Исследование эффективности и путей совершенствования алгоритмов регулирования мощности в системах сотовой связи различных стандартов

  • Вид работы:
    Дипломная (ВКР)
  • Предмет:
    Информатика, ВТ, телекоммуникации
  • Язык:
    Русский
    ,
    Формат файла:
    MS Word
    132,5 Кб
  • Опубликовано:
    2013-10-14
Вы можете узнать стоимость помощи в написании студенческой работы.
Помощь в написании работы, которую точно примут!

Исследование эффективности и путей совершенствования алгоритмов регулирования мощности в системах сотовой связи различных стандартов

МИНИСТЕРСТВО ОБРАЗОВАНИЯ И НАУКИ РОССИЙСКОЙ ФЕДЕРАЦИИ

Федеральное государственное бюджетное образовательное учреждение

высшего профессионального образования

«КУБАНСКИЙ ГОСУДАРСТВЕННЫЙ УНИВЕРСИТЕТ»

(ФГБОУ ВПО «КубГУ»)

Физико-технический факультет

Кафедра оптоэлектроники

Допустить к защите в ГАК

_____ . ____ . 2013 г.

Заведующий кафедрой

д-р техн. наук, профессор

_______________Н. А. Яковенко

ДИПЛОМНАЯ РАБОТА

ИССЛЕДОВАНИЕ ЭФФЕКТИВНОСТИ И ПУТЕЙ СОВЕРШЕНСТВОВАНИЯ АЛГОРИТМОВ РЕГУЛИРОВАНИЯ МОЩНОСТИ В СИСТЕМАХ СОТОВОЙ СВЯЗИ РАЗЛИЧНЫХ СТАНДАРТОВ

Работу выполнил_____________________ Козельский Сергей Александрович

Специальность 210401 - Физика и техника оптической связи

Научный руководитель

канд. техн. наук , доцент ________________________________ А.Н. Казаков

Нормоконтролер инженер   __________________________ И. А. Прохорова

Краснодар 2013

РЕФЕРАТ

Дипломная работа: 52 с., 3 рис., 10 источников.

Задачей исследования в данной дипломной работе был анализ существующих методов регулирования мощности в системах сотовой связи с кодовым и временным разделением каналов .

Целью данной курсовой работы было исследование принципа действия и эффективности алгоритмов регулирования мощности в прямом и обратном каналах систем сотовой связи.

В результате выполнения дипломной работы на основе доступных библиографических и электронных ресурсов были проанализированы и изучены методы регулирования мощности в различных системах сотовой связи. Так же был проведен анализ способов совершенствования алгоритмов управления мощностью.

Обозначения и сокращения

CDMA

Кодовое разделение каналов

МС

мобильная станция

БС

базовая станция

BER

коэффициент появления битовых ошибок

TDMA

Временное разделение каналов

FER

частота появления ошибок в кадре


1. ВВЕДЕНИЕ

Влияние технологий мобильной̆ связи на нашу жизнь переоценить невозможно. Мобильная связь рассматривается в настоящее время как необходимость, а технологии мобильной̆ связи являются наиболее востребованными и быстро растущими. Системы мобильной̆ связи развивались и развиваются очень быстрыми темпами.

Одним из важнейших аспектов качественного предоставления услуг в сотовых сетях является корректная регулировка мощности передатчиков. Это относится к системам сотовой связи всех стандартов. Правильная регулировка мощности позволяет устранить множество проблем, связанных с беспроводным доступом , таких как появление ошибок , эффекта “ближний - дальний” к которым весьма чувствительны базовые станции и многих других

Таким образом, процесс управлению мощностью в системах сотовой связи - это один из наиболее важных и ответственных процессов, от которого зависят качество соединения, количество одновременно обслуживаемых абонентов, степень влияние на организм и даже стоимости услуг.

2. Анализ системы CDMA

Code Division Multiple Access - множественный доступ с кодовым делением. В CDMA системах каждый голосовой поток отмечен своим уникальным кодом и передается на одном канале одновременно со многими другими кодированными голосовыми потоками. Принимающая сторона использует тот же код для выделения сигнала из шума. Единственное отличие между множественными голосовыми потоками это уникальный код. Канал, как правило, очень широк и каждый голосовой поток занимает целиком всю ширину диапазона. Эта система использует наборы каналов шириной 1.23МГц. Голос кодируется на скорости 8.55кбит/с, но определение голосовой активности и различные скорости кодировании могут урезать поток данных до 1200бит/с. В системах CDMA могут устанавливается очень прочные и защищенные соединения, несмотря на экстремально низкую величину мощности сигнала, теоретически - сигнал может быть слабее чем уровень шума.

Что выгодно отличает CDMA от других цифровых технологий? Емкость CDMA от десяти до двадцати раз выше, чем у аналоговых систем, и в три - шесть раз превышает емкость других цифровых систем. Сети, построенные на ее основе, эффективно используют радиочастотный ресурс, благодаря возможности многократного использования одних и тех же частот в сети. Использование CDMA значительно улучшает качество связи, в том числе и за счет практически полного устранения помех. "Код" служит не только для идентификации разговора того или иного пользователя, но и является одновременно своеобразным фильтром, устраняющим искажения и фоновые помехи. Встроенный алгоритм кодирования обеспечивает высокую степень конфиденциальности, а совершенный метод коррекции ошибок позволяет эффективно бороться с многолучевым распространением сигнала. Это свойство дает дополнительные преимущества CDMA в условиях гористой местности или городов с высотными застройками.

По характеристикам качества передачи речи параметры CDMA сопоставимы с качеством проводных каналов. Многие системы CDMA сейчас используют вокодеры 13 кбит/с, вокодеры на 8 кбит/с с высоким качеством.

Поскольку по каналам CDMA передается не только голос, но и любая другая цифровая информация, особую ценность имеет отсутствие в ней помех. Если рядовой пользователь, по большому счету, безразличен к тому, звучит ли его голос при телефонном разговоре с безупречной чистотой или с небольшими помехами, то ошибки, допущенные при передаче файлов, могут нарушить, например, целостность корпоративной базы данных. Абонент не хочет оставаться без связи при пересылке факса, когда телефон продолжительное время бывает занят. CDMA предоставляет дополнительный сервис, обеспечивая одновременную передачу голоса и факса по одному каналу. В технологии CDMA реализованы оригинальные алгоритмы упаковки данных для большей скорости их передачи.

Что выгодно отличает CDMA от других цифровых технологий? Емкость CDMA от десяти до двадцати раз выше, чем у аналоговых систем, и в три - шесть раз превышает емкость других цифровых систем. Сети, построенные на ее основе, эффективно используют радиочастотный ресурс, благодаря возможности многократного использования одних и тех же частот в сети. Использование CDMA значительно улучшает качество связи, в том числе и за счет практически полного устранения помех. "Код" служит не только для идентификации разговора того или иного пользователя, но и является одновременно своеобразным фильтром, устраняющим искажения и фоновые помехи. Встроенный алгоритм кодирования обеспечивает высокую степень конфиденциальности, а совершенный метод коррекции ошибок позволяет эффективно бороться с многолучевым распространением сигнала. Это свойство дает дополнительные преимущества CDMA в условиях гористой местности или городов с высотными застройками.

По характеристикам качества передачи речи параметры CDMA сопоставимы с качеством проводных каналов. Многие системы CDMA сейчас используют вокодеры 13 кбит/с, вокодеры на 8 кбит/с с высоким качеством.

Поскольку по каналам CDMA передается не только голос, но и любая другая цифровая информация, особую ценность имеет отсутствие в ней помех. Если рядовой пользователь, по большому счету, безразличен к тому, звучит ли его голос при телефонном разговоре с безупречной чистотой или с небольшими помехами, то ошибки, допущенные при передаче файлов, могут нарушить, например, целостность корпоративной базы данных. Абонент не хочет оставаться без связи при пересылке факса, когда телефон продолжительное время бывает занят. CDMA предоставляет дополнительный сервис, обеспечивая одновременную передачу голоса и факса по одному каналу. В технологии CDMA реализованы оригинальные алгоритмы упаковки данных для большей скорости их передачи.

2.1 Общие представления о стандарте CDMA

В системах беспроводной сотовой связи CDMA (в России используется стандарт IS-95) применяется шумоподобная широкополосная связь с несущими шириной около 1,25 МГц.

Все абоненты сети работают в одном частотном диапазоне, а выделение нужного из общего шумоподобного сигнала происходит за счет специального уникального для каждого абонента кодирования/декодирования.

Технология СDMA обеспечивает:

лучшее качество связи по сравнению с другими стандартами, особенно внутри зданий, "мягкую" передачу абонента от станции к станции;

высокую помехоустойчивость (даже при наличии постоянной узкополосной помехи в используемом частотном диапазоне);

высокий уровень информационной безопасности (не зная уникальный код абонента, выделить его трафик из общего сигнала практически невозможно);

ряд дополнительных служб (передача коротких текстовых сообщений между абонентами, передача данных и факсимильных сообщений);

пониженный уровень энергопотребления и мощности излучения по сравнению с другими стандартами;

более эффективное использование частотного диапазона (в 3-4 раза выше, чем GSM, и в 8-10 раз выше, чем AMPS); при фиксированной связи эти соотношения повышаются примерно вдвое.уже сейчас широко используется в США, странах Юго-Восточной Азии.

В России использование CDMA ограничено обеспечением беспроводного доступа к существующим проводным телефонным сетям.

Ширина полосы сигнала, используемого в нынешних системах CDMA, недостаточна для передачи качественного видеосигнала, высокоскоростного доступа к данным и т. п.

Развитие CDMA в направлении стандарта третьего поколения предполагает расширение несущих до 5 МГц. Условно такую технологию называют широкополосный CDMA. Примером реализации широкополосного CDMA является стандарт WCDMA, разработанный компанией Ericsson и представленный на последней выставке CeBIT.

2.2 Анализ систем регулирование мощности в стандарте CDMA

Несмотря на высокую эффективность технологии CDMA у нее есть и ряд недостатков. Один из них - высокая чувствительность к разбросу мощностей мобильных станций. Наиболее сложная ситуация возникает вследствие проблемы «дальний-ближний» (far-near problem), когда мобильная станция, расположенная вблизи базовой, работает на большой мощности, создавая недопустимо высокий уровень помех при приеме других, «дальних» сигналов, что приводит к снижению пропускной способности системы в целом. Эта проблема существует у всех систем мобильной связи, однако наибольшие искажения сигнала возникают именно в CDMA-системах, работающих в общей полосе частот, в которых используются ортогональные шумоподобные сигналы . Если бы в этих системах отсутствовала регулировка мощности, то они существенно уступали бы по характеристикам сотовым сетям на базе TDMA. Поэтому ключевой проблемой в CDMA-системах можно считать индивидуальное управление мощностью каждой станции.

Рисунок 1 - Регулирование мощности CDMA

Эффективная работа системы с кодовым доступом возможна лишь при условии выравнивания сигнала от различных абонентов на входе базовой станции (БС). Причем чем выше точность выравнивания, тем больше зона покрытия системы.

Следует отметить, что линия «вниз» (от БС к абоненту) менее подвержена искажениям сигнала за счет внутрисистемных помех и многолучевых замираний, так как на БС всегда существует запас по мощности. Поэтому основные проблемы возникают при регулировке мощности в обратном канале - от абонента к БС (на линии «вверх»).

В стандарте IS-95 определено, что регулировка уровня мощности мобильной станции осуществляется в динамическом диапазоне 84 дБ с шагом 1 дБ, т. е. с точностью 60,5 дБ. Интервал между соседними измерениями равен 1,25 мс (частота обновления данных 800 Гц). При этом предусмотрены три схемы управления мощностью: разомкнутая, замкнутая и внешняя петля регулирования.

Управление с помощью внешней петли регулирования основано не на прямом измерении уровня принимаемого сигнала на линиях «вверх» и «вниз», а базируется на косвенных признаках - фактически на расчетном значении отношения сигнал-помеха, где помеха учитывает только интерференцию.

При использовании разомкнутой схемы управления мобильная станция, принимая сигнал от БС, оценивает его уровень, сравнивает с установленными пороговыми значениями и на основе этого сравнения вычисляет уровень излучаемой мощности. Очевидно, что точность такого метода регулирования мощности невысока, так как прямой и обратный каналы работают в разных диапазонах частот (в IS-95 разнос частот составляет 45 МГц), а следовательно, они по-разному воспринимают помехи и имеют различные потери при распространении радиоволн.

Эти недостатки учтены в замкнутой схеме регулирования мощности. БС постоянно отслеживает уровень сигнала, принимаемого от каждой мобильной станции, измеряет его мощность и оценивает вероятность ошибки или отношение сигнал-шум (S/N). Уровень сигнала оценивается на выходе RAKE-приемника (рис. 2). БС определяет общий уровень помех на заданной частоте и одновременно генерирует пороговое отношение сигнал-помеха (SIR)пор., после чего формирует команду TPC (Transmit Power Control) в соответствии со следующим правилом:

если (S/N)j > (SIR)пор, то мощность необходимо уменьшить (DTPC = -1);

если (S/N)j < (SIR)пор, то мощность следует увеличить (DTPC = +1).

Рисунок 2 - Регулирование мощности в замкнутой схеме

При таком регулировании мощности обеспечивается минимальный уровень излучения базовой станции, который достаточен для поддержания заданного качества передачи сигнала: вероятность ошибки - 10-3 при передаче речи и 10-6 при передаче данных.

При процедуре мягкого хэндовера (переходе абонента из зоны обслуживания одной БС в зону другой) схема регулирования мощности несколько иная.

Мобильная станция принимает одновременно несколько команд управления мощностью DTPC от разных БС (обычно двух) и сравнивает их между собой. Если все команды указывают на необходимость увеличения мощности, т. е. DTPC = +1, то мобильная станция последовательно увеличивает свою мощность с шагом 1 дБ.

Если же хотя бы одна команда требует уменьшения мощности (DTPC = -1), то мобильная станция будет снижать мощность передатчика, пока уровень сигнала не достигнет минимально допустимого значения.

Таковы алгоритмы управления мощностью абонентской станции в сетях связи на базе стандарта IS-95.

Как известно, в рамках IMT-2000 разрабатываются три новые версии стандартов, основанных на CDMA:MC (IMT-2000 Multi Carrier) - стандарт на многочастотную систему cdma2000 с одновременной передачей нескольких несущих и частотным дуплексным разносом для работы в непарных полосах частот;DS (IMT-2000 Direct Spread) - стандарт на широкополосную систему W-CDMA (UTRA FDD) с прямым расширением спектра (DS-CDMA) и частотным дуплексным разносом (FDD) для работы в парных полосах частот;TC (IMT-2000 Time-Code) - стандарт на комбинированную систему TDMA/CDMA с временным дуплексным разносом (TDD) для работы в непарных полосах частот.

В спецификациях IMT-MC точность управления мощностью увеличена по сравнению с IS-95 за счет выбора более мелкого шага управления (-0,25; 0,5 или 1,0 дБ), что позволяет обеспечить работу в различных режимах. Кроме того, предусмотрена регулировка мощности как в прямом, так и в обратном каналах.

Стандартами IMT-DS и IMT-TC допускается увеличение скорости изменения мощности по сравнению с IMT-MC в два раза, т. е. интервал между измеряемыми значениями можно уменьшить до 0,625 мс. Шаг изменения мощности для IMT-DS будет задаваться в интервале от 0,25 до 1,5 дБ с инкрементом 0,25, а в спецификациях IMT-TC он определен как постоянный, равный 2 дБ.

Следует отметить, что использование комбинированного метода кодово-временного разделения каналов в стандарте IMT-DS (UTRA TDD) снижает требования к точности управления мощностью сигнала по сравнению с другими CDMA-технологиями. Технология UTRA TDD позволяет управлять мощностью сигнала на уровне кадров. Фактически механизм управления мощностью в режиме TDD аналогичен тому, который используется в системах на базе GSM. В режиме TDD все сигналы, передаваемые в пределах одного и того же канального интервала и относящиеся к одному и тому же виду услуг, имеют одинаковую мощность, а для управления ею в режиме реального времени применяется замкнутая схема регулирования как на линиях «вверх», так и на линиях «вниз». Если режим реального времени не используется, то можно работать как с замкнутой, так и с разомкнутой схемой регулирования - выбор зависит от желания оператора.

Функции регулирования мощности, кроме поддержания заданного качества канала на линии «вниз», выполняют и другие задачи, например выравнивают нагрузку на разных сотах системы. Ведь чем больше сота загружена, тем меньшую мощность излучает БС, а значит, сокращается радиус соты. Но одновременно уменьшаются и помехи от абонентов соседних сот, что приводит к увеличению пропускной способности, а также к уменьшению энергопотребления мобильной станцией.

Абонентская емкость ячейки системы CDMA оптимизируется использованием сложного алгоритма регулировки, который ограничивает мощность, излучаемую каждым абонентским терминалом, до необходимого уровня для получения приемлемой вероятности ошибки. В системе предусматривается три механизма регулировки мощности:

) в прямом канале - разомкнутая петля;

) в прямом канале - замкнутая петля;

) в обратном канале.

Рассмотрим процесс регулирования мощности передающих устройств в обратном канале. Каждая подвижная станция непрерывно передает информацию об уровне ошибок в принимаемом сигнале. На основании этой информации базовая станция распределяет излучаемую мощность между абонентами таким образом, чтобы в каждом случае обеспечить приемлемое качество речи. Абоненты, на пути к которым радиосигнал испытывает большее затухание, получают возможность излучать сигнал большей мощности. Основная цель регулировки мощности в обратном канале - оптимизация площади соты. Регулирование мощности, как в прямом, так и в обратном канале влияет и на срок службы аккумуляторов подвижных станций. Проведенные испытания показывали, что средняя излучаемая мощность подвижной станции в CDMA меньше, чем в системах, использующих другие методы доступа. Это непосредственно связано с такими параметрами радиотелефона, как длительность непрерывного занятия канала и время нахождения в режиме ожидания.

Процесс регулирования мощности в прямом канале происходит несколько иначе. В нем возможны два варианта регулирования: по открытому циклу (разомкнутая петля) и по замкнутому циклу (замкнутая петля). Рассмотрим открытый цикл регулирования мощности (менее точный). Подвижная станция после включения ищет сигнал базовой станции. После синхронизации подвижной станции по этому сигналу производится замер его мощности и вычисляется мощность передаваемого сигнала, необходимая для обеспечения соединения с базовой станцией. Вычисления основываются на том, что сумма уровней предполагаемой мощности излучаемого сигнала и мощности принятого сигнала должна быть постоянна и равна -73 дБ. Если уровень принятого сигнала, например, равен -85 дБ, то уровень излученной мощности должен быть равен + 12 дБ. Этот процесс повторяется каждые 20 мс, но он все же не обеспечивает желаемой точности регулировки мощности, так как прямой и обратный каналы работают в разных частотных диапазонах (разнос частот 45 МГц) и, следовательно, имеют различные уровни затухания при распространении и по-разному подвержены воздействию помех.

Рассмотрим процесс регулирования мощности при замкнутом цикле. Механизм регулирования мощности при этом позволяет точно отрегулировать мощность передаваемого сигнала. Базовая станция постоянно оценивает вероятность ошибки в каждом принимаемом сигнале. Если она превышает программно заданный порог, то базовая станция дает команду соответствующей подвижной станции увеличить мощность излучения. Регулировка осуществляется с шагом 1 дБ. Этот процесс повторяется каждые 1,25 мс. Цель такого процесса регулирования заключается в том, чтобы каждая подвижная станция излучала сигнал минимальной мощности, которая достаточна для обеспечения приемлемого качества речи. За счет того, что все подвижные станции излучают сигналы необходимой для нормальной работы мощности, и не более, их взаимное влияние минимизируется, и абонентская емкость системы возрастает. Подвижные станции должны обеспечивать регулирование выходной мощности в широком динамическом диапазоне - до 85 дБ.

Такие факторы, как число пользователей и расстояние до них от базовой станции влияют на значение максимальной излучаемой мощности. Принимая это во внимание, можно сказать, что требования к линейности передаточной функции усилителя мощности, работающего при изменении уровня входного сигнала в пределах 20 дБ, чрезвычайно высоки. Линейность передаточной функции усилителя - фактор, критичный при обеспечении желаемых характеристик системы. Требуемую линейность обеспечивают сложные и дорогостоящие методы линеаризации (усилители с предварительными искажениями или усилители со связью вперед). Спектр излучаемого ШПС, который получается в результате объединения множества кодированных по Уолшу базовых сигналов, близок к спектру шумового сигнала с отношением пикового значения к среднему около 11 дБ. Это означает, что для достижения одинакового качества связи в базовой станции GSM необходим усилитель с выходной мощностью 44 Вт; в стандарте D-AMPS (АDС) это значение снижается до 31 Вт, а в CDMA - до 10 Вт. Поэтому значительный теоретический запас энергопотенциала в радиоканале, который получается за счет использования метода расширения спектра, при сопоставимой практической реализации базового оборудования оказывается значительно меньше. Поэтому системы с кодовым разделением каналов не обеспечивают ожидаемого увеличения площади радиопокрытия базовой станции.

В системе CDMA применяются квадратурная фазовая манипуляция (QPSK) в базовой и смещенная QPSK в подвижных станциях. При этом ин-формация извлекается путем анализа изменения фазы сигнала, поэтому фазовая стабильность системы - критичный фактор при обеспечении минимальной вероятности появления ошибки в сообщениях. Применение смещенной QPSK позволяет снизить требования к линейности усилителя мощности подвижной станции, так как амплитуда выходного сигнала при этом виде модуляции изменяется значительно меньше. До того, как интерференционные помехи будут подавлены методами цифровой обработки сигналов, они должны пройти через высокочастотный тракт приемника и не вызвать насыщения малошумящего широкополосного усилителя (МШУ) и смесителя. Это заставляет разработчиков системы искать баланс между динамическими и шумовыми характеристиками приемника.- система чувствительная к взаимным помехам, поскольку все мобильные станции передают на одной и той же частоте. Внутренняя интерференция, возникающая в пределах системы, играет критическую роль при определении пропускной способности и качества речи в этой системе. Мощность, излучаемая каждой мобильной станцией, должна управлят ься в целях ограничения взаимных помех. Однако уровень мощности должен удовлетворять показателям качества речи.

Во время движения мобильной станции внешняя радиосреда изменяется непрерывно из-за медленных замираний, затенений, внешних помех и других факторов. Цель управления мощностью - ограничить передаваемую мощность прямых и обратных радиоканалов, постоянно поддерживая их качество при всех условиях внешней среды.

В базовой станции интерференция (помехи) по обратной линии (от мобильной станции к базовой) связи более критичны, чем по прямой линии. Это происходит из-за невозможности идеально точного выделения индивидуального канала мобильной станции из общего потока (некогерентности связи). Поэтому управление мощностью обратной линии связи существенно для системы CDMA и обязательно предписывается стандартом.

Управление мощностью также необходимо в системах CDMA для того, чтобы решить проблему «ближний-дальний». Целью решения проблемы «ближний-дальний» в системе CDMA является гарантия того, что все мобильные станции получают сигнал одной и той же мощности, которая выравнивается базовой станцией. Цель управления мощностью - определить минимально возможный уровень передачи, который позволяет линии связи обеспечивать определяемые пользователем характеристики:

) коэффициент появления битовых ошибок (BER -- Bit Error Ratio);

) частоту появления ошибок в кадре (FER - Frame Error Rate);

) скорость, частоту сброса вызова, зону покрытия.

Чтобы обеспечить определенные пользователем характеристики линии связи, мобильные станции, которые ближе к базовой станции, должны передавать меньшую мощность, чем те, которые находятся далеко от станции.

Качество речи связано с частотой появления ошибок в кадре (FER - Frame Error Rate) на прямой и обратной линиях связи. FER определяется как отношение количества кадров, принятых с ошибками, к общему числу пере-данных и в значительной степени характеризуется отношением (Eb/No) , а также зависит от скорости передвижения транспортного средства, местных условий распространения радиосигналов, распределения каналов между работающими мобильными станциями. Этот параметр прямо характеризует качество речи в системе CDMA.

Рекомендованный диапазон характеристик для FER - 0,2-3 % (оптимальный уровень мощности достигается, когда FER равен 1 %), максимальная длина пакета ошибок - 3-4 кадра (оптимальное значение пакета ошибок - 2).

Управление мощностью обратной линии связи

Управление мощностью обратной линии связи (от мобильной станции к базовой) касается каналов доступа и обратных каналов трафика. Оно используется для предоставления линии связи при исходящем вызове и реакции на значительные колебания пути распространения сигналов при передвижении мобильной станции. Управление мощностью обратного канала связи включает в себя управление мощностью по открытому циклу (также известное как автономное регулирование мощности) и управление мощностью по замкнутому циклу.

При управлении мощностью по открытому циклу мобильная станция сама определяет уровень мощности передачи, измеряя уровень мощности сигналов, поступающих по прямой линии (от базовой станции к мобильной). При этом предполагается, что потери на передачу в обоих направлениях равны.(energy-to-spectral ratio) - отношение EfJNf - показатель помехоустойчивости канала связи, равный отношению энергии сигнала, приходящейся на один бит - Еь (Дж/бит) к спектральной плотности шума Na (Вт/Гц)

Управление мощностью по замкнутому циклу предполагает измерение базовой станцией уровня мощности, принятой от мобильной станции, и выравнивание этого уровня по управляющему каналу. Оно включает в себя управление мощностью по внутреннему циклу и управление мощностью по внешнему циклу.

Управление мощностью по открытому циклу базируется на том принципе, что чем ближе мобильная станция к базовой станции, тем меньшую мощность необходимо передавать по сравнению с мобильной станцией, которая находится дальше от базовой станции или находится в зоне замирания.

Мобильная станция корректирует передачу мощности, основываясь на полной мощности, полученной в полосе 1,23 МГц (то есть, энергии пилот- сигналов, сигналов оповещения, синхронизации и каналов трафика). Оценка мощности включает мощность, полученную от всех базовых станций на прямых каналах линии связи. Если полученная мощность высока, мобильная станция уменьшает передачу мощности. С другой стороны, если полученная мощность низка, мобильная станция увеличивает передачу мощности.

При управлении мощностью по открытому циклу базовая станция не включается в цикл управления. Мобильная станция сама определяет начальную мощность, переданную по каналам доступа и трафика, используя управление мощностью по открытому циклу.

Большой динамический диапазон регулирования в 80 децибелов позволяет обеспечить способность защиты против замираний.

Главная цель в системах CDMA состоит в том, чтобы передавать мощность только достаточную для требуемого вида работы. Если передаются сигналы мощности большей, чем необходимая, мобильная станция становится глушителем других мобильных станций. Поэтому мобильная станция пытается связаться с базовой станцией, сначала передавая сигналы очень малой мощности. При этом ключевое правило состоит в том, что мобильная станция передает сигналы мощности, обратно пропорциональные тем, которые получает. При получении сильного пилот-сигнала от базовой станции, мобильная станция передает обратно слабый сигнал. Сильный сигнал, полученный мобильной станцией, указывает на малые потери распространения по прямой линия связи. Предполагается, что те же самые потери будут на пути по обратной линии связи. Поэтому от мобильной станции можно передавать сигнал низкой мощности, который требуется для компенсации таких потерь. Соответственно, при получении слабого пилота-сигнала от базовой станции, мобильная станция передает назад сильный сигнал. Слабый сигнал, полученный мобильной станцией, указывает на высокие потери распространения по прямой линии связи. И от мобильной станции требуется высокий уровень мощности.

Процесс управления мощностью заключается в посылке от мобильной станции сигнала на изменение мощности передачи. Подтверждением получения этого сигнала являются результаты измерений мощности прямых каналов.

В целом процесс передачи одного сообщения и получения реакций в виде изменения мощности называется попыткой доступа (access attempt). Попытка доступа - это последовательность нескольких запросов на доступ. Каждый запрос в попытке доступа есть проба доступа (access probe). Мобильная станция передает одно и то же сообщение в каждой пробе доступа. Проба считается успешной, если в течение определенного временного интервала от сети поступит сигнал подтверждения (разрешения доступа к сети). Проба доступа - это короткий пакет, передаваемый мо-бильной станцией по каналу доступа. Каждая попытка доступа состоит из проб доступа, которые передаются по тому же самому каналу доступа (рис. 2.19).

Каждая проба доступа содержит преамбулу канала доступа и капсулу (message capsule) канала доступа длиной от 3 до 16 кадров и представляет собой сообщение фиксированного формата, состоящее из информационной последовательности и битов заполнения (если они необходимы). В пределах попытки пробы доступа сгруппированы в последовательность проб доступа. Каждая последовательность проб доступа состоит не менее чем из 15 проб.

Существует две причины, которые могут помешать мобильной станции получить подтверждение после передачи пробы.

Переданный уровень мощности мог быть недостаточным. В этом случае помогает решить проблему стратегия увеличения шага наращивания мощности.

Может возникнуть конфликт из-за случайного занятия канала доступа несколькими мобильными станциями. В этом случае случайное время ожидания минимизирует вероятность будущего конфликта.

В качестве подтверждения мобильная станция получает от базовой станции по каналу вызова РСН параметры доступа, которые позволяют ей выполнить алгоритм управления мощностью.

Параметры доступа следующие:

) номер канала доступа;

) начальное смещение мощности (Pq);

) размер шага наращивания мощности (АР);

) число проб доступа в одной попытке доступа (п);

) случайное время (RT - Random Time);

) случайный интервал между попытками доступа (RS - Random Sequence);

) время ожидания ответа на пробу доступа (ТА - Time Access).

Рисунок 3 - Последовательность попыток доступа при управлении мощностью по от-крытому циклу

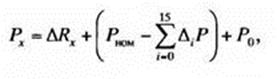
Алгоритм управления мощностью состоит в том, что в каждой после-дующей пробе доступа уровень мощности дискретно увеличивается на величину АР (размер шага наращивания мощности), как показано на рис. 2.19. Текущее значение мощности определяется соотношением Р = Р0 + АР(г-1), где Pq - начальное смещение (исходное значение); г - номер пробы в одной попытке доступа; АР - шаг наращивания мощности.

Пробы доступа передаются до тех пор, пока не будет получен ответ на запрос или закончится контоольное время, отведенное для доступа.

Текущее значение мощности Рх определяется формулой:

 (1)

где ДRx - разность между уровнем мощности на приеме и текущим измерением;

Рном - номинальная мощность для проведения коррекции;

Р0 - исходная величина уровня передачи;;Р - значение АР при i-ой пробе.

Рном, Ро - это системные параметры, указанные в сообщении параметров доступа. Они получаются мобильной станцией до начала передачи. Эти параметры имеют следующие взаимно ограничивающие диапазоны: Рном - ОТ -8 до 7 дБ.

регулирование мощность связь линия

- от 0 до 7 дБ при номинальном значении 1 дБ;

Ро - от -16 до 15 дБ при номинальном значении равном 0.

Ро обычно устанавливается на 0, но эта величина может быть использована для коррекции величины уровня средней мощности в конкретных условиях. Если в результате обработки данных текущих значений меняется, мобильная станция использует значения, содержащиеся в других сообщениях.

При установлении соединения, базируясь на информации, полученной из каналов пилот-сигнала, синхронизации и каналов вызова, мобильная станция делает попытки обращения к системе через один из нескольких каналов доступа. В состоянии поиска доступа мобильная станция не назначает прямой канал трафика (который содержит биты регулирования мощности), а инициирует свою настройку мощности, необходимую для работы.

Главный недостаток метода управления мощностью по открытому циклу заключается в том, что статистика распространения по обратной линии оценивается по статистике распространения по прямой линии связи. Но так как две линии связи не всегда являются коррелированными, при использовании такой процедуры могут возникать существенные ошибки. Однако эти ошибки будут скорректированы, когда мобильная станция занимает прямой канал трафика и механизм управления мощностью по замкнутому циклу становится активным.

Основные недостатки при управлении мощностью прямого канала по открытому циклу:

предположение о близких значениях характеристик прямых и обратных линий связи;

использование общей получаемой мощности, которая включает мощность от других базовых станций;

слишком значительное время ответа (-30 мс) для того, чтобы противостоять быстрым замирениям из-за многолучевости.

Источники, на которые воздействуют замирания от многолучевости, требуют намного более быстрого регулирования мощности, чем управление мощностью по открытому циклу. Дополнительные корректировки мощности, которые требуются для компенсации потерь замирания, вырабатываются механизмом управления мощностью по замкнутому циклу обратных линий связи. Он имеет время ответа 1,25 мс для шага регулировки 1 дБ и динамический диапазон 48 дБ (покрываемый за 3 кадра). Более быстрое время ответа дает механизму управления мощностью по замкнутому циклу возможность полностью заменить в практических приложениях механизм управления мощностью по открытому циклу. Совместное применение этих двух независимых механизмов регулирования мощности охватывает динамический диапазон, по крайней мере, 80 дБ. Управление мощностью по замкнутому циклу обеспечивает коррекцию управления мощностью по открытому циклу. На канале трафика мобильные и базовые станции совместно участвуют в управлении мощностью по замкнутому циклу.

Механизм управления мощностью по замкнутому циклу обратной линии связи состоит из двух внутренних циклов: внутреннего регулирования мощности и управления мощностью по внешнему циклу. Управление мощностью по внутреннему циклу сохраняет мобильной станции уровень мощности наиболее близкий к установленному отношению (EJNq), затем управление мощностью по внешнему циклу корректирует мощность передачи базовой станции по отношению Еь/Nq для данной мобильной станции.

Для понимания механизма управления мощностью по замкнутому циклу рассмотрим структуру прямого канала трафика и принципы его работы. Подканал регулирования мощности прямого канала трафика непрерывно передает информацию. Этот подканал достигает скорости 800 битов регулирования мощности в секунду. Следовательно, бит регулирования мощности (0 или 1) передается каждые 1,25 мс. Нулевые биты указывают мобильной станции, что она должна увеличить свой средний уровень мощности на выходе, тогда как единица указывает мобильной станции, что надо уменьшить ее выходной уровень мощности.

-миллисекундный кадр образуется 16-ю временными интервалами равной продолжительности (рис. 3). Эти временные интервалы длительностью 1,25 мс называются группами управления мощностью (РСС - Power Control Group). Таким образом, кадр имеет 16 PCG. Перемежитель канала трафика в тракте передачи обратного потока выходных данных на входе оборудован фильтром времени, который допускает передачу или удаление некоторых символов.

3. Анализ систем GSM

- это аббревиатура, означающая цифровой стандарт мобильной связи по радиоканалу, расшифровывается как Global System for Mobile Communications. GSM телефон, по сути, представляет собой сплав компьютера и радиостанции. Речь оцифровывается, шифруется помехоустойчивыми и криптографическими алгоритмами, и в таком виде передается. За счет временного уплотнения каналов, одновременно на одной частоте может работать 8 телефонов. GSM это следующая ступень развития мобильной связи после стандарта NMT. NMT - это аналоговый стандарт мобильной связи. В нем речь передавалась в аналоговой форме и не шифровалась, т.е. разговор по такому телефону было очень просто перехватить и подслушать.- первый общепринятый цифровой стандарт сотовой связи. К моменту принятия решения о его введении в мире уже существовало несколько развитых аналоговых систем - кроме скандинавской NMT, это были английская TACS и американская AMPS. Но разработчики новой системы резонно полагали, что цифровые методы сжатия и кодирования информации значительно расширят применения сотовой связи, обеспечат лучшее качество и предоставят пользователям невиданные ранее сервисы.

В сотовой связи стандарта GSM используются радиочастоты 900, 1800 или 1900 МГц (трехдиапазонные телефоны при этом могут использоваться в сетях любого из перечисленных частотных диапазонов). В сравнении с аналоговыми стандартами GSM имеет целый ряд преимуществ. Основные из них - применение маломощных передатчиков в абонентских аппаратах и в базовых станциях. Это удешевляет саму аппаратуру, но не сказывается на качестве связи. Кроме того, передача информации в цифровом виде позволяет легко обеспечить высокую степень конфиденциальности переговоров.

Технология GSM это на самом деле целый «букет» сложнейших технологий. Первая из них - технология оцифровка и кодирование звука. Поскольку оцифровка звука требует немалых вычислительных ресурсов, в каждом сотовом телефоне, даже в самом дешевом, работает достаточно мощный специализированный компьютер, который выполняет функции аналого-цифрового и цифро-аналогового преобразователей - АЦП и ЦАП.

3.1 Общие представленя о стандарте GSM

Стандарт GSM получил поистине глобальное распространение. На апрель 2004 года сети мобильной связи стандарта GSM занимали 73% мирового рынка услуг цифровой̆ связи и 72% мирового рынка услуг беспроводной̆ связи. По причине того, что GSM - это общий̆ стандарт, абоненты сотовый̆ связи могут использовать свои телефонные аппараты в пределах всей зоны обслуживания GSM, которая включает в себя все страны мира, в который действуют сети стандарта GSM. Кроме того сети, построенные на основе стандарта GSM, обеспечивают пользователей такими услугами, как высокоскоростная передача данных, передача коротких сообщений (SMS), услугами Интеллектуальной сети (IN), например, услугой мобильной виртуальной корпоративной сети (MVPN). Технические спецификации GSM разработаны также с учетом возможности взаимодействия с другими стандартами, то есть они гарантируют наличие интерфейсов с сетями мобильной связи других стандартов.

Ключевым аспектом GSM является то, что спецификации могут быть модифицированы, они являются «открытыми», то есть не являются законченными в смысле развития и могут дорабатываться с целью удовлетворения будущих потребностей̆.

3.2 Анализ систем регулирование мощности GSM

В стандарте реализованы сразу три механизма управления мощностью и называются они «петлями». Решение об изменении мощности и команды инициируют сразу три элемента сети: UE, NodeB и RNC. Даже мобильное оборудование, принадлежащее абоненту, может отдавать команды базовой станции на изменение мощности передачи. Три петли управления мощности обеспечивают эффективную борьбу с разными видами искажений: быстрые и медленныезамирания, уменьшения воздействия помех и компенсации затухания сигнала. Также в UMTS управления мощностью решает еще одну важную задачу - борьба с интерференцией. Дело в том, что абоненты в данной системе работают в одном частотном диапазоне в одной и той же местности. Разделение каналов связи осуществляется на основе принципа WCDMA, т.е. кодового разделения каналов. Из-за неидеальной ортогональности кодов различные соединения могут оказывать воздействие друг на друга, т.е. будет возникать интерференция. Чем больше будет абонентов в зоне действия одной соты, тем выше будет уровень интерференции. Соответственно, будет снижено качество соединений, скорость передачи данных и максимально возможное число абонентов. Наиболее эффективным способом борьбы с интерференцией является снижение уровня мощности. Поэтому для систем сотовой связи стандар-та UMTS управление мощностью - это неотъемлемый аспект нормального функционирования системы и его важность проявляется даже больше чем в каких-либо других стандартах.

Каналы данных могут назначаться активным терминалам таким образом, чтобы каждый канал данных использовался только одним терминалом в любой данный момент времени. Для экономии системных ресурсов каналы управления могут совместно использоваться несколькими терминалами с помощью, например, мультиплексирования с кодовым разделением каналов. Если каналы данных ортогонально мультиплексированы только по частоте и времени (но не коду), то они менее подвержены потере ортогональности вследствие характеристик канала и недостатков приемного устройства, чем каналы управления.

Таким образом, каналы данных имеют несколько ключевых характеристик, которые относятся к регулированию мощности. Во-первых, внутрисотовые помехи в каналах данных минимальны благодаря ортогональному мультиплексированию по частоте и времени. Во-вторых, межсотовые помехи рандомизированы, поскольку соседние секторы используют различные последовательности FH. Величина межсотовых помех, вызываемых данным терминалом, определяется посредством уровня мощности передачи, используемого этим терминалом, и местоположения терминала относительно соседних базовых станций.

В каналах данных регулирование мощности может выполняться таким образом, чтобы каждому терминалу было разрешено выполнять передачу на максимально высоком уровне мощности при сохранении допустимых уровней внутрисотовых и межсотовых помех. Терминалу, располагающемуся ближе к своей обслуживающей базовой станции, может быть разрешено выполнять передачу с более высоким уровнем мощности, поскольку этот терминал, вероятно, вызывает меньшие помехи для соседних базовых станций. Наоборот, терминалу, размещающемуся дальше от своей базовой станции в направлении границы сектора, может быть разрешено выполнять передачу с меньшим уровнем мощности, поскольку этот терминал может вызывать большие помехи для соседних базовых станций. Регулирование мощности передачи таким образом позволяет потенциально снижать общие помехи, обнаруживаемые каждой базовой станцией, при этом предоставляя возможность "утвержденным" терминалам достигать более высоких значений SNR и, таким образом, более высоких скоростей передачи данных.

Регулирование мощности в каналах данных может осуществляться различными способами для достижения вышеозвученных целей. Для пояснения ниже описывается конкретный вариант осуществления регулирования мощности. В этом варианте осуществления мощность передачи канала данных данного терминала может быть выражена следующим образом:

P dch(n) = Pref (n) +  P(n), (2)

где P dch(n) - это мощность передачи канала данных в интервале обновления n;(n) - это опорный уровень мощности в интервале обновления n; и

 P(n) - это дельта мощности передачи в интервале обновления n.

Уровни мощности Pdch (n) и Pref(n) и дельта мощности передачи  P(n) приводятся в децибелах (дБ).

Опорный уровень мощности - это величина уровня мощности, требуемая для получения целевого качества сигнала для указанной передачи (к примеру, в канале управления). Качество сигнала (обозначаемое SNR) может оцениваться количественно посредством соотношения "сигнал-шум", соотношения "сигнал-шум-и-помехи" и т.п. Опорный уровень мощности и целевой SNR может корректироваться посредством механизма регулирования мощности для получения требуемого уровня производительности по указанной передаче, как описано ниже. Если опорный уровень мощности позволяет достигать целевого SNR, то принимаемый SNR канала данных может быть оценен следующим образом:

(n) = SNRtarget +  P(n). (3)

Уравнение 2 предполагает, что канал данных и канал управления имеют аналогичную статистику по помехам. Это имеет место, например, в случае, если каналы управления и данных из различных секторов могут оказывать взаимные помехи друг на друга. Опорный уровень мощности может быть определен так, как описано ниже.

Мощность передачи для канала данных может задаваться на основе различных факторов, например величины межсекторных помех, которые терминал может вызывать для других терминалов в соседних секторах, величины внутрисекторных помех, которые терминал может вызывать для других терминалов в одном секторе, максимального уровня мощности, разрешенного для терминала, и (4), возможно, других факторов. Каждый из этих факторов описывается ниже.

Величина межсекторных помех, которые может вызывать каждый терминал, может определяться различными способами. Например, величина межсекторных помех, вызываемая каждым терминалом, может непосредственно оцениваться каждой соседней базовой станцией и отправляться терминалу, который затем может соответствующим образом корректировать свою мощность передачи. Эта конкретизированная передача сообщений о помехах может требовать передачи значительного объема служебных сигналов. Для простоты величина внутрисекторных помех, которые может вызывать терминал, приблизительно может быть оценена на основе (1) общих помех, обнаруживаемых каждой соседней базовой станцией, (2) усиления каналов для обслуживающей и соседних базовых станций, и (3) уровня мощности передачи, используемого терминалом. Параметры (1) и (2) описываются ниже.

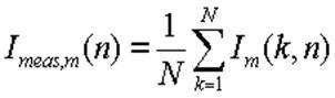
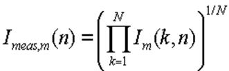
Каждая базовая станция может оценивать общую или среднюю величину помех, обнаруживаемых этой базовой станцией. Это может осуществляться посредством оценки мощности помех в каждом поддиапазоне и вычисления среднего уровня помех на основе оценок мощности помех для отдельных поддиапазонов. Средняя мощность помех может быть получена с помощью различных методик усреднения, например арифметического усреднения, геометрического усреднения, усреднения на основе SNR и т.д.

При арифметическом усреднении средняя мощность помех может быть выражена следующим образом:

, (4)

где I m(k,n) - это оценка мощности помех сектора m в поддиапазоне k во временном интервале n;,m (n) - это средняя мощность помех сектора m во временном интервале n.

Параметры Im(k,n) и I meas,m(n) измеряются в единицах линейных измерений в уравнении (3), но также могут даваться в децибелах (дБ). При арифметическом усреднении несколько больших значений оценок мощности помех могут вызвать перекос средней мощности помех.

При геометрическом усреднении средняя мощность помех может быть вы-ражена следующим образом:

. (5)

Геометрическое усреднение позволяет подавлять большие значения оценок мощности помех для нескольких поддиапазонов, так чтобы средняя мощность помех была меньше, чем при арифметическом усреднении.

При усреднении на основе SNR средняя мощность помех может быть выражена следующим образом:

, (6)

где P nom означает номинальную принимаемую мощность, допускаемую для каждого поддиапазона. Уравнение (5) определяет теоретическую пропускную способность каждого поддиапазона на основе номинальной принимаемой мощности, вычисляет среднюю пропускную способность для всех N поддиапазонов и определяет среднюю мощность помех, которая дает среднюю пропускную способность. Усреднение на основе SNR (которое также может называться усреднением на основе пропускной способности) также подавляет большие значения оценок мощности помех для нескольких поддиапазонов.

Вне зависимости от используемой методики усреднения каждая базовая станция может фильтровать оценки мощности помех и/или среднюю мощность помех по нескольким временным интервалам для повышения качества измерения помех. Фильтрация может выполняться с помощью фильтра с конечной импульсной характеристикой (FIR), фильтра с бесконечной импульсной характеристикой (IIR) или какого-либо другого типа фильтра, известного в данной области техники. Термин "помехи" в данном описании, таким образом, может относиться к фильтрованным и нефильтрованным помехам. Каждая базовая станция может передавать в широковещательном режиме свои измерения помех для использования терминалами в других секторах. Измерения помех могут передаваться в широковещательном режиме различными способами. В одном варианте осуществления средняя мощность помех (или "измеренные" помехи) квантуются до заранее определенного числа бит, которые затем отправ-ляются посредством широковещательного канала. В другом варианте осуществления измеренные помехи передаются в широковещательном режиме с помощью одного бита, который указывает то, больше или меньше измеренные помехи номинального порога помех. В еще одном другом варианте осуществления измеренные помехи передаются в широковещательном режиме с помощью двух бит. Один бит указывает измеренные помехи относительно номинального порога помех. Другой бит может использоваться в качестве аварийного бита, который указывает, превышают ли измеренные помехи высокий уровень помех. Измерения помех также могут отправляться другими способами. Для простоты в последующем описании предполагается использование одного бита помех с другими секторами (OSI) для предоставления информации о помехах. Каждая базовая станция может задавать свой OSI-бит (OSIB) следующим образом:

, (7)

где I target - это номинальный порог помех.

Альтернативно каждая базовая станция может получать измеренные помехи на термические (IOT), которые являются отношением общей мощности помех, обнаруживаемых базовой станцией, к мощности термического шума. Общая мощность помех может вычисляться так, как описано выше. Мощность термического шума может оцениваться посредством отключения передающего устройства и измерения шума в приемном устройстве. Отдельная рабочая точка может выбираться системой и обозначаться IOTtarget . Более высокая рабочая точка позволяет терминалам использовать более высокую мощность передачи (в среднем) в каналах данных. Тем не менее очень высокая рабочая точка может быть нежелательной, поскольку система может стать ограниченной помехами, т.е. когда увеличение мощности передачи не приводит к увеличению принимаемого SNR. Более того, очень высокая рабочая точка повышает вероятность нестабильности системы. В любом случае каждая базовая станция может задавать OSI-бит следующим образом:

, (8)

где IOT meas,m(n) - это измеренный IOT на сектор m во временном интервале n; и- это требуемая рабочая точка для сектора.

В обоих случаях OSI-бит может использоваться для регулирования мощности так, как описано ниже.

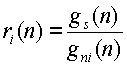
Каждый терминал может оценивать усиление канала (или усиление тракта распространения) для каждой базовой станции, которая может принимать передачу по линии обратной связи от терминала. Усиление канала для каждой базовой станции может оцениваться посредством обработки пилот-сигнала (контрольного сигнала), принимаемого от базовой станции посредством линии прямой связи, оценки интенсивности и мощности принимаемого контрольного сигнала и фильтрации оценок интенсивности контрольного сигнала во времени (к примеру, с помощью фильтра, имеющего постоянную времени в несколько сотен миллисекунд) для устранения эффектов быстрого затухания и т.п. Если все базовые станции передают свои контрольные сигналы с одним уровнем мощности, то ин-тенсивность принимаемого контрольного сигнала для каждой базовой станции указывает усиление канала между этой базовой станцией и терминалом. Терминал может сформировать вектор коэффициентов усиления канала, G, следующим образом:

= [r1(n) r2(n) ... r M(n)], (9)

 (10)

где g s(n) - это усиление канала между терминалом и обслуживающей базовой станцией;(n) - это усиление канала между терминалом и соседней базовой станцией i; и(n) - это коэффициент усиления канала для соседней базовой станции i.

Поскольку расстояние обратно связано с усилением канала, коэффициент усиления канала gs(n)/ gni(n) может рассматриваться как "относительное рас-стояние", которое указывает расстояние до соседней базовой станции i относительно расстояния до обслуживающей базовой станции. В общем коэффициент усиления канала для соседней базовой станции, ri(n), уменьшается по мере того, как терминал перемещается в направлении границы сектора, и увеличивается по мере того, как терминал перемещается ближе к обслуживающей базовой станции. Вектор коэффициентов усиления канала, G, может использоваться для регулирования мощности так, как описано ниже.

Хотя каналы данных для каждого сектора мультиплексированы таким образом, что они являются ортогональными по отношению друг к другу, некоторая потеря ортогональности может вытекать из помех между несущими (ICI), межсимвольных помех (ISI) и т.д. Эта потеря ортогональности приводит к внутрисекторным помехам. Для смягчения внутрисекторных помех мощность передачи каждого терминала может регулироваться таким образом, чтобы величина внутрисекторных помех, которые этот терминал может вызывать для других терминалов в том же секторе, поддерживалась в рамках допустимого уровня. Это может достигаться, к примеру, посредством обязательности того, чтобы принимаемый SNR канала данных для каждого терминала находился в рамках заранее определенного диапазона SNR, следующим образом:

(n) [SNRmin, SNR max], (11)

где SNR min - это минимальный принимаемый SNR, разрешенный для канала передачи данных; и- это максимальный принимаемый SNR, разрешенный для канала передачи данных.

Минимальный принимаемый SNR обеспечивает то, что все терминалы, особенно расположенные недалеко от границы сектора, могут достигать минимального уровня производительности. Без этого ограничения терминалы, размещенные недалеко от границы сектора, могут быть принудительно переведены в режим передачи с чрезвычайно низким уровнем мощности, поскольку они часто привносят значительную величину межсекторных помех.

Если принимаемые SNR каналов данных для всех терминалов ограничены диапазоном [SNR min, SNRmax], то величина межсекторных помех, вызываемых каждым терминалом вследствие потери ортогональности, может считаться находящейся в рамках допустимого уровня. Посредством ограничения принимаемых SNR рамками этого диапазона SNR по-прежнему может быть разность максимум в (SNRmax-SNR min) дБ в спектральной плотности принимаемой мощности между соседними поддиапазонами (при условии, что похожие величины межсекторных помех обнаруживаются в поддиапазонах, что происходит, к примеру, если каналы управления и данных перескакивают по частоте случайным образом, так чтобы каналы управления и данных из различных секторов могли накладываться друг на друга). Небольшой диапазон SNR повышает устойчивость системы при наличии ICI и ISI. Обнаружено, что диапазон SNR в 10 дБ предоставляет хорошую производительность в большинстве сценариев. Также могут использоваться другие диапазоны SNR.

Если мощность передачи канала данных определена так, как показано в уравнении (11), то принимаемый SNR канала данных может поддерживаться в диапазоне [SNRmin, SNR max] посредством ограничения дельты мощности передачи, P(n), рамками соответствующего диапазона, следующим образом:

 P(n) [ Pmin,  Pmax], (12)

где  Pmin - это минимальная дельта мощности передачи, разрешенная для канала данных, и  Pmax - это максимальная дельта мощности передачи, разрешенная для канала данных.

В частности,  Pmin = SNRmin - SNRtarget, а  Pmax = SNRmax - SNRtarget. В другом варианте осуществления мощность передачи Pdch(n) может быть ограничена диапазоном, который определяется, например, на основе мощности принимаемых сигналов для канала данных. Этот вариант осуществления может использоваться, например, если мощность помех статистически различается по поддиапазонам.

Мощность передачи канала данных для каждого терминала затем может корректироваться на основе следующих параметров:

. OSI-бит, передаваемый в широковещательном режиме каждой базовой станцией;

. Вектор коэффициентов усиления канала, G, вычисленный терминалом;

. Максимальный уровень мощности, Pmax, разрешенный для терминала, который может задаваться системой или усилителем мощности в терминале.

Параметры 1) и 2) связаны с межсекторными помехами, вызываемыми терминалом. Параметр 3) связан с внутрисекторными помехами, вызываемыми терминалом.

В общем, терминал, размещенный близко к соседнему сектору, который сообщает о высоких помехах, может передавать с меньшей дельтой мощности передачи, так чтобы его принимаемый SNR был ближе к SNRmin. Наоборот, терминал, размещенный близко к своей обслуживающей базовой станции, может передавать с более высокой дельтой мощности передачи, с тем чтобы его принимаемый SNR был ближе к SNRmax. Градация принимаемых SNR может обнаруживаться для терминалов в системе на основе их близости к обслуживающим базовым станциям. Диспетчер в каждой базовой станции может использовать преимущество распределения принимаемых SNR для достижения высокой пропускной способности, при этом обеспечивая равнодоступность для терминалов.

Мощность передачи канала данных может регулироваться различными способами на основе вышеуказанных четырех параметров. Механизм регулирования мощности не должен поддерживать одинаковый SNR для всех терминалов, особенно в ортогональной системе, такой как OFDMA-система, в которой терминалы, размещающиеся ближе к базовой станции, могут выполнять передачу с более высоким уровнем мощности без серьезных проблем для других терминалов. Для пояснения ниже описывается конкретный вариант осуществления регулирования мощности. Для этого варианта осуществления каждый терминал отслеживает OSI-биты, передаваемые в широковещательном режиме соседними базовыми станциями, и отвечает только на OSI-бит самой мощной соседней базовой станции, которая имеет наименьший коэффициент усиления канала в векторе G. Если OSI-биту данной базовой станции присвоено значение 1 (вследствие того, что базовая станция обнаруживает превышающие номинальный уровень межсекторные помехи), то мощность передачи терминалов, имеющих эту базовую станцию в качестве наиболее мощной соседней базовой станции, может корректироваться на понижение. Наоборот, если OSI-биту присвоено значение 0, то мощность передачи терминалов, имеющих эту базовую станцию в качестве наиболее мощной соседней базовой станции, может корректироваться на повышение. В других вариантах осуществления каждый терминал может корректировать свою мощность передачи на основе одного или нескольких OSI-битов, полученных для одной или нескольких базовых станций (к примеру, обслуживающей и соседних базовых станций).

Таким образом, OSI-бит определяет направление корректировки мощности передачи. Величина корректировки мощности передачи для каждого терминала может зависеть от (1) текущего уровня мощности передачи (или текущей дельты мощности передачи) терминала и (2) коэффициента усиления канала для самой мощной соседней базовой станции. В таблице 1 приведено несколько основных правил корректировки мощности передачи на основе дельты мощности передачи и коэффициента усиления канала для самой мощной базовой станции.

4. Способы совершенствования алгоритмов управления мощностью


При многостанционном доступе с кодовым разделением используется раздельная обработка отраженных сигналов, приходящих с разными задержками, и последующее их весовое сложение, что значительно снижает отрицательное влияние эффекта многолучевости. При раздельной обработке лучей в каждом канале приема на базовой станции используется 4 параллельно и независимо работающих коррелятора, а на подвижной станции - 3 коррелятора. Приемник с несколькими каналами приема и обработки сигнала получил название RAKE-приемника. Он имеет 4 канала приема: в трех каналах одновременно обрабатываются три наиболее сильных сигнала, в четвертом канале постоянно осуществляется поиск сигнала с более высоким уровнем. При этом опорный сигнал подается на разные корреляторы с небольшим сдвигом во времени, соизмеримым с разницей по времени при прохождении радиоволн по различным траекториям. Выходные сигналы корреляторов суммируются. Таким образом, если уровень сигнала свертки от одного из многолучевых сигналов в текущий момент времени оказывается равным нулю (в результате интерференционной картины распределения поля), то свертка от задержанного сигнала будет отличной от нуля. Таким образом, в системе с кодовым разделением каналов реализуется метод временного разнесения приема. Многолучевое распространение радиосигналов, с которым приходится бороться всем стандартам сотовой связи, в данном случае становится помощником. В случае построения фиксированных сетей многолучевые отражения позволяют снизить требования к уровню сигнала, приходящего к абонентской станции.

Мобильная связь в условиях города сопровождается явлениями, оказывающими существенное влияние на характеристики принимаемых сигналов (1 - 3). Так, затенение трассы распространения сигнала крупными препятствиями (неоднородности рельефа, здания, инженерные сооружения) приводит к так называемым медленным замираниям. Многолучевое распространение радиоволн приводит к быстрым замираниям, обусловленным интерференцией отдельных копий сигнала, приходящих в точку приема со случайными фазой и задержкой.

Основной целью управления мощностью передатчиков (POwer Control) в системе GSM является компенсация эффектов, связанных со средними потерями и медленными замираниями сигнала на трассе распространения между мобильной (MS) и базовой (BS) станциями. Качество работы РОС влияет на целый ряд показателей: качество передачи речи, уровень обрывов, уровень неуспешных хэндоверов и др. При этом качество обслуживания различных классов трафика зависит от эффективности РОС. Наиболее критичны к работе РОС мобильные абоненты, пользующиеся связью во время движения на автомобиле, в общественном транспорте и т.д. Даже медленные замирания могут привести здесь к обрыву соединения, как, например, в случае резкого падения уровня сигнала обслуживающей соты при повороте за угол здания. Скорость реакции РОС при этом определяет текущее качество обслуживания, успешность последующего хэндовера, а следовательно, и надежность соединения в целом.

С другой стороны, эффективность, с которой РОС компенсирует избыточные уровни мощности передатчиков MS и BS, влияет на уровень внутрисистемной интерференции.

Проведенная оптимизация была направлена на адаптацию параметров РОС к условиям обслуживания городского мобильного трафика, что в первую очередь предполагает улучшение динамических свойств РОС - оптимизацию чувствительности системы к вариациям сигнала и времени ее реакции, оптимизацию скорости и точности изменения мощности передатчиков MS и BS. Оптимизация динамических свойств РОС должна удовлетворять ряду требований, основными из которых являются предотвращение пинг-понга (непродуктивного последовательного увеличения-уменьшения мощности передатчиков) и согласованность параметров систем управления мощностью и управления хэндоверами (подстройка мощности должна быть завершена к моменту принятия решения о выполнении хэндовера по условиям радиоканала).

Для оптимизации было выделено несколько десятков сот в диапазонахи DCS. На первом этапе эксперимента был уменьшен минимальный ин-тервал между последовательными перестройками мощности, что позволило сократить время реакции РОС и увеличить скорость изменения мощности при фиксированной величине шага. Среднее количество команд РОС в DL-направлении, отнесенное к 1 эрлангу (AV_POCcmd_DL/Erl), при этом возросло на 4 %, а уровень AV_POCcmd_UL/Erl практически не изменился.

На втором этапе эксперимента были оптимизированы параметры обработки измерений уровня и качества приема. Был уменьшен интервал усреднения уровня сигнала и скорректированы параметры, фиксирующие достижение пороговых значений среднего уровня обслуживания. Уменьшение интервала усреднения позволило снизить инерционность РОС. Коррекция параметров, фиксирующих достижение нижнего порогового значения, обеспечила повышение чувствительности системы к замираниям и уменьшила время реакции РОС; коррекция параметров верхнего порогового значения ускорила компенсацию избыточной мощности передатчиков BS и MS при высоких уровнях приема.

Одновременно были скорректированы параметры, фиксирующие достижение пороговых значений среднего качества приема, в то время как интервал усреднения качества оставлен минимальным.Данная мера призвана улучшить чувствительность системы к вариациям коэффициента ошибок и обеспечить эффективное уменьшение мощности передатчиков BS/MS в условиях, когда коэффициент ошибок мал, а уровень приема ниже верхнего порога.

В бюджете мощности радиоканала поддерживается энергетический запас на замирания, динамически изменяющийся в зависимости от среднего уровня сигнала, что имеет важную практическую значимость в DСS-диапазоне.

В целом по зоне оптимизации уровень AV_POCcmd_DL/Erl возрос на 7 % относительно исходного (до начала оптимизации), а уровень AV_POCcmd_UL/Erl - на 3 %, причем рост указанных показателей в диапазоне DCS оказался заметно выше, чем в GSM. В DL-направлении возросли доли команд понижения и повышения мощности BS по причине уровня приема и уменьшилась доля команд понижения мощности по причине качества. В UL-направлении возросла доля команд повышения мощности MS по причине уровня приема и уменьшилась доля команд понижения мощностипо причине качества.

На следующем этапе была обеспечена возможность понижения мощности BS с переменным шагом, что позволило дополнительно ускорить уменьшение мощности передатчика BS при высоких уровнях приема MS и сократить количество команд РОС для DL-направления: уровень AV_POCcmd_DL/Erl снизился на 7, 5 % относительно исходного. В DL-направлении возросла доля команд повышения мощности BS по причине уровня приема и снизилась доля команд понижения мощности по причине уровня приема.

Эффект от оптимизации оценивался с использованием как типовых показателей качества, так и некоторых дополнительных, таких как интенсивность потока команд РОС и причины изменения мощности, совместное распределение уровня обслуживания и коэффициента ошибок.

В результате оптимизации зафиксировано снижение уровня обрывов на эрланг, рост успешности НО, уменьшение доли отчетов с низким качеством приема (RXQUAL_DL/ UL=4;…; 7), снижение среднего уровня мощности передатчиков BS и MS.

Анализ совместного распределения уровня и качества обнаружил, что в DL - и в UL-направлениях уменьшились доли отсчетов RXLEV-RXQUAL, при которых необходима либо коррекция мощности передатчиков, либо хэндовер по условиям радиоканала. Одновременно увеличилась доля нормальных отсчетов RXLEV-RXQUAL, не требующих подстройки мощности или выполнения хэндовера.

Важно отметить различие результатов, полученных на разных этапах оптимизации в диапазонах GSM и DCS. Таким образом, результат оптимизации дуальной радиосети зависит как от ее архитектуры и использованных принципов планирования, так и от стратегии и методов распределения трафика по диапазонам.

В результате проведенной оптимизации могут быть сформулированы следующие выводы:

повышение эффективности управления мощностью передатчиков MS и BS является значимым этапом оптимизации сетей GSM-9001800; обслуживание мобильного трафика в условиях города определяет необходимость оптимизации динамических свойств РОС;

оптимизация мощности передатчиков MS при установлении соединения и выполнении хэндовера способствует снижению уровня внутрисистемной интерференции в UL-направлении;

в результате оптимизации были улучшены практически все качественные показатели сети. Снизился средний уровень мощности передатчиков BS и MS. Зафиксировано перераспределение типов команд РОС в DL - и UL-направлениях;

Важно отметить различие результатов, полученных на разных этапах оптимизации в диапазонах GSM и DCS. Таким образом, результат оптимизации дуальной радиосети зависит как от ее архитектуры и использованных принципов планирования, так и от стратегии и методов распределения трафика по диапазонам.

В результате проведенной оптимизации могут быть сформулированы следующие выводы:

повышение эффективности управления мощностью передатчиков MS и BS является значимым этапом оптимизации сетей GSM-9001800; обслуживание мобильного трафика в условиях города определяет необходимость оптимизации динамических свойств РОС;

оптимизация мощности передатчиков MS при установлении соединения и выполнении хэндовера способствует снижению уровня внутрисистемной интерференции в UL-направлении;

в результате оптимизации были улучшены практически все качественные показатели сети. Снизился средний уровень мощности передатчиков BS и MS. Зафиксировано перераспределение типов команд РОС в DL - и UL-направлениях;

в UL-направлении произошел незначительный рост числа команд РОС на эрланг; в DL-направлении число команд РОС на эрланг снизилось за счет использования переменного шага понижения мощности BS;

результат оптимизации РОС в дуальной радиосети зависит от ее архитектуры, принципов планирования, стратегии и методов распределения трафика по диапазонам GSM-900/1800;

для получения максимального выигрыша от оптимизации необходимо оптимизировать также параметры управления хэндоверами с учетом внесенных коррекций параметров РОС.

Методы улучшения качества передачи сигналов. Подавление искажений из-за многолучевого распространения

В диапазоне работы радиосредств системы GSM радиоволны отражаются от всего - зданий, холмов, автомобилей, самолетов, и т.д. Таким образом, приемной антенны может достигнуть множество отраженных сигналов с различными фазами и вызвать замирание (fade). Замирание - явление, при котором в течение определенного интервала времени происходит то постепенное усиление, то ослабление сигнала. Подавление искажений из-за многолучевого распространения (multipath propagation) используется для того, чтобы извлечь желательный сигнал из нежелательных отражений. Оно работает, определяя как известный переданный сигнал искажен замиранием из-за многолучевого распространения, и настраивает обратный фильтр, чтобы извлечь остальную часть переданного сигнала. Этот известный сигнал - 26 битов обучающей последовательности, передаваемой в середине каждого временного интервала пакета. Практи-ческая реализация подавления искажений в спецификациях стандарта GSM не определена.

Скачок частоты. Мобильная станция позволяет использовать любую из заданных частот. Это означает, что значение частоты может изменяться между передатчиком и приемником и управляться в пределах одного кадра TDMA. Станции, работающие в стандарте GSM, используют эту свойственную для стандарта подвижность частоты, чтобы осуществить медленный скачок частоты, когда время смены частоты существенно больше временного интервала, соответствующего одному информационному символу. При этом мобильная станция и BTS передают информацию в течение короткого интервала времени на различных несущих частотах. Процесс управления скачком частоты является широковещательным и выполняется по широковещательному каналу управления ВССН. Так как замирание из-за многолучевости зависит от несущей частоты, медленные скачки частоты помогают облегчить проблему помех. Отметим также, что межканальные помехи в действительности случайны и взаимно не связаны.

Прерывистая передача. Уменьшение межканальных помех - цель любой сотовой системы, так как обеспечивает лучшее обслуживание для данной скорости передачи или увеличивает скорость передачи, а следовательно, полную емкость системы.

Прерывистая передача (DTX - Discontinuous Transmission mode) - метод, преимущество которого основано на том, что фактически человек при нормальном сеансе связи говорит меньше 40 % времени. Поэтому возможно выключать передатчик в течение периодов молчания. Дополнительное пре-имущество состоит в том, что DTX экономит энергию мобильной станции.

Самый важный компонент DTX, конечно, устройство обнаружения голосовой активности (VAD - Voice Activity Detector). Оно должно отличить речь от шумов - задача, которая не так тривиальна, как это кажется. Если речевой сигнал неправильно интерпретируется как шум, передатчик выключается и возникает очень раздражающий эффект, называемый клиппированием на приемном конце. Если, с другой стороны, шум ошибочно интерпретируется слишком часто как речевой сигнал, эффективность DTX резко уменьшается. Другой фактор, который следует учитывать, состоит в том, что, когда передатчик выключен, то на приемном конце устанавливается полная тишина из-за цифрового характера GSM. Чтобы дать знать пользователю на приемном конце, что соединение существует, требуется подключение шума комфорта на приемном конце, который бы соответствовал характеристикам фоновых шумов, поступающих с передающего конца.

Прерывистый прием. Другой метод сохранения энергии в подвижной станции - прерывистый прием. Широковещательный канал коротких сообщений (РСН), используемый для того, чтобы сигнализировать о вызове базовой станции к мобильной станции, разделяется на подканалы. Каждой подвижной станции выделяется свой собственный подканал. Работа подканалов осуществляется в различные интервалы времени. В режиме ожидания вызова во время между последовательными интервалами работы мобильная станция может переходить в режим, когда энергия почти не потребляется.

Управление мощностью. В соответствии с пиковой мощностью передатчика существует пять классов подвижных станций с номиналами мощности 20, 8, 5, 2, и 0,8 Вт. Чтобы снизить межканальные помехи и сохранить энергию электропитающего прибора, приемопередатчики мобильных станций и базовые станции работают на самой низкой мощности, которую выбирают, исходя из необходимости поддержания приемлемого качества сигнала. Мощность передатчика может подбираться путем ступенчатого увеличения или уменьшения ее значения на 2 дБ относительно пикового.

Подвижная станция измеряет мощность и качество сигнала (основанное на коэффициенте битовых ошибок - BER) и передает информацию на кон-троллер базовой станции (BSC), который, в конечном счете, решает, изменить ли и когда изменить уровень мощности. Управление мощностью должно осуществляться с учетом влияния на соседние станции и зоны, поскольку оно может стать причиной неустойчивой работы сети. В зоне этой станции имеются соседние подвижные станции, которые увеличивают свою мощность в ответ на увеличение межканальных помех, вызванных другими подвижными станциями, что может привести к отказу сети. Практически это явление маловероятно, оно находится в стадии изучения.

ЗАКЛЮЧЕНИЕ

В данной дипломной работе получены следующие результаты:

.        Выполнен детальный анализ сетей сотовой связи стандарта CDMA;

.        Выполнен детальный анализ сетей сотовой связи стандарта GSM;

.        Проведен анализ методов регулирования мощности в системах с кодовым разделением каналов (CDMA);

.        Проведен анализ методов регулирования мощности в системах с временным разделением каналов (GSM);

.        Проведен анализ способов совершенствования алгоритмов управления мощностью.

СПИСОК ИСПОЛЬЗОВАННЫХ ИСТОЧНИКОВ

1             Бабков В.Ю. Системы связи с кодовым разделением каналов /В.Ю. Бабков , А.И. Никитин, М.А. Сиверс. - СПб.: ТРИАДА, 2003. - 239 с.

2       Ипатов В.А. Широкополосные системы и кодовое разделение каналов. М.: Мир, 2007. - 488 с.

         Терентьев С.В. Управление и качество услуг в сетях GPRS/UMTS / С.В. Терентьев , Тихвинский В. О. , М.: Эко-Трендз , 2009 с. -400 с.

4             H. Holma, W-CDMA for UMTS / H. Holma , John Wiley & Sons / 3rd edition,. - 2007. -168 с.

5       3GPP TR 25.814 Physical layer aspects for evolved Universal Terrestrial Radio Access , (UTRA), Release 7, V7.1.0, 2008 103 с.

         UMTS Evolution from 3GPP Release 7 to Release 8 HSPA and SAE/LTE, 3G Americans , July 2009 , 132 с .

Доклад

Процесс регулирования мощности в прямом канале происходит несколько иначе. В нем возможны два варианта регулирования: по открытому циклу (разомкнутая петля) и по замкнутому циклу (замкнутая петля). Рассмотрим открытый цикл регулирования мощности (менее точный). Подвижная станция после включения ищет сигнал базовой станции. После синхронизации подвижной станции по этому сигналу производится замер его мощности и вычисляется мощность передаваемого сигнала, необходимая для обеспечения соединения с базовой станцией. Вычисления основываются на том, что сумма уровней предполагаемой мощности излучаемого сигнала и мощности принятого сигнала должна быть постоянна и равна -73 дБ. Если уровень принятого сигнала, например, равен -85 дБ, то уровень излученной мощности должен быть равен + 12 дБ. Этот процесс повторяется каждые 20 мс, но он все же не обеспечивает желаемой точности регулировки мощности, так как прямой и обратный каналы работают в разных частотных диапазонах (разнос частот 45 МГц) и, следовательно, имеют различные уровни затухания при распространении и по-разному подвержены воздействию помех.

Рассмотрим процесс регулирования мощности при замкнутом цикле. Механизм регулирования мощности при этом позволяет точно отрегулировать мощность передаваемого сигнала. Базовая станция постоянно оценивает вероятность ошибки в каждом принимаемом сигнале. Если она превышает программно заданный порог, то базовая станция дает команду соответствующей подвижной станции увеличить мощность излучения. Регулировка осуществляется с шагом 1 дБ. Этот процесс повторяется каждые 1,25 мс. Цель такого процесса регулирования заключается в том, чтобы каждая подвижная станция излучала сигнал минимальной мощности, которая достаточна для обеспечения приемлемого качества речи. За счет того, что все подвижные станции излучают сигналы необходимой для нормальной работы мощности, и не более, их взаимное влияние минимизируется, и абонентская емкость системы возрастает. Подвижные станции должны обеспечивать регулирование выходной мощности в широком динамическом диапазоне - до 85 дБ.

Похожие работы на - Исследование эффективности и путей совершенствования алгоритмов регулирования мощности в системах сотовой связи различных стандартов

 

Не нашли материал для своей работы?
Поможем написать уникальную работу
Без плагиата!
Без нейросетей!