортового времени ;

tb - порядковый номер временного интервала внутри текущих суток по шкале системного времени ГЛОНАСС, к середине которого относится передаваемая в кадре оперативная информация ;

M - модификация НКА, излучающего сигнал («00» - ГЛОНАСС, «01» - ГЛОНАСС - М) ;

γn(tb) - относительное отклонение несущей частоты спутника n от номинального значения на момент времени tb . γn(tb)= (fn(tb)- fнn)/ fнn (где fn(tb) - прогнозируемое значение несущей частоты спутника n с учетом гравитационного и релятивистского эффектов на момент времени tb , fнn - номинальное значение несущей частоты n-ного спутника ).

Номинальные несущие частоты НКА в поддиапазонах L1, L2 определяются выражениями :

fK1= f01+K∆f1 , fK2= f02+K∆f2 , fK2 / fK1 = 7/9

f01=1602,0 МГц , ∆f1 = 0,5625 МГц , f02=1246,0 МГц , ∆f2 = 0,4375 МГц,

( где K= (-7, …,13) - номера несущих частот ), распределение номеров K между НКА отображается в альманахе .

Отклонение несущей частоты от номинального значения не превышают в относительной величине ±2*10-11 ) ;

τn(tb) - сдвиг на момент времени tb шкалы времени (tn) спутника n относительно шкалы времени (tс) системы . τn(tb)= tс(tb)-tn(tb) ;

xn(tb), yn(tb), zn(tb) - координаты спутника n в системе координат ПЗ-90 на момент времени tb ;

xn(tb), yn(tb), zn(tb) - составляющие вектора скорости спутника n в системе координат ПЗ-90 на момент времени tb ;

xn(tb), yn(tb), zn(tb) - составляющие ускорения спутника n в системе координат ПЗ-90 на момент времени tb , обусловленное действием Луны и Солнца ;

Bn - признак недостоверности кадра спутника n (символ «1» в старшем разряде обозначает непригодность данного спутника для навигационных определений) ;

P - признак режима работы НКА по частотно-временной информации. (при P=1 частотно-временная информация рассчитывается на борту НКА, при P=0 рассчитывается НКУ и закладывается на борт) ;

NT - календарный номер суток внутри четырехлетнего интервала, начиная с високосного года ;

FT - фактор точности измерений, характеризующий ошибку набора данных на момент времени tb , излучаемых в навигационном сообщении ;

n - номер НКА, излучающего данный навигационный сигнал ;

∆τn - смещение навигационного радиосигнала поддиапазона L2 относительно навигационного радиосигнала поддиапазона L1, излучаемого спутником n. ∆τn= tf2 - tf1 ( где tf1 , tf2 - аппаратурные задержки соответствующих поддиапазонов) ;

En - интервал времени между расчетом (закладкой) оперативной информации для спутника n и моментом времени tb (характеризует возраст оперативной информации) ;

P1 - признак величины интервала времени (мин) между значениями tb в данном и предыдущем кадрах ;

P2 - признак нечетности (символ «1») или четности («0») числового значения слова tb ;

P3 - признак, показывающий, что в кадре передается альманах для 5-ти НКА (символ «1») или 4-х НКА («0») ;

P4 - признак , показывающий что в данном кадре передается обновленная (символ «1») эфемеридная или частотно-временная информация;

ln - признак недостоверности (ln =1) кадра спутника n . Данный НКА для навигационных определений непригоден.

Таблица 4

Состав, структура и размещение неоперативной информации (альманаха) в кадре навигационного сообщения ГЛОНАСС

  информационное слово

Число разрядов

Цена младшего разряда

  Диапазон значений

 Единица измерения

 Номер строки в кадре

Номера разрядов в строке

τс (1) (2) (3)(4)

28

2-27

±1

С

5

38-69(4)

τGPS (1) (2)

22

2-30

±1,9*10-3

С

5

32 - 36

N4 (1)

5

1

0 - 31

4-х летний интервал

5

10 - 31

NA

11

1

1…1461

Сутки

5

70 - 80

nA

5

1

1…24

безразмерн.

6,8,10,12,14

73 - 77

HnA (3)

5

1

1…31

безразмерн.

7,9,11,13,15

10 - 14

λnA (2)

21

2-20

±1

полуцикл

6,8,10,12,14

42 - 62

t λnA

21

2-5

0…44100

С

7,9,11,13,15

44 - 64

∆inA (2)

18

2-20

±0,067

полуцикл

6,8,10,12,14

24 - 41

∆TnA (2)

22

2-9

±3,6*10-3

с/виток

7,9,11,13,15

22 - 43

∆TnA (2)

7

2-14

±2-8

с/виток2

7,9,11,13,15

15 - 21

εnA

15

2-20

0…0,03

безразмерн.

6,8,10,12,14

9 - 23

ωnA (2)

16

2-15

±1

полуцикл

7,9,11,13,15

65 - 80

MnA (1)

2

1

0,1

безразмерн.

6,8,10,12,14

78 - 79

B1 (1) (2)

11

2-10

±0,9

С

74

70 - 80

B2 (1) (2)

10

2-16

(-4,5…3,5)*10-3

с/ССС

74

60 - 69

KP (1)

2

1

0,1

безразмерн.

74

58 - 59

τnA

10

2-18

±1,9*10-3

С

6,8,10,12,14

63 - 72

СnA

1

1

0…1

безразмерн.

6,8,10,12,14

80

(1) - планируется ввести в навигационное сообщение ГЛОНАСС - М ;

(2) - старший разряд знаковый (символ 0 соответствует знаку «+» ) ;

(3) - отрицат. значения несущей частоты (значения слова с 25 по 31) ;

(4) - предполагается уменьшить цену младшего разряда до 2-31 с (до 0,46 нс), увеличив число разрядов до 32. Слово будет передаваться в 5, 20, 35, 50 и 65-й строках суперкадра (5-я строка каждого кадра).

Содержание слов альманаха (неоперативной информации):

τс - поправка к шкале времени системы ГЛОНАСС относительно UTС(SU). Поправка дается на начало суток с номером NA ;

N4 - номер четырехлетнего периода (N4 =0, начиная с 1996 года) ;

NA - календарный номер суток внутри четырехлетнего периода, начиная с високосного года ;

nA - условный номер спутника в системе ;

HnA - номер несущей частоты радиосигнала, излучаемого спутником nA;

λnA - долгота в системе координат ПЗ-90 первого восходящего узла орбиты спутника nA внутри суток NA ;

t λnA - время прохождения первого восходящего узла орбиты спутника nA внутри суток NA ;

∆inA - поправка к среднему значению наклонения орбиты спутника nA на момент времени tλnA (среднее значение наклонения орбиты принято равным 63° );

∆TnA - поправка к среднему значению драконического периода обращения спутника nA на момент времени tλnA (среднее значение драконического периода принято равным 43200 с) ;

∆TnA - скорость изменения драконического периода обращения спутника с номером nA ;

εnA - эксцентриситет орбиты спутника nA на момент времени t λnA ;

ωnA - аргумент перигея орбиты спутника nA на момент времени t λnA ;

MnA - признак модификации спутника nA («00» - ГЛОНАСС, «01» - ГЛО-НАСС - М) ;

B1 - коэффициент для определения ∆UT1, равный величине расхождения всемирного и координированного времени на начало текущих суток ;

B2 - коэффициент для определения ∆UT1, равный величине суточного изменения расхождения ∆UT1 ;

KP - признак ожидаемой секундной коррекции шкалы UTS в конце текущего квартала на величину ±1сек. («00» - коррекции не будет, «01» - будет коррекция +1с , «11» - будет коррекция -1 с ) ;

τnA - грубое значение сдвига шкалы времени спутника nA относительно шкалы времени системы на момент времени t λnA ;

СnA - обобщенный признак состояния спутника nA («0» - спутник не при-годен для навигационных определений, «1» - спутник пригоден).

1.4 Дифференциальный метод определения координат

Спутниковые навигационные системы позволяют определить координаты потребителя с точностью порядка 10…15 метров. Но в ряде случаев требуется более высокая точность определения местоположения. К таким случаям относится навигация в городских условиях, заход на посадку по категориям ИКАО , а также геодезические измерения, картография и т.д.

Добиться существенного увеличения точности определения координат (до единиц и долей сантиметра) удается при помощи функционального дополнения к ГНСС, называемого дифференциальной подсистемой.

В дифференциальной подсистеме используется дифференциальный метод, суть которого заключается в передачи на приемники воздушных судов ГЛОНАСС/GPS поправок к измеренным псевдодальностям до НКА. Поправки формируются и контролируются ККС, для чего антенны ГНСС размещаются в месте с эталонными координатами.

Дифференциальный метод основан на минимизации погрешностей, влияющих на точность определения местоположения судовыми приемниками ГЛОНАСС/GPS. Основными погрешностями при определении координат являются:

·                      ионосферная рефракция распространения сигнала, в среднем составляет от 20 до30 м в течение дня и от 3 до 6 м - ночью;

·        тропосферная рефракция распространения сигнала в нижних слоях атмосферы. Для НКА с малыми высотами она достигает 30 м. Разница в значении рефракции между приемником опорной станцией и судовым приемником может составлять от 1 до 3 м.

·        эфемеридная ошибка - разница между фактическим местоположением НКА и его местоположением, вычисленным по данным эфемерид, полученным с НКА. Обычно эта разница не превышает 3 м;

·        ошибки бортовой шкалы времени НКА - разница между временными шкалами каждого используемого НКА и временем центрального синхронизатора, по которому производится расчет прогнозируемых эфемерид.

При работе приемника опорной станции и приемника по одним и тем же НКА все вышеперечисленные ошибки компенсируются дифференциальным режимом.

Кроме того, дифференциальный режим обеспечивает функцию контроля целостности СНС ГЛОНАСС и GPS, путем определения приемниками ГЛОНАСС/GPS неработоспособных НКА и передачи этой информации на приемники с минимальной временной задержкой.

Для сравнения точности местоопределения координат рассмотрим характеристики базовай ККС авиационной дифференциальной подсистемы СНС ГЛОНАСС/GPS , приведенные в табл. 5.

Таблица 5

Характеристики базовых контрольно-корректирующих станций

Тип принимаемого сигнала: -ГЛОНАСС -GPS

 CТ-сигнал (L1, L2) C/A-код (L1)

Точность определения навигационных параметров: -по псевдодальности(при сглаживании по фазе несущей) -по псевдоскорости(по фазе несущей)

 0,01 м 0,001 м/сек

Время начального определения (не более)

120 сек

Чувствительность

160 дБ/Вт

Питание: переменный ток

220 В/ 50 Гц

Потребляемая мощность

150 Вт

Габаритные размеры

450х340х200 (мм)

Вес

15 кг


Очевидно, что применение ККС существенно улучшает определение координат ВС, чем просто использование СНС.

Сформулированы требования к навигационному обеспечению воздушных судов.

Требования к доступности зависят от этапов полета и интенсивности воздушного движения. Численные значения доступности при маршрутных полетах составляют 0,999...0,99999; при полете в зоне аэродрома и некатегорированном заходе на посадку -0,99999. Требования по доступности для захода на посадку и посадки по категориям ИКАО соответствуют требованиям к системам инструментальной посадки. Численные значения их близки к 1.

Требования к целостности составляют для маршрутных полетов, полетов в зоне аэродрома и некатегорированном заходе на посадку - 0,999 при допустимом времени предупреждения соответственно 10 с, 10 с и 2 с, а для захода и посадки по I, II и III категориям ИКАО -0,999999, 0,9999999 и 0,9999999995 при допустимом времени предупреждения не более 1 с.

Требования к точности определения координат и высоты полета ВС приведены в табл. 6.

Таблица 6

Требования к точности определения координат и высоты полета ВС

Решаемые задачи

Точность определения координат (СКО), м

Точность определения высоты (СКО), м

Маршрутный полет: Над океаном (безориентирная местность) Трассы шириной 20 км Трассы шириной 10 км Местные воздушные линии I категории Местные воздушные линии II категории

 5800 2500 1250 500 250

 30...40 30...40 30...40 30...40 30...40

Полет в зоне аэродрома

200

-

Специальные полеты (для разведки полезных ископаемых, поиска и спасения и др.)

1…10

-

Некатегорированный (неточный) заход на посадку

50

-

Заход на посадку по 1-й категории Н=30 м

4,5...8,5

1.5...2

Заход на посадку по Н-й категории Н=15 м

2,3...2,6

0,7...0,85

Заход на посадку по Ш-й категории Н=2,4 м

2,0

0,2...0,3


2. Спутниковые системы функционального дополнения

.1 Общие сведения и классификация систем функционального дополнения

Основу дифференциальной подсистемы составляют наземные контрольно-корректирующие станции (ККС), координаты которых известны и определены с большой точностью. Как правило, под координатами ККС в данном случае подразумевают координаты фазового центра приемной антенны. Путем сравнения измеренных значений псевдодальностей до спутников с достоверными значениями, вычисленными на основе полученной от главной станции информации об орбитах НКА, вычисляются поправки к псевдодальностям. Полученные значения передаются потребителям по специально выделенным линиям передачи данных. Потребитель должен иметь соответствующий приемник, оснащенный модулем для приема радиосигналов ККС.

Принято различать широкозонные, региональные, локальные дифференциальные подсистемы и псевдоспутники (рис.5).

Рис.5. Классификация наземных систем функционального дополнения

2.1.1 Общие положения систем функционального дополнения

Основой широкозонной подсистемы (ШДПС) является сеть специальных широкозонных ККС, информация о поправках с которых передается на главную станцию. После дополнительной проверки на главной станции вырабатывается комплекс общих поправок и целостности. Выработанные сигналы передаются, как правило, на геостационарные спутники, с которых транслируются на приемники потребителей. Применение геостационарных спутников позволяет обеспечить радиус рабочей зоны порядка 5000…6000 км. Достаточно часто ККС, входящие в ШДПС, обеспечивают и локальный сервис с применением дополнительных каналов передачи данных.

К настоящему времени наиболее широкую известность получили проекты ШДПС или SBAS, использующих геостационарные космические аппараты в качестве средств передачи сигналов контроля целостности и дифференциальных поправок. Такими системами являются американская WAAS, европейская EGNOS и японская MSAS (рис.6).

Рис.6. Зоны покрытия систем WAAS, EGNOS и MSAS

Рис.7. ШДПС WAAS

Рис.8. ШДПС EGNOS

Рис.9. ШДПС MSAS.

Региональные дифференциальные системы (РДПС) служат для навигационного обеспечения отдельных регионов от 400 до 2000 и предназначены для навигационного обеспечения отдельных регионов моря/океана или континента. В состав РПДС входят одна или несколько ККС, а также аппаратура контроля целостности и средства передачи данных потребителю. Эти данные вырабатываются либо на главной станции, либо непосредственно на ККС. Примерами РДПС являются сстемы Starfix (рис.10) и SkyFix (рис.11) . Эти системы используют для передачи информации каналы спутников INMARSAT.

Рис.10. РДПС StarFix

Рис.11. РДПС SkyFix

Локальные дифференциальные подсистемы (ЛДПС) функционируют при дальности до потребителя в диапазоне 50…200 км и обычно имеют в своем составе одну ККС, аппаратуру управления и контроля целостности и средства передачи данных. В качестве аппаратуры передачи данных ЛПДС часто применяют имеющиеся радиомаяки.

ЛДПС довольно разнообразны. Морские системы для передачи информации используют средневолновые радиомаяки дальностью до 200 км. В авиации в районе аэродромов используются подсистемы с общим названием GBAS (Ground Based Augmentation System) - Наземные системы функционального дополнения (рис.12).

Рис.12. ЛДПС GBAS

2.1.2 Псевдоспутники (псевдолиты)

Возможна разновидность дифференциальной подсистемы, когда передаваемые потребителю сигналы с поправками и другой информацией привязаны к местной шкале времени. После учета поправок шкала времени потребителя также оказывается привязанной к местной шкале времени, следовательно, принятые потребителем сигналы дифференциальной подсистемы являются источником информации о взаимной дальности и скорости потребителя относительно дифференциальной станции.

Если дифференциальная станция излучает сигнал, аналогичный сигналу НКА, она называется псевдоспутником (псевдолитом). Наиболее очевидным и частым примером применения псевдоспутников является выведение самолетов на посадочную глиссаду. При неудачном расположении НКА наличие псевдоспутников позволяет снизить значение геометрического фактора в вертикальной плоскости в 6…8 раз и в горизонтальной плоскости в 3…4 раза.

Фактически псевдоспутники представляют собой стационарные излучатели GPS-сигналов со значительно меньшей мощностью сигнала и, соответственно, меньшим радиусом действия. Прием их сигналов возможен на компактные пользовательские GPS-приемники, позволяющие использовать их при решении навигационной задачи.

Нетрудно заметить, что подобная архитектура навигационных сервисов существенно отличается от локальных, региональных или широкозонных дифференциальных подсистем. Если использование последних возможно только в случае стабильного приема GPS-сигналов, с помощью псевдоспутников теоретически можно обеспечить стабильную навигацию даже в отсутствие сигналов от «настоящих» спутников вообще. Использование псевдоспутников призвано скорректировать возможно плохие геометрические факторы ГЛОНАСС и GPS, если они появляются. В качестве критерия использовался взвешенный геометрический фактор WDOP:

=(2KGV+KGH)/3, (2)

где KGV b KGH - геометрические факторы при определении высоты и плановых координат соответственно (VDOP, HDOP). Взвешенный таким образом геометрический фактор подчеркивает роль горизонтальных координат по сравнению с вертикальной.

2.2 Правовая основа применения систем функционального дополнения

Стандарты на форматы данных и другие детали технической реализации систем функционально дополнения разрабатывает Специальный комитет морской радиотехнической комиссии RTCM SC-104 (Radio Technical Commission for Maritime Services, Special Committee 104). Несмотря на "морское" название комиссии, стандарты рассчитаны и на наземных, и на воздушных потребителей. Хотя, в авиации более распространены стандарты Радиотехнической комиссии аэронавтики RTCA (Radio Techical Commission for Aeronautics).

Основными документами, регулирующими использование ККС в ГА являются:

Федеральный закон Российской Федерации от 14 февраля 2009 г. N 22-ФЗ «О навигационной деятельности»;

Постановление Правительства Российской Федерации от 25 августа 2008 г. N 641 г. Москва «Об оснащении транспортных, технических средств и систем аппаратурой спутниковой навигации ГЛОНАСС или ГЛОНАСС/GPS»

Опубликовано 3 сентября 2008 г.;

Федеральные авиационные правила «Объекты единой системы организации воздушного движения» (утвержденные приказом Минтранса РФ от 18 апреля 2005 г. №31).

2.3    Описание и работа контрольно-корректирующей станции

2.3.1 Назначение контрольно-корректирующей станции

ККС (рис.13) является составной частью морской дифференциальной подсистемы ГЛОНАСС и GPS.

ККС предназначена для решения следующих задач:

а) одновременного приема и обработки радиосигналов НКА СНС ГЛОНАСС и GPS, находящихся в зоне радиовидимости при работе по раздельным созвездиям или по смешанному созвездию;

б) контроля целостности МДПС ГЛОНАСС и GPS путем определения неработоспособных спутников и передачи этой информации через радиомаяк на судовые приемники с минимальной временной задержкой;

в) управление работой радиомаяка;

г) формирования кадров корректирующей информации в соответствии со стандартом «RTCM SC-104 версия 2.2 для функционирования GNSS в дифференциальном режиме»;

д) преобразования кадров КИ в MSK-модулированный сигнал и передачу его по коаксиальной линии к передатчику радиомаяка;

е) оценки качества вырабатываемой КИ, включение в области PRC/RRC сообщений RTCM 1, 31 и/или 9, 34 признака «не использовать данный спутник» при формировании аномальных значений поправок;

ж) определения фазового центра антенны ГНСС по серии наблюдений в системах координат ПЗ-90 или WGS-84 по выбору оператора;

з) включения в RTCM-сообщения признака неудовлетворительной работы ККС при аномальных погрешностях координат, рассчитываемых с учетом дифференциальных поправок;

и) включения в области PRC/RRC сообщений RTCM 1, 31 и/или 9, 34 признака «не использовать данный спутник «при аномальной остаточной погрешности псевдодальности;

к) включения в RTCM-сообщение признака неконтролируемой работы ККС при отсутствии обратной связи от СИК и аномальных значениях геометрического фактора ухудшения точности;

л) формирования и передачи RTCM-сообщения шестого типа для заполнения возможных пауз в передачи дифференциальных поправок;

м) выдачи данных о результатах работы для документирования и архивирования;

о) оценки состояния канала передачи корректирующей информации;

п) контроля параметров работы радиомаяка и ККС на мониторе КС.

Опорная станция (ОС)

ОС (рис.13) в составе ККС обеспечивает решение задач согласно пп.2.3.1 а), б), г) - л), а также:

- обмен информационно-управляющими сигналами (RSIM-сообщениями) с КС и СИК;

- ввод, редактирование и отображение информации на дисплее ОС;

- автоматический контроль функционирования ОС.

Станция интегрального контроля (СИК)

СИК (рис.13) в составе ККС обеспечивает решение задач согласно пп.2.3.1..а), н), о), а также:

- контроль целостности МДПС ГНСС и выдачу предупреждений в ОС и КС при выходе значений контролируемых параметров за допустимые пределы;

- обмен информационно-управляющими RSIM-сообщениями с ОС и КС;

- ввод, редактирование и отображение информации на дисплее СИК;

- автоматический контроль функционирования СИК.

Контрольная станция

КС (рис.13) в составе ККС обеспечивает:

а) установку и отображение на экране монитора КС следующих параметров работы опорной станции:

) режим работы (совместный или раздельный по GPS и ГЛОНАСС);

) радиочастоту передачи корректирующей информации;

) скорость передачи информации (в бодах);

) эталонные координаты фазового центра антенны ГНСС;

) номер опорной станции;

) минимальный угол радиовидимости НКА;

) сигнальные пороги тревог:

по допустимому количеству отслеживаемых спутников;

по максимальному значению поправки псевдодальности;

по максимальному значению скорости изменения псевдодальности;

по максимальному времени ожидания обратной связи от СИК;

) принудительно назначенное состояние НКА;

) перечень и расписание RTCM-сообщений;

б) получение и отображение на экране монитора параметров и текущих данных о работе опорной станции:

) корректирующей информации для всех видимых спутников:

-     поправка псевдодальности PRC;

-        скорость изменения поправки псевдодальности RRC;

         погрешность дифференциальной дальности потребителя UDRE;

-     модифицированный Z - отсчет;

2) сигналов тревог:

-     - недостаточное количество НКА;

-        - нет подтверждения от СИК о нормальной работе;

         - превышение порога поправок псевдодальностей;

         - превышение порога скорости изменения поправок псевдодальностей;

) состояние НКА (работоспособен/неработоспособен), передаваемое в бортовом сообщении или принудительно заданное с КС;

) информации о каждом НКА, находящемся в зоне радиовидимости ОС (азимут, угол возвышения, отношение сигнал/шум, URA/En*);

в) установку и отображение на экране монитора КС следующих параметров станции интегрального контроля:

1) режим работы (GPS/ГЛОНАСС/GNSS или GPS и ГЛОНАСС);

2) номер контролируемой опорной станции;

) эталонные координаты фазового центра антенны ГНСС;

) частота и скорость передачи корректирующей информации;

) минимальный угол возвышения НКА;

6) сигнальные пороги тревог и интервалов наблюдений:

-     по максимально допустимому времени устаревания поправок;

-        по максимальному проценту ошибок в принятых RTCM-сообщениях;

-     по минимальному уровню принимаемого сигнала радиомаяка;

* URA/En - параметры, характеризующие потенциальную точность формирования поправок для данного спутникав)

-     по минимальному соотношению сигнал/шум принимаемого сигнала от радиомаяка;

-     по минимальному количеству НКА на слежении;

-        по максимальной величине геометрического фактора (HDOP);

         по максимальной погрешности плановых координат;

         по максимальной остаточной погрешности псевдодальности;

-     по значению погрешности дифференциальной дальности потребителя;

-        по максимальной остаточной погрешность скорости изменения псевдодальности.

г) получение и отображение на экране монитора КС параметров и текущих данных о работе станции интегрального контроля:

) обобщенные характеристики интегрального контроля:

-     погрешности координат (широта, долгота, высота);

-        PDOP, HDOP и VDOP;

-        количество НКА, используемых при решении навигационной задачи;

2) подробные результаты интегрального контроля для видимых НКА:

-     остаточные погрешности псевдодальности;

-        остаточные погрешности скорости изменения псевдодальности;

         показатель качества коррекции;

         оценка дисперсии измерений;

         время устаревания поправок;

3) состояние линии передачи данных:

-     уровень сигнала;

-        отношение сигнал/шум;

         процент ошибок в RTCM-сообщениях;

         среднее время устаревания поправок;

4) сигналы тревог:

-     большое время устаревания поправок;

-        высокий процент ошибок в RTCM-сообщениях;

         низкий уровень принимаемого MSK-сигнала;

         низкое соотношение сигнал/шум;

         недостаточное количество наблюдаемых НКА;

         большая погрешность горизонтальных координат;

         высокое значение остаточной погрешности псевдодальности;

         высокое значение остаточной погрешности скорости изменения псевдодальности;

         превышение порогового значения погрешности дифференциальной дальности потребителя;

5) состояние НКА (работоспособен/неработоспособен), передаваемое в бортовом сообщении и принудительно заданное КС;

) информация о каждом НКА, находящемся в зоне радиовидимости СИК (азимут, высота, отношение сигнал/шум, URA/En);

) контроль и отображение типов, времени последнего поступления и периодичности принимаемых RTCM-сообщений;

) графическое отображение результатов определения местоположения;

д) установку и отображение на экране монитора КС параметров работы РМк:

-     номер передающего полукомплекта;

-        уровень мощности;

         диапазон допустимых значений тока в антенне;

         диапазон допустимых значений напряжения источника питания;

е) получение и отображение на экране монитора параметров работы РМк:

-     уровень мощности;

-        ток в антенне;

ж) обмен информационно-управляющими RSIM-сообщениями (с учетом ГЛОНАСС) с ОС и СИК;

з) документирование и архивирование данных о результатах работы;

и) контроль состояния и управление режимами работы ОС, СИК, радиомаяка.

Рис. 13. Функциональная схема ККС

2.3.2 Технические характеристики

ККС обеспечивает определение координат места судна с точностью от1 до 5 м в зоне действия дифсистемы.

Погрешности измерения радионавигационных параметров не более:

-      СКП псевдодальности                                                 0,35 м;

-        СКП скорости изменения псевдодальности              0,05 м/с.

Погрешности формирования поправок не более:

-      СКП поправок псевдодальности                                0,35 м;

-        СКП скорости изменения поправок псевдодальности      0,05 м/с.

Время задержки RTCM-сообщения от момента формирования до момента начала передачи не более 1 с.

Время выработки сигнала тревоги при превышении порогов по остаточной погрешности псевдодальностей, погрешности плановых координат, величине HDOP не более 0,25 с.

Форматы сообщений ККС принимаемых извне и передаваемых во внешние устройства соответствуют:

-      Стандарту «RTCM SC-104, версия 2.2 для функционирования GNSS в дифференциальном режиме»;

-        Стандарту «RTCM для дифференциальных опорных станций и станций интегрального контроля (RSIM), версия 1.1» (с учетом ГЛОНАСС).

         Протоколу BINR

Количество каналов приемника ГЛОНАСС/GPS - 28.

Тип принимаемого сигнала:

-      ГЛОНАСС - ПТ-код в диапазоне частот F1;

-        GPS - С/А-код на частоте L1.

Количество каналов передачи MSK-модулированных сигналов в РМк - 2.

Параметры MSK-модулированного сигнала по каждому каналу (табл.7):

Таблица 7

Параметры MSK-модулированного сигнала

- частота формируемых MSK-сигналов устанавливается с дискретностью 500 Гц

 От 283,5 до 325 кГц;

- уровень выходного сигнала при нагрузке 50 Ом

Не менее 0,5 В;

- диапазон, занимаемый MSK-сигналом, не более

230 Гц;

- скорость передачи

50, 100, 200 бит/с;

- двоичный «0» представляется задержкой фазы на 90° относительно несущей частоты, двоичная «1» представляется опережением фазы на 90°.


Питание ККС осуществляется от сети однофазного переменного тока напряжением 220±15% (+22; -33) В, (50±2,5) Гц через источник бесперебойного питания из состава ККС. Потребляемая мощность не более700 Вт.

Габаритные размеры и масса ККС:

-      габаритные размеры стойки ККС            600х800х1950 мм;

-        масса, не более:                                        250 кг.

Внешние воздействия

ККС сохраняет свои технические характеристики при воздействии:

рабочей температуры в диапазоне:

от 0 до плюс 50 °С для ОС, СИК, КС;

от минус 50 до плюс 65 °С для антенн;

относительной влажности:

·    для антенны 100 % при температуре 35 °С;

·        для ОС, СИК, КС 95 % при температуре 35 °С.

Технические характеристики опорной станции

·        количество каналов приемника ГЛОНАСС/GPS               28;

·        тип применяемого сигнала:

Ø  СНС ГЛОНАСС                    ПТ-код в диапазоне частот L1;

Ø  СНС GPS                                        С/А-код на частоте L1;

·        точность измерения скорости изменения псевдодальности, не более 0,04м/с;

·        точность коррекции псевдодальности, не более                          0,30м;

·        точность поправок к скорости изменения псевдодальностей, не более 0,04м;

·        интервал обновления и выдачи данных                    1 с;

·        время первого определения после прогрева ОГ, не более         2 мин;

·        типы передаваемых сообщений     1, 3, 5, 7, 9, 16, 31, 32, 33, 34, 35, 36, 37;

·        количество последовательных портов RS-232                            4;

·        параметры MSK-модулятора:

Ø  диапазон частот                                       от 283,5 до 325,0 кГц;

Ø  отклонение несущей частоты, не более                               4х10-6;

Ø  уход частоты MSK-модулятора, не менее                          10-6;

Ø  уровень выходного сигнала при нагрузке 50 Ом, не менее 0,5 В;

Технические характеристики станции интегрального контроля:

·        количество каналов приемника                                           28;

·        тип принимаемого сигнала:

Ø  СНС ГЛОНАСС                    ПТ-код в диапазоне частот L1;

Ø  СНС GPS                                        С/А-код на частоте L1;

·        точность измерения псевдодальности (СКП), не более     0,30м;

·        точность измерения скорости изменения псевдодальности, не более 0,04м;

·        время первого определения после прогрева ОГ, не более         2 мин.;

·        типы передаваемых сообщений     1, 31, 9, 34, 3, 32, 5, 33, 7, 35, 16, 36, 37;

·        количество последовательных портов RS-232                            4;

·        параметры приемника диффсообщений:

Ø  диапазон частот                                       от 283,5 до 325,0 кГц;

Ø  отклонение несущей частоты                                                        ±2 Гц;

Ø  скорость приемника информации           50, 100 или 200 бит/с;

Ø  тип модуляции - MSK. Кодировка информации: логический «0» - сдвиг текущей фазы несущей частоты на минус 90°, логическая «1» - сдвиг на 90;°

Ø  дискретность настройки по частоте                           0,5 кГц.

Технические характеристики контрольной станции

Контрольная станция выполнена на базе IBM-совместимого компьютера с программным обеспечением контроля и управления ОС, СИК и РМк.

Контрольная станция состоит из следующих частей:

         системный блок - УВМ РАМЭК - 011 с входящими платами:

         СР168U 8 port с кабелем Opt/8D;

-        WDT-01;

         промышленный монитор цветной 17² Рамэк-17 с разрешением 800х600 при частоте вертикальной развертки 70 Гц;

         клавиатура 105 клавиш, со встроенным манипулятором «мышь».

Все составные части выполнены в корпусах для установки в 19² стойку (рис.14).

Операционная система, установленная в контрольной станции Windows Professional 2000 service pack 4.

Рис.14. Внешний и порядок размещения аппаратуры ККС

3. Расчет дальности действия ККС

.1 Особенности распространения волн средневолнового диапазона

Одной из основных характеристик дифференциальных подсистем является дальность действия. Знание приблизительной зоны действия составных частей (радиомаяков) необходимо для проектирования и планирования работы каждой конкретной подсистемы.

При расчете дальности действия необходимо учитывать особенности распространения волн СВ диапазона.

Поверхностные волны СВ диапазона распространяются вдоль подстилающей поверхности Земли. Подстилающей поверхностью может быть суша, море. Поверхность Земли может быть гористой, равнинной, покрытой лесными массивами и др. В реальных условиях подстилающая поверхность вдоль трассы распространения всегда неоднородна. Практически невозможно учесть все неоднородности Земли. При расчете радиотрассы свойства подстилающей поверхности Земли оцениваются двумя среднестатистическими электрическими параметрами: относительной диэлектрической проницаемостью ε и проводимостью σ, которая измеряется в единицах Сим/м.

Напряженность поля в месте приема определяется этими двумя параметрами.

Для равнинной части суши примерные значения параметров: σ = 5ּ10-3 Сим/м, ε = 4, а для моря средней солености - ε = 70, σ = 5 Сим/м.

Радиоволны СВ диапазона сильно поглощаются в слое D атмосферы Земли. Это приводит к тому, что днем электромагнитное поле у земной поверхности вплоть до самых больших расстояний от передатчика обусловлено преимущественно прямой волной. Ночью же, когда слой D исчезает, радиоволны СВ диапазона отражаются от ионосферы и приходят на землю с ничтожными потерями. Поэтому интенсивность поля возрастает не только на больших расстояниях, но и на удалении до 200 км от излучателя. По этой причине в СВ диапазоне условия распространения одинаково меняются ото дня к ночи, однако характер поведения поля в ночное время нерегулярен во времени на различных расстояниях до излучателя.

Таким образом, при распространении радиоволн диапазона СВ в дневное время отраженная волна отсутствует, особенно в летние месяцы, т.к. днем в атмосфере появляется ионизированный слой D, который сильно поглощает волны СВ диапазона. В диапазоне СВ почва является хорошим проводником, поэтому при расположении непосредственно над поверхностью земли используют антенны с вертикальной поляризацией. Действительно, при распространении электромагнитных волн над бесконечно большой проводящей плоскостью, применяя принцип зеркального изображения для вертикального источника, величина электрической составляющей удваивается по сравнению со свободным пространством (над бесконечно проводящей поверхностью тангенциальные составляющие электрического поля отсутствуют).

Чтобы учесть влияние конечной проводимости земли, значение поля над бесконечно проводящей поверхностью умножается на коэффициент V, называемый «функцией ослабления» для сферической земли, показывающий во сколько раз поле передатчика на поверхности поглощающей земли отличается от поля передатчика на поверхности плоской непроводящей земли при прочих равных условиях.

Большое влияние на распространение радиоволн СВ диапазона оказывают атмосферные шумы. При определении уровня атмосферных помех могут использоваться графики МСЭ, на которых приведены медианные значения уровней помех.

Рельеф реальной суши обычно неровный, а величина напряженности поля принимаемого сигнала зависит не только от электрической проводимости подстилающей поверхности, но и от характера рельефа. Поэтому проводимости суши определяются не только физико-химическими свойствами. Для учета влияния рельефа вводят понятие «кажущейся» проводимости. Значения «кажущейся» проводимости для различных видов местности приведены в таблице 8.

Òàáëèöà 8

Çíà÷åíèÿ "êàæóùåéñÿ" ïðîâîäèìîñòè

Âèä ìåñòíîñòè

«Êàæóùàÿñÿ» ïðîâîäèìîñòü σêàæ , ìÑèì/ì

Ðåêè è îçåðà

1

Ïàñòáèùà, íåáîëüøèå õîëìû, æèðíûå çåìëè

10…30

Ïëîñêàÿ ìåñòíîñòü, áîëîòèñòàÿ, ãóñòî ïîêðûòàÿ ëåñàìè

7,5

Ïàñòáèùà, õîëìû ñðåäíåé âåëè÷èíû, ëåñà

6

Ïàñòáèùà, õîëìû ñðåäíåé âåëè÷èíû, ëåñà, òÿæåëàÿ ãëèíèñòàÿ ïî÷âà

4

Ñêàëèñòàÿ ìåñòíîñòü, êðóòûå õîëìû

2

Ïåñ÷àíàÿ, ñóõàÿ ïëîñêàÿ ìåñòíîñòü

2

Ãîðîäà

0,1…1

Äàëüíîñòü äåéñòâèÿ Ñ äèàïàçîíà óâåëè÷èâàåòñÿ èç-çà ðåôðàêöèè â òðîïîñôåðå, êîòîðàÿ ïðîèñõîäèò èç-çà íåïîñòîÿíñòâà êîýôôèöèåíòà ïðåëîìëåíèÿ àòìîñôåðû ñ óâåëè÷åíèåì âûñîòû íàä çåìëåé. Ýòî ïðèâîäèò ê èñêðèâëåíèþ òðàåêòîðèè, ëó÷ ïðèæèìàåòñÿ ê çåìëå è, ïîïàäàÿ â äèôðàêöèîííóþ îáëàñòü, óâåëè÷èâàåò çíà÷åíèå íàïðÿæåííîñòè ïîëÿ.


3.2 Ìîäåëü ðàñïðîñòðàíåíèÿ ðàäèîâîëí, ïîëó÷åííàÿ ãðàôè÷åñêèì ïóòåì

Êðèâûå ðàñïðîñòðàíåíèÿ ðàäèîâîëí ïðèâåäåíû â ðåêîìåíäàöèè ÌÑÝ-R Ð.368-8. Ýòè êðèâûå ðàññ÷èòàíû ïðè ñëåäóþùèõ ïîëîæåíèÿõ:

·          îíè îòíîñÿòñÿ ê ãëàäêîé îäíîðîäíîé ñôåðè÷åñêîé çåìëå;

·          èíäåêñ ðåôðàêöèè â òðîïîñôåðå óìåíüøàåòñÿ ñ âûñîòîé ýêñïîíåíöèàëüíî;

·          ïåðåäàþùàÿ è ïðèåìíàÿ àíòåííû ðàñïîëîæåíû íà óðîâíå çåìëè;

·          èçëó÷àþùèì ýëåìåíòîì ÿâëÿåòñÿ êîðîòêèé âåðòèêàëüíûé âèáðàòîð;

·          âåðòèêàëüíàÿ àíòåííà íàõîäèòñÿ íà èäåàëüíî ïðîâîäÿùåé ïîâåðõíîñòè çåìëè è èçëó÷àåò ìîùíîñòü 1 êÂò;

·          êðèâûå äàþòñÿ äëÿ ðàññòîÿíèé, èçìåðåííûõ ïî èñêðèâëåííîé ïîâåðõíîñòè çåìëè;

·          íà êðèâûõ ïðèâåäåíû çíà÷åíèÿ âåðòèêàëüíîé ñîñòàâëÿþùåé íàïðÿæåííîñòè èçëó÷àåìîãî ïîëÿ.

 Íàïðÿæåííîñòü ïîëÿ çåìíîé âîëíû ìîæåò ìåíÿòüñÿ â çàâèñèìîñòè îò ñåçîííûõ òåìïåðàòóð. Ñðåäíåãîäîâàÿ ðàçíîñòü ìåæäó çèìíèìè è ëåòíèìè ìåñÿ÷íûìè ìåäèàííûìè óðîâíÿìè íàïðÿæåííîñòè ïîëÿ íà ÷àñòîòàõ 500… 1000 êÃö ìåíÿåòñÿ â ïðåäåëàõ îò 5 äÁ (êîãäà ñðåäíÿÿ òåìïåðàòóðà ÿíâàðÿ äëÿ Ñåâåðíîãî ïîëóøàðèÿ ñîñòàâëÿåò +4 0Ñ) äî 15 äÁ (êîãäà ñðåäíÿÿ òåìïåðàòóðà ÿíâàðÿ äëÿ Ñåâåðíîãî ïîëóøàðèÿ ñîñòàâëÿåò -16 0Ñ).

Íà ðèñóíêå 15 ïðèâåäåíû êðèâûå ðàñïðîñòðàíåíèÿ çåìíîé âîëíû äëÿ ðàçëè÷íûõ çíà÷åíèé σ è ε.

Ðàñ÷åò íàïðÿæåííîñòè ýëåêòðè÷åñêîãî ïîëÿ, ñîñòîÿùåé èç íåñêîëüêèõ îäíîðîäíûõ ó÷àñòêîâ, ìîæíî ðàññ÷èòàòü ïî ìåòîäó, ïðåäëàãàåìîìó ÌÑÝ ñîãëàñíî ìåòîäèêå ÌÑÝ-R Ð.368-8 (ðèñ.15) Ñîãëàñíî ýòîìó ìåòîäó çíà÷åíèÿ óðîâíåé íàïðÿæåííîñòåé ìîãóò áûòü ïåðåñ÷èòàíû äëÿ ëþáîé äðóãîé ìîùíîñòè èñòî÷íèêà èçëó÷åíèÿ. Åñëè èçëó÷àåìàÿ ìîùíîñòü ïåðåäàò÷èêà íå ðàâíà 1êÂò, òî ïîëó÷åííîå ïî ãðàôèêó çíà÷åíèå íàïðÿæåííîñòè ïîëÿ (ìêÂ/ì) óìíîæàåòñÿ íà âåëè÷èíó √Pèçë .

Ðèñ.15. Êðèâûå ðàñïðîñòðàíåíèÿ ðàäèîâîëí íà ÷àñòîòå 300 êÃö

Äëÿ áàçîâîé ñòàíöèè, èìåþùåé ìîùíîñòü ïåðåäàò÷èêà 2,5 êÂò ïåðåñ÷èòàííûå êðèâûå ðàñïðîñòðàíåíèÿ ïðè ε = 3 ñèì/ì è σ =10 -4 .

Èç ðèñóíêà 15 îïðåäåëÿåì äàëüíîñòü äåéñòâèÿ, ñîîòâåòñòâóþùóþ çàäàííîé ÷óâñòâèòåëüíîñòè ïðèåìíèêà äèôôåðåíöèàëüíûõ ïîïðàâîê, ðàâíîé 2,5 ìêÂ/ì. Äàëüíîñòü äåéñòâèÿ ðàâíà 320 êì. Äàëüíîñòü äåéñòâèÿ óâåëè÷èâàåòñÿ ñ óìåíüøåíèåì ÷óâñòâèòåëüíîñòè ïðèåìíèêà äèôôïîïðàâîê.

 

3.3 Ìåòîä ÷àñòîòíîé ìîäóëÿöèè ñ ìèíèìàëüíûì ñäâèãîì


Ïðè èñïîëüçîâàíèè òðàäèöèîííûõ ìåòîäîâ ÷àñòîòíîå êîäèðîâàíèå èìïóëüñîâ îñóùåñòâëÿåòñÿ ïóòåì èçìåíåíèÿ íåñóùåé ÷àñòîòû ñèãíàëà îò çíà÷åíèÿ f1 äî çíà÷åíèÿ f2, à ïðè ôàçîâîì êîäèðîâàíèè ôàçà âûñîêî÷àñòîòíîãî çàïîëíåíèÿ èìïóëüñîâ ñêà÷êîì ìåíÿåòñÿ îò çíà÷åíèÿ 0 äî çíà÷åíèÿ π.

Ñêà÷êîîáðàçíîå èçìåíåíèå ïåðåäàâàåìîãî ïàðàìåòðà ïðèâîäèò ê ðàñøèðåíèþ ïîëîñû çàíèìàåìûõ ÷àñòîò. Ïðîáëåìå ñîêðàùåíèÿ ÷àñòîòíîãî ñïåêòðà â ïîñëåäíåå âðåìÿ óäåëÿåòñÿ áîëüøîå âíèìàíèå, ò.ê. Ñ äèàïàçîí ïåðåäà÷è äèôôåðåíöèàëüíûõ ïîïðàâîê íå âåëèê (283,5 - 325 êÃö).

Ðèñ.16. Ñòðóêòóðíàÿ ñõåìà MSK-ìîäóëÿòîðà

Ðèñ.17. Ôîðìèðîâàíèå MSK-ìîäóëèðîâàííîãî ñèãíàëà

Ïðèìåíåíèå MSK-ìîäóëÿöèè ïîçâîëÿåò ñîêðàòèòü ñïåêòð ñèãíàëîâ â äâà ðàçà ïî ñðàâíåíèþ ñ òðàäèöèîííûìè ìåòîäàìè ìîäóëÿöèè.

Èíäåêñ ÷àñòîòíîé ìîäóëÿöèè âûáèðàåòñÿ 0,5 ïðè ÷àñòîòíîì ðàçíîñå â 25 êÃö ìåæäó êàíàëàìè ñâÿçè, â äàëüíåéøåì âîçìîæíî óìåíüøåíèå èíäåêñà ìîäóëÿöèè äî 0,25 ïðè ÷àñòîòíîì ðàçíîñå 12,5 êÃö. Ñõåìà ÷àñòîòíîãî ìîäóëÿòîðà ïðèâåäåíà íà ðèñóíêå 16.

Âõîäíàÿ ïîñëåäîâàòåëüíîñòü äâîè÷íûõ èìïóëüñîâ (ðèñ.17,à) ïîñòóïàåò íà âõîä ìîäóëÿòîðà â áëîê ïðåîáðàçîâàòåëÿ êîäà.

 ïðåîáðàçîâàòåëå êîäà âõîäíàÿ ïîñëåäîâàòåëüíîñòü x(t) äåëèòñÿ íà äâà ïîòîêà èìïóëüñîâ.  ïåðâîì ïîòîêå x1(t) âûõîäíûå èìïóëüñû ñ âûõîäà ïðåîáðàçîâàòåëÿ êîäà ïðåäñòàâëÿþò ñîáîé óâåëè÷åííûå â äâà ðàçà ïî äëèòåëüíîñòè íå÷åòíûå èìïóëüñû âõîäíîé ïîñëåäîâàòåëüíîñòè x(t) (ðèñ. 17,á), âî âòîðîì ïîòîêå − óâåëè÷åííûå â äâà ðàçà ïî äëèòåëüíîñòè ÷åòíûå èìïóëüñû âõîäíîé ïîñëåäîâàòåëüíîñòè (ðèñ. 17, â). Äâà íåëèíåéíûõ êâàäðàòóðíûõ ïðåîáðàçîâàòåëÿ ôîðìû èìïóëüñîâ (ïðåîáðàçîâàòåëè ôîðìû èìïóëüñîâ 1 è 2) ñ êîýôôèöèåíòîì ïðåîáðàçîâàíèÿ À0 îñóùåñòâëÿþò ïðåîáðàçîâàíèå ïðÿìîóãîëüíîé ôîðìû èìïóëüñîâ â ñèíóñîèäàëüíóþ ôîðìó (íà âûõîäå ïðåîáðàçîâàòåëÿ ôîðìû èìïóëüñîâ 1) è â êîñèíóñîèäàëüíóþ (íà âûõîäå ïðåîáðàçîâàòåëÿ ôîðìû èìïóëüñîâ 2) (ðèñ.17, å). ×àñòîòà ïðåîáðàçóþùåé ñèíóñîèäû âûáèðàåòñÿ èç ñîîòíîøåíèÿ:

 

,

ãäå Òñ − äëèòåëüíîñòü áèòà. Äëèòåëüíîñòü ïîëóâîëíû ïðåîáðàçóþùåé ÷àñòîòû ðàâíà äâóì äëèòåëüíîñòÿì áèòîâûõ ïîñûëîê.

Ôàçà ïðåîáðàçóþùåé ÷àñòîòû äîëæíà ñîâïàäàòü ñ ôàçîé èìïóëüñîâ âõîäíîãî ïîòîêà.

Íà âûõîäå íåëèíåéíûõ ïðåîáðàçîâàòåëåé ôîðìû ñèãíàëû ôèëüòðóþòñÿ ïîëîñîâûìè ôèëüòðàìè, íàñòðîåííûìè íà ïðåîáðàçóþùóþ ÷àñòîòó.

Ñèãíàëû ñ âûõîäà ïîëîñîâûõ ôèëüòðîâ ïîñòóïàþò íà êâàäðàòóðíûå àìïëèòóäíûå ìîäóëÿòîðû 1 è 2. Íà âûõîäå ìîäóëÿòîðîâ ñîîòâåòñòâåííî ïîëó÷àåì:

y1(t) =À0x1 sin(πt/2Tc) sinω0t

y2(t) = A0x2 sin(πt/2Tc) sinω0t

ãäå ω0t − íîìèíàëüíàÿ êðóãîâàÿ íåñóùàÿ ÷àñòîòà èçëó÷àåìîãî ñèãíàëà.

Ôàçà íåñóùåé ÷àñòîòû ñèãíàëà (ðèñ.17, ä è ðèñ.17, æ) èíâåðòèðóåòñÿ â ñîîòâåòñòâèè ñ ïîëÿðíîñòüþ ïðåîáðàçîâàííûõ ïî ôîðìå ñèãíàëîâ.

Íà âûõîäå ñóììàòîðà ïîëó÷àåòñÿ

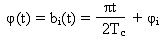
y(t) = y1(t) + y2(t) = A0cos[ω0t + φ(t)],

ãäå ,

ïðè÷åì bi(t) = - x1(t)·x2(t), à ôàçà φi ïðèíèìàåò çíà÷åíèå 0 èëè π, êîãäà ôóíêöèÿ x2(t) ðàâíà 1 èëè 0 ñîîòâåòñòâåííî. Òåêóùåå çíà÷åíèå ôàçû ïðèâåäåíî íà ðèñ.17, ç, âûõîäíîé ñèãíàë íà ─ íà ðèñ.17, è.

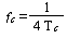
Âûõîäíîå êîëåáàíèå èìååò ïîñòîÿííóþ àìïëèòóäó À0 è îäíó èç äâóõ âîçìîæíûõ ÷àñòîò â ïðåäåëàõ äëèòåëüíîñòè áèòîâûõ ïîñûëîê:


×àñòîòíûé ðàçíîñ ω1 ─ ω2 = 2πΔf, ãäå Δf = 1/Tc = 4800 Ãö.

Ïðè ýòîì èíäåêñ ìîäóëÿöèè:

Äëÿ ïîëó÷åíèÿ èíäåêñà ìîäóëÿöèè β = 0,25 íåîáõîäèìî èñïîëüçîâàòü ïðÿìîé ìåòîä ÷àñòîòíîé ìîäóëÿöèè ñ íåïðåðûâíîé ôàçîé (×ÌÍÔ) β.

Ïðè ïðÿìîì ìåòîäå, åñëè ñèãíàë íà âûõîäå ìîäóëÿòîðà íà èíòåðâàëå [0, Tc] èìååò âèä:

y(t) = A0cos(ω0t + x0π/2Tc),

òî â îáùåì âèäå

y(t) = A0cos[ω0t + φ(t)],ãäå


 ÷àñòíîì ñëó÷àå ñèãíàë íà èíòåðâàëå [0, Tc] çàïèñûâàåòñÿ â âèäå :

y(t) = A0cos[ω0t + x0b pt/Tc],

à íà èíòåðâàëå [kTc, (k + 1)Tc] èìååò âèä:

,

ïðè ýòîì èíäåêñ ìîäóëÿöèè β íå îáÿçàòåëüíî äîëæåí áûòü ðàâåí 0,5 è ìîæåò áûòü âûáðàí ðàâíûì 0,25. ×àñòîòíûé ðàçíîñ ïðè ýòîì 2400 êÃö.

Ïðÿìîé ìåòîä ìîäóëÿöèè ñ íåïðåðûâíîé ôàçîé ìîæåò áûòü ðåàëèçîâàí êàê ñ ïîìîùüþ ñèãíàëüíîãî ïðîöåññîðà, òàê è àíàëîãîâûì ìåòîäîì.

Ïðè àíàëîãîâîì ìåòîäå ìîäóëÿöèè (ðèñ.18) ïëàâíîå èçìåíåíèå ôàçû ðåàëèçóåòñÿ íà ÷àñòîòíîì ìîäóëÿòîðå, íà ìîäóëèðóþùèé âõîä êîòîðîãî ïîñòóïàåò âõîäíîé ñèãíàë x(t), ïðîïóùåííûé ÷åðåç ïðåîáðàçîâàòåëü ôîðìû, îáåñïå÷èâàþùèé ïëàâíîå èçìåíåíèå àìïëèòóäû (íàïðèìåð, â âèäå ïðèïîäíÿòîãî êîñèíóñîèäàëüíîãî èìïóëüñà èëè ãàóññîâîé êðèâîé).  ÷àñòíîì ñëó÷àå ðîëü ïðåîáðàçîâàòåëÿ ôîðìû ìîæåò âûïîëíÿòü ôèëüòð íèæíèõ ÷àñòîò.

Ðèñ.18. Àíàëîãîâûé ìåòîä ïðÿìîé ìîäóëÿöèè ñ íåïðåðûâíîé ôàçîé

Âîçìîæíîñòü èñïîëüçîâàíèÿ ôîðìû îãèáàþùåé â âèäå ãàóññîâîé êðèâîé ïðèâåëî ê âîçíèêíîâåíèþ íàçâàíèÿ ìåòîäà ìîäóëÿöèè GMSK/FM - Gauss Minimum Shift Keying Frequency Modulation.

Íà âûõîäå ÷àñòîòíîãî ìîäóëÿòîðà íåñóùàÿ ÷àñòîòà ìåíÿåòñÿ ïî çàêîíó ïðèïîäíÿòîãî èìïóëüñà, à ôàçà ×Ì-ñèãíàëà ÿâëÿåòñÿ íåïðåðûâíîé.

Íåêîãåðåíòíûé ïðèåì ×Ì-ñèãíàëîâ ìîæåò ïðîèçâîäèòñÿ ñ ïîìîùüþ ñòðóêòóðíîé ñõåìû, ïðèâåäåííîé íà ðèñóíêå 19.

Ðèñ.19. Ñõåìà íåêîãåðåíòíîãî ïðèåìà ×Ì-ñèãíàëîâ

 êàñêàäå ïðåîáðàçîâàòåëÿ ×Ì â ÀÌ ïðîèçâîäèòñÿ ïðåîáðàçîâàíèå èçìåíåíèÿ ÷àñòîòû ñèãíàëà â èçìåíåíèå àìïëèòóäû. Íà âûõîäå àìïëèòóäíîãî äåòåêòîðà è ôèëüòðà íèæíèõ ÷àñòîò ïîëó÷àåì âûõîäíîé ñèãíàë, ðåãèñòðèðóåìûé ðåøàþùèì óñòðîéñòâîì.

Ìåòîä ÷àñòîòíîé ìîäóëÿöèè ñèãíàëîâ áåç ðàçðûâà ôàçû ïîçâîëÿåò óìåíüøèòü ïîëîñó çàíèìàåìûõ ÷àñòîò, à ñëåäîâàòåëüíî ìîæåò ýôôåêòèâíî èñïîëüçîâàòüñÿ ïðè ïåðåäà÷å ÊÈ.

Âûâîäû è ðåêîìåíäàöèè

Ïîÿâëåíèå êîíòðîëüíî-êîððåêòèðóþùèõ ñòàíöèé, êàê ÷àñòè äèôôåðåíöèàëüíîé ñèñòåìû GNSS, âîçíèêëî â ñâÿçè ñ òðåáîâàíèÿìè ïî òî÷íîñòè îïðåäåëåíèÿ êîîðäèíàò ìåñòà â îïàñíûõ íàâèãàöèîííûõ ðàéîíàõ, ïðè çàõîäàõ íà ïîñàäêó ÂÑ. Çà ïîñëåäíèå 10 ëåò äèôôåðåíöèàëüíûé ñåðâèñ ñäåëàë ñåðüåçíûé ñêà÷îê â ñâîåì ðàçâèòèè íå òîëüêî çà ðóáåæîì, íî è â íàøåé ñòðàíå.  íàñòîÿùåå âðåìÿ (ñ 2002 ã.) ïî ïëàíó ÔÖÏ «Ãëîáàëüíàÿ íàâèãàöèîííàÿ ñèñòåìà» ê 2011 ãîäó äîëæíî çàêîí÷èòüñÿ ðàçâåðòûâàíèå ñèñòåìû. Îò ðàçâåðòûâàíèÿ ñèñòåìû íàïðÿìóþ çàâèñèò áåçîïàñíîñòü ïîëåòîâ, ñëåäîâàòåëüíî, ðàçâèòèå äèôôñåðâèñà áóäåò ïðîäîëæàòüñÿ, íåñìîòðÿ íà íåìàëûå çàòðàòû íà ôèíàíñèðîâàíèå.

Îäèí èç îñíîâíûõ íåäîñòàòêîâ äèôôåðåíöèàëüíûõ ïîäñèñòåì -- âûñîêàÿ ñòîèìîñòü îáîðóäîâàíèÿ. Ðåøåíèå ýòîé ïðîáëåìû çàêëþ÷àåòñÿ â çäîðîâîé êîíêóðåíöèè íà ðûíêå íàâèãàöèîííîé àïïàðàòóðû. Íà äàííûé ìîìåíò íå òàê óæ ìíîãî êîìïàíèé, ïðîèçâîäÿùèõ è óñòàíàâëèâàþùèõ ÊÊÑ. Îäíàêî ñ ðàñøèðåíèåì ñèñòåìû íå èñêëþ÷åíî è ðàñøèðåíèå ðûíêà ïðîèçâîäèìîé ïðîäóêöèè. Ê áåçóñëîâíûì ïëþñàì ÊÊÑ îòíîñèòñÿ ïîëíàÿ àâòîíîìíàÿ ðàáîòà, ÷òî èñêëþ÷àåò ðàñõîäû íà îïëàòó òðóäà îáñëóæèâàþùåãî ïåðñîíàëà. Ñîñòàâíûå áëîêè ÊÊÑ èìåþò 100% ðåçåðâèðîâàíèÿ. Ýòî ñóùåñòâåííî ïîäíèìàåò íàäåæíîñòü ñèñòåìû, à ñëåäîâàòåëüíî è çàòðàòû íà îáñëóæèâàíèå è ðåãóëÿðíûå ïðîâåðêè ÊÊÑ.

 öåëîì, ðàçâèòèå äèôôåðåíöèàëüíûõ ïîäñèñòåì íà îñíîâå ÊÊÑ ÿâëÿåòñÿ ïåðñïåêòèâíûì. Ýêîíîìè÷åñêèé ýôôåêò îò âíåäðåíèÿ äèôôñèñòåì ïîëîæèòåëüíî ñêàæåòñÿ â ïåðâóþ î÷åðåäü íà àâèàêîìïàíèÿõ, ò.ê. èñïîëüçîâàíèå ïîäñèñòåìû ïîçâîëèò çàòðà÷èâàòü ìåíüøå âðåìåíè íà ïðîèçâîäñòâî ïîëåòîâ è çàòðàò íà òîïëèâî.

Ïî ðåçóëüòàòàì àíàëèçà ðàçâèòèÿ íàçåìíûõ ñèñòåì ôóíêöèîíàëüíîãî ìîæíî ñäåëàòü ñëåäóþùèå âûâîäû:

â ñîîòâåòñòâèè ñ Ïîñòàíîâëåíèåì Ïðàâèòåëüñòâà ÐÔ îò 25 àâãóñòà 2008ã. ¹ 641 «Îá îñíàùåíèè òðàíñïîðòíûõ, òåõíè÷åñêèõ ñðåäñòâ è ñèñòåì àïïàðàòóðîé ñïóòíèêîâîé íàâèãàöèè ÃËÎÍÀÑÑ èëè ÃËÎÍÀÑÑ/GPS» âñå ÂÑ äîëæíû áûòü îñíàùåíû àïïàðàòóðîé ÑÑÍ ÃËÎÍÀÑÑ èëè ÃËÎÍÀÑÑ/GPS;

ãðóïïèðîâêà ñïóòíèêîâ ÃËÎÍÀÑÑ íå íà 100% ñôîðìèðîâàíî, êàê GPS, íî ïðàêòè÷åñêè ñìûñë äàæå â òàêîì âèäå ñèñòåìà èìååò âåñüìà âíóøèòåëüíûé. Òàê êàê â ñåâåðíûõ øèðîòàõ, ââèäó îñîáåííîñòåé ïîñòðîåíèÿ ñïóòíèêîâîé ãðóïïèðîâêè, ñèãíàë GPS ïðèíèìàåòñÿ íå ñòàáèëüíî, òî ýòî ïðèâîäèò ê ñíèæåíèþ òî÷íîñòè èçìåðåíèé. Íàä Ñåâåðíûì Ïîëþñîì, âáëèçè êîòîðîãî ïðîõîäèò áîëüøèíñòâî òðàíñàòëàíòè÷åñêèõ àâèàðåéñîâ èç Ðîññèè â Ñåâåðíóþ Àìåðèêó, GPS-ñèãíàë îòñóòñòâóåò. Ñèñòåìà ÃËÎÍÀÑÑ ëèøåíà ïîäîáíûõ íåäîñòàòêîâ;

èñïîëüçîâàíèå äèôôñèñòåì ïîçâîëÿåò ñóùåñòâåííî ïîâûñèòü òî÷íîñòü è îïðåäåëÿòü êîîðäèíàòû ñ òî÷íîñòüþ äî íåñêîëüêèõ äåñÿòêîâ ñàíòèìåòðîâ;

ðàçâåðòûâàíèå ÔÖÏ «Ãëîáàëüíàÿ íàâèãàöèîííàÿ ñèñòåìà» äîëæíî áûòü çàêîí÷åíî â 2011 ã., îäíàêî çà ñ÷åò äîðîãîâèçíû âíåäðåíèÿ, å¸ ðåàëèçàöèÿ îòñòàåò îò ïëàíà. Ñîãëàñíî äîêëàäó íà÷àëüíèêà ÐÒÎ è Ñ Ôåäåðàëüíîé àýðîíàâèãàöèîííîé ñëóæáû Êîð÷àãèíà Â.À., íà òåððèòîðèè ÐÔ äî 2011 ã. áóäåò óñòàíîâëåíî òîëüêî 40% ïëàíèðóåìûõ ËÊÊÑ.

 ñâÿçè ñ ýòèì ìîæíî ïðåäëîæèòü ñëåäóþùèå ðåêîìåíäàöèè:

íåîáõîäèìî óñêîðèòü ïðîöåññ ðàçâåðòûâàíèÿ ËÊÊÑ;

âñëåäñòâèå äîðîãîâèçíû àïïàðàòóðû äèôôïîïðàâîê, èõ íàäî óñòàíàâëèâàòü íà òåõ òðàññàõ, êîòîðûå õàðàêòåðèçóþòñÿ íàèáîëüøåé èíòåíñèâíîñòüþ âîçäóøíîãî äâèæåíèÿ;

â ðÿäå ñëó÷àåâ äåøåâëå óñòàíàâëèâàòü îáîðóäîâàíèå ïñåâäîñïóòíèêîâ;

îïðåäåëÿòü ÷óâñòâèòåëüíîñòü ïðèåìíèêà â çàâèñèìîñòè îò ïîòðåáíîé äàëüíîñòè ïåðåäà÷è ïîïðàâîê ïî ïðåäëîæåííîìó ãðàôèêó (ðèñ.17);

äàëüíîñòü äåéñòâèÿ ëîêàëüíîé ñèñòåìû íå äîëæíà ïðåâûøàòü 200 êì â ñâÿçè ñ óõóäøåíèåì äîñòîâåðíîñòè ïîïðàâîê.

Ñïèñîê èñïîëüçîâàííîé ëèòåðàòóðû

1)  Â.È. Áàáóðîâ, Í.Â. Âàñèëüåâà, Í.Â. Èâàíöåâè÷, Ý.À. Ïàíîâ «Ñîâðåìåííîå èñïîëüçîâàíèå ðàäèîíàâèãàöèîííûõ ñèñòåì è ñåòåé ïñåâäîñïóòíèêîâ», èçäàòåëüñòâî Àãåíòñòâî «ÐÄÊ-Ïðèíò», 2005 ã.;

2)  Å.Ì. Âåðåùàãèí «Àíòåííû è ðàñïðîñòðàíåíèå ðàäèîâîëí», Âîåííîå èçäàòåëüñòâî ìèíèñòåðñòâà îáîðîíû ÑÑÑÐ, 1964 ã.;

3)  «Êîíòðîëüíî-êîððåêòèðóþùàÿ ñòàíöèÿ ìîðñêîé äèôôåðåíöèàëüíîé ïîäñèñòåìû êîñìè÷åñêèõ íàâèãàöèîííûõ ñèñòåì ÃËÎÍÀÑÑ è GPS. Ðóêîâîäñòâî ïî ýêñïëóàòàöèè», ÇÀÎ «ÊÁ Íàâèñ» 2005 ã.;

4)      Ïîñòàíîâëåíèå Ïðàâèòåëüñòâà Ðîññèéñêîé Ôåäåðàöèè îò 25 àâãóñòà 2008 ã. N 641 ã. Ìîñêâà «Îá îñíàùåíèè òðàíñïîðòíûõ, òåõíè÷åñêèõ ñðåäñòâ è ñèñòåì àïïàðàòóðîé ñïóòíèêîâîé íàâèãàöèè ÃËÎÍÀÑÑ èëè ÃËÎÍÀÑÑ/GPS»;

)        Þ.À. Ñîëîâüåâ «Ñïóòíèêîâàÿ íàâèãàöèÿ è åå ïðèëîæåíèÿ»,Ýêî-Òðåíäç, 2003 ã.;

)        Ôåäåðàëüíàÿ öåëåâàÿ ïðîãðàììà «Ãëîáàëüíàÿ íàâèãàöèîííàÿ ñèñòåìà»;

7)  http://www.wireless-e.ru/articles/technologies/2006_4_64.php;

8)      http://avia.transas.com/company/seminar/s2007/files/2_Korchagin.pdf;

)        http://www.aviationweb.ru/study-124-15.html;

)        http://www.atminst.ru/up_files/doklad_8.pdf.

Ðàçìåùåíî íà Allbest.ru

Похожие работы на - Разработка рекомендаций по применению систем функционального дополнения спутниковой навигации

 

Не нашли материал для своей работы?
Поможем написать уникальную работу
Без плагиата!
Без нейросетей!