|
Микросистемная техника
|
Направление разработок
|
Направление использования в
специальной технике
|
|
Микроэлектромеханические
системы и машины
|
Микромеханизмы,
микропривод, микродвигатели
|
Специальная робототехника
|
|
Оптико-механические
микросистемы
|
Микрооптика,
оптико-механические интегральные схемы
|
Спецсвязь, акустический
контроль и др.
|
|
Биотехнические микросистемы
|
Миниатюрные автономные
системы для диагностики организма и замещения органов
|
Специальные средства
антитеррора
|
|
Микросистемы
энергообеспечения
|
Автономные миниатюрные
источники энергии, микротурбины, микросистемы рекуперации энергии
|
Специальные технические
средства
|
|
Сенсорные микросистемы
|
Мультисенсоры,
интеллектуальные сенсоры, сенсоры с обратной связью
|
Защита информации, объектов
и личности
|
|
Микроаналитические системы
|
Миниатюрные аналитические
приборы
|
Современные
криминалистические средства
|
|
Технологические
микросистемы
|
Микрореакторы,
микроинструмент, микрорегуляторы, микронасосы
|
Специальный инструмент
|
|
Мини- и микро-
робототехнические системы
|
Автономные
многофункциональные диагностические и технологические мини-системы
специальных условий эксплуатации
|
Специальная робототехника
|
Необходимо отметить, что активному развитию
микросистемной техники в России способствуют три основных обстоятельства:
наличие базового оборудования, производственных
мощностей и организационной инфраструктуры микроэлектронного производства,
пригодных для реализации на них объектов микросистемной техники (при
существующем уровне технологии в 1…10 мкм);
наличие научной и технологической культуры (в первую
очередь, в области микро- и оптоэлектроники);
обширный рынок сенсорных систем различного направления
(в том числе, в области обеспечения безопасности).
Перспективы дальнейшей интеграции микросистемной техники
Как уже указывалось выше, в становлении МЭМС
наибольшее влияние оказал процесс интеграции современных средств, систем и
технологий, поэтому для оценки перспектив развития МЭМС воспользуемся
коэффициентом уровня интеграции К = Т х М, где Т - число транзисторов, а М -
число механических компонент [3]. Состояние и перспективы интеграции
микросистемной техники показаны на рисунке 2, где 1 - большинство существующих
МЭМС; 2 - акселерометр ADXL-50; 3 - оптомеханические дисплеи DMD; 4 -
перспективы интеграции МЭМС.
Рисунок 2. Состояние и перспективы интеграции микросистемной техники
Представленный рисунок хорошо иллюстрирует
интеграционные возможности микросистемной техники. Так например для серийно
выпускаемого акселерометра ADXL-50, изготавливаемого по технологии с
топологическими нормами 2-10 мкм (содержащего 100…200 транзисторов и 1
механический элемент) коэффициент интеграции Т х М = 102, а для чипа
микрозеркального дисплея (1 млн. механических элементов экрана и 1 млн.
управляющих транзисторов) получим Т х М =1012. Аналогично построены
и другие области интеграции.
Далее более подробно рассмотрим конкретные разработки,
реализованные в реальных образцах техники.
Практическая реализация микросистемных технологий
Монолитные акселерометры
Совмещение функций различных датчиков в одном приборе,
включающем схему формирования сигналов, микропроцессорное и запоминающее
устройства, открыло путь к созданию универсальных кибернетических “рецепторов”.
В разработке и производстве полностью монолитных акселерометров наибольших
успехов добилась компания Analog Devices, которая в 1991 г. первой в мире
освоила серийное производство полностью интегрированного монолитного одноосного
акселерометра ADXL50, объединяющего в себе формирователь сигнала и схему
автономного тестирования. Для формирования чувствительного элемента датчика
была применена технология тонкослойного травления, получившая название
интегральная микроэлектромеханическая система - iMEMS (Integrated
Vicro-Electro-Mechanical Systems). Эта технология и позволила компании Analog
Devices занять лидирующее положение на рынке акселерометров (рисунок 3).
Рисунок 3. Соотношение “стоимость - разрешение” для разных типов
акселерометров
Интегральные гироскопы в микросхеме ADXRS
Этот гироскоп компании Analog Devices является первым
коммерчески доступным прибором, который объединил на одной пластине кремния
датчик угла поворота и электронику обработки сигнала. Разработчики использовали
технологию iMEMS. За счет этого удалось сделать гироскоп более точным, более надежным,
более экономичным и миниатюрным, чем любой другой датчик угла поворота
аналогичного класса. Микросхема помещена в корпус с шариковыми выводами,
размеры которого составляют 7х7х3 мм. При питании 5 В потребляемая мощность
составляет всего 30 мВт. Микросхема обеспечивает стабильный выходной сигнал
даже при наличии механических шумов до 2000g в широком диапазоне частот. В
приборе предусмотрено устройство самопроверки механической и электрической
частей. Внешний вид кристалла микросхемы приведен на рисунок 4.
.
Рисунок 4. Внешний вид кристалла микросхемы гироскопа.
Гироскоп выпускается в двух модификациях (с
динамическим диапазоном 1500/c и 3000/c). Применение этой
микросхемы позволит увеличить точность и надежность приборов системы
глобального местоопределения, а также контролировать перемещение различных
движущихся средств: автомобилей, самолетов, промышленных роботов, антенн,
промышленного оборудования.
Специальные интеллектуальные датчики
Использование МЭМС-технологий в современных
электронных системах позволяет значительно увеличить их функциональность.
Используя технологические процессы, почти не отличающиеся от производства
кремниевых микросхем, разработчики МЭМС - устройств создают миниатюрные
механические структуры, которые могут взаимодействовать с окружающей средой и
выступать в роли датчиков, передающих воздействие в интегрированную с ними
электронную схему. Именно датчики являются наиболее распространенным примером
использования МЭМС-технологии: они используются в гироскопах, акселерометрах,
измерителях давления и других устройствах.
В настоящее время почти все современные автомобили
используют рассмотренные выше МЭМС-акселерометры для активации воздушных
подушек безопасности. Микроэлектромеханические датчики давления широко
используются в автомобильной и авиационной промышленности. Гироскопы находят
применение во множестве устройств, начиная со сложного навигационного
оборудования космических аппаратов и заканчивая джойстиками для компьютерных
игр. МЭМС - устройства с микроскопическими зеркалами используются для
производства дисплеев и оптических коммутаторов (рисунок 5).
Рисунок 5. Элемент микрозеркальной матрицы оптических коммутаторов
Микрокоммутаторы и резонансные устройства, выполненные
по МЭМС-технологии, демонстрируют меньшие омические потери и высокую
добротность при уменьшении потребляемой мощности и габаритов, лучшей
повторяемости и более широком диапазоне варьируемых параметров. В биотехнологии
применение МЭМС-устройств позволяет создавать дешевые, но производительные
однокристальные устройства для расшифровки цепочек ДНК, разработки новых
лекарственных и других специальных препаратов (“лаборатория на кристалле”).
Кроме того, необходимо также отметить емкий рынок струйных принтеров, в
катриджах которых используются микрожидкостные МЭМС-устройства, создающие и
выпускающие микрокапли чернил под управлением электрических сигналов.
В заключение отмечу, что, по мнению экспертов,
развитие микросистемной техники (особенно для России) может иметь такое же
влияние на научно-технический прогресс, какое оказало появление
микроэлектроники на становление и современное состояние ведущих областей науки
и техники.
Нанесение тонкослойного поликристаллического кремния
на оксидную подложку с ее последующим травлением совместимо с технологическими
приемами, применяемыми в производстве ИС, что позволяет конструировать
сенсорные устройства, интегрированные на одном кристалле. Именно на этом пути
компании Analog Devices удалось в последние годы разработать одно- и двухосные
акселерометры ADXL150 и ADXL250, имеющие высокую точность (относительная
погрешность 0,02%) и весьма привлекательную стоимость. Впервые проникнув на
рынок автомобильной промышленности в качестве командных датчиков подушек безопасности,
эти акселерометры сейчас все шире используются в основных узлах современных
автомобилей, в том числе, антиблокировочных системах тормозов, системах охраны
и сигнализации, автоматической коррекции наклона фар, управления активной
подвеской и многих других системах. Перспективно их применение в так называемых
“черных ящиках”, непрерывно регистрирующих параметры движения автомобиля.
Часть I: Синтез топологии микромеханического
акселерометра
. Введение
С появлением МикроЭлектроМеханическихСистем (МЭМС),
инерциальные датчики получили существенное развитие. Такие преимущества как
дешевизна, низкое энергопотребление, малые размеры, и возможность изготовления
методом групповой технологии позволили инерциальным МЭМС сенсорам получить
широкий диапазон применений в автомобильном, компьютерном, и навигационном
рынках.
Важным направлением является разработка инерциальных
МЭМС датчиков, например МЭМС акселерометров, которые имеют самую высокую
степень интеграции, с чувствительным элементом и электронным интерфейсом на
общей подложке.
В отличие от традиционной технологии
микроакселерометры протравливаются с использованием специализированных методик,
комбинирующих механическую микрообработку поверхности поликристаллического
кремния и технологии электронных схем.
Соединение между микроструктурами и электронными
компонентами осуществляется слоем поликристаллического кремния или диффузией
примесей с большим сопротивлением и паразитной емкостью к подложке.
Дополнительные технологические операции микротехнологий обычно касаются
достижения компромисса между необходимой чувствительностью и процентом выхода
годных чипов, и несовместимы со стандартной технологией изготовления
интегральных схем (ИС).
Последовательность технологических операций, показана
на рисунке 1.1. После завершения процесса литографии КМОП, следуют два этапа из
сухих травлений, с образованием металлических слоёв стойких к травлению. Эти
шаги нужны, для создания микроструктуры.
Технология КМОП - МЭМС имеет много преимуществ.
Совместимость с обычной технологией КМОП ИС позволяет
наладить быстрое, воспроизводимое, надежное, и экономичное производство MEMS
приборов, интегрированных с обычной КМОП. Микроструктуры могут быть
интегрированы очень близко, расстояние может составлять всего 12 мкм от
сформированных на одном кристалле схем электронной аппаратуры. Поскольку
металлическая маска необходима для процесса литографии по технологии КМОП ИС,
минимальный размер элемента микроструктуры 1.5мкм, что совпадает с технологией КМОП
ИС. Структурные пленки выпущены с зазором приблизительно 20мкм выше подложки,
обеспечивая намного меньшую паразитную емкость к подложке. Алюминиевые контакты
позволяют устранить тепловой шум, вызванный сопротивлением проводов. Большое
количество проводников может быть встроено в структурные слои, что позволяет
создавать новые устройства с гибким дизайном, такие как полностью
дифференциальные емкостные датчики, самовозбуждающиеся пружины и гироскопы в
карданном подвесе. Такие устройства не могут быть созданы при гомогенно
проводящих структурные слоях, которые применяются в традиционных технологиях
поликристаллического кремния.
Рисунок 1.2 Поликристаллический кремний на подложке
микромеханический акселерометр интерфейс
2. Краткое описание конструкции акселерометра
Акселерометр - инерциальный датчик, применяемый для
измерения линейных ускорений. Многие МЭМС акселерометры используют емкостную
схему определения ускорения. Упрощенная схема емкостного акселерометра показана
на рисунке 2.
Центральная часть акселерометра - подвешенная масса,
которая выступает в качестве чувствительного элемента. Когда акселерометр
подвергается воздействию сил инерции, чувствительный элемент вместе с
подвешенными обкладками смещается относительно подложки тем самым,
разбалансируя ёмкость C1 и C2, как показано на рисунке 2.
Рисунок 2. Схема емкостного акселерометра
Система обратной связи используется при регулировании
в замкнутом режиме или при проведении самодиагностики.
Рабочие характеристики проектируемого акселерометра -
чувствительность, которая определяется как соотношение выходного напряжения к
входному ускорению, минимальное измеряемое ускорение, максимальное
обнаруживаемое ускорение (диапазон), ширина полосы частот пропускания. При
проектировании должны учитываться ограничения данного технологического
процесса, такие как размеры устройства и минимальное разрешение. Разработка
должна удовлетворять всем техническим условиям и ограничениям.
Рисунок 3. Топология емкостного акселерометра поперечных ускорений
Поперечный акселерометр может быть изготовлен по
технологии от MCNC или же по технологии iMEMS от Analog Devices. В обеих технологиях, в качестве структурного материала
используется поликристаллический кремний из-за его высоких механических
свойств. Топология емкостного акселерометра поперечных ускорений показана на
рисунке 3.
3. Основные проектные параметры акселерометра
.1 Введение
Есть много параметров для оценки рабочих характеристик
акселерометра. В этом проекте, мы сосредоточились на четырех самых важных:
чувствительность акселерометра, минимальное обнаруживаемое ускорение (шум),
максимальное обнаруживаемое ускорение (обнаруживаемый диапазон), и ширину полосы
частот пропускания.
Рисунок 4. Модель пружина - масса - демпфер для акселерометра
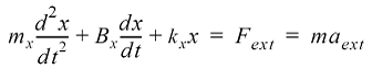
.2 Уравнение движения акселерометра
Дифференциальное уравнение движения акселерометра по координате x:
(3.1)
где kx - жесткость пружины, Bx - коэффициент демпфирования, mx
- эффективная масса, Fext - внешняя сила, и aext - внешнее ускорение.
В следующих разделах, проводятся расчёты коэффициента
жёсткости пружины, массы чувствительного элемента, и коэффициента демпфирования
как функции заданных переменных.
.2.1 Коэффициент жесткости пружин
Решая уравнения движения, получаем жесткость пружины по оси х в
упрощенном виде
Lb1=Lb2=Lb и Wb1 = Wb2 = Wb:
(3.5)
где E - Модуль Юнга поликристаллического кремния, Lb и Lt - длины балки и
рамы, Wt и Wb ширины балки и рамы, Ib -
изгибающий момент инерции упругих балок b1 и b2.
Расчётная схема для вычисления жёсткости пружины приведена на рисунке 5.
Рисунок 5. Расчётная схема для вычисления жёсткости пружины
Из уравнения (3.5) мы можем видеть, что kx уменьшается, при
увеличении Lt или Lb.
Жесткость в направлении по оси Y в упрощенном виде: Wb1 = Wb2
= Wb
(3.6)
.2.2 Методика расчета чувствительного элемента
Влияние массы пружины на резонансной частоте в
различных режимах учитывается при расчёте массы чувствительного элемента.
Эффективная масса для каждого интересующего режима вычислена нормализацией
полного максимума кинетической энергии пружины максимальной скоростью, vmax, чувствительной массы.
(3.8)
где mi и Li - масса и длина i’го луча в пружине.
Аналитические выражения для скорости, vi, вдоль балок пружины найдены аппроксимацией от формы
статического режима отклонения U-пружины.
Эффективная масса акселерометра в направлении по оси х
= mpr + 4mspx (3.9)
где mpr -
полная масса чувствительного элемента, и msp,x - эффективная
масса U-пружины в направлении по оси х. Полное уравнение msp,x при использовании уравнения (3.8) в общем случае очень
длинно.
Для Wt= Wb = W и Lb1
= Lb2 = Lb,
(3.10)
где ρ - плотность поликристаллического кремния,
t - толщина поликристаллического кремния.
Эффективная масса в направлении по оси Y - такая же,
как в уравнении (3.9), но обозначается эффективная масса пружины в направлении
по оси Y, как msp,y вместо msp,x. Также для упрощенного случая, Wt = Wb = W и Lb1
= Lb2 = Lb,
(3.11)
Момент инерции вокруг оси Z, I:
(3.12)
где mi - масса i’ой прямоугольной группы элементов, Wi и Li - ширина и длина, а ri - расстояние от центра масс
прямоугольной группы элементов до центра вращения.
.2.3 Демпфирование чувствительного элемента
Коэффициент демпфирования складывается из структурного
демпфирования, так и из сопротивления воздушного потока вокруг конструкции. Так
как при атмосферном давлении воздушное демпфирование - величина на порядок
большая, чем структурное демпфирование, последнее игнорируется. Воздушное
демпфирование в топологии акселерометров может быть рассмотрено как поток
Кутта. Коэффициент потока Кутта выражается как:
(3.13)
где μ - вязкость воздуха, df - толщина воздушной пленки, и A -
участок пластины.
Движение газа выше пластины может быть смоделировано
как поток Стокса, в котором амплитуда колебания газа затухает по экспоненте до
поверхности пластины.
Коэффициент демпфирования потока Стокса:
(3.14)
Демпфирование газовой пленкой происходит, когда
воздушный зазор между двумя близко расположенными параллельными поверхностями
изменяется.
Для поперечного акселерометра, демпфирование газовой
пленкой, имеющее место между зубцами гребенки, когда акселерометр движется в
направлении по оси х, изменяется на поток Хагена-Пуазёйля из-за узости
воздушного зазора. В этом случае, краевые эффекты представляют значительный
процент от общего демпфирования . Коэффициент демпфирования потока
Хагена-Пуазёйля гребенки рассчитывают по формуле:
(3.15)
где μ - вязкость воздуха, l - длина зубца гребенки, t - толщина зубца гребенки, и g - воздушный зазор между двумя зубцами гребенки.
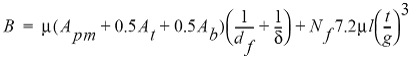
Таким образом, полный коэффициент демпфирования:
(3.16)
где Apm, At, Ab -размеры чувствительного элемента,
пружины подвеса, и балок соответственно.
Более точная оценка приводится в разделе 3.2.2. Nf - общее количество зубцов гребенки.
Протравленные отверстия могут уменьшить величину
демпфирования на несколько порядков. Для того, чтобы оценить демпфирование с
протравленными отверстиями, чувствительный элемент должен быть разбит на
совокупность более малых параллельных пластин. Полное демпфирование - будет
суммой от каждой из отдельных пластин.
.2.4 Электростатический компенсатор
В элементах силовой обратной связи, показанных на
рисунке 2, сила электростатического поля используется для силовой балансировки
обратной связи или самодиагностики. Не принимая никаких предельных эффектов
поля сила электростатического поля для пары зубцов гребенки:
(3.17)
где Vdr - напряжение возбуждения, gf - зазор силового зубца гребенки и CF - емкость между силовыми зубцами
гребенки. Из уравнения (3.17) мы видим, что, сила электростатического поля
имеет квадратичную зависимость от напряжения на гребнях
Равнодействующая сила, линейно зависящая от управляющего
напряжения Vdr :
(3.18)
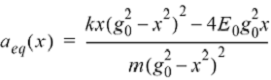
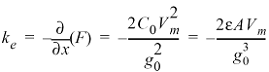
.2.5 Электростатическая пружина
В чувствительных элементах, при подаче модуляционного
напряжения, Vm, между чувствительными зубцами
гребенки, возникают силы электростатического притяжения как показано на рисунке
6. Это приводит к изменению фактического значения эффективной жёсткости пружины
от ее чисто механического значения.
Равнодействующая сила, приложенная к одному зубцу
гребенки:
(3.19)
где g0 - начальный зазор между зубцами
гребенки, A = lперекрытияtзубца - участок боковины зубца гребенки, и C0 - начальная емкость между зубцами гребенки, когда x =
0.
Рисунок 6. Модель электростатической пружины
Эффективная жёсткость электростатической пружины
получена, дифференцированием уравнения (3.19), при x«g0,
(3.20)
Электростатические силы действуют в противоположном
направлении относительно механической силы пружины, таким образом, фактическое
эффективное значение жёсткости пружины - keff = kmech + ke.
.3 Показатели назначения акселерометра прямого измерения
Акселерометр может эксплуатироваться как с обратной
связью, так и без неё. В режиме с обратной связью, чувствительный элемент
компенсируется восстанавливающей силой противодействующей движению.
Акселерометр без обратной связи значительно проще и дешевле.
.3.1 Чувствительность акселерометра
Чувствительность акселерометра определяется как
отношение выходного напряжения ко входному ускорению.
Она определяется не только конструкцией механической
части датчика, но и параметрами измерительных цепей. Механическая
чувствительность акселерометра определяется смещением чувствительного элемента
при действии ускорения.
При частотах значительно ниже резонансной («r) механическая чувствительность
будет:
(3.22)
Из уравнения (3.22) мы можем видеть, что механическая
чувствительность является обратно пропорциональной к квадрату резонансной
частоты. Для достижения высокой чувствительности, резонансная частота должна
быть достаточно низкой. Практически, есть предел для ωr связанный с механической (ударной)
прочностью и конструкцией.
Мы выбираем, часто используемый асимметричный
полумостовой емкостный чувствительный интерфейс, для перевода смещения
чувствительного элемента в выходные напряжения, как показано на рисунке 7,
потому что эта схема легка для внедрения в MUMPS и технологию iMEMS.
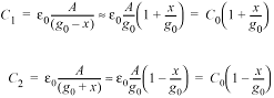
На рисунке 7, C1 и C2 - ёмкости
между подвижным зубцом гребенки и ближайшим к нему неподвижным зубцом гребенки.
Модуляционное напряжение Vm приложено между данными зубцами
гребенки. Модуляционные напряжения обычно эксплуатируются на высокой частоте,
для подавления смещения и фликер-шума. Cпар - полная паразитная емкость на выходе узла Vo, включающая паразитную емкость от
эффективной массы к подложке, паразитную емкость якорей и ёмкость от схем
формирования сигнала.
Применение закона тока Кирхгоффа в узле Vo показано на рисунке 7
(3.23)
Когда нет внешнего ускорения, подвижный зубец гребенки
расположен посередине между двумя неподвижными чувствительными зубцами
гребенки, C1 = C2= C0, и выходное напряжение Vo - равно нулю. Под действием
ускорения, чувствительный элемент сдвигается на смещение x определяемое
уравнением (3.22) при этом C1, и C2 более не равны.
Рисунок 7. Чувствительный интерфейс акселерометра
Используем плоскопараллельную модель для аппроксимации
емкости и предположим, что смещение x - величина малая по сравнению с величиной
щели g0:
(3.24.a), (3.24.b)
Решая систему (3.23) и (3.24), получим:
(3.25)
Тогда чувствительность акселерометра будет равна:
(3.26)
Чувствительность обратно пропорциональна начальному
зазору между чувствительными зубцами гребенки. Для повышения чувствительности
необходимо минимизировать паразитную емкость. Заметим, что полученная нами
чувствительность включает только механическую структуру и емкостной
чувствительный интерфейс. В дальнейшем выходное напряжение Vo усиливается
соответствующими цепями.
.3.2 Порог чувствительности акселерометра
Минимальное обнаружимое ускорение определяется шумом,
на входе акселерометра. Рассмотрим два источника шума:
Броуновский (тепловой) шум от случайного столкновения
воздушных молекул с поверхностью чувствительного элемента.
электронные шумы входного каскада.
Для демпфированного чувствительного элемента,
эквивалентное «Броуновское» ускорение равно:
(3.27)
где kB - константа Больцмана, T - температура, B - коэффициент затухания, и Q -
добротность.
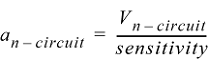
Пусть Vn-circuit будет шумом, исходящим от электрических схем. Тогда
эквивалентное ему ускорение будет равно:
(3.28)
Порог чувствительности акселерометра приравнивается к полному шуму
ускорения на входе:
(3.29)
.3.3 Максимальное измеряемое ускорение
Во время работы акселерометра, большой входной сигнал
заставит чувствительный элемент столкнуться с ограничителем перемещения.
Максимальное ускорение определяется, как наибольшее ускорение, которое система
может обнаружить, до ограничения. С ростом ускорения, упругая восстанавливающая
сила в некоторый момент может стать недостаточной для компенсации силы инерции
и электростатической силы, и чувствительный элемент будет прижат к ограничителю
перемещения. В равновесном состоянии, восстанавливающая сила равна сумме силы
инерции и электростатической силы.
(3.30)
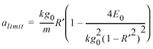
где x - смещение чувствительного элемента, и g0
- начальный зазор между чувствительными зубцами гребенки.
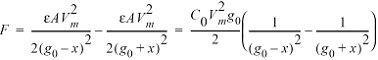
Пусть E0= C0V2m V2 - ускорение, которое удовлетворяет условию(3.30):
(3.31)
Зависимость aeq(x) от величины x
показана на Рисунке 8.
Дифференцируя уравнение относительно x и приравнивая
результат к нулю, находим, что a(x) имеет максимум при:
(3.32)
Предельное измеряемое ускорение asnap равно:
(3.33)
Г
При ускорениях, меньших, чем asnap, чувствительный элемент находится в
устойчивом равновесии и x увеличивается вместе с входным ускорением. Когда
ускорение является большим, чем asnap, зазор уменьшается, и увеличение силы упругости происходит
медленнее, чем электростатической силы, что может привести к удару об упор. В
этом случае чувствительный элемент приходит в неустойчивое равновесие. Если
зазор между взвешенной массой и ограничителем перемещения xlimit является большим, что xsnap, максимально измеряемое ускорение amax в разомкнутом режиме равно asnap. В ином случае, amax равно alimit как показано на рисунке 8, и может
быть найдено подстановкой в уравнение (3.31)
(3.34)
Рисунок 8. Принципиальная схема вычисления предельного ускорения
4. Синтез топологии чувствительного элемента акселерометра
Перед тем как сформулировать задачу синтеза топологии
акселерометра, выделим важнейшие переменные, которые характеризуют топологию.
Установим максимальные и минимальные значения переменных конструкции. Также для
ограничения диапазона значений, сформулируем конструктивные ограничения,
зависящие от технологического процесса и проектных норм. Параметры конструкции
должны быть связанными друг с другом. Следующий шаг - определение целевых
функций, которые будут использоваться при синтезе оптимальной конструкции.
.1 Конструкционные параметры
Можно выделить семнадцать параметров, которые
учитываются при проектировании акселерометра. Данные переменные показаны на
рисунке 12 (a). В Таблице 4.1.1 приведены описания переменных их максимальные и
минимальные значения, вытекающие из ограничений технологических процессов,
использующих поликристаллический кремний. Максимальная длина упругих элементов
ограничена 400 мкм для предотвращения деформаций под действием градиента
напряжения в слое поликристаллического кремния и возможного слипания и поломки
во время жидкостного травления. Минимальная ширина и зазоры упругих балок
выбираются исходя из проектных норм.
Рисунок 12. Конструкционные и переменные стиля акселерометров.
(a) Конструкционные переменные (б) Функциональные переменные
Максимальная ширина упругого элемента ограничена 20
мкм, это определяется травлением диоксида кремния при высвобождении структуры.
Максимальная длина чувствительного элемента ограничена 700 мкм, что связанно с
его топологией, максимальная ширина ограничена 400 мкм. Минимальное значение
зазора упоров в x и y направлениях 1мкм. Малая запрещенная зона необходима для
исключения контакта зубцов гребенки.
Геометрические переменные полностью определяют
топологию акселерометра, но не влияют на рабочие характеристики акселерометра.
Эти переменные представлены на рисунке 12 (б), а также в таблице 4.1.
Таблица 4.1.1 Максимальные и минимальные значения переменных
|
Конструкционные
|
|
Пар.
|
Описание
|
Мин
|
Макс
|
Пар.
|
Описание
|
Мин
|
Макс
|
|
Lb1
|
2
|
400
|
gs
|
Зазор между чувствит.
зубцами гребенки
|
2
|
20
|
|
Lb2
|
Длина упругого Эл-та 2
|
2
|
400
|
gf
|
Зазор между зубцами
обратной связи
|
2
|
20
|
|
Wb
|
Ширина пружинной балки
|
2
|
20
|
X0
|
Перекрытие зубцов
|
2
|
400
|
|
Lt
|
Длина рамки пружины
|
2
|
400
|
gxlim
|
Изменение величины зазора
по оси x
|
1
|
20
|
|
wt
|
Ширина рамки пружины
|
2
|
20
|
gylim
|
Изменение величины зазора
по оси y
|
1
|
20
|
|
Lpm
|
Длина чувств. эл-та
|
2
|
700
|
Ns
|
Количество чувствит. зубцов
гребенки
|
1
|
100
|
|
Wpm
|
Ширина чувств. эл-та
|
2
|
400
|
Nf
|
Количество зубцов
обратной связи
|
1
|
100
|
|
Lc
|
Длина зубца гребёнки
|
2
|
400
|
|
|
|
|
|
Wc
|
Ширина зубца гребёнки
|
2
|
20
|
V
|
Диапазон напряжений
|
1V
|
2.5V
|
Таблица 4.1.2 Максимальные и минимальные значения переменных
|
Функциональные переменные
|
|
gsu
|
Зазор между чувствит. л-том
|
2
|
2
|
Lsa
|
Длина якоря
|
11
|
11
|
|
gfu
|
Зазор между зубцами обратной
связи
|
2
|
2
|
Wsa
|
Ширина якоря
|
11
|
11
|
|
gsfu
|
Зазор между чувствит.
зубцами и зубцами обратной связи
|
10
|
10
|
Lp,lm
|
Длина ограничителя
|
2
|
2
|
|
Lsfor
|
Перекрытие подвиж. зубцов
неподвижными
|
21
|
21
|
Wp,lm
|
Ширина ограничителя
|
2
|
2
|
|
Lssor
|
Длина неподвижных зубцов
|
16
|
16
|
Lra
|
Длина якоря пружины
|
15
|
15
|
Для уменьшения размера прибора, значения этих
параметров делают настолько малыми, насколько позволяет технология
производства.
.2 Конструктивные ограничения
.2.1 Геометрические связи
Геометрические связи - конструктивные ограничения,
вытекающие из топологии. В данной конструкции акселерометра, имеем 11
геометрических связей, что показано на Рисунке 13, а также в Таблице 4.2.
Первые три связи определяют размер устройства. Длина и
ширина не должны быть больше установленного предела в 700 мкм. Ширина прибора
может быть равна ширине U- образной пружины или ширине чувствительного
элемента.
Рисунок 13. Геометрические связи топологии акселерометра
Длина пружинного якоря вычислена от Lb1, Lb2,
и Wpm и должна быть больше или равна
минимальной ширине 11 мкм. Для предотвращения касания, зазор между подвижными зубцами
гребенки и зубцами обратной связи должен быть большим, чем зазор ограничителя
перемещения в направлении x, gx,limit, и ход гребенки по оси y
должен быть больше, чем gy,limit. Зазор между ограничителем перемещения и пружиной должен быть больше 2.0
мкм и он ограничивает минимальную длину рамы. Также он должен быть больше чем gx,limit, являющегося ограничителем хода. Все
вышеупомянутые связи - линейные. Однако, есть одна нелинейная геометрическая
связь - зазор между пружиной и зубцами гребенки.
Таблица 4.2 Конструктивные ограничения
|
Описание
|
Формула
|
Мин [мм]
|
Макс [мм]
|
|
Длина акселерометра
|
Lpm+2(Lt+Lra)
|
0
|
700
|
|
Ширина ЧЭ
|
Wpm+2(Lc+2Lsfor+Lssor)
|
0
|
700
|
|
Длина пружины
|
Wpm+2(Lb2+Wt)
|
0
|
700
|
|
Ширина якоря пружины
|
Wpm+2(Lb2-Lb1)
|
11
|
100
|
|
Предел смещения по x
|
gs-gx,limit
|
0.2
|
20
|
|
Предел смещения по x
|
gf-gx,limit
|
0.2
|
20
|
|
Зазор между ЧЭ и
неподвижным зубцом гребенки
|
Lc-X0-gy,limit
|
2
|
20
|
|
Положение стопора
|
Lb1-Lb2-gy,limit-Wp,lm
|
0
|
400
|
|
Мин. длина рамы
|
Lt-Wb-Lp,lm
|
2.0
|
400
|
|
Ограничитель хода
|
Lt-Wb-Lp,lm-gx,limit
|
0
|
400
|
|
Зазор между пружиной и
гребёнкой
|
[Lpm-2Wb-2Nf(3Wc+2gf)-2(Nf-1)gfu -Ns(3Wc+2gs)-(Ns-1)gsu -2gsf]/2
|
10
|
20
|
.2.2 Функциональные ограничения
В разделе 3.3, был произведен расчет параметров,
необходимых, для определения рабочих характеристик акселерометра.
Чтобы спроектировать работоспособное устройство, этим
спецификациям должны соответствовать реальные значения, которые ограничены
функциональными ограничениями, приведенными в Таблице 4.3.
Порог чувствительности, максимальный шум, минимальная
амплитуда и максимальная поперечная чувствительность определены проектными
нормами. Ширина полосы пропускания может выбираться из полосы механической
части без обратной связи или полосы пропускания при использовании обратной
связи.
Таблица 4.3 Функциональные ограничения
|
Описание ограничения
|
Выражение
|
Мин.
|
Макс.
|
|
Чувствительность
|
S = Vo/ain
|
Sspec
|
1000 мВ/g
|
|
Шум(порог чувствительности)
|
amin
|
0.0 mg
|
amin, spec
|
|
Диапазон (макс. обнаруж. ускорение)
|
amax
|
amax,
spec
|
104 g
|
|
Чувствительность поперечной
оси
|
Scr
|
0.0
|
Scr,spec
|
|
Полоса пропускания
|
w-3dB
|
w-3дБ,
spec
|
105
Hz
|
|
Смягчение пружины
|
kx,elec/kx,mech
|
0
|
0.9
|
|
Сила самопроверки
|
test_force/(mx*range*9.8)
|
0.2
|
103
|
|
Разделение режимов
|
fx/fy,
fx/fq
|
0
|
1/3
|
|
Вспучивание упругой балки
|
Lb/Lcr
|
0
|
1/2
|
Как говорилось ранее, разность потенциалов, Vm приведёт к появлению Кулоновской
силы Fx,elec. Эта сила действует в направлении
противоположном упругой силы в упругом элементе, Fx,mech. Когда эта сила больше или равна
Fx, mech, чувствительные зубцы гребенки могут
стопориться при очень малом входном ускорении или даже без него. Для того,
чтобы этого не происходило мы должны ограничить Fe <0.9Fmech. Другое ограничение введено, для возможности генерировать
достаточную для самопроверки электростатическую силу. В нашем проекте, мы
обеспечим генерацию силы эквивалентной 20 % от максимального обнаруживаемого
ускорения.
В процессе изготовления акселерометра, осаждение
конструкционного материала - поликристаллического кремния вызывает сжимающее
или растягивающее напряжение в слое. Напряжение, возникающее в упругом
элементе, может привести к разрыву под действием растягивающей силы или к
вспучиванию при сжатии.
В случае U-пружины, упругие элементы могут свободно
выгибаться наружу тем самым, избавляясь от остаточного осевого напряжения. Но
перемещение чувствительного элемента создаёт дополнительные осевые напряжения
во внутренней (балка 2) и во внешней (балка 1) балках.
Критическое значение параметра, Lcr определяется по формуле Эйлера:
где t - минимальная ширина и толщина балки, lb деформация чувствительного элемента,
вычисляемая по формуле:
lb = WpmΔrE,
где Δr - разность и E, - Модуль Юнга.
Для защиты от выгибания, вводится ограничение 2Lb
<Lcr.
.3 Синтез топологии акселерометра
При синтезе акселерометров поставленным при
проектировании ограничениям могут удовлетворять различные варианты их
топологии. Выбор того или иного варианта приводит к необходимости решения задач
оптимизации, то есть минимизации целевой функции, выбранной при проектировании.
Так критерию минимальной стоимости обычно удовлетворяют акселерометры с
минимальными размерами в плане. В свою очередь акселерометры, синтезированные
по критерию минимального уровня шумов предпочтительны для измерения малых
линейных ускорений, поскольку обладают низким порогом чувствительности. Таким
образом, в зависимости от области применения необходимо выбрать один из
возможных вариантов топологии. Целевыми функциями при оптимизации обычно
являются: минимальная полная поверхность, минимальный уровень собственных
шумов, максимальный диапазон измеряемых ускорений.
Чувствительность также является очень важным
требованием к изделию, но она может быть повышена введением дополнительного
усилителя после емкостного интерфейса. Поэтому её увеличение может быть
достигнуто без изменения топологии конструкции.
Для оптимизации топологии акселерометра применяется
метод нелинейной оптимизации, т.е. оптимизации нелинейной целевой функции с
конечными ограничениями. Обычно задачи многопараметричной оптимизации такого
типа сводятся к отысканию локального экстремума в некоторой области n-мерного пространства, где n - число параметров проектирования.
Для решения задачи был применён градиентный метод поиска экстремума,
разработанный и применённый в университете Карнеги-Меллон. Использование
стартовой сетки исключает необходимость предварительных расчётов по сужению
области поиска экстремума.
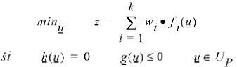
Нелинейная условная оптимизация может быть записана как:
где u -
вектор независимых переменных, приведённых в Таблице 4.1; (u) - ряд целевых
функций;
wi - скалярные веса, необходимые для
сравнения конкурирующих объектов.(u) = 0 и gu0
- каждый ряд функций, которые осуществляют геометрические и функциональные связи,
данные в Таблице 4.2 и Таблице 4.3, Up - набор установленных значений u (описанный границами в Таблице 4.1).
Некоторые переменные (пример: кол-во зубцов гребенки)
- принимают только целочисленные значения.
Для преодоления расчётных проблем используем метод
ветвей и границ. Сначала проводится нестрогая оптимизацию, которая определяет
число зубцов гребенки как непрерывную переменную. В этом случае
число зубцов гребенки округляется к самому близкому
целому числу и удаляется из списка переменных.
Конечная конструкция синтеза получается при
сопоставлении результатов строгой оптимизации с результатом нестрогой
используемым и в качестве отправной точки. Кроме того, все размерные параметры
должны быть представлены, как целые числа (в единицах 1*10-2 мкм),
для корректного описания топологии. После строгой оптимизации, значения
переменных округляются к ближайшим целым значениям размеров выраженных в 1*10-2
мкм.
4.4 Результаты синтеза топологии акселерометра
После того как в результате синтеза получен ряд оптимизированных
значений переменных, используется программа параметрической разработки
топологии CAMEL, для генерации файла, который
содержит информацию о топологии фотошаблонов для всех литографических операций
технологического цикла.
Проведённый синтез позволил осуществить проектирование
акселерометра для случаев прямого измерения и с обратной связью. В качестве
критериев оптимизации были использованы:
) минимальная площадь ЧЭ акселерометра
) минимальная пороговая чувствительность к измеряемому
ускорению
При минимизации площади ЧЭ и повышении требований к
чувствительности акселерометра количество зубцов гребёнки возрастает с 4 до 24
как показано на рис (14а)
Это
приводит к увеличению ёмкости измерительного преобразователя и эффективной
массы чувствительного элемента. При этом уменьшается эффективный коэффициент
жёсткости упругого подвеса из-за увеличения электростатического взаимодействия
между зубцами емкостной измерительной системы. Однако увеличение количества
зубцов увеличивает площадь поверхности чувствительного элемента, что в итоге
приводит к необходимости поиска компромисса для разрешения возникающего
технического противоречия. Требования к шуму и диапазону измеряемых ускорений
соответствуют 0.1 мг
и 30g соответственно. Разработчики акселерометров, как
следует из анализа научных публикаций, обычно используют топологии с большим
числом зубцов для повышения чувствительности датчиков в той мере, в какой это
позволяет технологический процесс.
На
рис. (14б) приводятся топологии чувствительного элемента синтезированные по
критерию минимального шума. Эти устройства имеют максимально возможные размеры:
примерно 700 мкм по длине и ширине. Большая площадь поверхности увеличивает
эффективную массу ЧЭ и снижает влияние теплового шума и повышает
чувствительность акселерометра. Увеличение площади поверхности ЧЭ увеличивает
газовое демпфирование В первом приближении демпфирование Хагена -Пуазейля
зависит от толщины конструкции, зазора между зубцами и их количества и,
следовательно, не изменяется при увеличении площади. Поскольку тепловой шум
пропорционален корню квадратному из коэффициента демпфирования и обратно
пропорционален эффективной массе, то можно утверждать, что влияние теплового
шума снижается с увеличением площади.
Рисунок 14(а) Четыре синтезированные топологии с минимальной площадью
Рисунок 14(б) Четыре синтезированные топологии с минимальным порогом
чувствительности
Рисунок 14(б) Четыре синтезированные топологии с минимальным порогом чувствительности
(а) (б) (в)
Рисунок 15. Зависимость площади устройства, шума и максимального
диапазона от величины чувствительности
(а) чувствительность - площадь
(б) чувствительность - шум
(в) чувствительность - измеряемый диапазон
Часть II: Методика расчета емкостного
интерфейса микромеханического акселерометра
. Методика расчета емкостного интерфейса микромеханического акселерометра
.1 Выбор методики расчета
Схема емкостного микроакселерометра показана на
рисунке 1.
Ускорение определяется исходя из смещения
чувствительного элемента, которое может быть измерено различными путями. Для
технологии емкостных датчиков, смещение определяется измерением изменения
емкости между чувствительным элементом и соседними неподвижными электродами.
Низкая паразитная емкость, достигнутая благодаря единой интеграции - ключ к
улучшению чувствительности этой технологии.
Рисунок 1. Образец конструкции
Часто используемый емкостный чувствительный интерфейс
- односторонний полумостовой интерфейс, показан на Рисунке 1.1 (а). Изменение в
емкости может быть измерено, путём запитывания концов мостика и используя
центральный узел как выход. Полностью дифференциальные интерфейсы всегда
предпочитаются их односторонним аналогам из-за лучшего подавления помех
электропитания и в первую очередь нейтрализации соединений подложки.
В некоторых разработках смещение определяется
емкостным полумостиком, модуляцией центрального узла (то есть, чувствит.
элемента) и подсоединением двух неподвижных концов к различным частям
чувствительного интерфейса (рисунок 1.1 (б)). Так как в этом случае есть только
один модуляционный узел вместо двух дифференцированных, во входных узлах
дифференциального интерфейса появится существенный синфазный сигнал.
Эта схема требует наличия на входе специальной схемы
обратной связи синфазного сигнала, чтобы улучшить ослабление соотношения
синфазного сигнала на входе и динамический диапазон, однако, за счет
дополнительного шума и сокращения ширины полосы пропускания частот.
(а) (б) (в)
Рисунок 1.1Различные схемы емкостных чувствительных интерфейсов
Рассогласование между двумя паразитными конденсаторами
(Cp1, Cp2) приводит к смещению, которое может стать
солидным источником ухода при изменениях окружающих условий.
Полностью дифференциальный емкостный мостовой
интерфейс, показанный на рисунке 1.1 (в), описан в этом разделе. Используя
преимущества многочисленных проводников в структурном слое, эта конструкция
может приблизительно удвоить чувствительность топологии полумостика с тем же
самым значением чувствительной емкости. Поскольку интерфейс является
действительно полностью дифференциальным, может быть достигнуто, очень высокое
значение коэффициента ослабления синфазного сигнала на выходе.
Нет никакой необходимости в дополнительной
электрической схеме для обратной связи синфазного сигнала на входах
чувствительной электроники.
Жёсткая рамка, включенная в конструкцию
чувствительного элемента, обеспечивает минимизацию паразитной емкости, от
сигнального тракта до подложки, а также позволяет применить методику
согласования изгиба подвижных и неподвижных зубцов гребенки.
Для обеспечения обратной связи и в целях самопроверки,
четыре электростатических привода помещены в углы датчика. Зубцы гребенки
обратной связи отделены от чувствительных зубцов гребенки для упрощения
разработки синхроимпульсов и минимизации возможных пробоев.
.2 Методика расчета пружин
Гибкий U -
образный упругий элемент показан на Рисунке 1.2. Преимущество данной
конструкции в том, что она позволяет избавиться от остаточного напряжения,
которое не будет воздействовать на жёсткость пружины. Та же самая конструкция с
большим количеством витков позволяет получить более низкий коэффициент
жёсткости пружины, и таким образом более высокую чувствительность. Коэффициент
жесткости такой пружины находится как:
(1,1)
где E - Модуль продольной упругости (модуль Юнга), h -
толщина, w - ширина, и l - длина пружинной структуры.
Рисунок 1.2 U- образная
пружина
Чтобы иметь устойчивые параметры датчика, жёсткость
пружины нужно хорошо контролировать. Согласно вышеприведённой формуле,
коэффициент жёсткости пружины в пропорции к третьей степени ширины, которая и
является ключевым параметром, который необходимо контролировать.
1.3 Методика расчета коэффициента демпфирования
В разработке присутствуют два механизма демпфирования.
) Внутреннее демпфирование вызвано перемещениями
структурных слоёв.
) Вязкое воздушное демпфирование, которое, при
атмосферном давлении, является величиной на несколько порядков более высокой,
чем внутреннее. Демпфирование, вызванное воздушным потоком, между подвижными и
неподвижными зубцами гребенки, а также на краях чувствительного элемента - это
главный источник демпфирования.
Так как чувствительный элемент находится выше
подложки, демпфирование потоком Кутта, появляющееся в результате движения
воздуха между параллельными пластинами, является относительно малым. Для
акселерометра демпфирование газовой пленкой, которое происходит, когда
изменяется воздушный зазор между двумя близко расположенными параллельными
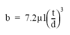
поверхностями, также не является ощутимо высоким. Поток Хагена - Пуазейля,
описывает демпфирование в узких зазорах. Коэффициент демпфирования между
статором и зубцом гребенки вычисляют по формуле:
(1,2)
Где μ - эффективная вязкость воздуха, t - толщина зубца гребенки, d - зазор зубца гребенки, и l - длина зубца гребенки. При 760 мм.рт.ст.20oC μ = 1.56e-5 кг/м.с. Для симметричной разработки с 28 щелями, расчетный
коэффициент демпфирования - 2.7x10-6кг/с,
и соответствующая ему добротность Q = 7, которая является близкой к взвешенному
значению Q = 8. Уменьшение коэффициента демпфирования, изменением размера зубца
гребенки или зазора разнится с задачей увеличения чувствительности. Вакуумная
упаковка может значительно уменьшить демпфирование и увеличить добротность.
.4 Методика расчета компенсирующего градиента
Из-за природы композита структурных слоёв КМОП-МЭМС,
структуры испытывают большие значения вертикального градиента напряжения, чем
при использовании отработанных технологий поликристаллического кремния.
Типичный радиус кривизны структурного слоя может быть относительно малым, приблизительно
4 мм, по сравнению с классической технологией поликристаллического кремния в
МЭМС где радиус кривизны может достигать 800 мм.
С заданным радиусом кривизны и длиной зубца, смещение
конца зубца, вызванное изгибом будет:
(1.3)
Например, для R=4мм, и l=200мм, зубец отклоняется от
плоскости на 5 мкм, что соответствует толщине зубца гребенки равной 5мкм в
технологии КМОП-МЭМС.
Рисунок 1.3 Методика согласования изгиба
Рисунок 1.3 (a) иллюстрирует два встречнонаправленных
пальца гребенки, закрепленных на подложке в противоположных концах. Если зубцы
гребенки достаточно длинны, тогда оба зубца изогнутся относительно плоскости.
Точно так же в акселерометре, и подвижные зубцы гребенки и неподвижные зубцы
гребенки изогнутся относительно плоскости и друг друга, тем самым, уменьшая
эффективную чувствительную емкость.
Кроме того, рассогласование может сильно изменяться в
зависимости от изменений окружающей среды, таких как температура и влажность,
тем самым, увеличивая полный уход датчика. К сожалению, попытки решить проблему
изгиба, ограничивая размер структуры, приводят к уменьшению эффективной массы и
увеличению уровня Броуновского шума. Таким образом, подтверждается
необходимость в специальной методике нацеленной на хорошее согласование изгиба.
Если структура модифицирована так, как показано на рисунке 1.3 (б), закрепление
правого пальца гребенки на структуре, приводит его изгиб в соответствие с левым
пальцем гребенки, то есть встречнонаправленные пальцы гребенки будут
изгибаться, вне плоскости совмещёнными, а это позволяет добиться хорошего
согласования при изгибе.
Для достижения совмещения при изгибе, в акселерометре,
и пружины и зубцы гребенки статора закреплены на жёсткой рамке, а не на
подложке. Жёсткая рамка, пружины, чувствительный элемент, зубцы гребенки ротора
и зубцы гребенки статора сделаны таким образом, чтобы одинаково выдерживать
градиент напряжения.
Жёсткая рамка позволяет снизить паразитную емкость.
Дополнительно появляется возможность контроля в микро - печке. Так как жёсткая
рамка термически изолирует чувствительный элемент от других частей на
микросхеме, это позволяет избежать эффектов перепада температур на пружинах
подвеса.
Рамка должна быть значительно более твердой по
сравнению с пружинами, иначе зубцы гребенки статора могут сместиться под
воздействием входного ускорения.
. Емкостной интерфейс акселерометра
В акселерометре, для определения положения
чувствительного элемента по отношению к основанию в процессе измерения применен
емкостной мост. Эта система является наиболее распространённой в инерциальных
датчиках. Отличительной особенностью примененного в проектируемом акселерометре
емкостного моста является его конструктивная реализация из большого числа
подвижных обкладок, выполненных по поверхностной технологии.
Он обеспечивает хорошее согласование с остальной
электронной схемой, подавляет синфазный сигнал, при этом исчезает потребность в
применении схем обратной связи по синфазному сигналу во входном каскаде.
Многослойная структура технологически
легкоосуществима.
Узлы считывания связаны с неподвижными зубцами, а узлы
модуляции связаны с зубцами гребенки ротора чувствительного элемента. Так как
рамка механически связана с подложкой, коммутационные провода - короткие. Эта
топология уменьшает паразитную емкость с подложкой и предотвращает смешение с
другими сигналами, такими как модуляционные сигналы и сигналы возбуждения.
Электрическая схема измерительной части представлена
на рисунке 2.
Рисунок 2. Электрическая схема измерительного канала акселерометра
Симметричная топология (рисунок 2) имеет преимущества
в простоте и меньшем количестве паразитной емкости, но при этом ускорение по
перекрёстной оси продуцирует на выход паразитный синфазный сигнал.
2.1 Методика расчет параметров емкостного датчика
Полная емкость зазора может быть рассчитана как
(2.1)
где Cm_air - емкость зазора с металлической
поверхностью, Cd_air - емкость зазора с диэлектрической
поверхностью, и Cd - диэлектрический конденсатор. Сравнивая габариты
и разницу диэлектрических постоянных двух типов емкостей видно что, Cd -
величина большего порядка, чем Cd_air, а значит приблизительно,
общая ёмкость зазора равна сумме Cm_air и Cd_air, что
является близким к емкости зазора гомогенных зубцов гребенки.
(а)Сечение зубцов гребёнки (б) Эквивалентная ёмкость
Рисунок 2.1 Емкость зазора композитных зубцов гребёнки
Рисунок 2.2 Различные типы ёмкости зазора
Емкость на единицу длины может быть более точно
определена при использовании анализатора электростатического конечного элемента
Ansoft Maxwell. Рисунок 2.2 показывает расчёт емкости зазора для КМОП-МЭМС и
зубцов гребенки из гомогенного поликристаллического кремния с одинаковыми
поперечными сечениями.
Для расчёта, необходима точная схема емкостного
интерфейса, которая учитывает все паразитные элементы и связи. Емкостный
интерфейс в данной разработке весьма прост и близок к идеалу.
Рисунок 2.3 Схема емкостного интерфейса
Паразитные элементы являются малыми, и потребность в
заземляющем экране отсутствует. Сопротивление от соединений является
незначительным. На рисунке 2.3, главные паразитные конденсаторы - те, что между
участками считывания сигнала и подложкой, Cp_sub1 и Cp_sub2,
и между двумя участками считывания, Cp_cr. Емкость перекрёстных
помех, Cp_cr увеличена в конструкции с общим центром тяжести, из-за
наложения двух сигнальных участков. Эффективное полное значение этих паразитных
конденсаторов - около 70fF, что является величиной того же порядка, что и
полная емкость считывания.
Паразитная емкость диодов и входных буферных
транзисторов является относительно малой, меньше чем 5fF.
Выходное напряжение определяется как:
(2.2)
2.2 Чувствительность датчика
Чувствительность датчика определена соотношением
выходного напряжения к входному ускорению. Мы можем разделить это соотношение
на три условия, которые содержат больше физического смысла:
(2.3)
Увеличение чувствительности может быть получено,
увеличением эффективной массы, и модуляционного напряжения, или уменьшением
коэффициента жёсткости пружины k,
зазора зубца гребенки, и соотношения полезной емкости к паразитной. Так как m и
d ограничены технологическим процессом, чувствительность наиболее эффективно
увеличивается при настройке значений k и Vm.
Как было сказано в Разделе 1.2, коэффициент жесткости
пружины k может быть уменьшен, увеличением кол-ва витков пружины, однако,
большое количество витков имеет тенденцию увеличивать чувствительность по
перекрёстной оси, и уменьшать добротность.
Рисунок 2.4 Электростатические силы между зубцами гребёнки
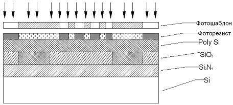
Часть III: Технологический процесс
производства микроакселерометра
. Технологический процесс производства микроакселерометра
.1 Описание конструкции микромеханического акселерометра
Микромеханический акселерометр, разработанный в
дипломном проекте, имеет простое конструктивное оформление и протравливается по
одному из вариантов «поверхностной» (surface) технологии, применяемой в производстве МЭМС.
Отличительной особенностью этих МЭМС является то, что
их конструкционные элементы представляют собой осаждаемые пиролитически или из
газовой среды тонкие плёнки поликремния, а также нитрида Si3N4 и оксида кремния SiO2.
Толщина этих плёнок, а следовательно и элементов конструкции этих МЭМС не
превышает по технологическим причинам 10мкм. Как правило, она составляет 2-5
мкм. Таким образом «поверхностная» технология позволяет создавать МЭМС на
порядок меньше по размерам, по сравнению с МЭМС, изготовленными по технологии
травления.
Конструкция разработанного акселерометра включает три
основных элемента:
основание - фрагмент стандартной монокристаллической
кремниевой пластины (толщина 1000-2000 мкм) покрытого изолирующей
плёнкой из нитрида кремния Si3N4 (толщина 0,5-0,8 мкм)
рама из поликристаллического кремния, закрепленная в 6ти
точках на основании, технологически интегрированная с чувствительным
элементом
неподвижные обкладки емкостного датчика положения
Принципы работы такого одноосного акселерометра
состоят в следующем:
при ускоренном движении основания (подложки), в
случае, если вектор ускорения имеет составляющую, совпадающую с осью
чувствительности акселерометра, чувствительный элемент под действием силы
инерции отклоняется вдоль оси чувствительности. В U -образных элементах упругого подвеса ЧЭ возникает
противодействующая упругая сила, пропорциональная перемещению, пропорциональная
силе инерции и, естественно, ускорению объекта.
Конструктивно объединённые с ЧЭ подвижные пластины
емкостного датчика смещаются при этом относительно неподвижных обкладок,
расположенных на основании.
Акселерометр этой конструкции может работать как в
режиме прямого измерения (разомкнутый режим), так и по компенсационной схеме (в
режиме с обратной связью по отклонению чувствительного элемента).
.2 Описание технологических операций
.2.1 Осаждение пленок
Перед началом проведения операции по осаждению пленок,
необходимо провести подготовительные операции. Одной из основных таких операций
является очистка поверхности пластин (более подробно об этом изложено в разделе
«1.2.7 Загрязнения и борьба с ними».)
При пиролитическом осаждении оксида кремния происходит
термическое разложение сложных соединений кремния с выделением SiO2.
Основное назначение пленок SiO2 толщиной более 0,2 мкм - создание маски, необходимой
при локальной обработке поверхности полупроводниковых пластин для предохранения
части поверхности пластин от диффузии основных легирующих примесей.
Более высокие маскирующие свойства имеют пленки Si3N4
толщиной > 0,1 мкм. Они препятствуют диффузии в
пластину. Нитрид кремния применяют также для создания маски при травлении
поверхности кремния и пленок SiO2, а также в качестве защитного слоя.
Пиролитическое осаждение предполагается проводить в
типовом оборудовании. В качестве примера приведу описание установки для
пиролитического осаждения SiO2 - "Изотрон" (рисунок 1). Конструктивно
установка представляет собой трехтрубную диффузионную печь и имеет реакторы (3)
с горячими стенками, работающие при пониженном давлении в режиме непрерывной
откачки их объема. Нагревательный элемент (10) состоит из трех секций. Пластины
устанавливают в кассету (2) вертикально по всей длине рабочей зоны, равной 600
мм.
Газовая смесь поступает с одного конца реактора и
откачивается с другого. Предельное разряжение в реакторе установки не выше ~
0,7 Па, рабочее давление при напуске газов варьируется в пределах от 13 до 670
Па.
Рисунок 1. Схема установки для пиролитического осаждения SiO2
Система откачки реактора имеет диффузионный (7) и
масляный (8) с очистителем (9) насосы, фильтры (6), кран впуска азота (5) и
заглушку (4). Датчик (1) позволяет контролировать давление в реакторе.
Установка работает в автоматическом режиме, основные параметры выводятся на
ЭВМ.
В таких устройствах скорость осаждения SiO2 составляет
~ 0,2 мкм/ч,
ФСС - 0,7 0,8 мкм/ч. Наиболее важными факторами,
определяющими скорость осаждения, являются температура пластин, состав и расход
газов, а также давление в реакторе.
Пленки SiO2, полученные пиролитическим осаждением,
имеют более высокую пористость, чем при термическом окислении, однако в них
ниже уровень механических напряжений.
1.2.2 Операция травления
В дипломном проекте применяется операция травления -
плазмохимическим методом.
При плазмохимическом травлении поверхности
полупроводниковых пластин обрабатываются химически активными атомами или
радикалами, поступающими из высокочастотной газоразрядной плазмы в пять этапов:
доставка молекул активного газа в зону разряда;
превращение этих молекул в активные радикалы под
воздействием электронов в плазме разряда;
доставка радикалов к поверхности материала,
подвергаемого травлению;
взаимодействие радикалов с поверхностью материала
(адсорбция, химические реакции и десорбция);
отвод продуктов реакции из рабочей камеры.
Для плазмохимического травления кремния используют
газовые смеси соединений углерода и серы с галогенами фреона и кислорода или
азота. Последние служат для разбавления, обеспечения селективности и
анизотропности травления. При использовании смеси фреона-14 (CF4) с 2-8%
кислорода под действием высокочастотного электрического поля происходит
диссоциация фреона-14:
где
F* - возбужденный атом фтора;
- положительно заряженный радикал; e -
электрон. Атом фтора взаимодействует с кремнием, образуя летучее соединение
SiF4, которое легко удаляется из рабочей камеры.
При
введение в газовую смесь кислорода резко увеличивается скорость
плазмохимического травления благодаря образованию радикалов COF, которые
диссоциируют
и повышают концентрацию возбужденных атомов фтора.
Для выполнения плазмохимической обработки пластин
кремния используется плазмохимический реактор TEGAL 803.
.2.3 Обработка поверхности подложек
Необходимо помнить, что качество процесса
фотолитографии во многом определяется механическим и физико-химическим состоянием
поверхности подложек.
Механическое состояние поверхности подложек влияет на
точность получения элементов рисунка, поэтому любые неровности, микробугорки,
впадины царапины и риски приводят к искажению. Кроме того, при нанесении слоя
фоторезиста эти дефекты вызывают появление пузырьков или проколов в слое
фоторезиста.
Необходимое качество поверхности подложек
обеспечивается на начальных стадиях их изготовления механической обработкой:
резкой слитков на пластины, шлифовкой и полировкой пластин, в результате
которой их поверхность доводится до зеркального блеска и приобретает идеальную
плоскостность и плоскопараллельность.
Физико-химическое состояние поверхности подложек
влияет на ее смачиваемость и адгезию фоторезиста. Поэтому на рабочих
поверхностях подложек не должно быть инородных частиц, а также адсорбированных
атомов и ионов жидкостей газов. Так как большинство фоторезистов содержит в
своей основе полимеры, обладающие гидрофобными свойствами, то и поверхность
подложек должна быть гидрофобной.
Критерием оценки состояния поверхности подложки может
служить краевой угол ее смачивания каплей деионизированной воды. Если капля
воды растекается, то поверхность подложки, т.е. ее угол смачивания менее 40о,
такую поверхность называют гидрофильной. Поверхность, на которой капля воды не
растекается и образует угол смачивания более 90о, называется
гидрофобной.
При фотолитографии необходимо, чтобы поверхность
подложек была гидрофильна к фоторезисту и гидрофобна к травителю, тогда
вытравливаемый рисунок будет точно повторять рисунок фотошаблона.
Перед нанесением слоя фоторезиста или
полупроводниковые подложки для удаления органических загрязнений обрабатывают в
химических реактивах, а затем подвергают гидромеханической отмывке.
Поверхность подложек с выращенными термическим
окислением пленками SiO2 сразу после образования пленки
гидрофобна. Поэтому рекомендуется непосредственно после окисления, не превышая
межоперационное время более 1 часа, передавать подложки на фотолитографию.
Через несколько часов поверхность подложек с пленкой SiO2 становится гидрофильной, на ней адсорбируются
молекулы воды из атмосферы, угол смачивания уменьшается до 20 о - 30
о и адгезия фоторезиста падает, что приводит к браку.
Для придания поверхности подложек гидрофобных свойств
их термообрабатывают при температуре 110 оС в сушильной печи, после
чего обрабатывают гексаметил-дисилазаном (HMDS).
.2.4 Нанесение и сушка слоя фоторезиста
Нанесенный на предварительно подготовленную
поверхность подложек слой фоторезиста должен быть однородным по толщине по
всему их полю, без проколов, царапин (т.е. быть сплошным) и иметь хорошую
адгезию.
Наносится слой фоторезиста на подложки в обеспыленной
среде, соблюдая технологические режимы. Перед употреблением фоторезист
необходимо профильтровать через специальные фильтры, а в особо ответственных
случаях обработать на центрифуге при частоте вращения 10 - 20 тыс.об/мин в
течение нескольких часов. Это делают для того, чтобы удалить из фоторезиста
инородные микрочастицы размером менее 1 мкм, которые могут привести к браку
фоторезистивного слоя. Кроме того необходимо проверить вязкость фоторезиста и
довести его до нормы.
Для нанесения слоя фоторезиста на подложки
используется метод центрифугирования.
Для окончательного удаления растворителя из слоя
фоторезиста его просушивают. При этом уплотняется молекулярная структура слоя,
уменьшаются внутренние напряжения и повышается адгезия к подложке. Неполное
удаление растворителя из слоя фоторезиста снижает его кислотостойкость. Для
удаления растворителя подложки нагревают до температуры, примерно равной 90
оС. Время сушки составляет 30 мин.
Температура и время сушки значительно влияют на такие
важные параметры, как время их экспонирования и точность передачи размеров
элементов после проявления. Большое значение при сушке имеет механизм подвода
теплоты. Метод сушки - конвекционный.
Высушенный слой необходимо экспонировать не позднее
чем через 10 ч. Сушку подложек следует выполнять в тщательно обеспыленной среде
10-го и
-го классов частоты. Контролируют качество сушки
визуально или под микроскопом.
.2.5 Совмещение и экспонирование
Точность полученного в процессе фотолитографии
топологического рисунка в первую очередь определяется прицензионностью процесса
совмещения.
Передача изображения с фотошаблона на подложку должна
выполняться с точностью до десятых долей минимального размера элемента.
Совмещение и экспонирование являются наиболее
ответственными операциями процесса фотолитографии.
Перед экспонированием слоя фоторезиста фотошаблон
следует правильно сориентировать относительно подложки и рисунка предыдущего
слоя. Для полного формирования структуры полупроводникового прибора ИМС
необходим комплект фотошаблонов со строго согласованными топологическими
рисунками элементов.
При первой фотолитографии, когда поверхность подложек
еще однородна, фотошаблон ориентируют относительно базового среза подложки. При
последующих фотолитографиях, когда на подложках сформированы топологические
слои, рисунок фотошаблона фотошаблона ориентируют относительно предыдущего
слоя.
Совмещают рисунок фотошаблона и подложки в два этапа.
На первом этапе с помощью реперных модулей - "пустых кристалов"
выполняют грубое совмещение в пределах всего поля подложки. На втором этапе с
помощью микроскопа в пределах единичного модуля по специальным знакам - фигурам
совмещения, предусмотренным в рисунке каждого топологического слоя, выполняют
точное совмещение.
Сложность операции совмещения состоит в том, что
приходится с высокой точностью совмещать элементы малых размеров на большой
площади. Современные установки обеспечивают точность совмещения 0,25 - 1 мкм.
Совмещение фотошаблонов с подложками может
осуществляться двумя методами:
визуальный, при котором, выполняя совмещение,
наблюдают за контрольными отметками в микроскоп; при этом точность совмещения
составляет 0,25 - 1 мкм и зависит от возможностей установки;
автоматизированный фотоэлектрический с помощью с
помощью фотоэлектронного микроскопа, обеспечивающий точность совмещения 0,1 -
0,3 мкм.
После выполнения совмещения подложку прижимают к
фотошаблону и экспонируют слой фоторезиста. Основной целью экспонирования
является высокоточное воспроизведение слоем фоторезиста всех элементов
топологии. Правильность экспонирования влияет на качество переноса изображения
с фотошаблона на слой фоторезиста.
Процесс экспонирования зависит от качества
фотошаблона, свойств фоторезиста и подложки, оптических явлений, происходящих в
системе подложка-фотошаблон и точности их совмещения.
Оборудование применяемое длясовмещения и
экспонирования - EVG-420, Aligner.
1.2.6 Проявление слоя фоторезиста. Сушка проявленного рельефа
Проявление заключается в удалении в зависимости от
использованного типа фоторезиста экспонированных или неэкспонированных
участков, в результате чего на поверхности подложек остается защитный рельеф -
фоторезистная маска требуемой конфигурации.
Проявителем для форезиста служит растворитель MF -
319.
Концентрация проявителя должна быть минимальна и
обеспечивать необходимую производительность процесса проявления. Уменьшение
концентрации щелочного проявителя увеличивает контраст проявления,
стабилизирует процесс переноса изображения и снижает его дефектность.
Процесс проявления должен обеспечивать точное
воспроизведение элементов рисунка фотошаблона, полное удаление растворенных
участков фоторезиста и отсутствие пор, проколов и других дефектов.
Сушка - задубливание проявленных участков слоя
фоторезиста (сформированного рельефа рисунка) обеспечивает изменение в
результате полимеризации его структуры. Вследствии этого повышается стойкость
слоя фоторезиста к действию травителей и улучшается его адгезия к подложке.
Задубление слоя фоторезиста является второй сушкой и
отличается от первой, выполняемой после его нанесения, более высокой
температурой, порядка 110оС, и продолжается в течении 30 минут. (90
оС при первой сушке).
При повышенных температурах происходит пластическая
деформация слоя фоторезиста.
Режим задубления и характер повышения температуры
заметно влияют на точность передачи размеров элементов рисунка. Так как резкий
нагрев вызывает оплавление границ рисунка, для точного формирования элементов
повышать температуру следует плавно или ступенчато.
.2.7 Загрязнения и борьба с ними
Как уже говорилось выше, при производстве необходимо
уделить большое внимание очистке поверхности пластин, т.к. практически на любой
поверхности присутствуют посторонние частицы. Некоторые из них дают дефекты
покрытий, что в конечном счете приводит к отказу прибора. Источниками случайных
загрязнений может быть и сама кремниевая пластина (дефекты края пластины), а
также технологическое оборудование, контейнеры для хранения пластин, персонал,
воздух в помещении. Большинство частиц диаметром 0,3-10 мкм, невидимых
невооруженным глазом, для обнаружения требуют сложных диффузионных счетчиков
частиц и счетчиков, работающих на рассеянии света. Эти частицы в свою очередь
являются причинами случайных дефектов.
Существует четыре основных источника частиц
загрязнений, приводящих к дефектам на поверхности полупроводниковых пластин.
Эти источники характеризуются параметрами, различным образом влияющих на
степень чистоты (таблица 1).
Таблица 1. Параметры источников загрязнения
|
Главные источники
загрязнения
|
Параметры
|
|
Технологическое
оборудование
|
Конструкция, материалы,
принцип действия
|
|
Химические реактивы
|
Чистота, фильтрация,
упаковка
|
|
Среда чистых комнат
|
Конструкция, фильтрация,
контроль
|
|
Персонал
|
Одежда, численность,
квалификация
|
Получение сверхчистой технологической среды возможно
только в условиях комплексного контроля всех приведенных факторов.
Относительное число частиц, возникающих от перечисленных источников, изменяется
от одной производственной площади к другой. Соотношения между чистотой
окружающей среды и оседанием частиц являются сложными и зависят от многих
факторов, таких, как скорость и направление воздушного потока, турбулентность,
создаваемая оборудованием, перемещение персонала, продолжительность нахождения
пластин на открытом воздухе. Создание сверхчистых зон требует высоких затрат.
Компромиссом является формирование таких зон в небольших ограниченных объемах,
где пластины надежно защищены от загрязнений.
Чистая поверхность - это та, которая не содержит
значительных количеств нежелательного материала. Поскольку очистка часто
обеспечивает хорошую адгезию, то плохую адгезию, проколы или пустоты в
резистной пленке связывают с загрязнениями. Загрязнения при работе с резистами
могут происходить на нескольких стадиях: при нанесении резиста, экспонировании
резиста, из-за перенанесения вещества резиста. Любая деталь оборудования и
каждый оператор выделяют, адсорбируют и переносят частицы вещества или загрязнения.
Загрязнения на поверхности пластины существуют в твердой, жидкой и газообразной
фазах, а также в виде их смесей (таблица 2).
Таблица 2. Загрязнения на поверхности пластины
|
Твердые
|
Жидкие
|
Газообразные
|
|
Волосы, перхоть Обломки
Резист Соли Пренанесение вещества
|
Масло Вода Пластификаторы
|
Пары (не водяные) Пары воды
Озон
|
К наихудшим видам загрязнений относятся металлические
и другие проводящие частицы. Металлы непрозрачны для УФ-излучения. Если металлы
оседают на поверхности резиста или располагаются вблизи нее, то при
экспонировании они ведут себя как непрозрачная маска. После проявления в
областях экспонированного негативного резиста могут образовываться проколы. В
случае позитивных резистов возникают недопроявленные области, под которыми при
плазменном травлении пленок может оставаться материал. Осевшие на поверхности
пластины металлы стойки к действию окисляющей плазмы, окисляющих жидких
растворителей и органических растворителей, применяемых для снятия резиста.
Поверхность полимерного резиста может действовать как
«липучка для мух» из-за присутствия полярных групп, которые увеличивают
электростатическое притяжение. Межмолекулярные силы зависят
(обратно-пропорционально) от расстояния между частицами и от отношения площади
поверхности к объему частицы.
Для уменьшения сил адгезии частиц к поверхности
резиста или кремния в чистых комнатах необходимы электростатические
улавливатели и статические нейтрализаторы, а также системы управления
влажностью.
Существует множество причин загрязнения. В чистой
комнате существенными источниками загрязнения является персонал, его верхняя
одежда и перчатки. До 6000 частиц в час выделяет каждая кремнивая пластина. К
вторичным факторам относятся повышенная температура и уровень вибрации,
рассеянный свет и шумящее оборудование. Выход из строя схем от прикосновения
пинцетом или руками может быть уменьшен за счет применения пневматической
транспортной системы и бесконтактной обработки. Одиночная обработка пластин с
высокой скоростью технологических операций, очевидно, лучше с точки зрения
контроля технологического процесса и понижения плотности дефектов.
Далее более подробно рассмотрю методики очистки.
Физические загрязнения. Методика очистки зависит от
характера загрязнения поверхности.
Физические загрязнения, обусловленные физической
адсорбцией, подразделяются на неорганические (пыль различного происхождения,
абразивные частицы) и органические (жировые пленки, остатки ионообменных смол
из промывочной воды, частицы фоторезиста, микроорганизмы размером от 1 до 20
мкм, и т.д.). Физическая адсорбция загрязнений к поверхности полупроводникового
материала происходит в результате межмолекулярного взаимодействия, называемого
силами Ван-дер-Ваальса, а также электростатической поляризации (кулоновского
взаимодействия заряженных частиц) и является обратимым процессом. Некоторые
адсорбированные частицы могут преодолеть силы, связывающие их с поверхностью, и
перейти в исходную фазу (десорбироваться).
Неорганические загрязнения удаляют гидромеханической
очисткой или сдувают струей очищенного азота.
Органические загрязнения при термической обработке
разлагаются с образованием атомов углерода, которые служат центрами
дефектообразования. Органические загрязнения можно разделить на полярные и
неполярные. Полярные - жиры, белки, остатки поверхностно активных веществ,
молекулы которых, как правило, ориентированны на поверхности и, притягиваясь,
способствуют сокращению площади загрязнения. Неполярные - минеральные масла,
парафины, вазелины, молекулы которых имеют высокую поверхностную энергию и способны
покрывать большие площади.
Нерастворимые в воде органические жировые загрязнения
делают поверхность пластины гидрофобной, т.е. плохо смачиваемой водой. Для
равномерной очистки поверхность необходимо в гидрофильное, т.е. в хорошо
смачиваемое водой состояние. Удаление жировых загрязнений, сопровождаемое
переводом поверхности из гидрофобного состояния в гидрофильное, называется
обезжириванием.
Органические загрязнения удаляют отмывкой в
органических растворителях или на парах. Сначала в неполярных или слабополярных
растворителях отмывают неполярные загрязнения, а затем - в спиртах, ацетоне,
трихлорэтилене - полярные.
Химические загрязнения. Химические загрязнения
связанны с поверхностью полупроводникового материала силами химической
адсорбции.(хемосорбции). При хемосорбции образуются прочные ковалентные или
ионные связи между атомами адсорбированного вещества и поверхности. Это
необратимый процесс.
Химические загрязнения бывают ионными и атомными.
Ионными загрязнения являются растворимые в воде соли, кислоты и основания,
которые осаждаются на поверхности пластин из моющих и травильных растворов,
полирующих суспензий, металлической основы режущих дисков, шлифовальников и
полировальников. Атомные загрязнения осаждаются в виде микрозародышей из атомов
золота, серебра, меди, железа, имеющихся в химических реактивах, и могут
покрывать всю поверхность и даже образовывать микроскопические слои.
Химические загрязнения удаляют в кислотах, часто в
смеси с сильными окислителями, комплексообразователях или поверхностно-активных
веществах.
В первую очередь при очистке удаляют органические
загрязнения и химически связанные с поверхностью пленки, а затем - ионные и
атомные.
Основными источниками различных загрязнений являются
абразивные и клеящие материалы, применяемые при механической обработке
полупроводниковых пластин, пыль, находящаяся в воздухе производственных
помещений; оборудование, оснастка, а также тара для транспортировки и хранения
пластин; технологические среды, органические и неорганические реагенты,
промывочная вода. Существенными источниками загрязнения является одежда,
косметика, бактерии, вирусы и жировые отпечатки пальцев оператора.
Применяемые при очистке методы и составы должны быть
инертны по отношению к обрабатываемому полупроводниковому материалу, минимально
токсичными и пожаробезопасными. Химреактивы, газы и вода должны иметь высокую
степень чистоты, чтобы, в свою очередь, не вносить загрязнения. Оборудование,
на котором выполняют очистку, должно конструироваться по принципу
"бесконечного разбавления" (каскадные ванны, обработка в парах и др.)
Методы физического и химического обезжиривания.
При физическом обезжиривании - растворении
органических загрязнений в горячих или кипящих органических растворителях -
молекулы жиров, отрываясь от поверхности пластин, равномерно распределяются в
объеме растворителя. Одновременно происходит обратный процесс - адсорбация
молекул жира очищенной поверхностью, для снижения интенсивности которого
используется каскадный метод отмывки. При таком методе кассета с пластинами поочередно
переносится из нижней ванны в верхнюю. Таким образом соблюдается принцип
"бесконечного разбавления" и чистый растворитель не смешивается с
загрязненным, который постепенно вытесняется.
Растворение загрязнений в органических растворителях
весьма эффективно, однако требует многократной очистки растворителей и
сопровождается их большими потерями. Кроме того, некоторые из растворителей
токсичны и огнеопасны.
Принцип "бесконечного разбавления"
соблюдается и при очистке пластин в парах растворителя. Пластины помещаются в
рабочую камеру, куда поступают пары кипящего растворителя, которые
конденсируются на очищаемых поверхностях. Капли конденсата, стекая с
поверхностей пластин, уносят загрязнения. При этом пластины непрерывно
омываются свежим чистым конденсатом, а загрязненный стекает вниз.
Такую очистку производят в парах изотропилового
спирта, фреона-113 или хлорированных углеводородов. Наиболее эффективная
очистка в фреоне-113 - негорючей и нетоксичной жидкости, имеющей температуру
кипения 47,6 оС и плотность 1,57 г/см2. В парах растворителей плохо
удаляются мыла, растворимые масла, а также соединения, содержащие воду.
Недостаток этого метода очистки - значительные потери растворителя из-за
испарения и необходимость высокой герметичности установок.
Химическое обезжиривание производится в составах,
разрушающих молекулы жира и не действующих на обрабатываемый материал. Поэтому
в растворе отсутствуют молекулы жира и исключаются процессы их десорбции
очищенной поверхностью. Для химического обезжиривания используется горячий
(75-80 оС) перекисно-амиачный раствор, состоящий из водного
раствора, перекиси водорода H2O2 и гидроксида аммония NH4OH. Атомарный
кислород, выдиляющийся при нагреве пергидроли, окисляет как органические, так и
неорганические загрязнения, а щелочь ускоряет реакцию разложения H2O2, омывает
или эмульгирует жиры, а также связывает в хорошо растворимые комплексы ионы
некоторых металлов.
Химическое обезжиривание в сравнении с физическим
обезжириванием в органических растворителях менее токсично и трудоемко.
Очистку поверхности от атомов и ионов металлов, а
также остатков пленок оксидов, сульфидов, нитридов производят в кислотах.
Удаление с помощью кислот ионов металлов основано на их вытеснении ионами
водорода. При кислотной очистке следует тщательно соблюдать правила техники
безопасности, так как попадание кислот на кожу и в глаза вызывает ожоги.
Для повышения эффективности очистки используют
различные методы интенсификации. При этом ускоряются более медленные стадии
процесса (например, подвод свежего реагента в зону обработки, отвод продуктов
химической реакции от обрабатываемой поверхности), обеспечивается десорбция
атомов или ионов и т.д.
Методы интенсификации подразделяют на физические,
химические и комбинированные. К физическим методам интенсификации относят
нагрев, кипячение, обработку струей, гидроциркуляцией, протоком,
гидромеханическую очистку, центрифугирование, ультрозвуковую обработку,
вибрацию промышленной частоты, плазменную очистку; к химическим - очистку
поверхностно-активными веществами, комплексообразователями. Комбинированные
методы интенсификации объединяют физические и химические методы (обработка
горячей струей, подогрев ультразвуковой ванны и т.д.).
При обработке полупроводниковых пластин из физических
методов чаще всего используют гидромеханическую и ультразвуковую очистки и
почти все химические методы.
При гидромеханической очистке интенсификация процесса
обеспечивается за счет контакта с рабочей поверхностью вращающейся пластины,
закрепленной на вакуумном столике, мягких нейлоновых щеток, надетых на валик,
ось вращения которого перпендикулярна оси пластины. Этот метод обычно
используют при финишной отмывке деионизованной водой, которая подается на
пластину под давлением 50 - 200 кПа. Основным недостатком гидромеханической очистки
является возможность переноса загрязнений со щеток на рабочую поверхность
пластины и появления на ней царапин в случае засорения щеток кремниевой пылью.
Для избежания этого, следует соблюдать регламент смены и очистки щеток.
При ультразвуковой очистке интенсификация достигается
за счет перемешивания отмывочного состава, ускорения процесса растворения и
десорбции загрязнений под действием кавитационных пузырьков, образующихся при
колебаниях, передаваемых ванне концентратором магнитострикционного излучателя.
При захлопывании газовых пузырьков происходит растрескивание пленок
поверхностных загрязнений и их отслоение. Достоинством ультрофиолетовой очистки
поверхностей после шлифовки и резки является проникновение жидкости в глубокие
поры, трещины, углубления, которые при обычных методах остаются неочищенными.
Наиболее интенсивно ультразвуковая очистка происходит
при частоте колебаний 20 - 40 кГц. С повышением мощности ультразвуковых
колебаний интенсивность очистки повышается, но возникает опасность повреждения
тонких пластин или появления в них трещин.
Химическая интенсификация с помощью
поверхностно-активных веществ и комплексообразователей является одним из
перспективных направлений повышения качества очистки и в ряде случаев позволяет
отказаться от токсичных и огнеопасных органических растворителей и
концентрированных кислот. Загрязнения в водных растворах поверхностно-активных
веществ (ПАВ) удаляют в четыре этапа: смачивание очищаемой поверхности водными
растворами ПАВ; адсорбция молекул ПАВ поверхностью и частицами загрязнений;
отделение частиц загрязнений от поверхности; перевод водонерастворимых
загрязнений в состав эмульсии или суспензии. При этом связь между частицами
загрязнений и поверхностью ослабляется благодаря расклинивающему действию
молекул ПАВ. Молекулы, адсорбируемые частицами, образуют прочные оболочки и
препятствуют их повторному осаждению на очищаемую поверхность.
Комплексообразователи создают с поверхностными
загрязнениями или водными продуктами химических реакций устойчивые сложные
соединения - комплексы, которые переходят в раствор и остаются в нем.
.3 Технологический процесс производства микроакселерометра
Технологические процессы изготовления
микроакселерометра представлены его основными операциями. Укрупнённый
технологический маршрут (рисунок 2.1 - рисунок 2.9) включает следующие этапы
представляющие типовые технологические модули.
I.
Химическая очистка кремниевых пластин (основания) перед нанесением первого
диэлектрического слоя Si3N4 (Pre - LPCVD
- clean)
Компоненты технологического модуля Pre - LPCVD
- clean:
. Промывка в ванне со смесью H2SO4/H2O2 (перекись)
Концентрация 4:1
Время процесса 40 мин.
Область очистки - двусторонняя
Температура - 120оС
Оборудование - неметаллическая ванна
Диаметр пластин - 75мм, 100мм, 150мм
Держатель пластин - тефлоновый зажим
Толщина пластин - 200-550мкм
. Промывка в ванне с HCl/ H2O2 (перекись)
Концентрация 1:1.5
Время процесса 10 мин.
Температура - 70оС
Оборудование- полиэтиленовый контейнер
Диаметр пластин - 75мм, 100мм, 150мм
Держатель пластин - тефлоновый зажим
Толщина пластин - 300-550мкм
. Промывка в раствор HF/H2O
Концентрация HF/H2O - [1:50]
Время процесса 10 c
Область очистки - двусторонняя
Оборудование - керамическая промывочная ванна
Диаметр пластин - 75мм - 150мм
Держатель пластин - тефлоновый зажим
Толщина пластин - 200-550мкм
II.
Осаждение слоя Si3N4 (изолирующий слой - толщина 0, 1-0, 8
мкм)
Компоненты модуля:
. Пиролитическое осаждение нитрида кремния Si3N4
Селективность процесса - высокая
Толщина слоя - 0,1 - 0,8 мкм
Технологическая среда - NH3 + SH4
(газ)
Скорость осаждения - 16 нм/мин.
Состав осаждаемого слоя - Si3N4
III.
Осаждение слоя SiO2 (диоксида кремния) методом PECVD на слой Si3N4
Компоненты модуля:
Толщина слоя - 0,08 - 3 мкм
Технологическая среда - SiH4 +N2O3
Скорость осаждения - 40 нм/мин.
Состав осаждаемого слоя - SiO2
Структура слоя - аморфная
Давление в камере - 0,45*10-2 Па
Остаточное напряжение - 350 MPa (сжатие)
Время операции - 30 мин.
Температура - 430оС
Неоднородность слоя
по толщине - 0.07
Размеры пластины - 100 мм и более
Толщина пластины - 200 - 1000 мкм
Оборудование- типовое оборудование для пиролитического осаждения SiO2 (PECVD)
IV.
Фотолитография шаблона мест крепления конструкции к подложке (контактный метод Shipley 1813)
Компоненты модуля:
. Предварительная термообработка
Температура - 110оС
Время процесса 15 мин.
Оборудование - сушильная печь
Диаметр пластин - 100 - 150 мм
Держатель пластин - лодочка
Толщина пластин - 100 - 2000 мкм
. Дегидратация поверхности
Характеристики процесса:
Материал - HMDS
Оборудование - установка для нанесения фоторезиста
Держатель пластин - металлический зажим
Толщина пластин - 100 - 1000 мкм
. Нанесение фоторезиста (Shipley
1813)
Характеристики процесса:
Материал - фоторезист Shipley
1813
Толщина - 1,3 мкм
Оборудование - установка для нанесения фоторезиста
. Сушка фоторезиста
Характеристики процесса:
Давление - атмосферное
Температура- 90оС
Длительность
операции - 30минут
Оборудование - печь для сушки пластин
. Экспонирование (первый шаблон)
Оборудование - EVG -
420
Aligner
Дополнительное
оборудование - комплект шаблонов
Держатель - металлический зажим
. Проявление фоторезиста
Проявитель - MF - 319
Фоторезист - Shipley 1813
Температура - 25оС
Оборудование - Ванна для проявления
Дополнительное
оборудование - тефлоновые подставки, тефлоновые держатели
. Сушка проявленного фоторезиста
Параметры операции и оборудование:
Среда- воздух
Давление - атмосферное
Температура- 110оС
Время операции - 30 мин.
Оборудование - Печь для сушки пластин
Дополнительное
оборудование - металлические держатели
V.
Травление отверстий для точек крепления конструкции (PoliSi) к подложке (плазменное травление SiO2)
Компоненты модуля:
Глубина травления - 0,1 - 2 мкм
Технологическая
среда - фреон
Скорость травления - 0,5 мкм/мин
Аспектное соотношение
(глубина отверстия/диаметр) - 10:1
Давление - 2,8*10-2 Па
Температура процесса - 120оС
Селективность процесса- средняя
Оборудование - плазмохимический реактор TEGAL 803
Дополнительное оборудование - алюминиевый зажим
VII.
Осаждение нелегированного поликремния (PolySi) по всей поверхности подложки (на слой SiO2)
Компоненты технологического модуля:
. RCA - химическая очистка подложки.
Характеристики процесса
Реактивы - NH3OH, DI, HCl, DI
Время процесса - 60 мин.
Область очистки - двусторонняя
Температура процесса - 75оС
Оборудование - MOS
-процесс оборудование
Диаметр пластин - 75 - 150 мм
Держатель подложки - тефлоновый зажим
Толщина подложки - 200 - 1000 мкм
. Осаждение слоя легированного поликремния на поверхность подложки (SiO2)
Толщина слоя - 0.1 - 1 мкм
Скорость осаждения - 0,008 мкм/мин
Материал - поликремний
Давление в камере - 300*10-2
Шероховатость - 8 нм
Температура - 615оС
Оборудование - MRL
печь - 321 - 2
Диаметр пластины - 100 мм
Держатель пластин - кварцевый зажим
Толщина подложки- 200 - 1000 мм
. Контроль толщины пластины
Оборудование - Nanometrics NanoSpec /AFT 4000
VIII.
Фотолитография конструкции микроакселерометра
Компоненты модуля:
. Предварительная термообработка
Температура - 110оС
Время процесса 15 мин.
Оборудование - сушильная печь
Диаметр пластин - 100 - 150 мм
Держатель пластин - лодочка
Толщина пластин - 100 - 2000 мкм
. Дегидратация поверхности
Характеристики процесса:
Материал - HMDS
Оборудование - установка для нанесения фоторезиста
Держатель пластин - металлический зажим
Толщина пластин - 100 - 1000 мкм
. Нанесение фоторезиста (Shipley
1813)
Характеристики процесса:
Материал - фоторезист Shipley
1813
Толщина - 1,3 мкм
Оборудование - установка для нанесения фоторезиста
Дополнительное оборудование аналогично п.IV.2
. Сушка фоторезиста
Характеристики процесса:
Давление - атмосферное
Температура - 90оС
Длительность
операции - 30минут
Оборудование - печь для сушки пластин
. Экспонирование (первый шаблон)
Оборудование - EVG -
420
Aligner
Дополнительное
оборудование - комплект шаблонов
Держатель - металлический зажим
. Проявление фоторезиста
Проявитель - MF - 319
Фоторезист - Shipley 1813
Температура - 25оС
Оборудование - Ванна для проявления
Дополнительное
оборудование - тефлоновые подставки, тефлоновые держатели
. Сушка проявленного фоторезиста
Параметры операции и оборудование:
Среда- воздух
Давление - атмосферное
Температура- 110оС
Время операции - 30 мин.
Оборудование - Печь для сушки пластин
Дополнительное
оборудование - металлические держатели
IX.
Травление поликремния (PolySi)
по второму шаблону
. Травление поликремния
Глубина травления - 0,1 - 2 мкм
Среда - хлор
Аспектное соотношение - 10:1
Скорость травления - 0,35мкм/мин
Материал - поликремний
Давление - 400*10-5
Температура - 80оС
Диаметр пластин - 100 мм
Держатель - зажим из нержавеющей стали
Толщина пластины - 200 - 500 мкм
X.
Травление жертвенного слоя SiO2
Компоненты модуля:
Глубина травления - 0,1 - 2 мкм
Технологическая
среда - фреон
Скорость травления - 0,5 мкм/мин
Аспектное соотношение
(глубина отверстия/диаметр) - 10:1
Давление - 2,8*10-2 Па
Температура процесса - 120оС
Селективность процесса- средняя
Оборудование - плазмохимический реактор TEGAL 803
Дополнительное оборудование - алюминиевый зажим
.4 Технологический маршрут изготовления микроакселерометра
Рисунок 2.1. Химическая очистка Si
Рисунок 2.2. Осаждение Si3N4 (диэлектрик)
Рисунок 2.3. Осаждение SiO2
(жертвенный слой)
Рисунок 2.4. Фотоэкспонирование и проявление фоторезиста

Рисунок 2.6. Осаждение поликремния
Рисунок 2.7. Фотолитография конструкции (экспонирование, проявление ФР)
Рисунок 2.8. Травление поликремния
Рисунок 2.9. Удаление жертвенного слоя SiO2
Часть IV: Охрана труда
1. Безопасность труда при эксплуатации проектируемой
техники, разработка средств защиты
.1 Характеристика производственного помещения
Темой дипломного проекта является : «Микромеханический
измеритель ускорения на основе поверхностной технологии». Данный прибор во
время эксплуатации не имеет контакта с человеком, поэтому в данном разделе
рассмотрим опасности при производстве, сборке, настройке и проверке. Данная
работа будет выполняться в помещении типа - лаборатория.
Микроклимат производственного помещения определяется
температурой (°С), относительной влажностью (%), скоростью движения воздуха
(м/с). Производственное помещение, в котором будет проходить технологический
процесс, определяется как помещение с нормальными климатическими условиями.
Работа, связанная с проверкой качества, относится к
классу легкой физической работы I6 категории (ГОСТ 12.1.005-88).
Энергозатраты организма до 172 Дж/с (150 ккал/ч) . Работа производится сидя,
стоя или связана с ходьбой, но не требует систематического физического
напряжения или поднятие и переноски тяжести.
В таблице 1 приведены оптимальные параметры
микроклимата.
Таблица 1. Оптимальные параметры микроклимата
|
Период года
|
Категория
|
Температура,
|
Относительная
|
Скорость
|
|
работы
|
°С
|
влажнось, %
|
движения воздуха, м/с, не
более
|
|
Холодный
|
Легкая-16
|
21-23
|
40-60
|
0,1
|
|
переходный
|
Легкая-16
|
22-24
|
40-60
|
0,2
|
|
Теплый
|
|
|
|
|
Допустимые параметры для холодного периода года
приведены в таблице 2, для теплого периода года в таблице 3.
Таблица 2. Допустимые параметры для холодного периода
года
|
Категория работ
|
Температура воздуха, °С
|
Относительна я влажность,
%, не более
|
Скорость движения воздуха,
м/с, не более
|
|
Легкая-I6
|
20-24
|
75
|
0,2
|
Таблица 3. Допустимые параметры для теплого периода
года
|
Категория работ
|
Температура воздуха, °С
|
Относительна я влажность, %
|
Скорость движения воздуха,
м/с, не более
|
Температура воздуха вне
постоянных рабочих мест, °С
|
|
Легкая-Iе
|
21-28
|
55-75(при 21-28°)С
|
0,2-0,5
|
0.1-0.3
|
Согласно санитарных норм проектирования промышленных
предприятий СН 245-71(84) в производственных помещениях с объемом на одного
рабочего менее 20 м3 следует проектировать подачу наружного воздуха
в количестве не менее 30м3 /ч
на каждого работающего, а в помещениях с объемом на каждого работающего более
20 м - не менее 20 м/ч на каждого работающего.
В помещениях без естественной вентиляции объем
наружного воздуха должен составлять не менее 60м3 /ч на одного работающего.
По степени опасности поражения человека электрическим
током помещение классифицируется как помещение с повышенной опасностью, так как
помещение сухое, не жаркое, с токонепроводящим полом, без токонепроводящей
пыли, но существует возможность прикосновения человека к имеющим соединение с
землей металлоконструкциям здания, технологическим аппаратам с одной стороны и
к металлическим корпусам электрооборудования с другой стороны.
По пожарной опасности в соответствии с «Правилами
устройства электроустановок» (ПУЭ),помещение относится к классу П-2а и является
пожароопасным, так как в нем присутствуют твердые горючие вещества.
.2 Возможные причины и источники возникновения опасных
и вредных производственных факторов
Питание установки осуществляется от однофазной цепи
переменного тока напряжением (220 +- 22) В, промышленной частотой (50 +- 0.5)
Гц. При прикосновении к токонепроводящим частям через человека пройдет ток (Rч принято равным 1к0м при Uпp>50B):
I = 220/1 кОм =220 мА
Такой ток согласно ГОСТ 12.1.038-88 опасен для
человека. Источником пожара может быть короткое замыкание, пробой изоляции,
искрение в контактах.
2. Предельно допустимые значения параметров опасных и
вредных производственных факторов
Напряжение прикосновения и токи, протекающие через
человека нормируются согласно ГОСТ 12.1.038-88 «Электробезопасность». Предельно
допустимые уровни напряжений прикосновения и токов». Эти нормы соответствуют
прохождению тока через тело человека по пути рука-рука или рука-нога.
Стандарт предусматривает нормы для электроустановок
при аварийных режимах работы (таблица 4).
Таблица 4. Нормы для электроустановок при аварийных
режимах работы
|
Род и частота тока
|
Нормируемая величина
|
Продолжительность
воздействия, сек
|
|
|
0,01-0,08
|
0,1
|
0,2
|
0,4
|
0,5
|
0,8
|
1,0
|
Более 1,0
|
|
Переменный, 50 Гц
|
Uпp,B
|
550
|
340
|
160
|
100
|
105
|
75
|
60
|
20
|
|
Iч, мА
|
650
|
400
|
190
|
140
|
125
|
65
|
75
|
6
|
3. Разработка инженерно-технических и организационных
мероприятий по устранению опасного и вредного воздействия на человека
Для защиты обслуживающего персонала от соприкосновения
с движущимися частями, находящимися под напряжением, электрические изделия
помещают в корпус, который характеризуется определенной степенью защиты.
Условное обозначение степени защиты установки согласно ГОСТ 14254-80 1P1X.
Где: IP -
степень защиты электрооборудования;
I - степень защиты персонала от проникновения внутрь оболочки
большого участка поверхности человеческого тела, например, руки, и твердых тел
размером более 50 мм;
X - степень защиты от проникновения воды (нет необходимости в
данной степени защиты).
Изоляция электрических цепей прибора, согласно ПУЭ,
должна соответствовать классу нагревостойкости и величина сопротивления
соответствовать значениям, указанным в таблице 5.
Таблица 5. Величины сопротивлений
|
Условия испытания
|
Сопротивление изоляции, МОм
при рабочем напряжении, кВ
|
|
До 0,5
|
0,5-1,0
|
Свыше 1,0
|
|
Нормальные климатические
условия
|
20
|
100
|
1000
|
Сопротивление изоляции электрических цепей электронных
цифровых вычислительных машин общего назначения должно быть не менее значений,
указанных в таблице 6.
Таблица 6. Сопротивление изоляции при различных
напряжениях цепи
|
Климатические условия
|
Сопротивление изоляции,
МОм, при различных напряжениях цепи, кВ
|
|
До 0,1
|
0,1-0,5
|
0,5-1,0
|
|
Нормальные
|
5,0
|
20,0
|
100
|
Кабели подключаются к блокам разъемными соединениями.
На всех блоках предусмотрены винты для заземления. Над винтом нанесен
графический знак защитного заземления по ГОСТ 2.751-73. Диаметр винта
выбирается в зависимости от номинального тока по ГОСТ 12.200-70. При токе до 16
А наименьший диаметр резьбы винта равен М4.
Монтаж приборов выполнен проводом БПВЛ с сечением 0.35
мм2, с плотностью тока до 3 А/мм2, электрическую
прочность изоляции проверяем напряжением 500 В в течении одной минуты.
Защитой от перегрузки и короткого замыкания служат
плавкие предохранители.
Значение тока плавкой вставки определяют из
соотношения:
Iвст= (1,21...1,37)*Iном,
где Iном
- номинальное
значение тока в приборе.
Так как номинальное значение тока в приборе равно 1А
(п.2), то выбирается предохранитель типа СП (стеклянно-плавкий предохранитель)
на 2А.
Выполнение приведенных выше мероприятий обеспечит
безопасное производство, сборку, настройку и проверку акселерометра.
Часть V:
Экономический расчет производства микроакселерометра
. Резюме
Темой дипломного проекта является: «Микромеханический
измеритель ускорения на основе поверхностной технологии».
Данный вид акселерометров получил широкое
распространение в таких отраслях, как авиация, оборонная промышленность,
автомобилестроение и прочие.
В данном разделе дипломного проекта доказана экономическая
эффективность выпуска предлагаемого изделия, проект выходит на положительную
величину NPV во втором году. За срок жизненного цикла Тж, равный 3
года, значение NPV составит 162960926 рублей, что свидетельствует об
экономической целесообразности проекта. Разработан маркетинговый план.
Проведена оценка рисков, и разработаны мероприятия противодействия и выработаны
схемы их снижения.
. Анализ положения в отрасли
Как было уже выше сказано темой дипломного проекта
является: Микромеханический измеритель ускорения созданный на основе технологии
МЭМС. Особенностью МЭМС (микроэлектро -механических систем) является то
обстоятельство, что в них электрические и механические узлы формируются из
общего основания (например, кремниевой подложки), причем, в результате
использования технологии формирования объемных структур обеспечивается
получение микросистемной техники с высокими оперативно-техническими
характеристиками (массогабаритными, весовыми, энергетическими и др.).
Интеграция достижений в области электроники, механики,
информатики и измерительной техники, объединенных тенденцией к
микроминиатюризации, определили зарождение новых интегральных микросистемных
технологий в конце 80-х - начале 90-х годов прошлого века. Огромное количество
университетов и коммерческих компаний США и Японии сконцентрировало свои усилия
на развитии технологий МЭМС. Анализ динамики рынка МЭМС, выполненный NEXUS
(органом Европейской Комиссии), показал, что объем рынка увеличивается ежегодно
в среднем на 18% и составляет в настоящее время свыше 40 млрд. долларов.
В 90-е годы ХХ века к соперничеству двух мировых
лидеров в области МЭМС (США и Япония) активно подключились страны Европы и
Юго-Восточной Азии. Так например количество университетов и коммерческих
компаний, занимающихся исследованиями и разработкой в области создания МЭМС, в
Германии к 1997 году стало в 1,5 раза больше, чем в США и практически
сравнялось с Японией. В 1998 году по заказу управления перспективных
исследований Министерства обороны США впервые была принята программа по МЭМС,
которая называлась “MEMC - Microelektromechanical Systems”. На развитие этой
программы США ежегодно выделяет по 35 млн. долларов, что превышает подобные
инвестиции других стран.
Следует подчеркнуть, что в России микросистемная
техника включена в список приоритетных направлений развития науки и техники на
2001 - 2010 гг.
3. План маркетинга
.1 План продвижения товара на рынок
Основой плана продвижения товара на рынок является:
. Лидерство в низких издержках - ориентация на массовый выпуск однородной
продукции, позволяющей снизить производственные затраты, цены и за счет этого
завоевать рынок и увеличить прибыль.
. Индивидуализация обслуживания - понимание потребностей, предпочтений и
проблем каждого клиента и полное удовлетворение его потребностей так и в такой
мере, в которой этого не сделает ни один конкурент:
Снижение цен при сохранении качества товара;
Предложение дополнительных благ;
Совершенствование товара, рекламирование его положительных сторон. Защита
товара;
Проведение акций, направленных против уязвимых мест конкурентов, при
поддержании на высоком уровне конкурентоспособности своего товара;
Предоставление рассрочки при покупке.
.2 Каналы сбыта. Стимулирование сбыта
При сбыте и стимулировании сбыта должно быть учтено:
. Сохранность товара на всех этапах (транспортировка, складирование,
доставка потребителю);
. Физическая доступность товара (количество торговых мест, торгующих
данным товаром, количество товаров, объем товарных запасов);
. Привлекательность места продажи;
. Удобства выбора товара и первичного ознакомления с ним;
3.3 Сервис
В данном проекте одно из важнейших мест занимает уровень сервиса, а
именно он должен в себя включать:
. Предпродажный сервис:
Возможность предварительного заказа товара;
Возможность индивидуального заказа;
Получение исчерпывающей информации о товаре; и т. д.
. Торговый сервис:
Отлаженная система консультаций специалистов;
Демонстрация товара на месте продажи;
Доставка товара потребителю.
. Послепродажный сервис:
Гарантийное и послегарантийное обслуживание;
Комплекс услуг, нацеленных на удовлетворение индивидуальных запросов
потребителя;
Комплекс сопутствующих услуг, напрямую несвязанных с товаром.
.4 Оценка риска проекта
В разделе 3 проведена экспертная оценка возможных рисков. Для рисков,
балл которых Wi*Vi (где Wi -
вес риска, a Vi - средняя вероятность возникновения)>10, разработаны меры
противодействия.
.5 Возможные покупатели товара
Данный вид товара должен заинтересовать в первую очередь:
1. Авиапромышленные компании в России и за рубежом;
2. Компании, занимающиеся ремонтом и техническим обслуживанием
авиатехники.
3.6 Особенности сегмента рынка
Фирма планирует действовать на следующих сегментах рынка:
Рынок частных компаний - владельцев авиатехники;
Рынок фирм, занимающихся ремонтом и техническим обслуживанием
авиатехники.
Особенностями данного сегмента рынка являются:
Покупателей немного, но они крупные;
Для закупок используются специалисты;
Покупатели требуют льгот.
.7 Проблемы вхождения фирмы на рынок
Основными проблемами при вступлении фирмы на рынок можно считать:
. Барьер мощности предприятия;
. Широкая известность конкурентов и относительно малая известность марки
фирмы;
. Пути решения этих проблем в агрессивной маркетинговой стратегии и
тактики.
.8 Конкуренция на рынке сбыта
В таблице 1 приведена сравнительная характеристика по факторам
конкурентоспособности. Каждый фактор в таблице получает оценку от 0 (наиболее
слабые позиции) до 5 (доминирующие позиции). Для проведения экспертной оценки
была сформирована группа из наиболее квалифицированных работников фирмы.
Таблица 1. Сравнительная характеристика по факторам
конкурентоспособности
|
Факторы
конкурентоспособности
|
Разрабатываемое изделие
|
Отечественные производители
|
Зарубежные производители
|
|
1. Товар
|
|
|
|
|
1.1. Качество
|
3
|
5
|
5
|
|
1.2. ТЭП
|
4
|
4
|
4
|
|
1.3. Престиж торговой марки
|
1
|
5
|
5
|
|
1.4. Уровень
послепродажного обслуживания
|
5
|
3
|
2
|
|
1.5. Защищенность патентами
|
3
|
3
|
3
|
|
2. Цена
|
|
|
|
|
2.1. Продажная
|
4
|
1
|
1
|
|
2.2. Процент скидки с цены
|
3
|
1
|
0
|
|
3. Продвижение товаров на
рынках
|
|
|
|
|
3.1. Реклама
|
4
|
5
|
4
|
|
3.2. Пропаганда
|
2
|
4
|
4
|
|
Общее количество баллов
|
29
|
31
|
28
|
Таким образом, по мнению экспертов конкурентоспособность продукции фирмы
на уровне конкурентоспособности зарубежных фирм и выше отечественных на (1 -
27/29)* 100 = 7%. Конкурентоспособность продукции фирмы в основном за счет
высоких ТЭП (в частности большой срок службы) и высокого уровня послепродажного
обслуживания. Дальнейшее увеличение конкурентоспособности возможно за счет
тщательно выработанной маркетинговой стратегии фирмы.
3.9 Схема распространения товаров
Схема распространения товара указанна в таблице 2.
Таблица 2. Схема распространения товара
|
Каналы сбыта продукции
|
Реализованы ли на фирме
(Да/Нет)
|
Преимущества/Недостатки
|
|
1. Со складов фирмы
|
Да
|
Только крупными партиями
|
|
2. Через посредников
|
Да (скидки 10%)
|
Необходимо производить
отбор посредников (*)
|
|
3. Оптом
|
Да (скидки 5%)
|
-
|
|
4. В розницу
|
Да
|
-
|
|
5. Заказы по почте
|
Нет
|
-
|
|
6. Продажа фирмам и
организациям
|
Да
|
-
|
|
7. Заказы по телефонам
|
Нет
|
Необходимо наличие
телефонной службы
|
Организация вызова крупных партий товара со склада фирмы осуществляется
транспортом заказчика.
(*) Отбор предполагаемых посредников будет производиться отделом сбыта
фирмы на основе анализа их деятельности.
4. Риски проекта
.1 Перечень рисков
В данном разделе проведена экспертная оценка возможных рисков. Для
рисков, балл которых Wi*Vi (где Wi - вес риска, a Vi - средняя вероятность
возникновения)>10, разработаны меры противодействия.
Таблица 3. Подготовительная стадия
|
Простые риски
|
Веса Wi
|
|
Удаленность от транспортных
узлов
|
1/4
|
|
Удаленность от инженерных
сетей
|
1/4
|
|
Отношение местных властей
|
1/4
|
|
Наличие альтернативных
источников
|
1/4
|
Таблица 4. Стадия функционирования:
финансово-экономические риски
|
Простые риски
|
Веса Wi
|
|
Неустойчивость спроса
|
1/7
|
|
Появление альтернативного
продукта
|
1/7
|
|
Снижение цен конкурентами
|
1/7
|
|
Увеличение производства у
конкурентов
|
1/7
|
|
Рост налогов
|
1/7
|
|
Неплатежеспособность
потребителей
|
1/7
|
|
Рост цен на сырье,
материалы, перевозки
|
1/7
|
Таблица 5. Стадия функционирования: социальные риски
|
Простые риски
|
Веса Wi
|
|
Трудности с набором
квалифицированной силы
|
1/4
|
|
Угроза забастовки
|
1/4
|
|
Недостаточный уровень
зарплаты
|
1/4
|
|
Квалификация кадров
|
1/4
|
Таблица 6. Стадия функционирования: технические риски
|
Простые риски
|
Веса Wi
|
|
Изношенность оборудования
|
1/3
|
|
Нестабильность качества
сырья и материалов
|
1/3
|
|
Отсутствие резерва мощности
|
1/3
|
Таблица 7. Стадия функционирования: экологические
риски
|
Простые риски
|
Веса Wi
|
|
Вероятность залповых
выбросов
|
1/5
|
|
Выбросы в атмосферу и сброс
в воду
|
1/5
|
|
Близость населенного пункта
|
1/5
|
|
Вредность производства
|
1/5
|
|
Складирование отходов
|
1/5
|
.2 Оценка рисков
Оценка рисков, указанных в таблице 8, производилась по 100 бальной
системе тремя экспертами фирмы; 0 - риск несущественен; 25 - риск скорее всего
не реализуется; 50 - о наступлении события ничего сказать нельзя; 75 - риск
скорее всего появится; 100 - риск наверняка реализуется.
Таблица 8. Оценка рисков
|
Простые риски
|
Эксперты
|
Vi средняя вероятность (1+2+3)/3
|
Балл Wi*Vi
|
|
1
|
2
|
3
|
|
|
|
Удаленность от инженерных
сетей
|
0
|
0
|
0
|
0
|
|
|
Отношение местных властей
|
25
|
25
|
0
|
16
|
4
|
|
|
Наличие альтернативных
источников
|
50
|
50
|
25
|
41
|
10
|
|
|
Удаленность от транспортных
узлов
|
0
|
0
|
0
|
0
|
0
|
|
|
Платежеспособность
заказчика
|
25
|
25
|
0
|
16
|
4
|
|
|
Непредвиденные затраты в
том Числе из-за инфляции
|
50
|
75
|
75
|
67
|
13,4
|
|
|
Несвоевременная поставка
комплектующих
|
75
|
100
|
100
|
92
|
18,4
|
|
|
Несвоевременная подготовка
ИТР и рабочих
|
0
|
25
|
0
|
8
|
1,6
|
|
|
Недобросовестность
подрядчика
|
0
|
0
|
0
|
0
|
0
|
|
|
Неустойчивость спроса
|
0
|
0
|
25
|
8
|
1,6
|
|
|
Появление альтернативного
продукта
|
50
|
75
|
25
|
33
|
4,7
|
|
|
Снижение цен конкурентами
|
100
|
75
|
50
|
71
|
10
|
|
|
Увеличение производства у
конкурентов
|
75
|
100
|
75
|
92
|
13,1
|
|
|
Рост налогов
|
50
|
75
|
50
|
58
|
8,2
|
|
|
Неплатежеспособность
потребителей
|
25
|
0
|
0
|
8
|
1,6
|
|
|
Рост цен на сырье,
материалы, перевозки
|
75
|
50
|
75
|
66
|
9,4
|
|
|
Трудности с набором
квалифицированной силы
|
0
|
0
|
0
|
0
|
0
|
|
|
Угроза забастовки
|
25
|
0
|
0
|
8
|
1,6
|
|
|
Недостаточный уровень
зарплаты
|
50
|
0
|
25
|
25
|
6,25
|
|
|
Квалификация кадров
|
0
|
0
|
0
|
0
|
0
|
|
|
Изношенность оборудования
|
25
|
25
|
25
|
25
|
8,3
|
|
|
Нестабильность качества
сырья и материалов
|
25
|
0
|
0
|
8
|
2,6
|
|
|
Отсутствие резерва мощности
|
75
|
75
|
75
|
75
|
25
|
|
|
Вероятность залповых
выбросов
|
50
|
50
|
25
|
41
|
8,2
|
|
|
Выбросы в атмосферу и сброс
в воду
|
50
|
50
|
25
|
41
|
8,2
|
|
|
Близость населенного пункта
|
100
|
100
|
100
|
100
|
20
|
|
|
Вредность производства
|
50
|
50
|
50
|
50
|
10
|
|
|
Складирование отходов
|
50
|
50
|
50
|
50
|
10
|
|
|
|
|
|
|
|
|
|
|
|
Для рисков, балл которых Wi*Vi>10 необходимо разрабатывать
мероприятия противодействия (таблица 9).
Таблица 9. Мероприятия противодействия рискам
|
Простой риск
|
Мероприятия снижающие
отрицательное воздействие риска
|
|
Непредвиденные затраты в
том Числе из-за инфляции
|
Занимать средства в твердой
валюте
|
|
Несвоевременная поставка
комплектующих
|
Минимизировать контакты с
малоизвестными поставщиками
|
|
Увеличение производства у
конкурентов
|
Увеличение рекламной акции
|
|
Отсутствие резерва мощности
|
Заключить договор об аренде
производственной линии
|
5. Финансовый план
.1 Расчет себестоимости продукции
Расчет себестоимости промышленной продукции производится в соответствии с
основными положениями по планированию, учету и калькуляции себестоимости
промышленной продукции. Принят следующий состав статей калькуляции:
1. Сырье и материалы;
2. Стоимость возвратных отходов;
. Покупные комплектующие изделия и полуфабрикаты;
. Тепловая и электрическая энергия на технологические цели;
. Основная заработная плата производственных рабочих;
. Дополнительная заработная плата производственных рабочих;
. Отчисления на социальные нужды;
. Общехозяйственные расходы;
. Прочие производственные расходы;
В таблице 10 приведен расчет затрат по первой статье на сырье и материалы
на производство прибора (из расчета на 100 шт.).
Таблица 10.Затраты на сырье и материалы
|
№ п/п
|
Наименование материалов
(торговое название)
|
Единица измерения
|
Норма расхода
|
Оптовая цена за единицу
|
Сумма, р.
|
|
1
|
H2SO4/H2O2 (перекись)
|
л.
|
3,0
|
74,76
|
224,3
|
|
2
|
HCl/ H2O2 (перекись)
|
л.
|
1,5
|
46,2
|
69,3
|
|
3
|
нитрид кремния Si3N4
|
кг.
|
0,005
|
340,0
|
1,7
|
|
4
|
SiO2
|
кг.
|
0,02
|
342,0
|
6,84
|
|
5
|
HCl
|
л.
|
1,0
|
49,56
|
49,56
|
|
6
|
раствор HF/H2O
|
л.
|
1,0
|
83,04
|
83,04
|
|
7
|
NH3OH
|
л.
|
3,0
|
92,4
|
277,2
|
|
8
|
DI
|
л.
|
1,0
|
39,0
|
39,0
|
|
9
|
Перчатки резиновые
|
пар.
|
4
|
30,0
|
120,0
|
|
10
|
Напальчники. рез.
|
шт.
|
20
|
2,4
|
48,0
|
|
11
|
Бумага фильтр.
|
кг.
|
0,5
|
40,0
|
20,0
|
|
12
|
фоторезист Shipley 1813
|
кг.
|
0,4
|
2142,0
|
856,2
|
|
13
|
Проявитель MF
- 319
|
кг.
|
0,4
|
162,0
|
64,8
|
|
14
|
комплект шаблонов
|
шт.
|
3
|
300
|
900
|
|
15
|
Газ NH3 + SH4 баллон
|
шт.
|
0,5
|
500
|
250,0
|
|
16
|
Фреон баллон
|
шт.
|
0,6
|
510,0
|
306,0
|
|
17
|
керамическая промывочная
ванна
|
шт.
|
1
|
289,09
|
289,09
|
|
18
|
полиэтиленовый контейнер
|
шт.
|
1
|
62,4
|
62,4
|
|
19
|
неметаллическая ванна
|
шт.
|
1
|
93,6
|
93,6
|
|
|
|
|
|
|
|
Итого: на 100 шт.
|
3465,27
|
|
Итого: на 1 шт.
|
34,66
|
|
Транспортно -
заготовительные расходы 5%
|
1,73
|
|
Итого: на 1 шт.
|
36,39
|
В возвратные отходы включаются стоимость сырья и материалов,
образовавшихся в процессе превращения исходного материала в готовую продукцию,
если они полностью или частично утратили потребительские качества исходного
материала и в силу этого не могут использоваться по прямому назначению.
Возвратных расходов нет.
В покупные комплектующие изделия включаются затраты на приобретение
готовых изделий и полуфабрикатов, требующих дополнительных затрат труда на их
обработку или сборку. Покупные изделия приведены в таблице 11.
Таблица 11. Покупные изделия и полуфабрикаты
|
Наименование
|
Техническое обозначение
|
Норма расхода на изделие,
шт.
|
Цена за единицу, руб.
|
Сумма на изделие, рруб.
|
|
Пластина кремниевая
|
КЭФ 4,5 (100)
|
0,01
|
342,0
|
3,42
|
В таблице 12 приведена стоимость затраченной при изготовлении устройства
электроэнергии.
Таблица 12. Затраты на энергию на технологические цели
|
№ п/п
|
Наименование энергии
|
Единица измерения
|
Цена за единицу, руб.
|
Норма расхода
|
Сумма, руб.
|
|
1.
|
Электроэнергия
|
кВт
|
5-00
|
5
|
25-00
|
|
Итого:
|
25-00
|
Основная заработная плата определяется прямым путём по формуле
Зо = Зт+Зп
где Зт - заработная плата по тарифу; Зп - доплаты
по сдельно- повременно- премиальным системам, 20%.
где
ti - трудоемкость по каждому виду работ, н.-час; Ti -
тарифная ставка разряда соответствующего i-му виду работ, р. n - количество
видов работ.
Расчёт
трудоемкости работ приведён в таблице 11. Расчёт трудоемкости работ по сборке,
приведён в таблице 12. Расчёт основной заработной платы производственных
рабочих приведён в таблице 13.
Таблица
13. Расчёт трудоемкости работ
|
Наименование операции
|
Штучное время, ч.
|
Количество операций на
изделие
|
Трудоёмкость н.-ч.
|
|
Операции химической очистки
|
0,3
|
1
|
0,3
|
|
Операции осаждения
|
1,5
|
3
|
4,5
|
|
Операции фотолитографии
|
1
|
2
|
2
|
|
Операции травления
|
0,5
|
3
|
1,5
|
|
Итого по изготовлению
пластины
|
8,3
|
|
Итого в пересчете на
изделие
|
0,083
|
|
Резка пластины на платы
|
0,116
|
1
|
0,116
|
|
Контроль OTK
плат по внешнему виду
|
0,134
|
1
|
0,134
|
|
Итого:
|
0,34
|
Таблица 14. Расчёт трудоемкости работ по сборке
|
Наименование операции
|
Штучное время, ч.
|
Количество операций
|
Трудоёмкость, н.-ч.
|
|
Подготовка оснований и
крышек корпусов
|
0,1
|
1
|
0,1
|
|
Установка датчика на
основание корпуса
|
0,3
|
1
|
0,3
|
|
Разварка перемычек и
выводов
|
0,5
|
1
|
0,5
|
|
Обдув сжатым воздухом
|
0,01
|
1
|
0,01
|
|
Контроль открытых устройств
|
0,1
|
1
|
0,1
|
|
Контроль ОТК открытых
устройств
|
0,1
|
1
|
0,1
|
|
Герметизация устройства
|
0,3
|
1
|
0,3
|
|
Контроль качества
|
0,05
|
1
|
0,05
|
|
Маркирование устройства
|
0,1
|
1
|
0,1
|
|
Лакирование устройства
|
0,2
|
1
|
0,2
|
|
Итого:
|
1,76
|
Таблица 15. Расчёт основной заработной платы
|
№ п/п
|
Вид работы
|
Трудоемкость, нормо-час
|
Разряд работ
|
Часовая тарифн. ставка,
руб.
|
Основная зар.плата, руб.
|
|
1
|
Изготовление пластины
|
0,34
|
3
|
51
|
17,34
|
|
2
|
Сборка и монтаж
|
1,76
|
5
|
91
|
160,16
|
|
Итого:
|
177,5
|
В дополнительную заработную плату производственных рабочих включаются
выплаты, предусмотренные законодательством о труде или коллективными
договорами, за проработанное на работе время; она составляет 10% от основной
заработной платы.
ЗД = 0,1× ЗО = 0,1×177,5= 17,75 р.
В отчисления на социальные нужды включаются отчисления на социальное
страхование по норме от суммы основной и дополнительной заработной платы
производственных рабочих. Норма для предприятий занимающихся выпуском
электронной продукции 35.6%.
ЗСОЦ = 0,356 × (ЗО+ЗД)=0,356 × (177,5+17,75) = 69,51 р.
В общехозяйственные расходы включаются затраты на обслуживание цехов и управление
ими.Для заводов специализирующихся на электронной промышленности величина
расходов 50%.
ЗХ = 0,5 × ЗО = 0,5 × 177,5= 88,75 р.
В прочих производственных расходов учитываются:
· Отчисления на научно-исследовательские и опытные работы.
· Затраты на гарантийное обслуживание и ремонт изделий.
· Расходы на стандартизацию.
Рассчитываются в процентах от основной заработной платы производственных
рабочих 14%.
ЗПП = 0,14 × ЗО = 0,14 × 177,5= 24,85 р.
Результаты расчета себестоимости по статьям приведены в таблице 16.
Таблица 16. Результаты расчета себестоимости по статьям
|
№ п/п
|
Наименование статей
калькуляции
|
Затраты, р.
|
|
1
|
Сырье и материалы
|
36,39
|
|
2
|
Стоимость возвратных
отходов
|
0
|
|
3
|
Покупные комплектующие
изделия и полуфабрикаты
|
3,42
|
|
4
|
Тепловая и электрическая
энергия на технологические цели
|
25
|
|
5
|
Основная заработная плата
производственных рабочих
|
177,5
|
|
6
|
Дополнительная заработная
плата производственных рабочих
|
17,75
|
|
7
|
Отчисления на социальные
нужды
|
69,51
|
|
8
|
Общехозяйственные расходы
|
88,75
|
|
9
|
Прочие производственные
расходы
|
24,85
|
|
Итого себестоимость:
|
443,17
|
Договорная оптовая цена нового изделия определяется исходя из полной
себестоимости изделия по формуле
Ц0 = Сп ×(1+Пр/100),
где: Пр - процент ожидаемой прибыли, принимается равным 25%.
Исходя из этого, оптовая цена равна 553,97 руб.
.2 Расчёт инвестиционных затрат
По маркетинговым оценкам рынка разрабатываемое устройство будет
продаваться в количестве К = 1000000 штук в год по цене 553,97 руб. Проект
рассчитан на срок 3 года с учетом 6 месяцев на организацию производства.
Таким образом, годовой объем продаж:
ВР = К × Ц0 = 1000000 × 553,97 = 553970000 руб.
Годовые эксплуатационные расходы
ЭР = Сп × 1000000 = 443,17 × 1000000 = 443170000 руб.
При расчете инвестиционных затрат (ИЗ) следует учитывать потребность в
начальном оборотном капитале, необходимом для того, чтобы запустить проект.
Потребность в начальном оборотном капитале рассматривается как потребность в
инвестициях.
ИЗ = Иос + Иоб.к,
где Иос - инвестиционные затраты в основной капитал;
Иоб.к. - инвестиционные затраты в оборотный капитал.
Иос принимается в размере 20% от объема реализации новых
изделий в оптовых ценах:
Иос= ВР × 0,2 = 553970000 × 0,2 = 110794000 руб.
Для запуска проекта требуется 10,5% годовых эксплуатационных расходов,
тогда
Иоб.к = ЭР × 10,5% = 553970000 × 0,105 = 58166850 руб.
Следовательно: ИЗ = 110794000 + 58166850 = 168960850 руб.
Амортизация не является потоком платежей или поступлений, но это
инвестиционный ресурс, который остается в компании. За жизненный цикл товара Тж
= 3 года стоимость инвестиционных затрат в основной капитал (110794000 руб.)
должна быть возмещена для инвесторов. Таким образом, годовые амортизационные
отчисления составят 36931334 рублей / год.
5.3 Расчёт годовой чистой прибыли
Расчет годовой чистой прибыли (ЧП) производится по формуле:
ЧП = (ВР - ЭР) × (1- Т),
где Т - ставка налога на прибыль (0,24)
ЧП = (553970000 - 443170000) × 0,76 = 84208000 руб.
Чистый поток денежных средств (Д) за каждый год жизни проекта
рассчитывается по формуле:
Д = ЧП + А - ИЗ
В первый год производства чистая прибыль:
Д = 84208000 + 36931334 - 168960850 = -47821516 руб.
В последующие годы реализации продукции отсутствуют инвестиционные
затраты, следовательно:
Д = 84208000 + 36931334 - 0 = 121139334 руб.
Расчет чистой приведенной (современной) стоимости будущих потоков
денежных средств, генерируемых инвестиционным проектом за жизненный цикл (NPV)
осуществляется по формуле:
где Дt - чистый поток денежных средств генерируемых проектом
на t-м интервале;- ставка сравнения (ставка дисконта) в долях;
Тж - срок жизни проекта.
Последний множитель (1 + i) называется дисконтным множителем (ДМ). Этот
множитель характеризует темп, с которым будущие денежные доходы обесцениваются
по сравнению с настоящим моментом времени, в котором проводят оценку будущего.
Ставка сравнения характеризует ту норму доходности, от которой отказывается
инвестор, предпочитая вкладывать средства в рассматриваемый проект. Эта ставка
характеризует альтернативные издержки, или издержки упущенных возможностей.
Обычно годовая ставка сравнения принимается в размере 10-15% (i = 0,1-0,15).
Она складывается из «справедливой» годовой ставки процента по банковским
кредитам (6%) и поправки на риск (4 - 9%).
Приведенный поток денежных средств (Пп.д.с.) определяется из
формулы:
Пп.д.с.= Д × ДМ
Первый год Пп.д.с.= -47821516 × 1 = -47821516;
второй год Пп.д.с.= 121139334 × 0,91 = 110236794;
третий год Пп.д.с.= 121139334 × 0,83 = 100545648.
Определяем чистую приведенную стоимость будущих потоков денежных средств:
первый год - NPV = -47821516 + 0 = -47821516;
второй год - NPV = -47821516 + 110236794 = 62415278;
третий год - NPV = 62415278 + 100545648 = 162960926.
В таблице 17 представлен укрупненный прогноз потоков денежных средств
проекта.
Таблица 17. Прогноз потоков денежных средств проекта
|
п/п
|
Показатели
|
0
|
1
|
2
|
|
1
|
Годовой объем продаж, руб.
|
553970000
|
553970000
|
553970000
|
|
2
|
Инвестиционные затраты,
руб.
|
-168960850
|
|
|
|
3
|
Годовые эксплуатационные
расходы, руб.
|
-443170000
|
-443170000
|
-443170000
|
|
4
|
Валовая прибыль, руб.
|
110800000
|
110800000
|
110800000
|
|
5
|
Налог на прибыль, руб.
|
-26592000
|
-26592000
|
-26592000
|
|
6
|
Чистая прибыль, руб.
|
84208000
|
84208000
|
84208000
|
|
7
|
Амортизация, руб.
|
36931334
|
36931334
|
36931334
|
|
8
|
Чистый поток денежных
средств, руб.
|
-47821516
|
121139334
|
121139334
|
|
9
|
Дисконтный множитель (
i=0,1)
|
1
|
0,91
|
0,83
|
|
10
|
Приведенный поток денежных
средств, руб.
|
-47821516
|
110236794
|
100545648
|
|
11
|
Чистая приведенная
стоимость будущих потоков денежных средств, руб.
|
-47821516
|
62415278
|
162960926
|
Из таблицы 12 следует, что проект выходит на
положительную величину NPV во втором году. За срок жизненного цикла Тж,
равный 3 года, значение NPV составит 162960926 рублей, что свидетельствует об
экономической целесообразности проекта.
Список использованной литературы
1) Mechanical sensors
2) Analog Devices, "ADXL05 - +lg
to +5g single chip accelerometer with signal conditiomng," Datasheet,
1995, Norwood, MA 02062.
) Gang Zhang. Design and Simulation
of A CMOS-MEMS Accelerometer. B.S. TsinghuaUniversity(1994)
4) Sensor design and fabrication,
) Introduction,
6) Савельев И.В. Курс общей физики:
Учеб. пособие. В 3-х т. Т.З. Квантовая оптика. Атомная физика. Физика твердого
тела. Физика атомного ядра и элементарных частиц. - Зе. изд., испр. - М-.:
Наука. Гл. ред. физ.-мат. лит., 1987. - 320с, ил..
) Применение интегральных схем:
Практическое руководство. В 2-х кн. Кн.1 Пер. с англ./Под ред. А. Уильямса. - М.: МирЛ 1987. - 432с. ил.
) Analog Devices Web Site
) 0.8 micron CMOS Fabrication
Process!
) Wet Oxide Etch,
11) Евдокимов В.И., Козаченко В.И.,
Нейман Л.А., Румянцев Б.В. Охрана труда в приборо- и радиоаппаратостроении: Уч.
пос. С-Пб: СПбГААП 1993 82с.ил.
) Евдокимов В.И. и др. Пожарная
безопасность в авиаприборостроении: Уч. пос. Л.:ЛИАП 1987 51с.ил.
) Евдокимов В.И. Охрана труда и
окружающей среды:
Метод, указ. по дипломному
проектированию Л.: ЛИАП 1989 34с.ил.
) Сироткин В.Б., Трофимова Л.А.
Определение эффективности инвестиций Метод. указ. к выполнению дипломного
проекта С-Пб.: С-П6ГУАП 1997 29с.ил.