Волна H01 в круглом волноводе. Применение ее в дальней связи

  • Вид работы:
    Курсовая работа (т)
  • Предмет:
    Физика
  • Язык:
    Русский
    ,
    Формат файла:
    MS Word
    86,94 Кб
  • Опубликовано:
    2013-06-25
Вы можете узнать стоимость помощи в написании студенческой работы.
Помощь в написании работы, которую точно примут!

Волна H01 в круглом волноводе. Применение ее в дальней связи













Курсовая работа

по дисциплине «Электромагнитные поля и волны» на тему:

«Волна H01 в круглом волноводе. Применение ее в дальней связи».

Содержание

Введение

.Круглые волноводы

.1 Круглые волноводы с волной H0i (i = 1,2,…,n)

.2 Круглые волноводы с волной H01

2. Возможности применения волны H01 круглого волновода для дальней связи.

Заключение

Литература

Введение

Волновод - закрытая направляющая система, в которой распространение энергии ограничивается в поперечном направлении. Это однопроводная система, следовательно, в ней могут распространяться поперечные электрические (TE,H) и поперечные магнитные (TH,E) волны, а поперечные электромагнитные волны распространяться не могут. В волноводах преобладают токи смещения, токи проводимости незначительны, они протекают по проводящим стенкам волновода и замыкаются токами смещения вследствие непрерывности линий тока. Наиболее распространенными являются прямоугольные и круглые волноводы. Особенность волновода, как направляющей системы, состоит в том, что в нем могут распространяться волны с длиной волны не превышающей критическую.

.       
Круглые волноводы

В круглом волноводе электромагнитное поле представляется в виде совокупности поперечно- электрических (Н - волны) и поперечно - магнитных (Е - волны) различных типов.

Для классификации волн в круглых волноводах к обозначению волны прибавляют две цифры в виде индексов. Первая цифра показывает число стоячих полуволн вдоль полуокружности, а вторая - соответствует числу стоячих полуволн вдоль радиуса. Вдоль волновода всегда наблюдается некоторое затухание волны, т. е. ее энергия постепенно уменьшается. Это объясняется тем, что на внутренней поверхности стенок волновода создаются токи, которые расходуют часть своей энергии на нагрев металла. Потери энергии отсутствовали бы только в случае стенок из идеального проводника.

В волноводах могут наблюдаться бегущие, стоячие и смешанные волны в зависимости от наличия большего или меньшего отражения на конце волновода.

Решение задачи распространения волн в волноводе круглого сечения с физической точки зрения не отличается от случая прямоугольного волновода.

Основное математическое отличие заключается в выборе цилиндрической системы координат, изображенной на рис.1, в которой наиболее просто записываются граничные условия - равенство нулю тангенциальной составляющей электрического поля на поверхности идеально проводящего цилиндра.


Таким образом, граничные условия могут быть в рассматриваемом случае записаны в виде

Еφ = 0 при r = R (1)

Еz = 0 при r = R, (2)

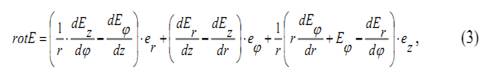
где Eφ и Еz - азимутальная и осевая составляющие электрического поля в волноводе и R - радиус волновода. Будем полагать волновод заполненным однородным изотропным диэлектриком без потерь. Для нахождения уравнений волн типов ТМ и ТЕ воспользуемся методом вычисления поперечных составляющих через продольные составляющие поля Еz и Hz. Векторная операция ротора в цилиндрической системе координат имеет вид

волновод связь дальний сечение


где er, eφ, ez − единичные векторы (орты) по координатам r, φ, z.

.1.    
Круглые волноводы с волной H0i (i=1,2,…,n)

Круглые волноводы с волной H0i (i = 1,2,…,n) способны передавать мощности, вырабатываемые крупными электростанциями. Как известно, при любой передаче электромагнитной энергии ее поток распространяется в пространстве, в частности, по внутренней полости волновода. Если напряженность электрического поля превышает некоторую максимальную величину, то в воздухе возникает разряд. Энергоемкость волноводов увеличивается с ростом площади поперечного сечения. С помощью больших труб принципиально возможно передавать миллионы киловатт, причем с учетом малого затухания волны H01 можно обеспечить дальность передачи до нескольких сотен километров.

С понижением частоты к критическому значению затухание возрастает, что объясняется увеличением числа отражений волн от стенок. Когда частота близка к критической, затухание становится очень большим, а критическая волна вообще не проходит вдоль волновода. Но и при значительном повышении частоты затухание также возрастает за счет того, что толщина поверхностного слоя, в котором проходят токи, уменьшается, а его сопротивление увеличивается. Отсюда следует, что на некоторой средней наивыгоднейшей частоте затухание имеет наименьшую величину.

Волны “Н” типа в круглом волноводе:

 

 

Граничные условия в случае волны типа Н:

 

 

Это требование выполняется, когда значение аргумента ksR равно корню производной функции Бесселя.

 

 

Каждому значению n и m соответствует своя структура, своя кр.

 

крmax при n = 1 , m = 11 = 1, 84 кр = 3,41 R

Волна Н11 - является основной волной круглого волновода. Волну Н11 можно получить путем деформации волны Н10 в прямоугольном волноводе.

.2 Круглые волноводы с волной H01

Н01 - симметричная магнитная волна соответствует значению корня функции Бесселя

Структура поля в плоскости поперечного сечения:

Структура поля в плоскости продольного сечения:


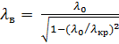
Критическая длина волны 𝛌кр , м:

𝛌кр = 1.64R

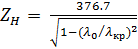
Длина волны в волноводе 𝛌в , м:

 

Характеристическое сопротивление ZH , Ом:

 

Коэффициент затухания  , Нп/м:

 

Предельная мощность Pпр , кВт:

 

.       
Возможности применения волны H01 круглого волновода для дальней связи

У волны Н01 имеет место аномальные поведение и затухание в зависимости от частоты.


Для специалистов связи, это большое преимущество. С увеличением частоты расширяется возможность увеличения числа каналов. Увеличивается дальность связи за счет уменьшения потерь.

Почему происходит уменьшение затухания в зависимости от частоты? Затухание связано с токами в стенках волновода.


У стенок волновода находится продольная составляющая Нz.

Как токи направлены? Линии тока всегда перпендикулярны Нz, значит, есть только кольцевые токи в стенках волновода. Источником этих токов являются продольные составляющие магнитного поля Нz.

Для всех волн характерно, что с увеличением частоты продольные составляющие полей Нz и Ez убывают.

 

Пример:

D = 8 см; f0 = 30 Ггц; 𝛌 = 0.68 дБ/км

При усилении на 90 дБ длина усилительного участка Lус = 130 км.0 = 50 Ггц для тех же данных = 0, 28 дБ/км.ус = 320 км

Основная трудность реализации идеи дальней связи заключается в том, что Н01 является высшим типом. При D = 6 см и 𝛌0 = 6мм существует одновременно 300 типов волн.

Это неприятный момент. В реальных условиях происходит взаимодействие волн. Часть энергии волны Н01 передается волнами других типов. Высшие типы волн быстро затухают, значит и часть энергии волны Н01 тоже затухает.

Вопрос: Как бороться с таким явлением ?

.        В волноводе можно сделать пленку, которая оказывает сильное влияние на высшие типы и не оказывает на Н01.

К сверхпроводящим плёнкам на основе Y-Ba-Cu-O, используемым в сверхпроводящих резонаторах, предъявляются жёсткие требования : чистота, однородность, плотность, стабильность, микропрофиль поверхности. Кроме того, для них не должна иметь места десорбция кислорода при нагреве в вакууме. Плёнка не должна иметь дефектов на границах зёрен, необходима хорошая адгезия плёнки к поверхности медной или другой матрицы. Для нанесения качественных покрытий на рабочую поверхность медной оболочки сверхпроводящей СВЧ - структуры необходимо решить задачу обеспечения стабильности плёнки Y-Ba-Cu-O толщиной 1-2 мкм. Проблема заключается в оптимальном сопряжении кристаллографической структуры Y-Ba-Cu-O и меди.

Вероятность такого сопряжения возрастает, если параметр решетки меди увеличить от 3,61 Å до возможно близкого к параметрам решётки Y-Ba-Cu-O, у которой параметры решётки соответственно равны: a=3.82 и b=3,89.

Металлические подложки, на которые наносятся плёнки высокотемпературных сверхпроводников для использования в линиях передачи, должны иметь высокую теплопроводность и температуру плавления, низкое плавление паров при температуре отжига, быть не магнитными, иметь температурные коэффициенты расширения, близкие к высокотемпературным сверхпроводникам.

Плёнки из высокотемпературной керамики с самыми лучшими параметрами можно получить методом аксиального магнетронного распыления, разработанным в институте физики высоких энергий. Плёнки Y-Ba-Cu-O , нанесённые на рабочую поверхность гальванической меди с использованием твёрдого раствора Al-Cu, имели лучшую адгезию, меньшую шероховатость поверхности и лучшую равномерность толщины покрытия на поверхностях сложной геометрии.

Как показали исследования, таким методом возможно получить достаточно равномерное покрытие толщиной порядка 1,5 мкм. При этом поверхностное сопротивление этих плёнок на частоте 1 ГГц равно 10-6 Ом .

.        В волноводе кольцевые токи. Можно сделать волновод из колец.


Для кольцевых токов Н01 это не страшно, для других типов волн будет разрыв продольных токов. Наборный волновод сделать сложно, поэтому делают спиральный волновод. Созданы опытные волноводы.

Полученные в последнее время результаты по высокотемпературной сверхпроводимости на сверхвысоких частотах и эффективные методы генерации СВЧ - колебаний и их преобразование в постоянный ток, вселяет надежду на создание линий передачи электроэнергии по волноводам. Дальнейшие успехи высокотемпературной сверхпроводимости могут создать реальную основу для практического осуществления таких линий передачи. Такие линии могут стать перспективными, если будут созданы материалы, переходящие в сверхпроводящее состояние при значительно более высоких температурах. Получение стабильных высокотемпературных сверхпроводников при комнатной температуре позволит практически реализовать дешёвые сверхпроводящие СВЧ - линии передачи без криостатов.

Особенно трудной задачей является конструирование возбудителей волны Н01 в круглом волноводе. Здесь главное требование состоит в обеспечении высокой степени чистоты возбуждения волны Н01 при глубоком подавлении целого ряда низших и высших типов волн, способных к распространению в круглом волноводе большого диаметра.

Рис.2. Плавный переход для возбуждения волны Н01 в круглом волноводе

На рис.2 показана одна из возможных конструкций перехода от прямоугольного волновода с волной Н10 к круглому волноводу с волной Н01 основанная на принципе плавной деформации формы поперечного сечения волновода и структуры электрического поля. Волноводный Е - тройник и две продольные скрутки на углы в 90° в противоположных направлениях образуют систему двух прямоугольных волноводов, соединенных узкими стенками и содержащих поля равной амплитуды с противоположными фазами. Затем эта система плавно преобразуется к двум секторным волноводам с общим ребром. Постепенное увеличение угла раскрыва секторных волноводов образует круглый волновод с продольной металлической перегородкой. Обрыв этой перегородки не изменяет структуры электромагнитного поля, и на выходе перехода получается круглый волновод с волной H01. Для обеспечения надлежащей чистоты возбуждения волны H01 этот переход должен иметь достаточно большую длину.

Спиральный волновод периодической структуры (рис. 3) представляет собой спираль 1 из медной изолированной проволоки диаметром 0,5 мм, покрытую диэлектриком 2 и заключенную в экран 3 и наружную оболочку 4. Внутренний диаметр волновода 6 см. В качестве диэлектрической оболочки чаще всего применяется стеклолента, пропитанная эпоксидной смолой.

Рис. 3. Конфигурация спирального волновода

Достоинством спиральных волноводов является фильтрация паразитных волн, возникающих в местах неоднородности волноводного тракта при прохождении волны Н01. Это объясняется следующим образом. Спиральный волновод имеет периодические разрывы по всей длине и поэтому допускает лишь передачу таких волн, в структуре которых отсутствует продольная составляющая тока в стенках волновода. Такой волной является поперечно-электрическая волна Н01. Наличие разрывов по длине в гибких волноводах не является помехой эффективному распространению волны Н01. Волноводные секции изготавливаются длиной 2,5 и 5 м.

Подводя итоги, можно отметить следующие достоинства волноводов: возможность передачи весьма высоких частот и получение мощных пучков каналов связи; полная экранировка поля; отсутствие потерь в диэлектрике и на излучение; большая пропускная мощность.

К недостаткам волноводов относятся: наличие критической частоты, в связи, с чем волновод не пропускает частот, длины которых больше диаметра волновода, а также громоздкость конструкции и малые строительные длины.

Заключение

Круглые волноводы на волне H0i (i = 1,2,…,n) используются для создания высокодобротных резонаторов, узкополосных фильтров и резонансных частотомеров с большой разрешающей способностью при небольшой полосе перестройки. Волна H01 в круглом волноводе имеет продольную составляющую электрического поля, сконцентрированную вдоль оси волновода. Это свойство позволяет создавать на основе круглых волноводов колебательные системы электровакуумных приборов с эффективным взаимодействием электронного потока с электромагнитной волной.

Список литературы

1.      Сазонов Д.М., Гридин А.Н., Мишустин Б.А.. Устройства СВЧ.- М: Высшая школа, 1981

.        С.А. Баранов, М.П. Наймушин. Исследование полоснопропускающих волноводных фильтров СВЧ и методов узкополосного согласования в волноводных трактах. Свердловск 1987

.        Гроднев И.И., Дмитраченко В.М., Исаенко Ю.М., Козелев А.И., Малин В.В. Волноводы дальней связи. Под редакцией Керженцевой Н. П. -М.: Связь, 1972.

.        Казначеев Ю.И. Широкополосная дальняя связь по волноводам. -М.: Изд-во АН СССР, 1959.

.        Дмитраченко В.М. Волноводная связь. В сб. “80 лет радио”. -М.: Радио и связь, 1975.

Похожие работы на - Волна H01 в круглом волноводе. Применение ее в дальней связи

 

Не нашли материал для своей работы?
Поможем написать уникальную работу
Без плагиата!
Без нейросетей!