Методы стабилизации коэффициента усиления оптических усилителей
Министерство
образования и науки Российской Федерации
Федеральное
государственное бюджетное образовательное учреждение
высшего
профессионального образования
«Кубанский
государственный университет»
(ФГБОУ ВПО
«КубГУ»)
Физико-технический
факультет Кафедра оптоэлектроники
ДИПЛОМНАЯ РАБОТА
Методы стабилизации коэффициента
усиления оптических усилителей
Специальность 210401 - Физика и
техника оптической связи
Работу выполнил Мельтьев
А.Л.
Научный руководитель
канд. физ.-мат. наук, доцент Л.Р.
Григорьян
Краснодар 2013
РЕФЕРАТ
Дипломная работа: 59 страниц, 20 рисунка, 4 таблицы, 21 источников.
Оптика, Усилитель, Волоконно-оптическая линия связи, Ретранслятор,
Коэффициент усиления, Эрбий.
Объектом разработки данной дипломной работы являются оптические
усилители, предназначение для усиления сигнала в составе волоконно-оптических
линия связи, их характеристики и методы их оптимального функционирования.
Целью работы является исследование и анализ методов стабилизации
коэффициента оптических усилителей.
В результате выполнения дипломной работы проведены анализ существующих
методов стабилизации коэффициента усиления, их положительные и отрицательные
стороны, выработаны критерии применения в различных аспектах использования.
СОДЕРЖАНИЕ
Введение
1. Ретрансляторы
оптического сигнала
1.1
Повторители оптического сигнала
1.2
Оптические усилители
1.3 Сравнение
характеристик повторитель и оптических усилителей сигнала
2. Оптические
усилители сигнала
2.1. Основные
параметры оптических усилителей
2.2. Полупроводниковые
оптические усилители
2.3
Оптические усилители, использующие нелинейные явления
2.4
Оптические усилители, легированном редкоземельными элементами
2.5
Оптические усилители, легированные эрбием
3.
Оптимальные параметры функционирования оптических усилителей
3.1 Каскадное
усиление оптического сигнала
3.2 Фильтры
выравнивания спектра усиления
3.3
Стабилизация уровня усиления оптического усилителя
3.3.1
Подавление избыточного усиления
3.3.2
Синхронизация остаточного излучения накачки
Заключение
Список используемых
источников
ВВЕДЕНИЕ
В настоящее время оптоволоконные сети являются самым перспективным видом
информационных сетей, что обусловлено множеством их преимуществ. В то время как
одна из проблем коаксиальных кабелей - это их восприимчивость к электромагнитным
полям, у оптоволоконных сетей такой недостаток отсутствует в принципе! А
поэтому в современном мире именно оптоволокно является наилучшим способом
передачи телекоммуникационных данных. Вид системы передачи с использованием
оптического волокна называется волоконно-оптическая линия связи (ВОЛС). Высокая
популярность ВОЛС обусловлена тем, что оптоволокно имеет массу преимуществ не
только перед медным кабелем, но и перед витой парой. Среди них можно выделить
такие, как широкая полоса пропускания (частота несущей составляет 1014 Гц, что
позволяет увеличить поток информации, передаваемый по одному оптическому
волокну, до нескольких терабит в секунду), малое затухание светового сигнала в
волокне (0,2-0,3 дБ на длине волны 1,55 мкм в расчете на 1 км, что позволяет
строить линии протяженностью до 100 км) и высокая защита от помех
(диэлектрический материал, из которого изготавливается оптоволокно, делает его
невосприимчивым к электромагнитным помехам)[1-3].
Современный уровень развития волоконно-оптических систем передачи (ВОСП)
требует увеличения скоростей передачи информации (в диапазоне выше 1Гбит/сек) и
увеличения длины ретрансляционных участков (в диапазоне выше 100км). Это
вызывает необходимость поиска и разработки новых методов и устройств передачи информации
в волоконно-оптических линиях связи (ВОЛС). Одним из наиболее перспективных
методов является когерентный прием оптических сигналов, а одним из наиболее
многообещающих элементов новых ВОЛС является волоконный оптический усилитель на
основе волокон, легированных ионами редкоземельных элементов [4].
Однако, известно что с увеличением расстояния распространения оптического
сигнала, происходит его как ослабление, так и уширения импульса, что требует
применения специализированных устройств восстановления сигнала.
Так, в используемых в настоящее время трансатлантических линиях связи
волоконные оптические усилители применяются для регенерации оптических сигналов
со спектральным уплотнением. При этом широкая полоса усиления волоконного
оптического усилителя позволяет проводить одновременную регенерацию до 10
каналов со спектральным уплотнением.
Использование оптического усиления является, по сути дела, единственным
приемлемым способом регенерации оптического сигнала в системах с когерентным
приемом. В отличие от традиционных опто-электронных регенераторов, при
оптическом усилении происходит сохранение спектральных свойств исходного
оптического сигнала, что весьма существенно для перспективных систем с
когерентным приемом информации. Применение для этой цели оптических волоконных
усилителей представляется наиболее перспективным в силу преимуществ,
свойственных таким усилителям.
В настоящее время волоконные оптические усилители для работы в диапазоне
1,55мкм выпускаются промышленно. В то же время существует потребность в
оптических усилителях для работы в диапазоне 1,3мкм, тогда как теория и
практика таких усилителей развита гораздо меньше [5-6].
Преимущества волоконных оптических усилителей основаны на возможности
целенаправленного применения оптических волоконных световодов для активного
воздействия на параметры оптических сигналов, распространяющихся в световоде.
Основная проблема при этом заключается в разработке специальных оптических
волокон, сконструированных таким образом, чтобы обеспечить максимально эффективное
целенаправленное изменение свойств сигналов, передаваемых по этому волокну.
К такому классу специальных оптических волокон относятся и волоконные
оптические световоды, активированные ионами редкоземельных элементов,
сочетающие в себе как волноводные свойства, присущие традиционным волоконным
световодам, т.е. способность передавать оптические сигналы за счет полного
внутреннего отражения излучения в сердцевине волокна, так и возможность
активного воздействия на параметры этого оптического излучения за счет
взаимодействия с активной усиливающей средой, образующей сердцевину волокна.
Использование этих специальных оптических волокон в оптических системах
передачи информации позволяет возложить на них часть функций, традиционно
выполнявшихся электронными средствами - например, для усиления оптических
сигналов, генерации мощных, коротких и сверхкоротких импульсов, в датчиках
различных физических величин.
Передача цифровых сигналов в современных оптических системах передачи
осуществляется в режиме уплотнения длин волн. Этот способ обеспечивает
возможность повысить пропускную способность без повышения скорости передачи
битов в отдельных каналах передачи. Это обеспечивает значительные преимущества
по отношению к возникающим искажениям, обусловленным различным временем
распространения (дисперсией), и позволяет применять более экономичные схемы
передатчиков. Переналадки системы передачи или ошибки приводят к тому, что
каналы должны подключаться и отключаться. Так как оптические усилители линии
передачи обычно работают в режиме насыщения, то без принятия дополнительных мер
отключение или подключение каналов приводило бы к изменению выходного уровня
сигнала, передаваемого в активном канале [7].
Дипломная работы посвящена исследованию оптимальных параметров функционирования
оптических усилителей EDFA.
. Ретрансляторы оптического сигнала
оптоволоконная сеть сигнал усилитель
Как известно, по мере распространения оптического сигнала происходит его
ослабление, а также уширении импульсов из-за дисперсии. Любой из этих факторов
может оказаться причиной ограничения максимальной длины без ретрансляционного
участка волоконно-оптического сегмента. Если же максимальная допустимая длина
между приемником и передатчиком превышена, то необходимо в промежуточных точках
линии связи добавлять один или несколько ретрансляторов. В общем случае,
ретранслятор выполняет функцию усиления оптического сигнала, и дополнительно
(при цифровой передаче) может восстанавливать форму импульсов, уменьшать
уровень шумов и устранять ошибки - такой ретранслятор называется регенератором.
В качестве регенератов могут выступать как повторители сигнала, так и
оптические усилители сигнала, имеющие как свои положительные, так отрицательные
стороны применения[8-9].
.1 Повторители оптического сигнала
Повторитель (электронно-оптический повторитель) сначала преобразует
оптический сигнал в электрическую форму, усиливает, корректирует, а затем
преобразовывает обратно в оптический сигнал, рис. 1. Можно представить
повторитель как последовательно соединенные приемный и передающий оптические
модули. Аналоговый повторитель, в основном, выполняет функцию усиления сигнала.
При этом вместе с полезным сигналом усиливается также входной шум. Однако при
цифровой передаче повторитель наряду с функцией усиления может выполнять
функцию регенерации сигнала, свойственную цифровому оптическому приемнику.
Обычно блок регенерации охватывает цепь принятия решения и таймер. Блок
регенерации восстанавливает прямоугольную форму импульсов, устраняет шум, ре
синхронизирует передачу так, чтобы выходные импульсы попадали в соответствующие
тайм- слоты. Повторитель может и не содержать таймера и восстанавливать
прямоугольную форму импульсов по определенному порогу, независимо от того, на
какой скорости ведется передача. Такие "средонезависимые" повторители
применяются в локальных сетях, где имеет место асинхронный режим передачи [10].
Рисунок 1 - Электронно-оптический повторитель сигнала
Хотя повторители для цифровых линий связи могут быть независимыми от
среды, большинство из них рассчитано на вполне определенный стандарт. В
локальных сетях распространены повторители, преобразующие сигналы из
многомодового (mm) в одномодовое (sm) волокно. Такие повторители получили
название конвертеры. Широко распространены FDDI (100 Мбит/с), АТМ (155 Мбит/с),
АТМ (622 Мбит/с) sm/mm конвертеры (рис2.).
Рисунок 2 - Оптический ретранслятор сигнала
В таблице 1. Приведены типичные характеристики оптического повторителя
сигналов.
Таблица 1-Типичные технические характеристики
|
Общая информация
|
|
Название
|
OZD 485 G12 PRO
|
|
Краткое описание
|
Повторитель; конвертер из электрического сигнала в
оптический для RS485 сетей
|
|
Номер по каталогу
|
943 894-321
|
|
Производитель
|
Hirschmann
|
|
Интерфейсы
|
|
Количество и тип портов
|
2 оптических порта (BFOC 2.5 (ST®)) 1 электрический порт
(12-контактный терминальный блок)
|
|
Электрический интерфейс
|
|
Тип сигнала
|
RS 485
|
|
Входное сопротивление
|
10 КОм
|
|
Входное напряжение
|
-7В...+12В
|
|
Оптический интерфейс
|
|
Длина волны
|
860 нм
|
|
Входное напряжение
|
-30 dBm
|
|
Другие интерфейсы
|
|
Источник питания
|
7-контактный терминальный блок
|
|
Сигнальный контакт
|
7-контактный терминальный блок
|
|
Выходное напряжение
|
3-контактный терминальный блок
|
|
Топология сети - длина кабеля
|
|
Многомод (MM) 50/125 мкм
|
2300 м
|
|
Многомод (MM) 62.5/125 мкм
|
3100 м
|
|
Время реагирования системы
|
менее 1,56 мс
|
|
Электропитание
|
|
Рабочее напряжение
|
18...32 VDC
|
|
Потребляемый ток
|
140 мА
|
|
Потребляемая мощность
|
менее 3,5 Вт
|
|
Условия эксплуатации
|
|
Рабочая температура
|
-25С до +70С
|
|
Температура хранения
|
-25С до +80С
|
|
Влажность (без конденсата)
|
до 95%
|
|
Физические параметры
|
|
Установка
|
DIN-рельс 19"
|
|
Размеры
|
35 мм x 156 мм x 119 мм
|
|
Вес
|
195 г
|
|
Класс защиты
|
IP20
|
|
Материал корпуса
|
пластик
|
|
Сертификация
|
|
cUL 508
|
Есть
|
|
cUL 1604 Class1 Div 2
|
Есть
|
|
ATEX 95 (Ex II 3 G (Zone 2))
|
Есть
|
|
C-Tick
|
Есть
|
1.2 Оптические усилители
Оптический усилитель (ОУ), в отличие от повторителя, не осуществляет
оптоэлектронного преобразования, а сразу производит усиление оптического
сигнала, рис. 3. Оптические усилители не способны в принципе производить
регенерацию оптического сигнала. Они в равной степени усиливают как входной
сигнал, так и шум. Кроме этого, вносится собственный шум в выходной оптический
канал.Эти устройства обеспечивают внутреннее усиление оптического сигнала без
его преобразования в электрическую форму. Они используют принцип
индуцированного излучения, аналогично лазерам. Существует пять типов оптических
усилителей [11].
Рисунок 3 - Оптический усилитель сигнала
) Усилители Фабри перо. Усилители оснащаются плоским резонатором с
зеркальными полупрозрачными стенками. Они обеспечивают высокий коэффициент
усиления (до 25 дБ) в очень узком (1,5 ГГц), но широко перестраиваемом (800
ГГц) спектральном диапазоне. Кроме этого, эти устройства не чувствительны к
поляризации сигнала и характеризуются сильным подавлением боковых составляющих
(ослабление на 20 дБ за пределами интервала в 5 ГГц). В силу своих
характеристик, усилители Фабри перо идеально подходят для работы в качестве де
мультиплексоров, поскольку они могут всегда быть перестроены для усиления
только одной определенной длины волны одного канала из входного многоканального
WDM сигнала.
) Усилители на волокне, использующие бриллюэновское рассеяние.
Стимулированное бриллюэновское рассеяние - это нелинейный эффект, возникающий в
кремниевом волокне, когда энергия от оптической волны на частоте, скажем, f,
переходит в энергию новой волны на смещенной частоте f,. Если мощная накачка
производится на частоте f,, стимулированное бриллюэновское рассеяние способно
усиливать слабый входной сигнал на частоте f,. Выходной сигнал сосредоточен в
узком диапазоне, что позволяет выбирать канал с погрешностью 1,5 ГГц.
) Усилители на волокне, использующие романовское рассеяние.
Стимулированное романовское рассеяние - также нелинейный эффект, который
подобно бриллюэновскому рассеянию может использоваться для преобразования части
энергии из мощной волны накачки в слабую сигнальную волну. Однако, при
романовском рассеянии частотный сдвиг между сигнальной волной и волной накачки
~К - f, ) больше, а выходной спектральный диапазон усиления шире, что допускает
усиление сразу нескольких каналов в WDM сигнале. Большие переходные помехи
между усиливаемыми каналами представляют основную проблему при разработке таких
усилителей.
) Полупроводниковые лазерные усилители (ППЛУ). Основу ППЛУ составляет
активная среда, аналогичная той, которая используется в полупроводниковых
лазерах. В ППЛУ отсутствуют зеркальные резонаторы, характерные для
полупроводниковых лазеров. Для уменьшения френелевского отражения с обеих
сторон активной среды наносится специальное покрытие толщиной Х/4 с
согласованным показателем преломления.
) Усилители на примесном волокне. Этот тип оптического усилителя наиболее
широко распространен и является ключевым элементом в технологии полностью
оптических сетей, поскольку он позволяет усиливать сигнал в широком
спектральном диапазоне.
1.3 Сравнение характеристик
повторитель и оптических усилителей сигнала
Сравнительные характеристики повторителя и оптического усилителя
приведены в табл. 2. Концептуальная простота - один из притягивающих факторов
ОУ. Простота конструкции, в которой преобладают пассивные компоненты, в
конечном счете обещает низкую цену, так как число компонентов ОУ значительно
меньше, чем у повторителя. На практике, однако, цена ОУ значительно выше, чем у
повторителей. Но, по прогнозам специалистов, цена ОУ по мере увеличения рынка
продаж будет падать. ОУ имеет более высокую надежность, чем повторитель. Это
важное преимущество при создании ретрансляторов при прокладке подводного ВОК.
ОУ не привязан к скорости передачи, в то время как повторитель обычно
исполняется для работы на определенной скорости. Именно на эту скорость
конфигурируется таймер повторителя [12].
Таблица 2 - Сравнительная характеристика повторителей и оптических
усилителей
|
Характеристика
|
Повторитель
|
Оптический усилитель
|
|
Конструкция
|
Сложная
|
Простая
|
|
Цена
|
Низкая
|
Высокая, но падает
|
|
Надежность
|
Высокая
|
Очень высокая
|
|
Регенерация сигнала
|
Допустима
|
Исключена
|
|
Привязка к скорости передачи
|
Требуется
|
Не требуется
|
|
Возможность одновременной передачи нескольких сигналов
|
Не допускается
|
Допускается
|
|
Рабочая длина волны, нм
|
850, 1300, 1550
|
Область 1530-1560
|
|
Отношение сигнал шум
|
Высокое
|
Низкое
|
|
Область применения
|
Локальные сети, региональные сети, межрегиональные сети
|
Сейчас и в перспективе региональные сети, межрегиональные
сети
|
Повторитель работает с одним сигналом. ОУ может одновременно усиливать
несколько оптических сигналов, представленных несколькими длинами волн (WDM
сигнал) в пределах определенного интервала, который называется зоной усиления.
Это позволяет наращивать пропускную возможность линии связи, на которой
установлены ОУ, без добавления новых волокон.
. Оптические усилители сигнала
2.1 Основные параметры оптических усилителей
Оптические усилители сигнала предназначены для усиления оптического
сигнала за счет внутреннего усиление без промежуточного преобразования в
электрическую форму [13-15].
Основные характеристики оптических усилителей:
•коэффициент усиления;
•уровень (коэффициент) шума;
•динамический диапазон;
•амплитудно-фазовую характеристику (АФХ);
•коэффициент усиления среды;
•мощность насыщения;
•усиленное спонтанное излучение (УСИ);
•чувствительность к поляризации сигнала;
•амплитудно-волновую характеристику (АВХ).
Рассмотрим подробнее эти параметры.
В общем случае коэффициент усиления оптического усилителя для одного
сигнала на центральной частоте имеет вид:
(1)
где
и
)- мощности оптического сигнала на
входе и выходе усилителя, измеренные на рабочей угловой частоте (или
соответствующей длине волны) при малом уровне входного сигнала, гарантирующем
отсутствие насыщения выходного сигнала.
Основным активным агентом оптических усилителей является фотон,
следовательно, идеальный оптический усилитель с коэффициентом усиления K
должен синфазно генерировать на выходе ровно Kфотонов на каждый
фотон, попавший на его вход. То есть оптический усилитель должен
пропорционально усиливать интенсивность входного оптического сигнала, оставляя
его форму неизменной, независимо от его интенсивности, длины волны, состояния
поляризации, формы отображаемой двоичной последовательности. Фактически же
указанные факторы, а также ряд других факторов влияют на АФХ усилительной (или
активной) среды
или ее частотный спектр, а затем уже на АФХ собственно ОУ.
Практика показывает, что большинство оптических усилительных (активных)
сред можно рассматривать как однородную распределенную двухуровневую среду, для
которой коэффициент усиления среды на единицу длины может быть описан
выражением вида:
(2)
где:
- максимальное (вычисленное для малого входного сигнала
значение коэффициента усиления), зависящее от мощности накачки;
- разность частоты входного
оптического сигнала и частоты квантового перехода электронов с верхнего уровня
на нижний;
- время релаксации диполей вещества активной среды;
оптическая мощность входного сигнала;
- мощность насыщения.
Аналогично электронным усилителям модуль усиления ОУ зависит от уровня
входного сигнала. До определенного (малого) уровня входной мощности усиление
практически постоянно, зятем оно начинает экспоненциально падать (рис. 4) с
ростом уровня входной мощности. Этот "падающий" участок
характеристики является областью насыщения усилителя и объясняется уменьшением
коэффициента размножения, вызванным возрастающим с ростом входного сигнала
дефицитом частиц, которые способны генерировать вторичные фотоны, на том
уровне, где создается инверсия населенности. Эта область численно
характеризуется мощностью насыщения
на выходе усилителя, определяемой по
выходной характеристике на уровне -3 дБм, при котором коэффициент усиления
среды
падает в два раза.
Рисунок 4 -Зависимость коэффициента усиления от выходной мощности и
определение мощности насыщения
Амплитудно-фазовая характеристика ОУ зависит от ряда специфических для ОУ
параметров, влияние основных из них оценены ниже.
Рисунок 5 - Вид нормированных АФХ коэффициентов усиления среды и
ОУ в целом
Влияние
насыщения на АФХобусловлено третьим слагаемым ввыражении(2), которое может
приводить к существенному снижению усиления среды в целом, даже в области,
казалось бы, далекой от насыщения. Являясь ограничительным фактором, насыщение
может играть и регулирующую роль в стабилизации общего коэффициента усиления
при каскадном соединении многих усилителей в линии связи, что имеет место,
например, на трансокеанских линиях связи. Также, из выражения (2) видно, что
АФХ определяется двумя слагаемыми в знаменателе. Если принимать во внимание
зависимость от частоты только второго слагаемого, то грубо, в первом
приближении, ее можно аппроксимировать профилем Лоренца (рис. 4). Тогда,
используя его, можно получить, что полная ширина спектра на уровне половины от
максимума (FWHM) обратно пропорциональна:

Мощность усиливаемого оптического сигнала зависит от длины участка среды L
от точки входа потока сигнала в усилитель до его выхода. Учитывая это, АФХ
усилителя при условии постоянного коэффициента усиления среды
будет иметь вид (3):
(3)
Учитывая экспоненциальный характер этой зависимости, можно
констатировать, что спектр
усилителя будет существенно уже спектра
среды, что и видно на рис. 5, где
приведены нормированные характеристики
и
в зависимости от расстройки
.
Еще одним ограничивающим коэффициент усиления G фактором
является чувствительность усиления ОУ к поляризации усиливаемого сигнала, когда
усиление может меняться, и иногда значительно, в зависимости от поляризации.
Ситуация ухудшается в ВОЛС , учитывая, что в них состояние поляризации сигнала
не только не контролируется, но в волокне, даже одномодовом, может хаотически
меняться под действием случайных изменений формы сердцевины и анизотропии,
вызванной статическим напряжением отрезка оптоволокна (эффекты, известные,
применительно к одномодовому ОВ, как модовое двойное лучепреломление).
Аналогично страдают и системы с WDM, в которых степень поляризации входных
сигналов может быть различной.
Изменение поляризации приводит к паразитной амплитудной модуляции (ПАМ)
усиления, которая может носить периодический характер (как, например, для
усилителей бегущей волны). Степень такой чувствительности зависит от типа ОУ.
Динамический диапазон определяется как диапазон входной мощности
оптического сигнала, при котором коэффициент усиления G остается
постоянным. Он тесно связан с другим параметром - коэффициентом шума, зависящим
от уровня усиленного спонтанного излучения, остаточного сигнала накачки и
перекрестной помехи, которые кратко рассмотрены ниже.
Оптические усилители добавляют шум к усиливаему оптическому сигналу. Этот
шум обусловлен усиленным спонтанным излучением. Оно возникает под действием
случайных возмущающих факторов различной физической природы, вызывающих
спонтанное излучение, например нагрева усилителя (тепловые фотоны), а также за
счет наличия рассеянных фотонов. Шум приводит не только к уменьшению
динамического диапазона, но и к снижению максимально допустимого усиления.
Уменьшение динамического диапазона обычно характеризуется известным параметром F
- коэффициентом шума. Оценка этого параметра оптических усилителей
осуществляется на "электрическом уровне" путем преобразования
оптического сигнала в электрический с помощью фотодетектора. Для уменьшения
коэффициента шума, вызванного УСИ, сигнал на выходе ОУ фильтруют с помощью
полосового оптического фильтра - ПОФ.
Существует и еще один специфический источник шума в усилителях с накачкой
- остаточный сигнал накачки на выходе усилителя, влияние которого (напередатчик
или детектор в системе связи) может быть уменьшено как с помощью фильтра на
выходе ОУ, так и путем соответствующего выбора частоты источника накачки. Этот
вид помех характерен для многоканальных усилителей в системах WDM. Он
проявляется как паразитные амплитудная или частотная модуляции сигнала одного
канала другими сигналами.
Рассмотрим более подробно основные типы оптических усилителей.
2.2 Полупроводниковые оптические усилители
Полупроводниковые ОУ (ППОУ) основаны на использовании возбуждаемой
эмиссии, возникающей благодаря взаимодействию фотонов входного возбуждающего
излучения с электронами на возбужденном уровне в зоне проводимости - аналогично
описанному выше [14].
Полупроводник можно рассматривать при этом как идеально простую систему с
двумя неперекрывающимися энергетическими уровнями: нижним (релаксационным) -
валентная зона и верхним (возбужденным) - зона проводимости, разделенными
определенным зазором - потенциальным барьером. Как и в общем случае, оптическое
усиление возможно при условии создания определенного уровня инверсии
населенности (здесь избытка электронов в зоне проводимости) за счет накачки,
роль которой играет инжекция тока в полупроводник. Однако при этом энергия
основной массы электронов еще недостаточна для преодоления потенциального
барьера между зонами. Дня этого требуется дополнительная энергия возбуждения.
Входной сигнал - источник первичных фотонов - и служит таким источником
возбуждения, энергия которого должна быть достаточна, чтобы сбросить электроны
с верхнего уровня на нижний, где электрон и дырка рекомбинируют, вызывая
появление вторичных фотонов. Если один первичный фотон вызывает эмиссию K
вторичных фотонов, возникает K-кратное оптическое усиление.
Существуют два типа ППОУ:
· подпороговые усилители;
· надпороговые усилители.
Подпороговые усилители - это лазеры, работающие в режиме ниже порога
генерации излучения. Надпороговые усилители (или усилители с фиксированным
усилением) - напротив - лазеры, работающие в режиме выше порога генерации
излучения. Первый тип ОУ может также отличаться отсутствием или наличием
обратной связи (ОС), обеспечивающей многократную процедуру усиления. Если
усиление осуществляется за один проход (ОС отсутствует), то ОУ называется
усилителем бегущей волны (УБВ). На входном и выходном торцах такого усилителя
(полупроводникового блока длиной L) формируются грани с
антиотражающим покрытием (рис. 6), чтобы минимизировать отраженный луч,
приводящий к колебательности АВХ. Это позволяет поддерживать ее неравномерность
на уровне порядка 1 дБ.
Рисунок 6- Усилители бегущей волны
В многопроходных усилителях, наоборот, применяется оптическая обратная
связь ООС, для создания которой используется оптический резонатор. Им может
быть, например, плоский линейный резонатор Фабри-Перо - пара параллельных
полупрозрачных зеркал, закрепляемых на входе и выходе усилителя, между которыми
в процессе многократного отражения оптической волны и происходит усиление
интенсивности оптического сигнала (за счет преобразования энергии накачки в
энергию сигнала) до величины, достаточной для выхода оптического луча за
пределы резонатора (рис. 7). Такой ОУ называется усилителем (с резонатором)
Фабри-Перо - УФП (FPA).
Рисунок 7 - Усилители Фабри-Перо
Отличительной особенностью указанных типов ОУ является то, что УБВ имеет
непрерывную АВХ с достаточно большим плоским участком (порядка 60-100 нм на
уровне -ЗдБ), тогда как АВХ для УФП имеет вид, характерный для оптического
гребенчатого фильтра с узкими пиками импульсного усиления и постоянным шагом
пиков гребенки, обусловленным наличием у резонансной системы ряда продольных
мод с равномерным пространственным распределением. Для широкополосных
оптических систем плоская АВХ более предпочтительна, чем гребенчатая, которая к
тому же чувствительна к изменению характеристик оптической системы в целом.
Второй тип ОУ основан на использовании нормального (лазерного) режима
функционирования, когда поддерживается постоянное усиление, необходимое для
генерации основной излучаемой моды. В этих условиях могут быть без искажения
усилены и нужные нам сигналы, если их частоты достаточно далеки от частоты
указанной моды.
Различают два типа лазеров, генерирующих одну продольную моду, которые
могут играть роль такого ОУ:
· лазеры с распределенной обратной связью - ЛРОС;
· лазеры с распределенным отражателем Брэгга - ЛРОБ.
Усиление у таких лазеров в режиме ОУ осуществляется на частотах, отличных
от резонансной, и оказывается возможным благодаря тому, что АВХ лазера имеет
достаточно большое усиление на широком, непрерывном и гладком пьедестале,
который обычно симметричен относительно резонансного пика генерируемой
продольной моды. Такие усилители легко могут обеспечить усиление 10-15 дБ и
отличаются пониженным значением переходной помехи при использовании в
многоканальном режиме.
Основными характеристиками ППОУ, как и любого усилителя, являются:
· коэффициент усиления;
· уровень шумов;
· динамический диапазон;
· неравномерность АВХ.
Коэффициент усиления ППОУ представляет собой экспоненциальную,
характерную для систем с насыщением функцию, зависящую от длины усилителя и
коэффициента усиления материала полупроводника. Ширина полосы АВХ для
коэффициента усиления материала g0, как уже отмечалось выше,
оказывается существенно большей, чем для G0. Эта особенность
еще больше усиливается для многопроходных усилителей типа УФП. В целом ширина
полосы для УБВ оказывается на три порядка шире, чем для УФП.
Реализуемые коэффициенты усиления составляют для УБВ -15 дБ (волна ТМ)
или 22 дБ (волна ТЕ); для УФП -22-25 дБ. Максимум коэффициента усиления зависит
от величины тока через полупроводник и лежит в диапазоне 1520 - 1460 нм,
смещаясь в сторону меньших длин волн при большей величине тока.
Динамический диапазон без учета шума ППОУ может достигать 35-45 дБ. ППОУ,
как и любой ОУ, добавляет шум за счет УСИ к усиливаемуоптическому сигналу. Шум
приводит не только к уменьшению динамического диапазона, но и к снижению
максимально допустимого усиления. Например, если уровень мощности шума составляет
около 20 дБ, а уровень усиления сигнала на его фоне - 25 дБ, то динамический
диапазон, который мог бы в отсутствие шума составить 45 дБ, уменьшается при
наличии шума до величины 25 дБ.
Учитывая, что кодовые последовательности, передаваемые по цифровым сетям
связи, приводят к необходимости передачи импульсов, усилитель должен быть
импульсным. Импульсы, передаваемые по сети, являются фактически импульсами
лазерных диодов и имеют, как правило, симметричную гауссовскую форму.
Импульсные усилители могут искажать форму этих импульсов, если ширина импульса tи
меньше времени жизни носителей заряда в полупроводнике tн.
Это искажение приводит к асимметрии импульсов - передний фронт становится
круче, задний положе. Это явление проявляется тем больше, чем ближе коэффициент
усиления к величине, соответствующей насыщению. Если в этих условиях передается
последовательность коротких импульсов, соответствующая определенной структуре
двоичной последовательности, то эта структура может искажаться. Если же tи
соизмеримо с tн, то импульс может уширяться, и тем больше,
чем ближе усиление к насыщению. Искажения формы импульсов может быть также
обусловлено возникновением ФСМ и ФКМ.
При многоканальном усилении, имеющем место в системах с WDМ, может
проявляться еще один вид искажений - комбинационные гармоники, возникающие
из-за перекрестной модуляции (ПКМ) и четырехволнового смешения (ЧВС). ПКМ может
проявляться либо в виде амплитудной кросс-модуляции (АКМ), которая приводит к
симметричному уширению спектра импульса, либо в виде уже упоминавшейся ФКМ,
которая приводит к асимметричному спектральному уширению импульса. Если,
например, используются только две частоты f1 и f2,
то как минимум при ПКМ возникают гармоники f1+-f2,
а при ЧВС - гармоники 2f1-f2 и 2f2-f1.
Наличие гармоник приводит не только к нелинейным искажениям, но и к тому, что
насыщение происходит при меньшем уровне усиливаемого сигнала, а сам сигнал
дополнительно случайно флуктуирует в зависимости от характера
последовательности бит. Причем наибольшее влияние оказывает ЧВС.
Если, например, одновременно усиливаются сигналы с длинами волн 1310 нм и
1550 нм, то ЧВС приводит к появлению составляющих 1134 нм и 1917 нм, которые
могут оказать влияние только тогда, когда они лежат в полосе пропускания
усилителя, что в данном случае маловероятно. Если же усиливаются четыре сигнала
и больше в полосе 1450-1600 нм с разделением по длинам волн порядка 50 нм и
меньше, то уже, например, ЧВС сигналов 1500 нм и 1550 нм дают составляющую 1449
нм, лежащую в полосе пропускания усилителя.
ППОУ могут быть использованы по крайней мере в трех различных классах
синхронных оптических систем:
· усилителях;
· компенсаторах дисперсии;
· оптических коммутаторах.
Как усилители (т.е. по основному назначению) ППОУ могут быть использованы
в качестве предусилителей перед детектированием оптического сигнала, а также в
качестве усилителей мощности в линейных системах для компенсации распределенных
потерь в линии, позволяющих увеличить длину регенерационного участка. ППОУ
могут быть интегрированы вместе с полупроводниковым лазером для создания
эффективного источника в когерентных оптических системах. ППОУ могут быть
использованы как компенсаторы дисперсии в ОВ, учитывая то, что они даже в
одноканальном варианте вызывают увеличение крутизны переднего и уменьшение
крутизны заднего фронтов импульсов (эффект, характерный для ЛЧМ), а в
многоканальном варианте к нему прибавляется эффект ФКМ. Если использовать ЧВС в
ППОУ для частотной конверсии спектра, приводящей к инвертированию порядка
следования частотных составляющих импульса, т.е. фактически к изменению знака
дисперсии, то можно компенсировать дисперсию на последующем участке с ОВ. ППОУ
могут быть использованы в качестве оптических коммутаторов для пространственной
коммутации или разделения по длинам волн.
2.3 Оптические усилители, использующие нелинейные явления
В оптических системах, использующих волоконно-оптический кабель, для
усиления сигналов можно использовать нелинейные явления в оптическом волокне,
такие, как ВКР или эффект Рамана, ВРМБ и параметрическое усиление [15].
Оптический световод, как и любой диэлектрик, демонстрирует нелинейное
поведение в сильном электромагнитном поле. Такие поля образуются даже при
использовании относительно маломощных источников излучения за счет большой
плотности мощности, реализуемой в силу малого поперечного сечения одномодового
кабеля (порядка 5*10-11 м2).
Ситуация усугубляется в системах с оптическими усилителями, используемых
для обеспечения большой длины регенерационного участка, а также в
высоко-плотных системах с разделением по длинам волн, где используются
источники интенсивного лазерного излучения. Наиболее явно проявляются
нелинейные эффекты низших порядков:
· нелинейное преломление - явление, при котором показатель преломления зависит от
интенсивности электрического поляЕ;
· вынужденное неупругое рассеяние - явление, при котором оптическая
волна передает часть своей энергии нелинейной среде в результате взаимодействия
с молекулами;
· модуляционная неустойчивость - явление модуляции стационарного
волнового состояния под действием нелинейных и дисперсионных эффектов;
· параметрические процессы - явления, вызванные взаимодействием оптических волн
с электронами внешних оболочек (четырехволновое смешение ЧВС, генерация
гармоник и параметрическое усиление).
Показатель преломления оптической среды не только зависит от частоты
(этот факт рассматривается в рамках линейной теории), но и от интенсивности
света I, или квадрата напряженности электрического поляЕ:
(4)
где:
- линейная часть, описываемая уравнением Селлмейера и
зависящая от частоты,
- нелинейная составляющая показателя преломления, зависящая
от электрического поля.
Нелинейная составляющая n2 может быть выражена
следующим уравнением:
(5)
где:
- коэффициент нелинейности показателя преломления,
- составляющая нелинейной
диэлектрической восприимчивости 3-го порядка (является компонентой (1111)
тензора 4-го порядка.
Зависимость n от|Е|2 приводит к таким нелинейным
эффектам, как фазовая самомодуляция (ФСМ) и фазовая кросс-модуляция (ФКМ):
· ФСМ обусловлена нелинейным набегом фазы, который оптическое поле
приобретает при распространении в световоде, причем набег фазы увеличивается с
увеличением длины распространения z, приводя к симметричному
спектральному уширению коротких импульсов;
· ФКМ обусловлена набегом фазы, наведенным электрическим полем
источника, излучающего на другой длине волны; эта волна распространяется
совместно с исходной и вызывает асимметричное спектральное уширение совместно
распространяющихся импульсов.
Изменение фазы при появлении ФСМ вызывает паразитную частотную модуляцию
(ПЧМ) импульса, глубина которой растет с ростом z, что и объясняет
уширение спектра импульса. Этот спектр имеет обычно осциллирующий характер и
зависит от формы импульса и его начальной паразитной частотной модуляции (ПЧМ),
которая наблюдается у многих источников излучения. Если на ФСМ накладывается
ДГС, то для волокна с положительной дисперсией ее влияние обычное и сводится к
уширению спектра и расплыванию импульса со временем. Если же дисперсия волокна
отрицательна, то ее влияние необычное - гауссовский импульс несколько
расширяется, затем стабилизируется, а спектр импульса сужается. Если же импульс
имеет форму гиперболического секанса (близок к гауссовскому), то в отсутствие
начальной ПЧМ импульс ведет себя как солитон - ни форма, ни спектр импульса не
изменяются при распространении.
Таким образом, совместное действие ФСМ и ДГС в световоде в области
отрицательных дисперсий является одной из основных причин, которая объясняет
существование оптических солитонов.
Явление
вынужденного неупругого рассеяния, в отличие от упругого взаимодействия
(изучаемого в линейной теории), обусловлено неупругим взаимодействием, при
котором оптическое поле передает часть своей энергии нелинейной среде. С ним
связаны два явления:
· вынужденное рамановское/комбинационное рассеяние (ВКР)
· вынужденное рассеяние Мандельштама-Бриллюэна (ВРМБ)
Квантовый механизм рассеяния состоит в том, что фотон падающего пучка
(например пучка лазерной накачки оптического усилителя) распадается на фотон
меньшей (комбинационной или разностной) частоты и фонон. Если принять, что wc и wнак - частоты сигнала и накачки, то это
происходит по схеме: wнак-wс=wр. Излучение разностной частоты wр называется стоксовой волной. Для ВКР
стоксовая волна может распространяться в обоих направлениях, но преимущественно
распространяется по направлению падающего пучка, для ВРБМ - в противоположном
направлении.
Оба эти явления носят пороговый характер, но имеют и существенные
различия: одно наблюдается при мощностях накачки порядка 1 Вт (ВКР), другое
-порядка 10 МВт (ВРМБ). Важной особенностью этих явлений является то, что их
интенсивность в волоконных световодах может увеличиваться на много порядков (до
109 раз на длине волны 1550 нм при затухании 0,2 дБ/км), создавая
возможность для оптического усиления.
Благодаря этому оба эти явления используются в оптических усилителях,
имеющих одноименные названия:
· ВКР-усилители (или рамановские, или комбинационные усилители)
· ВРМБ-усилители
Явление ВРМБ стало предметом более пристального изучения в последнее
время в связи с значительным усовершенствованием систем передачи с одной
несущей и достижением близких к предельным показателей по длине пролета
(участка перекрытия - аврал), за счет использования все более мощных лазерных
источников излучения, а также показателей по скорости передаваемого сигнала, за
счет увеличения разрешающей способности (степени монохроматичности) лазерного
сигнала. В обоих случаях происходит увеличение плотности потока световой
энергии, приводящее к усилению нелинейных эффектов, которые в первую очередь
проявляются через ВРБМ, учитывая, что оно имеет самый низкий порог
возникновения. Возникнув, ВРБМ само приводит, при определенных уровнях
излучения накачки, к возникновению пороговых явлений, ограничивающих мощность
полезного распространяющегося сигнала.
Физическая суть явления такова. Фонон, рождаемый в схеме процесса,
возбуждает акустические волны, распространяющиеся в том же направлении, но со
значительно меньшей скоростью 5 км/с за счет эффекта электрострикции (основная
волна распространяется в ОМ ОВ с фазовой скоростью порядка 204000 км/с). Они
создают пространственные колебания плотности в волокне (сгустки и разрежения),
приводя к локальному изменению показателя преломления - эффекту фотоупругости.
Фотон, также рождаемый в схеме этого процесса, формирует стоксовую волну,
которая распространяется в обратном направлении и называется волной обратного
рассеяния. Ее интенсивность тем выше, чем больше эффект фотоупругости, а он, в
свою очередь, тем больше, чем выше уровень накачки. При некотором его уровне,
называемом пороговым уровнем ВРБМ, начинает резко увеличивается интенсивность
волны обратного рассеяния, что ухудшает эффективность передачи основного
сигнала. При дальнейшем увеличении подаваемого в ОВ сигнала интенсивность
основного сигнала перестает расти и даже начинает падать.
Итак, очевидно, что ВРБМ приводит к двум эффектам:
· установлению верхней границы оптической мощности, эффективно
используемой системой (увеличение длины перекрытия, например, за счет
увеличения мощности источника сигнала оказывается ограниченным величиной
порогового уровня ВРБМ)
· ухудшению качества основного сигнала за счет взаимодействия
основной волны с волной обратного рассеяния, а также с волной двойного
обратного рассеяния, возникающей за счет отражения волны обратного рассеяния.
Пороговый уровень ВРБМ зависит от ряда факторов:
· ширины линии лазерного источника (чем она шире, тем пороговый
уровень выше)
· эффективной площади поперечного сечения ОВ (чем он больше,
тем лучше)
· длины ОВ (при длине до 10 км проблем с ВРБМ не возникает)
· технологии модуляции сигнала (лазерный источник с прямой
модуляцией имеет ширину порядка 1 ГГц, а с внешней модуляцией - 1МГц).
Явление ВКР можно использовать для усиления оптического сигнала, если он
распространяется вместе с интенсивной волной накачки и его длина волны лежит в
полосе комбинационного усиления. Эти усилители также называют комбинационными
или рамановскими усилителями. Для случая, когда интенсивность сигнала Ic
меньше интенсивности накачки Iнак, усиление
определяется следующим выражением:
(6)
где
- мощность накачки;
и
- эффективные длина и площадь
поперечного сечения ОВ, а
- эквивалентная крутизна усиления оптического усилителя
(обычно порядка 10-13 м/Вт).
Типичными параметрами являются мощность накачки 1 Вт, коэффициент
усиления порядка 30 дБм (1000 раз). Мощность насыщения Рн
ВКР-усилителей значительно больше, чем ППОУ (1Вт против 1 мВт), причем накачка
может быть как попутная, так и встречная. В качестве накачки используются
лазеры с длиной волны 1060 нм (для усиления сигналов 1300 нм) и 1320 нм (для
усиления сигналов с длиной волны 1550 нм). Этот тип усилителей достаточно
широкополосен (5-10 ТТц) и годится для усиления сигналов в схемах с WDM и
усиления коротких импульсов (пикосекундного диапазона).
Явление ВРМБ также может быть использовано для усиления оптического
сигнала. Однако ширина полосы такого усиления значительно меньше, чем у
ВКР-усилителей (десятки мегагерц против терагерц). Кроме того, частота накачки
должна отличаться от частоты усиливаемого сигнала на малую величину (< 100
МГц), что делает их непригодными для усиления сигналов в схемах с WDM. Формула
для коэффициента усиления аналогична, с той только разницей, что Рнак
и мощность насыщения усилителя Рн составляют около 1
мВт.
Параметрическое усиление основано на использовании явления, называемого
частично вырожденным четырехволновым смешением ЧВЧВС. Стоксовая и антистоксовая
компоненты при этом называются сигнальной и холостой волнами.
При точном синхронизме и gL>> 1, где g
- коэффициент параметрического усиления, в области, далекой от насыщения, а
также в случае вырождения по накачке, когда существует только одна частота
накачки, формула для коэффициента усиления параметрического усилителя,
полученного за один проход, имеет вид:
где
- среднее значение коэффициента нелинейности,
- длина световода.
Грубая оценка ширины полосы усиления дает величину порядка 100 ГГц. Эта
величина является промежуточной между аналогичными величинами ВКР-усилителей и
ВРМБ-усилителей.
Параметрический усилитель имеет ряд специфических недостатков:
· требует точного соблюдения фазового синхронизма;
· жесткого контроля длины световода;
· учет положения и уровня усиления холостой волны;
· учет истощения накачки и уширения ее спектра, приводящих к
уменьшению параметрического усиления и др.
Эксперименты с такими усилителями показывают возможность достижения
больших коэффициентов усиления 38-46 дБм, однако требуют большой мощности
накачки (30-70 Вт) и спецсредств для поддержания синхронизма. Все это не
позволяет (по крайней мере сегодня) использовать такие усилители в синхронных
системах связи.
2.4 Оптические усилители,
легированном редкоземельными элементами
Оптические усилители, использующие в качестве активного материала
редкоземельные элементы РЗЭ (или лантаниды - элементы с 57 по 71 в
Периодической таблицы Менделеева), были известны достаточно давно, однако
активное исследование этого типа усилителей началось только с конца 80-х (1987)
и активизировалость с появлением высококачественного ОВ и систем WDM [16-20].
Объяснение принципа работы таких усилителей базируется на следующем. В
процессе изготовления основной материал (в нашем случае стекло ОВ) легируется
(т.е. к нему добавляются примеси) редкоземельными металлами. Их ионы создают
активную среду для усиления в определенных полосах длин волн, соответствующих
полосам поглощения легирующего материала. Примесные ионы могут быть легко
возбуждены излучением лазерной накачки соответствующих длин волн, а затем
относительно легко могут (под действием принятого информационного светового
сигнала) сбросить возбужденные электроны на нижний уровень в процессе
релаксации.
Этот процесс может не укладываться в двухуровневую модель взаимодействия,
принятую ранее в качестве основной, так как он может проходить как без
излучения, так и с излучением фотонов. В первом случае создаются фононы
(энергия перехода вызывает акустические колебания окружающего материала среды).
Во-втором, происходит возбуждение фотонов. Причем переход с возбужденного
уровня ионов на уровень релаксации происходит через промежуточный
метастабильный уровень, обусловленный верхним уровнем лазерной накачки. Таким
образом, модель взаимодействия становится трехуровневой. В любом случае для
нормального взаимодействия энергия падающего фотона в потоке сигнала должна
быть равна разности энергий возбужденного уровня и уровня релаксации.
Для легирования с целью последующего усиления до недавнего времени
использовали, как правило, только три РЗЭ:
· неодим (Nd) и празеодим (Pr) - для усиления сигналов в окне
1300 нм
· эрбий (Er) - для усиления сигналов в окне 1550 нм
В последнее время к ним добавился иттербий (Yb), применяемый совместно с
Er для расширения спектра поглощения в области 700-1100 нм, что позволяет
использовать новые более мощные источники накачки. Спектры поглощения этих
металлов позволяют определить длины волн возможных источников накачки. Ими
могут быть известные типы лазеров, генерирующих длины волн 797 нм и 1053 нм.
Из указанных первых двух РЗЭ оптический усилитель на ОВ, легированном
неодимом ОУЛН (NDFA), работает на длине волны порядка 1340 нм и едва ли может
быть использован для получения существенного усиления на рабочей длине волны
систем связи 1310 нм. Более удачным в этом плане можно считать оптический
усилитель на 0В, легированном празеодимом ОУЛП (PDFА). Основными особенностями
усилителей этого диапазона является то, что материалом для легирования обычно
является флюоритовое, а не кварцевое стекло, а также низкая эффективность
накачки (не выше 4 дБм/мВт). Опытные результаты дают усиление около 34 дБм при
мощности насыщения порядка 200 мВт.
Таким усилителем является оптический усилитель на ОВ, легированном эрбием
ОУЛЭ (EDFА). Этот тип усилителя использует кварцевое стекло в качестве
материала для легирования эрбием. Ионы эрбия имеют пики поглощения в районе
длин волн 532,660,808, 980 и 1480 нм. Из этого следует, что источником накачки
могут служить известные типы лазеров с длинами волн 797/800, 980 и 1480 нм. Из
них лазеры на 800 и 980 нм соответствуют трехуровневой модели взаимодействия, а
на 1480 нм - двухуровневой модели, причем более эффективно использовать лазер
на 980 нм. Эти лазеры используются достаточно широко, учитывая их возможность
(благодаря трехуровневой модели взаимодействия) реализовать очень низкий
уровень шумов (порядка 3-5 дБ). Однако лазеры на 1480 нм, хотя и являются менее
эффективными (70% от эффективности лазеров на 980 нм), считаются более
предпочтительными (как более надежные), позволяющими вместе с тем реализовать
достаточно низкий уровень шума (порядка 5 дБ).
При использовании иттербия в качестве дополнительного легирующего
элемента для ЕDFА можно воспользоваться лазерными диодами накачки, работающими
на длине волны 1053 нм (так называемые DPSS-лазеры). Их использование позволяет
получить более мощный источник накачки, что повышает усиление или увеличивает
срок службы при меньших фактически используемых мощностях.
2.5 Оптические усилители, легированные эрбием
Оптические
усилители, использующие в качестве активного материала редкоземельный элемент
эрбий за отсутствие преобразования в электрический сигнал, возможность
одновременного усиления сигналов с разными длинами волн
<#"668838.files/image036.gif">
Рисунок 8- Схема усиления на оптическом усилителе, легированного эрбием
Рисунок 9 - Упрощенная трехуровневая схема уровней энергии ионов эрбия
Накачка переводит ионы эрбия (Er3 +) в возбужденное состояние 4I13/2
(вслучае накачки 980 нм через состояние 4I11/2) (рис.9.).
Возбужденная среда может усиливать свет в диапазоне длины волны 1.5-μm
посредством
стимулированного вынужденного излучения. При этом возбужденные ионы переходят
обратно в основное состояние 4I15/2.
Усилитель, показанный на рис. 8, содержит два оптических изолятора с
присоединенными волоконными выходами (так называемые компоненты “pig-tailed” -
"со свиными хвостиками" или "с косичками"). Изолятор на
входе усилителя не позволяет свету из усилителя выйти в обратном направлении,
чтобы не нарушить работу предыдущих каскадов усиления. Также, иногда изолятор
ставится на выходе усилителя - чтобы обратно отраженное излучение от оптических
компонентов на выходе не нарушили работу самого усилителя. Форма спектра
усиления эрбия зависит от сечений поглощения и излучения, которые зависят от
стекла матрицы. Кроме того, спектральная форма усиления, и не только ее
величина, существенно зависит от средней степени возбуждения ионов эрбия, поскольку
генерация осуществляется по "квази-трехуровневый" переход. На Рис. 10
показан спектр усиления для наиболее распространенного типа стекла, который
является некоторой разновидностью кварца с дополнительными примесями, например,
чтобы избежать кластеризации ионов эрбия. В других стеклах спектр может
существенно отличаться.
Сильный трехуровневый режим (с прозрачностью, достигаемой при уровне
возбуждения более 50 %), наблюдается на 1535 нм. В этом спектральном диапазоне
ненакачанное волокно показывает существенные потери, но высокое поперечное
сечение перехода обеспечивает высокое усиление при сильном возбуждении.
На более длинных волнах (например, 1580 нм), для получения усиления
требуется более низкий уровень возбуждения, но при этом максимальное усиление
меньше. Максимальное усиление, как правило, наблюдается в диапазонах длин волн
приблизительно 1530-1560 нм.
Рисунок 10- Спектр усиления эрбиевого оптоволокна
Локальный уровень возбуждения зависит от сечений поглощения и испускания,
от уровня накачки и интенсивности задающего сигнала. Средний уровень
возбуждения по всей длине волокна зависит от накачки и мощности задающего
сигнала, но также и от длины волокна и концентрации ионов эрбия. Выбор этих
параметров (вместе с выбором стекла) используются, чтобы оптимизировать EDFAs
для заданной области длины волны, например для областей L или C.
Равномерность (плоская форма спектра) усиления в широком диапазоне длин
волн, как требуется, например, для спектрального уплотнения передаваемой
информации, может быть получена при использовании оптимизированных стеклянных
матриц (например, теллуридных или фторидных волокон или некоторой комбинации
нескольких секций усилителя с различными стеклами) или комбинацией с
соответствующими оптическими фильтрами, такими как длиннопериоднымибрэгговскими
решетками.
Волоконно-оптический усилитель на оптическом волокне, легированном ионами
эрбием носят названия EDFA, и имеют следующие параметры:
· мощность насыщения;
· коэффициент усиления;
· мощность усиленного спонтанного излучения;
· шум-фактор.
Мощность насыщения определяет максимальную выходную мощность усилителя.
Большее значение мощности позволяет увеличивать расстояние безретрансляционного
участка. Этот параметр варьируется в зависимости от модели оптического
усилителя. У мощных EDFA он может превосходить 36 дБм (4 Вт).
Коэффициент усиления определяется из соотношения:
где:
и
- мощности (полезных) сигналов на входе и выходе усилителя, а
логарифмический эквивалент определяется по формуле
. Величина коэффициента усиления
зависит от входной мощности и стремиться к своему максимальному пределу по мере
уменьшения мощности входного сигнала.
В отсутствии входного сигнала EDFA является источником спонтанного
излучения фотонов. Спектр излучения зависит от формы энергетической зоны атомов
эрбия и от статистического распределения заселенностей уровней зоны. Спонтанно
образованные фотоны, распространяясь по волокну в активной зоне усилителя EDFA,
тиражируются, в результате чего создаются вторичные фотоны на той же длине
волны, с той же фазой, поляризацией и направлением распространения.
Результирующий спектр спонтанных фотонов называется усиленным спонтанным
излучением. Его мощность нормируется в расчете на 1 Гц и имеет размерность
Вт/Гц.
Если на вход усилителя подается сигнал, от лазера, то определенная доля
энергетических переходов, ранее работавшая на усиленное спонтанное излучение,
начинает происходить под действием сигнала от лазера, усиливая входной сигнал.
Таким образом происходит не только усиление полезного входного сигнала, но и
ослабление ASE.
При подаче на вход мультиплексного сигнала происходит дальнейший отток
мощности от ASE в пользу усиливаемых мультиплексных каналов. Обычно усилители
работают в режиме насыщения по отношению к сигналу на выходе. Это создает
естественное выравнивание уровней сигналов в каналах, что крайне желательно
особенно для протяженных линиях с большим числом последовательных усилителей.
Если лазер, предшествующий усилителю, генерирует излучение в спектральном
окне
и соответственно в этом же окне
пропускает сигнал фильтр в приемном оптоэлектронном модуле, то вклад в мощность
шума на выходе благодаря усиленному спонтанному излучению будет равен
.
Таким образом, оптические линии с каскадом EDFA проявляют себя лучше,
когда мультиплексный сигнал представлен более узкими в спектральном отношении
отдельными каналами. Использование узкополосных фильтров непосредственно перед
приемным оптоэлектронным модулем, настроенных на рабочую длину волны, также
помогает уменьшить уровень шума от усиленного спонтанного излучения.
Рисунок 11 - Выходной спектр EDFA, снятый спектральным анализатором (ASE
- спектральная плотность шума)
Большие собственные временные постоянные EDFA - постоянная времени
перехода в метастабильное состояние ~1 мкс, время жизни метастабильного
состояния ~10 мкс - устраняют кросс-модуляцию ASE в усилителе и делает более
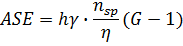
стабильной работу каскада оптических усилителей. Мощность усиленного
спонтанного излучения связана к коэффициентом усиления формулой:
где:
- постоянная планка, равная 6,6252 x 10-34 Втс2;
- частота (Гц), соответствующая длине волны lиз диапазона 1530-1560 нм;
- коэффициент спонтанной эмиссии;
h- квантовая эффективность. В идеальном случае
при
отнесенная ко входу мощность
усиленного спонтанного излучения идеального квантового усилителя
просто равна
, что приl= 1550 нм составляет 1.28 x 10-19
Вт/Гц в расчете на спектральную полосу 1 Гц.
Размеру окна анализатора в 0,8 нм соответствует спектральное окно в 100
ГГц, что определяет приведенную к входу величину эффективной мощности
усиленного спонтанного излучения 1.28 x 10-8 Вт или -48,9 дБм).
Шум-фактор определяется как отношение сигнал/шум на входе (
) к отношению сигнал/шум на выходе (
):

то шум-фактор можно выразить через коэффициент усиления и мощность
усиленного спонтанного излучения:
Часто при описании EDFA значение шум-фактора указывается в дБ:
. Минимальный шум-фактор равен 1 (0
дБ) и достигается при
или при G=1.
Это означает, что усилитель вносит минимальный шум, равный шуму идеального
оптического усилителя. На практике сразу на 3 дБ необходимо увеличить nf, так как существует два направления
поляризации (две моды), в связи с чем
, а типичные значения составляют 5,5
дБ.
Чем ближе к 1 значение шум-фактора, тем меньше дополнительный шум вносит
усилитель. В тоже время при использовании каскада из нескольких усилителей
полный шум-фактор возрастает.
Классификация
EDFA по способам применения различают:
· предварительные усилители
· линейные усилители
· усилители мощности
Предварительные усилители (предусилители) устанавливаются непосредственно
перед приемником регенератора и способствуют увеличению отношения сигнал/шум на
выходе электронного каскада усиления в оптоэлектронном приемнике. Оптические
предусилители часто используются в качестве замены сложных и обычно дорогих
когерентных оптических приемников.
Линейные усилители устанавливаются в промежуточных точках протяженных
линий связи между регенераторами или на выходе оптических разветвителей с целью
компенсации ослабления сигнала, которое происходит из-за затухания в оптическом
волокне или из-за разветвления в оптических разветвителях, ответвителях,
мультиплексорах WDM. Линейные усилители заменяют оптоэлектронные повторители и
регенераторы в тех случаях, когда нет необходимости в точном восстановлении
сигнала.
Усилители мощности (бустеры) устанавливаются непосредственно после
лазерных передатчиков и предназначены для дополнительного усиления сигнала до
уровня, который не может быть достигнут на основ лазерного диода.
Бустеры могут также устанавливаться перед оптическим разветвителем,
например при передаче нисходящего трафика в гибридных волоконно-коаксиальных
архитектурах кабельного телевидения.
Рисунок 12 - Применение разных типов оптических усилителей
В таблице 3 указана степень значимости параметров EDFA в зависимости от
типа усилителя.
Таблица 3 - Сравнительный анализ параметров трех типов EFDA
|
Параметр
|
Предусилитель
|
Линейный усилитель
|
Усилитель мощности
|
|
Коэффициент усиления G
|
высокий *
|
средний
|
низкий
|
|
Коэффициент шума NF
|
низкий
|
средний *
|
низкий
|
|
Мощность насыщения Poutsut
|
низкая
|
средняя
|
высокая *
|
|
Нелинейность **
|
низкая
|
низкая
|
низкая
|
|
Зона усиления
|
узкая
|
широкая
|
широкая
|
|
Отклонение от плато G
|
не указывается
|
высокая линейность
|
высокая линейность
|
* - указан наиболее значимый параметр;
** - нелинейность охватывает совокупность характеристик: зависимость G от
Pin , поляризационную чувствительность, PMD усилителя, поперечные помехи между
каналами.
3. Оптимальные параметры
функционирования оптических усилителей
3.1 Каскадное усиление оптического
сигнала
Использование многокаскадного усиления оптического сигнала позволяет
добиться оптимального и высокого значения коэффициента усиления, при этом
минимизировать шум усиления [19-21].
На рис. 13 показана типовая диаграммы мощности сигнала в процессе
распространения, а также процесс накопления шума в линии из каскада усилителей
EDFA. Каждый усилитель осуществляет усиление сигнала коэффициент усиления
(дБ) и вносит определенный уровень
шума
(Вт).
Далее будем пренебрегать мощностью шума нулевых флуктуаций.
Рисунок 13 -Диаграммы мощности в межрегенерационной линии с каскадом
усилителей EDFA
Обозначим удельное затухание в волокне α(дБ/км), тогда полное затухание на
длине L(км) сегмента между EDFA составляет lL.
Ниже приведены основные соотношения, описывающие процессы затухания в линии и
усиление на EDFA для полезного сигнала и шума:
где: введены обозначения
,
,
,
соответственно для мощности входного и выходного сигнала, а
также входного и выходного шума по отношению к усилителю
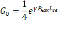
. Оптические усилители
характеризуются определенной мощностью насыщения выходного сигнала
. Эффективная работа усилителя
достигается при таком входном сигнале, когда выходной сигнал сравним с
мощностью насыщения (обычно немного превосходит мощность насыщения) - при
меньшем уровне входного сигнала возрастает удельный вес постоянной составляющей
вносимого шума, а при большем уровне входного сигнала (следовательно и входного
шума) происходит усиление только шума. Таким образом, в идеально
сбалансированной линии из каскада усилителей
. Отсюда
. Тогда, получаем
. Пренебрегая уровнем шума
в выходном сигнале от стартового
регенератора, т.е. положив
, для отношения сигнал/шум на выходе k-го усилителя находим:
дБ. И окончательно, если мощность
сигнала и шума указана в дБм, запишем это соотношение в виде:
(дБ) (7)
где:
(дБм), значение
нужно подставлять в Гц.
Как видно из (7), SNR падает с ростом числа каскадов EDFA. Допустимая
величина SNR сильно зависит от сетевого/телекоммуникационного стандарта. По
этой причине выбор оптических усилителей с теми или иными параметрами, равно
как расчет максимального число усилителей в регенерационной линии и
максимальной протяженности сегментов, должны проводится строго в соответствии с
планируемым сетевым приложением. Например, если в мультиплексных каналах
одновременно будут использоваться сетевые стандарты: ATM/STM-1, ATM/STM-4,
GigabitEthernet, STM-16, то достаточно удовлетворить самому жесткому требованию
на SNR из них, в данном случае это - STM-16.
3.2 Фильтры выравнивания спектра усиления
Наряду с быстрым развитием цифровых средств связи современные
телекоммуникационные системы предъявляют к сетям жесткие требования более
высокой пропускной способности. В сфере оптических средств связи пропускная
способность волоконно-оптических кабелей огромна. В традиционных сетях вне
зависимости от того, применяют ли для увеличения пропускной способности
пространственное уплотнение сигналов (space-divisionmultiplex, SDM) или
временное уплотнение сигналов (time-divisionmultiplex, TDM), передают
оптические сигналы только на одной длине волны. По сравнению с передачей на
одной длине волны полоса пропускания волоконно-оптического кабеля практически
не ограничена. С целью использования гигантских ресурсов полосы пропускания
волоконно-оптического кабеля и увеличения пропускной способности передачи по
волоконно-оптическим кабелям разработана технология нового поколения
волоконно-оптических кабелей, взявшая за основу технологию плотного уплотнения
каналов связи с разделением по длине волны (DWDM) [20].
Появление волоконно-оптических усилителей легированных эрбием (EDFA)
привело к быстрому развитию технологии уплотнения каналов связи с разделением
по длине волны. Используя эту технологию, для увеличения пропускной способности
необходимо только увеличивать число мультиплексируемых длин волн. Тем не менее,
необходим усилитель с широким и равномерным спектром усиления для увеличения
количества мультиплексируемых длин волн, однако спектр усиления в усилителе
EDFA на настолько равномерен, как ожидалось. В настоящее время увеличение числа
мультиплексируемых длин волн в основном ограничено полосой усиления
используемого в системе усилителя EDFA. В диапазоне волн 1545˜1560
нм спектр усиления в
усилителе EDFA более равномерен, поэтому в общем нет необходимости
устанавливать выравнивающий усиление фильтр (GainFlattenedFilter, GFF). Однако
для более широкого диапазона волн (такого как диапазон волн 1530˜1560
нм), из-за
характеристики спектра усиления в усилителе EDFA, возникает необходимость в
выравнивании усиления с помощью фильтра GFF. Для осуществления функций фильтра
необходимо, чтобы потери, вносимые фильтром GFF, были различными для различных
длин волн. Если кривая спектра потерь в фильтре GFF совпадает с кривой спектра
усиления в усилителе EDFA, то можно достичь более широкого и равномерного спектра
усиления. Хотя конечно, такое выравнивание приводит к потерям мощности.
Рисунок 14- Спектры усиления EDFA без и с выравнивающими фильтрами
Фильтры выравнивания спектра усиления выполняют функцию выравнивания
коэффициентов усиления на различных длинахволн, передаваемых по оптической
линии связи. В настоящее время такиефильтры выполняются на основе
акусто-оптического эффекта, длинно- икоротко-периодных волоконных решеток,
эффекта Маха-Цендера (Mach-Zehnder) и тонкопленочных диэлектрических фильтров.
Наибольшими преимуществами обладают волоконные решетки, которые позволяют
подстраивать усиление каждого канала в отдельности (рис. 14).
3.3 Стабилизация уровня усиления оптического усилителя
Передача цифровых сигналов в современных оптических системах передачи
осуществляется в режиме уплотнения длин волн. Этот способ обеспечивает
возможность повысить пропускную способность без повышения скорости передачи
битов в отдельных каналах передачи. Это обеспечивает значительные преимущества
по отношению к возникающим искажениям, обусловленным различным временем
распространения (дисперсией), и позволяет применять более экономичные схемы
передатчиков.Переналадки системы передачи или ошибки приводят к тому, что
каналы должны подключаться и отключаться. Так как оптические усилители линии
передачи обычно работают в режиме насыщения, то без принятия дополнительных мер
отключение или подключение каналов приводило бы к изменению выходного уровня
сигнала, передаваемого в активном канале [20-21].
Для поддержания усиления на заданном уровне при добавлении или исключении
некоторых каналов в DWDM системе предложено использовать две схемы
стабилизации: подавление избыточного усиления (gainclamping) и синхронизация
остаточного излучения накачки (residualpump-powergainlocking).
3.3.1 Подавление избыточного усиления
В этой схеме используется дополнительный канал в стороне от полосы
пропускания DWDM, который забирает на себя избыточную мощность усилителя при
уменьшении числа DWDM каналов.
Рисунок 15 - Схема оптического усиления с дополнительным каналом
На рис. 15показана конфигурация схемы, использующая метод подавления
избыточного усиления. В предлагаемого усилители GC-EDFA, который включает в
себя два оптических разветвителя (OC1 и ОС2) L-диапазона EDFA, переменный
оптический аттенюатор (VOA) и оптический полосовой фильтра (OBPF).В L-диапазоне
EDFA работает по двунаправленной схеме усиления, в которой есть два на длине
волны 1.48/1.58- мкмоптических мультиплексора (WSC1 и WSC2), два на длине волны
1,48-мкм лазера накачки, и оптоволокно легированное эрбием EDF. Центральная
длина волны генерации света (lL) определяется центральной длиной волны в пределах OBPF подавления
избыточного усиления петли. Направление генерации света против часовой стрелки,
которая определяется как OC1 и ОС2.lS
обозначает длины волны сигнала, а переменные Pin и Pout обозначают входа и
уровни выходной мощности, соответственно, EDFA. Модель EDFA используются на
основе модели Джайлс и Desurvire. Максимально 1,48-мкм мощность каждого лазера
накачки предполагается 135 мВт.
В результате применения такой схемы построения усиления оптического
сигнала, для соответствующих каналов и диапазона длин волн (таб.4), получены
следующие результаты для коэффициента усиления и шума (рис. 16, 17, 18).
Таблице 4 - Номера каналов и диапазон длин волн
|
Номер канала
|
lmin (nm)
|
lср (nm)
|
lmax (nm)
|
|
1-канал
|
1574.54
|
1587.88
|
1600.60
|
|
4- канал
|
1574.54 ~ 1577.02
|
1586.20 ~ 1588.72
|
1598.04 ~1600.60
|
|
8- канал
|
1574.54 ~ 1580.35
|
1584.53 ~ 1590.41
|
1594.64 ~1600.60
|
|
16- канал
|
1574.54 ~ 1587.04
|
1581.18 ~ 1593.79
|
1587.88 ~ 1600.60
|
|
32- канал
|
1574.54 ~ 1600.60
|
1574.54 ~ 1600.60
|
1574.54 ~ 1600.60
|
Анализ графиков, показывает, что при оптимальном проектировании усиления
EDFA на основе минимизации ΔG, использование оптимальной длины EDF, ΔG
0,5 дБ для 32-канальной
операции была достигнута. Среди lmin, lср
и lmaxнаходим, что изменение
коэффициента усиления и коэффициента шума характеристик правой полосе в лучшем
случае, а левая полоса операции худшем случае. От хорошего подавления
избыточного усилениявозможностями точки зрения, 1610 нм длиной волны генерации
с 15 дБ ослабления петли является лучшим выбором предложить большой коэффициент
подавления избыточного усиления. Этот L-диапазона GC-EDFA в сочетании с
С-диапазона GC-EDFA в параллельной конфигурации могут найти важное применение в
DWDM широкополосных систем и сетей для обеспечения постоянного усиления с
минимальным изменением коэффициента усиления в присутствии ввода / вывода
оптических каналов.
Рисунок 16 - Усиление и шум в канале GC-EDFA оптического усилителя для lmin
Рисунок 17 - Усиление и шум в канале GC-EDFA оптического усилителя для lср
Рисунок 18 - Усиление и шум в канале GC-EDFA оптического усилителя для lmax
.3.2 Синхронизация остаточного излучения накачки
Схема основывается на сравнение остаточной мощности усилителя на выходе
EDFA и мощности накачки на входе EDFA. С помощью обратной связи удается достичь
постоянной величины усиления отдельных каналов.
Фактически в оптический усилитель введена обратная связь (ОС) - при
которой изменение выходного сигнала системы приводит к такому изменению
входного сигнала (т.е. изменению накачки), которое позволяет при «коммутации»
каналов, добиться, что коэффициент усиления для каждого отдельного канала не
изменяется в процессе «коммутации».
Рисунок 19 - Схема оптического усилителя EDFA с обратной связью
На рис. 19 представлена функциональная схема EDFA с обратной связью, функционирование которой включает
непрерывный контроль входной и выходной мощности, мощности, отраженной от
выхода, температурычувствительной части изделия. Применение в схеме
микроконтроллера и фотодиодов контроля, позволяет организовать в оптическом
усилители обратную связь, которая управляется по заданным алгоритмам с целью
стабилизации коэффициента усиления и снижения общего шума усилителя.
Вся информация обрабатывается встроенным микроконтроллером, что позволяет
эффективно управлятьустройствами накачки. Схема накачки состоит из двухЛД с
длиной волны 1480 нм, работающих на одно и то жеволокно. Один из них действует
в сонаправленном, другой - в противонаправленном режиме накачки. Чтобыустранить
взаимовлияние двух ЛД, а также свести к минимуму влияние УСИ и устранить
воздействие отраженныхсигналов, в состав устройства введены три
оптическихфильтра-изолятора. Для контроля входных и выходныхсигналов
предусмотрены встроенные фотодиоды.
Применение такой схемы позволяет эффективно контролировать коэффициент
усиления усилителя с одновременным контролем параметров как по шуму, так и
мощности накачки.
Применение специализированного программного обеспечения в микроконтроллере
позволяет, за счет высокого быстродействия последнего (желательно применение
специализированного DSP процессора)
эффективного стабилизировать усиление в во всем рабочем диапазоне усилителя.
На основе предложенной схемы разработана блок-схема функционирования
оптического усилителя, включающий алгоритм стабилизации усиления.
Рисунок 20 - Блок-схема функционирования оптического усилителя
Заключение
.С увеличением расстояния распространения оптического сигнала, происходит
его как ослабление, так и уширения импульса, что требует применения
специализированных устройств восстановления сигнала.
. Используемых в настоящее время волоконные оптические усилители
применяются для регенерации оптических сигналов со спектральным уплотнением.
При этом широкая полоса усиления волоконного оптического усилителя позволяет
проводить одновременную регенерацию до 10 каналов со спектральным уплотнением.
. При реализации систем дальней связи с большим количеством каналов с
высокими скоростями передачи требуется применение волоконно-оптических
усилитель на оптическом волокне и имеющих следующие параметры:
· мощность насыщения;
· коэффициент усиления;
· мощность усиленного спонтанного излучения;
· шум-фактор.
. Для эффективного применение оптических усилителей, требуется нахождения
оптимальных параметров функционирования усилителей.
. Использование многокаскадного усиления оптического сигнала позволяет
добиться оптимального и высокого значения коэффициента усиления, при этом
минимизировать шум усиления.
. Использование фильтров GFF, совпадающих с кривой спектра усиления в
усилителе EDFA, позволяет достичь более широкого и равномерного спектра
усиления.
. Для поддержания усиления на заданном уровне при добавлении или
исключении некоторых каналов в DWDM системе используются две схемы
стабилизации: подавление избыточного усиления и синхронизацияостаточного
излучения накачки, каждая из которых имеет как свои положительные, так и
отрицательные стороны применения: по сложности реализации, по сложности
алгоритмов функционирования аппаратно-программной части усилителя, по
характеристикам коэффициента усиления в каждом канале и шумовым
характеристикам.
Список используемых источников
1. Убайдуллаев Р. Р. Волоконно-оптические сети - М.:
Эко-Трендз, - 1998.
2. Дэвид Гринфильд. Оптическая революция // LАN. март
2000 г.
. Дмитреев С.А. Волоконно - оптическая техника:
история, достижения перспективы/Дмитреев С.А., Слепов Н.Н.- М.: Connect, -
2000.
. Слепов Н. Н. Особенности современной технологии
WDM// Электроника: НТВ. 2004. № 6.
. КорнейчукВ.И. Оптические системы
передачи/КорнейчукВ.И., МакаровТ.В., ПанфиловИ.П.- К.: Техніка, 1994. - 388с.
. Гуртов В.А. Оптоэлектроника и волоконная оптика:
Учебное пособие - Петрозаводск.: ПетрГУ, 2005. - 239 с.
. Никоноров Н.В. Материалы и технологии волоконной
оптики: специальные оптические волокна: Учебное пособие/Никоноров Н.В., Сидоров
А.И. - СПб.: СПбГУ ИТМО, 2009. - 130 с.
. Слепов Н.Н. Современные технологии цифровых
оптоволоконных сетей связи. 2-е испр. изд - М.: Радио и связь, - 2003.
. Скляров О. К. Современные ВОСП. Аппаратура и
элементы- М.: Солон, - 2001.
. Синев С.Г. Новые технологии в волоконно-оптических
сетях - М.: Радио и связь,1999. -196 с.
. Иоргачев Д. В. Волоконно-оптические кабели и линии
связи/Иоргачев Д. В.,Бондаренко О. В.- М.: Эко-Трендз, 2002.- 282 с.
. Иванов А.Б. Волоконная оптика: компоненты, системы
передачи, измерения- М.:Компания САЙРУС СИСТЕМС, 1999.- 671с.
. Оптическое мультиплексирование с разделением по
длине волны// Сети.апрель 1999 г.
. Курков А.С. Эрбиевые волоконно-оптические
усилители/Курков А.С., НанийО.Е. // LIGHTWAVE russianedition, №1, 2003.
с.14-19.
. Андрей Шаршаков. WDМ: успехи и проблемы//Сети.апрель
1999г.
. Параметры систем связи со спектральным уплотнением и
оптическими усилителями в документах МСЭ-Т// Электросвязь. 2000. №6.
. ГродневИ.И.Волоконно-оптические системы передачи и
кабели: Справочник/ГродневИ.И., МурадянА.Г., ШарафутдиновР.М. и др. .- М.:
Радио и связь, 1993.-264с.
. АндрэЖирар. Руководство по технологии и тестированию
систем WDM.-М.:EXFO, - 2001.
. Кириллов В. И. Многоканальные системы передачи- М.:
Новое знание,- 2002.
. Вербовецкий А.А. Основы проектирования цифровых
оптоэлектронных систем связи - М.: Радио и связь,- 2001.
. МакаровН.А. Оптические волоконные усилители
информационных сигналов. // URL:
www.ict.edu.ru/ft/001836/sbornik6_4_4_8_2.pdfý[5 февраля 2002].