Методика прогнозування зон покриття мереж радіозв’язку

  • Вид работы:
    Курсовая работа (т)
  • Предмет:
    Информатика, ВТ, телекоммуникации
  • Язык:
    Украинский
    ,
    Формат файла:
    MS Word
    775,37 Кб
  • Опубликовано:
    2013-05-23
Вы можете узнать стоимость помощи в написании студенческой работы.
Помощь в написании работы, которую точно примут!

Методика прогнозування зон покриття мереж радіозв’язку















Методика прогнозування зон покриття мереж радіозв’язку

Вступ

Під час планування мереж мобільного зв’язку зона покриття мережі визначається на основі статистичних та детермінованих методів, які враховують параметри, що описують географічний район розгортання мережі.

Статистичні методи прогнозування, основані на презентативному виборі вимірювань реальних сигналів, довгий час були основними в практиці фірм-операторів і не втратили своєї актуальності до сьогодні. У відповідності з ними зони покриття базових станцій моделюються кругом, радіус якого відповідає заданому проценту глобальних зон з якісним зв’язком на його границі, або визначається границя зони покриття як сукупність точок ЕППР від базових станцій по азимутальних кутах до досягнення в них показниками якості зв’язку своїх граничних значень.

Детерміновані методи прогнозування основані на врахуванні факторів впливу перешкод на шляху поширення сигналу від базових станцій до ЕППР та місцевих умов в ЕППР. Якщо обмежитись енергетичною моделлю в радіолінії мобільного зв’язку, то характер флуктуацій амплітуди сигналу в глобальній зоні визначається медіанним значенням поля, середньоквадратичним відхиленням його фклюктуацій та параметром, що характеризує наявність чи відсутність умов прямої видимості між фазовими центрами антен базової станції та абонента по умовах поширення на інтервалі.

Застосування ГІС-технолгій, що працюють на основі використання географічної бази даних, дозволяє при розв’язку задач планування мереж більш точно моделювати конкретні умови місцезнаходження рухомих абонентів та середовище поширення на шляху радіозв’язку.

Отже розглянемо методики прогнозування зон покриття.

1. Теоретичні відомості

.1 Методика прогнозування зон покриття мереж радіозв’язку

Під час планування мереж мобільного зв’язку зона покриття мережі визначається на основі статистичних та детермінованих методів, які враховують параметри, що описують географічний район розгортання мережі.

Статистичні методи прогнозування, основані на презентативному виборі вимірювань реальних сигналів, довгий час були основними в практиці фірм-операторів і не втратили своєї актуальності до сьогодні. У відповідності з ними зони покриття базових станцій моделюються кругом, радіус якого відповідає заданому проценту глобальних зон з якісним зв’язком на його границі, або визначається границя зони покриття як сукупність точок ЕППР від базових станцій по азимутальних кутах до досягнення в них показниками якості зв’язку своїх граничних значень.

Детерміновані методи прогнозування основані на врахуванні факторів впливу перешкод на шляху поширення сигналу від базових станцій до ЕППР та місцевих умов в ЕППР. Якщо обмежитись енергетичною моделлю в радіолінії мобільного зв’язку, то характер флуктуацій амплітуди сигналу в глобальній зоні визначається медіанним значенням поля, середньоквадратичним відхиленням його фклюктуацій та параметром, що характеризує наявність чи відсутність умов прямої видимості між фазовими центрами антен базової станції та абонента по умовах поширення на інтервалі.

Застосування ГІС-технологій, що працюють на основі використання географічної бази даних, дозволяє при розв’язку задач планування мереж більш точно моделювати конкретні умови місцезнаходження рухомих абонентів та середовище поширення на шляху радіозв’язку.

Отже розглянемо методики прогнозування зон покриття.

1.2 Розрахунок напруженості поля за формулою ідеального радіозв’язку

Радіохвиля поширюється у навколишньому просторі планети Земля. Земля має радіус, що приблизно дорівнює  та неоднорідну поверхню. Землю охоплює газова оболонка, що обертається разом з нею − атмосфера. Атмосфера складається з тропосфери, стратосфери та іоносфери. Фізичні параметри атмосфери є змінними, в залежності від відстані до поверхні Землі.

Траєкторія, вздовж якої енергія радіохвилі поширюється від джерела до точки спостереження, залежить від різних чинників. Основними з них є частота сигналу та електродинамічні параметри середовища.

В залежності від частоти радіохвилі розподіляються за діапазонами. Діапазони розподілу частот визначаються за формулою:

, (1.1)

де − номер діапазону.

Радіохвилі, які поширюються безпосередньо біля поверхні Землі і частково огинають земну кулю, називають земними, або поверхневими (2).

Радіохвилі, що поширюються на значні відстані, внаслідок рефракції в тропосфері, називають тропосферними (3).

Радіохвилі, що поширюються на великі відстані і огинають Землю внаслідок відбиття від іоносфери називають іоносферними, або просторовими.

Радіохвилі, для яких іоносфера є прозорою , можна також віднести до прямих хвиль (5).

Рисунок 8 − Область атмосфери та види поширення радіохвиль

Для початку з’ясуємо особливості процесу поширення радіохвиль у вільному просторі з параметрами: .

Проведемо процедуру отримання формули деального радіозв’язку:

)        Поширення радіохвиль відбувається з носійкою частотою  та потужністю , що їх випромінює ізотропна антена (тобто випромінює однаково в усі сторони).

Енергія  радіохвилі розподіляється рівномірно по поверхні уявної сфери і визначає потужність випромінювання

 (1.2)

Якщо потужність випромінювача відома, то у будь-якій точці зони поширення радіохвиль можна знайти значення модуля ветора Пойнтінга:

, (1.3)


де  − вектор пойнтінга,  − площа сфери.

Для сфери значення модуля вектора Пойнтінга дорівнює:

 (1.4)

Вектор  є векторним добутком векторів напруженості електричного та магнітного полів  та , які в дальній зоні взаємно перпендикулярні та змінюються синфазно, а його напрямок співпадає з напрямком поширення електромагнітної хвилі, тому модуль :

, (1.5)

де  та  − амплітудні значення складових напруженості електричного та магнітного полів.

)        Скористаємося поняттям хвильового опору, що є коефіцієнтом пропорційності між  та :

 (1.6)

Для вільного простору отримаємо:

 (1.7)

Тепер запишемо діюче значення вектора Пойнтінга:

 (1.8)

3)      Тоді з формули для діючого значення вектора Пойнтінга отримаємо діюче значення напруженості поля:

 (1.9)

Дану залежність значення напруженості поля від потужності випромінювання називають формулою ідеального радіозв’язку. Для зручності практичного застосування використовують одиниці виміру для потужності − кіловати, а для відстані − кілометри, вони є пристосовані до реальних умов. Тоді формула (2.9) набуде вигляду:

 (1.10)

Але ізотропні випромінювачі − це ідеальні випромінювачі, їх неможливо реалізувати на практиці. Замість них використовують антени, що випромінюють лише в задано напрямі. Ступінь концентрації потужності визначає коефіцієнт спрямованої дії антени − .

Спрямована антена, що випромінює потужність , створює таку ж напруженість поля , як ізотропна антена, що випромінює потужність більшу в  раз. Тобто застосування спрямованих антен дозволяє зменшити потужність передавача  в  раз.

 (1.11)

Звернемо увагу також на те, що значення потужностей передавача та приймача різняться на декілька порядків, для полегшення розрахунків доцільно використати логарифмічні одиниці.

, (1.12)

у випадку коли значення .

Аналогічно отримаємо для напруженості поля:

, (1.13)

де .

.3 Розрахунок напруженості поля на основі статистичної моделі

.3.1 Визначення профілю траси за допомогою цифрових карт місцевості

На основі географічних координат передавача та приймача з топографічної бази даних або по карті місцевості визначити висоти місцевості над середнім рівнем моря вздовж траси. Профіль траси визначають так, щоб отримати цілу кількість кроків (приблизно 0,3 км кожний). Профіль траси має включати висоти точок місцевості, що відповідають положенню передавача та приймального пристрою, за необхідністю до висот траси треба додати поправку на кривизну поверхні Землі.

урахуванням сферичності Землі, з метою збереження висот точок над рівнем моря (чи будь-яким умовним нульовим рівнем) використаємо формулу (1.14) для визначення кривизни Землі, тобто нульового рівня:

, (1.14)

де  − довжина траси;

 − ефективний радіус Землі з урахуванням стандартної рефракції

().

.3.2 Визначення напруженості поля

Розрахунок напруженості виконується за наступною формулою:

, (1.15)

де  − медіанне значення напруженості поля, що знаходять з кривих поширення, Додаток В, [дБ(мкВ/м)];

 − коефіцієнт підсилення антени-передавача у напрямі, що визначає кут , [дБ];

 − коефіцієнт, що залежить від ступеня нерівності місцевості, [дБ];

 − коефіцієнт, що залежить від висоти приймальної антени та характеру місцевості в зоні прийому, [дБ];

 − коефіцієнт, що залежить від відсотків пунктів прийому, для яких напруженість поля перевищить прогнозований рівень, [дБ];

 − коефіцієнт, що залежить від кута зазору місцевості, [дБ];

 − кут зазору на трасі, [рад];

 − коефіцієнт, що враховує кліматичні зони, [дБ].

За рекомендаціями 370 та 529 МСЕ,  − це функціональна залежність (крива поширення):

, [дБ], (1.16)

де  − довжина траси, [км];

 − робоча частота, [МГц];

 − ефективна висота передавальної антени, [м];

 − час, впродовж якого напруженість поля перевищує прогнозований рівень (50, 10, 5, 1), [%].

На кривих поширення зображено рівні напруженості поля, яке генерує джерело потужності 1 кВт, на 50% розташувань для відсотку часу, що дорівнює 50%, для смуги частот − 450…1000 МГц. (Додаток Б).

Ефективну висоту передавальної антени базової станції  визначають як висоту над середнім рівнем місцевості в межах від 3 до 15 км від передавача в напрямі розташування приймача.

, [м], (1.17)

де  − ефективна висота передавальної антени, [м];

 − фізична висота передавальної антени над рівнем моря, [м];

 − середня висота місцевості, [м].

Середню висоту місцевості  розраховують за формулою:

, [м] (1.18)

Для hi необхідно застосовувати висоти на відстанях , м від передавача в напрямі приймача.

Якщо траса від передавача до приймача менша 15 км, то враховують фактичну відстань до приймача.

.3.3 Визначення складових формули

Коефіцієнт , що характеризує нерівномірність місцевості . Нерівність поверхні  визначають як різницю висот, що перевищують на 10% та 90% відповідно висоти місцевості, вимірюваних у межах від 10 км до 50 км від передавача в напрямі місця розташування приймача. Якщо траса від передавача до приймача коротше 50 км, то необхідно враховувати фактичну відстань до приймача (рис. 9).

Рисунок 9 − Нерівномірність поверхні траси

Для розрахунку поправочного коефіцієнта в діапазоні від 450…1000 МГц (рис. 10) можна скористатись формулою (2.19).

Рисунок 10 - Залежність поправного коефіцієнта  для полоси частот від 450 до 1000 МГц

, (1.19)

де  − ступінь нерівності місцевості, [м];

 − довжина траси, [км].

Для розрахунку поправного коефіцієнту в діапазоні 450…10000 МГц, потрібно отриманий результат домножити на 1.5.

Коефіцієнт, який враховує висоту антени приймача.

Висоту антени приймача визначають як висоту над рівнем земної поверхні в місці розташування антени. Таким чином коефіцієнт  для розрахунку напруженості поля визначають за формулою:

, (1.20)

де  − коефіцієнт врахування місцевості (наведено в таблиці 1):

Таблиця 1 - Значення коефіцієнта с

Зона с, дБ

ОВЧ

УВЧ

Сільська

4

4

Приміська

5

6

Міська

6

8


Коефіцієнт , який враховує характер профілю траси.

Зміни сигналу виникають через зміну геометрії всієї траси поширення. Непостійність розташувань оцінюють для квадратних зон зі стороною 100...200 м, інколи з додатковою умовою, що зона має бути плоскою. Важливим є те, чи буде вплив геометрії траси на зміни у цій зоні. На рис. 11 показано залежність коефіцієнту , дБ, від відсотка пунктів прийому, для якого напруженість поля перевищить прогнозований рівень. Вважають, що процеси стосовно широкосмугових цифрових систем (ширина смуги не менше 1,5 МГц) менше залежать від частотно-залежного положення кореспондентів ніж аналогові системи.

Рисунок 11 - Відношення (дБ) напруженості поля для заданого проценту пунктів прийому до напруженості поля для 50% пунктів прийому

 Аналогові системи

 Цифрові системи (ширина смуги > 1.5 МГц)

 Аналогові системи для  > 50м

Коефіцієнт залежний від заданого процента пунктів прийому Т визначається за формулою:

 (2.21)

Для частот вище 300 МГц, та >50 метрів  треба домножити на .

Кут зазору на трасі

Якщо на місцевості між передавальною станцією й місцем прийому є підйоми та спуски, то необхідно скорегувати в місці прийому значення напруженості поля. Кут просвіту зображено на рис. 12. Поправний коефіцієнт визначають для максимальної відстані 16 км за графіком поправки для кута просвіту (рис. 12).

Рисунок 12 - До визначення кута зазору на трасі

Якщо на базовій або фіксованій станції, що створює завади, застосовують спрямовані або похилі антени, - ці фактори необхідно приймати до уваги під час визначення напруженості поля радіозавад.

Поправні коефіцієнти для різних значень кутів просвіту місцевості розраховують за формулами:

 для ДВЧ,

 для УВЧ. (1.22)

покриття мережа мобільний радіозв’язок

Коефіцієнт, який враховує кліматичні регіони .

Відомо, що напруженість поля в різних кліматичних регіонах різна. Спостерігається кореляція значень середньої напруженості поля з градієнтом індексу рефракції в першому кілометрі атмосфери над рівнем землі. Якщо коефіцієнт рефракції  для певного регіону помітно відрізняється від 40, то для розрахунку напруженості поля необхідно використати поправний коефіцієнт:

 (1.23)

Якщо  невідомо, але є певна інформація стосовно середнього значення , де , можна застосовувати альтернативний поправний коефіцієнт , для помірного клімату.

Коефіцієнт послаблення антени G(θ).

Коефіцієнт послаблення антени у напрямі, що визначає кут θ, визначимо за формулою:

, (1.25)

де ,  − коефіцієнт спрямованої дії антени-передавача, [дБ];

Таким чином можна визначити рівень напруженості електричного поля в точці спостереження і порівняти з чутливістю приймача та зробити висновки.


2. Розрахункова частина

Розрахунок напруженості поля за формулою ідеального радіозв’язку

Використовуючи формулу (11) − знайдемо значення напруженості поля:

.

Тепер скористаємося формулою (13) та запишемо значення напруженості поля в логарифмічних одиницях:

.

Визначення профілю траси

За допомогою пакету OziExplorer побудуємо профіль висот, з кроком 150 метрів, даної в завданні траси, задавши координати передавача(48 39735; 22 22 29,116), приймача(48 20789; 22 00,561) та карту (M - 34-129). Отримаємо результат у виді графіка залежності висот від відстані від передавача (див. рис. 1).

(рис. 1)

Для врахування кривизни Землі скористаємося формулою (14). Отримаємо:

.

Профіль траси представлено в (Додатку Б) вже з урахуванням кривизни землі (рис. 2).

Визначення напруженості поля

І так, напруженість поля розрахуємо за формулою (1.15). Для цього спочатку розрахуємо всі складові формули.

Спочатку знайдемо медіанне значення напруженості поля. Для цього нам потрібно знати ефективну висоту передавальної антени та середню висоту місцевості. Знайдемо їх за формулами (1.17) та (2.18) відповідно.


Тепер за графіком кривих поширення (Додаток Б (рис. 3)) знайдемо медіанне значення напруженості поля:

Оскільки ефективна висота передавальної антени дорівнює 436.289929 метра, на кривих поширення можемо розраховувати  більше  для 300 метрів і менше  для 600 метрів, відповідно: =85 [дБ].

Висновок: Значення  виявилось досить великим, що зумовлено невеликою довжиною траси, що значно покращує напруженість поля в точці.

Далі в розрахунках потрібно знайти коефіцієнт підсилення антени-передавача в напрямі, що визначається певним кутом. Розрахуємо його наступним чином (формула (1.25)).

За умовою поляризація передавальної антени - права кругова, а приймальної антени - ліва кругова, отже відповідно:


Висновок: Значення коефіцієнту  виявилось від’ємним, тобто це зменшує напруженість поля в точці прийому, оскільки за визначенням це коефіцієнт послаблення антени у заданому напрямі.

Наступним кроком буде знаходження , для цього скористаємося формулою (2.19).

Для знаходження DDh скористаємося графіком приведеним в (Додатку Б (рис.4)).

отже:


Отже:

=50375м,


Для розрахунку поправного коефіцієнту в діапазоні 450…10000 МГц, потрібно отриманий результат домножити на 1.5. Отже:


Висновок: Значення  виявилось додатнє, це зумовлено тим, що нерівномірність місцевості  більша за 50 метрів, і довжина траси більша за 10 кілометрів, відповідно при розрахунку d значення логарифму та при розрахунку значення різниці не приймають від’ємні значення.

Далі розрахуємо коефіцієнт  використовуючи для цього формулу (1.20). В даній формулі невідомим є коефіцієнт . Коефіцієнт  визначимо з таблиці 1

Частота коливання сигналу, за умовою курсової роботи є рівною 800 МГц, оскільки проміжок ультрависоких частот включає в себе частоти 300-3000 МГц, то коефіцієнт с треба брати із розрахунку для УВЧ. Судячи з характеру місцевості для якої був побудований профіль траси, лінія, що з’єднує передавач та приймач не проходить через жодне місто та приміську зону, отже можна зробити висновок що коефіцієнт с треба брати для сільської зони. Отже, в нашому випадку с=4.

Відповідно:


Висновок: Значення коефіцієнту, який залежить від висоти приймальної антени та характера місцевості в зоні приймання, вийшло від’ємним, тобто цей коефіцієнт зменшує напруженість поля у точці прийому, це зумовлено тим, що висота приймальної антени менша за 10 м. Відповідно у формулі значення логарифму стає від’ємним.

Переходимо до розрахунку наступного коефіцієнта − .

Скористаємося формулою (1.21):


Висновок: Значення коефіцієнту  виявилось досить малим, оскільки, судячи з рис. 11 при 50 відсотках пунктів прийому він близький до 0, з чого можна зробити висновок не вагомості впливу цього коефіцієнту на кінцеву відповідь.

Наступним кроком розрахунків буде знаходження кута зазору місцевості. Даний кут представлено в (Додатку Б (рис. 5)). Таким чином:


Оскільки середня частота коливання за умовою складає 800 МГц, скористаємось формулою (1.22) для УВЧ:


Висновок: Коефіцієнт  суттєво впливає на відповідь, оскільки втрати енергії суттєво залежать від наявності пагорбів та спусків на трасі.

 

Останньою частиною в розрахунках складових формули (1.15) буде розрахунок коефіцієнта . Оскільки дана траса проходить в зоні помірного клімату, то коефіцієнт рефракції , а отже використовуючи формулу (1.23) отримаємо, що


Висновок: Оскільки при підрахунку, коефіцієнт рефракції було взято за 40, значення коефіцієнту, що враховує кліматичні регіони, не впливає на кінцеву відповідь напруженості поля.

Завершальним етапом в даних розрахунках буде розрахунок напруженості поля на основі статистичної моделі. Для цього підставимо розраховані вище значення для складових формули у вираз (1.15). В результаті отримаємо:


Висновок: Отримане значення виявилось менше за розраховане в ідеальному випадку, що зумовлене втратами енергії.

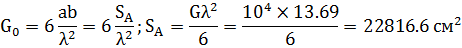
Розрахунок рупорної антени

Розрахувати пірамідоподібний рупор, що при збудженні прямокутним хвилеводом R100(МЭК-100) з розмірами a×b=23×10мм має на хвилі

λ=3,75см коефіцієнт підсилення  ()

.Розміри рупора в горловині вимірюються внутрішніми розмірами хвилевода: а=23мм, б=10мм.



Визначимо розмір сторін розкрива ’ b’ з оптимального співвідношення між ними:


звідки


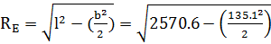
.Визначаємо радикальну довжину рупора (відстань від фазового центра до найближчої точки розкриву) в Н-площині:


.Визначаємо бокову довжину рупора зі співвідношення:

=2570,6 см

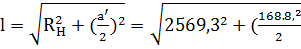
.Визначаємо відстань від фазового центра до найближчої точки розкриву в площині:

=2569.7 см

.Визначаємо максимальний зсув по фазі на краях розкриву рупора:


.Розрахуємо ДН, вважаючи, що поле в розкриві рупора синфазне

В площині Е рівняння діаграми:

ʄ(())

а в площині Н:

ʄ(())

де θ-кути між даним напрямом и нормаллю до розкриву рупора відповідно у Е та Н площинах.

. Ширину ДН можна визначити по формулам:

=1.45°;=1.77°


Висновки

При виконанні даної курсової роботи були набуті навички по використанню матеріалу засвоєного на лекційних та практичних заняттях. Було    поглиблено теоретичні знання технічних і програмних засобів при проектуванні систем радіозвязку. Були набуті навики роботи з технічною та довідниковою літературою з питань реалізації систем радіозвязку, вибору програмного забезпечення, використання стандартних баз даних геоінформаційних систем (ГІС).

З допомогою пакету OziExplorer за даною в умові картою та координатами передавальної та приймальної антен було побудовано профіль траси. За цим профільом проводилися подальші розрахунки напруженості поля та коефіціентів. В результаті розрахунків було отримане значення напруженості за формулою ідеального радіозв’язку та практичне значення напруженості поля, отримане на основі статистичної моделі

Як бачимо, значення розраховане на основі статистичної моделі менше, ніж значення отримане за формулою ідеального радіозв’язку. Це можна пояснити тим, що при розрахунку практичної напруженості поля ми враховуємо додаткові втрати, які виникають при поширенні радіохвилі від передавача до приймача. А оскільки профіль траси досить складний, то ці втрати цілком можуть досягати отриманого рівня.


Перелік посилань

1. Методичні рекомендації до курсової роботи з дисципліни Електродинаміка та поширення радіохвиль» для напрямів підготовки 6.050.903 « Телекомукації » // Укл. В.В.Пілінський Д.А.Шмигін. За загальною редакцією Д.А.Шмигіна.-К.:НТУУ КПІ, 2008. -50 с.

. Технічна електродинаміка. Конспект лекцій / Укл. В.В. Пілінський, П.В. Попович. - К.: Національний Технічний Університет України “КПІ”, 2006. - 224с.

. Документація. Звіти у сфері науки і техніки. Структура і правила оформлення. ДСТУ-3008-95-К: Держстандарт України, 1995. - 37с.

Похожие работы на - Методика прогнозування зон покриття мереж радіозв’язку

 

Не нашли материал для своей работы?
Поможем написать уникальную работу
Без плагиата!
Без нейросетей!