Гирляндная ГЭС

  • Вид работы:
    Контрольная работа
  • Предмет:
    Физика
  • Язык:
    Русский
    ,
    Формат файла:
    MS Word
    231,97 Кб
  • Опубликовано:
    2013-08-06
Вы можете узнать стоимость помощи в написании студенческой работы.
Помощь в написании работы, которую точно примут!

Гирляндная ГЭС

Содержание

Введение

Расчет энергии воды за год

Мощность одной гирлянды с поперечными турбинами

Подбор троса

Данные по расчету береговых опор

Количество основных материалов на одногирляндную ГЭС

Выбор генератора

Экономическая часть

Заключение

Список литературы

гирлянда трос генератор электростанция

Введение

В настоящее время в России и во многих других странах к категории микроГЭС относят гидроелектрические станции мощностью менее 100 кВт, при этом мощность одного гидроагрегата, как правило, до 50кВт. Граница в 100 кВт между малыми и микроГЭС определена условно. В дальнейшем по мере накопления проектных и конструкторских разработок она будет корректироваться.

Гидроэнергетический потенциал, используемый микроГЭС в РФ специально не определялся. Как показал проведенный в Гидропроекте анализ технических возможностей энергетического использования стока малых рек (равнинных рек мощностью до 1,7, и горных до 2 тыс. кВт), в основном именно эта часть гидроэнергетического потенциала технически может быть освоена микроГЭС.

МикроГЭС - один из наиболее ранних видов ГЭС в истории развития гидроэнергетики. Они были прообразом крупных гидроэлектростанций и зачастую выполняли роль моделей крупных гидротурбин. По мере интенсивного развития гидроэнергетики ее основные технические решения стали переноситься на малую гидроэнергетику. Созданная в 40-е годы номенклатура микрогидротурбин включала все основные типы, применявшиеся в гидроэнергетике, пропеллерные, радиально-осевые, ковшовые.

В СССР строительство микроГЭС в 50-е годы осуществлялось в крупных масштабах. Из построенных 6000 малых ГЭС большая часть относится именно к категории «микро». Они обеспечивали коммунально-бытовые и производственные потребности в электроэнергии сельских населенных пунктов, мелких промышленных объектов и прочих.


Расчет энергии воды за год

Начальные данные:

Ширина русла реки S=80 м,

Глубина h=10 м,

Уклон =8%=0.08,

Смоченный периметр χ=82.3 м,

Живое сечение F=468,27 м2,

Плотность воды ρ=1000 м3/кг,

Длина русла l1-2=100 м,-2= м,

%

Ускорение свободного падения g=9,81 м/с2

Находим площадь живого сечения реки. Для этого делаем несколько измерений глубины реки, на участках равномерно распределенных по ширине потока.

Таблица 1 - Измерение реки


1

2

3

4

5

6

7

8

9

10

11

12

Si

3.3

3.3

3.3

3.3

3.3

3.3

3.3

3.3

3.3

3.3

3.3

3.3

hi

0.5

1.3

2.6

4.5

5.2

6.3

7.3

8

8.7

9

9.2

9.6

Fi

1.65

8.58

14.85

17.16

20.79

24.09

26.4

28.71

29.7

30.36

31.68


13

14

15

16

17

18

19

20

21

22

23

24

Si

3.3

3.3

3.3

3.3

3.3

3.3

3.3

3.3

3.3

3.3

3.3

3.3

hi

10

10

9.6

9.3

9

8

7

6

4.2

2.7

1.3

0.6

Fi

33

33

31.68

30.69

29.7

26.4

23.1

19.8

13.86

8.91

4.29

1.98


В соответствии с таблицей 1 находим площадь живого сечения:

 м

Гидравлический радиус канала:

 м

Коэффициент Шези

 м/с

Средняя скорость потока

 м3/с

Расход жидкости

 м3/с

Энергия, которую имеет поток реки проходящий через живое сечение

кДж

Определим мощность потока

 МВт

Количество энергии переносимой потом за год

 Мвтч

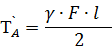
Мощность одной гирлянды с поперечными турбинами






Рисунок 2 - Оптимальный размер турбины:  - расстояние между турбинами,  - длина турбины, D - диаметр турбины.

Длина гирлянды:

где  - расстояние от берега до турбины.


Число турбин:


Принимаем что гирлянда состоит из 151-ти турбин.

Мощность одной гирлянды с поперечными турбинами:


где  - мощность, снимаемая одной гирляндной, кВт;и L - диаметр поперечной турбины и длина всей активной части гирлянды, м;

 - скорость течения потока, м/сек;

 - натечный кпд турбины, характеризующий качество профиля турбины  = 0,46.

Мощность по генератору:

,

где  - мощность на зажимах генератора, кВт;

 = 0,9 - 0,75 для тихоходных генераторов малой мощности.

 = 15,68 кВт;

Скорость вращения гирлянды:

, где n -скорость вращения, об/сек;

- коэффициент скорости вращения: при установившейся оптимальной нагрузке = 0,23.


Лобовое давление потока воды на гирлянду


Подбор троса

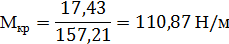
Крутящий момент:


Диаметр троса

По ГОСТ 3089-80 мм, вес 1 км = 20650 кг, цена 103,98 руб/м Сечение троса  

Удельное напряжение на тросе


Стрела провеса

Длина троса между опорами


Данные по расчету береговых опор

Подбор упорных подшипников береговых опор. На береговые опоры по тросу передается осевое усилие.


Осевое усилие:


Количество основных материалов на одногирляндную ГЭС

а) потребуется 72 листа, идущих на поперечные турбины, с запасом, 112,5 м2

б) количество троса(ориентировочно) гирляндного:=1,1

в) в качестве опор для гирлянды возьмем 2 стойки конические железобетонные центрифугированные шифр СК 22.1.1.1, длина 22,6 метров. Цена одной стойки 72570 руб.

Выбор генератора

Автономные асинхронные генераторы - трёхфазные машины, преобразующие механическую энергию первичного двигателя в электрическую энергию переменного тока. Их несомненным достоинством перед другими видами генераторов являются отсутствие коллекторно-щеточного механизма и, как следствие этого, большая долговечность и надежность. Если отключенный от сети асинхронный двигатель привести во вращение от какого-либо первичного двигателя, то в соответствии с принципом обратимости электрических машин при достижении синхронной частоты вращения, на зажимах статорной обмотки под действием остаточного магнитного поля образуется некоторая ЭДС. Если теперь к зажимам статорной обмотки подключить батарею конденсаторов С, то в обмотках статора потечёт опережающий ёмкостный ток, являющийся в данном случае намагничивающим. Ёмкость батареи С должна превышать некоторое критическое значение С0, зависящее от параметров автономного асинхронного генератора: только в этом случае происходит самовозбуждение генератора и на обмотках статора устанавливается трёхфазная симметричная система напряжений. Значение напряжения зависит, в конечном счёте, от характеристики машины и ёмкости конденсаторов. Таким образом, асинхронный короткозамкнутый электродвигатель может быть превращен в асинхронный генератор.

Выбираем мощность генератора чуть больше рассчитанной.

Трехфазный асинхронный электродвигатель:

Тип - AИР 180М4

Цена - 28412 руб.

Мощность - 18,5 кВт 

Частота вращения - 1500 об/мин

КПД при нагрузке - 90,5%

Коэффициент мощности при нагрузки, cosφ - 0,84

Ток при 380 В - 34,45 А

Мпуск/Мном - 2

Ммакс/Мном - 2,8

Скорость вращения гирлянды равна 1502 об/мин. По этому используем мультипликатора близкому к номинальной частоте вращения выбранного двигателя не обязательно

Рассчитываем емкость конденсаторной батареи:

,

,

Выбираем конденсаторы ВС375 75 мФ 370V номинальным напряжением 380 В, емкостью по 75 мФ, ±5%, цена 148 руб/шт.

Электрическая часть:

Два двигателя:

Маркировка: АИС 132SB-2

Модность: 7,5 кВт

Обороты в минуту: 2913 обр/мин

Номинальный ток: 13,9 А

Цена: 7359 рублей

Степень защиты: IP55

Напряжение: 220/380 В= 0,87

Кабель: 4 мм2 от генератора до распаячной коробки ~20 м ВВГнг 4х4 (66 руб/м)

,5 мм2 от коробки до автоматов ~ 15 м; ВВГнг 4х1,5 (24 руб/м)

,5 мм2 от авторматов на двигатели 2*10 м; ВВГнг 4х1,5 (24 руб/м)

Освещение и розетки: одна фаза освещение цеха, вторая освещение склада, третья розетки 200м; ПВС 2х1,5 (14 руб/м)

Автоматы:

на двигатели: автоматы с Iкз=7*Iн Iнр=1,25Iн Iн=16 А (марка АП50БЗМТ)-2шт (472 руб/шт)

на генераторе: Iкз=7*Iн Iнр=1,25Iн Iн=40 А (марка АП50БЗМТ)-1шт (707 руб/шт)

на освещение и розетки: 2*ВА47-29 1п Iн=6 А тип В(40 руб/шт) ;1*ВА-47-29 1п Iн=16 А тип В(47 руб/шт); 1* ВА47-29 3п Iн=16 А тип С(140 руб/шт)

Магнитные пускатели : ПМЕ-222 Iн=25 А (980 руб/шт)-2шт

Посты управления : ПКЕ-212-2У3(двухполюсные) (126 руб/шт)-2шт

Лампы накаливания общего назначения: «Лисма» (10-20 руб/шт)-13шт

Розетки: Розетка с/п 1-м с з/к (32 руб/шт)-2шт

Светильники: тип НПП-03-100-020 IP 54 (154,70 руб/шт)-13шт

Кабель контрольный: КВВГ 4х1.5 2*15м

Рисунок 3 - Силовая схема

Рисунок 4 - схема управления

Экономическая часть

В экономической части нужно рассчитать стоимость всех составных элементов микроГЭС и, исходя из этого рассчитать срок, за который окупится строительство станции.

.Стоимость гирлянды:

лист(1250х1250 мм2) цена за тону 12000 рублей, 1 лист 25 кг общий вес 1800 кг, 21600 рублей на покупку стальных листов для производства 151 турбины

Длинна троса L=208 м, цена за метр 104 руб


Стоимость опор 72570 руб/шт


Электрическая часть 27463 рубля

Общая стоимость гирлянды с опорами:


Стоимость затрат на аренду оборудования и спецтехники:

Аренда болгарки Hammer 1200 Вт для распиливания железных листов


Аренда пресса Colmar B5000HD


Аренда копровой установки HITACHI KH-150-3 для забивания опор


Аренда автокрана 130 тонн LIEBHERR LTM-1130, стрела 60 м       

101600 руб/смена,

Общая стоимость аренды


Общая стоимость материалов и установки:


Лесопилка производит за день производит 20 кубов досок цена на один куб в среднем составляет 6000 рублей

Потраченные деньги на производство гирляндной ГЭС и лесопилки восполнятся через 2 месяца



Заключение

В перспективе сооружении микроГЭС возможно для энергоснабжения изолированных от энергосистемы (или требующих резервирования) потребителей, число которых в стране еще велико. Например микроГЭС мощностью 100 кВт может обеспечить электроэнергией сельский поселок с населением 200 человек или животноводческий комплекс на 300 голов крупного рогатого скота. МикроГЭС могут не только эсточником электроэнергии, но и прямым приводом различных машин. Самое широкое применение микроГЭС могут найти для обеспечения электроэнергией стационарных сельских потребителей и объектов отгонного животноводства, горнодобывающих и геологоразведочных объектов, станций и постов гидрометслужбы, туристических и других рекреационных комплексов, лесозаготовительных и охотничьих хозяйств, предприятий по производству и переработке рыбы, военных объектов и многих других.

В настоящее время для энергоснабжения мелких рассредоточенных потребителей в основном применяются дизельные и бензоэлектрические агрегаты, выпускаемые отечественной промышленностью. Наряду с важными преимуществами по транспортабельности, автоматическому регулированию, простоте пуска и остановки агрегаты имеют существенные недостатки - использование дефицитного дизельного и особенно бензинового топлива и масла, загрязнение окружающей природный среды выхлопными газами и топливом, необходимость создания запасов топлива и высокая пожарная опасность, сложность доставки топлива на большие расстояния, необходимость постоянного обслуживания, высокий уровень шума.

Замена и дополнение дизельных и бензоэлектрических агрегатов там, где это возможно, микроГЭС может существенно улучшить энергоснабжение и повысить эффективность множества мелких потребителей.

Сооружение микроГЭС возможно при размещении их в составе различных гидротехничских объектов для попутного получения электроэнергии (на водосбросах, в системах водоснабжения, на каналах).

Для применения микроГЭС особенно эффективны со значительным преобладанием энергопотребления в летний период над зимним, поскольку множество малых рек в зимний период практически не имеет стока, а сезонное его регулирование существенно снижает экономическую эффективность микроГЭС.

В некоторых случаях целесообразно применение мироГЭС в комплексе с ветроэнегоустановкой и другими энергоисточниками. Создание таких энергокомплеков является одним из перспективных направлений разработок.

Применительно к различным природным условиям можно выделить два типа микроГЭС: реализующих потенциальную энергию и реализующих кинетическую энергию водотока.

Примерами первого типа являются микроГЭС с традиционным оборудованием, русловые либо деривационные, а так же разрабатываемые в последние годы так называемые рукавные ГЭС (разновидность деривационных).

МикроГЭС второго типа устанавливаются непосредственно в водотоке. Примерами их являются разработанные и применявшиеся в РФ гирляндные ГЭС конструкции Б.С. Блинова и др., триплескная вертикальная Ю.М. Новикова, штанговая плоскопараллельная и плоскоподъемная М.И. Логинова, Ю.М. Новикова, торцевая мембранная, роторного типа и капсульные гидроагрегаты, применяемые за рубжом.

В 50-е годы в СССР серийно производились гидроагрегаты для микроГЭС на напоры от 1,5 м, расход воды от 0,49 м3/с при минимальной мощности гидротурбины 6,7 кВт. В настоящее время в России вновь начато производство оборудования для микроГЭС.

Список литературы

Блинов Б. С. Гирляндная ГЭС. М. - Л., Госэнергоиздат, 1963. 64 стр.

Правила <http://magazin-radiodetaley.ru> устройства электроустановок. - Х.: Изд-во «Форт», 2099. - 704 с.

Похожие работы на - Гирляндная ГЭС

 

Не нашли материал для своей работы?
Поможем написать уникальную работу
Без плагиата!
Без нейросетей!