Одноелектронні прилади та їх принцип роботи
Зміст
Вступ
ТЕОРЕТИЧНА
ЧАСТИНА
.1
Тунельний перехід
.2
Одноелектронний “ящик” та ланцюжок
.3
Одноелектронний транзистор
.3.1
Схемотехнiчний розгляд роботи ОЕТ
.4
Особливості ВАХ одноелектронних приладів
ПРАКТИЧНА
ЧАСТИНА
.1
Переведення даних у атомну систему одиниць
.2
Порiвняльний аналiз значень потенцiйної енергiї U(p)
.3
Залежність змінення енергії зарядженої краплі від ексцентриситету
.4
Розпад краплі та потенційна енергія новоутворених кластерів
.5
Залежностi критичного заряду за Релеєм QR(R)
одноелектронне
тунелювання схематичний
Вступ
Вокористання нанорозмірних елементів
надає принципово новий рівень розвитку електроніки. Для отримання таких
структур поребується не тiльки надзвичайно складна нанотехнологiя, але також i
рiшення деяких фундаментальних проблем фiзики, включаючи високу чутливiсть
транспортних властивостей до малих варiацiй розмiрiв i форми квантових точок.
Тому дуже важливий розвиток одноелектронних приладiв, здатних до операцiй з
найбiльшими можливими швидкостями. Різноманітні одноелектронні прилади можна
отримати при збільшенні кількості тунельно-звязаних наностровів. Логічні схеми,
побудовані на базі одноелектронного параметрона в якості базової комірки мають
систему трьох кластерів. Електрон може тунелювати мiж ними, викликаючи поляризацiю
комiрки. З цих комiрок може бути побудований ланцюжок з ємнiсним зв’язком, який
виконує логiчнi операцiї з великою швидкодiєю. Iншим перспективним
застосуванням ОЕТ можуть бути нейромережi, метою яких є обробка найскладнiшої
iнформацiї, наприклад, з розпiзнавання образiв. Швидкодiя для нейронних мереж
не настiльки актуальна, зате можна досягти значної щiльностi упакування.
У курсовій роботі розглянуті
одноелектронні прилади та їх принцип роботи. Також досліджені властивості зміни
потенційної енергії кластера від його форми. Згідно задачі Релея щодо
нестійкості зарядженої краплі, був визначений критичний заряд.
1. ТЕОРЕТИЧНА ЧАСТИНА
.1 Тунельний перехід
Робота одноелектронних приладів
конструктивно заснована на тунельному переході, який являє собою тунельний
контакт мiж двома масивними металевими електродам (виготовленими з одного
металу, μ1 = μ2 ), вiддiлених
один вiд одного тонким iзолятором (рис. 1.2). Такий тунельний перехiд, є
конденсатором, і може бути охарактеризований тунельним опором Rt i ємнiстю C.
Конденсатор може бути заряджений зарядом Q, як показано на рис. 1.2a.
Рис.1.2 Одноелектронне тунелювання
через невеликий тунельний контакт
Оскiльки iснує можливiсть
тунелювання, електрони почнуть переходити через контакт справа налiво. В
результаті переходу першого електрона, змiна вiльної енергiї конденсатора
дорiвнює змiнi його електростатичної енергiї:
(1.3)
де Ec≡e2/2C - характеристична
одноелектронна зарядова енергiя (фактично це енергiя зарядженого одним
електроном тiла з ємнiстю C). При нульовiй температурi системи тунелювання
електронiв може вiдбутися тiльки тодi, коли виконується умова ΔF
< 0 , тобто вся система перейде в стан з
меншою енергiєю. У протилежному випадку тунелювання енергетично невигiдне. Цю
умову можна записати як Q > e/2 , використовуючи рiвняння (1.3). На рис. 1.3
показаний ланцюг, у якому струм через структуру i резистор зумовлений iдеальним
генератором напруги. Його опiр повинен бути набагато меншим, нiж опiр
тунельного переходу, але досить великим, щоб не дозволити конденсатору швидко
перезаряджатися пiсля тунелювання електрона. Якщо зовнiшня напруга менша, нiж
|e/2C| , струм протiкати не буде. При бiльшiй напрузi середнiй струм визначається
омiчною ВАХ з опором Rt , зсунутою по напрузi на e/2C . Цей зсув у ВАХ
називається кулонiвською “щiлиною”, а явище блокування струму нижче значення V
= |e/2C| носить назву “кулонiвська блокада”.
Рис. 1.3. Кулонiвська блокада у
ланцюзi
Спостереження одноелектронних
зарядових ефектiв можливе при таких кiнцевих температурах, якi задовольняють
нерiвностi e2/2C >>kBT . У противному випадку всi цi ефекти будуть
непомiтнi на тлi теплових флуктуацiй. Також є iнша вимога для спостереження
кулонiвської блокади: опiр тунельного переходу повинен бути набагато бiльшим,
нiж квант опору RQ , щоб уникнути впливу квантових флуктуацiй заряду.
.2 Одноелектронний “ящик” та
ланцюжок
Одноелектронний “ящик” є
найпростішим одноелектронним приладом, котрий складається тiльки з одного
маленького острiвця, вiддiленого вiд великого електрода (електронного джерела)
тунельним бар’єром (рис. 1.4). Зовнiшнє електричне поле може бути прикладене до
острiвця за допомогою iншого електроду (затвору), вiддiленого вiд острiвця
товстим шаром iзолятора, який захищає острiвець вiд тунелювання з електрода
затвору. Змiна хiмiчного потенцiалу електронiв острiвця визначається умовами
електронного тунелювання. Вiльна електростатична енергiя Гiббса в цьому випадку:
(1.4)
де Q = - e - заряд на острiвцi (N -
число надлишкових електронiв), C0 - ємнiсть системи острiвець - електрод
затвору, C∑ повна ємнiсть острiвця (включаючи C0), W1 i W3 - робота
виходу електронiв iз джерела i гранули, а параметр “зовнiшнiй заряд” Qe
визначається як
= Vg C0 (1.5)
Фiзичний змiст цього визначення стає
очевидним для випадку, коли електричне поле мiж електродом затвору i острiвцем
добре локалiзоване (рис. 1.4б). Тодi (- Qe ) є тiльки поляризацiйним зарядом
острiвця, який встановлює енергетичний баланс тунельного переходу. Вiдповiдно
до формули (1.5), величина Qe може мiнятися безперервно, тобто дорiвнювати
дробовiй частинi елементарного заряду e (на вiдмiну вiд цього дискретний повний
заряд на острiвцi дорiвнює -eN ). Елементарнi обчислення з використанням (1.4)
показують, що Q є схiдчастою функцiєю Qe (тобто залежить вiд напруги затвору)
(рис. 1.4в) з фiксованою вiдстанню мiж сусiднiми сходинками:
(1.6)
Якщо температура збiльшується до kBT
>>EC, цi “кулонiвськi сходи” будуть згладжуватись термiчними
флуктуацiями.
Рис. 1.4. Одноелектронний “ящик” : а
- схема конструкцiї, б - утворення “зовнiшнього заряду” Qe = C0Vg
поляризацiйного походження, в “кулонiвськi сходи”, тобто схiдчаста залежнiсть
середнього заряду Q = -e вiд напруги затвору Vg для декiлькох значень зведеної
температури.
Фiзика кулонiвських сходiв є дуже
простою: збiльшення напруги затвору Vg притягує усе бiльше i бiльше електронiв
на острiвець. Дискретнiсть електронного переходу через низькопроникнi бар’єри
неминуче робить це збiльшення схiдчастим.
Існують двi головнi перешкоди у разi
використання одноелектронного ящика, як компонента електронного ланцюга:
) вiн не має внутрiшньої пам’ятi:
число N електронiв у ящику є однозначною функцiєю прикладеної напруги Vg , тому
ця структура не може бути використана для збереження пам’ятi;
) ящик не може пропускати постiйний
струм, тому необхiдний надчутливий електрометр для вимiрювання його зарядового
стану.
Коли розмiр кластера стає порiвняним
з довжиною хвиль де Бройля електронiв, локалiзованих усерединi кластера,
квантування їх енергiї (дискретнiсть рiвнiв) стає iстотним ефектом. У цьому
випадку характеристичною енергiєю зарядових ефектiв буде ΔF
, де μ3 потрiбно замiнити
на енергiю верхнього зайнятого стану в кластерi або нижнього вiльного стану.
Останнє зауваження вiдноситься до того, вибуває електрон з кластеру, чи
прибуває на кластер.
“Класична” теорiя одноелектронних
приладiв використовує кiлька основних припущень.
) Енергетичний спектр електронів у
кластері вважається неперервним (його квантуванням нехтують). Строго кажучи, це
припущення є точним, тiльки якщо |μ3-μ 1|
<< kBT, але часто адекватний опис
спостережень виходить i при |μ3-μ1|
<<EC.
) Час електронного тунелювання
τt через бар’єр вважається нехтовно
малим порiвняно з iншим характерним часом (включаючи iнтервали мiж сусiднiми
тунельними подiями). Це припущення є точним для тунельних бар’єрiв, що
представляють практичний iнтерес для одноелектронних приладiв, де τt
~10-15 с.
) Когерентнi квантовi процеси, що
складаються з декiлькох одночасних тунельних подiй, не враховуються. Це
припущення є точним, якщо опiр R усiх тунельних бар’єрiв системи набагато
бiльший, нiж квантова одиниця опору RQ
>> RQ (1.7)
Останнє спiввiдношення є принципово
важливим для одноелектронiки в цiлому. Якщо довжина металевого провiдника
настiльки мала, що електрони “пролiтають” по ньому, не розсiюючись, як снаряди
з гармати (балiстичний режим), а його поперечнi розмiри порiвнянi з
дебройлiвською довжиною хвилi електронiв, то опiр такого провiдника квантується
i стає кратним RQ = 12,9 кОм. Зменшення опору на RQ вiдбувається завжди, коли
дно однiєї з пiдзон розмiрного квантування у провiднику опускається нижче рiвня
Фермi в контактах. Величину кванту опору RQ можна визначити, скориставшись
принципом невизначеностi Гейзенберга ΔE Δt
= ħ, де ΔE
= EC = e2/C , а Δt
= C∙RQ - час зарядки конденсатора. Слiд
врахувати ”двiйку” у законi дисперсiї, що з’являється через виродження пiдзон
по проекцiї спiна електрона, отже RQ = π ħ/e2
.
На рис. 1.5показано роботу
одноелектронного ящика. Струм, що протiкає через конструкцiю, осцилює з
частотою
= I =e
за умови Rs >> R >>RQ .
Рис. 1.5 Найпростiший
одноелектронний осцилятор
Одномiрний ланцюжок острiвцiв,
зв’язаних тунельними переходами, заснований на принципі одноелектронного ящика
показаний на рис. 1.6, 1.7.
Особливість цього приладу в тому, що
система має внутрiшню пам’ять. На рисунку для усього дiапазону напруги затвору
можливi один або два зарядових стани крайнього острiвця.

Рис. 1.6 Одноелектронне захоплення:
а - схема, б - електростатична енергiя надлишкового електрона як функцiя його
мiсця розташування на одному з острiвцiв (при трьох рiзних значеннях напруги
затвору), в - статична дiаграма приладу при T→ 0.
Рис. 1.7 Якiсна схема тунельної
структури: ланцюжок нанокластерiв золота, якi упакованi в ДНК, яка, в свою
чергу, закрiплена мiж масивними електродами. Пiдшарок виступає у ролi фононного
резервуару.
.3 Одноелектронний транзистор
Корельоване тунелювання окремих
електронiв у системi з двох переходiв, утворених металевою субмікронною
гранулою, яке супроводжувалось блокадою тунелювання вперше безпосередньо
спостерiгалося при гелiєвих температурах. При цьому кожна сходинка сходiв
вiдповiдає змiнi заряду гранули на ±e , а величина перiоду по напрузi дорiвнює
ΔV = ±e=C1 , де C1 - ємнiсть переходу з
найменшою провiднiстю, C1 << C2 .
Для пiдвищення робочої температури
одноелектронного приладу, наприклад, до T = 300 К, необхiдно зменшити ширину
переходу до декiлькох нанометрiв, зменшуючи тим самим ємнiсть до 10-18 Ф. Це
реалiзовано на установках з використанням скануючого тунельного мiкроскопа.
Його голка, мала провiдна частинка i пiдшарок є одноелектронним ланцюгом iз
двох послiдовних тунельних переходiв.
На рисунку 1.8 зображена
експериментальна конструкцiя з двох тунельних переходiв, яка являє собою золоту
плiвку з нанесеним дiелектриком товщиною ~10 Å,
на яку укладалися кластери золота дiаметром ~10
- 30Å. Вольфрамова голка тунельного
мiкроскопа теж покрита плiвкою золота товщиною ~103
Å. ВАХ, обчислена для
експериментальних значень конструкцiї з пiдгiнними параметрами Ci, Ri i Q0 ,
непогано вiдтворює вольт-амперну характеристику.
Рис. 1.8. Схема тунельної структури
(злiва). Теоретична i експериментальна (точки) ВАХ, а також пiдгiннi параметри
теорiї (справа)
Обмеженість використання ОЕТ у
швидкодіючих логічних елементах обумовлюється вимогою до високого опору
контактiв (близько 100 кОм). Це пов’язано з тим, що при врахуваннi ємностi
пiдвiдних провiдникiв час перемикання виявляється занадто великим. З iншого
боку, внутрiшнiй час перемикання одноелектронного транзистора, зумовлений малою
внутрiшньою ємнiстю контактiв, може досягати 1 пс.
Логічні схеми, побудовані на базі
одноелектронного параметрона в якості базової комірки мають систему трьох
кластерів. Електрон може тунелювати мiж ними, викликаючи поляризацiю комiрки. З
цих комiрок може бути побудований ланцюжок з ємнiсним зв’язком, який виконує
логiчнi операцiї з великою швидкодiєю. Енергетичнi витрати на 1 бiт складають
величину, меншу термодинамiчної межi kBT ln2 . Iншим перспективним
застосуванням ОЕТ можуть бути нейромережi, метою яких є обробка найскладнiшої
iнформацiї, наприклад, з розпiзнавання образiв. Швидкодiя для нейронних мереж
не настiльки актуальна, зате можна досягти значної щiльностi упакування.
.3.1 Схемотехнiчний розгляд роботи
ОЕТ
Напруга затвору на ОЕТ регулює
провiднiсть через обидва контакти через змiну електростатичного потенцiалу
острiвцевого електрода. Його еквiвалентна схема показана на рис. 1.10:
острiвцевий електрод з’єднаний за допомогою двох тунельних контактiв з
генератором напруги V, що i забезпечує протiкання струму. Острiвцевий електрод,
крiм того, ємнiсно зв’язаний з електродом затвору, через який подається напруга
Vg . C1 i C2 - ємностi двох тунельних контактiв, через якi тече струм, а Cg -
ємнiсть переходу затвор - острiв; Q1 , Q2 i Qg -вiдповiднi заряди; N1 i N2 -
число електронiв, що проходить через кожен тунельний перехiд у напрямку
стрiлок.
Рис.1.9 Збiрка ОЕТ. Зовнiшнi
електроди виготовлялися у виглядi “олiвцiв”, укладених на пiдкладку. Потiм
кiнчики олiвцiв окислювалися для створення iзолюючої плiвки. Острiвцевий
електрод переносився й укладається поверх окисного шару на кiнцях олiвцiв.
Конструктивно це являє собою два точкових тунельних контакти.
Рис.10. Еквiвалентна електрична
схема ОЕТ
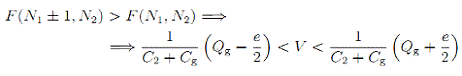
Можливiсть тунелювання залежить вiд
того, збiльшується чи зменшується вiльна енергiя ОЕТ пiд час тунелювання. Якщо
стан системи з меншою вiльною енергiєю iснує, то тунелювання можливе. Умова
заборони (кулонiвською блокадою) тунелювання в контактi 1 полягає в тому, що
при цьому вiльна енергiя збiльшиться. Ця умова може бути записана як
(1.8)
де внутрiшній заряд на гранулi
визначаєтсья як
(1.9)
В такий же спосiб записується умова
заборони кулонiвською блокадою тунелювання через контакт 2:
(1.10)
Кулонiвська блокада ефективна, коли
обидвi нерiвностi (1.8) i (1.10) виконуються. Рис. 1.11 показує кулонiвську
дiаграму блокади (“кулонiвський дiамант”).
Рис. 1.11. Дiаграма ОЕТ
“кулонiвський дiамант”
Кулонiвська блокада вiдповiдає
заштрихованiй частинi “дiаманта” (ромба). Тому при параметрах ОЕТ, що
вiдповiдають точцi А на рис. 1.11, струм протiкати не може. При збiльшенні
напруги затвора Vg, значення параметрiв змiщуються вiд т. А до т. B,
кулонiвська блокада тунельного переходу 2 “проривається” i один електрон
тунелює вiд стоку до гранули (острiвцевого електроду) (N2 → N2 + 1) .
Якщо нерiвнiсть F (N1 , N2 + 1) > F ( N1 + 1 ; N2 + 1) виконується,
тунелювання через 1 можливе. Отже, струм протiкає при напрузi затвора, що
вiдповiдає т. B. Величина заряду на електродi затвора, яка необхiдна для
включення струму, може бути менше заряду електрона |e|. Тому структура,
зображена на рис. 1.10, i називається одноелектронним транзистором (ОЕТ).
Рис. 1.12a є “розширенням” рис. 1.11
по горизонтальної осi.
Рис. 1.12. Кулонiвськi осциляцiї: а
- кулонiвський дiамант: електронне тунелювання блокується в режимi очiкування,
б - число надлишкових електронiв на острiвцевому електродi, с - кондактанс
(провiднiсть) ОЕТ.
При змiнi напруги затвора Vg
провiднiсть змiнюється перiодично, як показано на рис. 1.12в. Це явище
називають кулонiвськими осциляцiями. В областi нульової провiдностi число
електронiв N на острiвцевому електродi фiксоване. Максимумам провiдностi
(кондактанс) вiдповiдає схiдчаста змiна N, як показано на рис. 1.12б. Яскравим
проявом кулонiвських осциляцiй є схiдчасте збiльшення числа електронiв на
островi.
.4 Особливості ВАХ одноелектронних
приладів
Особливості вольт-амперної
характеристики демонструє експеримент, в якому зібрана конструкцiя з двох
тунельних переходiв, складається з плiвки Au (111) з нанесеним дiелектриком
HS(CH2)8SH товщиною ~1 нм i дiелектричною сталою ε
≈
3, на якiй формуються малi кластери золота, форма яких близька до сферичної.
Вольфрамова голка (малої кривизни поверхнi) тунельного мiкроскопа покривалася
плiвкою Au товщиною приблизно 102 нм. За вимiряною залежнiстю I(V) в якостi
параметрiв пiдгонки пiдiбранi ємностi, тунельнi опори переходiв i “залишковий”
(дробовий) заряд Q0 гранули.
В експериментальних залежностях I
(V) можна видiлити наступнi характернi особливостi:
) ширина струмової щiлини приблизно
пропорцiйна зворотним радiусам диска i сфери, що не дозволяє однозначно встановити
її класичне або квантове походження. З iншого боку, на ВАХ дискiв дiаметром 2,5
i 3,5 нм крiм струмової щiлини можна чiтко розрiзнити сходинки квантових
сходiв;
) ширина щiлини для диска дiаметром
3,5 нм зi змiною вiдстанi колектор-кластер (змiною фракцiї напруги) при
фiксованiй вiдстанi емiтер-кластер змiнювалась немонотонно (рис. 1.13);
) струмова щiлина для диска радiусом
4 нм при збiльшеннi температури вiд 5 К до 77 К зменшується приблизно на 30 %;
) для структур на дископодiбних
кластерах має мiсце асиметрiя струмової щiлини по напрузi, тодi як для структур
на сферичних кластерах вольт-ампернi характеристики практично симетричнi.
Рис. 1.13. Експериментальнi
вольт-ампернi характеристики структур на дископодiбних кластерах золота при
рiзних значеннях вiдстанi кластер - колектор dc (а) i рiзних дiаметрах кластера
(б)
На рис. 1.14 представлена ВАХ
структури на сферичному кластерi (Au/AuN=40/Au). Перший стрибок струму на
зворотнiй гiлцi вольт-амперної хара-ктеристики виникає при пороговiй напрузi V
= V0- i визначається стрибком Δω0(V), який
визначається змiною ωnc(V)
(швидкість переходу електронів з колектора на гранулу). При напрузi V = V0-
також стрибкоподiбно змiнює своє значення залежнiсть P-1(V) (ймовірність
знаходження n надлишкових електронiвна острiвцi), проте оскiльки ωn-1(V0-)
= 0, змiна ймовiрностi P-1(V) в цiй точцi на струм
не впливає. Наступний стрибок струму при напрузi V = V1- зумовлений змiною
ймовiрностi P+1 .
Рис. 1.14. ВАХ для структур на
сферичних кластерах Au/Au40 /Au. Значення Δωn(V)
наведенi
в одиницях Гe ; вiдношення тунельних швидкостей β
= 1 ; фракція напруги η+
= 0,1; T = 30 K.
На прямiй гiлцi ВАХ перший стрибок
виникає при пороговiй напрузi V0+ i визначається лише P-1 (V). В iнтервалi
напруг 0...V0+ всi компоненти P-1 (V) окрiм потоку ωnc
залишаються
незмiнними. Залежнiсть ωnc(V)
стрибкоподiбно змiнюється в точцi V0+ i, отже, визначає вигляд залежностi P-1
(V).
З рис. 1.15 видно, що за межами струмової
щiлини вплив |n| > 1 на стрибки струму стає бiльш помiтним зi збiльшенням
розмiру кластера. В залежностi вiд n зарядка призводить до зсуву енергетичного
спектру або вгору, або вниз за шкалою енергiй. При цьому в процесi перенесення
заряду електронiв задiянi рiзнi частини спектру, розташованi або нижче, або
вище рiвня в зовнiшньому електродi, на який тунелює електрон. Ймовiрнiсть P-1
переважає над ймовiрнiстю P+1 , оскiльки потiк електронiв з гранули на колектор
переважає над потоком електронiв з емiтера на гранулу, i гранула заряджається
позитивно (тобто n = -1 ).
Рис. 1.15. ВАХ для структур на
сферичних кластерах Au/Au100 /Au, вiдношення тунельних швидкостей β
=
1; η+ = 0,1; T = 30 K
Вольт-ампернi характеристики
Au/Au100/Au - структури при рiзних значеннях параметра η+
i сталому вiдношенню тунельних швидкостей β
≡
Гe/Гc наведенi на рис. 1.6. З ростом фракції напруги η+
вольт-амперна характеристика зсувається вправо. При цьому ширина щiлини дещо
зменшується. При η+
= 0,5 для всiх кластерiв струмова щiлина симетрична вiдносно V = 0.
Експериментам зi сферичними кластерами вiдповiдає η+
≈
0,5, тому на вимiряних кривих асиметрiя практично не спостерiгається. Для
структур на дископодiбних кластерах фракцiя напруги вiдмiнна вiд 0,5, тому
асиметрiя бiльш виражена.
Рис. 1.16. ВАХ при T = 30 K для
структур на сферичних кластерах Au/Au100/Au при фракції напруги η
= 0,2; 0,5; 0,8 і вiдношенні тунельних швидкостей β
= 1. Для наочностi кривi дещо зсунутi по
вертикалi.
Вольт-ампернi характеристики
структури Au/Au600/Au при рiзних значеннях віднешення тунельних швидкостей β
i
сталому η+ (dc
= 2 Å) показанi на рис. 1.17. З цих двох
рисункiв витiкає, що в данiй моделi амплiтуди стрибкiв струму практично не
залежать вiд η+,
але сильно залежать вiд величини параметра β,
який, в свою чергу, не впливає на пороговi напруги, при яких спостерiгаються
стрибки струму.
Вплив температури на вольт-ампернi
характеристики показаний на рис. 1.18. Зi збiльшенням температури
характеристики згладжуються, що пов’язано з розмиттям функцiй розподiлу
електронiв кластера i зовнiшнiх електродiв.
Характер впливу форми кластера та
його положення добре ілюструють рис. 1.19 та рис.1.20.
Рис. 1.17. BAX при T = 30 K для
структур на сферичних кластерах Au/Au600/Au при фракції напруги η+
= 0,2 i вiдношенні тунельних швидкостей β
= 0,1; 1; 10 . Кривi трохи зсунутi по вертикалi.
Рис. 1.18. ВАХ для структур на
сферичних кластерах Au/Au200/Au при рiзних значення температури T = 5, 100,
300K; η + = 0,5 β
= 1
Рис. 1.19 Залежність ВАХ ОЕТ в
залежності від розташування кластера між двома масивними електродами
Рис. 1.20 - Залежність струмової
щiлини ВАХ ОЕТ в залежності від форми (електричної ємностi) кластеру
2. ПРАКТИЧНА ЧАСТИНА
.1 Переведення даних у атомну
систему одиниць
Атомнi одиницi Хартрi:
a.o. заряду = заряду e протона =1
(заряд електрона = −e).
a.o. маси = масi me електрона =1.
стала Дiрака (перекреслена стала
Планка): ћ= 1.
1 a.o. довжини = борiвський
радiус 
a.o. енергiї 
=27,21 еВ; 1 еВ = 1, 6 ×
10−12
ерг = 11605 К.
a.o. поверхневого натягу = 1,
558 ×
103 Дж/м2.
a.o. концентрацiї 
.
Вихідні дані (варіант 2):
Метал: Na[a0]=3.99- середня
відстань між електронами у металі;
τ = 191 ерг/см2
- поверхневий натяг;= 2.75 eB - робота виходу електрона з металу;
εcoh0= 1.1 eB - енергія
когезії;
ІР(1) = 5,14 еВ - потенціал
іонізації атома металу.
.2 Порiвняльний аналiз
значень потенцiйної енергiї U(p)
Потенціальну енергію
зарядженої краплі запишемо у вигляді:
де C - ємнiсть
краплi-сфероїда, - заряд краплi,
τ - поверхневий
натяг,- площа поверхнi краплi.
Ємнiсть краплi залежить вiд
її форми. Електрична ємнiсть кластерiв сферичної форми визначається: C = εR (в
а.о.), де ε
- дiелектрична
проникнiсть середовища, у якому знаходиться сфера.
Ємнiсть i площа поверхнi
сплюснутого елiпсоїда обертання - сфероїда
(a = b > c) визначається виразами

(2.2)
Для витягнутого сфероїда (a
> b = c):

(2.3)
де a2 − p2a2 = a2 −
c2 = b2,−ексцентриситет.
Пiдставляючи (2.2) i (2.3) у
(2.1) маємо для сфероїда:

(2.4)
Для вiдповiдi на питання про
стабiльнiсть зарядженої краплi потрiбно з’ясувати характер залежностi (2.4) при
малих значеннях ексцентриситету. Вираз (2.4) необхiдно розкласти у ряд за малим
значенням параметру p << 1. Розкладання залежностi U(p) (2.4) до 4-го
порядку за p має вигляд:

(2.5)
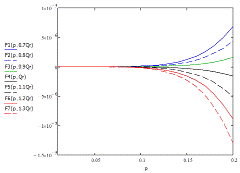
Порівняння залежностей (2.4)
та (2.5) проведено за допомогою програми Mathcad 15.
Малюнок 2.1 - Залежність
потенціальної енергії кластеру від ексцентриситету, при QR
Малюнок 2.2 - Залежність
потенціальної енергії кластеру від ексцентриситету, при q=1,1QR
Малюнок 2.3 - Залежність
потенціальної енергії кластеру від ексцентриситету, при Q=1,2QR
Малюнок 2.4 - Залежність
потенціальної енергії кластеру від ексцентриситету, при Q=1,2QR
Малюнок 2.5 - Залежність
потенціальної енергії кластеру від ексцентриситету, при q=0,9QR
Рис. 2.6 - Залежність потенціальної
енергії кластеру від ексцентриситету, при Q=0,8QR
Рис. 2.7 - Залежність потенціальної
енергії кластеру від ексцентриситету, при Q=0,7QR
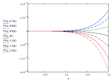
.3 Залежність змінення енергії
зарядженої краплі від ексцентриситету
Для краплі, радіусом R=20 ао,
залежність зображена на рис 2.8.
(p, Qr):=U1(p)-U2(p
Малюнок 2.8 - Залежність змінення
енергії зарядженої краплі від ексцентриситету, при різних значеннях заряду
краплі, для R=20
=40
Малюнок 2.9 - Залежність змінення
енергії зарядженої краплі від ексцентриситету, при різних значеннях заряду
краплі, для R=40
Рис. 2.10 - Залежність змінення
енергії зарядженої краплі від ексцентриситету, при різних значеннях заряду
краплі, для R=60
2.4 Розпад краплі та потенційна
енергія новоутворених кластерів
Щоб довести, що при розпадi
зарядженої краплi на двi однаковi потенцiйна енергiя вихiдної краплi в 22/3
рази вiдрiзняється вiд енергiї однiєї з двох утворених крапель використаємо
формулу 2.4, підставивши у неї значення критичного заряду:

(2.10)
Оскільки R0=(N0)1/3rs -
радіус кластеру до ділення
При розділенні кластеру на 2
рівні частини кількість атомів у кожній з них рівна половині кількості атомів
вихідного кластеру, тобто N1=N2=N0/2.
Підставляючи у 2.10
отримаємо:
А отже 
.
2.5 Залежностi критичного заряду за
Релеєм QR(R)

Рис.2.11 - Залежностi критичного
заряду за Релеєм QR від радіусу кластера