Кинематика материальной точки. Динамика поступательного движения
Министерство
образования и науки РФ
Федеральное
государственное бюджетное образовательное учреждение высшего профессионального
образования
Югорский
государственный университет
Кафедра:
Физики и общетехнических дисциплин.
Контрольная
работа по физике
Тема:
Кинематика материальной точки. Динамика поступательного движения
Ханты-Мансийск
2013 г.
Кинематика материальной точки
1. Железнодорожный вагон тормозится, и его
скорость уменьшается равномерно от 53 км/ч до 9 км/ч за время 12 с. При каком
предельном значении коэффициента трения между чемоданом и полкой чемодан
начинает скользить по полке?
Ответ: k = 0,104.
. Сколько оборотов сделали колеса автомобиля
после включения тормоза до полной остановки, если в момент начала торможения
автомобиль имел скорость 72 км/ч и остановился за 7 с после начала торможения?
Диаметр колес равен 175 см.
R
=
=
0,875 м.; Ԑ =
=
3,26531; φ =
=
80,000095;
° = 6,283 rad.;
n =
=
12,73.
Ответ: n
= 12,73.
3. Под каким углом к горизонту брошен шар, если
известно, что максимальная высота подъёма шара в 14 раз больше дальности его
полета?
H = 14L (по условию). H
=
;
L =
;
L/L
=
/
=
;
;
=
;
14 =
=
;

Ответ: α
= 1,55 rad.
. Камень брошен горизонтально со скоростью 9
м/с. Найти тангенциальное ускорение камня через 1 с после начала движения.
Сопротивлением воздуха пренебречь.
Ответ: aτ = 7,2210 м/с2.
. Определить начальную скорость камня,
брошенного под углом к горизонту, если известно, что наибольшая высота подъёма
равна 12 м, а радиус кривизны траектории в её верхней точке равен 52 м.
Теперь из закона сохранения механической
энергии:
; Ʋ2 = 2gh +
gR; Ʋ =
;
Ʋ =
= 27,3 м/с.
Ответ: Ʋ = 27,3 м/с.
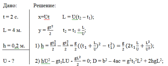
. При выстреле из пистолета в горизонтальном
направлении пуля летела 2 с до первого из двух вертикально закрепленных листов
бумаги, расстояние между которыми 4 м. Определить скорость пули, если пробоина
во втором листе на 20 см ниже, чем в первом.
Ʋ=
=
393.
Ответ: Ʋ = 393 м/с.
. Из одной точки одновременно брошены два тела с
одинаковой скоростью под разными углами к горизонту. Определить расстояние
между телами спустя 2 с после начала движения, если начальная скорость 40 м/с,
а углы бросания равны 49° и 62°
соответственно.
x1= 40*0,656059*2 =
52,48; y1 = 40*0,754709*2 +
=
79,98
x2 = 40*0,469471*2 =
37,56; y2 = 40*0,882947*2 +
=
90,23=
=
=
=18,1
м.
Ответ: 18.1 м.
Динамика поступательного движения
Ответ: F = 25,3 Н.
. Два груза с массами 12 кг и 10 кг соединены
нитью, перекинутой через невесомый блок. Блок укреплен к потолку. Найти
натяжение нити. Трением в блоке пренебречь.
Ответ: Т = 106,91 Н.
. С каким наибольшим ускорением можно поднимать
груз весом 1569 Н, подвешенный на проволоке, чтобы при этом проволока не
разорвалась? Проволока выдерживает груз весом 3554 Н.
Ответ: 12,4 м/с2.
. На вершине наклонной плоскости, составляющей с
горизонтом угол 14°, укреплен невесомый блок. Две гири
равной массы 5 кг соединены нитью, перекинутой через блок. Одна из гирь лежит
на наклонной плоскости, а другая висит вертикально, не касаясь плоскости. Найти
натяжение нити. Трением в блоке и трением о плоскость пренебречь.
=> T = m(g - a)
- (3);
Подставим (3) в (2), получим: g(1 -
)
= 2a => a =
.
=
=
3,71458 м/с2; T = 5*(9,8 -3,71458) = 30,43 H.
Ответ: Т = 30,43 Н.
. Через укрепленный невесомый блок перекинута
нить, к одному концу её подвешен первый груз, а к другому концу - второй и
третий грузы последовательно. Массы грузов одинаковы и равны 4 кг. Найти
натяжение нити, связывающей второй и третий грузы. Трением в блоке пренебречь.
+
1
= m
;
m
=
1
+
2
= m
;
m
=
+
2
= m
.
Проекция на вертикальную ось OY:
-mg + T1 = ma; -mg + T1 - T2 = -ma;
-mg + T2 = -ma.
=>
=>
T2 =
mg.
ускорение трение натяжение энергия
Ответ: 26, 13 H.
. Брусок массой 14 кг. скользит без трения по
горизонтальной поверхности. На нём находится другой брусок массой 5 кг.
Коэффициент трения соприкасающихся поверхностей брусков 0,358. Определить
минимальное значение силы, приложенной к нижнему бруску, при котором начнется
соскальзывание верхнего бруска.
Ответ: F
= 66,66 H.
. Сани можно удержать на ледяной горе уклоном
0,683 силой не меньшей 15 Н, а предоставленные сами себе, они скатываются с
ускорением 4 м/с. Какую силу надо приложить к саням, чтобы тянуть их в гору
равномерно? (Уклон равен тангенсу угла между наклонной плоскостью и горизонтом,
а силы трения покоя и скольжения считать равными.)
=
=
3,75 кг. ; Fтр = 3,75*0,564*9,8 - 15 = 5,727 H.тяг = 3,75*0,564*9,8 + 5,727 =
26,45 H.
Ответ: Fтяг = 26,45 H.