|
18
Рис. 5. Зависимость косинуса
равновесного краевого угла θе
от поверхностного натяжения для поверхности политетрафторэтилена (тефлон) в
контакте с жидкими n-алканами (по работе Fox
and Zisman,
1950). Критическое значение поверхностного натяжения для такой системы γc
~18 эрг/см.
.5 Гистерезис краевых углов
Определение термодинамически
равновесного краевого угла требует соблюдения чистоты эксперимента. Во многих
реальных ситуациях оказывается, что линия трехфазного контакта Λ,
цепляясь за дефект поверхности, остается неподвижной не только при значении
равновесного краевого угла θ
= θе,
но и для θ, лежащих в
конечном интервале вблизи 0е:
(1.7)
Наступающий краевой угол θа
измеряется в процессе увеличения области контакта твердое тело/жидкость, в то
время как отступающий угол θr
наблюдается, когда эта область уменьшается (рис. 6). Интервал θа
- θr
может достигать 10° или более, если поверхности не были специально обработаны.
Рис.6. Определение наступающего
θа
и отступающего θr
краевых углов для жидкости на неидеальной твердой поверхности
Причинами такого гистерезиса
можно назвать три основных фактора:
а) Шероховатость поверхности.
Ранние наблюдения (Trillat
et Fritz,
1937) показали, что линия трехфазного контакта Λ,
параллельная системе бороздок на поверхности подложки, легко задерживается ими.
Среди более поздних экспериментов заслуживает особого внимания работа Деттра и
Джонсона (1964), в которой исследовались подложки с возрастающей степенью
шероховатости. Характерные результаты измерений приведены на рис.7. Они
демонстрируют специфическую немонотонную зависимость θ
от степени шероховатости подложки. Дальнейшие систематические исследования в
этом направлении были предприняты Мэйсоном (1978).
Рис. 7. Наступающий θа
и отступающий θr
углы для воды на поверхности фтор-углеродного воска. Шероховатость поверхности
достигается разбрызгиванием воска. Затем неровности сглаживаются путем
нагревания в печи. Числа п на горизонтальной оси соответствуют количеству
произведенных нагреваний. Наблюдается резкий скачок величины θr
в области между п = 6 и п = 7 (по результатам работы Dettre
and Johnson,
1964).
б) Химические примеси или
неоднородности в структуре твердой поверхности также могут играть существенную
роль. Некоторые из экспериментов (Dettre
and Johnson,
1964) проводились на поверхности парафина, в которую были вкраплены кусочки
стекла. Разная смачиваемость стекла и парафина могла внести вклад в явление
гистерезиса. Однако систематические исследования чисто химических эффектов на
гладких поверхностях подложки до сих пор не осуществлены.
в) Растворенные в жидкости
вещества (поверхностно-активные вещества, полимеры и т. п.) могут образовывать
на поверхности подложки пленку, присутствие или отсутствие которой иногда
приводит к явлению гистерезиса. Во многих случаях пленка, однажды образовавшись,
прилипает к поверхности подложки.
2. ЭКСПЕРИМЕНТАЛЬНЫЕ
ИССЛЕДОВАНИЯ ДИНАМИКИ РАСТЕКАНИЯ
краевой угол
равновесие смачивание
Экспериментально изучались два
случая: течение жидкости по капилляру и самопроизвольное растекание капли по
горизонтальной подложке.
Выбор объектов проводился без
какой-либо продуманной системы. Большинство экспериментов проведено с
жидкостями, которые полностью смачивают подложку, но при этом возникает
фундаментальная неопределенность: такая ситуация возможна как при S
= 0, так и при S > 0.
Случай S=0 представляется исключительным для сухих поверхностей подложки, но
вполне возможным для влажных поверхностей (θе
= 0). Однако известно, что на влажной подложке толщина предшествующей жидкой
пленки не фиксирована, а зависит от некоторого контрольного параметра. В случае
полного L/V-равновесия
это - высота плоскости подложки над уровнем жидкости в резервуаре,
обеспечивающем равновесное давление пара.
2.1
Вынужденное течение жидкости по капилляру
Рис. 8. Принципиальная схема
эксперимента
Геометрия, выбранная в опыте
Гоффмана (1975), показана на рис. 8. Использовался стеклянный капилляр
(диаметром ~2 мм), внутри которого создавался поток жидкости.
Скорость течения изменялась в
широком пределе (более чем на пять порядков). Безразмерный параметр
(2.1)
(где η
-
вязкость жидкости) менялся от 10-4 до 10. Гоффман измерял кажущийся краевой
угол 0а фотографическим методом. В первой серии опытов с силиконовыми маслами
он получил условия полного смачивания (S≥0)
и обнаружил довольно универсальную зависимость между θa
и ω
(рис.9):
(2.2)
Особый интерес представляет
предел малых скоростей (w
→0).
Результаты, полученные Гоффманом, можно в этом случае представить в виде
(2.3)
где т = 3 ± 0,5. Таким образом,
θа
(ω)
вначале
возрастает по закону ω1/3 и затем
выходит на насыщение: при ω = 1,
θа
→π.
Рис. 9. Зависимость кажущегося
краевого угла θа от приведенной
скорости ω = иη/γ
(силиконовое
масло на поверхности стекла) по данным Гоффмана (1975). При малых ω
зависимость близка к виду θа
≈ω⅓
Во второй серии опытов Гоффман
использовал другие масла и промышленные продукты, не смачивающие поверхность
капилляра (θe
≠
0). Ему удалось обнаружить, что и в этом случае полученные данные могут быть
описаны при помощи той же функции F,
если записать в виде
(2.4)
Однако соотношение (2.4), в
отличие от случая полного смачивания, не достаточно подтверждено
экспериментально и поэтому не очевидно.
Указанные эксперименты не
лишены недостатков. Выбор исследуемых жидкостей был продиктован интересами
промышленности и многие из них могли coдержать примеси. Кроме того, было бы
интересно узнать, не зависит ли величина измеренного по фотографиям кажущегося
краевого угла, при данном n,
от диаметра капилляра. Некоторые эксперименты (Dussan
and Ngan,
1982) указывают, что на самом деле некоторая зависимость существует.
Тем не менее, несмотря на
упомянутые ограничения, эксперименты Гоффмана являются существенным шагом
вперед. Очень важен универсальный закон (2.2). Особенно удивительно то, что он
справедлив для жидкостей с разными значениями S
(S< 0): величина
параметра растекания не играет роли.
2.2
Растекание капли
Большинство экспериментов в
этом случае проводились в условиях полного смачивания (S≥0).
Типичная картна представлена на рис. 10.
В классическом подходе радиус
растекающейся капли R (t)
измеряется с помощью фотографий. В других работах почти плоская капля
используется в качестве линзы. Зная фокусное расстояние такой линзы, можно
получить значение кажущегося краевого угла θа
(t).
Рис. 10. Почти плоская капля,
растекающаяся по поверхности подложки.
В тех случаях, когда
гравитационными эффектами можно пренебречь, макроскопическая форма капли, как
оказалось, весьма близка к сферическому сегменту. Тогда кажущийся краевой угол,
толщина капли h (t)
и ее радиус R (t)
связаны соотношениями
(2.5) (2.6)
которые справедливы для тонких
капель (θа
<< 1), что является наиболее характерным случаем в режиме полного
смачивания. Здесь Ω - объем
капли, который предполагается неизменным (слабое испарение).
Экспериментально было
обнаружено, что R (t) на
ранних стадиях растекания быстро растет, а затем увеличивается очень медленно.
Результаты измерений можно представить (в терминах смоченной площади πR2)
степенной зависимостью:
(2.7)
Значения n, полученные
различными авторами в разных системах, сравниваются в обзоре Мармюра (1983).
Для воды на поверхности стекла ранние результаты Гиппии (1948) дают основание
считать, что п = 0,22, однако Лела и Мармюр (1981) обнаружили сильную температурную
зависимость величины n, изменяющейся от 0,16 при 29°С до 0,32 при 15°С. Один из
наиболее аккуратных экспериментов был поставлен Таннером (1979) с силиконовым
маслом и дал результат п = 0,21. Показатель р не изучался столь подробно, но в
экспериментах Лела и Мармюра (1981) его значение было порядка 2/3.
Выше были изложены общие
замечания, касающиеся показателей п и р. Предпологая, что соотношение между
кажущимся краевым углом, и скоростью течения описывается уравнением (2.3) и что
роль относительной скорости играет скорость перемещения линии трехфазного
контакта
(2.8)
В приближении сферической формы
поверхности капли (2.5), (2.6), исключая θа,
получается соотношению
(2.9)
Отсюда получается закона
растекания
(2.10)
Следовательно, можно ожидать,
что
(2.11) (2.12)
Взяв наиболее вероятное
значение т = 3 из данных Гоффмана, получается результат:
п = 0,20 и р = 0,60.
В ходе своих пионерских работ
по исследованию смачиваемости Харди (1919) обнаружил, что растекающейся капле
предшествует прекурсионная пленка (субмикронной толщины), которая располагается
перед условной линией трехфазного контакта. В частности, при растекании капель
по твердой поверхности пленка была обнаружена благодаря присущему ей
смазывающему эффекту: маленькая пробная частичка легче скользит по поверхности
подложки в присутствии пленки. Подобные пленки могут образовываться как в
случае летучих жидкостей, которые конденсируются в области, предшествующей
растекающейся капли, так и при полном отсутствии газовой фракции, что
подтверждается экспериментально.
2.3
Интерпретация результатов экспериментов
.3.1
Три вида диссипации энергии
В случае растекания (S
≥
0) чистой неполярной жидкости, притягивающейся к подложке силами
Ван-дер-Ваальса, структура профиля подвижного фронта (перемещающегося со
скоростью и) показана на рис. 11.
Рис. 11. Почти плоская капля,
растекающаяся по поверхности подложки.
W-жидкий
клин, M-профиль
максимальной пленки.
Все макроскопические наблюдения
свидетельствуют о существовании определенного кажущегося краевого угла θа.
На расстояниях x ~ 100 мкм от положения условной линии контакта форма профиля
жидкости весьма напоминает простой клин, распространяющийся вдоль поверхности
твердого тела. Характер движения в этой области был исследован в наглядном
эксперименте Дуссана и Дэвиса (1974), которые пометили верхнюю поверхность
клина маленькими пятнышками краски (рис. 12) и наблюдали за их перемещением
(жидкость была очень вязкой и двигалась медленно).
Рис.12. а - Схема эксперимента
Дуссана - Девиса. Пятна краски D1,
D2, D3
нанесены на свободную поверхность перемещающегося жидкого клина, они скользят
вниз вдоль поверхности клина, а затем прилипают к поверхности подложки. б -
движение трактора на гусеничном ходу в некоторой степени напоминает движение
жидкого клина (для сравнения приведены профили распределения скорости v(z)).
Им удалось обнаружить
характерное движение накатом, напоминающее движение гусеницы трактора. Такое
накатывание приводит к возникновению вязкого трения с соответствующей скоростью
диссипации энергии (на единицу длины линии контакта Λ)
,
где индекс w относится к клину
(wedge).
Впереди клина находится
прекурсионная пленка (характерная толщина 100 А), простирающаяся на конечное
расстояние d. Было выяснено
экспериментально (Hervet
et de
Gennes, 1984), что диссипация
энергии из-за вязкого трения в такой пленке
очень велика.
Прекурсионная пленка ограничена
истинной линией контакта Λr
(смещенной на расстоянии d
от условной линии контакта Λ). В
непосредственной близости к Λr
могут возникнуть специфические потери энергии, связанные с прилипанием молекул
жидкости к поверхности подложки. Часть имеющейся свободной энергии S
может непосредственно перейти в тепло Q.
Этот, третий по счету, вклад в диссипацию энергии в значительной степени
неизвестен.
Особенности течения жидкости с
профилем в форме простого «клина», перемещающегося с постоянной скоростью при
неизменном значении угла θа, рис. 12,
а, были проанализированы в фундаментальной работе Хью и Скривена (1971). Они
рассматривали общий случай (произвольные θа,
нулевая вязкость газовой фазы). Клин рассматривается как почти плоская пленка с
профилем распределения скорости
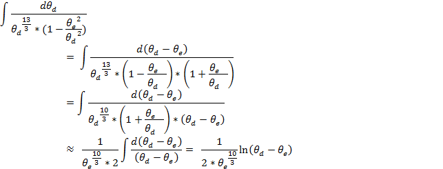
Полная скорость диссипации
энергии в объеме клина равна
(2.13)
Предполагается, что радиус
обрезания xmax связан с
макроскопическим размером каплиmax
~ R. Величину нижнего
предела xmin труднее
интерпретировать. В пределе (хт1п → 0) мощность тепловых потерь
расходится. В таком случае, как выразились в древнегреческом стиле Хью и
Скривен, «даже Геракл не смог бы погрузить в воду камень!». Различные
физические причины могут устранить эту расходимость, все зависит от выбора
исследуемой системы.
а) Скольжение по поверхности
подложки. Вместо того, чтобы требовать равенства нулю скорости жидкости на
поверхности твердого тела в системе, связанной с подложкой, естественно
предположить возможность небольшого проскальзывания, введя некую длину экстраполяции
b (рис. 13).
Рис. 13. Длина экстраполяции b
характеризует допустимую степень проскальзывания потока вязкой жидкости по
поверхности твердого тела.
Подобная ситуация возможна в
различных системах.
1)
Пористое
твердое тело, пропитанное жидкостью, предполагает экспоненциальное спадение
скорости в глубь поверхности твердого тела. Подобное явление удалось наблюдать
на опыте - например, при измерениях равновесных краевых углов на поверхности
подложки из набухшего силикагеля (см. Michaels
and Dean,
1962) - однако систематических исследований не проводилось.
2)
Грубо
обработанная поверхность твердого тела, по-видимому, описывается аналогично
предыдущему случаю (Hocking,
1976). Подобная система, однако, не слишком привлекательна, ибо грубая
обработка поверхности влечет за собой все осложнения, связанные с гистерезисом.
3) При течении нормальной
жидкости по гладкой поверхности подложки возникает длина экстраполяции,
сравнимая с молекулярными размерами а. В этом наиболее важном случае
проскальзыванием можно обычно пренебречь, а наличие нижней границы радиуса
обрезания обусловлено другим эффектом (дальнодействующие ВВ силы).
4)
Согласно
предположению Рукенштейна и Данна (1976), в области линии трехфазного контакта
происходят специфические физико-химические процессы, это также приводит к
значению b ~ а.
5)
Течение
жидкого полимера вдоль гладкой поверхности подложки (при отсутствии химической
связи между полимерными цепочками и стенкой) должно сопровождаться аномально
большими значениями b (de
Gennes, 1979). Это
приводит к образованию специфических «структур» основания вблизи линии
контакта.
Полная механическая теория
растекания макроскопических капель с конечным проскальзыванием по поверхности
подложки была построена Хью и Мэйсоном (1977) и более детально в работах (Hocking,
1977, 1981); Hocking
and Rivers,
1982). Эта теория характеризуется рассмотрением трех асимптотически связанных
между собой областей: «основания», где доминирует эффект проскальзывания,
«клина», с почти постоянным значением угла наклона и «центральной области», где
форма капли близка к сферическому сегменту. В последнем случае в объемной части
капли движение жидкости не затруднено, поэтому механическое давление pL
достигает равновесного значения. Разность давлений (рL
- pV) внутри и вне
капли неизменна, а это, в свою очередь, согласно уравнению Юнга - Лапласа
означает, что кривизна L/V
поверхности постоянна, т. е. поверхность капли сферическая. В работе Хокинга
(1981) содержится строгое доказательство этого утверждения.
Количественно наличие
проскальзывания приводит к следующей величине нижнего радиуса обрезания
логарифмической зависимости скорости диссипации энергии растекающейся капли:
(2.14)
б) Силы Ван-дер-Ваальса. Эти
силы ответственны за образование прекурсионной пленки, а наличие пленки
ликвидирует расходимость диссипации .
В случае «сухого» растекания при S
> 0 соответствующее значение нижнего радиуса обрезания равно
(2.15)
Этот эффект превалирует над
эффектом проскальзывания в тех случаях, когда длина экстраполяции,
соответствующая проскальзыванию, сравнима с молекулярными размерами (в чем
можно убедиться, сравнив уравнения (2.14) и (2.15)).
3. Вывод Аcимптотических
законов растекания малой капли частично смачивающей жидкости
Рассмотрим поведение капли некоторой
произвольной однородной жидкости на поверхности некоторого произвольного
твердого тела (рис. 14), о которых известно, однако, что заданная жидкость
частично смачивает заданную поверхность, т.е. для нее существует некоторый
отличный от нуля конечный равновесный угол смачивания θе.
Кроме того, будем считать, что в начальный момент времени динамический угол
смачивания θd
много больше равновесного угла θd>>θе.
Зададимся целью получить законы растекания капли при больших временах t
>> t0, когда движение
линии границы капли не зависит от начального размера смоченного пятна на
твердой поверхности (t0
- начало отсчета времени растекания).
Рис. 14. Сферически симметричная капля
однородной жидкости на твердой подложке.
Так как капля мала, то её форма в силу действия
сил поверхностного натяжения, стремящихся привести каплю в состояние с
минимальной поверхностной энергии, то есть с минимальной площадью поверхности,
близка к сферической. В силу сферической симметрии и с учетом однородности
растекающейся жидкости изменение величины радиуса окружности смоченного пятна
на поверхности твердого тела со временем r(t)
и будет представлять собой закон движения линии границы капли a(t):
= a(t)
(3.1)
Радиус окружности смоченного пятна r
и динамический угол смачивания θd
однозначно определяют радиус сферического сектора R,
верхней частью которого является поверхность растекающейся капли,
представляющей собой сферический сегмент сферы радиуса R
(рис. 15).
Рис. 15. Растекающаяся капля как сферический
сегмент и соответствующий ему сферический сектор.
Объем сферического сегмента рассчитывается по
формуле
 (3.2)
Где h=R-h’, h’=Rcosθd. Подставляя
эти выражения в (3.2), получаем
 (3.3)
Таким образом, используя формулу
(3.3) для объема V сферического сегмента и учитывая,
что r=Rsinθd, а также
соотношение (3.1), можно записать
a3 = (3V/π)*((1
+ cosθd)2
/ (sinθd(2
+ cosθd)))
(3.4)
Для расчета закона движения границы
капли r = a(t) применим
закон Таннера в виде
(θd2
- θe2)
θd
=
θ * da/dτ, θ = const,
Здесь производная da/dτ определяет
скорость перемещения линии трехфазного контакта a(τ), τ
= γt/2μa0 -
безразмерное время, a0 - характерный размер капли (для
капли сферической формы a0 = (3V/4π )1/3), γ -
поверхностное натяжение, μ -
динамическая вязкость.
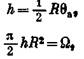
Если принять, что θd << 1,
то формула для объема упрощается:
3 = 4V/πθd. (3.5)
Дифференцируя последнее соотношение
по времени, получаем
 = -(  )1/3 θd4/3

Применяя затем закон Таннера,
получим
 = -(  )1/3 θd13/3(1 - θe2/θd2)θ-1
После разделения переменных
(  )1/3θd-13/3θ(1 - θe2/θd2)-1dθd = dτ
Интегрируя далее, получим
 (3.6)
где τ0 -
постоянная интегрирования, задаваемая начальными условиями. В силу исходных
допущений считаем, что τ
>> τ0,
а начальные условия таковы, что τ0 = 0.
Из соотношения (3.6) видно, что
возможны два предельных асимптотических закона растекания капли.
1) θd2
>> θe2.
В согласии с заданным условием пренебрегаем в
правой части выражением θe2/θd2
<< 1,
т.е. 1 - θe2/θd2≈1.
Интегрируя с учетом преобразования левую часть равенства (3.6), выражая из
полученного результата θd
и подставляя его в (3.5) получим выражение для закона растекания капли (в размерном
виде):
a(t)
= 1,86θ-1a00,9(γt/μ)1/10
(3.7)
То есть в этом случае выполняется
закон « », широко подтверждаемый
экспериментально.
2) θd
→
θe.
Данный этап является этапом окончания процесса
растекания. В этом случае θd
≈
θe,
и интеграл в левой части равенства (3.5) вычисляется следующим образом:
Выражаем из полученного результата θd
и подставляем его в (3.5). Соответственно, на данном этапе закон растекания
капли имеет вид (в размерном виде):
a(t) = (  )1/3 a0[θe(1 +
exp(-χγt/μ))]-1/3, (3.8)
где χ = θe10/3(2/3)1/3(4θa0)-1 .
Анализируя характер растекания на
завершающем этапе, приходим к выводу, что, как и ожидалось, ширина границы
капли ограничена конечной величиной am=( )1/3a0,
определяемой равновесным краевым углом θe.
ЗАКЛЮЧЕНИЕ
В ходе выполнения представленной научной работы
было проведено ознакомление с экспериментальными данными по динамике смачивания
и теоретическими попытками обоснования этих закономерностей на основе
материалов стати П. Ж. де Жена «Смачивание: Статика и динамика» («Успехи
физических наук» 1987, т.154, в.4).
Важный результат проведенных экспериментов по
данной теме состоит в опытном установлении зависимости скорости растекания
жидкости по поверхности твердого тела от динамического угла смачивания.
Экспериментальной получение такой зависимости осложняется тем, что на процесс
смачивания влияет большое количество факторов физико-химического происхождения,
проявляющихся в тонком приповерхностном слое жидкости, что приводит к
возникновению таких эффектов как, например, гистерезис краевых углов и наличие
прекурсионной пленки.
Однако, если соответствующий закон растекания
известен, то становится возможным провести расчет процесса растекания,
например, для круглой в плане капли, растекающейся по плоскости. В данной
работе была поставлена задача и выполнена расчет для этапов аcимптотического
растекания сферически симметричной однородной капли малых размеров частично
смачивающей жидкости.
Похожие работы на - Динамика растекания при неполном смачивании
|