Разработка компьютерной сети по технологии Token Ring c STP с подключением к Интернет

  • Вид работы:
    Курсовая работа (т)
  • Предмет:
    Информатика, ВТ, телекоммуникации
  • Язык:
    Русский
    ,
    Формат файла:
    MS Word
    676,77 Кб
  • Опубликовано:
    2013-10-11
Вы можете узнать стоимость помощи в написании студенческой работы.
Помощь в написании работы, которую точно примут!

Разработка компьютерной сети по технологии Token Ring c STP с подключением к Интернет

Введение

Организация компьютерных сетей:

Назначение КС - КС используется для объединения ПК, программно-аппаратных комплексов и связующих линий, обеспечивающих обмен информации. КС используется в технологической сфере, в социальной сфере, в экономической сфере, в политической сфере, в культурной сфере.

Классификация КС:

) Локальная (малые) - LAN.

.1) Одноранговые(≤10ПК).

.2) Серверные (≥ПК).

) Глобальные (большие) - WAN.

Функционирование по стандартной модели OSI

Эталонная семиуровневая модель КС:

) Физический уровень (нижний) (Physical layer) - обеспечивается электрическими, механическими, функциональными средствами подключения к каналу связи. Пример: l0-Base-T технологии Ethernet, в качестве используемого кабеля неэкранированную витую пару категории 3 с волновым сопротивлением 100 Ом, разъем RJ-45, максимальную длину физического сегмента 100 метров.

) Канальный (Data Link layer)(уровень управления каналом - на этом уровне осуществляется установление, поддержание и разъединение каналов, и управление каналов передачи данных. Примерами протоколов канального уровня являются протоколы Ethernet, Token Ring, FDDI, l00VG-AnyLAN.

) Сетевой уровень (Network layer) - процессы маршрутизации, коммутации, адресации сообщений, управление потоками данных. Примерами сетевого уровня являются протокол межсетевого взаимодействия IP стека TCP/IP и протокол межсетевого обмена пакетами IPX стека Novell.

) Транспортный уровень (Transport layer) - управление передачей данных от системы источника к адресату. В качестве примера транспортных протоколов можно привести протоколы TCP и UDP стека TCP/IP и протокол SPX стека Novell.

) Сеансовый уровень (Session layer) - организация и проведение сеансов связи между прикладными вычислительными процессами.

) Представительный уровень (Presentation layer) - представляются данные (Интерпретация, преобразование в удобные виды для данного процесса и т.д)

Примером такого протокола является протокол Secure Socket Layer (SSL), который обеспечивает секретный обмен сообщениями для протоколов прикладного уровня стека TCP/IP.

) Прикладной уровень (верхний) (Application layer) - выполнение прикладных программ, управление терминалами, административное управление сетью.

Элементы протоколов

Организация взаимодействия между одинаковыми уровнями, различных систем, определяются соответствующим протоколом.

Протоколы различных уровней управление, реализуемые программными, аппаратными и специальными командными средствами, представляют собой формализованные процедуры взаимодействие процессов одного уровня, территориально удаленных систем, связанных сетью передачи данных, с помощью протоколов заставляет выделить некоторые их типичные элементы:

Структура обрамления сообщений:

Протоколы различных уровней управление, реализуемые программными, аппаратными и специальными командными средствами, представляют собой формализованные процедуры взаимодействие процессов одного уровня, территориально удаленных систем, связанных сетью передачи данных, с помощью протоколов заставляет выделить некоторые их типичные элементы:

Рис. 1

1. Роль компьютерных сетей

Компьютерные сети, называемые также вычислительными сетями, или сетями передачи данных, являются логическим результатом эволюции двух важнейших научно-технических отраслей современной цивилизации - компьютерных телекоммуникационных технологий. С одной стороны, сети представляют собой частный случай распределенных вычислительных систем, в которых группа компьютеров согласованно выполняет набор взаимосвязанных задач, обмениваясь данными в автоматическом режиме. С другой стороны, компьютерные сети могут рассматриваться как средство передачи информации на большие расстояния, для чего в них применяются методы кодирования и мультиплексирования данных, получившие развитие в различных телекоммуникационных системах.

КС используются:

.) В технологической сфере - в различных предприятиях, в которых нужно быстро передать информацию.

.) В социальной сфере - Применение локальных и глобальных компьютерных сетей для обмена социальными данными. Представление социальных данных для сетевого обмена. Построение и эксплуатация информационных систем, используемых в сфере социальной защиты населения. Распределенная автоматизированная система обработки информации по социальной защите. Возможности использования глобальной сети Интернет в социальной сфере.

.) В экономической сфере - обеспечить развитие интегрированных комплексов информатизации основных социально-экономических сфер

.) В политической сфере - осознание и использование возможностей сети Интернет в своей политической деятельности стало индикатором "продвинутости" политических партий и движений, индикатором их образа жизни. Особенно часто интернет в политике был востребован как олицетворение прогресса, символ будущего, воплощение технологий завтрашнего дня

.) В культурной сфере - Разработка и внедрение регионально-адаптированных теоретических основ создания информационных культурно-образовательных ресурсов в сети Интернет. Общий уровень востребованности информации о культуре в Интернет существенно выше, чем в других СМИ (телевидение, радио, издания).

) Используется в науке, медицине, промышленности, сельском хоз-ве, военной области, космической области, в быту и др.

Виды обрабатываемой информации

Для передачи информации в КС, данные преобразуются в цепочку следующих друг за другом битов(1 или 0). При передачи данных, их разделяют на отдельные пакеты(блоки).

Пакет включает в себя: адрес отправителя, адрес получателя данных, контрольное число и т.д. Для правильной, полной и без ошибочной передачи данных необходимо придерживаться установленных правил, которые оговорены в протоколе для данной КС:

) Синхронизация - механизм распознавания начала и конца блоков данных,

) Инициализация - установление соединения между взаимодействующими абонентами,

) Блокирование - разбиение передаваемой информации на блоки данных строго определенно максимальной длины,

) Адресация - идентификация различного используемого оборудование данных,

) Обнаружение ошибок - установка битов четности и контрольных чисел,

) Нумерация блоков - устанавливается нумерация передаваемых блоков (пакетов) для определения ошибок при потере целого блока пакета,

.)Управление потоком данных - для распределения и синхронизации информационных потоков.

2. Общие принципы построения КС

Системы построения КС бывают:

Система терминал-хост - к host'y подключаются терминалы.

Клиент-сервер - часто в качестве клиента выступают программы, имеющие доступ к информационным ресурсам или устройствам сервера. Для подключения к серверу пользователь рабочей станции должен получить собственное регистрационное имя и пароль. К преимуществам сетей с "клиент - сервер" относятся централизованное управление ресурсами сети, безопасность и скорость доступа. Мероприятия по реализации этих свойств называются администрированием сети

Информационно-вычислительные системы - Вычислительная (компьютерная) система - это совокупность взаимосвязанных и взаимодействующих компьютеров (процессоров), периферийного оборудования и программного обеспечения, предназначенных для подготовки и решения задач пользователя. Необходимо понимать разницу между компьютерами и информационной системой: компьютеры оснащены специальными программными системами, являются технической базой и инструментом для информационных систем. Информационная система немыслима без персонала, взаимодействующего с компьютерами и телекоммуникациями.

Система коммутации пакетов - Метод коммутации пакетов основан на разбиении передаваемых по сети данных на небольшие "порции". Каждая такая "порция" передается по сети как единое целое и называется пакетом. Такой метод является очень удобным для параллельного использования физического канала несколькими парами абонентов: канал является занятым только во время прохождения пакета. Временные промежутки между передачей пакетов одним абонентам могут быть использованы другими для отправки собственных пакетов.

Пакет обычно состоит из двух частей - заголовка, содержащего служебные данные, необходимые для управления доставкой пакета, и собственно данных, подлежащих передаче. Порядок обмена пакетами, а также конкретный состав заголовка пакетов определяется сетевым протоколом.

Топологии

Рис. 1

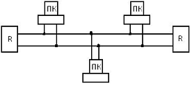
Шинная - очень простая в эксплуатации и установки. Но не надежная т.к. при обрыве шины сеть пропадет. R - сопротивление. Быстрая скорость П/Д

Рис. 2

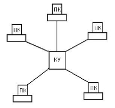
Звезда - Очень простая и удобная в установки и настройке, менее отказоустойчивая, т.к. при отключении одного ПК, другие продолжат пользоваться сетью. Но требует затрат на дополнительное оборудование например Коммутатор (Switch). В данный момент цены на самые простые модели достигают 1000р и более. В КУ осуществляется высокоскоростная коммутация пакетов. Скорость высокая 100мбит/сек и более (1000мбит/сек).

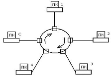
Кольцо - так же как и шинная, очень не надежная т.к обрыв кольца вызовет остановку сети. Передача данных осуществляется “по кругу” например от Сервера к 2Пк, а от 2Пк к 3Пк, а потом уже обратно к Серверу.

Рис. 3

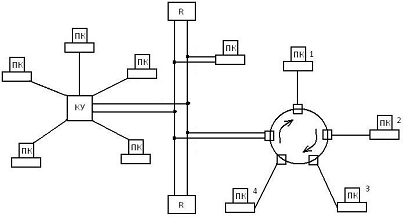
Комбинированная (дерево) - Топология состоящая из разных видов топологий, таких как звезда, кольцо и др. Очень часто применяется для объединения сетей на дальних расстояниях. Скорость высокая. В этой топологии больше устройств, а это значит и затраты.

Рис. 4

Рис. 5

Ячеистая - Наиболее отказоустойчивая топология т.к каждый узел соединен со всеми остальными. Так же хорошо в этой сети то, что при отказе любого узла или обрыве кабеля, сеть продолжает работать, тоесть все остальные ПК продолжают взаимодействовать друг с другом. Отрицательно то, что такие сети очень дороги и сложны в монтаже. Обычно эта топология используется в больших сетях.

Рис. 6

сеть монтаж построение протокол

Средства связи

Средства линий передачи - при выборе учитываются:

.1 Стоимость монтажа и обслуживания,

.2 Скорость передачи информации,

.3 Сложность в обслуживании, дополнительные усилители нужны или нет,

.4 Безопасность передачи данных (витая пара, коаксиальный кабель и т.д.).

Сетевые платы - устанавливаются для взаимодействия ПК с другими устройствами сети, а именно: преобразование информации, повышение производительности, определяют пропорции трафика, мониторинг трафика в сети, поддерживают функцию удаленного изменения конфигурации и удаленной активизации связи с сервером.

Адаптеры - Ethernet используют в 8,16,32 битовые адаптеры, для увеличения скорости на адаптеры устанавливаются буферы, с увеличенной разрядностью и емкостью. Роль что и для сетевых плат. Как правило сетевые адаптеры имеют Min 2 разъема (T -коннектор)..Тройник Т-коннектора.

Трансивер - служит для подключения рабочих станций, к толстому коаксиальному кабелю, на корпусе трансивера имеются 3 разъема. 2 для толстого коаксиального кабеля, 1 для подключения трансиверного кабеля

Репитеры (повторитель, усилитель) - служит для разделения сегментов в сети и восстановление пакетов передаваемых из одного сегмента в другой. Если длинна сети превышает МАХ длину сегмента, то сеть разбивается на сегменты, которые соединяются репитерами. Через 185 метров у коаксиального кабеля и 100 метров у витой пары.

Концентратор (ХАБ) - для соединения нескольких физических сегментов КС, в нем сосредоточены все связи по приоритетности. Концентраторы характерны для всех технологий КС: -Ethernet, -ArcNet, -Token Ring, -FDDI, -Fast Ethernet, -Gigabit Ethernet, -100VG0AnyLan, -Wi-fi, -и др. В зависимости от числа рабочих станций и длины линий связи (кабеля), концентраторы бывают:

Пассивные - чисто для разветвления ПК (не более 10 ПК).

Активные - содержат усилители (более 10 ПК).

МАХ расстояния от концентратора до рабочей станции = 100 метров.

Скорость передачи данных концентраторов = 10 Мбит/Сек. Каждый концентратор имеет свой блок питания.

Коммутаторы (Switch) - Много портовое устройство, обеспечивающее высокоскоростную коммутацию пакетов между портами, устройство направляющее пакеты в один из узлов в магистральной сети, усиливающее сигналы, до первоначального состояния. Коммутаторы обеспечивают скорость 100 Мбит/сек и более 1000Мбит/сек.

Основные функции коммутаторов: -Защита информации, - кеширование данных(есть память), -Расширение сетевой телефонии, - Защита настольных ПК и сетевое управление, -Фильтрация многоадресового трафика (для эффективного использования полосы пропускания), -Адаптивная буферизация портов, -Управление потоками при большой загрузке сети, -Поддержка объединение каналов, -Автоматическое определение режима передачи (дуплексная, полудуплексная), -Автоматическое определение скорости передачи портами (100-1000Мбит/сек), -Поиск и устранение неисправности с помощью встроенной системы контроля, -Поддержка отказоустойчивых соединений и дополнительных резервных блоков питания.

Маршрутизаторы - для соединения нескольких ЛВС и подключения их к большим (WAN) к территориально распределительным сетям (а конкретно для согласования по протоколам, программному обеспечению и преобразования в информацию. Маршрутизаторы зависят от используемого протокола (ICP/IP, IPX, Apple Talk и др.) и работают на третьем и седьмом уровне стандартного семиуровневого протокола OSI. Маршрутизаторы предназначены так же для построения высокопроизводительных магистралей (маршрутов) с гарантированным обеспечением качества услуг.

Модемы (модулятор-демодулятор) - предназначены для организации связи между аппаратными средствами в сетях, методом модуляции-демодуляции, при преобразование сигналов из цифрового вида в аналоговый и обратно. Модемы бывают: -Внутренние, -Внешние

Аппаратные средства

Технические средства КС включают следующие функциональные группы оборудования:

Средства линий передачи данных (кабели, витая пара, оптоволокно, эфир и др.

Средства увеличивающие дистанции передачи данных (репитеры, усилитель повторитель, модем и др

Средства соединение линий передачи с сетевым оборудованием (Сетевые платы, адаптеры и др.)

Протоколы

Средства повышение емкости линий передачи (мультиплексоры, разделители частот, устройств чередование пакетов и др.)

Средства управления информационными потоками КС (коммутация каналов, коммутация пакетов, разветвление линий передач и т.д.)

Для стандартизации передаваемой по сети инфы, разработаны так именуемые сетевые протоколы. Протокол представляет собой набор правил и соглашений для дизайна и передачи инфы по компьютерной сети. Пакет, сделанный по избранному сетевому протоколу, имеет строго определенный формат. Ежели на компах сети установлен однообразный сетевой протокол, то они сумеют «понимать» друг дружку, т.е. читать пакеты. Компы с различными протоколами имеют различный формат пакетов и соответственно друг дружку не усвоют, также как люди, сидящие в одной комнате, но говорящие на различных языках.

Есть три более всераспространенных протокола, используемых в компьютерных сетях Microsoft - NetBEUI, TCP/IP, IPX/SPX.

Сетевой протокол Microsoft TCP/IP в особенности обширно употребляется в сети Веб. Потому для сопоставимости пакетов локальной сети с пакетами сети Веб мы будем воспользоваться лишь протоколом TCP/IP.TCP/IP-протокол, на базе которого разработаны почти все службы в операционной системе Windows, дает последующие способности:

* Обеспечивает надежную, отказоустойчивую среду обмена информацией.

* Поддерживается всеми современными операционными системами.

* Дозволяет компам работать как в локальных, так и в глобальных компьютерных сетях.

* Обеспечивает доступ в Веб.

Протокол IPv.6

Основным предложением по модернизации протокола IP является предложение, разработанное группой IETF. Сейчас принято называть ее предложение версией 6 - IPv6, а все остальные предложения группируются под названием IP Next Generation, IPng.

В предложении IETF протокол IPv6 оставляет основные принципы IPv4 неизменными. К ним относятся дейтаграммный метод работы, фрагментация пакетов, разрешение отправителю задавать максимальное число хопов для своих пакетов. Однако, в деталях реализации протокола IPv6 имеются существенные отличия от IPv4.

Протокол OSPF

Протокол OSPF (Open Shortest Path Firs) является достаточно современной реализацией алгоритма состояния связей (он принят в 1991 году) и обладает многими особенностями, ориентированными на применение в больших гетерогенных сетях.

Протокол OSPF вычисляет маршруты в IP-сетях, сохраняя при этом другие протоколы обмена маршрутной информацией.

Протоколы EGP и BGP

Большинство протоколов маршрутизации, применяемых в современных сетях с коммутацией пакетов, ведут свое происхождение от сети Internet и ее предшественницы - сети ARPANET. Для того, чтобы понять их назначение и особенности, полезно сначала познакомится со структурой сети Internet, которая наложила отпечаток на терминологию и типы протоколов.изначально строилась как сеть, объединяющая большое количество существующих систем. С самого начала в ее структуре выделяли магистральную сеть (core backbone network), а сети, присоединенные к магистрали, рассматривались как автономные системы (autonomous systems).

Магистральная сеть и каждая из автономных систем имели свое собственное административное управление и собственные протоколы маршрутизации.

Дистанционно-векторный протокол RIP

Протокол RIP (Routing Information Protocol) представляет собой один из старейших протоколов обмена маршрутной информацией, однако он до сих пор чрезвычайно распространен в вычислительных сетях. Помимо версии RIP для сетей TCP/IP, существует также версия RIP для сетей IPX/SPX компании Novell.

В этом протоколе все сети имеют номера (способ образования номера зависит от используемого в сети протокола сетевого уровня), а все маршрутизаторы - идентификаторы. Протокол RIP широко использует понятие "вектор расстояний". Вектор расстояний представляет собой набор пар чисел, являющихся номерами сетей и расстояниями до них в хопах.

Протокол ICMP

Протокол обмена управляющими сообщениями ICMP (Internet Control Message Protocol) позволяет маршрутизатору сообщить конечному узлу об ошибках, с которыми машрутизатор столкнулся при передаче какого-либо IP-пакета от данного конечного узла.

Управляющие сообщения ICMP не могут направляться промежуточному маршрутизатору, который участвовал в передаче пакета, с которым возникли проблемы, так как для такой посылки нет адресной информации - пакет несет в себе только адрес источника и адрес назначения, не фиксируя адреса промежуточных маршрутизаторов.

Протокол ICMP - это протокол сообщения об ошибках, а не протокол коррекции ошибок. Конечный узел может предпринять некоторые действия для того, чтобы ошибка больше не возникала, но эти действия протоколом ICMP не регламентируются.

Протокол UDP

Задачей протокола транспортного уровня UDP (User Datagram Protocol) является передача данных между прикладными процессами без гарантий доставки, поэтому его пакеты могут быть потеряны, продублированы или прийти не в том порядке, в котором они были отправлены.

Протокол межсетевого взаимодействия IP

Основу транспортных средств стека протоколов TCP/IP составляет протокол межсетевого взаимодействия - Internet Protocol (IP). К основным функциям протокола IP относятся: перенос между сетями различных типов адресной информации в унифицированной форме, сборка и разборка пакетов при передаче их между сетями с различным максимальным значением длины пакета.

Протокол DHCPадреса могут назначаться администратором сети вручную. Это представляет для администратора утомительную процедуру. Ситуация усложняется еще тем, что многие пользователи не обладают достаточными знаниями для того, чтобы конфигурировать свои компьютеры для работы в интерсети и должны поэтому полагаться на администраторов.

Протокол Dynamic Host Configuration Protocol (DHCP) был разработан для того, чтобы освободить администратора от этих проблем. Основным назначением DHCP является динамическое назначение IP-адресов. Однако, кроме динамического, DHCP может поддерживать и более простые способы ручного и автоматического статического назначения адресов.

Служба имен доменов DNS(Domain Name System) - это распределенная база данных, поддерживающая иерархическую систему имен для идентификации узлов в(Domain Name System) - это распределенная база данных, поддерживающая иерархическую систему имен для идентификации узлов в сети Internet. Служба DNS предназначена для автоматического поиска IP-адреса по известному символьному имени узла. Спецификация DNS определяется стандартами RFC 1034 и 1035. DNS требует статической конфигурации своих таблиц, отображающих имена компьютеров в IP-адрес.

Адресация в IP-сетях

Каждый компьютер в сети TCP/IP имеет адреса трех уровней:

Локальный адрес узла, определяемый технологией, с помощью которой построена отдельная сеть, в которую входит данный узел. Для узлов, входящих в локальные сети - это МАС-адрес сетевого адаптера или порта маршрутизатора, например, 11-А0-17-3D-BC-01. Эти адреса назначаются производителями оборудования и являются уникальными адресами, так как управляются централизовано. Для всех существующих технологий локальных сетей МАС-адрес имеет формат 6 байтов: старшие 3 байта - идентификатор фирмы производителя, а младшие 3 байта назначаются уникальным образом самим производителем. Для узлов, входящих в глобальные сети, такие как Х.25 или frame relay, локальный адрес назначается администратором глобальной сети.адрес, состоящий из 4 байт, например, 109.26.17.100. Этот адрес используется на сетевом уровне. Он назначается администратором во время конфигурирования компьютеров и маршрутизаторов. IP-адрес состоит из двух частей: номера сети и номера узла. Номер сети может быть выбран администратором произвольно, либо назначен по рекомендации специального подразделения Internet (Network Information Center, NIC), если сеть должна работать как составная часть Internet. Обычно провайдеры услуг Internet получают диапазоны адресов у подразделений NIC, а затем распределяют их между своими абонентами.

Номер узла в протоколе IP назначается независимо от локального адреса узла. Деление IP-адреса на поле номера сети и номера узла - гибкое, и граница между этими полями может устанавливаться весьма произвольно. Узел может входить в несколько IP-сетей. В этом случае узел должен иметь несколько IP-адресов, по числу сетевых связей. Таким образом IP-адрес характеризует не отдельный компьютер или маршрутизатор, а одно сетевое соединение.

Символьный идентификатор-имя, например, SERV1.IBM.COM. Этот адрес назначается администратором и состоит из нескольких частей, например, имени машины, имени организации, имени домена. Такой адрес, называемый также DNS-именем, используется на прикладном уровне, например, в протоколах FTP или telnet.

Стек протоколов TCP/IPControl Protocol/Internet Protocol (TCP/IP) - это промышленный стандарт стека протоколов, разработанный для глобальных сетей.

Стандарты TCP/IP опубликованы в серии документов, названных Request for Comment (RFC). Документы RFC описывают внутреннюю работу сети Internet. Некоторые RFC описывают сетевые сервисы или протоколы и их реализацию, в то время как другие обобщают условия применения. Стандарты TCP/IP всегда публикуются в виде документов RFC, но не все RFC определяют стандарты.

Протокол HTTP

Это прикладной протокол (тот, который работает на уровне приложений), использующий услуги TCP на транспортном уровне (т.е. с установлением соединения и контролем передачи данных. По своему типу, это клиент - серверный протокол, т.е. клиент (инет браузер или прокси сервер), запрашивает данные, а сервер (Apache, IIS и д.р.) эти данные отправляет. Стандартный порт сервера - 80, хотя можно использовать любой больший 1024 (можно и меньше, но эти порты, от 0 до 1024, зарезервированы для стандартных служб). Клиент может открывать соединение на любом порту, но это уже задачи TCP. Запросы и ответы представляют собой текстовые строки (как и другие протоколы прикладного уровня, такие как SMTP, POP и д.р.), признаком конца запроса или ответа служит пустая строка.

Программное обеспечение

Для компьютерных сетей используются программы:

) Ввода-вывода.

) Операционные системы.

Операционные системы включают в себя набор управляющих и обслуживающих программ, которые обеспечивают:

) Меж программный метод доступа (переходы с программы на программу).

) Доступ отдельных прикладных программ к ресурсам сети.

) Синхронизацию работы прикладных программных средств в условиях их обращения к одному и тому же ресурсу.

) Обмен информацией между программами с использованием сетевых - почтовых ящиков.

) Выполнение команд оператора с терминала (подключенному к одному из узлов в сети).

) Удаленный ввод заданий, вводимых с любого терминала, в пакетном или оперативном режиме

) Обмен наборами данных (файлами) между ПК сети.

) Доступ к файлам хранимым в удаленных ПК и обработку их.

) Защита данных и вычислительных ресурсов сети от несанкционированного доступа.

) Выдачу различного рода справок об использовании информационно - программных и технических ресурсов сети.

) Передача текстовых сообщений с одного терминала пользователя на другие (электронная почта).

Операционная система компьютерной сети производит:

) Устанавливает последовательность решения задач пользователя.

) Обеспечивает необходимыми данными задачи пользователя хранящиеся в различных узлах сети.

) Контролирует работоспособность аппаратных и программных средств сети.

) Обеспечивает плановые и оперативное распределение ресурсов.

С помощью ОС КС производится:

) Управление - включает в себя:

а) Планирование сроков и очередности получения выдачи информации.

б) Распределение решаемых задач по ПК сети.

в) Присвоение приоритетов задачам и выходным сообщениям.

г) Изменение конфигурации сети.

д) Распределение информационных ресурсов.

) Организация - под ней понимается:

а) Учет выполнения заданий.

б) Выдачу справок о прохождении задач в сети.

в) Сбор данных о работах выполняемых сети.

) Диспетчеризация - отвечает за открытие и закрытие файлов, взаимодействие с сетью, перенос информации на диск и обратно, отображение информации на экране и ее обновление, наблюдение за коммутационными портами.

) Защита - включает контроль за запросами и обслуживание их и управление использованием памяти, то есть защищает от нарушения последовательности выполнения команд.

) Автоматизация предусматривает автоматическое выполнение программированием и откладки, доступ к памяти прикладных программ и баз данных.

Быстродействие ОС

Увеличение быстродействия ОС КС можно добиться по средствам трех “M”:

.) Многопоточность - обработка основана на том, что микропроцессор работает с большой скоростью, независимо от того, обрабатывает ли он какую-нибудь задачу или нет. То есть какое-то время микропроцессор работает в ”холостую”. Например когда программа ждет, сравнительно медленно работающее оборудование.

Для увеличения скорости работы, при многопоточной обработки весь процесс подразделяется на отдельные потоки, которые представлены ОС.

) Многозадачность - одна из особенностей современных ОС, которые предусматривают одновременно выполнять несколько процессов, эта способность создается благодаря высокой скорости работы процессора, и способности его выделять разным задачам интервалы времени, не обязательно завершая выполнение одного процесса до начала другого.

) Многопроцессорность - в сетях где большие объемы трафика, как правило используются несколько процессоров: десятки, даже сотни процессоров, т.е. рабочая нагрузка КС распределяется по разным процессорам одновременно. Различают две разновидности многопроцессорной обработки:

а) Асиметричная (ASMP - Asymmetric Multiprocessing) - нагрузка распределяется между процессорами, что одни обслуживают только ОС, а остальные - приложение

б) Симметричная (SMP - Symmetric Multiprocessing) - любой процесс требующий обработки поручается любому свободному процессору.

3. Основные системы построения сетей Token Ring c STP

Существует 2 стандарта 4 Мбит/с и 16 Мбит/с. В настоящее время используется стандарт 16 Мбит/с. Являясь одной из первых кольцевых сетей с маркерным методом доступа, сеть Token Ring оказала существенное влияние на идеологию построения локальных сетей. Следует заметить, что сеть Token Ring является кольцевой по способу организации передающей среды, ноне по топологии, которая может быть достаточно сложной и больше напоминает звездообразную структуру, чем кольцевую. Внешне ее бывает трудно отличить от таких сетей, как Ethernet, ArcNet и им подобным. Сравнивая маркерный метод доступа в сетях с шинной и кольцевой топологией, необходимо отметить два основных отличия. Во-первых, в направлении по кольцу, независимо от месторасположения станций. Во-вторых, протокол IEEE 802.5 предусматривает полный цикл вращения кадра данных, то есть кадр должен возвращаться его отправителю. При этом получатель дополняет кадр информацией о его приеме. Только после этого маркер "освобождается" и передается дальше по кольцу. Из кольцевых сетей с маркерным методом доступа наиболее распространенной является сеть Token Ring. Эта сеть разработана фирмой IBM. По своей популярности Token Ring, пожалуй, не уступает сети Ethernet. Фирма IBM провела большую работу по стандартизации сети Token Ring, в результате чего она была принята сначала в качестве стандарта IEEE 802.5, а затем и международного стандарта ISO/DIS 8802/5. Стандартом определена скорость передачи 4 Мбит/с. В настоящее время используются сети со скоростью 16 Мбит/с.

В Token Ring кабели подключаются по схеме “звезда”, однако он функционирует как логическое кольцо.

В логическом кольце циркулирует маркер (небольшой кадр специального формата, называемый иногда токеном), когда он доходит до станции, то она захватывает канал. Маркер всегда циркулирует в одном направлении. Узел, получающий маркер у ближайшего вышерасположенного активного соседа передает его ниже расположенному. Каждая станция в кольце получает данные из занятого маркера и отправляет их (в точности повторяя маркер) соседнему узлу сети. Таким способом данные циркулируют по кольцу до тех пор, пока не достигнут станции - адресата.

В свою очередь эта станция сохраняет данные и передает их протоколам верхнего уровня а кадр передает дальше (поменяв в нем два бита - признак получения). Когда маркер достигает станции-отправителя - он высвобождается, и далее процесс продолжается аналогично.

В сетях Token Ring 16 Мб/с используется также несколько другой алгоритм доступа к кольцу, называемый алгоритмом “раннего освобождения маркера” (Early Token Release). В соответствии с ним станция передает маркер доступа следующей станции сразу же после окончания передачи последнего бита кадра, не дожидаясь возвращения по кольцу этого кадра с битом подтверждения приема. В этом случае пропускная способность кольца используется более эффективно и приближается к 80 % от номинальной.

4. Протоколы передачи информации в сети Token Ring c STP

В различных сетях существуют различные процедуры обмена данными в сети. Эти процедуры называются протоколами передачи данных, которые описывают методы доступа к сетевым каналам данных.

В отличие от сетей с csma/cd доступом (например, Ethernet) в IEEE 802.5 гарантируется стабильность пропускной способности (нет столкновений). Сети Token Ring имеют встроенные средства диагностики, они более приспособлены для решения задач реального времени, но в то же время более дороги.

Когда информационный блок циркулирует по кольцу, маркер в сети отсутствует (если только кольцо не обеспечивает "раннего освобождения маркера"), поэтому другие станции, желающие передать информацию, вынуждены ожидать.Таким образом по сети может в один момент времени передаваться только один пакет следовательно, в сетях Token Ring не может быть коллизий. Если обеспечивается раннее высвобождение маркера, то новый маркер может быть выпущен после завершения передачи блока данных.

Сети Тоkеn Ring используют сложную систему приоритетов, которая позволяет некоторым станциям с высоким приоритетом, назначенным пользователем, более часто пользоваться сетью. Блоки данных Token Ring содержат два поля, которые управляют приоритетом: поле приоритетов и поле резервирования.

Только станции с приоритетом, который равен или выше величины приоритета, содержащейся в маркере, могут завладеть им. После того, как маркер захвачен и изменен( в результате чего он превратился в информационный блок), только станции, приоритет которых выше приоритета передающей станции, могут зарезервировать маркер для следующего прохода по сети. При генерации следующего маркера в него включается более высокий приоритет данной резервирующей станции. Станции, которые повышают уровень приоритета маркера, должны восстановить предыдущий уровень приоритета после завершения передачи. Когда кольцо установлено, интерфейс каждой станции хранит адреса предшествующей станции и последующей станции в кольце. Периодически держатель маркера рассылает один из SOLICIT_SUCCESSOR кадр, предлагая новым станциям присоединиться к кольцу. В этом кадре указаны адрес отправителя и адрес следующий за ним станции в кольце. Станции с адресами в этом диапазоне адресов могут присоединиться к кольцу. Таким образом сохраняется упорядоченность ( по возрастанию) адресов в кольце. Если ни одна станция не откликнулась на SOLICIT_SUCCESSOR кадр, то станция- обладатель маркера закрывает окно ответа и продолжает функционировать как обычно. Если есть ровно один отклик, то откликнувшаяся станция включается в кольцо и становиться следующей в кольце. Если две или более станции откликнулись, то фиксируется коллизия. Станция-обладатель маркера запускает алгоритм разрешения коллизий, посылая кадр RESOLVE_CONTENTION. Этот алгоритм - модификация алгоритма обратного двоичного счетчика на два разряда. У каждой станции в интерфейсе есть два бит, устанавливаемых случайно. Их значения 0,1,2 и 3.

Значение этих битов определяют величину задержки, при отклике станции на приглашение подключиться к кольцу. Значения этих бит переустанавливаются каждые 50mсек. Процедура подключения новой станции к кольцу не нарушает наихудшее гарантированное время для передачи маркера по кольцу. У каждой станции есть таймер, который сбрасывается когда станция получает маркер.

Прежде чем он будет сброшен его значение сравнивается с некоторой величиной. Если оно больше, то процедура подключения станции к кольцу не запускается. В любом случае за один раз подключается не более одной станции за один раз.

Теоретически станция может ждать подключения к кольцу сколь угодно долго, на практике не более нескольких секунд. Однако, с точки зрения приложений реального времени это одно из наиболее слабых мест 802.4.

Отключение станции от кольцо очень просто. Станция Х с предшественником S и последователем Р шлет кадр SET_SUCCESSOR, который указывает Р что отныне его предшественником является S. После этого Х прекращает передачу. Инициализация кольца - это специальный случай подключения станции к кольцу. В начальный момент станция включается и слушает канал. Если она не обнаруживает признаков передачи, то она генерирует CLAIM_TOKEN маркер.

Если конкурентов не обнаружилось, то она генерирует маркер сама и устанавливает кольцо из одной станции. Периодически она генерирует кадры SOLICIT_SUCCESSOR, приглашая другие станции включиться в кольцо. Если в начальный момент сразу две станции были включены, то запускается алгоритм обратного двоичного счетчика с двумя разрядами

Адаптеры Token Ring поддерживают метод доступа Token Ring (маркерное кольцо) и обеспечивают скорости передачи 4 Мбит/с или 16 Мбит/с. Ниже перечислены основные положения этого метода:

станции подключаются к сети по топологии кольцо,

все станции, подключённые к сети, могут передавать данные, только получив разрешение на передачу (маркер),

в любой момент времени только одна станция в сети обладает таким правом.

Этот метод доступа излагается при обсуждении кадров Token Ring в конце данного пункта.

В сетях Token Ring используются три основных типа кадров (рисунок 2.29):/Command Frame (кадр управления/данные),(маркер),(кадр сброса).

Цифры на рисунке обозначают длины полей кадров (в байтах). Здесь введены следующие обозначения полей:(Start Delimiter) - признак начала кадра. Синхронизирует работу приёмника и передатчика, подготавливает станцию к приёму пакета.(Access Control) - поле управления доступом. Содержит поле приоритета Р (3 бита), поле маркера Т (1 бит), поле монитора М (1 бит) и рабочее поле R (3 бита). Поясним назначение полей Р, Т и М

Поле Р (Priority). Предположим, что станции WS1, WS2 и WS3 связаны в кольцо. Пусть у станции WS2 есть данные для передачи с приоритетом 5. В это время через неё проходит кадр (например, данные от WS1), где в поле AC установлен приоритет 3 (поле Р). Тогда WS2 запоминает старое значение Р (=3), устанавливает в Р новое значение (=5, т. е. более высокий уровень) и ретранслирует кадр дальше. По кольцу этот кадр возвращается к станции-отправителю WS1. Она, обнаружив в поле Р значение 5, формирует кадр Token (маркер) со значением поля Р, равным 5, и направляет этот кадр по кольцу. Таким образом, станция WS2 получит право на передачу, поскольку у неё самый высокий приоритет. Передав данные, WS2 сформирует и передаст кадр Token с приоритетом 5. Если ни одна станция в сети не имеет данных с таким приоритетом, то маркер (кадр Token) вернётся на WS2. Эта станция "вспомнит", что в своё время увеличила приоритет, и уменьшит его, изменив значение Р в поле AС с 5 на 3. Затем маркер с приоритетом 3 будет передан в сеть.

Поле Т (Token). Этот бит равен 1, если это кадр Data/Command Frame, и равен 0, если это кадр Token.

Поле М (Monitor). При первом проходе станция-монитор устанавливает этот бит в 1. Если затем она получает по кольцу этот кадр с битом М=1, то считает, что станция-отправитель неисправна и удаляет этот кадр из сети.< /LI>(Frame Control) - поле кадра управления. Для кадра управления в этом поле содержится команда управления. Это может быть команда инициализации кольца, команда проверки адресов устройств и т. п.

DA (Destination Address) - адрес приёмника. Это может быть broadcast-, multicast- или unicast-адрес.(Source Address) - адрес источника.

Пакет - это данные, сформированные каким-либо протоколом (например, IPX). Максимальная длина пакета зависит от загрузки сети. При большой загрузке сети, когда многие станции имеют данные для передачи, интервал времени между получениями маркера станцией будет увеличиваться. В такой ситуации станции автоматически уменьшают максимальный размер пакета, поэтому каждая станция будет передавать свои данные за более короткий промежуток времени и, следовательно, уменьшится время получения (ожидания) маркера или время доступа станции к среде. Когда загрузка сети уменьшается, максимальный размер пакета динамически увеличивается. Этот механизм позволяет устойчиво работать сети Token Ring при пиковых нагрузках.(Frame Check Sequence) - контрольная сумма, вычисленная для полей FC, DA, SA, Пакет.(End Delimiter) - конечный ограничитель кадра. Кроме этого один бит в этом поле используется для индикации, что этот кадр является последним в логической цепочке. Ещё один бит изменяется приёмником при обнаружении ошибки после сравнения контрольной суммы со значением в поле FCS.

FS (Frame Status) - поле статуса кадра. Состоит из полей A (Address Resolution) и C (Frame Copied). Передающая станция устанавливает эти поля в 0, а принимающая станция изменяет их в соответствии с результатами приёма кадра и ретранслирует кадр дальше по сети. Когда кадр возвращается на станцию-передатчик, выполняется проверка полей A и С (таблица 2.12), и кадр удаляется из кольца.

Способ сигнализации «Quartet Signaling» в данном протоколе столкновений не возникают и несет ответственность за порядок передачи на соседний модуль т.е если узел должен передать данные он сначала посылает коммутатору запрос на передачу,если сеть свободна то концентратор подтверждает запрос. После получения данных коммутатор декодирует их что бы получить адрес узла назначения. Этот протокол гарантирует что данные будут известны только 2 узлам передающему и передаваемому.

Для этого станция удаляет маркер из кольца, формирует кадр данных и передаёт его следующей станции. В сети Token Ring все станции принимают и ретранслируют все кадры, проходящие по кольцу. При приёме станция сравнивает поле адреса кадра (DA) с собственным адресом. Если адреса не совпадают, то кадр передаётся далее по кольцу без изменений. Если адреса совпадают, или принят кадр с broadcast-адресом, то содержимое копируется в буфер станции, а по результатам приёма вносятся изменения в поле статуса кадра (FS).

Затем кадр передаётся далее по сети и, таким образом, возвращается на станцию-отправитель.

Получив кадр, станция-отправитель проверяет поле статуса кадра (FS) формирует маркер и передаёт его следующей станции. Таким образом, следующая станция получает право на передачу данных.

5. Используемые топологии сети Token Ring c STP

еть Token Ring имеет топологию звезды, все оконечные станции которой подключаются к общему устройству (MSAU - MultiStation Access Unit)

В общем это:

физическая топология - "звезда";

логическая топология - "кольцо";

узкополосный тип передачи;

скорость передачи 4 и 16 Мбит/с;

соединение неэкранированной и экранированной витой пары с STP;

метод доступа - маркерное кольцо.

Топологи используемая в этой технологии «звездно-кольцевая» она изображена на рисунке ниже.

Рис. 7

Периферийные ЭВМ подключаются к блокам msau по схеме звезда, а сами MSAU соединены друг с другом по кольцевой схеме. Возможна реализация схемы звезда и иным способом. Здесь объединяющую функцию выполняет блок концентратора. См на рисунок ниже.

Рис. 8

Логическое кольцо в этой сетевой архитектуре организуется концентратором, который называется модулем множественного доступа (MSAU - MultyStation Access Unit) или интеллектуальным модулем множественного доступа (SMAU - Smart Multystation Access Unit). Кабели (витые пары) соединяют клиентов и серверов с MSAU, который работает по принципу других концентраторов.

При соединении компьютеров он включается в кольцо (рис. ниже). IBM MSAU имеет 10 портов соединения. К нему можно подключить до 8 компьютеров. Каждое кольцо может содержать до 33 концентраторов. См рис ниже.

Рис. 9

Общее число компьютеров - 72 при использовании UTP и 260 при использовании STP.

Другие производители выпускают MSAU большей емкости (в зависимости от модели). Расширение логического кольца на базе концентраторов позволяет увеличить общее количество узлов в сети (рис. ниже).

Рис. 10

При этом расстояние между концентраторами до 45м (152м), а каждая РС соединяется с MSAU: при UTP - сегментом до 45м; при STR - сегментом до 100м. Расстояние между MSAU можно увеличить до 365, установив репитер.

6. Способы передачи данных в сети Token Ring c STP

В сети используются кадры управления доступом к среде и информационные кадры (код типа кадра =01). Имеется 25 разновидностей. Сюда входят кадры инициализации, управления средой, сообщения об ошибках и кадры управления рабочими станциями. Общий формат заголовка кадра Token Ring представлен на рис. Размер поля данных, следующего за адресом отправителя, может иметь произвольную длину, в том числе и нулевую. В это поле может быть вложен пакет другого протокола, например:

начальный ограничитель (Start Delimiter, SD);

управление кадром (Frame Control, PC);

адрес назначения (Destination Address, DA);

адрес источника (Source Address, SA);

данные (INFO);

контрольная сумма (Frame Check Sequence, PCS);

конечный ограничитель (End Delimeter, ED);

Рис. 11

Вслед за адресом отправителя следует информация управления доступом к среде. Кадры управления доступом служат исключительно для целей управления сетью и не передаются через бриджи и маршрутизаторы. Управляющая информация включает в себя основной вектор и несколько субвекторов. Основной вектор задает тип УДС-кадра (или команду) и типы (или классы) станций отправителя и получателя, всего 4 байта. Субвекторы содержат информацию об адресе соседа-предшественника, номер физического отвода кабеля и пр. (3 и более байт). Представлен формат основного вектора.

Рис. 12

Технология Token Ring позволяет использовать для соединения конечных станций и концентраторов различные типы кабеля: STP Туре 1, UTP Туре 3, UTP Туре 6, а также волоконно-оптический кабель. При использовании экранированной витой пары STP Type 1 из номенклатуры кабельной системы IBM в кольцо допускается объединять до 260 станций при длине ответвительных кабелей до 100 м, а при использовании неэкранированной витой пары максимальное количество станций сокращается до 72 при длине ответвительных кабелей до 45 м.

7. Используемые средства связи в сети Token Ring c STP

- это кабель с сопротивлением переменному электрическому току 150 Ом, поддерживающий дополнительное экранирование, которое защищает сигналы от электромагнитных помех (EMI), вызываемых электрическими двигателями, электропроводкой и другими источниками. Изначально применяемый в сетях Token Ring, STP также предназначен для прокладки в тех местах, где кабель UTP не может обеспечить достаточной помехозащищенности.

Экранирование в кабеле STP - не просто дополнительный слой изоляции, как полагают многие. Напротив, провода внутри кабеля заключены в металлическую оплетку, которая имеет такую же проводимость, как и медные провода. Когда эта оплетка правильно заземлена, она, как антенна, преобразует окружающие шумы в электрический ток. Этот ток наводит равные по значению и обратные по направлению токи в витых парах. Противоположно направленные токи нейтрализуют друг друга, в результате помехи не воздействуют на сигнал, передаваемый по проводам.

Баланс между противоположно направленными токами очень важен. Если токи не совпадают полностью, то суммарный ток может быть интерпретирован как шум и сможет повлиять на качество сигнала, передаваемого по кабелю. Чтобы токи были сбалансированы, соединение, взятое в целом, должно быть экранировано и правильно заземлено. Это условие означает, что все компоненты, вовлеченные в соединение, такие как коннекторы и настенные розетки, должны быть также экранированы. Также жизненно важно, чтобы кабель был проложен правильно, то есть, как следует заземлен, и экранирование было без разрывов и повреждений.

Защита от электромагнитных помех в кабеле STP может осуществляться экранами двух типов: фольгой или металлической сеткой. Металлическая сетка - более эффективный экран, но она увеличивает вес, диаметр и стоимость кабеля. Кабель, экранированный фольгой, иногда называется загороженной витой парой(ScTP, sctrrnrd twisted-pair) или фольгтрованной витой парой (FTP, foil twisted-pair). Он тоньше, легче и дешевле, но вместе с тем менее эффективен, и его легче повредить. В обоих случаях процесс монтажа STP сложнее по сравнению с UTP, так как надо стараться не перегнуть кабель слишком сильно, чтобы избежать повреждения экрана. Кабель также может быть подвержен повышенному затуханию и другим проблемам из-за того, что эффективность экранирования сильно зависит от множества факторов, включая материал и толщину экрана, тип и местоположение источника EMI, способ заземления Классификация кабелей STP была определена IBM в ходе разработки протокола Token Ring. Согласно стандарту кабель STP делится на несколько типов:Сети Token Ring на базе STP используют большие, запатентованные коннекторы IDC (IBM Data Connector). Однако, в связи с отсутствием кабеля в бухтах и сложностью процесса прокладки большинство современных сетей Token Ring применяют совместно с ними стандартный кабель UTP из четырех пар вместо STP.

8. Программное обеспечение в сети Token Ring c STP

Существует два подхода к организации сетевого программного обеспечения:

сети с централизованным управлением;

одноранговые сети.

Сети с централизованным управлением

В сети с централизованным управлением выделяются одна или несколько машин, управляющих обменом данными по сети. Диски выделенных машин, которые называются файл-серверами, доступны всем остальным компьютерам сети. На файл-серверах должна работать специальная сетевая операционная система. Обычно это мультизадачная операционная система, использующая защищенный режим работы процессора.

Остальные компьютеры называются рабочими станциями. Рабочие станции имеют доступ к дискам файл-сервера и совместно используемым принтерам, но и только. С одной рабочей станции вы не сможете работать с дисками других рабочих станций. С одной стороны, это хорошо, так как пользователи изолированы друг от друга и не могут случайно повредить чужие данные. С другой стороны, для обмена данными пользователи вынуждены использовать диски файл-сервера, создавая для него дополнительную нагрузку.

Есть, однако, специальные программы, работающие в сети с централизованным управлением и позволяющие передавать данные непосредственно от одной рабочей станции к другой минуя файл-сервер. Пример такой программы - программа NetLink. После ее запуска на двух рабочих станциях вы можете передавать файлы с диска одной станции на диск другой, аналогично тому, как вы копируете файлы из одного каталога в другой при помощи программы Norton Commander.

На рабочих станциях должно быть установлено специальное программное обеспечение, часто называемое сетевой оболочкой. Это обеспечение работает в среде той операционной системы, которая используется на данной рабочей станции, - DOS, OS/2 и т. Файл-серверы могут быть выделенными или невыделенными. В первом случае файл-сервер не может использоваться как рабочая станция и выполняет только задачи управления сетью. Во втором случае параллельно с задачей управления сетью файл-сервер выполняет обычные пользовательские программы в среде MS-DOS.

Однако при этом снижается производительность файл-сервера и надежность работы всей сети в целом, так как ошибка в пользовательской программе, запущенной на файл-сервере, может привести к остановке работы всей сети. Мы не рекомендуем вам использовать невыделенные файл-серверы, особенно в ответственных случаях.

Одноранговые сети

Одноранговые сети не содержат в своем составе выделенных серверов. Функции управления сетью передаются по очереди от одной рабочей станции к другой.

Как правило, рабочие станции имеют доступ к дискам (и принтерам) других рабочих станций. Такой подход облегчает совместную работу групп пользователей, но в целом производительность сети может понизиться.

Если сеть объединяет несколько рабочих станций, которые должны совместно использовать такие ресурсы, как лазерный принтер, файлы на дисках, и если требуется интенсивный обмен данными между рабочими станциями, имеет смысл рассмотреть возможность применения недорогих одноранговых сетевых средств.

Одно из достоинств одноранговых сетей - простота обслуживания. Если для обслуживания сети на базе Novell NetWare, как правило, требуется системный администратор, то для поддержания работоспособности одноранговой сети вам не потребуется специально выделенный для этого сотрудник.

Наиболее распространены такие одноранговые сети, как Artisoft LANtastic, LANsmart компании D-Link Systems, Invisible Software NET-30 и Web NOS компании Webcorp. Все эти сетевые средства реализованы как надстройки над операционной системой MS-DOS.

Фирма Novell предложила свое решение для организации работы групп пользователей.

Ее сетевая оболочка Novell NetWare Lite напоминает одноранговые сетевые оболочки тем, что для организации сети не требуются выделенные файл-серверы, облегчено совместное использование дисков и принтеров. Novell NetWare Lite запускается как набор резидентных программ в среде MS-DOS.Однако Novell NetWare Lite не является одноранговой сетью. Скорее это сеть с централизованным управлением, в которой может быть несколько невыделенных или выделенных серверов.

В целом Novell NetWare Lite представляется нам достаточно удачным решением для организации небольших сетей. В Настоящее время используется OES 2 (Open Enterprise Server) выпущенный в 2007 году и используют его и по сей день. Она также подходит для технологии сети Token Ring.

9. Технология развертывания и монтажа сети Token Ring c STP

Ring логическое кольцо было реализовано на физической звездообразной топологии и кабеле типа экранированная витая пара (STP)

Сети Token Ring на базе STP используют большие, запатентованные коннекторы IDC (IBM Data Connector). Однако, в связи с отсутствием кабеля в бухтах и сложностью процесса прокладки большинство современных сетей Token Ring применяют совместно с ними стандартный кабель UTP из четырех пар вместо STP.

Стандарт Token Ring фирмы IBM изначально предусматривал построение связей в сети с помощью концентраторов, называемых MAU (Multistation Access Unit), или MSAU (Multi-Station Access Unit), то есть устройствами многостанционного доступа.

Рис. 13 - MAU (Multistation Access Unit)

Концентратор Token Ring может быть активным или пассивным. Пассивный концентратор просто соединяет порты внутренними связями так, чтобы станции, подключаемые к этим портам, образовали кольцо. Ни усиление сигналов, ни их ресинхронизацию пассивный концентратор MSAU не выполняет.

Такое устройство можно считать простым кроссовым блоком за одним исключением - MSAU обеспечивает обход какого-либо порта, когда присоединенный к этому порту компьютер выключают. Такая функция необходима для обеспечения связности кольца вне зависимости от состояния подключенных компьютеров. Обычно обход порта выполняется за счет релейных схем, которые питаются постоянным током от сетевого адаптера, а при выключении сетевого адаптера нормально замкнутые контакты реле соединяют вход порта с его выходом.

Активный концентратор выполняет функции регенерации сигналов и поэтому иногда называется повторителем, как в стандарте Ethernet. Возникает вопрос - если концентратор является пассивным устройством, то каким образом обеспечивается качественная передача сигналов на большие расстояния, которые возникают при включении в сеть нескольких сот компьютеров? Ответ состоит в том, что роль усилителя сигналов в этом случае берет на себя каждый сетевой адаптер, а роль ресинхронизирующего блока выполняет сетевой адаптер активного монитора кольца. Каждый сетевой адаптер Token Ring имеет блок повторения, который умеет регенерировать и ресинхронизировать сигналы, однако последнюю функцию выполняет в кольце только блок повторения активного монитора. Блок ресинхронизации состоит из 30-битного буфера, который принимает манчестерские сигналы с несколько искаженными за время оборота по кольцу интервалами следования. При максимальном количестве станций в кольце (260) вариация задержки циркуляции бита по кольцу может достигать 3-битовых интервалов. Активный монитор "вставляет" свой буфер в кольцо и синхронизирует битовые сигналы, выдавая их на выход с требуемой частотой. В общем случае сеть Token Ring имеет комбинированную звездно-кольцевую конфигурацию. Конечные узлы подключаются к MSAU по топологии звезды, а сами концентраторы MSAU объединяются через специальные порты Ring In (RI) и Ring Out (RO) для образования магистрального физического кольца.

Планирование сетей Token Ring - это отдельная, наиболее важная часть процесса создания всей сети. Необходимо знать точное расположение каждого абонентского отвода кабеля, при этом лучше, если оно будет отмечено на плане этажа, с тем, чтобы его можно было отследить во время прокладки сети.

Через стены и потолки могут быть пропущены сотни идентичных кабелей, и если не будет соответствующей организации дела, то результатом явится беспорядок. План должен быть разработан с учетом требований протокола Канального уровня, правил эксплуатации здания и пожарной. Непосредственно сам процесс протяжки кабеля начинается от места размещения сервера или информационного центра, где планируется разместить коммутационную панель. Когда кабель протянут, необходимо его оконцевать и подсоединить MAU,потом вести его непосредственно к компьютеру.

После окончания протяжки кабеля сети Token Ring c STP нужно протестировать правильность соединений. Это можно сделать.

Просто подключив к сети компьютер, но профессиональные монтажники кабельной сети применяют специальное оборудование для тестирования, которое оценивает качество соединения. Если так называемый «тестер» не выдал не каких ошибок в сбоях сети Token Ring c STP то можно подключать к компьютеру.

10. Техника безопасности

Введение

Настоящая инструкция предназначена для предотвращения неблагоприятного воздействия на человека вредных факторов, сопровождающих работы со средствами вычислительной техники и периферийным оборудованием.

Настоящая инструкция подлежит обязательному и безусловному выполнению. За нарушение инструкции виновные несут ответственность в административном и судебном порядке в зависимости от характера последствий нарушения.

Соблюдение правил безопасной работы является необходимым условием предупреждения производственного травматизма.

. Общие положения

Область распространения и порядок применения инструкции: Настоящая инструкция распространяется на персонал, эксплуатирующий средства вычислительной техники и периферийное оборудование. Инструкция содержит общие указания по безопасному применению электрооборудования в учреждении. Требования настоящей инструкции являются обязательными, отступления от нее не допускаются. Требования к персоналу, эксплуатирующему средства вычислительной техники и периферийное оборудование:

К самостоятельной эксплуатации электроаппаратуры допускается только специально обученный персонал не моложе 18 лет, пригодный по состоянию здоровья и квалификации к выполнению указанных работ.

Перед допуском к работе персонал должен пройти вводный и первичный инструктаж по технике безопасности с показом безопасных и рациональных примеров работы. Затем не реже одного раза в 6 месяцев проводится повторный инструктаж, возможно, с группой сотрудников одинаковой профессии в составе не более 20 человек.

Внеплановый инструктаж проводится при изменении правил по охране труда, при обнаружении нарушений персоналом инструкции по технике безопасности, изменении характера работы персонала.

В помещениях, в которых постоянно эксплуатируется электрооборудование должны быть вывешены в доступном для персонала месте. Инструкции по технике безопасности, вторых также должны быть определены действия персонала в случае возникновения аварий, пожаров, электротравм. Руководители структурных подразделений несут ответственность за организацию правильной и безопасной эксплуатации средств вычислительной техники и периферийного оборудования, эффективность их использования; осуществляют контроль за выполнением персоналом требований настоящей инструкции по технике безопасности.

. Виды опасных и вредных факторов

Эксплуатирующий средства вычислительной техники и периферийное оборудование персонал может подвергаться опасным и вредным воздействия, которые по природе действия подразделяются на следующие группы: поражение электрическим током, механические повреждения электромагнитное излучение, инфракрасное излучение, опасность пожара, повышенный уровень шума и вибрации

Для снижения или предотвращения влияния опасных и вредных факторов необходимо соблюдать: Санитарные правила и нормы, гигиенические требования к видеодисплейным терминалам, персональным электронно-вычислительным машинам и организации работы (Утверждено Постановлением Госкомсанэпиднадзора России от 14 июля 1996 г. N 14 СанПиН 2.2.2.542-96), и Приложение 1,2

. Требования электробезопасности

При пользовании средствами вычислительной техники и периферийным оборудованием каждый работник должен внимательно и осторожно обращаться с электропроводкой, приборами и аппаратами и всегда помнить, что пренебрежение правилами безопасности угрожает и здоровью, и жизни человека

Во избежание поражения электрическим током необходимо твердо знать и выполнять следующие правила безопасного пользования электроэнергией:

. Необходимо постоянно следить на своем рабочем месте за исправным состоянием электропроводки, выключателей, штепсельных розеток, при помощи которых оборудование включается в сеть, и заземления. При обнаружении неисправности немедленно обесточить электрооборудование, оповестить администрацию. Продолжение работы возможно только после устранения неисправности.

. Во избежание повреждения изоляции проводов и возникновения коротких замыканий не разрешается:) вешать что-либо на провода;

б) закрашивать и белить шнуры и провода;

в) закладывать провода и шнуры за газовые и водопроводные трубы, за батареи

отопительной системы;

г) выдергивать штепсельную вилку из розетки за шнур, усилие должно быть приложено к корпусу вилки.

. Для исключения поражения электрическим током запрещается:

а) часто включать и выключать компьютер без необходимости;

б) прикасаться к экрану и к тыльной стороне блоков компьютера;

в) работать на средствах вычислительной техники и периферийном оборудовании мокрыми руками;

г) работать на средствах вычислительной техники и периферийном оборудовании, имеющих нарушения целостности корпуса, нарушения изоляции проводов, неисправную индикацию включения питания, с признаками электрического напряжения на корпусе

д) класть на средства вычислительной техники и периферийном оборудовании посторонние предметы.

. Запрещается под напряжением очищать от пыли и загрязнения электрооборудование.

. Запрещается проверять работоспособность электрооборудования в неприспособленных для эксплуатации помещениях с токопроводящими полами, сырых, не позволяющих заземлить доступные металлические части.

. Ремонт электроаппаратуры производится только специалистами-техниками с соблюдением необходимых технических требований.

. Недопустимо под напряжением проводить ремонт средств вычислительной техники и периферийного оборудования.

. Во избежание поражения электрическим током, при пользовании электроприборами нельзя касаться одновременно каких-либо трубопроводов, батарей отопления, металлических конструкций, соединенных с землей.

.|При пользовании электроэнергией в сырых помещениях соблюдать особую осторожность.

.При обнаружении оборвавшегося провода необходимо немедленно сообщить об этом администрации, принять меры по исключению контакта с ним людей. Прикосновение к проводу опасно для жизни.

. Спасение пострадавшего при поражении электрическим током главным образом зависит от быстроты освобождения его от действия током.

Во всех случаях поражения человека электрическим током немедленно вызывают врача.

До прибытия врача нужно, не теряя времени, приступить оказанию первой помощи пострадавшему

Необходимо немедленно начать производить искусственное дыхание, наиболее эффективным из которых является метод - рот в рот или рот в нос, а также наружный массаж сердца.

Искусственное дыхание пораженному электрическим током производится вплоть до прибытия врачаю

. Требования по обеспечению пожарной безопасности

На рабочем месте запрещается иметь огнеопасные вещества. В помещениях запрещается:

а) зажигать огонь;

б) включать электрооборудование, если в помещении пахнет газом;

в) курить;

г) сушить что-либо на отопительных приборах;

д) закрывать вентиляционные отверстия в электроаппаратуре

Источниками воспламенения являются:

а) искра при разряде статического электричества

б) искры от электрооборудования

в) искры от удара и трения

г) открытое пламя

При возникновении пожароопасной ситуации или пожара персонал должен немедленно принять необходимые меры для его ликвидации, одновременно оповестить о пожаре администрацию.

Помещения с электрооборудованием должны быть оснащены огнетушителями типа ОУ-2 или ОУБ-3.

Рис. 14

Рис. 15

Рис. 16

Заключение

Мною были составлены чертежи расположения элементов сети Token Ring c STP, развернутая схема, и топология сети.

Литература

1.      О.Т. Олифер, И.А. Олифер “Компьютерные сети”.

.        И.И. Попов, Н.В. Максимов “Компьютерные сети”.

.        В. Столингс «Современные компьютерные сети».

.        С.Ю. Клименко «Компьютерные сети за один день».

.        http://book.itep.ru/4/41/802_412.htm#4

.        http://www.quantor.ru/services/scs/what_is_scs/

.        http://www.frolov-lib.ru/books/bsp.old/v07/ch3.htm

.        http://www.bibliofond.ru/view.aspx?id=3394

Похожие работы на - Разработка компьютерной сети по технологии Token Ring c STP с подключением к Интернет

 

Не нашли материал для своей работы?
Поможем написать уникальную работу
Без плагиата!
Без нейросетей!