Механическое движение. Траектория движения. Пройденный путь. Дифракция волн
Билет № 1
1. Механическое движение. Траектория движения.
Пройденный путь. Скорость движения. Ускорение движения. Тангенциальное
ускорение. Нормальное ускорение. Связь между ними.
2. Дифракция волн. Объяснение дифракции
волн на основе принципа Гюйгенса-Френеля. Дифракция Фраунгофера (дифракция
параллельных лучей) на одной щели и на дифракционной решетке. Дифракционный
спектр.
. Уравнение адиабатного (изоэнтропийного)
процесса. Работа газа, теплоемкость, изменение внутренней энергии, первый закон
термодинамики, изменение энтропии при адиабатном (изоэнтропийном) процессе.
1. Механическое движение тела - процесс, при
котором с течением времени изменяется положение тела или частей тела
относительно других тел.
Траектория - непрерывная линия, вдоль которой
движется материальная точка в заданной системе отчета.
Пройденный путь - S или L равен сумме длин
участков траектории, производимых материальной точкой за некоторое время T.
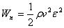
аn(сверху вектор) - нормальное ускорение -
характеризует скорость изменения направления движения. Нормальное ускорение
выражается через мгновенную скорость и радиус кривизны траектории:
аn=v²/r=w²*R=W*v
Скорость - кинетическая характеристика движения
материальной точки. Скорость - векторная величина, которая определяется как
быстротой движения, так и его направлением в данный момент времени.
Тангенциальное ускорение -
компонента ускорения, направленная по касательной к траектории
<#"669580.files/image001.gif">
Если на ширине щели укладывается четное число
таких зон, то в точке
(побочный фокус
линзы) будет наблюдаться минимум интенсивности, а если нечетное число зон, то
максимум интенсивности:
условие минимума
интенсивности
условие максимума
интенсивности
Картина будет симметричной относительно главного
фокуса точки
. Знак плюс и минус
соответствует углам, отсчитанным в ту или иную сторону.
Дифракция света на дифракционной решетке
Дифракционная картина на решетке определяется
как результат взаимной интерференции волн, идущих от всех щелей, т.е. в
дифракционной решетке осуществляется многолучевая интерференция когерентных
дифрагированных пучков света, идущих от всех щелей.
Обозначим: b - ширина щели решетки; а -
расстояние между щелями; d=a+b - постоянная дифракционной решетки.
Условие максимума для дифракционной решетки
будет иметь вид:
где m = ± 1, ± 2, ± 3, …
В точке F0 всегда будет наблюдаться нулевой или
центральный дифракционный максимум.
Так как свет, падающий на экран, проходит только
через щели в дифракционной решетке, то условие минимума для щели и будет
условием главного дифракционного минимума для решетки:
Количество щелей определяет световой поток через
решетку. Чем их больше, тем большая энергия переносится волной через нее. Кроме
того, чем больше число щелей, тем больше дополнительных минимумов помещается
между соседними максимумами. Следовательно, максимумы будут болееузкими и более
интенсивными.
3.
Адиабатный процесс - процесс, при котором отсутствует теплообмен между системой
и окружающей средой.
теплоемкость
идеального газа в адиабатическом процессе равна нулю.
Первый закон термодинамики -
при
обратимом адиабатическом процессе энтропия постоянна,
,
а при необратимом - возрастает.
Билет №2
1. Законы Ньютона. Силы в механике: сила
всемирного тяготения, силы тяжести, вес тела, сила упругости, сила Архимеда,
сила Стокса.
2. Стоячая волна как частный случай
интерференции. Уравнение плоской стоячей волны. Амплитуда, узлы и пучности
стоячей волны. Превращения энергии в стоячей волне. Образование стоячей волны в
сплошной ограниченной среде. Условия возникновения стоячей волны в стержне, в
столбе воздуха, в натянутой струне. Стоячая волна в сплошной ограниченной среде
как резонансное колебание.
. Уравнение изохорного процесса. Работа
газа, теплоемкость, изменение внутренней энергии, первый закон термодинамики,
изменение энтропии при изохорном процессе.
1. Первый закон Ньютона - всякая
материальная точка (тело) сохраняет состояние покоя или равномерного
прямолинейного движения до тех пор, пока взаимодействие со стороны других тел
не заставит её изменить это состояние (закон инерции).
Второй закон ньютона a=F/mF=ma (1H) - ускорение,
приобретаемое материальной точкой (телом), пропорционально вызывающей силе,
совпадает с ней по направлению и обратно пропорционально массе материальной
точки. F=dp/dt.
Третий закон Ньютона - всякое действие
материальных точек (тел) друг на друга носит характер взаимодействия: силы, с
которыми действуют друг на друга материальные точки всегда равны по модулю,
противоположно направлены и действуют вдоль прямой, соединяющей эти точки:
F(1,2)=-F(2,1).
Закон всемирного тяготения
R - расстояние между телами.
Сила тяжести (Fт = mg) - сила с которой тело
притягивается к земле.
Вес тела - сила, с которой тело давит на
горизонтальную опору или растягивает вертикальный подвес (P=m(g+a)).
Сила упругости - сила, возникающая при
деформации тела и противодействующая этой деформации. В случае упругих
деформаций является потенциальной.
(упр)=-Kx.
Закон Архимеда - на тело, погружённое в жидкость
(или газ), действует выталкивающая сила, равная весу вытесненной этим телом
жидкости (или газа) (называемая силой Архимеда)
где
-
плотность жидкости (газа),
- ускорение
свободного падения, а
- объём
погружённого тела (или часть объёма тела, находящаяся ниже поверхности).
Закон Стокса - силы трения, действующие на
сферические объекты с очень маленькими числами Рейнольдса в непрерывной вязкой
жидкости, решая уравнение Навье - Стокса
§
- сила трения, так
же называемая силой Стокса,
§
- радиус
сферического объекта,
§
- вязкость
жидкости,
§
- скорость
частицы.
2. Стоячей волной
называется волна, образующаяся в результате наложения двух бегущих навстречу
друг другу волн, имеющих одинаковую частоту и амплитуду. Стоячая волна это
частный случай интерференции волн. Примерами стоячей волны могут служить
колебания струны, колебания воздуха в органной трубе.
Уравнение стоячей волны.
Напишем уравнения двух плоских волн,
распространяющихся вдоль оси х в противоположных направлениях
Сложив вместе эти уравнения и преобразовав
результат по формуле для суммы косинусов, получим уравнение стоячей волны:
Преобразовав это уравнение, получим упрощенное
уравнение стоячей волны
В каждой точке этой волны происходят колебания
той же частоты w с амплитудой Aст=|2А*cos(2pх/l)|, зависящей от координаты х
рассматриваемой точки. В точках среды, где
амплитуда
колебаний достигает максимального значения, равного 2А. В точках среды, где
амплитуда
колебаний обращается в нуль. Точки, в которых амплитуда колебаний максимальна
(Аст=2А), называются пучностями стоячей волны, а точки, в которых амплитуда
колебаний равна нулю (Aст=0), называются узлами стоячей волны. Точки среды,
находящиеся в узлах, колебаний не совершают. В случае же стоячей волны переноса
энергии нет, так как падающая и отраженная волны одинаковой амплитуды несут
одинаковую энергию в противоположных направлениях. Поэтому полная энергия
результирующей стоячей волны, заключенной между узловыми точками, остается
постоянной. Лишь в пределах расстояний, равных половине длины волны, происходят
взаимные превращения кинетической энергии в потенциальную и обратно.
Для образования стоячей волны в ограниченной
среде нужно, как мы говорили, чтобы бегущая и отраженная волны усиливали друг
друга, в частности, в точке 0, где расположен источник. Тогда в момент времени
t фаза источника в отраженной волне должна быть ( at 2пк, и произвольное число
слагаемых 2я под знаком косинуса можно опустить.
Стоячие волны в струнах.
Если механическая волна, распространяющаяся в
среде, встречает на своем пути какое-либо препятствие, то она может резко
изменить характер своего поведения. Например, на границе раздела двух сред с
разными механическими свойствами волна частично отражается, а частично
проникает во вторую среду. Волна, бегущая по резиновому жгуту или струне
отражается от неподвижно закрепленного конца; при этом появляется волна,
бегущая во встречном направлении. В струне, закрепленной на обоих концах,
возникают сложные колебания, которые можно рассматривать как результат
наложения (суперпозиции) двух волн, распространяющихся в противоположных
направлениях и испытывающих отражения и переотражения на концах. Колебания
струн, закрепленных на обоих концах, создают звуки всех струнных музыкальных
инструментов.
Стоячие волны в воздушных столбах.
Трубка Кундта является простым приспособлением
для демонстрации стоячих звуковых волн. Трубка Кундта представляет собой
длинную стеклянную трубку, в которой насыпано немного легкого порошка
(например, пробковой пыли). Один конец трубки запаян, в другом с помощью пробки
укреплен медный стержень. Если потереть стержень наканифоленной замшей, то он
начнет скрипеть, а пыль расположится аккуратными кучками вдоль трубки. Такое
распределение обусловлено стоячими звуковыми волнами.
. Изохорный процесс -
это процесс квазистатического нагревания или охлаждения газа при постоянном
объеме V и при условии, что количество вещества ν
в сосуде остается неизменным
изменение внутренней энергии, работа газа
первый закон термодинамики Q = ΔU
= U (T2) - U (T1) (теплоемкость). Поскольку в системе при изохорном процессе
происходит теплообмен с внешней средой, то происходит изменение энтропии. Из
определения энтропии следует
электромагнитный волна тело атом
Билет № 3
1. Кинематика движения точки по окружности
и вращательного движения твердого тела, угловая скорость, угловое ускорение.
Связь линейной скорости с угловой и тангенциального ускорения с угловым.
2. Осуществление интерференции света с
помощью тонкой пластинки. Интерференционные полосы равной толщины и равного
наклона.
. Уравнение изобарного процесса. Работа
газа, теплоемкость, изменение внутренней энергии, первый закон термодинамики,
изменение энтропии при изобарном процессе.
1. Кинетической характеристикой
характеризующей быстроту и направление вращения твердого тела, является угловая
скорость.
Угловая скорость - векторная величина,
определяемая первой производной угла поворота по времени
.
Кинетической характеристикой, определяющей
быстроту изменения угловой скорости тела, является угловое ускорение
Связь линейной v и угловой ω
скоростей.
Из формулы для ω,
т.к. Δφ•R
= ΔS
в пределе получаем:
, отсюда
2.
Луч света, проходя через плёнку толщиной d, отразится дважды от внутренней и
наружной её поверхностей. Отражённые лучи будут иметь постоянную разность фаз,
равную удвоенной толщине плёнки, от чего лучи станут когерентными и будут
интерферировать.
Полосы равного наклона - чередующиеся тёмные и
светлые полосы (интерференционные полосы), возникающие при падении света на
плоскопараллельную пластину в результате интерференции лучей, отражённых от
верхней и нижней её поверхностей и выходящих параллельно друг другу.
Монохроматический свет, с длиной волны от точечного источника S (рис.),
находящегося в среде с показателем преломления n, падает на пластину толщиной h
и с показателем преломления при отражении луча SA от верхней и нижней граней
образуются параллельные лучи AD и СЕ.
Полосы равной толщины - интерференционные
полосы, наблюдаемые при освещении тонких оптически прозрачных слоев (плёнок)
переменной толщины пучком параллельных лучей и обрисовывающие линии равной
оптической толщины. П. р. т. возникают, когда интерференционная картина
локализована на самой плёнке
. Изобарным процессом называют квазистатический
процесс, протекающий при неизменным давлении p.
где V - объем газа при абсолютной температуре T,
V0 - объем газа при температуре 0 °С; коэффициент
,
равный
,
называется температурным коэффициентом объемного расширения газов.
Молярная теплоёмкость при постоянном давлении
обозначается как

Изменение внутренней энергии
первый закон термодинамики
изменение энтропии
или
Билет №4
1. Динамика вращательного движения тел
вокруг неподвижной оси: момент силы относительно оси, плечо силы, момент
инерции точечного тела и систем сил, основной закон динамики вращательного
движения.
2. Интерференция когерентных волн.
Амплитуда результирующего колебания при интенсивности двух волн, условия
максимумов и минимумов амплитуды. Интерференционный спектр.
. Уравнение изотермического процесса.
Работа газа, теплоемкость, изменение внутренней энергии, первый закон
термодинамики, изменение энтропии при изотермическом процессе.
. Момент силы - векторная физическая величина,
характеризуюая действие силы F на твердое тело, закрепленно в одной точке.
Момент силы относительно оси равен произведению
модуля силы на плечо F - сила, вызывающая вращение тела вокруг оси
- плечо силы (наименьшее расстояние от оси
вращения до линии действия силы.
=F*r*sinα=F*r=F*d.
Момент инреции тела - скалярная физическая
величина, равная отношению момента силы к вызываемому им угловому ускорению
Инреция системы материальных точек равна сумме
моментов инерции отдельных точек.
Основной закон динамики вращательного движения:
dL/dT=M ?
= Σ
mr²
называется моментом инерции системы. Основной закон динамики вращательного
движения равен dL/dt=mM ?
. Интерференция волн
- взаимное усиление или ослабление амплитуды двух или нескольких когерентных
волн, одновременно распространяющихся в пространстве. Сопровождается чередованием
максимумов и минимумов (пучностей) интенсивности в пространстве. Результат
интерференции (интерференционная картина) зависит от разности фаз
накладывающихся волн.
Амплитуда результирующих колебаний в любой точке
среды не зависит от времени. Разность хода волн равна целому числу длин волн (
иначе четному числу длин полуволн)
где
В этом случае волны в рассматриваемой точке
приходят с одинаковыми фазами и усиливают друг друга - амплитуда колебаний этой
точки максимальна и равна удвоенной амплитуде. Разность хода волн равна
нечетному числу длин полуволн
где
Волны приходят в рассматриваемую точку в
противофазе и гасят друг друга.
Амплитуда колебаний данной точки равна нулю.
. Изотермический процесс. Изотермическим
процессом называется процесс, протекающий при постоянной температуре T.
A
= (νRT)·
ln(V2/V1)
При изменении объема газу передается (или
отбирается) некоторое количество тепла. Следовательно, теплоемкость идеального
газа стремится к бесконечности
изменение
внутренней энергии газа в изотермическом процессе равно нулю
Первый закон термодинамики

Билет №5
1. Импульс тела. Закон сохранения импульса,
момент импулса тела относительно оси, закон сохранения импульса.
2. Энергетические характеристики волн:
объемная плотность энергии волны, поток энергии волны, плотность потока энергии
волны, интенсивность волны, спектральная плотность потока энергии излучения.
Уровень интенсивности, уровень звукового давления, уровень громкости звука.
. Внутренняя энергия и способы ее
изменения. Способы теплопередачи. Количество теплоты и теплоемкость. Первый
закон термодинамики как закон сохранения энергии. Классическая теория
теплоемкости, расхождение ее результатов с экспериментальными.
. Импульс тела - векторная величина, равная
произведению массы тела на скорость его движения и имеющая направление скорости
(p=mv).
векторная сумма импульсов двух тел до
взаимодействия равна векторной сумме их импульсов после взаимодействия - закон
сохранения импульса.
Момент импульса твердого тела относительно оси
равен произведению момента инерции тела относительно той же оси на угловую
скорость L=J*w.
Закон сохранения момента импульса (закон
сохранения углового момента) - векторная сумма всех моментов импульса
относительно любой оси для замкнутой системы остается постоянной в случае
равновесия системы. L=const. Момент импульса твердого тела относительно оси
равен произведению момента инерции тела относительно той же оси на угловую
скорость. L=J
/момент импульса
твердого тела относительно оси есть сумма моментов импульса отдельных частиц/
L=mwr WTF?!
. Объемная плотность
кинетической энергии волны
.
Объемная плотность потенциальной энергии волны
ПОТОК ЭНЕРГИИ ЧЕРЕЗ ПЛОЩАДКУ dS - энергия, прошедшая
через эту площадку в единицу времени. Если скорость переноса энергии v, то
поток энергии dФ через площадку dS запишется:
.
Если
площадка расположена не перпендикулярно направлению распространения энергии,
следует писать в более общем виде:
.
Если
площадка расположена параллельно вектору скорости, то, разумеется, поток
энергии через неё равен нулю. Напомню, что под направлением ориентации площадки
понимается направление нормали к её поверхности.
ПЛОТНОСТЬ ПОТОКА ЭНЕРГИИ U есть поток энергии
через единичную площадку, то есть:
.
Среднее значение модуля вектора
плотности потока энергии (вектора Умова) есть ИНТЕНСИВНОСТЬ ВОЛНЫ.
Интенсивность - скалярная
<#"669580.files/image066.gif">
Спектральная плотность потока
излучения:
- это
функция, показывающая распределение энергии по спектру излучения:
ИНТЕНСИВНОСТЬ ЗВУКА(I) - средняя по
времени энергия, переносимая звуковой волной через единичную площадку,
перпендикулярную к направлению распространения волны, в единицу времени.
Уровень звукового давления (Lp). Давление звука - среднее по времени избыточное
давление, которое испытывает препятствие, помещенное в звуковое поле. Давление
звука определяется импульсом, передаваемым звуковой волной препятствию.
Давление звука используется для измерения абсолютных значений интенсивности
звука, исходящего от источника шума, в децибелах (дБ). Уровень громкости звука
- относительная величина. Она выражается в фонах и численно равна уровню
звукового давления (в децибелах - дБ), создаваемого синусоидальным тоном
частотой 1 кГц такой же громкости, как и измеряемый звук (равногромким данному
звуку).
3. Все тела состоят из молекул,
которые непрерывно движутся и взаимодействуют друг с другом. Они обладают
одновременно кинетической и потенциальной энергией. Эти энергии и составляют
внутреннюю энергию тела. Таким образом, внутренняя энергия - это энергия
движения и взаимодействия частиц, из которых состоит тело. Внутренняя энергия
характеризует тепловое состояние тела. Внутреннюю энергию можно изменить путем
совершения работы и теплопередачи. Если над телом совершается работа, то внутренняя
энергия тела увеличивается; если же это тело совершает работу, то его
внутренняя энергия уменьшается.
СПОСОБЫ:
) Теплопроводность (через молекулы и
атомы вещества)
) Конвекция (перемешивание веществ)
) Тепловое излучение (эл-м.
излучение за счёт собственной тепловой энергии, например, лампочка)
Количество теплоты - энергия,
которую получает или теряет тело при теплопередаче. Количество теплоты является
одной из основных термодинамических величин. Теплоёмкость тела (обычно
обозначается латинской буквой C) - физическая величина, определяющая отношение
бесконечно малого количества теплоты δQ, полученного телом, к
соответствующему приращению его температуры
δT
Первый закон термодинамики.
Изменение ΔU внутренней
энергии неизолированной термодинамической системы равно разности между
количеством теплоты Q, переданной системе, и работой A, совершенной системой
над внешними телами.
ΔU = Q - A
В основе классической теории
теплоемкости твердых тел лежит закон равномерного распределения энергии по
степеням свободы. Однородное твердое тело рассматривается как система
независимых друг от друга частиц, имеющих три степени свободы и совершающих
тепловые колебания с одинаковой частотой. Причины расхождения с опытом
классической теории теплоемкости твердых тел состоят в ограниченности
используемого закона равномерного распределения энергии по степеням свободы и
непригодности его в области низких температур, где среднюю энергию колеблющихся
частиц в кристаллической решетке необходимо вычислять по законам квантовой
механики.
Билет №6
1. Работа силы. Консервативные и
неконсервативные силы. Потенциальная энергия. Примеры формул потенциальной
энергии и взаимодействия тел. Кинетическая энергия поступательного и
вращательного движения.
2. Электромагнитная волна, условие и
механизм её возникновения. Скорость и длина электромагнитной волны в вакууме и
в различных средах. Показатель преломления среды. Шкала электромагнитных волн.
Характеристика электромагнитных волн различных интервалов длин волн.
3. Круговые процессы. КПД идеального и
реального цикла Карно, их расхождение.
. Работа силы - физическая величина, равная
произведению модуля вектора силы на модуль вектора перемещения и на косинус
угла между этими векторами: A=F*S*cosα.
Силы, работа которых не зависит от формы траектории, а определяется только
начальным и конечным размещением тела в пространстве, называют консервативными,
или потенциальными. К ним принадлежат: силы притяжения, силы упругости,
электростатические силы взаимодействия между заряженными телами.
Силы, что не принадлежат к консервативным,
называют неконсервативными:
силы трения, которые возникают при скольжении
одного тела по поверхности другого
силы сопротивления, которых испытывает тело,
двигаясь в жидкой или газообразной среде.
Эти силы зависят не только от формы тел, но и от
их скорости. Они направлены всегда против направления скорости, потому работа
сил трения всегда отрицательна.
Потенциальная энергия - механическая энергия
системы тел,определяемая их взаимным расположением и характером сил
взаимодействия между ними:
Пример:
Кинетическая энергия вращающегося тела равна
сумме кинетических энергий его элементарных объемов:
(вр)=(m(1)v(1)^2)/2+(m(2)v(2)^2)/2+m(n)v(n)^2/2
Т(вр)=Jw^2/2 Кинетическая энергия вращающегося
тела.
.Кинетическая
энергия поступательного движения.
2. Электромагнитная волна - процесс
распространения электромагнитного поля в пространстве. Электромагнитная волна
представляет собой процесс последовательного, взаимосвязанного изменения векторов
напряжённости электрического и магнитного полей, направленных перпендикулярно
лучу распространения волны, при котором изменение электрического поля вызывает
изменения магнитного поля, которые, в свою очередь, вызывают изменения
электрического поля.
Условием возникновения электромагнитных волн
является ускоренное движение электрических зарядов. Так, изменение магнитного
поля происходит при изменении тока в проводнике, а изменение тока происходит
при изменении скорости зарядов, т. е. при движении их с ускорением.
Механизм возникновения: электpомагнитное поле
описывается как бы "двумя полями": электpическим Е и магнитным В.
Изменение во вpемени одного поля в окpестности данной точки, в котоpой оно
pассматpивается, поpождает дpугое поле: изменение поля Е поpождает поле В и
наобоpот. Пеpеменное во вpемени электpическое поле поpождает в соседних точках
пеpеменное магнитное поле, в свою очеpедь пеpеменное магнитное поле в своей
окpестности поpождает пеpеменное электpическое. Эти поpождения пpоисходят не
мгновенно, а с опpеделенным запаздыванием, вследствие чего и создается
электpомагнитная волна.
Электромагнитные волны распространяются в
веществе с конечной скоростью
Здесь ε
и μ
- диэлектрическая и магнитная проницаемости вещества, ε0
и μ0
- электрическая и магнитная постоянные: ε0
= 8,85419·10-12 Ф/м, μ0 =
1,25664·10-6 Гн/м. Длина волны λ
в синусоидальной волне свявзана со скоростью υ
распространения волны соотношением
λ = υT
= υ
/ f
где f - частота колебаний электромагнитного
поля, T = 1 / f. Скорость электромагнитных волн в вакууме (ε
= μ
= 1):
.
Показатель преломления вещества - величина,
равная отношению фазовых скоростей света (электромагнитных волн) в вакууме и в
данной среде
.
. Круговым процессом
(или циклом) называется процесс, при котором система, пройдя через ряд
состояний, возвращается в исходное. На диаграмме процессов цикл изображается
замкнутой кривой (рис.84). Цикл, совершаемый идеальным газом, можно разбить на
процессы расширения (1-2) и сжатия (2-1) газа. Работа расширения (определяется
площадью фигуры 1a2V2V11) положительна (dV>0), работа сжатия (определяется
площадью фигуры 2b1V1V22) отрицательна (dV<0), Следовательно, работа,
совершаемая газом за цикл, определяется площадью, охватываемой замкнутой
кривой. Если за цикл совершается положительная работа
(цикл
протекает по часовой стрелке), то он называется прямым (рис. 84, а), если за
цикл совершается отрицательная работа
(цикл
протекает против часовой стрелки), то он называется обратным (рис. 84,б).
Прямой цикл используется в тепловых двигателях -
периодически действующих двигателях, совершающих работу за счет полученной
извне теплоты. Обратный цикл используется в холодильных машинах - периодически
действующих установках, в которых за счет работы внешних сил теплота
переносится к телу с более высокой температурой.
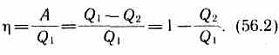
В результате кругового процесса система
возвращается в исходное состояние и, следовательно, полное изменение внутренней
энергии газа равно нулю. Поэтому первое начало термодинамики (51.1) для
кругового процесса
=DU+A=A, (56.1)
т. е. работа, совершаемая за цикл, равна
количеству полученной извне теплоты. Однако в результате кругового процесса
система может теплоту как получать, так и отдавать, поэтому
=Q1-Q2
где Q1- количество теплоты, полученное системой,
q2- количество теплоты, отданное системой. Поэтому термический коэффициент
полезного действия для кругового процесса
Билет №7
1. Механическая энергия. Закон сохранения
механической энергии. Связь работы неконсервативной силы с измененнием механической
энергии системы.
2. Круговые процессы. КПД идеального и
реального цикла Карно, их расхождение.
3. Интерференция когерентных волн.
Амплитуда результирующего колебания при интенсивности двух волн, условия
максимумов и минимумов амплитуды. Интерференционный спектр.
. Механической энергией тела в физике называют
сумму кинетической и потенциальной энергий этого тела (E=T+П). Закон сохранения
механической энергии в системе тел, между которыми действуют только
консервативные силы, полная механическая энергия сохраняется, т.е. не
изменяется со временем (Е=Т+П).
Если система взаимодействующих тел не замкнута,
то ее механическая энергия не сохраняется. Изменение механической энергии такой
системы равно работе внешних сил:
Авн = ΔЕ
= Е - Е0
где Е и Е0 - полные механические энергии системы
в конечном и начальном состояниях соответственно.
Примером такой системы может служить система, в
которой наряду с потенциальными силами действуют непотенциальные силы. К
непотенциальным силам относятся силы трения. В большинстве случаев, когда угол
между силой трения Fтр и элементарным перемещением Δr
тела составляет π радиан,
работа силы трения отрицательна и равна
Aтр = -Fтр∙s12
где s12 - путь тела между точками 1 и 2.
Силы трения при движении системы уменьшают ее
кинетическую энергию. В результате этого механическая энергия замкнутой
неконсервативной системы всегда уменьшается, переходя в энергию немеханических
форм движения.
2. Круговым процессом (или циклом) называется
процесс, при котором система, пройдя через ряд состояний, возвращается в
исходное. На диаграмме процессов цикл изображается замкнутой кривой (рис.84).
Цикл, совершаемый идеальным газом, можно разбить на процессы расширения (1-2) и
сжатия (2-1) газа. Работа расширения (определяется площадью фигуры 1a2V2V11)
положительна (dV>0), работа сжатия (определяется площадью фигуры 2b1V1V22)
отрицательна (dV<0), Следовательно, работа, совершаемая газом за цикл,
определяется площадью, охватываемой замкнутой кривой. Если за цикл совершается
положительная работа
(цикл протекает по
часовой стрелке), то он называется прямым (рис. 84, а), если за цикл
совершается отрицательная работа
(цикл
протекает против часовой стрелки), то он называется обратным (рис. 84,б).
Прямой цикл используется в тепловых двигателях -
периодически действующих двигателях, совершающих работу за счет полученной
извне теплоты. Обратный цикл используется в холодильных машинах - периодически
действующих установках, в которых за счет работы внешних сил теплота
переносится к телу с более высокой температурой.
В результате кругового процесса система
возвращается в исходное состояние и, следовательно, полное изменение внутренней
энергии газа равно нулю. Поэтому первое начало термодинамики (51.1) для
кругового процесса
=DU+A=A, (56.1)
т. е. работа, совершаемая за цикл, равна
количеству полученной извне теплоты. Однако в результате кругового процесса
система может теплоту как получать, так и отдавать, поэтому
=Q1-Q2,
где Q1- количество теплоты, полученное системой,
q2- количество теплоты, отданное системой. Поэтому термический коэффициент
полезного действия для кругового процесса
3. Интерференция волн
- взаимное усиление или ослабление амплитуды двух или нескольких когерентных
волн, одновременно распространяющихся в пространстве. Сопровождается
чередованием максимумов и минимумов (пучностей) интенсивности в пространстве.
Результат интерференции (интерференционная картина) зависит от разности фаз
накладывающихся волн.
Амплитуда результирующих колебаний в любой точке
среды не зависит от времени. Разность хода волн равна целому числу длин волн (
иначе четному числу длин полуволн)
где
.В
этом случае волны в рассматриваемой точке приходят с одинаковыми фазами и
усиливают друг друга - амплитуда колебаний этой точки максимальна и равна
удвоенной амплитуде. Разность хода волн равна нечетному числу длин полуволн
где
. Волны приходят в рассматриваемую точку в противофазе и гасят друг друга.
Амплитуда колебаний данной точки равна нулю.
Билет №8
1. Электрическое взаимодействие заряженных
тел. Электрический заряд. Закон Кулона. Напряженность и потенциал
электрического поля. Напряженность и потенциал электрического поля точечного
заряда и системы точечных зарядов.
2. Квазиупругая сила. Математический и
физический маятники. Циклическая частота гармонического осцилятора. Энергия
колебаний.
. Ядерная модель атома. Результаты
квантово-механического рассмотрения поведения электрона в водородоподобном
атоме. Излучение и поглощение энергии атомами и молекулами.
. Интенсивность электромагнитного взаимодействия
определяется физической величиной - электрическим зарядом, который обозначается
.
Единица электрического заряда - кулон (Кл). 1 кулон - это такой электрический
заряд, который, проходя через поперечное сечение проводника за 1 с, создает в
нем ток силой 1 А. Способность электрических зарядов как к взаимному
притяжению, так и к взаимному отталкиванию объясняется существованием двух
видов зарядов. Один вид заряда назвали положительным, носителем элементарного
положительного заряда является протон. Другой вид заряда назвали отрицательным,
его носителем является электрон. Элементарный заряд равен
.
Основной закон электростатики был
экспериментально установлен французским физиком Шарлем Кулоном и читается так:
модуль силы взаимодействия двух точечных неподвижных электрических зарядов в
вакууме прямо пропорционален произведению величин этих зарядов и обратно
пропорционален квадрату расстояния между ними:
где
и
-
модули зарядов,
- расстояние между
ними,
-
коэффициент пропорциональности, который зависит от выбора системы единиц, в СИ
.
Величина, показывающая, во сколько раз сила
взаимодействия зарядов в вакууме больше, чем в среде, называется
диэлектрической проницаемостью среды
.
Для среды с диэлектрической проницаемостью
закон
Кулона записывается следующим образом:
В СИ коэффициент
принято
записывать следующим образом:
где
-
электрическая постоянная. Она численно равна
.
С использованием электрической постоянной закон
Кулона имеет вид:
Взаимодействие неподвижных электрических зарядов
называют электростатическим или кулоновским взаимодействием. Кулоновские силы
можно изобразить графически (рис. 14, 15).
Кулоновская сила направлена вдоль прямой,
соединяющей заряженные тела. Она является силой притяжения при разных знаках
зарядов и силой отталкивания при одинаковых знаках зарядов.
Напряженность - силовая характеристика поля.
Напряженность численно равна силе, которая действовала бы на единицу пробного
заряда, помещенного в данную точку поля.
Ф - потенциал электрического поля -
энергетическая характеристика поля. Потенциал численно равен потенциальной
энергии, которую имела бы единица пробного заряда, помещенного в данную точку
поля.
. Квазиупругая сила - это сила, пропорциональная
смещению тела (аналогично силе упругости), но ее природа не связана с упругой
деформацией тела.
Математическим маятником называется материальная
точка, подвешенная на нерастяжимой невесомой нити, совершающая колебательное
движение в одной вертикальной плоскости под действием силы тяжести.

Физическим маятником называется твердое тело,
закрепленное на неподвижной горизонтальной оси (оси подвеса), не проходящей
через центр тяжести, и совершающее колебания относительно этой оси под
действием силы тяжести. В отличие от математического маятника массу такого тела
нельзя считать точечной.(7.4)
Гармоническим осциллятором называется система,
которая совершает колебания, описываемые выражением вида d2s/dt2 + ω02s
= 0. Колебания гармонического осциллятора есть важный пример периодического
движения и служат точной или приближенной моделью во многих задачах
классической и квантовой физики. В качестве примеров гармонического осциллятора
могут быть пружинный, физический и математический маятники, колебательный
контур (для токов и напряжений настолько малых, что можно было бы элементы контура
считать линейными).
Кинетическая энергия тела W
- потенциальная энергия
. В процессе становления понятия об атоме и его
строении, в научной среде появлялись многие теории:
) Первым гипотезу о строении атома ввел
Томсон, предположив, что атом является положительно заряженной частицей, а
внутри него существуют множество отрицательных частиц - электронов (Модель
«пудинг с изюмом»)
) В последствие модель Томсона была
опровергнута, Резерфордом была выдвинута теория о планетарном строении атома,
движение электронов происходило по собственным орбитам вокруг расположенного в
центре положительно заряженного ядра.
) Однако такая модель противоречила
классическим законам физики, по которым электрон должен был упасть на
поверхность ядра через ничтожный промежуток времени. Постулаты Нильса Бора в
последствие развеяли все противоречия, обосновав движение электрона специальным
энергетическим состоянием, в котором он не излучает электромагнитных волн, а
следовательно, не теряет энергии.
Атом водорода состоит из положительно заряженных
протона Р и одного электрона ē.
n - главное квантовое число; n=1,2,3…∞-
орбитальное квантовое число; l=1,2,3…(n-1)- магнитное квантовое
число=-1,…,0,…,1-спиновое квантовое число=+1/2;-1/2
В состоянии покоя ē
находится на нижнем уровне. Поглощая W, ē
переходит на более высокий уровень (переходит в возбужденное состояние).
Время жизни ē
в возбужд. состоянии - 10-8с, после чего ē
переходит на уровень ниже.
Возвращение на предыдущий уровень сопровождается
излучением фотонов с определенным количеством энергии.
Основные серии переходов: 1) Лаймана (n=1), 2)
Бальмера (n=2), 3) Пашена (n=3).
Билет № 9
1. Работа электрического поля. Разность
потенциалов. Связь разности потенциалов с напряженностью электрического поля.
2. Представление гармонических колебаний в
виде вращающегося вектора. Сложение двух гармонических колебаний с одинаковыми
частотами, совершающихся в одном направлении. Условия усиления и максимального
усиления колебаний. Условия ослабления и наибольшего ослабления колебаний.
. Молекулярно-кинетическое представление
о строении вещества в различных агрегатных состояниях. Статистический метод
описания состояния и поведения систем многих частиц. Распределение молекул
идеального газа по состояниям.
. При протекании тока по однородному участку
цепи электрическое поле совершает работу. За время Δt
по цепи протекает заряд Δq = I Δt.
Электрическое поле на выделенном участке совершает работу:
ΔA
= (φ1
- φ2)
Δq
= Δφ12
I Δt
= U I Δt
где U = Δφ12
- напряжение.
Эту работу называют работой электрического тока.
РАЗНОСТЬ ПОТЕНЦИАЛОВ электрическая
(для потенциального электрического поля то же, что напряжение
<#"669580.files/image100.gif">
Пусть точка одновременно участвует в
двух гармонических колебаниях одинакового периода, направленных вдоль одной
прямой. Сложение колебаний будем проводить методом векторных диаграмм (рис.
2.2). Пусть колебания заданы уравнениями
= A1 cos (wt + ф1) и x2 = A2 cos (wt
+ ф2)
Результирующую амплитуду найдем по
формуле
Усиление -sin(wt-ф) =1 Ослабление -
sin(wt-ф)=0
. Агрегатные состояния:
1) Жидкость - характерна большая
подвижность частиц и малое свободное пространство между ними -> жидкость
сохраняет свой объем и принимает форму сосуда.
Жидкость имеет индивидуальное свойство -
текучесть. Плотность жидкости гораздо выше плотности газов из-за определенного
расположения в ней молекул. Свойства жидкости по всем направлениям одинаковы
(изотропны).
) Газ - частицы не связаны (слабо связаны)
силами взаимодействия. КинетическаяWтеплового движения частиц значительно
превосходит потенциальную энергию взаимодействия между ними -> частицы
движутся свободно, целиком заполняя сосуд, в котором находятся.
) Твердое тело - вещество находится при
низкой температуре, частицы образуют правильную геометрическую структуру ->
энергия связей между частицами гораздо больше энергии тепловых колебаний,
которые не нарушают образованную структуру.
) Плазма - частично или полностью
ионизированный газ. При сильном нагревании любое вещество превращается в газ.
Если увеличивать температуру, резко увеличивается процесс термической
ионизации. Молекулы газа начинают распадаться на составляющие их атомы, которые
превращаются в ионы.
Билет № 10
1. Электрический ток. Сила тока. Плотность
тока. Электродвижущая сила. Напряжение. Электрическое сопротивление
проводников.
2. Механические колебания. Смещение,
амплитуда, частота, фаза и циклическая частота колебаний. Гармонические
колебания. Уравнение гармонических колебаний.
. Фотоэлектрический эффект. Вольтамперная
характеристика фототока. Опытные закономерности фотоэффекта. Уравнение
Эйнштейна для фотоэффекта.
1. Электрический ток - упорядоченное
нескомпенсированное движение свободных электрически заряженных
<#"669580.files/image103.gif">, равная
отношению количества заряда
<#"669580.files/image104.gif">, прошедшего
за некоторое время <#"669580.files/image105.gif"> через
поперечное сечение проводника, к величине этого промежутка времени.
Сила тока в системе СИ
<#"669580.files/image103.gif"> для участка
цепи прямо пропорциональна приложенному напряжению
<#"669580.files/image107.gif"> к участку
цепи и обратно пропорциональна сопротивлению
<#"669580.files/image108.gif"> проводника
<#"669580.files/image109.gif">
Электродвижущая сила (ЭДС) -
скалярная физическая величина
<#"669580.files/image110.gif">). В
замкнутом контуре (
) тогда ЭДС
будет равна:
где
- элемент длины контура.
ЭДС так же, как и напряжение
<#"669580.files/image114.gif">
где R - сопротивление; U - разность
электрических потенциалов
<#"669580.files/image115.gif">.
Ускорение - это производная от скорости по
времени
а=х``
. Вентильным фотоэффектом называется такое
явление, при котором фотоэлектроны покидают пределы тела, переходя через
поверхность раздела в другое твердое тело.
Внутренним фотоэффектом называется
перераспределение электронов по энергетическим состояниям в твердых и жидких
полупроводниках, происходящее под действием излучений. Приводит к возникновению
фотопроводимости, проявляется в изменении концентрации носителей зарядов в
среде.
Внешним фотоэффектом называется испускание
электронов веществом под действием электромагнитных излучений. (вылетевшие
электроны - фотоэлектроны; эл. ток, образованный при упорядоченном движении во
внешнем электрическом поле - фототок).
Вольт-амперные характеристики:
Ток насыщения прямо пропорционален интенсивности
падающего света
Анода могут достичь те электроны, кинетическая
энергия которых превышает |eU|. Измерив Ux, можно определить максимальную
кинетическую энергию фотоэлектронов:
=(mV2/2)max
Фотоэффект наблюдается, если ν
падающего света больше или равна красной границе. Красная граница равна: ν0=A/h,
Wк max=hν-A
Законы фотоэффекта:
Макс. кин. энергия фотоэлектронов линейно
возрастает с увеличением ν света и не зависит
от его интенсивности.
Для каждого вещества существует так называемая
красная граница фотоэффекта, при которой еще возможен внешний фотоэффект.
Число фотоэлектронов, вырываемых светом из
катода за 1 секунду, прямо пропорционально интенсивности света.
Фотоэффект практически безынерционен: фототок
возникает мгновенно после начала освещения катода при условии, что ν>νmin.
Уравнение Эйнштейна:
ν=A+mV2/2
Если энергия фотонаhν
меньше работы выхода А, то фотоэффект невозможен. Граничная частота - красная граница
фотоэффекта.
Билет № 11
1. Электрический ток в металлах. Закон Ома.
2. Упругие (механические) волны. Механизм и
условия возникновения упругих волн. Поперечные и продольные упругие волны,
условия их возникновения. Формулы скорости упругих волн в различных средах.
Длина волны. Циклическое волновое число. Уравнение плоской волны.
. Термодинамические параметры. Их связь
со средним значением характеристик молекул: основное уравнение
молекулярно-кинетической теории идеального газа, внутренняя энергия идеального
газа, температура, термодинамическая вероятность и энтропия.
. Электрический ток в металлах - это
упорядоченное движение электронов под действием электрического поля. Носителями
электрического тока в металлах являются свободные электроны. Опыты показывают,
что при протекании тока по металлическому проводнику переноса вещества не
происходит, следовательно, ионы металла не принимают участия в переносе
электрического заряда.
Закон Ома - физический закон, определяющий связь
между Электродвижущей силой источника или напряжением с силой тока и
сопротивлением проводника. Закон Ома для полной цепи
.
Формулировка закона Ома
Сила тока в участке цепи прямо пропорциональна
напряжению на концах этого проводника и обратно пропорциональна его
сопротивлению:
I = U / R; [A = В / Ом]
. Упругие волны (звуковые волны) - волны,
распространяющиеся в жидких, твёрдых и газообразных средах за счёт действия
упругих сил. В зависимости от частоты различают инфразвуковые, звуковые и
ультразвуковые упругие волны. В жидких и газообразных средах может
распространяться только один тип упругих волн - продольные волны. В волне этого
типа движение частиц осуществляется в направлении распространения волны. В
твёрдых телах существуют касательные напряжения, что приводит к существованию
других типов волн, в которых движение частиц осуществляется по более сложным
траекториям. Упругие волны, распространяющиеся в земной коре, называют
сейсмическими волнами.
Продольные - колебания среды происходят вдоль
направления распространения волн, при этом возникают области сжатия и
разрежения среды. возникают в любой среде (жидкости, в газах, в тв. телах).
Поперечные - колебания среды происходят
перпендикулярно направлению их распространения, при этом происходит сдвиг слоев
среды. возникают только в твердых телах.
Скорость упругой волны в тонком стержне:
продольные v=(E/ ρ)^1/2,
поперечные
= (G/ρ)^1/2
где G- модуль сдвига среды, ρ-
плотность среды.
Скорость волны в гибком шнуре: v=(F/ρ)^1/2.
Скорость звука в жидкостях и газах: V=(dp/dρ)^1/2
Длина волны - это расстояние между ближайшими
точками, колеблющимися в одинаковых фазах.
Волновое число - это отношение 2π
радиан к длине волны
уравнение плоской волны
. Термодинамические параметры - температура,
плотность, давление, объем, удельное электрическое сопротивление
, энтропия
и другие физические величины.
Основное уравнение МКТ идеального газа
Внутренняя энергия идеального газа
- молярная теплоёмкость (при
постоянном объёме),
- число
степеней свободы молекулы. Температура
Термодинамическая вероятность - число способов,
которыми может быть реализовано состояние физической системы.
Энтропия
.
1. Действие магнитного поля на движущийся
точечный электрический заряд. Сила Лоренца.
2. Внутренняя энергия и способы её
изменения. Способы теплопередачи. Количество теплоты и теплоемкость. Первый
закон термодинамики как закон сохранения энергии. Классическая теория
теплоемкости, расхождения её результатов с экспериментами.
. Упругие (механические) волны. Механизм
и условия возникновения упругих волн. Поперечные и продольные упругие волны,
условия их возникновения. Формулы скорости упругих волн в различных средах.
Длина волны. Циклическое волновое число. Уравнение плоской волны.
.Магнитн поле оказывает воздействие не только на
проводники, но и на свободные электрические заряды движущиеся в этом поле.
Сила Лоренца (сила, действующая со
стороны магнитного поля на движущийся заряд) .
Правило левой руки.
Если расположить ладонь так чтобы в
нее вход силовые линии поля, а 4 пальца - по направлению скорости
положительного заряда (против вектора скорости для отрицательных зарядов), то
большой палец покажет направление силы Лоренца.
Зависит от угла. 1)Вдоль а=0 F=0
2)Перпенд. a=п/2 3)п>a>0 Движ по спирали
Рассмотрим вначале движение частицы
с зарядом q и массой m в однородном постоянном электрическом поле
напряженностью
.
Напряженность поля в этом случае не
зависит ни от координат, ни от времени (такое поле возникает, например, в
заряженном плоском конденсаторе, отсоединенном от источника). Следовательно, на
заряженную частицу со стороны поля действует постоянная сила
, которая
сообщает частице постоянное ускорение
. Если частица имеет начальную
скорость
, как
показано на рисунке 1, то ее движение в таком поле похоже на движение тела,
брошенного под углом к горизонту в однородном поле тяжести, где ускорение тела
также постоянно и равно
2. Все тела состоят из молекул,
которые непрерывно движутся и взаимодействуют друг с другом. Они обладают
одновременно кинетической и потенциальной энергией. Эти энергии и составляют
внутреннюю энергию тела. Таким образом, внутренняя энергия - это энергия
движения и взаимодействия частиц, из которых состоит тело. Внутренняя энергия
характеризует тепловое состояние тела. Внутреннюю энергию можно изменить путем
совершения работы и теплопередачи. Если над телом совершается работа, то
внутренняя энергия тела увеличивается; если же это тело совершает работу, то
его внутренняя энергия уменьшается.
. Упругие волны (звуковые волны) -
волны, распространяющиеся в жидких, твёрдых и газообразных средах за счёт
действия упругих сил. В зависимости от частоты различают инфразвуковые,
звуковые и ультразвуковые упругие волны. В жидких и газообразных средах может
распространяться только один тип упругих волн - продольные волны. В волне этого
типа движение частиц осуществляется в направлении распространения волны. В
твёрдых телах существуют касательные напряжения, что приводит к существованию
других типов волн, в которых движение частиц осуществляется по более сложным
траекториям. Упругие волны, распространяющиеся в земной коре, называют сейсмическими
волнами.
Продольные - колебания среды
происходят вдоль направления распространения волн, при этом возникают области
сжатия и разрежения среды. возникают в любой среде (жидкости, в газах, в тв.
телах).
Поперечные - колебания среды
происходят перпендикулярно направлению их распространения, при этом происходит
сдвиг слоев среды. возникают только в твердых телах.
Скорость упругой волны в тонком
стержне:
продольные v=(E/ ρ)^1/2, поперечные
v= (G/ρ)^1/2
где G- модуль сдвига среды, ρ- плотность
среды.
Скорость волны в гибком шнуре
v=(F/ρ)^1/2.
Скорость звука в жидкостях и газах
=(dp/dρ)^1/2
Длина волны - это расстояние между
ближайшими точками, колеблющимися в одинаковых фазах.
Волновое число - это отношение 2π радиан к
длине волны
уравнение плоской волны:
Билет № 13
1. Магнитное взаимодействие. Индукция и
напряженность магнитного поля. Сила Ампера. Индукция магнитного поля элемента
тока (закон Био-Савара-Лапласа), прямого проводника с током, соленоида.
2. Явление переноса в газах: диффузия,
вязкость, теплопроводность. Уравнение явления переноса.
Молекулярно-кинетическая теория явлений переноса в газах.
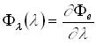
. Дифракция волн. Объяснение дифракции
волн на основе принципа Гюйгенса-Френеля. Дифракция Фраунгофера (дифракция
параллельных лучей) на одной щели и на дифракционной решетке.
1. Магнитное
взаимодействие - это взаимодействие токов.
Напряжённость магнитного поля - (стандартное
обозначение Н) это векторная физическая величина, равная разности вектора
магнитной индукции B и вектора намагниченности M:
Магнитная индукция
-
векторная величина, являющаяся силовой характеристикой магнитного поля (его
действия на заряженные частицы) в данной точке пространства. Определяет, с
какой силой
магнитное поле
действует на заряд
, движущийся со
скоростью
.
На проводник с током, находящийся в магнитном
поле, действует сила, равная F = I·L·B·sinα.
Направление силы Ампера определяется по правилу левой руки: если левую руку
расположить так, чтобы перпендикулярная составляющая вектора магнитной индукции
В входила в ладонь, а четыре вытянутых пальца были направлены по направлению
тока, то отогнутый на 90 градусов большой палец покажет направление силы,
действующей на отрезок проводника с током, то есть силы Ампера.
Закон Био-Савара-Лапласа - Магнитное поле любого
тока может быть вычислено как векторная сумма полей, создаваемая отдельными
участками токов.
Тогда магнитная индукция внутри соленоида
2. В термодинамически
неравновесных системах происходят особые необратимые процессы, называемые явлениями
переноса, в результате которых осуществляется пространственный перенос массы,
импульса, энергии. К явлениям переноса относятся теплопроводность (перенос
энергии), диффузия (перенос массы) и вязкость (перенос импульса).
Теплопроводность. Если в первой области газа
средняя кинетическая энергия молекул больше, чем во второй, то вследствие
постоянных столкновений молекул с течением времени происходит процесс
выравнивания средних кинетических энергий молекул, т. е., выравнивание
температур.
Диффузия. Происходит самопроизвольное
проникновение и перемешивание частиц двух соприкасающихся газов, жидкостей и
даже твердых тел.
Внутреннее трение (вязкость). Суть механизма
возникновения внутреннего трения между параллельными слоями газа (жидкости),
которые движутся с различными скоростями, есть в том, что из-за хаотического
теплового движения осуществляется обмен молекулами между слоями, в результате
чего импульс слоя, который движется быстрее, уменьшается, который движется
медленнее - увеличивается, что приводит к торможению слоя, который движется
быстрее, и ускорению слоя, который движется медленнее.
При нарушении равновесия в изолированной системе
осуществляется перенос:
. Дифракция Волн - явление огибания волнами
препятствий и проникновение их в область геометрической тени. Явление дифракции
можно качественно объяснить применением принципа Гюйгенса к распространению
волн в среде при наличии преград. Явление дифракции объясняется с помощью
принципа Гюйгенса, согласно которому каждая точка, до которой доходит волна,
служит центром вторичных волн, а огибающая этих волн задает положение волнового
фронта в следующий момент времени. Тип дифракции, при котором дифракционная
картина образуется параллельными пучками, называется дифракцией Фраунгофера.
Дифракция света на одной щели
Если на ширине щели укладывается четное число
таких зон, то в точке
(побочный фокус
линзы) будет наблюдаться минимум интенсивности, а если нечетное число зон, то
максимум интенсивности
условие минимума
интенсивности
условие максимума
интенсивности
Картина будет симметричной относительно главного
фокуса точки
. Знак плюс и
минус соответствует углам, отсчитанным в ту или иную сторону.
Дифракция света на дифракционной решетке
Дифракционная картина на решетке определяется
как результат взаимной интерференции волн, идущих от всех щелей, т.е. в
дифракционной решетке осуществляется многолучевая интерференция когерентных
дифрагированных пучков света, идущих от всех щелей.
Обозначим: b - ширина щели решетки; а -
расстояние между щелями; d=a+b - постоянная дифракционной решетки.
Условие максимума для дифракционной решетки
будет иметь вид
где m = ± 1, ± 2, ± 3, …
В точке F0 всегда будет наблюдаться нулевой или
центральный дифракционный максимум.
Так как свет, падающий на экран, проходит только
через щели в дифракционной решетке, то условие минимума для щели и будет
условием главного дифракционного минимума для решетки:
Количество щелей определяет световой поток через
решетку. Чем их больше, тем большая энергия переносится волной через нее. Кроме
того, чем больше число щелей, тем больше дополнительных минимумов помещается
между соседними максимумами. Следовательно, максимумы будут более узкими и
более интенсивными.
Билет № 14
1. Работа магнитного поля при движении
проводника с током. Магнитный поток (поток индукции магнитного поля).
Индуктивность контура. Индуктивность соленоида.
2. Термодинамические параметры. Их связь со
средними значениями характеристик молекул: основное уравнение
молекулярно-кинетической теории идеального газа, внутренняя энергия идеального
газа, температура, термодинамическая вероятность и энтропия.
. Квазиупругая сила. Математический и
физический маятники. Циклическая частота гармонического осцилятора. Энергия
колебаний.
. На проводник с током в магнитном поле
действуют силы, определяемые законом Ампера. Если проводник не закреплен
(например, одна из сторон контура изготовлена в виде подвижной перемычки, рис.
177), то под действием силы Ампера он будет в магнитном поле перемещаться.
Следовательно, магнитное поле совершает работу по перемещению проводника с
током.
Магнитным потоком через поверхность называется
величина Ф, определяемая соотношением
Φ = B · S · cosα
Электрический ток, который течет в замкнутом
контуре, создает вокруг себя магнитное поле, индукция которого, согласно закону
Био-Савара-Лапласа, пропорциональна току. Сцепленный с контуром магнитный поток
Ф поэтому прямо пропорционален току I в контуре:
где
коэффициент пропорциональности L называется индуктивностью контура.
Индуктивность соленоида
. Термодинамические параметры - температура,
плотность, давление, объем, удельное электрическое сопротивление
, энтропия
и
другие физические величины.
Основное уравнение МКТ идеального газа
Внутренняя энергия идеального газа
Молярная теплоёмкость (при
постоянном объёме)
Число
степеней свободы молекулы. Температура
Термодинамическая вероятность
- число способов, которыми может быть реализовано состояние физической системы.
. Квазиупругая сила - это сила, пропорциональная
смещению тела (аналогично силе упругости), но ее природа не связана с упругой
деформацией тела.
Математическим маятником называется материальная
точка, подвешенная на нерастяжимой невесомой нити, совершающая колебательное
движение в одной вертикальной плоскости под действием силы тяжести.

Физическим маятником называется твердое тело,
закрепленное на неподвижной горизонтальной ocи (оси подвеса), не проходящей
через центр тяжести, и совершающее колебания относительно этой оси под
действием силы тяжести. В отличие от математического маятника массу такого тела
нельзя считать точечной.(7.4)
Гармоническим осциллятором называется система,
которая совершает колебания, описываемые выражением вида d2s/dt2 + ω02s
= 0. Колебания гармонического осциллятора есть важный пример периодического
движения и служат точной или приближенной моделью во многих задачах
классической и квантовой физики. В качестве примеров гармонического осциллятора
могут быть пружинный, физический и математический маятники, колебательный
контур (для токов и напряжений настолько малых, что можно было бы элементы
контура считать линейными).
Кинетическая энергия тела W
- потенциальная энергия
Билет № 15
1. Электромагнитная индукция. ЭДС индукции.
Самоиндукция. Энергия магнитного поля.
2. Молекулярно-кинетические представления о
строении вещества в различных агрегатных состояниях. Статистический метод
описания состояния и поведения систем многих частиц. Распределение молекул
идеального газа по состояниям.
. Представление гармонических колебаний в
виде вращающегося вектора. Сложение двух гармонических колебаний с одинаковыми
частотами, совершающихся в одном направлении. Условия усиления и максимального
усиления колебаний. Условия ослабления и наибольшего ослабления колебаний.
. Явление электромагнитной индукции заключается
в возникновении электрического тока в замкнутом проводящем контуре при
изменении во времени магнитного потока, пронизывающего контур.
ЭДС(ε)
- отношение работы сторонних сил по разделению зарядов к величине этого заряда,
иначе, способность данного источника давать необходимое количество зарядов
необходимой энергии.
Самоиндукция - явление возникновения ЭДС
индукции в электрической цепи в результате изменения силы тока. Возникающая при
этом ЭДС называется ЭДС самоиндукции. В момент замыкания электрической цепи
источник тока расходует часть своей энергии на преодоление действия возникающей
ЭДС самоиндукции.
Эта часть энергии, называемая собственной
энергией тока, и идет на образование магнитного поля.
Энергия магнитного поля, созданного током, прямо
пропорциональна квадрату силы тока.
. Вещества могут находиться в различных
агрегатных состояниях - твердом, жидком, газообразном. Молекулярные силы в
различных агрегатных состояниях различны: в твердом состоянии они наибольшие, а
в газообразном - наименьшие. Различием молекулярных сил объясняются свойства,
которые проявляются в разных агрегатных состояниях: твердые тела сохраняют
объем и форму, жидкости текучи, но сохраняют объем, газы полностью занимают
весь предоставленный им объем.
Поведение громадного числа молекул, составляющих
макротела, изучается также Статистическим Методом, который основан на том, что
свойства макротел определяются свойствами молекул, особенностями их движения
(скоростью, энергией, импульсом и т. д.) и взаимодействия. Например,
температура может быть выражена через среднее значение кинетической энергии
движения молекул. Статистический метод дает представление о механизме тепловых
процессов, рассматривая их как бы изнутри макротел, он существенно дополняет
термодинамический метод. Основные законы термодинамики также имеют
статистический смысл. Поэтому оба метода составляют основу термодинамики.
Распределение молекул идеального газа. В случае
идеального газа наиболее вероятным состоянием, соответствующим максимуму
энтропии, будет равномерное распределение молекул. При этом реализуется и
максимальный «беспорядок», так как при этом будут максимальные возможности
конфигурирования.
3. Мгновенное значение функции можно получить
как проекцию на горизонтальную ось отрезка длиной Um, вращающегося относительно
начала прямоугольной системы координат с угловой частотой ω
= 2p×f
в положительном направлении (против часовой стрелки). Вращающийся отрезок будем
называть вектором
Пусть точка одновременно участвует в двух
гармонических колебаниях одинакового периода, направленных вдоль одной прямой.
Сложение колебаний будем проводить методом векторных диаграмм (рис. 2.2). Пусть
колебания заданы уравнениями
= A1 cos (wt + ф1) и x2 = A2 cos (wt + ф2)
Результирующую амплитуду найдем по формуле
Усиление - sin(wt-ф) =1 Ослабление - sin(wt-ф)=0
Билет № 16
1. Основные положения теории
электромагнитного поля Максвелла. Возникновение (образование) электромагнитной
волны.
2. Состав ядер атомов. Радиоактивность
ядер. Реакции деления и синтеза ядер.
. Механическое движение. Траектория
движения. Пройденный путь. Скорость движения. Ускорение движения.
Тангенциальное ускорение. Нормальное ускорение. Связь между ними.
1. Основные положения этой
теории, изложенные строгим языком математических формул, освещают взаимосвязь
электрических зарядов с электрическими и магнитными полями. Обычным языком их
содержание можно передать приблизительно следующим образом:
. Магнитное поле с замкнутыми
силовыми линиями порождается либо электрическим током, либо переменным
электрическим полем.
. Электрическое поле с
замкнутыми силовыми линиями (т. е. вихревое) порождается переменным магнитным
полем.
. Силовые линии магнитного поля
всегда замкнуты.
. Электрическое поле с
незамкнутыми линиями порождается электрическими зарядами.
Самым поразительным результатом
теории Максвелла было то, что из нее автоматически вытекала конечность скорости
распространения электрического и магнитного полей. При возникновении, например,
электрического заряда электрическое поле первоначально устанавливается только
вблизи самого заряда и лишь затем постепенно занимает все пространство. Точно
так же при включении тока магнитное поле постепенно распространяется все дальше
и дальше от проводника. Правда, скорость распространения поля весьма велика.
Теоретически Максвелл показал, что она равна скорости света, т. е. 300 тыс. км/сек.
Возникающее в пространстве
переменное электрическое поле порождает вокруг себя переменное магнитное поле.
Это поле в свою очередь порождает электрическое поле, и т. д.
В результате в пространстве
происходит процесс распространения электрического и магнитного полей. Этот
процесс протекает также со скоростью света. Если начальное электрическое поле
меняется периодически, то распространяющееся электромагнитное поле тоже носит
периодический характер. Напряженность электрического и магнитного полей периодически
изменяется в пространстве и во времени. Так, со скоростью света
распространяются электромагнитные волны. Характерно, что напряженности
электрического и магнитного полей перпендикулярны друг другу и к направлению
распространения электромагнитной волны.
Максвелл предсказал
существование электромагнитных волн и из равенства скорости их распространения
скорости света сделал вывод о том, что световые волны являются
электромагнитными по своей природе. Тем самым учение о свете становилось частью
учения об электромагнитных явлениях. Максвеллу не суждено было дожить до
блестящего подтверждения справедливости всех своих замечательных открытий.
Спустя 10 лет после его смерти немецкий физик Герц опытным путем обнаружил
существование электромагнитных волн; скорость распространения этих волн
оказалась равной скорости света. Тем самым электромагнитная теория света была
доказана.
. Размер ядра составляет 10-14-10-15 метров
(следуя опытам Резерфорда).
Атомное ядро состоит из протонов и нейтронов -
положительно заряженных частиц.
Атомное ядро характеризуется зарядом Z (равное
числу протонов в атоме и совпадающее с порядковым номером х/э)
Радиоактивность - способность некоторых ядер
самопроизвольно превращаться в другие ядра, испуская при этом радиоактивные
излучения.
Р/излучение бывает трех типов: α,
β
и ϒ.
1) α-излучение
характеризуется малой проникающей способностью и отклоняется электрическими и
магнитными полями. Представляет собой поток ядер гелия.
2) β-излучение
характеризуется большей проникающей способностью, но меньшей ионизирующей
способностью. Представляет собой поток быстрых электронов.
) ϒ-излучение не отклоняется
электрическими и магнитными полями, обладает слабой ионизирующей способностью,
но большой способностью проникновения (при прохождении через кристаллы обнаруживает
дифракцию). Представляет собой коротковолновое э/м излучение с чрезвычайно
малой длиной волны, и, вследствие этого - ярко выраженными корпускулярными
свойствами.
Радиоактивным распадом называют естественное
превращение ядер, происходящее самопроизвольно.
=-λNdt
λ - постоянная
радиоактивного распада, или
=N0*e-λt
Из формулы следует, что число нераспавшихся ядер
убывает со временем по экспоненциальному закону(закон полураспада - делим N и t
на 2!).
Реакция ядерного синтеза - реакция образования
тяжелых атомов из легчайших.
3. Механическое движение тела - процесс, при
котором с течением времени изменяется положение тела или частей тела
относительно других тел.
Траектория - непрерывная линия, вдоль которой
движется материальная точка в заданной системе отчета.
Пройденный путь - S или L равен сумме длин
участков траектории, производимых материальной точкой за некоторое время T.
А(n)(сверху вектор) - нормальное ускорение -
характеризует скорость изменения направления движения. Нормальное ускорение выражается
через мгновенную скорость и радиус кривизны траектории: а(n)=v²/r=w²*R=W*v.
Скорость - кинетическая характеристика движения
материальной точки. Скорость - векторная величина, которая определяется как
быстрота движения, так и его направление в данный момент времени.
Тангенциальное ускорение -
компонента ускорения, направленная по касательной к траектории
<#"669580.files/image055.gif">A
= (νRT)·
ln(V2/V1)
При изменении объема газу передается (или
отбирается) некоторое количество тепла. Следовательно, теплоемкость идеального
газа стремится к бесконечности
изменение
внутренней энергии газа в изотермическом процессе равно нулю
Первый закон термодинамики

. В процессе становления понятия об атоме и его
строении, в научной среде появлялись многие теории:
1) Первым гипотезу о строении атома ввел Томсон,
предположив, что атом является положительно заряженной частицей, а внутри него
существуют множество отрицательных частиц - электронов (Модель «пудинг с
изюмом»)
2) В последствие модель Томсона была
опровергнута, Резерфордом была выдвинута теория о планетарном строении атома,
движение электронов происходило по собственным орбитам вокруг расположенного в
центре положительно заряженного ядра.
) Однако такая модель противоречила
классическим законам физики, по которым электрон должен был упасть на поверхность
ядра через ничтожный промежуток времени. Постулаты Нильса Бора в последствие
развеяли все противоречия, обосновав движение электрона специальным
энергетическим состоянием, в котором он не излучает электромагнитных волн, а
следовательно, не терять энергии.
Атом водорода состоит из положительно заряженных
протона Р и одного электрона ē.
n - главное квантовое число; n=1,2,3…∞-
орбитальное квантовое число; l=1,2,3…(n-1)- магнитное квантовое
число=-1,…,0,…,1-спиновое квантовое число=+1/2;-1/2
В состоянии покоя ē
находится на нижнем уровне. Поглощая W, ē
переходит на более высокий уровень (переходит в возбужденное состояние).
Время жизни ē
в возбужд. состоянии - 10-8с, после чего ē
переходит на уровень ниже.
Возвращение на предыдущий уровень сопровождается
излучением фотонов с определенным количеством энергии.
Основные серии переходов: 1) Лаймана (n=1), 2)
Бальмера (n=2), 3) Пашена (n=3).
. Явление электромагнитной индукции заключается
в возникновении электрического тока в замкнутом проводящем контуре при изменении
во времени магнитного потока, пронизывающего контур.
ЭДС(ε)
- отношение работы сторонних сил по разделению зарядов к величине этого заряда,
иначе, способность данного источника давать необходимое количество зарядов
необходимой энергии.
Самоиндукция - явление возникновения ЭДС
индукции в электрической цепи в результате изменения силы тока. Возникающая при
этом ЭДС называется ЭДС самоиндукции. В момент замыкания электрической цепи
источник тока расходует часть своей энергии на преодоление действия возникающей
ЭДС самоиндукции. Эта часть энергии, называемая собственной энергией тока, и
идет на образование магнитного поля.
Энергия магнитного поля, созданного током, прямо
пропорциональна квадрату силы тока.
Билет № 18
1. Уравнение изобарного процесса. Работа
газа, теплоемкость, изменение внутренней энергии, первый закон термодинамики,
изменение энтропии при изобарном процессе.
2. Фотоны. Корпускулярно-волновая природа
света и частиц.
. Электрическое взаимодействие заряженных
тел. Электрический заряд. Закон Кулона. Напряженность и потенциал
электрического поля. Напряженность и потенциал электрического поля точечного
заряда и системы точечных зарядов. Работа электрического поля. Разность
потенциалов. Связь разности потенциалов с напряженностью электрического поля.
. Изобарным процессом называют квазистатический
процесс, протекающий при неизменным давлении p.
где V - объем газа при абсолютной температуре T,
V0 - объем газа при температуре 0 °С; коэффициент
,
равный
,
называется температурным коэффициентом объемного расширения газов.
Молярная теплоёмкость при постоянном давлении
обозначается как

Изменение внутренней энергии
первый закон термодинамики
изменение энтропии
или
. W=m*c²;
Wф=h*ν;
mф=Wф/c²=(h*ν)/c²
Фотон существует только при распространении со
скоростью света (с). Это означает, что масса покоя фотона равна нулю.
Импульс фотона: Pф=mф*c=(h*ν)/c
Момент импульса фотона - спин: Lф=(2)½*h/2π
Фотон - частица электромагнитного излучения,
обладающая энергией, массой, импульсом, моментом импульса _ квант энергии.
Электромагнитное излучение - совокупность
фотонов, испускаемых и поглощаемых самой же частицей.
Свет обладает волновыми и корпускулярными
свойствами.
~nф; ne=k*nф
где k - коэффициент показывающий какая часть
падающих фотонов выбивает электроны из металла.ф определяет поток энергии
падающего света => Iн=ne*e=k*nф*e=(k*e)/(h*ν)*Ф=γт*Ф.
. Интенсивность электромагнитного взаимодействия
определяется физической величиной - электрическим зарядом, который обозначается
.
Единица электрического заряда - кулон (Кл). 1 кулон - это такой электрический
заряд, который, проходя через поперечное сечение проводника за 1 с, создает в
нем ток силой 1 А. Способность электрических зарядов как к взаимному
притяжению, так и к взаимному отталкиванию объясняется существованием двух
видов зарядов. Один вид заряда назвали положительным, носителем элементарного
положительного заряда является протон. Другой вид заряда назвали отрицательным,
его носителем является электрон. Элементарный заряд равен
.
Основной закон электростатики был экспериментально
установлен французским физиком Шарлем Кулоном и читается так: модуль силы
взаимодействия двух точечных неподвижных электрических зарядов в вакууме прямо
пропорционален произведению величин этих зарядов и обратно пропорционален
квадрату расстояния между ними:
где
и
-
модули зарядов,
- расстояние межд
ними,
-
коэффициент пропорциональности, который зависит от выбора системы единиц, в СИ
.
Величина, показывающая, во сколько раз сила
взаимодействия зарядов в вакууме больше, чем в среде, называется
диэлектрической проницаемостью среды
.
Для среды с диэлектрической проницаемостью
закон
Кулона записывается следующим образом:
В СИ коэффициент
принято
записывать следующим образом:
где
-
электрическая постоянная.
Она численно равна
.
С использованием электрической постоянной закон
Кулона имеет вид:
,
Взаимодействие неподвижных электрических зарядов
называют электростатическим или кулоновским взаимодействием. Кулоновские силы
можно изобразить графически (рис. 14, 15).
Кулоновская сила направлена вдоль прямой,
соединяющей заряженные тела. Она является силой притяжения при разных знаках
зарядов и силой отталкивания при одинаковых знаках зарядов.
Напряженность - силовая характеристика поля.
Напряженность численно равна силе, которая действовала бы на единицу пробного
заряда, помещенного в данную точку поля.
Ф - потенциал электрического поля -
энергетическая характеристика поля. Потенциал численно равен потенциальной
энергии, которую имела бы единица пробного заряда, помещенного в данную точку
поля.
Билет № 19
1. Уравнение изохорного процесса. Работа
газа, теплоемкость, изменение внутренней энергии, первый закон термодинамики,
изменение энтропии при изохорном процессе.
2. Фотоэлектрический эффект. Вольтамперная
характеристика фототока. Опытные закономерности фотоэффекта. Уравнение
Эйнштейна для фотоэффекта.
3. Механические колебания. Смещение,
амплитуда, частота, фаза и циклическая частота колебаний. Гармонические
колебания. Уравнение гармонических колебаний. Скорость, ускорение, связь
ускорения со смещением при гармонических колебаниях.
. Изохорный процесс - это процесс
квазистатического нагревания или охлаждения газа при постоянном объеме V и при
условии, что количество вещества ν
в сосуде остается неизменным.
изменение внутренней энергии, работа газа
первый закон термодинамики
= ΔU
= U (T2) - U (T1) (теплоемкость).
Поскольку в системе при изохорном процессе
происходит теплообмен с внешней средой, то происходит изменение энтропии. Из
определения энтропии следует:
. Вентильным фотоэффектом называется такое
явление, при котором фотоэлектроны покидают пределы тела, переходя через
поверхность раздела в другое твердое тело.
Внутренним фотоэффектом называется
перераспределение электронов по энергетическим состояниям в твердых и жидких
полупроводниках, происходящее под действием излучений. Приводит к возникновению
фотопроводимости, проявляется в изменении концентрации носителей зарядов в
среде.
Внешним фотоэффектом называется испускание
электронов веществом под действием электромагнитных излучений. (вылетевшие
электроны - фотоэлектроны; эл. ток, образованный при упорядоченном движении во
внешнем электрическом поле - фототок).
Вольт-амперные характеристики:
Ток насыщения прямо пропорционален интенсивности
падающего света
Анода могут достичь те электроны, кинетическая
энергия которых превышает |eU|. Измерив Ux, можно определить максимальную
кинетическую энергию фотоэлектронов:
=(mV2/2)max
Фотоэффект наблюдается, если ν
падающего света больше или равна красной границе.
Красная граница равна: ν0=A/h,
Wк max=hν-A
Законы фотоэффекта:
Макс. кин. энергия фотоэлектронов линейно
возрастает с увеличением ν света и не
зависит от его интенсивности.
Для каждого вещества существует так называемая
красная граница фотоэффекта, при которой еще возможен внешний фотоэффект.
Число фотоэлектронов, вырываемых светом из
катода за 1 секунду, прямо пропорционально интенсивности света.
Фотоэффект практически безынерционен: фототок
возникает мгновенно после начала освещения катода при условии, что ν>νmin.
Уравнение Эйнштейна:
ν=A+mV2/2
Если энергия фотонаhν
меньше работы выхода А, то фотоэффект невозможен. Граничная частота - красная
граница фотоэффекта.
. Механические колебания - это повторяющееся
движение, при котором тело многократно проходит одно и то же положение в
пространстве.
Различают периодические и непериодические
колебания.
Периодическими называют колебания, при которых
координата и другие характеристики тела описываются периодическими функциями
времени. Примерами механических колебаний могут служить движение шара на
пружине, на нити, движение ножек звучащего камертона или молекул воздуха вблизи
него.
Смещение - отклонение тела от положения
равновесия. Обозначение (Х), Единица измерения метр.
Амплитуда колебаний (А) - наибольшее отклонение
колеблющегося тела от положения равновесия (отклонение величины от ее среднего
значения).
Период колебаний (Т) - время, через которое
движение тела полностью повторяется. Частота колебаний (v) - величина,
показывающая число колебаний, совершаемых за 1 с.
Циклическая частота (w) - это число колебаний,
совершаемых за 2p секунд.
Фаза колебаний - определяет смещение в любой
момент времени, то есть определяет состояние колебательной системы.
Гармонические колебания - колебания, при которых
физическая величина, характеризующая эти колебания, изменяется во времени по
синусоидальному закону:
= Acos(wt + a)
где x значение колеблющейся величины в момент времени
t, A амплитуда колебаний, w - циклическая (или круговая) частота, ф=(wt+ a) -
фаза гармонических колебаний, ф0 - начальная фаза.
Скорость - это производная от координаты по
времени.
Ускорение - это производная от скорости по
времени
а=х``
Билет № 20
1. Уравнение адиабатного (изоэнтропийного)
процесса. Работа газа, теплоемкость, изменение внутренней энергии, первый закон
термодинамики, изменение энтропии при адиабатном (изоэнтропийном) процессе.
2. Тепловое излучение, его энергетические
характеристики. Законы Кирхгофа, Стефана-Больцмана, Вина. Постулат Планка.
. Законы Ньютона. Силы в механике: сила
всемирного тяготения, сила тяжести, вес тела, сила упругости, сила Архимеда,
сила Стокса.
1. Адиабатный процесс - процесс, при котором
отсутствует теплообмен между системой и окружающей средой.
теплоемкость идеального газа в адиабатическом
процессе равна нулю.
Первый закон термодинамики
при обратимом адиабатическом процессе энтропия
постоянна
,а при необратимом
- возрастает.
. Тепловое излучение - электромагнитное
излучение, испускаемое веществом и возникающее за счет его внутренней энергии
(энергия хаотического теплового движения атомов и молекул, из которых состоит
вещество).
Энергетические характеристики теплового
излучения:
) Энергетическая совместимость R -
количество электромагнитной энергии, излучаемое телом с единицы площади
поверхности в единицу времени во всем диапазоне длин волн.
[R]= Дж/(с×м2)=Вт/м2
) Спектральная плотность энергетической
совместимости rα- количество
электромагнитной энергии, излучаемое телом с единицы площади поверхности в
единицу аремени (в интервале длин волнот λ
до λ+dλ)
[rα=Дж/(с×м3)]
) Поток излучения Ф - количество энергии,
переносимой электромагнитным излучением через какую-либо единицу площади
поверхности за единицу времени.
[Ф]=Дж/с=Вт
) Поглощательная способность тела (коэф.
поглощения) - отношение поглощаемого телом излучения к падающему на него
потоку.
Закон Кирхгофа:
Отношение испускательной способности тела к его
поглощательной способности одинаково для всех тел и является универсальной
функцией длины волны λ и
температуры T
rα/aα=φ(λ,T)
Чем сильнее тело поглощает излучение, тем
сильнее оно должно это излучение испускать
В случае абсолютно черного тела испускательная
способность будет максимальной.
Закон Стефана-Больцмана:
Энергетическая светимость абсолютно черного тела
прямо пропорциональна четвертой степени температуры тела.
=σT4
σ=5,67*10-8Вт/(м2*К4)
Закон смещения Вина:
Длина волны λ,
на котрую приходится максимум энергии излучения абсолютно черного тела, обратно
пропорциональна абсолютной температура T.
λ=b/T,
b=2,898*10-3м*К
Постулат Планка:
Процессы излучения происходят не непрерывно, как
это было принято в классической физике, а конечными порциями - квантами.
=hν,
h=6,626*10-34 Дж*с
Квант - минимальная порция энергии, излучаемой
или поглощаемой телом.
Распределение энергии в спектре абсолютно
черного тела
(ν,T)=2πν2*hν/(c2*(ehν/kT-1))
3. Первый закон Ньютона - всякая материальная
точка (тело) сохраняет состояние покоя или равномерного прямолинейного движения
до тех пор, пока взаимодействие со стороны других тел не заставит её изменить
это состояние (закон инерции).
Второй закон ньютона a=F/mF=maси (1H) -
ускорение, приобретаемое материальной точкой (телом),пропорционально вызывающей
силе, совпадает с ней по направлению и обратно пропорционально массе
материальной точки. F=dp/dt.
Третий закон Ньтона - всякое действие
материальных точек (тел) друг на друга носит характер взаимодействия: силы, с
которыми действуют друг на друга материальные точки всегда равны по модулю,
противоположно направлены и действуют вдоль прямой, соединяющей эти точки:
F(1,2)=-F(2,1).
Закон всемирного тяготения
R - расстояние между телами.
Сила тяжести (Fт = mg) - сила с которой тело
притягивается к земле.
Вес тела - сила, с которой тело давит на
горизонтальную опору или растягивает вертикальный подвес (P=m(g+a)).
Сила упругости - сила, возникающая при
деформации тела и противодействующая этой деформации. В случае упругих
деформаций является потенциальной. F(упр)=-Kx.
Закон Архимеда - на тело, погружённое в жидкость
(или газ), действует выталкивающая сила, равная весу вытесненной этим телом
жидкости (или газа) (называемая силой Архимеда)
где
-
плотность жидкости (газа),
- ускорение
свободного падения, а
- объём
погружённого тела (или часть объёма тела, находящаяся ниже поверхности).
Закон Стокса - силы трения, действующая на
сферические объекты с очень маленькими числами Рейнольдса в непрерывной вязкой
жидкости, решая уравнение Навье - Стокса
§
- сила трения, так
же называемая силой Стокса,
§
- радиус
сферического объекта,
§
- вязкость
жидкости,
§
- скорость
частицы.