Модернизация электрооборудования универсального круглошлифовального станка модели 3К12
ДИПЛОМНЫЙ
ПРОЕКТ
Модернизация
электрооборудования универсального круглошлифовального станка модели 3К12
Введение
Закрытое акционерное общество «Гомельский
вагоностроительный завод» (ЗАО «Гомельский ВСЗ») производит пассажирские
вагонымодельного ряда 61-779. Предприятием поставлено Белорусской железной
дороге порядка 60 вагонов «779 серии», которые успешно эксплуатируются как на
внутренних, так и межгосударственных маршрутах на территории СНГ.
В последние годы предприятие
ведет активную реорганизацию производства, внедрение новых технологий и
расширение ассортимента выпускаемой продукции.
В данном дипломном проекте произведена
модернизация универсального круглошлифовального станка модели 3К12. Был
произведен выбор направления модернизации, а так же выбраны технические
средства модернизации в соответствие с направлением. Были составлены схемы:
функциональная схема, схема электрическая принципиальная модернизированная,
схема соединений и подключений. Так же была произведена модернизация схемы электрической
принципиальной существующей и схемы соединений и подключений. Были описаны
организация монтажа, эксплуатации и ремонта модернизированного оборудования;
организация работы охраны труда на предприятии; мероприятия по технике
безопасности при проведении модернизации и эксплуатации и ремонте
модернизированного электрооборудования. Так же было уделено внимание пожарной
безопасности при эксплуатации модернизированного оборудования. В отдельном
разделе была описана охрана окружающей среды и энергосбережения. Были посчитаны
затраты на модернизацию электрооборудования а так же срок ее окупаемости.
Раздел 1 Общий раздел
.1 Обоснование темы дипломного
проекта
Закрытое акционерное общество
«Гомельский вагоностроительный завод» (ЗАО «Гомельский ВСЗ») производит
пассажирские вагоны модельного ряда 61-779. Предприятием поставлено Белорусской
железной дороге порядка 60 вагонов «779 серии», которые успешно эксплуатируются
как на внутренних, так и межгосударственных маршрутах на территории СНГ.
Основной составляющей
производственной загрузки предприятия - это ремонт более 150 видов вагонов
различного назначения: пассажирские, почтовые, багажные, почтово-багажные,
банковские, служебные, рестораны, кухни, бани, аптеки, клубы, санитарные,
туристические, дефектоскопы: магнитные, ультрозвуковые и др. лаборатории:
дефектоскопные, флюорографические, метеорологические и др. вагон-станции:
мостоипытательные, тоннелеобследовательные, водонаосные, радиостанции,
электростанции и др. В процессе ремонта проводится модернизация данных вагонов,
позволяющая существенно улучшить их функциональность, повысить безопасность и
уровень обслуживания пассажиров.
Производственные мощности
предприятия позволяют выпускать следующую продукцию:
· Запасные части к грузовому и
пассажирскому железнодорожному подвижному составу;
· Стальные
отливкиметодом точного стального литья;
· Метизную продукцию;
· Мебель офисную;
· Новое формирование
и ремонт колесных пар.
В последние годы предприятие
ведет активную реорганизацию производства, внедрение новых технологий и
расширение ассортимента выпускаемой продукции.
В данном дипломном проекте будет произведена
модернизация универсального круглошлифовального станка модели 3К12.
Модернизация электрооборудования - частичное
улучшение конструкции оборудования в целях увеличения производительности,
облегчения условий и повышения качества продукции, изготавливаемой на нем.
Данный станок находиться в металлообрабатывающем
цеху, который является одним из важных цехов на предприятии и эксплуатируется
постоянно. Но со временем станок подвергся износу (моральному и физическому) и
так как предприятие не в состоянии закупать новые станки и заменять ими старые,
то было решено произвести модернизацию данного универсального
круглошлифовального станка модели 3К12.
После проведения модернизации планируется
уменьшить количество ремонтов оборудования станка и тем самым повысить его
надежность.
.2 Состав и краткая техническая характеристика
станка
Универсальный круглошлифовальный станок 3К12
предназначен для шлифования наружных и внутренних цилиндрических, конических и
торцевых поверхностей в условиях индивидуального и мелкосерийного производства
с установкой детали в центрах или кулачковом патроне.
Наличие поворотного стола дает возможно сть
шлифовать пологие конические поверхности в центрах.
Крутые конические поверхности могут быть
прошлифованы с помощью разворота бабки изделия или шлифовальной бабки.
Перемещение верхней части шлифовальной бабки
относительно нижней позволяет шлифовать периферией круга торец детали,
закрепленной в патроне.
На станке можно вести обработку следующими
способами:
· продольным шлифованием с автоматической
поперечной периодической подачей, осуществляемой при реверсе стола, и с
автоматическим выключением подачи по достижении заданного размера;
· продольным или врезным шлифованием
вручную по лимбу или до упора.
Станок предназначен для работы на скорости
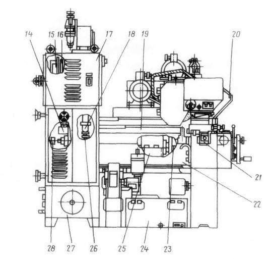
шлифования 35 или 50 м/с. Общий вид станка представлен на рисунках 1 и 2.
Рис. 1. 1- станина 3K12.10.000;2-
блокдросселей; 3K12.77.000; 3
- гидропанель;3K12.73.000; 4
- кран выбора вида подачи 3K12.74.000;5
- стол 3K12.20.000; 6 -
бабка изделия 3K12.50.000; 7
- встройка выключателя автоматического 3K12.84.000;
8 - отсчетное устройство пневматическое визуальное БЗ-6060В; 9 - панель
сигнализации 3K12.83.000; 10 -
шпиндель внутреннего шлифования ЗБ12-44-00; 11 - приспособление для внутреннего
шлифования 3K12.45.000; 12 -
бабка шлифовальная 3K12.40.000;
13 - бабка задняя 3K12.5I.000;
14 - гидропанель станции гидропривода 3K12.78.000;
15 панель электрошкафа 3K12.85.000;
16 - привод изделия 3K12.88.000;
17 - электрошкаф 3K12.8I.000;
18- блок подготовки воздуха 3K12.15.000;
19- салазки верхние 3K12.41.000;
20 - ограждение 3K12.21.000 ;
21 - гидроцилиндр стола 3K12.110.000;
22 - салазки нижние 3K12.42.000;
23 - встройка винта подачи 3K12.61.000;
24 - установка подачи охлаждения 3K12.12.000;
25 - механизм быстрого подвода ЗК12.43.000; 26 - клапан автоматического сброса
конденсата 3K12.79.000; 27-
станция гидропривода 3K12.71.000;
28- кран манометра 3M2.I-C320;
29 - рукоятка управления 3K12.75.000;
30 - пульт управления 3K12.82.000;
31 - установка смазки шпинделя 3K12.I3.000;
32 - система гидравлики 3K12.70.000
; 33 - механизм подачи 3KI1.60.000;
34 - механизм ручного перемещения стола 3K12.30.000;
35 - трубопровод подачи охлаждения 3K12.14.000
Рис.2
.3 Требования к электрооборудованию станка
Электрооборудование станка выполнено для питания
от трехфазной сети 380 В с частотой 50 Гц. Напряжение питания электрических
цепей станка: цепи управления переменного тока-110 В; в цепи освещения-24 В;
цепи сигнализации-5 В.
На станке установлено 6 асинхронных
электродвигателей и один электродвигатель постоянного тока. Общая мощность
электродвигателей имеющихся в станке,- 10 кВт. Двигатель М1 является приводом
изделия, двигатель М2- привод шлифовального круга, М3-привод гидравлики,
М4-привод смазки, М5- привод охлаждения, М6-привод магнитного сепаратора,
М7-привод внутришлифовального приспособления. Для привода изделия необходимо
предусмотреть плавное регулирование скорости вращения в широкомдиапозоне.
Регулирование скорости привода изделия в данной схеме осуществляется с помощью
тиристорного блока управления двигателем постоянного тока.
В данной схеме никаких требований к организации
торможения электродвигателей нет.
В данной схеме предусмотрен реверс двигателя
постоянного тока.
В схеме необходимо предусмотреть сигнализацию
наличия напряжения в цепи у правления и электродвигателей (лампа HL1-сеть),наличия
смазки (лампа HL2-нет смазки), установки размеров (дампа HL3-
размер готов).
В схеме так же предусмотрены блокировки:
· работа шпинделя наружного шлифования невозможна
при отсутствии смазки.
· внутреннее шлифование осуществляется
только при подведенной шлифовальной бабке, то есть когда нажат выключатель
ВП1.Если в процессе внутреннего шлифования каким-либо образом рукоятка подвода
шлифовальной бабки будет расфиксирована и отведена, то произойдет общая
остановка станка.
· одновременное включение
электродвигателей наружного и внутреннего шлифования невозможно благодаря
наличию контактом Р3 и Р4, а также переключающего контакта Р2.
Данная схема работает в автоматическом режиме
работы.
Станок будет находиться в чистом, сухом месте (в
цеху).
Все металлические части электрооборудования не
находящиеся под напряжением в рабочем режиме должны быть заземлены согласно
ПУЭ.
В данной схеме также предусмотрена защита станка
от токов короткого замыкания и перегрузок:
· защита схемы от токов короткого замыкания
осуществляется автоматами QF1,QF4
и предохранителями FU1,
FU3.
· защита электродвигателей от токов
перегрузки обеспечивается при помощи двухфазных тепловых реле KK1,KK6,
а также автоматическим выключателем с гидравлическим замедлением QF2
в цепи электродвигателя изделия. Аварийная защита станка обеспечивается кнопкой
управления SB2 «Общий
стоп» с грибовидным толкателем красного цвета и автоматическим выключателем QF1.Нулевая
защита обеспечивается замыкающим контактом пускателя KM1.При
исчезновении напряжения станок снова можно включить только посредством нажатия
кнопки SB1 «Пуск
общий».
.4 Принцип действия электрооборудования станка
При нажиме на кнопку SB1
«Общий пуск» получает питание катушка магнитного пускателя KM1
и становится на самопитание. К сети подключаются электродвигатели гидравлики
М3, насоса смазки М4 и магнитного сепаратора М6. После срабатывания реле смазки
переключатель SQ2
нажимается. Лампа «Нет смазки» гаснет.
Далее необходимо нажать кнопку SB2
«Пуск шлифовального круга». Получает питание и становится на самопитание
катушка магнитного пускателя KM3.
Включается электродвигатель наружного шлифования М2.
Гидравлически с помощью рукоятки управления
осуществляют подвод шлифовальной бабки. При этом нажимается выключатель SQ1,
в результате чего получают питание магнитные пускатели KM5
и KM6. Включаются
электродвигатели изделия M1
и охлаждения М5.
Скорость электродвигателя изделия может
регулироваться резистором R1.
Включение хода стола и подачи осуществляются рукоятками управления, а сами
движения осуществляются гидравлически. Когдаизделие отшлифовано в номинал,
нажимается выключатель SQ4,
и загорается сигнальная лампа «Готов размер».
Шлифовальную бабку отводят гидравлически
(рукояткой), отпускается выключатель SQ1.
Пускатели KM5
и KM6 теряют питание.
Электродвигатели M1 и М5
отключаются. Производят смену детали. Цикл окончен.
Внутреннее шлифование
ВНИМАНИЕ! Прежде чем начать работать в режиме
внутренней шлифовки, необходимо рукоятку подвода шлифовальной бабки установить
в положение подвода.
При этом будет нажат выключатель ВШ. Остальные
подготовительные операции производят аналогично предыдущему режиму, за
исключением переключателя SA5,
который оставляют в положении «Отключено». Опускают кронштейн
внутришлифовального приспособления. Выключатель SQ3
отпускается и отключает пускатель KM2
и электромагнит YA1.
KM2 переключает свои
контакты в цепях. Нажимают кнопку SB1
«Пуск общий». При этом получают питание пускатели KM1
и KM5. К сети
подключаются электродвигатели гидравлики М3, магнитного сепаратора М6, насоса
охлаждения М5. В случае необходимости охлаждение может быть отключено
специальным краном. Нажимают кнопку SB2
«Пуск шлифовального круга». Катушка магнитного пускателя KM4
получает питание и становится на самопитание. Включается электродвигатель
приспособления М7. Переключателем SA5
включают катушку пускателя KM6.
Включается электродвигатель изделия M1.
Частота вращения электродвигателя изделия может регулироваться резистором R1.
Включение хода стола и подачи осуществляется рукоятками управления, как и при
наружном шлифовании. После окончания шлифования движением стола шлифовальный
шпиндель выводится из изделия. Переключателем SA5
останавливают изделие. Охлаждение отключают краном.
Блокировка
Работа шпинделя наружного шлифования невозможна
при отсутствии смазки.
Внутреннее шлифование осуществляется только при
подведенной шлифовальной бабке, т.е. когда нажат выключатель ВШ. Если
в-процессе внутреннего шлифования каким-либо образом рукоятка подвода
шлифовальной бабки будет расфиксирована и отведена, то произойдет общая остановка
станка.
Раздел 2 Расчетный раздел
.1 Выбор направления проведения модернизации
Разрабатываемый станок находится в эксплуатации
достаточно длительное время, в связи с чем документация на его
электрооборудование содержит схемы и обозначение элементов, выполненные по
старым ГОСТам. Поэтому начальным этапом дипломного проектирования является
детальное изучение и вычерчивание существующей электрической принципиальной
схемы в соответствии с действующими стандартами.
Следующим этапом является выбор направления
модернизации. Детально изучив станок и документацию по нему мы замечаем что на
данном станке установлен двигатель постоянного тока с блоком регулирования
скорости данного двигателя, что является экономически нецелесообразным так как
на данном этапе развития науки и техники целесообразнее заменить данный
двигатель на асинхронный с короткозамкнутым ротором, так как данный тип
двигателей обладает рядом преимуществ по отношению к двигателям постоянного
тока, а именно:
· приблизительно постоянная скорость при
разных нагрузках;
· возможность кратковременных
механических перегрузок;
· простота конструкции;
· простота пуска и легкость его
автоматизации;
· более высокие cos φ
и КПД, чем у электродвигателей с фазным ротором.
Так же необходимо установить частотный
преобразователь для регулирования скорости вращения асинхронного двигателя.
Таким образом модернизация электрооборудования
будет включать в себя следующие этапы:
. Замена двигателя постоянного тока на
асинхронный двигатель с короткозамкнутым ротором.
. Установка частотного преобразователя.
. Расчёт и выбор элементов электрической
принципиальной схемы.
. Модернизация схемы соединений и
подключения в соответствии с изменениями в электрической принципиальной схеме.
.2 Выбор технического решения модернизации
В соответствии с направлениями модернизации
выберем технические средства для проведения модернизации.
Электропривод постоянного тока заменяем
асинхронным электродвигателем с частотным преобразователем. Выбираем частотный
преобразователь фирмы HYUNDAI.
Частотные преобразователи (инверторы) служат для
регулирования скорости трехфазного асинхронного электродвигателя. Регулирование
происходит за счет создания на выход трехфазного тока переменной частоты.
Инверторы Hyundai N-серии с характеристиками
цифрового управления и открытой сетью для обмена данными являются недавно
разработанными продуктами. Компактные инверторы Hyundai N-серии, изготовленные
на современнейшем оборудовании, охватывают диапазон от низких до средних и
высоких напряжений. Они представляют собой продукты нового поколения, полностью
соответствующие потребностям заказчиков. Являясь ведущим производителем
инверторов в Корее, компания “Hyundai“ с легкостью решает проблемы заказчика,
предлагая ему инверторы, работающие в диапазоне от 0,4 кВт до 4000 кВт.
Частотные преобразователи обеспечивают полную
электронную защиту преобразователя и двигателя от перегрузок по току,
перегрева, утечки на землю и обрыва фазы.
Технические данные частотного преобразователя:
Номинальное выходное напряжение (В):3-фазное
380-460В переменного тока
Диапазон выходных частот: 0,1 - 400Гц
Входное напряжение (В): 3-фазное 380-460В
переменного тока ± 10%
Частота: 50 / 60Гц (±5%) PIM
Метод контроля: пространственное векторное
управление PWM (Широтно-импульсная модуляция)
Пусковой вращающий момент: 200%, 0.5Гц
Перегрузочная способность: 150%, 1 мин
Аналоговая входная команда: 5В пост. Тока, 0-10В
пост. Тока, 4-20мА пост. Тока, -0-1кОм
Вес (кг): 1.5
.3 Составление функциональной схемы
Электрооборудование станка можно разбить на следующие
функциональные блоки:
). Силовая часть, состоящая из электродвигателей
привода изделия, привода шлифовального круга, привода гидравлики, привода
смазки, привода охлаждения, привода магнитного сепаратора и привода
внутришлифовального приспособления,
). Аппараты коммутации силовых элементов -
выключатели, магнитные пускатели, реле;
). Аппараты тепловой защиты;
). Схема питания, состоящая из силового
трансформатора, создающего необходимые питающие напряжения для цепи управления,
цепи сигнализации и местного освещения;
). Блок освещения;
). Схема управления, осуществляющая управление
аппаратами коммутации силовой цепи;
). Частотный преобразователь, обеспечивающий
регулирование частоты.
Напряжение 380 В переменного тока с вводного
выключателя подаётся на контакторы электродвигателей и силовой трансформатор.
Трансформатор обеспечивает необходимые питающие напряжения для схемы
управления, цепи освещения и схемы торможения.
Схема управления обеспечивает необходимые режимы
работы посредством воздействия на магнитные пускатели электродвигателей.
Функциональная схема представлена на листе 1
графической части.
2.4 Расчет и выбор
электродвигателей
Условия для выбора
электродвигателя
Выбор одного из каталожных
типов электродвигателей считается правильным при соблюдении следующих условий:
а) наиболее полное соответствие
электродвигателя рабочей машине (приводу) по механическим свойствам. Это
означает, что электродвигатель должен обладать такой механической
характеристикой, при котором он мог бы сообщать приводу необходимые величины
скорости и ускорений как при работе, так и при пуске в ход;
б) максимальное использование
мощности электродвигателя в процессе работы. Температура всех активных частей
электродвигателя в наиболее тяжелых режимах работы должна максимально приближаться
к обусловленной по нормам температуре нагрева, но не превосходить ее;
в) соответствие
электродвигателя приводу и условиям окружающей среды по конструктивному
исполнению;
г) соответствие
электродвигателя параметрам питающей его сети.
Для выбора электродвигателя
необходимы следующие исходные данные:
а) наименование и тип
механизма;
б) максимальная мощность на
приводном валу механизма, если режим работы продолжительный и нагрузка
постоянна, а в остальных случаях - графики изменения мощности или момента
сопротивления в функции от времени;
в) скорость вращения приводного
вала механизма;
г) способ сочленения механизма
с валом электродвигателя (при наличии передач указываются род передачи и
передаточное число);
д) величина момента при пуске,
которую должен обеспечить электродвигатель на приводном валу механизма;
е) пределы регулирования
скорости приводимого механизма с указанием верхнего и нижнего значений
скоростей и соответствующих им величин мощности и момента;
ж) характер и качество
(плавность, ступенчатость) необходимой регулировки скорости;
з) частота пусков или включений
привода в течение часа; и) характеристика окружающей среды.
Выбор электродвигателя на
основе учета всех условий производится по каталожным данным.
Для механизмов широкого
применения выбор электродвигателя значительно упрощается за счет данных,
содержащихся в соответствующих информациях заводов-изготовителей, и сводится к
уточнению типа электродвигателя применительно к параметрам сети и характеру
окружающей среды.
Выбор электродвигателей по
мощности
Выбор мощности электродвигателя
должен производиться в соответствии с характером нагрузок рабочей машины. Этот
характер оценивают по двум признакам:
а) по номинальному режиму
работы;
б) по изменениям величины
потребляемой мощности.
Различают следующие режимы
работы:
а) продолжительный
(длительный), когда рабочий период настолько велик, что нагрев электродвигателя
достигает своего установившегося значения ( например у насосов, ленточных
транспортеров, вентиляторов и т. П.);
б) кратковременный, когда
длительность рабочего периода недостаточна для достижения электродвигателем
температуры - нагрева, соответствующей данной нагрузке, а периоды остановки,
наоборот, достаточны для охлаждения электродвигателя до температуры окружающей
среды. В этом режиме могут работать электродвигатели самых разнообразных
механизмов;
в) повторно-кратковременный - с
относительной продолжительностью включения 15, 25, 40 и 60% при
продолжительности одного цикла не более 10 мин ( например у подъемных кранов,
некоторых станков, однопостовых сварочных двигателей-генераторов и т. П.).
По изменениям величины
потребляемой мощности различаются следующие случаи:
а) постоянная нагрузка, когда
величина потребляемой мощности в течение работы постоянна или имеет
незначительные отклонения от среднего значения, как, например, у центробежных
насосов, вентиляторов, компрессоров с постоянным расходом воздуха и т. П.;
б) переменная нагрузка, когда
величина потребляемой мощности периодически меняется, как, например, у
экскаваторов, кранов, некоторых станков и т. П.;
в) пульсирующая нагрузка, когда
величина потребляемой мощности меняется непрерывно, как, например, у поршневых
насосов, щековых дробилок, грохотов и т. П.
Мощность электродвигателя
должна удовлетворять трем условиям:
а) нормального нагрева при
работе;
б) достаточной перегрузочной
способности;
в) достаточного пускового
момента.
Все электродвигатели
подразделяются на две основные группы:
а) для длительного режима
работы (без ограничения продолжительности включения);
б) для повторно-кратковременного
режима с продолжительностями включения 15, 25, 40 и 60%.
Для первой группы в каталогах и
паспортах указывается длительная мощность, которую электродвигатель может
развивать неограниченно долго, для второй группы - мощность, которую электродвигатель
может развивать, работая с перерывами сколь угодно долгое время при
определенной продолжительности включения.
Правильно выбранным во всех
случаях считается такой электродвигатель, который, работая с нагрузкой но
графику, задан ному рабочей машиной, достигает полного допустимого нагрева всех
своих частей. Выбор электродвигателей с так называемым «запасом по мощности»,
исходя из наибольшей возможной по графику нагрузки, ведет к недоиспользованию
электродвигателя, а следовательно, к увеличению капитальных затрат и
эксплуатационных расходов за счет снижения коэффициентов мощности и полезного
действия.
Чрезмерное увеличение мощности
электродвигателя может привести также к рывкам во время разгона.
Если электродвигатель должен
работать длительно с постоянной или мало меняющейся нагрузкой, то определение
мощности его не представляет затруднений и производится по формулам, обычно
включающим эмпирические коэффициенты.
Значительно сложнее выбор
мощности электродвигателей иных режимов работы.
Кратковременная нагрузка
характеризуется тем, что периоды включения коротки, а паузы достаточны для
полного охлаждения электродвигателя. При этом принимается, что нагрузка
электродвигателя в периоды включения сохраняется постоянной или почти
постоянной.
Для того чтобы в этом режиме
электродвигатель был правильно использован по нагреву, необходимо выбрать его
так, чтобы его длительная мощность (указываемая в каталогах) была меньше
мощности, отвечающей кратковременной нагрузке, т. Е. чтобы электродвигатель в
периоды своей кратковременной работы имел тепловую перегрузку.
Если периоды работы
электродвигателя значительно меньше времени, необходимого для его полного
нагрева, но паузы между периодами включения существенно короче времени полного
охлаждения, то имеет место повторно-кратковременная нагрузка.
Практически следует различать
два вида такой работы:
а) нагрузка в период работы по
величине постоянна и, следовательно, график ее изображается прямоугольниками,
чередующимися с паузами;
б) нагрузка в период работы
изменяется по более или менее сложному закону.
В обоих случаях задача выбора
электродвигателя по мощности может быть решена как аналитически, так и
графически. Оба эти способа являются достаточно сложными, поэтому практически
рекомендуется упрощенный метод эквивалентных величии, включающий в себя три
способа:
а) среднего квадратичного тока;
б) средней квадратичной
мощности;
в) среднего квадратичного
момента.
Проверка механической
перегрузочной способности электродвигателя
После выбора мощности
электродвигателя по условиям нагрева необходимо произвести проверку
механической перегрузочной способности электродвигателя, т. Е. убедиться, что
максимальный момент нагрузки по графику при работе и момент при пуске не будут
превышать значения максимального момента по каталогу.
У асинхронных и синхронных
электродвигателей величина допустимой механической перегрузки обуславливается
их опрокидывающим электромагнитным моментом, по достижении которого эти
электродвигатели останавливаются.
Кратность максимальных моментов
по отношению к номинальным должна составлять 1,8 у трехфазных асинхронных
электродвигателей с контактными кольцами не менее 1,65 у таких же
короткозамкнутых электродвигателей. Кратность максимального момента синхронного
электродвигателя должна быть также не ниже 1,65 при номинальных напряжениях,
частоте и токе возбуждения, с коэффициентом мощности 0,9 (при опережающем
токе).
Практически асинхронные и
синхронные электродвигатели имеют механическую перегрузочную способность до
2-2,5, а у некоторых специальных электродвигателей эта величина повышается до
3-3,5.
Допустимая перегрузка
электродвигателей постоянного тока определяется условиями работы и по ГОСТ
составляет по моменту от 2 до 4, причем нижний предел относится к
электродвигателям с параллельным, а верхний - к электродвигателям с
последовательным возбуждением.
Если питающая и
распределительная сети чувствительны к нагрузке, то проверка механической
перегрузочной способности должна производиться с учетом потерь напряжения в
сетях.
Для асинхронных
короткозамкнутых и синхронных электродвигателей кратность начального момента
должна быть не менее 0,9 (по отношению к номинальному).
В действительности кратность
начального момента у электродвигателей с двойной беличьей клеткой и с глубоким
пазом значительно выше и достигает 2-2,4.
При выборе мощности
электродвигателя следует иметь в виду, что на нагрев электродвигателей
оказывает влияние частота включений. Допустимая частота включений зависит от
нормального скольжения, махового момента ротора и кратности пускового тока.
Асинхронные электродвигатели
нормальных типов допускают без нагрузки от 400 до 1000, а электродвигатели с
повышенным скольжением - от 1100 до 2700 включений в час. При пуске под
нагрузкой допустимое число включений значительно сокращается.
Пусковой ток электродвигателей
с короткозамкнутым ротором имеет большую величину, и это обстоятельство в
условиях частых пусков, и особенно при повышенном времени разгона, имеет важное
значение.
В противоположность
электродвигателям с фазовым ротором, в которых часть тепла, образующегося при
пуске, выделяется в реостате, т. Е. вне машины, в короткозамкнутых
электродвигателях все тепло выделяется в самой машине, что обуславливает ее
повышенный нагрев. Поэтому выбор мощности этих электродвигателей нужно
производить с учетом нагревания во время многочисленных пусков.
По технологическим данным известны следующие
исходные значения для выбора электродвигателей:
· М3(привод гидравлики)
Q=0,1 м3/час
Н=2 м
· М4(привод смазки)
Q=0,1 м3/час
Н=0,3 м
· М5(привод охлаждения)
Q=0,2 м3/час
Н=0,5 м
· М6(привод магнитного сепаратора)
Q=0,1 м3/час
Н=0,2 м
· М2(привод шлифовального круга)
М=20 Н∙м
n=3000 об/мин
· М7(привод внутришлифовального приспособления)
М=10,5 Н∙м
n=1500 об/мин
. Расчет мощности привода гидравлики
Мощность на валу электродвигателя насоса:
(2.1)
где ρ
- плотность жидкости, кг/м3;
Кз- коэф. Запаса (1,1-1,5);
Н - напор, м;
Q - подача насоса -
объем(масса) рабочей среды, подаваемой машиной в единицу времени, м3/с;
ηн - к.п.д. насоса
(обычно составляет 0,6÷0,8);
- к.п.д. передачи (принимаем равным
1).
Выбираем для установки двигатель
марки 5А80МА6 со следующими паспортными данными:
· Рн = 0,75 кВт
· η=70%
· cosj
=
0,8
· Мп/Мн = 2,0
· Iп/Iн
= 4,5
· Мкр/Мн =2,3
. Расчет мощности привода смазки
Мощность на валу электродвигателя насоса:
(2.2)
Выбираем для установки двигатель
марки 5А80МА6 со следующими паспортными данными:
· Рн = 0,75 кВт
· η=70%
· cosj
= 0,8
· Мп/Мн = 2,0
· Iп/Iн
= 4,5
· Мкр/Мн =2,3
3.Расчет мощности привода охлаждения
Мощность на валу электродвигателя составит:
Выбираем для установки двигатель марки 5А80МА6
со следующими паспортными данными:
· Рн = 0,75 кВт
· η=70%
· cosj
=
0,8
· Мп/Мн = 2,0
· Iп/Iн
= 4,5
· Мкр/Мн =2,3
4.Расчет мощности привода магнитного сепаратора
Мощность на валу электродвигателя составит:
Выбираем для установки двигатель
марки 5А80МА6 со следующими паспортными данными:
· Рн = 0,75 кВт
· η=70%
· cosj
=
0,8
· Мп/Мн = 2,0
Iп/Iн
= 4,5
· Мкр/Мн =2,3
5. Расчет мощности привода шлифовального круга
Мощность шлифования:
где Mкр,- крутящийся момент, Н∙м
nн - частота
вращения шпинделя - об/мин
Мощность на валу электродвигателя
определяется с учетом к.п.д. по формуле:
(2.3)
где ηн - к.п.д.
двигателя (обычно составляет 0,6÷0,8).
Выбираем для установки двигатель
марки 5A 160S2 со следующими паспортными данными:
· Рн = 15 кВт
· η=90%
· cosj
=
0,89
· Мп/Мн = 2,4
· Iп/Iн
= 6,8
· Мкр/Мн =3,0
. Расчет мощности привода внутреннего шлифования
Мощность шлифования:
Мощность на валу электродвигателя:
Выбираем для установки двигатель марки 5АМ112М4
со следующими паспортными данными:
· Рн = 5,5 кВт
· η=86%
· cosj
=
0,83
· Мп/Мн = 2,6
· Iп/Iн
= 6,7
· Мкр/Мн =3,3
. Привод изделия
Выбираем двигатель серии 4А71А2У3 со следующими
паспортными данными:
· Рн = 0,75
кВт
· n=3000 об/мин
· U=380
В
· η=77%
· cosj
=0,87
.5 Расчет и выбор электрических аппаратов и
элементов электрической схемы
Расчет тока силовых цепей
Выбор электрических аппаратов необходимо
производить после определения тока, протекающего в отдельных цепях схемы
станка. Электромагнитные пускатели выбираются для управления силовыми
нагрузками, поэтому в первую очередь необходимо определить ток, протекающий в
силовой цепи. Ток силовой цепи определяется электродвигателями. Он
рассчитывается по следующей формуле:
(2.4)
где Рном- номинальная мощность электродвигателя,
кВт;
U- напряжение, кВ;
cosj-
коэффициент мощности двигателя;
η - КПД двигателя.
Ток силовой цепи привода шлифовального круга
составляет:
Ток силовой цепи привода охлаждения
составляет:
Ток силовой цепи привода
внутришлифовального приспособления составляет:
Ток привода гидравлики составляет:
Ток привода смазки составляет:
Ток привода магнитного сепаратора
составляет:
Ток привода изделия составляет:
Выбор электромагнитных пускателей
Для коммутации цепей электродвигателя привода
гидравлики необходимо выбрать пускатель, который выбирается по следующему
условию:
При выборе пускателя необходимо
учесть количество контактов:
· Количество силовых контактов-3
· Количество нормально замкнутых
контактов-1
· Количество нормально разомкнутых
контактов-1.
Так же необходимо учесть то, что пускатель с
тепловым реле. Так как пускатель установлен в шкафу управления степень защиты
принимаем IP00.
В соответствии с данными требованиями выбираем
магнитный пускатель серии ПМЛ6200 и приставку к нему ПКЛ02.
Так как катушка пускателя находится в цепи
управления, которая питается от трансформатора, напряжение низкой стороны
которого 110В, необходимо выбрать катушку на напряжение 110В. Выбор остальных
электромагнитных пускателей приведен в таблице 2.1
Таблица 2.1 - Результаты выбора электромагнитных
пускателей
|
Позиционные
обозначения и типы
|
Напряжение
гл. контактов, В
|
Ток
гл. контактов, А
|
Число
гл. контактов зам./разм.
|
Число
вспом. Контактов зам./разм.
|
Напряжение
катушки, В
|
|
КМ5
ПМЛ 1200
|
требуется
|
380
|
7,04
|
3/0
|
0/0
|
110
|
|
выбрано
|
380
|
10
|
3/0
|
1/0
|
110
|
|
КМ1
ПМЛ 2200
|
требуется
|
380
|
20,21
|
3/0
|
1/0
|
110
|
|
выбрано
|
380
|
25
|
3/0
|
1/0
|
110
|
|
КМ4,
ПМЛ 2101
|
требуется
|
380
|
11,72
|
3/0
|
1/0
|
110
|
|
выбрано
|
380
|
25
|
3/0
|
110
|
|
КМ3
ПМЛ6200 с приставкой ПКЛ02
|
требуется
|
380
|
81,4
|
3/0
|
1/1
|
110
|
|
выбрано
|
380
|
100
|
3/0
|
1/0
|
110
|
|
КМ2
ПМЛ1100 С приставкой ПКЛ02
|
требуется
|
110
|
1
|
0/0
|
2/2
|
110
|
|
выбрано
|
380
|
10
|
0/2
|
2/0
|
110
|
|
КМ6
ПМЛ1100
|
выбрано
|
380
|
2
|
2/0
|
0/0
|
110
|
|
требуется
|
380
|
10
|
3/0
|
0/0
|
110
|
|
КМ7-КМ12
ПМЛ1100
|
выбрано
|
380
|
1
|
1/0
|
0/0
|
110
|
|
требуется
|
380
|
10
|
3/0
|
0/0
|
110
|
При использовании пускателя ПМЛ 1100 в цепи
управления, его силовые контакты используются как вспомогательные.
Все выбранные пускатели имеют степень защиты IP
00, так как предполагается их размещать в шкафах управления.
Выбор сигнальных ламп и ламп местного освещения
Исходя из величины рабочего напряжения, в цепи
местного освещения принимаем к установке лампу накаливания МО 24-25,
разработанную на безопасное напряжение 24В, предназначенную для освещения
рабочих мест станка. Мощность данной лампы 25Вт, при световом потоке 350Лм.
Средний срок службы данной лампы составляет 1000 часов.
Для сигнализации принимаем к установке
коммутаторную лампу типа КМ 6-50, рассчитанную на напряжение 6В,
предназначенную для высвечивания сигнала о состоянии цепи управления на табло.
Основные характеристики:
· Номинальный ток 50мА
· Световой поток 0,9Лм
· Длина 46 мм
· Диаметр 6,6 мм
· Срок службы 1800 часов
Выбор трансформатора
Для питания цепи управления и сигнализации с целью
повышения надежности работы электрических аппаратов и обеспечения более
безопасного обслуживания электрооборудования применяют понижающий
трансформатор.
При выборе номинальной мощности трансформатора
управления следует исходить из того, что номинальная мощность трансформатора
должна быть равна или больше максимальной мощности, потребляемой включенными
аппаратами одновременно:

(2.5)
где Sтр - полная
мощность трансформатора, ВА
Sцу1 -
мощность цепи управления, ВА
Sцу2 -
мощность цепи освещения, ВА
Sцу3 -
мощность цепи сигнализации, ВА
. Цепь управления
Мощностью цепи управления является
суммарная мощность всех аппаратов, которые могут быть включены одновременно:

(2.6)
где Sкм1
- мощность электромагнитного пускателя КМ1, ВА;
Sкм2 - мощность
электромагнитного пускателя КМ2, ВА;
Sкм4 - мощность
электромагнитного пускателя КМ4, ВА;
Sкм3 - мощность
электромагнитного пускателя КМ3, ВА;
Sкм5 - мощность
электромагнитного пускателя КМ5,ВА;
Sкм6 - мощность
электромагнитного пускателя КМ6,ВА.
Мощность цепи управления составляет:
Ток цепи рассчитывается по формуле:

(2.7)
где Uцу1 -
напряжение цепи управления, В.
. Цепь освещения
Мощность цепи освещения равна
мощности устанавливаемой лампы и составляет Sцу2 =25 Вт.
Ток цепи освещения составляет:
. Цепь сигнализации
Номинальный ток цепи сигнализации
составляет Iцу3=0,05 А.
Мощность цепи сигнализации
составляет:
Необходимая мощность трансформатора
составляет:
К установке принимаем трансформатор ОСМ1 -
0,063У3 с основными параметрами:
· Напряжение первичной обмотки 220 В
· Частота питающей сети 50 Гц
· Мощность 0,063 кВА
Выбор аппаратов ручного управления
Для управления силовой цепью необходимо
использование аппаратов ручного управления. В данной схеме выбираем следующие
аппараты ручного управления:
Кнопки:
· SB1,SB2-KE011
исполнение 4.
Данная кнопка имеет в качестве управляющего
устройства цилиндрический толкатель. Количество контактных цепей: замыкающих-1,
размыкающих-0.
· SB3,SB4-КЕ011
исполнение 5.
Данная кнопка имеет в качестве управляющего
устройства цилиндрический толкатель. Количество цепей: замыкающих-0,
размыкающих-1.
· SB6
- SB12 - КЕ011
исполнение 4.
Данная кнопка имеет в качестве управляющего
устройства цилиндрический толкатель. Количество контактных цепей: замыкающих-1,
размыкающих-0.
· SB5
- КЕ011 исполнение 5.
Данная кнопка имеет в качестве управляющего
устройства цилиндрический толкатель. Количество цепей: замыкающих-0,
размыкающих-1.
Переключатель:
· SA5-
ПЕ011 исполнение 2.
Данный переключатель имеет в качестве
управляющего устройства рукоятку на два положения. Количество цепей:замыкаищих-1,
размыкающих-1.Степень защита IP40.
· SA-ПЕ011
исполнение 1.
Данный переключатель имеет в качестве
управляющего органа рукоятку на два положения. Количество цепей: замыкающих-2,
размыкающих-0.Степень защиты IP40.
Выбор электромагнита
В данном станке необходимо использование
электромагнита. Выбираем следующий электромагнит:
ЭМ33-51361-20У3, где:
· 5-габарит электромагнита
· 1-переменный ток
· 3-использование электромагнита по
способу воздействия на исполнительный механизм-толкающее и тянущее
· 6-ПВ=15
· 1-конструктивное исполнение катушки:
с гибкими выводами
· 20-степень защиты IP20
· У3-климатическое исполнение.
.6 Расчет и выбор аппаратов защиты
Аппараты защиты по своей отключающей способности
должны соответствовать максимальному значению тока КЗ в начале защищаемого
участка электрической сети.
Номинальные токи плавких вставок предохранителей
и токи уставок автоматических выключателей, служащих для защиты отдельных
участков сети, во всех случаях следует выбирать по возможности наименьшими по расчетным
токам этих участков или по номинальным токам электроприемников, но таким
образом, чтобы аппараты защиты не отключали электроустановки при
кратковременных перегрузках.
В качестве аппаратов защиты должны применяться
автоматические выключатели или предохранители. Для обеспечения требований
быстродействия, чувствительности или селективности допускается при
необходимости применение устройств защиты с использованием выносных реле.
Выбор предохранителей
Предохранители выбираются по следующим условиям:
. По номинальному напряжению сети
Uном.пред. >= Uном.с. (2.8)
где Uном.
пред. - номинальное напряжение предохранителя;
Uном.с.- номинальное
напряжение сети;
.По длительному расчетному току линии:
ном. вст. >= Iдлит; (2.9)
где Iном.
вст.- номинальный ток плавкой вставки;
Iдлит - длительный
расчетный ток цепи.
Рассчитаем токи защищаемых цепей:
IFU1=1,15*
Iцу3=1,15*1,04=1,196А
IFU2=1,15*
Iцу1=1,15*0,1=0,115А
IFU3=1,15*
Iцу2=1,15*0,18=0,207А
Результат выбора предохранителей представлен в
таблице 2.2
Таблица 2.2-Результат выбора предохранителей
|
Позиционные
обозначения
|
Тип
предохранителя
|
|
Напряжение,
В
|
Номинальный
ток, А
|
Ном.
Ток пл. вставки, А
|
|
FU1
|
ПРС-6,3/2
|
требуется
|
24
|
1,196
|
2
|
|
|
выбрано
|
380
|
10
|
|
|
FU2
|
ПРС-6,3/1
|
требуется
|
110
|
0,115
|
1
|
|
|
выбрано
|
380
|
10
|
|
|
FU3
|
ПРС-6,3/1
|
требуется
|
5
|
0,207
|
1
|
|
|
выбрано
|
380
|
10
|
|
Выбор тепловых реле.
Тепловые реле выбираются по номинальному току
двигателя (или длительному расчетному току):
Iном.т.р
1,15 Iном. Дв (2.10)
При выборе теплового реле необходимо стремиться
к тому, чтобы ток уставки находился в центре диапазона регулирования.
Рассчитаем токи защищаемых цепей:
IKK1=1,15∙Iдв2=1,15∙81,4=93,61
А
IKK2=1,15∙Iдв3=1,15∙2,03=2,33
А
IKK3=1,15∙Iдв4=1,15∙2,03=2,33
А
IKK4=1,15∙Iдв5=1,15∙2,03=2,33
А
IKK5=1,15∙Iдв6=1,15∙2,03=2,33
А
IKK6=1,15∙Iдв7=1,15∙11,72=13,478
А
Выбор тепловых реле представлен в таблице 2.3
Таблица 2.3-Результат выбора тепловых реле
|
Позиционные
обозначения
|
Вид
теплового реле
|
|
Напряжение,
В
|
Номинальный
ток, А
|
|
КК1
|
РТЛ-2053
|
требуется
|
380
|
28,45
|
|
|
выбрано
|
380
|
23-32
|
|
КК2
|
РТЛ-1007
|
требуется
|
380
|
2,33
|
|
|
выбрано
|
380
|
1-2,6
|
|
КК3
|
РТЛ-1007
|
требуется
|
380
|
2,33
|
|
|
выбрано
|
380
|
1-2,6
|
|
КК4
|
РТЛ-1007
|
требуется
|
380
|
2,33
|
|
|
выбрано
|
380
|
1-2,6
|
|
КК5
|
РТЛ-1007
|
требуется
|
380
|
2,33
|
|
|
выбрано
|
380
|
1,5-2,6
|
|
КК6
|
РТЛ-1016
|
требуется
|
380
|
13,478
|
|
|
выбрано
|
380
|
9,5-14
|
Выбор автоматических выключателей
Выбор автоматических выключателей производится
по номинальным напряжению и току с соблюдением следующих условий:
ном.а. ≥ Uном.с (2.11)
Iном. а ≥ Iдлит (2.12)
где Uном.
а. - номинальное напряжение автоматического выключателя;
Uном.с.- номинальное
напряжение сети;
Iном.а.- номинальный
ток автоматического выключателя;
Iдлит - длительный
расчетный ток цепи.
Ток уставки электромагнитного расцепителя
(отсечки) или электромагнитного элемента комбинированного расцепителя с учетом
неточности срабатывания расцепителя и отклонений действительного пускового тока
от каталожных данных выбирается из условия:
отс. ≥ 1,25Iпуск., (2.13)
где Iпуск.-
пусковой ток двигателя.
Определяем условия выбора вводного
автоматического выключателя(QF1):
Iдлит=Iдв1+
Iдв2+Iдв3+
Iдв4+ Iдв5+
Iдв6+ Iдв7=49,99
А
Uном с=380 В
Исходя из требований, для установки принимаем
автоматический выключатель типа АЕ2043 с током расцепителя 63А.
Проверяем выбранный автоматический выключатель
на соответствие пусковому току:
Iном.АВ*Котс.≥1,25*(Iпуск+∑Iдв.)
*63≥1,25*(6,8*28,45+21,54)
≥268,75
Выбранный автоматический выключатель
удовлетворяет требованию.
Определяем условия выбора автоматического
выключателя привода изделия(QF2):
Iдлит=Iдв1=1,7
А
Uном с=380 В
Исходя из требований, для установки принимаем
автоматический выключатель типа АЕ1033 с током расцепителя 3А.
Определяем условия выбора вводного
автоматического выключателя(QF3):
Iдлит=Iдв3+
Iдв4+ Iдв5+
Iдв6+ Iдв7=19,84
А
Uном с=380 В
Исходя из требований, для установки принимаем
автоматический выключатель типа АЕ10203М с током расцепителя 20А.
Проверяем выбранный автоматический выключатель
на соответствие пусковому току:
Iном.АВ*Котс.≥1,25*(Iпуск+∑Iдв.)
*20≥1,25*(6,7*11,72+8,12)
≥108,305
Выбранный автоматический выключатель
удовлетворяет требованию.
Определяем условия выбора вводного
автоматического выключателя(QF4):
Iдлит= Iдв4+
Iдв5+ Iдв6=6,09
А
Uном с=380 В
Исходя из требований, для установки принимаем
автоматический выключатель типа АЕ10103 с током расцепителя 10А.
Проверяем выбранный автоматический выключатель
на соответствие пусковому току:
Iном.АВ*Котс.≥1,25*(Iпуск+∑Iдв.)
*10≥1,25*(4,5*2,03+4,06)
≥16,49
Выбранный автоматический выключатель
удовлетворяет требованию.
.7 Расчет и выбор проводов, кабелей
При выборе вида электропроводки и способа
прокладки проводов и кабелей должны учитываться требования электробезопасности
и пожарной безопасности. Сечение проводов и кабелей цепей питания, управления,
сигнализации, измерения и т.п. должны выбираться из условия допустимого их
нагрева электрическим током.
Условия нагрева проводов длительным расчетным
током имеет вид:
длит. доп ≥ Iрасч (2.14)
а условие соответствия выбранному аппарату
защиты:
длит. доп. ≥ Кз∙Iз (2.15)
где Iдлит.доп
- допустимый длительный ток для провода или кабеля при нормальных условиях
прокладки, определяемый по таблицам допустимых токовых нагрузок на провода и
кабели;
Iрасч - длительный
расчетный ток линии (суммируются все номинальные токи электроприемников,
которые получают питание по данному проводу или кабелю);
Iз - номинальный ток
или ток срабатывания защитного аппарата;
Кз - кратность допустимого длительного тока для
провода или кабеля по отношению к номинальному току или току срабатывания
защитного аппарата (согласно ПУЭ для провода, который защищен автоматическим
выключателем Кз=1, а предохранителем Кз = 0,33).
Выбор кабеля для привода шлифовального круга(М2)
Определяем условия выбора кабеля для питания
силовой цепи насоса охлаждения:
Iрасч=28,45
Кз∙Iз=
1∙63=63А
Исходя из выше указанных требований, с учетом
условия механической прочности, принимаем для монтажа кабель ВВГ 4х10 (при
условии прокладки открытым способом, с расчетным током 80 А).
Выбор кабеля для привода изделия(М1)
Определяем условия выбора кабеля для питания
силовой цепи насоса охлаждения:
Iрасч=1,7А
Кз∙Iз=
1∙63=63А
Исходя из выше указанных требований, с учетом
условия механической прочности, принимаем для монтажа кабель ВВГ 4х10 (при
условии прокладки открытым способом, с расчетным током 80 А).
Выбор кабеля для насоса гидравлики(М3)
Определяем условия выбора кабеля для питания
силовой цепи насоса охлаждения:
Iрасч=2,03А
Кз∙Iз=
1∙63=63А
Исходя из выше указанных требований, с учетом
условия механической прочности, принимаем для монтажа кабель ВВГ 4х10 (при
условии прокладки открытым способом, с расчетным током 80 А).
Выбор кабеля для насоса смазки(М4)
Определяем условия выбора кабеля для питания
силовой цепи насоса охлаждения:
Iрасч=2,03А
Кз∙Iз=
1∙63=63А
Исходя из выше указанных требований, с учетом
условия механической прочности, принимаем для монтажа кабель ВВГ 4х10 (при
условии прокладки открытым способом, с расчетным током 80 А).
Выбор кабеля для насоса охлаждения(М5)
Определяем условия выбора кабеля для питания
силовой цепи насоса охлаждения:
Iрасч=2,03А
Кз∙Iз=
1∙63=63А
Исходя из выше указанных требований, с учетом
условия механической прочности, принимаем для монтажа кабель ВВГ 4х10 (при
условии прокладки открытым способом, с расчетным током 80 А).
Выбор кабеля для привода магнитного
сепаратора(М6)
Определяем условия выбора кабеля для питания
силовой цепи насоса охлаждения:
Iрасч=2,03А
Кз∙Iз=
1∙63=63А
Исходя из выше указанных требований, с учетом
условия механической прочности, принимаем для монтажа кабель ВВГ 4х10 (при
условии прокладки открытым способом, с расчетным током 80 А).
Выбор кабеля для привода внутришлифовального
приспособления(М7)
Определяем условия выбора кабеля для питания
силовой цепи насоса охлаждения:
Iрасч=11,72А
Кз∙Iз=
1∙63=63А
Исходя из выше указанных требований, с учетом
условия механической прочности, принимаем для монтажа кабель ВВГ 4х10 (при
условии прокладки открытым способом, с расчетным током 80 А).
Выбор проводов для питания цепей управления и
освещения
В пункте 4 данного курсового проекта
производились расчеты для выбора аппаратов управления, которые показали, что
значения тока в цепи управления не превышают 1,5 А. Исходя из этого и условия
механической прочности, для монтажа в цепях управления и освещения принимаем
провода ПВ 1х1,5.
.8 Модернизация электрической принципиальной
схемы
Существующую электрическую принципиальную схему
вычерчиваем в соответствие с ГОСТами (лист 2 графической части).
Схема электрическая принципиальная - это схема,
определяющая полный состав элементов и связей между ними и дающая детальное
представление о работе оборудования. На принципиальной схеме изображают все
электрические элементы или устройства, необходимые для осуществления и контроля
изделии заданных электрических процессов, все электрические связи между ними, а
также электрические элементы, которыми заканчиваются входные и выходные цепи.
В соответствие с заданным техническим решением
вносим в электрическую принципиальную следующие изменения:
. Заменяем автоматический выключатель QF2
на трехполюсный.
. Заменяем все тепловые реле на более
современные (трехфазные).
. Заменяем двигатель постоянного
3Т02-04(сПП-СТ) тока на асинхронный двигатель модели 4А71А2У3.
. Устанавливаем частотный преобразователь
фирмы HYUNDAI
модели N100-007SF
в цепи асинхронного двигателя модели 4А71А2У3.
. Устанавливаем 6 магнитых пускателей (KM7-KM12)
в цепи управления марки ПМЛ1100.
. Устанавливаем кнопки SB6-SB11
марки КЕ011 исполнение 4 в цепях питания пускателей KM7-KM12
соответственно.
. Устанавливаем кнопку SB5
марки КЕ011 исполнение 5 в цепи питания пускателей KM7-KM12.
Модернизированная электрическая принципиальная
схема выполнена в соответствие с ГОСТ (лист 3 графической части).
.9 Модернизация электрической схемы соединений и
подключения
Схемы соединений (монтажные)
предназначены для выполнения по ним электрических связей в пределах комплектных
устройств, электроконструкций, т. Е. соединений аппаратов между собой, аппаратов
с наборными рейками и т. П. К схемам соединений относятся также схемы, по
которым выполняют соединения в пределах определенной электроустановки, т. Е.
соединяют ее части.
Схемы подключения (схемы
внешних соединений) служат для соединений электрооборудования между собой
проводами, кабелями, а иногда и шинами. При этом предполагается, что это
электрическое оборудование территориально «разбросано». Схему подключений
выполняют, например, для соединений между разными комплектными устройствами,
для соединений между комплектными устройствами с отдельно стоящими
электроприемниками и аппаратами, для соединений отдельно стоящих аппаратов
между собой и т. П.
К схемам подключений относят
также соединения между разными монтажными блоками, входящими в состав одного комплектного
устройства, например соединения в пределах щита управления, превышающего по
длине размер 4 м (максимальный размер монтажного блока, в пределах которого
предприятие - изготовитель выполняет сам все соединения, составляет 4 м).
Схема соединений и подключения
выполнена в соответствие с ГОСТами ( лист 4 графической части).
Электрооборудование станка
расположено на:
. Пульте управления.
. Установке подачи
охлаждения.
. Панели гидронасосной
установки.
. Приспособлении для
внутреннего шлифования.
. Шлифовальной бабке.
. Блоке управления.
. Установке смазки
шпинделя шлифовальной бабки.
Частотный преобразователь,
установленный в ходе модернизации, находится в отдельном ящике на станине.
Электрические соединения внутри
панелей и между ними осуществлялись с помощью клеммников.
смета затраты станок
энергосбережение
2.10 Техническое описание модернизированной
схемы
При нажиме на кнопку SB1
«Общий пуск» получает питание катушка магнитного пускателя KM1
и становится на самопитание. К сети подключаются электродвигатели гидравлики
М3, насоса смазки М4 и магнитного сепаратора М6. После срабатывания реле смазки
переключатель SQ2
нажимается. Лампа «Нет смазки» гаснет.
Далее необходимо нажать кнопку SB2
«Пуск шлифовального круга». Получает питание и становится на самопитание
катушка магнитного пускателя KM3.
Включается электродвигатель наружного шлифования М2.
Гидравлически с помощью рукоятки управления
осуществляют подвод шлифовальной бабки. При этом нажимается выключатель SQ1,
в результате чего получают питание магнитные пускатели KM5
и KM6. Поступит питание
на частотный преобразователь, после чего включится электродвигатели изделия M1.Одновременно
с этим включится и привод охлаждения М5.
Скорость электродвигателя изделия может
регулироваться резистором R1.
Включение хода стола и подачи осуществляются рукоятками управления, а сами
движения осуществляются гидравлически. Когда изделие отшлифовано в номинал,
нажимается выключатель SQ4,
и загорается сигнальная лампа «Готов размер».
Шлифовальную бабку отводят гидравлически
(рукояткой), отпускается выключатель SQ1.
Пускатели KM5
и KM6 теряют питание.
Электродвигатели M1 и М5
отключаются. Производят смену детали. Цикл окончен.
Внутреннее шлифование
ВНИМАНИЕ! Прежде чем начать работать в режиме
внутренней шлифовки, необходимо рукоятку подвода шлифовальной бабки установить
в положение подвода.
При этом будет нажат выключатель ВШ. Остальные
подготовительные операции производят аналогично предыдущему режиму, за
исключением переключателя SA5,
который оставляют в положении «Отключено». Опускают кронштейн
внутришлифовального приспособления. Выключатель SQ3
отпускается и отключает пускатель KM2
и электромагнит YA1.
KM2 переключает свои
контакты в цепях. Нажимают кнопку SB1
«Пуск общий». При этом получают питание пускатели KM1
и KM5. К сети
подключаются электродвигатели гидравлики М3, магнитного сепаратора М6, насоса
охлаждения М5. В случае необходимости охлаждение может быть отключено
специальным краном. Нажимают кнопку SB2
«Пуск шлифовального круга». Катушка магнитного пускателя KM4
получает питание и становится на самопитание. Включается электродвигатель
приспособления М7. Переключателем SA5
включают катушку пускателя KM6.
Включается электродвигатель изделия M1.
Частота вращения электродвигателя изделия может регулироваться резистором R1.
Включение хода стола и подачи осуществляется рукоятками управления, как и при
наружном шлифовании. После окончания шлифования движением стола шлифовальный
шпиндель выводится из изделия. Переключателем SA5
останавливают изделие. Охлаждение отключают краном.
Блокировка
Работа шпинделя наружного шлифования невозможна
при отсутствии смазки.
Внутреннее шлифование осуществляется только при
подведенной шлифовальной бабке, т.е. когда нажат выключатель ВШ. Если
в-процессе внутреннего шлифования каким-либо образом рукоятка подвода
шлифовальной бабки будет расфиксирована и отведена, то произойдет общая
остановка станка.
Так же теперь можно выбирать режимы работы
привода изделия с помощью нажатия кнопок SB6
- SB11, которые подают
питание на магнитные пускатели, которые замыкают свои контакты в частотном
преобразователе. Для остановки вращения двигателя необходимо нажать кнопку SB5.
.11 Технический анализ проведенной модернизации
В процессе модернизации электрооборудования
станка был заменен двигатель постоянного 3Т02-04(сПП-СТ) тока на асинхронный
двигатель модели 4А71А2У3, что позволит нам уменьшить количество ремонтов, а
так же уменьшить габариты нашего станка.
Так же был установлен частотный преобразователь
фирмы HYUNDAI
модели N100-007SF,
установка которого позволит нам не только регулировать частоту вращения нашего
двигателя, но и повышает показатели надежности нашего станка в целом. Так
частотный преобразователь позволит нам управлять различными режимами двигателя,
а именно реверс, торможение и т.д.
При проведении расчёта и выбор элементов
электрической принципиальной схемы предпочтение отдавалось наиболее современным
и совершенным типам. Это позволит заменять устаревшие и снятые с производства
элементы при выполнении ремонтных работ.
Раздел 3 Технологический раздел
3.1 Организация монтажа
электрооборудования при проведении модернизации
Технологию монтажа
электрооборудования, устанавливаемого на модернизируемой установке,
рассматриваем в следующей последовательности: монтаж электродвигателей, монтаж
аппаратов управления, монтаж проводов в шкафах управления, монтаж заземляющих
устройств.
Монтаж низковольтных аппаратов
управления.
Электромонтажникам теперь
фактически не приходится заниматься монтажом отдельных аппаратов, приборов,
реле и т. П., так как в монтажной зоне производится монтаж только комплектных
устройств, полностью подготовленных к установке в проектное положение и к
подсоединению к внешним электросетям.
Рубильники, переключатели,
предохранители и блоки монтируют на распределительных щитах и силовых пунктах
(шкафах). Установка этих аппаратов выполняется по уровню и отвесу. Затяжка гаек
и винтов производится до отказа, но с усилием не более 150 Н и без рывков.
После затяжки всех креплений проверяется плотность соприкосновения контактного ножа
со стойкой щупом 0,05 мм. В случае прохода щупа более чем на 1/3 контактной
поверхности необходимо устранить причины перекоса. Контактные ножи аппаратов
при включении должны касаться контактных стоек с обеих сторон по всей линии.
При этом «отпружинивание» контактных губок стоек при входе в них ножа должно
быть хорошо заметно на глаз. Все трущиеся части покрывают тонким слоем
технического вазелина или специальной смазки.
Магнитные пускатели
устанавливают на силовых распределительных сборках, на распределительных щитах
или отдельно на конструкциях, прикрепляемых к стенам, колоннам и т. П.
Магнитные пускатели устанавливают вертикально по отвесу. При этом отклонения по
вертикали допускаются не более 5°. Поверхность контактов пускателя осматривают
после опробования его под нагрузкой и в случае появления на ней наплывов
обрабатывают напильником. Смазывать контакты пускателя не допускается.
Размеры раствора, провала и
нажатия главных контактов и вспомогательных контактов проверяют и регулируют в
соответствии с указаниями предприятий-изготовителей. Если при включении
магнитного пускателя слышно сильное гудение его магнитной системы, устраняют
следующие возможные неисправности: недостаточную затяжку винтов, крепящих
сердечник; повреждение короткозамкнутого витка; чрезмерное нажатие контактов;
неплотное прилегание якоря к сердечнику вследствие загрязнения поверхностей
прилегания или наличия на них смазки.
У реверсивных пускателей перед
включением в работу тщательно проверяют работу блокировки, предотвращающей
возможность одновременного включения силовых контактов прямого и обратного
хода.
Автоматические выключатели
выполняют функции пускателя, предохранителя, отключающего двигатель при КЗ, и
аппарата защиты от перегрузки двигателя.
При монтаже автоматических
выключателей следят за тем, чтобы между токоведущими частями сохранялись
достаточные электрические зазоры. Если автоматический выключатель имеет
пластмассовый кожух, то конструкция, на которой крепится автоматический
выключатель, должна быть хорошо выправлена, иначе при затяжке крепежных болтов
может произойти поломка пластмассового основания автоматического выключателя.
Для крепления автоматического выключателя с передним присоединением проводов
используют отверстия, расположенные между выводами. Автоматические выключатели
с задним присоединением проводов должны закрепляться на изоляционных панелях
специальными токоведущими соединительными винтами.
Монтаж заземляющих и нулевых
защитных проводников.
Заземляющие и нулевые защитные
проводники в помещениях и в наружных установках должны быть доступны для
осмотра. Это требование не относится к нулевым жилам и металлическим оболочкам
кабелей, трубам скрытой электропроводки, металлоконструкциям и трубам,
находящимся в земле и фундаментах, а также заземляющим и нулевым защитным
проводникам, проложенным в трубах и коробах и в скрытых несменяемых
электропроводках. Заземляющие проводники прокладывают горизонтально и
вертикально или параллельно наклонным конструкциям зданий.
В сухих помещениях заземляющие
проводники по бетонным и кирпичным основаниям могут укладываться
непосредственно по основаниям с креплением полос дюбель-гвоздями, а в сырых,
особо сырых помещениях и в помещениях с едкими парами прокладку проводников
выполняют на подкладках или опорах (держателях) на расстоянии не менее 10 мм от
основания.
Проводники крепят на
расстояниях: 600 - 1000 мм между креплениями на прямых участках, 100 мм на
поворотах от вершин углов, 100 мм от мест ответвлений, 400 - 600 мм от уровня
пола помещения и не менее 50 мм от нижней поверхности съемных перекрытий
каналов. Через стены, перегородки и перекрытия заземляющие проводники
прокладывают в открытых проемах или в гильзах, а при пересечении температурных
швов устанавливают компенсаторы.
Соединение заземляющих
проводников и присоединение их к металлическим конструкциям зданий выполняют
сваркой, за исключением разъемных мест, предназначенных для измерений. Длину
нахлестки для сварки проводников при соединениях принимают равной ширине полосы
при прямоугольном сечении и шести диаметрам - при круглом сечении.
К корпусам машины и аппаратов
заземляющие проводники присоединяют, как правило, под заземляющий болт,
имеющийся на их корпусах. Машины, установленные на салазках, заземляют путем
присоединения к последним заземляющего проводника.
При наличии сотрясений или
вибрации принимают меры против ослабления контакта (установка контргайки,
контрящих шайб и т. П.). Контактные поверхности на электрооборудовании и у
заземляющих проводников в местах болтового соединения зачищают до
металлического блеска и покрывают тонким слоем вазелина.
Если на трубопроводах,
используемых в качестве заземлителей, установлены задвижки, водомеры или
выполнены фланцевые соединения, то в этих местах приваривают или устанавливают
на хомутах обходные перемычки сечением не менее 100 мм2. Открыто проложенные
заземляющие и нулевые защитные проводники имеют отличительную окраску - по
зеленому фону желтая полоса вдоль проводника, Окраске не подлежат места,
предназначенные для подсоединения инвентарных переносных заземлителей.
.2 Организация эксплуатации модернизированного
электрооборудования
Организация эксплуатации производится в
соответствие с системой ТО ППРЭО.
Производственная эксплуатация происходит в
несколько этапов:
· приемка оборудования;
· монтаж оборудования;
· ввод в эксплуатацию;
· использование или собственно
эксплуатация электрооборудования;
· хранение и консервация оборудования;
· выбытие оборудования и утилизация.
Приемка оборудования.
Правила приемки оборудования предписывают:
· выявление внешних дефектов;
· проверку комплектности оборудования
и технической документации;
· сохранение оборудования в целости;
· проверку качества изготовленного
оборудования.
В соответствии с ГОСТ 16504-81 предприятия
обязаны соблюдать правила приемки оборудования на предприятии и осуществлять
входной контроль.
Монтаж оборудования.
Монтаж осуществляется согласно инструкции завода
- изготовителя, входящей в состав номенклатуры эксплуатационных документов по
ГОСТ 2.601-2006.
В процессе монтажа выявляются, кроме того,
скрытые дефекты, подлежащие устранению заводом - изготовителем.
Для сложного оборудования привлекаются
специализированные пусконаладочные организации. В отдельных случаях
осуществляется надзор со стороны Госпромнадзора.
В процессе монтажа оборудования выполняются
разнообразные регулировочные работы. Необходимо определить последовательность,
способы и пределы регулирования, состав контрольно - измерительных приборов,
инструментов и приспособлений.
Завершается монтаж обкаткой оборудования.
Необходимо при этом определить режимы и продолжительность обкатки, порядок
проверки оборудования в процессе обкатки и измеряемые параметры оборудования.
Ввод оборудования в эксплуатацию.
Ввод оборудования в эксплуатацию сопровождается
оформлением акта приемки - передачи основных фондов по типовой форме № ОС-1.
Оборудованию присваивается инвентарный номер. На
каждую инвентарную единицу составляется паспорт, и данные также отображаются в
карте ремонта.
Использование оборудования.
Оборудование должно эксплуатироваться в
соответствии с требованиями правил технической эксплуатации с соблюдением ПТБ,
ГОСТов и других технических нормативных актов.
Обеспечение правильной эксплуатации оборудования
является важнейшей задачей эксплуатационных и ремонтных служб предприятия и
является основой эффективного производства.
.3 Организация ремонта модернизированного
электрооборудования
Надежность, бесперебойность и безопасность работ
электрооборудования обеспечивается правильной системой ремонта
электрооборудования эксплуатирующей организацией. Такой системой является планово-предупредительный
ремонт электрооборудования.
Ремонт магнитных пускателей.
Ремонт магнитных пускателей сводится к замене
неисправных катушек и тепловых элементов, восстановлению изношенных контактов.
Перед ремонтом осматривают все основные части контактора, устанавливая, какие
детали подлежат замене и восстановлению.
При ремонте следует использовать запасные части
завода изготовителя и лишь при их отсутствии применять новые.
При изготовлении новых катушек необходимо
сохранять их конструкцию (обмоточные данные должны соответствовать паспорту).
Тепловые элементы пускателей в условиях мастерских ремонтировать трудно,
поэтому при выходе из строя их обычно заменяют новыми заводскими, подбирая
номер по конструкции от номинального тока двигателя.
Обгоревшую контактную поверхность очищают от
копоти и наплывов обычным напильником и стеклянной бумагой. Зачистку нужно
производить осторожно, снимая небольшой слой металла. Смазывать контактные
поверхности не рекомендуется, так как при возникновении дуги смазка сгорает и
загрязняет поверхность, ухудшая работу контакта. Однако если поверхность
контакта покрыта тонким слоем серебра, чистить их напильником не рекомендуется.
При уменьшении толщины контактов до 05, от первоначальной их заменяют новыми.
Для изготовления контактов применяют медные цилиндрические или фасонные прутки
из твердой меди марки М-1.
После ремонта щуп толщиной 0,05 мм должен
проходить при сомкнутых контактах не более чем на 25% контактной поверхности.
Неисправности электрических машин.
Повреждения электрических машин бывают
механические и электрические.
К механическим повреждениям относятся: выплавка
баббита в подшипниках скольжения; разрушение сепаратора, кольца, шарика или
ролика в подшипниках качения; деформация вала ротора (якоря); образование глубоких
выработок (дорожек) на поверхности коллекторов; ослабление крепления полюсов
или сердечника статора к станине, прессовки сердечника ротора (якоря); разрыв
или сползание проволочных бандажей роторов (якорей) и др.
Электрическими повреждениями принято называть:
пробой изоляции на корпус; обрыв проводников в обмотке; замыкание между витками
обмотки; нарушение контактов и разрушение соединений, выполненных пайкой или
сваркой; недопустимое снижение сопротивления изоляции вследствие ее старения,
разрушения или увлажнения и др.
В число предремонтных операций по выявлению
неисправностей электрических машин входят: измерение сопротивления изоляции
обмоток (с целью определения степени ее увлажнения); испытание электрической
прочности изоляции; проверка на холостом ходу машины целостности подшипников,
величины осевого разбега ротора (якоря), вибрации, правильности прилегания
(притертости) щеток к коллектору и контактным кольцам;
Определение зазоров между вращающимися и
неподвижными частями электрической машины, а также контроль состояния крепежных
деталей, плотности посадки подшипниковых щитов на заточках станины и отсутствия
повреждений (трещин, сколов и др.) у отдельных частей и деталей машины.
Работа по предметному выявлению неисправностей и
повреждений электрических машин называется дефектацией.
Дефектацию производят внешним осмотром и
испытаниями при частичной или полной разборке электрической машины.
Однако такая дефектация не всегда позволяет
выявить и точно определить характер и размеры ее повреждений, а, следовательно,
нельзя определить и объем предстоящих ремонтных работ. Наиболее полное
представление о состоянии и требуемом ремонте электрической машины дает
дефектация, производимая после ее разборки.
Все обнаруженные после разборки электрической
машины неисправности и повреждения отмечают в дефектационной карте и на их
основании составляют маршрутную карту ремонта с указанием работ, подлежащих
выполнению по каждой ремонтной единице или по отдельным частям ремонтируемой
машины.
В состав основных работ по ремонту электрических
машин входят разборка, ремонт обмоток и механической части, сборка и испытания
отремонтированных машин.
.4 Расчет ремонтной сложности и трудоемкости
ремонтных работ модернизированного электрооборудования
Для обеспечения высокопроизводительной работы
технологического оборудования необходимо проводить мероприятия ежедневного и
периодического технического обслуживания, текущие (ТР), средние (СР) и
капитальные (КР) ремонты, планомерное чередование которых образует ремонтный
цикл.
Оценка трудоемкости выполнения плановых
мероприятий базируется на утвержденной структуре ремонтного цикла и категориях
ремонтной сложности оборудования.
Для определения категории ремонтной сложности
применяют метод аналитического расчета, в котором учитывают технические
характеристики оборудования.
Категория ремонтной сложности электрического
оборудования определяется из выражения:
(3.1)
где М - количество
электродвигателей;
- количество электротехнических
изделий установленных на станке в условных единицах;
- количество электротехнических
изделий, установленных в электрошкафу в условных единицах.
В нашем случае все электрические
аппараты установлены в шкафах.
(3.2)
Тогда категория ремонтной сложности
составит:
.
По значению категории ремонтной
сложности и нормативам трудоемкости рассчитывается годовая трудоемкость работ в
нормо-часах по ремонту и техническому обслуживанию конкретного
электрооборудования Т.
(3.3)
- коэффициент сменности работы
оборудования
- нормативы трудоемкости выполнения
работ по техническому обслуживанию и текущему ремонту электрооборудования;
R - категория
ремонтной сложности оборудования.
н-ч.
Раздел 4 Охрана труда и электробезопасность
.1 Организация работы по охране труда на предприятии
В современных условиях организации производства
система управления охраной труда (СУОТ) - это совокупность органов управления и
объектов управления, взаимодействующих между собой.
Управление охраной труда - подготовка, принятие
и реализация по осуществлению организационных, технических и других мероприятии
для обеспечения безопасности, сохранения здоровья и работоспособности человека
в процессе труда.
Правовое поле для управления, надзора и контроля
за безопасностью и охраной труда формируется системой законодательных и
нормативных правовых актов.
Обязанности должностных лиц в области охраны
труда.
Руководитель, главный, инженер, главный механик,
главный энергетик, другие главные специалисты, руководители структурных
подразделений, мастера - каждый на своем участке работы обязан обеспечивать
безопасные и безвредные условия труда.
Главный инженер руководит разработкой и
осуществлением планов работы по охране труда, организует исполнение указаний
вышестоящих органов, проверяет состояние техники безопасности и
санитарно-гигиенических условий труда в цехах и структурных подразделениях,
принимает оперативные меры по устранению выявленных недостатков. В его
обязанности входят также организация разработки и утверждение инструкций по
охране труда для всех профессий работников и выполняемых работ, осуществление
пропаганды охраны труда и обеспечение работников инструкциями и правилами по
охране труда. Главный инженер организует проверку знаний и повышение
квалификации руководителей и специалистов по вопросам охраны труда,
обеспечивает своевременное представление установленной отчетности по охране
труда, а также оперативных сведений о несчастных случаях и проводимой работе по
их устранению.
Главный технолог предприятия обеспечивает
разработку и внедрение рациональных и безопасных технологических процессов,
приспособлений, инструмента, а также соблюдение технологических инструкций.
Главный конструктор обеспечивает разработку
безопасных конструкций изготовляемых предприятием станков, машин, оборудования,
приспособлений, установок и другой продукции.
Главный механик и главный энергетик предприятия
обеспечивают своевременное проведение технического обслуживания и ремонтов
оборудования, грузоподъемных машин и механизмов, паровых и водогрейных котлов,
аппаратов и устройств, работающих под давлением, компрессорных установок,
электротехнических установок и устройств, а также вентиляционных и отопительных
систем.
Служба эксплуатации зданий и ее персонал
осуществляют технический надзор за безопасным состоянием производственных
зданий и сооружений.
Безопасное состояние и эксплуатацию транспортных
средств железнодорожного и водного транспорта, подъездных путей и причалов;
организацию погрузочно-разгрузочных работ; надлежащее содержание территории и
санитарно-бытовых помещений и устройств предприятия, обеспечение питьевой
водой, средствами индивидуальной и коллективной защиты обеспечивают
соответствующие заместители руководителя предприятия и находящиеся в их
подчинении службы.
Мастер организовывает и создает безопасные
условия труда на рабочих местах, следит за состоянием и правильной
эксплуатацией оборудования, приспособлений, ограждений, средств сигнализации и
автоматики. Он следит за работой вентиляционных установок, освещением рабочих
мест; безопасным использованием электрооборудования, газосварочного
оборудования; осуществляет мероприятия по охране труда. Совместно с
общественным инспектором по охране труда мастер осуществляет оперативный
контроль за состоянием охраны труда. Мастер проводит инструктаж по охране труда
на рабочем месте, принимает участие в обучении рабочих по охране труда, ведет
журналы регистрации инструктажей на рабочем месте.
О происшедших несчастных случаях мастер
немедленно докладывает начальнику цеха, обеспечивает участок средствами
наглядной агитации и пропаганды охраны труда (инструкции, памятки, плакаты).
Служба охраны труда на предприятии
Служба охраны труда на предприятии -
самостоятельное структурное подразделение, которое подчиняется непосредственно
руководителю или главному инженеру предприятия и несет ответственность за
организацию работы на предприятии по созданию здоровых и безопасных условий
труда работающих, предупреждению несчастных случаев на производстве и
профессиональных заболеваний.
Служба охраны труда, инженер по охране труда или
лица, выполняющие его функции обязаны:
организовывать работу по охране труда и
контролировать соблюдение на предприятии действующего законодательства о труде
и охране труда, инструкций по охране труда, производственной санитарии,
пожарной безопасности;
контролировать соблюдение правильности
эксплуатации паровых котлов, сосудов, работающих под давлением, баллонов со
сжатыми, сжиженными и растворенными газами, контрольной аппаратуры, кранов,
подъемников, графиков замера производственного шума, воздушной среды, вибрации;
составлять перечень работ повышенной опасности,
регистрировать их проведение, осуществлять контроль за их безопасным
производством;
разрабатывать программы обучения работающих
безопасным методам труда;
- составлять с участием
руководителей технических служб перечень инструкций по охране труда для
отдельных профессий и отдельных видов работ;
участвовать в работе
квалификационных комиссий по проведению квалификационных экзаменов, в комиссиях
по проверке знаний рабочими правил, норм и инструкций по охране труда;-
участвовать в работе экзаменационных комиссий по проверке знаний должностными,
лицами и специалистами законодательства о труде, правил я норм по охране труда;
разрабатывать программу
вводного инструктажа и обеспечивать его проведение;
контролировать обеспечение
работников средствами индивидуальной защиты и правильность их применения;
участвовать в составлении
раздела коллективного договора, касающегося вопросов улучшения условий труда,
укрепления здоровья работников;
участвовать в расследовании несчастных
случаев и профессиональных заболеваний на производстве, разработке мероприятий
по их предупреждению, вести учет и анализировать причины происшествий;
контролировать выполнение
предписаний органов государственного специализированного надзора;
- консультировать работников по вопросам охраны
труда, осуществлять руководство работой кабинета охраны труда, организовывать
на предприятии пропаганду охраны труда и др.
.2 Мероприятия по технике
безопасности при проведении модернизации
Электромонтажные работы
разрешается выполнять только при наличии проектов производства работ (ППР) или
технологических карт, утвержденных главным инженером электромонтажной
организации, в которых предусмотрены конкретные мероприятия по безопасности
труда.
Непосредственные руководители и
исполнители электромонтажных работ перед допуском к их выполнению должны быть
ознакомлены с требованиями безопасности и конкретными условиями производства в
объеме ППР или технологической карты. При установке оборудование должно быть
надежно заземлено.
При подготовке электрооборудования и последующей
работе необходимо выполнять все требования правил технической эксплуатации
электроустановок и техники безопасности при эксплуатации электроустановок
потребителем. Правила должны быть утверждены Государственной инспекцией по
техническому надзору.
1. Открывать электрошкафы
разрешается только квалифицированным электрикам.
2. К обслуживанию электрооборудования
допускается специально обученный персонал, знакомый с электрооборудованием
станка, прошедший инструктаж по технике безопасности в объеме действующих
инструкций, изучивший « Правила технической эксплуатации и безопасности
обслуживания электроустановок промышленных предприятий « и имеющих допуск к
обслуживанию электроустановок, напряжением до 1000В.
. Электротехнический персонал, занятый
обслуживанием электрооборудования, обязан руководствоваться указаниями мер
безопасности, которые содержатся в настоящем разделе руководства, а также в «
Руководстве по эксплуатации. Механическая часть « и в эксплуатационной
документации, прилагаемой к устройствам и комплектным изделиям, входящим в
состав установки.
. Нахождение посторонних лиц в зоне работы
пресса не допускается.
. Проходы перед электрошкафами не должны
загромождаться.
. К строповке электрооборудования установки
(электрошкафы, пульты и пр.) допускаются лица, изучившие правила строповки,
имеющие удостоверения на право производства этих работ и прошедшие инструктаж
по технике безопасности в объеме инструкции для стропальщиков.
. Перед включением напряжения после монтажа или
ремонта электрооборудования или после долгого перерыва в работе, необходимо
убедиться в исправности заземления. Качество заземления проверяется внешним
осмотром и измерением сопротивления между металлическими частями станка и
каждого из его устройств и зажимом для заземления, находящимся на вводе
установки.
. Проверить ламповую сигнализацию.
.3 Организационные и технические мероприятия по
защите электрооборудования от перенапряжений
1.Электроустановки Потребителей
должны иметь защиту от грозовых и внутренних перенапряжений, выполненную в
соответствии с требованиями правил устройства электроустановок.
Линии электропередачи, ОРУ, ЗРУ,
распределительные устройства <#"669605.files/image043.gif">
(6.2)
зар. Плата основная 
(6.3)
стоимость 1 нормо-часа 
(6.4)
заработная плата дополнительная
ЗПдоп
∙ЗПосн/
(6.5)
отчисления на социальные нужды

(6.6)
накладные расходы 
(6.7)
затраты на материалы 
(6.8)
полная себестоимость

(6.10) (6.9)
прибыль по нормативу 
(6.10)
цена расчетная 
(6.11)
сумма налога на ДС 
(6.12)
цена ремонта с НДС 
(6.13)
отчисления в инновационный фонд

(6.14)
Произведем расчёт стоимости нормо-часа ремонтных
работ для определения затрат на эксплуатацию оборудования подстанции.
Расчеты представлены в таблице 6.3.
Таблица 6.3 - Расчет стоимости 1 нормо-часа
ремонтных работ
|
Наименование
показателей, ед.изм.
|
Условное
обозначение
|
Примечание
|
Значение
|
|
Тарифная
ставка 1разряда,т.руб/мес
|
Тст1
|
по
данным предприятия
|
575
|
|
Разряд
работ
|
Рi
|
по
НПА
|
4
|
|
Тарифный
коэффициент
|
кт
|
по
ЕТС
|
1,57
|
|
Коэффициент
техн.видов работ
|
ктвр
|
по
НПА
|
1,3
|
|
Контрактный
коэффициент
|
ккфн
|
Средний
по предприятию
|
1,15
|
|
Расчетная
ставка, т.руб./мес
|
Тст.расч
i
|
575·1,57·1,3·1,15
|
1349,6
|
|
Нор.тек.премирования,
%
|
Нпр
|
по
НПА
|
25
|
|
Нор.надбав.за
выслугу лет, %
|
Нвл
|
Средний
по предприятию
|
25
|
|
Заработная
плата основная, тыс. руб
|
Зпосн
|
1349,6·
(1+(25+25)/100)
|
2024,4
|
|
Расчет.норма
времени, ч/мес
|
Фмес
|
по
НПА
|
158
|
|
Стоимость
1 н-часа, руб.
|
Снч
|
2024,4/158·1000
|
12812,6
|
Для расчёта стоимости ремонтных
работ необходимо учитывать трудоёмкость ремонта оборудования.
Для нахождения норм трудоемкости капитального и
текущего ремонта используем Для АД. Порядок расчета следующий:
по справочным данным выписываем нормативы для КР
и ТР;
рассчитываем количество капитальных и текущих
ремонтов в течение планового периода (года), по формуле:
mкр = 
= 
=0,083 (6.15)

(6.16)
где Трц - время ремонтного цикла (по
графику ППР Трц=144 месяцев);
годовая трудоемкость ремонтов на
группу оборудования, чел-час:
Ткр.гр. = n
× mкр
×
Ткр =1×0,083×10=0.83; (6.17)
Ттр.гр. = n
× mтр
×
Ттр =1×1×2=2; (6.18)
где n
- количество единиц одинакового оборудования (n=1);
Ткр , Ттр - норма трудоемкости, чел-ч;
годовая трудоемкость технического обслуживания,
чел-час:
Тто = 12 × n
× kсл.то
×
Ттр ×
kсм=12×1×0,1×2×2=4,8 (6.19)
где kсл.то
- коэффициент сложности, принимаемый 10%.
- суммарная годовая трудоемкость
эксплуатационного и ремонтного обслуживания, чел-час:
ТΣ
= Ткр.гр. + Ттр.гр. + Тто=0,83+2+4,8=7,63 (6.20)
Для ДПТ:
Порядок расчета следующий:
по справочным данным выписываем нормативы для КР
и ТР;
рассчитываем количество капитальных и текущих
ремонтов в течение планового периода (года), по формуле:
mкр = 
= 
=0,083
где Трц - время ремонтного цикла (по
графику ППР Трц=144 месяцев);
годовая трудоемкость ремонтов на
группу оборудования, чел-час:
Ткр.гр. = n
× mкр
×
Ткр =1×0,083×27=2,241;
Ттр.гр. = n
× mтр
×
Ттр =1×1×8=8;
где n
- количество единиц одинакового оборудования (n=1);
Ткр , Ттр - норма трудоемкости, чел-ч;
годовая трудоемкость технического обслуживания,
чел-час:
Тто = 12 × n
× kсл.то
×
Ттр ×
kсм=12×1×0,1×8×2=19,2
где kсл.то
- коэффициент сложности, принимаемый 10%.
- суммарная годовая трудоемкость
эксплуатационного и ремонтного обслуживания, чел-час:
ТΣ
= Ткр.гр. + Ттр.гр. + Тто=2,241+8+19,2=29,441 .
Сведем полученные данные расчетов в таблицу 6.4
Таблица 6.4 - Расчет годовой трудоёмкости
эксплуатационного и ремонтного обслуживания электрооборудования станка модели
3К12.
|
Наименование
оборудования, его тип, характеристика
|
Единица
измерения
|
Количество
единиц
|
Капитальный
ремонт
|
Текущий
ремонт
|
Суммарная
трудоемкость ремонтных работ
|
Техническое
обслуживание
|
Общая
трудоемкость, чел-час.
|
|
|
|
Ремонтный
цикл, месяцев
|
Число
ремонтов в году
|
Норма
трудоёмкости 1 кап.рем. на 1 ед., чел-час.
|
Годовая
трудоёмкость на группу обор., чел-час.
|
Межремонтный
период, месяцев
|
Число
ремонтов в году
|
Норма
трудоёмкости 1 текущ.рем. на 1 ед., чел-час.
|
Годовая
трудоёмкость на группу обор., чел-час.
|
|
Коэффициент
сложности
|
Коэффициент
сменности
|
Годовая
трудоёмкость на группу оборудования, чел-час.
|
|
|
1
|
2
|
3
|
4
|
5
|
6
|
7
|
8
|
9
|
10
|
11
|
12
|
13
|
14
|
15
|
16
|
|
Демонтируемое
оборудование
|
|
ДПТ
ЗТО2-04 (с ПП-СТ)
|
шт
|
1
|
144
|
0,083
|
27
|
2,241
|
12
|
1
|
8
|
8
|
10,241
|
0,1
|
2
|
19,2
|
29,441
|
|
Итого:
|
29,441
|
|
Монтируемое
оборудование
|
|
АД
4А71А2У3
|
шт
|
1
|
144
|
0,083
|
10
|
0,83
|
12
|
1
|
2
|
2
|
2,83
|
0,1
|
2
|
4,8
|
7,63
|
|
Итого:
|
7,63
|
Рассчитываем уменьшение годовой трудоемкости:
ΔТ = 29,441 - 7,63 =
21,811 чел-час.
Расчет стоимости ремонтных работ приведем в
таблице 6.5
Таблица 6.5- Расчет стоимости ремонтных работ
|
Наименование
статей затрат
|
Условные
обозначения
|
Примечание
|
Значение
|
|
трудоемкость
работ, чел.·час
|
∆Т
|
из
расчетов
|
21,811
|
|
стоимость
1 н-часа, руб
|
Снч
|
из
табл.8.1.
|
12812,6
|
ЗПосн
|
7,63*12812,6
|
279455,6
|
|
ЗП
дополнительная
|
ЗПдоп
|
10*279455,6/100
|
27945,56
|
|
Отчисления
на социальные нужды
|
Осоц.н.
|
(34+1,7)∙(
279455,6+27945,56)/100
|
12771,1
|
|
-
соц.страхование
|
Нс.с
|
по
НПА
|
34
|
|
-
обяз.страх.от несч.случаев
|
Нс.нс.
|
по
отраслям
|
1,7
|
|
Накладные
расходы, %
|
НР
|
1,2*279455,6
|
335346,7
|
|
затраты
на материалы
|
ЗМ
|
1,2∙279455,6
|
335346,7
|
|
отчисления
в инновационный фонд
|
Оин.ф.
|
0,25∙
(279455,6+27945,56+12771,1+335346,7+335346,7)/100
|
2477,1
|
|
полная
себестоимость
|
Ср
|
279455,6+27945,56+12771,1+335346,7+335346,7+2477,1
|
993342,7
|
|
Прибыль
по нормативу, %
|
П
|
1,16*993342,7
|
1152277,6
|
|
Цена
расчетная
|
Црасч
|
993342,7+1152277,6
|
2145620,3
|
|
Сумма
налога на ДС
|
НДС
|
0,2*2145620,3
|
429124,1
|
|
Цена
ремонта с НДС
|
Цр2
|
2145620,3+429124,1
|
2574744,4
|
Выполним оценку эффективности проводимой
модернизации. Для этого рассчитаем простой срок окупаемости по формуле:
Ток =
(6.21)
где Кобщ - затраты на модернизацию,
тыс.руб.;
Кэксп - стоимость ремонтных работ, тыс.руб.;
Камор. - расходы на амортизацию старого
оборудования, тыс.руб.
Расходы на амортизацию старого оборудования
определим линейным способом:
Тп.исп.=10 лет
ОСп=300 тыс.руб.
=1/ Тп.исп (6.22)
=1/ Тп.исп =1/10=0,1
Ао= ОСп× Na (6.23)
Ао= ОСп× Na=300×0,1=30
тыс.руб.
В нашем случае:
Ток =
.
.3 Технико-экономические показатели
проекта модернизации электрооборудования
Для оценки экономических показателей
рассчитанных в дипломном проекте, сведем их в таблицу 6.6.
Таблица 6.6 - Технико-экономические
показатели
|
Наименование
показателей
|
Обозначение
|
Единицы
измерения
|
Величина
|
|
Сметная
стоимость модернизации в текущих ценах 2013 года, в том числе: - стоимость
оборудования - стоимость строительно-монтажных работ
|
|
тыс.руб
|
2071,13
1862.535 465,58
|
|
Стоимость
1норма-часа
|
Снч
|
тыс.руб
|
12,8
|
|
Сокращение
годовой трудоемкости ремонтных работ
|
ТΣ
|
чел.час
|
21,811
|
|
Срок
окупаемости
|
Ток
|
год
|
3,35
|
В схеме универсального круглошлифовального
станка мы заменили двигатель постоянното тока на асинхронный двигатель. Это
исключило возможность поломок щеточно - коллекторного узла. Что бы мы могли
регулировать частоту вращения асинхронного двигателя мы кстанавливаем частотный
преобразователь. На монтаж всего этого оборудования требуется 8718,4814
тыс.руб. По нашим расчётам срок окупаемости составит 3,35 года.
Заключение
В данном курсовом проекте была произведена
модернизация универсального круглошлифовального станка модели 3К12, в ходе
которой был произведен выбор направления модернизации, а так же выбраны
технические средства модернизации в соответствие с направлением. Были
составлены схемы: функциональная схема, схема электрическая принципиальная
модернизированная, схема соединений и подключений. Так же была произведена
модернизация схемы электрической принципиальной существующей и схемы соединений
и подключений. Были описаны организация монтажа, эксплуатации и ремонта модернизированного
оборудования; организация работы охраны труда на предприятии; мероприятия по
технике безопасности при проведении модернизации и эксплуатации и ремонте
модернизированного электрооборудования. Так же было уделено внимание пожарной
безопасности при эксплуатации модернизированного оборудования. В отдельном
разделе была описана охрана окружающей среды и энергосбережения. Были посчитаны
затраты на модернизацию электрооборудования а так же срок ее окупаемости.
Список используемых источников
1.
Алиев И.И. Кабельные изделия: справочник. М.: ИП Радиософт, 2009.
.
Методические рекомендации по составлению технико-экономических обоснований для
энергосберегающих мероприятий ( с изменениями и дополнениями), утвержденные
Председателем Комитета по энергоэффективности при Совете Министров Республики
Беларусь, МН, 2010.
.
Москаленко В.В. Электрический привод: Учеб. пособие для студ. учреждений сред.
проф. образования - М.: Мастерство: Высшая школа, 2000.
.
Овчинников Л.С. Система технического обслуживания и планово-предупредительного
ремонта энергетического оборудования и сетей промышленной энергетики - Мн.:
Дизайн ПРО, 2007
.
Самсонов В.С. Экономика предприятия энергетического комплекса / Самсонов В.С,
Вяткин М.А. - М.: «Высшая школа», 2008.
.
Электрический справочник. В 3т. Т. 3: Э45 В 2 кн. Кн. 2. Использование
электрической энергии/ Под общ. ред. профессоров МЭИ: И.Н. Орлова и др. 7-е
изд., испр. и доп. - М.: Энергоатомиздат, 2008.
.
HYUNDAI. Частотный
преобразователь. Руководство по эксплуатации. Электронный ресурс.