Зоновая РРЛ прямой видимости Рязань-Ряжск
Введение
канал профиль интервал
Радиорелейные линии занимают прочное место в
сети связи РФ. Они широко используются для передачи сигналов многоканальной
телефонии, телевидения, звукового вещания, телеграфа, изображений газетных
полос и т.д. Они также широко используются для технологических нужд при
обслуживании газо- и нефтепроводов, на железнодорожном транспорте и т.д.
В данной курсовой работе производится расчет
основных параметров РРЛ и качественных показателей каналов. А именно: будут
рассмотрены вопросы рационального выбора трассы РРЛ, размещения промежуточных
радиорелейных станций (ПРС), узловых радиорелейных станций (УРС), организации
служебной связи (СС) и телеобслуживания (ТО), определения протяженности
интервалов и высоты установки антенн на интервале, устойчивости связи и
мощности шумов в каналах. А также рассмотрена структурная схема узловой станции
РРЛ на базе типовой аппаратуры ФМ 960/ ТВ 1100 (ГДР).
Выбор трассы и построение
продольного профиля интервала
Исходное задание: Рязань - Ряжск
Протяженность трассы составляет 108,6 км,
магистральная, 3TВ, 700ТФ, 4РВ.
Длины интервалов:
Рязань - Акулово: 38,6 км;
Акулово - Кораблино: 40 км;
Кораблино - Ряжск: 30 км.
В результате имеем одну ПРС, две ОРС и одну УЗС
в Кораблине.
Трасса РРЛ приведена на рис. 1.
Для проектирования выбираем наиболее протяженный
интервал:
Акулово - Кораблино (Рис. 2).
Продольный профиль приведен на рис. 3.
Выбор аппаратуры РРЛ. Выбор типа
аппаратуры
Так как необходимо передавать 3ТВ, 700ТФ, 4РВ,
то выберем один комплект системы ФМ 960/ ТВ 1100 (ГДР) зоновая. Три ствола
займут ТВ сигналы. В этих же стволах можно передавать на поднесущих четыре
звуковых сигнала. На одной поднесущей канал звукового сопровождения ТВ канала,
а в двух стволах на двух поднесущих - каналы РВ (рис. 4).
Рис. 4
Один ствол займут 700 каналов ТФ
Рис. 4.
Для организации ствола СС используется
узкополосное устройство направленной связи ФМ-24.
Один ствол резервный (схема резервирования 4+1).
План распределения рабочих частот
Средние значения частот стволов для аппаратуры
ФМ 960/ТВ-11000 определяются по следующим формулам , где
n=1…12
1 ствол
2 ствол
3 ствол
4 ствол
5 ствол
6 ствол
Схема использования ВЧ стволов приведена на рис.
5.
Рис.5
Схема распределения частот и поляризаций на РРЛ
Рязань - Ряжск на рис. 6.
Рис.
НВ - станции с приемом нижней и передачей
верхней групп частот.
ВН - станции с приемом верхней и передачей
нижней групп частот.
ВП - вертикальная поляризация волн.
ГП - горизонтальная поляризация волн.
Резервный ствол
ТФ ствол
ТВ ствол + 2 РВ
ТВ ствол + 2 РВ
ТВ ствол
Определение высот установки антенн и
расчет ожидаемого процента времени, в течение которого шумы на линии превысят
допустимую величину
Расчет высоты антенных опор
Высоты антенных опор выбираются таким образом,
чтобы при среднем значении градиента диэлектрической проницаемости атмосферы
трасса была открытой (см рис. 3).
- расстояние от
точки начала отсчета;
- длина интервала;
- средняя длина
волны;
- относительная
координата препятствия на трассе
- просвет, при
котором множитель ослабления на интервале равен единице.
- среднее значение
градиента диэлектрической проницаемости для центральных районов;
- приращение
просвета за счет рефракции
Тогда минимально допустимый просвет составляет
Для выполнения условия открытости трассы
относительный просвет должен составлять
То есть трасса открытая.
Высота антенн составляет 30 м
Выбор и расчет АФТ
Выберем двухзеркальную антенну, т.к. высота
подвеса не велика 30 м.
Рис. 7.
При использовании общей антенны на прием и на
передачу приемники и передатчики станции соединяются с антенной круглым
волноводом позволяющим передавать одновременно в разных направлениях две волны.
Схема состоит из двухзеркальной антенны (1), перехода с квадратного волновода
на круглый (2), герметизирующих вставок (3), круглого волновода (4), корректора
поляризации (5), поляризационного селектора (6), нагрузки (7), прямоугольного
волновода (8), ферритовых вентилей (9), разделительных фильтров стволов (10) и
полосовых фильтров и фильтров гармоник (11).
Определение затухания в АФТ и его
КПД
дБ - затухание в
круглом волноводе (4) длиной l=22;
дБ - затухание в
герметизирующей вставке (3), 2 шт;
дБ - затухание в
корректоре поляризации (5);
дБ - затухание в
поляризационном селекторе (6);
дБ - затухание в
эллиптическом волноводе (8) длиной 2 м;
дБ - затухание в
ферритовом вентиле (9);
дБ - затухание в
устройстве разделения (10);
дБ - затухание в
полосовом фильтре (11).
Тогда общее затухание антенно-фидерного тракта
составит:
дБ
По известной величине затухания тракта найдём
его КПД:
Определение минимально допустимого
множителя ослабления
- мощность
передатчика;
- псофометрический
коэффициент;
- постоянная
Больцмана;
ШдБ
-
шумовой фактор;
- коэффициент
шума;
Т=290 К - температура;
- эквивалентная
шумовая температура;
;
Т.к. число ТФ каналов (700) не соответствует
номинальному (960), то коэффициент системы ТФ ствола рассчитывается следующим
образом:
Так как полоса частот группового тракта ТФ
ствола 312-3340 кГц, то
Найдем
- эффективная
девиация частоты на канал;
Тогда коэффициент системы ТФ ствола
В децибелах для ТФ и ТВ стволов:
Найдем Vjmin
для ТФ ствола
Для этого вычислим ослабление сигнала в
свободном пространстве
- ослабление
сигнала, где λ=0,0268 м и R
= 40 000 м
Коэффициенты усиления и затухания передающей и
приемной антенн
Тогда
В децибелах для ТФ ствола
Найдем
для
ТВ ствола.
дБ
В дальнейших расчетах будем использовать
максимальное значение
дБ
Определение средней (медианной)
мощности сигнала на входе приемника Рвх(50%) и мощности Рвх(20%)
Минимальная мощность сигнала на входе приемника
должна быть больше мощности порога срабатывания замещающего генератора Рпор.
Для большинства современных РРЛ эта мощность составляет 25-100 пВт.
Пусть порог включения замещающего генератора
равен 25 пВт
КПД фидера передатчика ηФПД
=
0,514 %
КПД фидера приемника ηФПМ
=
0,514 %
Коэффициент усиления антенны передатчика GПД
=
35480
Коэффициент усиления антенны приёмника GПМ
=
35480
Мощность сигнала на входе приемника при
распространении в свободном пространстве:
Мощность на входе приемника, ниже которой
мощность будет опускаться не более 0.1% времени за любой месяц найдется как:
На открытой трассе можно принять:
В результате получаем:
Вт
Определение ожидаемого процента
времени, в течение которого мощность шумов в ТФ канале превышает допустимую
величину
а) Определим T0(Vjmin) -
процент времени, в течение которого мощность сигнала на входе приемника
окажется ниже min допустимой за счет экранирующего действия Земли.
Так как трасса открытая, то T0(Vjmin)
можно пренебречь.
0(Vjmin)=0
%
б) Определим TП(Vjmin) -
процент времени, в течение которого мощность сигнала на входе приемника
окажется ниже min допустимой за счет интерференции.
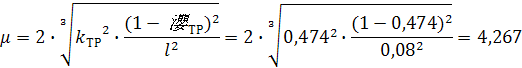
Δh=5
м - высота сада
Н0=9,439 м
Где
1/м
вычислим теперь для этого значения относительный просвет.
- приращение
просвета за счет рефракции
минимально допустимый просвет составляет
Тогда
Так как выполняется условие что
,
то имеет место диффузионное отражение, то есть
,
поэтому и TП(Vjmin)=0
в) Определим TТР(Vjmin) -
процент времени, в течение которого мощность сигнала на входе приемника
окажется ниже min допустимой за счет волн, отраженных слоистыми
неоднородностями тропосферы.
Для средней полосы Европейской территории:
вероятность проявления в тропосфере слоев с
резким скачком е.
Найдем вероятность замираний, обусловленных
интерференцией прямой и отраженной волн:
Если учесть, что
,
то искомый коэффициент времени будет определяться выражением:
г) Определим TД(Vjmin) -
процент времени, в течение которого мощность сигнала на входе приемника
окажется ниже min допустимой за счет затухания радиоволн в осадках.
Поглощение и рассеяние радиоволн в осадках
учитываются на частотах выше 6 ГГц. Поэтому для нашей аппаратуры необходим
расчет.
1. Зададим
несколько фиксированных значений интенсивности осадков
и
для заданной длины интервала R=40
км определим коэффициенты
по графику рис.
9.55 [4].
.
. Для каждого значения
рассчитываем
эффективную длину интервала
:
3. Для
тех же значений
и заданной рабочей
частоты определяем коэффициенты ослабления
по
графику рис. 9.33 [4]
4. Рассчитываем
значения множителя ослабления:
. По полученным данным строим график зависимости
V(J)
Рис.
. Зная величину
,
по кривой V(J)
определяем максимально допустимую интенсивность дождя
,
которая может привести к ослаблению на интервале до
-
. По интегральным статическим распределениям
интенсивности дождей рис. 9.53[4] определим процент времени , в течение
которого
,
т. Е. величину
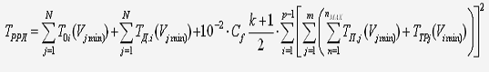
Суммарный процент времени
Так как проектируемая линия состоит из 3
интервалов, то суммарный процент времени (без учета резервирования) определяют
по формуле:
Для остальных
пролетов
%
%
Так как норма на шумы в канале
%
, то 
следовательно рекомендации ЕАСС
(для зоновых линий) не выполняются.
Расчет и проверка устойчивости связи
при разнесенном приеме
Для увеличения устойчивости связи на линии
применяют разнесенный прием. Расчет и проверку устойчивости связи при
разнесенном приеме проводят по следующей методике:=4 - число рабочих стволов,
приходящихся на один резервный.
i = 2 - число
участков резервирования;
p = 3 - число
главных станций;= 1, m2 = 2 - число интервалов между главными станциями.
Полагаем, что:
∆f = 240 МГц - разнесение резервного ВЧ
ствола и ближайшего ТВ ствола.
f = 11200 МГц
На среднепересеченных интервалах
РРЛ, значение эмпирического коэффициента Сf , учитывающего статистическую зависимость замираний на
интервале РРЛ при частотном разнесении: 
В первом интервале:
%
Во втором интервале:
%
Дождевые и экранирующие
составляющие:
%
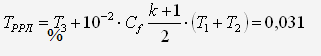
Суммарное время:
Рекомендации ЕАСС (для зоновых
линий) выполняются.
, то есть можно произвести
уменьшение высоты подвеса антенн, тем самым снизив стоимость всей системы.
Снижение высот подвеса антенн
Для определения оптимальных высот необходимо
задаться несколькими значениями просвета и найти все параметры интервала.
Переходя от открытой трассы к полуоткрытой при
расчете TРРЛ придется учитывать составляющую Т0(Vjmin)
- процент времени, в течение которого мощность сигнала на входе приемника
окажется ниже минимально допустимой за счет экранирующего действия Земли.
1) Пусть H = -5 м
следовательно трасса полуоткрытая
Так как длина фидера уменьшилась
пересчитаем потери в АФТ (см. рис. 7)
дБ - затухание в круглом волноводе
(4) длиной l=17 м;
дБ - затухание в герметизирующей
вставке (3), 2 шт;
дБ - затухание в корректоре
поляризации (5);
дБ - затухание в поляризационном
селекторе (6);
дБ - затухание в эллиптическом волноводе
(8) длиной 2 м;
дБ - затухание в ферритовом вентиле
(9);
дБ - затухание в устройстве
разделения (10);
дБ - затухание в полосовом фильтре
(11).
Тогда общее затухание
антенно-фидерного тракта составит:
дБ
По известной величине затухания тракта найдём
его КПД:
Определение минимально допустимого
множителя системы
Найдем Vjmin
для ТФ ствола
Для этого вычислим ослабление сигнала в
свободном пространстве
- ослабление
сигнала, где λ=0,0268 м и R
= 40 000 м
Коэффициенты усиления и затухания передающей и
приемной антенн
Тогда
В децибелах
Найдем
для
ТВ ствола.
В децибелах
В дальнейших расчетах будем использовать
максимальное значение Vjmin
Определение T0(Vjmin)
Так как антенны опущены, и трасса уже не
открытая то процент времени, в течение которого мощность сигнала на входе
приемника окажется ниже минимально допустимой, вследствие экранирующего
действия Земли T0(Vjmin) не равен нулю, поэтому
необходим его расчет.
Аппроксимируем главное препятствие частью сферы
и сделаем соответствующие построения на профиле, для определения значения r
- хорды сферы. В диапазоне сантиметровых волн принимают высоту сегмента
аппроксимирующей сферы Δy
равной H0
(рис. 9)
Рис.
Тогда
Из графика зависимости V
от p(g)
( рис.9.13 [4]) для
и
определяем
минимальную величину относительного просвета ρ(g)
-
ρ (g0)
= - 5.
Рассчитаем значения вспомогательных параметров
при σ
= 8×10-8
1/м λ
C учетом приведенных
параметров вероятность того, что множитель ослабления будет меньше
:
Определим суммарный процент времени, в течение
которого мощность сигнала на выходе приемника окажется ниже минимально
допустимой.
+0,01 = 0,01 %
Так как проектируемая линия состоит из 3
интервалов, то суммарный процент времени (без учета резервирования) определяют
по формуле:
, как было получено выше
Тогда для всей линии:
%
Так как норма на шумы в канале
%
, то 
следовательно рекомендации ЕАСС
(для зоновых линий) не выполняются.
Проверим устойчивость связи при
разнесенном приеме.
Для остальных пролетов
%
%
В первом интервале:
%
%
Дождевые и экранирующие
составляющие:
%
Суммарное время:
Рекомендации ЕАСС (для зоновых
линий) выполняются.
.
Произведем последующие снижение
высоты антенн, и получим следующие значения различных параметров, которые
сведем в таблицу.
Таблица
|
Высота
H, м
|
-10
|
-15
|
-20
|
|
ρ
|
-2,935×10-3
|
-0,533
|
-1,062
|
|
, дБ
|
|
2,14
|
1,89
|
|
%
|
|
61,094
|
64,714
|
|
для ТФ
ствола
|
|
|
|
|
|
-
48,035 дБ
|
|
|
для ТВ
ствола.
|
|
|
|
|
|
|
|
|
, м
|
3800
|
6100
|
8100
|
|
|
3,805
|
2,775
|
1,297
|
|
ρ (g0)
|
-4,2
|
-4,2
|
-4,3
|
|
|
4,967
|
4,34
|
3,831
|
|
%
|
0,000025
|
0,001
|
0,011
|
|
ТРРЛ
%
|
0,04
|
0,041
|
0,051
|
|
ТРРЛ
при разнес. Приеме, %
|
0,031
|
0,032
|
0,041
|
По результатам таблицы построен график
зависимости T(Vmin)
от высоты опускания антенн. Из графика видно, что оптимальной высотой подвеса
будет высота в -10 метров от исходной, т. е. 30-10=20 м.
Рис.
Определение суммарной мощности шумов
на выходе канала РРЛ
здесь,
-
тепловые шумы, вносимые j-м интервалом;
- суммарные
переходные шумы, возникающие в различных элементах тракта из-за многолучевого
распространения;
- тепловые шумы,
создаваемые гетеродинными устройствами и модемами.
Рассчитаем тепловые шумы, вносимые j-м
интервалом:
- псофометрический
коэффициент;
- постоянная
Больцмана;
ШдБ
-
шумовой фактор;
- коэффициент
шума;
Т=290 К - температура;
- эквивалентная
шумовая температура;
; - полоса одного
телефонного канала;
- верхняя частота
в спектре МТС;
- эффективная
девиация частоты на канал;
Определим новое значение мощности сигнала на
входе приемника, ниже которого мощность будет опускаться не более 20% времени
каждый месяц.
- 20%-ное значение
вертикального градиента диэлектрической проницаемости.
- приращение
просвета за счёт рефракции. H
= - 5 м
По значению относительного просвета для данного
вертикального градиента диэлектрической проницаемости, по графику ([] с. )
определяем величину:
Рассчитаем суммарные переходные шумы,
возникающие в различных элементах тракта из-за многолучевого распространения:
, здесь
- суммарные шумы группового
и ВЧ трактов, где m = 2 - число модемов.
- суммарные шумы
ВЧ трактов, N = 3 - число
интервалов на линии.
Шумы, возникающие за счет несогласованности АФТ
По графику
(Методическое пособие, стр.25) находим: при Lф=12 м
Рассчитаем тепловые шумы, создаваемые
гетеродинными устройствами и модемами:
-
тепловые шумы гетеродина приёмопередатчика,
- тепловые шумы
модема.
Тогда общее значение:
Рассчитаем допустимую мощность шумов по формуле:
где L=108,6
Таким образом, получим
Шумы на линии превышают допустимое значение в
основном по причине тепловых шумов, устранить это явление можно несколько
увеличив просвет.
Тогда для H
= - 4
м
Общее значение:
Таким образом, получим
б) Для телевизионного ствола квадрат отношения
визометрического напряжения тепловых шумов к напряжению видеосигнала на выходе
телевизионного канала для 20% времени:
; - визометрический
коэффициент;
- верхняя частота
в спектре ТВ сигнала;
- девиация
частоты, соответствующая сигналу изображения;
- тепловые шумы за
счёт гетеродинного тракта;
- тепловые шумы
модема
Таким образом, получим:
Рассчитаем допустимую величину:
Так как длина рассчитываемой РРЛ меньше чем 833
км то в формулу подставляется l=833 км.
Имеем 
Структурная схема УРС на аппаратуре
ФМ 960/ ТВ 1100
Структурная схема УРС на аппаратуре ФМ на пять
стволов приведена на рис.10.
Для обеспечения надежной бесперебойной работы
РРЛ предусмотрено поучастковое резервирование СВЧ приемопередатчиков
широкополосных стволов, местное резервирование модемов этих стволов и
постанционное резервирование оборудования ствола СС. Кроме того, для
интервалов, где обычно наблюдаются частые и глубокие замирания, предусмотрен
разнесенный прием. Поэтому на РРС устанавливается следующая аппаратура
резервирования: устройство резервирования линии, устройство резервирования
ответвления, устройство резервирования модемов, устройство переключения при
разнесенном приеме.
Устройство резервирования линии (УРЛ)
обеспечивает автоматическую замену СВЧ приемопередатчиков рабочего ствола
приёмопередатчиками резервного ствола на всем участке резервирования.
Переключение производится по ПЧ на границах участка при ухудшении качества
связи по рабочему стволу. Критерием служит уровень ПС и уровень шума, которые
оцениваются с помощью контрольных демодуляторов.
Устройство резервирования ответвления (УРОЛ)
устанавливается на ПРС с выделением ТВ программ. Оно обеспечивает подключение
демодулятора ТВ к СШ приемнику резервного ствола при аварии в рабочем. В
качестве критерия переключения служит сигнал опознавание рабочего ствола,
образованный из двух сигналов звуковых частот, и уровень ПС в резервном стволе.
Устройство резервирования модемов (УРМ) служит для автоматической замены
неисправного комплекта модулятора (или демодулятора) резервным. Управляется
сигналами с выхода модулятора (или демодулятора) и обеспечивает одновременное
переключение входных и выходных цепей этого модулятора (демодулятора).
Выполняется в трех модификациях: а) схема замещения модулятора ТВ (УРМТВ); б)
схема замещения демодулятора ТВ (УРДТВ); в) схема замещения модема ТФ (УРМТФ).
Устройство переключения при разнесенном приеме осуществляет автоматический
выбор по ПЧ лучшего из двух сигналов и передачу этого сигнала на вход ПЧ
передатчика не ПРС или демодулятора на УРС. Выбор лучшего сигнала осуществляет
логическое устройство. Служебная связь и телеобслуживание организуются по
специальному стволу СС. По нему организуются следующие каналы: РСС, ПСС, ОАС,
ТО (ТУ,ТС,ОС) и дополнительные коммерческие телефонные каналы в спектре 60-198
кГц. Для организации ствола СС используется узкополосное устройство
направленной радиосвязи ФМ 24, обеспечивающее передачу 24 телефонных каналов с
помощью ЧМ СВЧ колебаний. Оно комплектуется СВЧ приемопередатчиками, частотными
модемами, блоками выделения (БВ), аппаратурой уплотнения ствола СС
(многоканальными приборами - МкП), а также НЧ устройствами служебного канала
(СК).
Схема организации служебной связи приведены на
рис.11.
РСС - районная СС;
ПСС - постанционная СС;
ТУ - телеуправление;
ТС - телесигнализация;
ОС - оповестительная
сигнализация;
ТО - телеобслуживание;
АС - аварийная сигнализация
Заключение
В данном курсовом проекте было проведен расчет
параметров радиорелейной линии прямой видимости на базе комплекса
унифицированной системы ФМ 960/ ТВ 1100. Для систем КУРС применяются
унифицированные устройства, работающие на ПЧ и частотах группового спектра:
можемы, оконечное оборудование, аппаратура резервирования и т. п. Высокая
степень унификации систем позволяет существенно снизить стоимость
проектирования, разработки и эксплуатации РРЛ, а также повысить надежность ее
работы. На основании произведенных расчетов можно утверждать, что все основные
показатели данной РРЛ, а также качественные показатели каналов РРЛ
соответствуют рекомендациям МККР, а если не соответствуют, то приведены пути и
способы решения данных проблем.
Список используемой литературы
.
Тимищенко М.Г. Проектирование радиорелейных линий. - М.: Связь, 1976.
.
Пректирование и расчет радиорелейных линий связи / Под ред. Е. В. Рыжкова. -
М.: Связь, 1975.
.
Системы связи и РРЛ / Под ред. Н. И. Калашникова. - М.: Связь, 1977.
.
Справочник по радиорелейной связи / Под ред. С. В. Бородича. - М.: Радио и
связь, 1981.
.
Описание радиорелейных систем РРЛ прямой видимости: Методическая разработка /
В.А.Корнеев. - Рязань: РРТИ, 1985.
.
Проектирование радиорелейных линий прямой видимости: Методическая разработка /
В. А. Корнеев, Э. К. Атаянц. - Рязань: РРТИ, 1985.