Технология и техника водоснабжения
Реферат
Технология
и техника водоснабжения
1. Введение
Водоснабжение
- деятельность по обеспечению потребителей водой, связанная с выбором источника
водоснабжения, размещением, проектированием, строительством, реконструкцией и
эксплуатацией систем водоснабжения, забором, подготовкой, хранением и подачей
воды водопотребителям;
Источник водоснабжения
- водный объект, который используется или предназначен для забора воды в
систему водоснабжения с подготовкой воды или без неё;
Потребители воды разнообразны
по своему составу, это касается в том числе и железнодорожный транспорт. Воду
используют практически все службы железнодорожного хозяйства, а также
многочисленные пристанционные населенные пункты. Водоснабжение на
железнодорожном транспорте связано непосредственно с перевозочным процессом.
Вода расходуется на заправку пассажирских вагонов, обмывку и промывку
подвижного состава. На промывочно-пропарочных станциях подвергают обработке
горячей или холодной водой с пропаркой и промывкой до 70% всех порожних
цистерн, предназначенных для перевозки нефтепродуктов и ряда других наливных
грузов. При этом расход воды на таких станциях колеблется в среднем от 200 до
900 м3/сут.
На пунктах подготовки грузовых
вагонов вода расходуется на промывку вагонов после перевозки штучных и
навалочных грузов (кирпича, цемента, зерна, минеральных удобрений и др.). На
дезпромстанциях и дезпромпунктах водой промывают грузовые вагоны после
перевозки в них скота, птиц, мяса и сырья животного происхождения.
В локомотивных депо вода
расходуется на обмывку, заправку и обслуживание тепловозов и электровозов.
Суточное водопотребление в таких депо колеблется от 30 до 300 м3/сут.
В вагонных депо вода используется на обслуживание, обмывку и промывку вагонов,
цистерн и их узлов. Водой заправляют пассажирские вагоны и рефрижераторные
секции. Расход воды в вагонных депо достигает 300 м3/сут.
Основными потребителями воды в
путевом хозяйстве являются шпалопропиточные и щебеночные заводы,
рельсосварочные поезда, мастерские и звеносборочные базы. Среднесуточное
водопотребление на одном таком предприятии колеблется от 100 до 250 м3/сут.
Для снабжения льдом
изотермических вагонов на сети железных дорог действуют льдозаводы и
льдопункты, на которых для приготовления 1 м3 льда расходуется около
1,5 м3 воды.
Во многих депо, на
железнодорожных станциях и заводах имеются компрессорные установки, которые
охлаждаются водопроводной водой. Продолжительность работы одного компрессора
колеблется от 6 до,18 ч. в сутки с расходом воды на охлаждение 0,1-0,2 м3/ч.
Более 45% всей используемой
воды на железнодорожном транспорте приходится на хозяйственно-питьевое
водоснабжение пристанционных поселков.
В железнодорожных водопроводах
обычно применяют объединенную систему водоснабжения с подачей из нее воды всем
потребителям. При этом водопроводные сооружения должны пропускать одновременно
расход воды для удовлетворения хозяйственно-питьевых производственных и
противопожарных нужд. При объединенном водопроводе расход воды на пожаротушение
должен быть обеспечен с учетом наибольшего потребления на другие нужды
железнодорожной станции.
2. Системы и схемы
водоснабжения при использовании поверхностных и подземных источников
водоснабжения
Под системой водоснабжения населенного места
понимают комплекс инженерных сооружений, расположенных в определенном
технологическом порядке по ходу подачи (течению) воды и предназначенных для
обеспечения потребителей необходимым количеством воды требуемого качества.
В общем случае система водоснабжения населенного
места включает:
· сооружения для забора воды из источника
(водозаборы, водоприемники);
· насосную станцию первого подъема для подачи
воды в водопроводную сеть;
·сооружения обработки воды (водоочистные
сооружения);
·резервуары для хранения запасов воды;
· насосную станцию второго подъема для подачи
воды в водопроводную сеть;
·сооружения для регулирования и поддержания
требуемых расходов и напоров в водопроводной сети (водонапорная башня
насосно-пневматическая установка, нагорный резервуар);
·водоводы, наружную и внутреннюю водопроводные
сети для транспортировки и распределения воды потребителям.
Системы водоснабжения населенных пунктов
базируются, как правило, на оборудованных водозаборных сооружениях (скважинах,
каптированных родниках, кяризах, а иногда и колодцах) и могут быть классифицированы
по ряду признаков.
По виду обслуживаемого объекта
системы водоснабжения населенных пунктов бывают коммунального, промышленного,
сельскохозяйственного, железнодорожного, аэродромного
водоснабжения и полевого водообеспечения.
По целевому назначению
различают:
хозяйственно-питьевые
(хозяйственные) системы водоснабжения, подающие воду для хозяйственных,
санитарно-гигиенических и питьевых нужд;
производственные
(технические) системы водоснабжения для обеспечения технологических процессов
производств, работы агрегатов и оборудования;
противопожарные
системы водоснабжения для обеспечения тушения возникающих пожаров.
В зависимости от размеров населенных
мест, а также количества потребляемой ими воды,
системы водоснабжения могут быть объединенными или раздельными.
В населенных пунктах, где расходы воды невелики,
по экономическим соображениям, как правило, устраиваются объединенные системы
хозяйственного, технического и противопожарного водоснабжения.
Взаимное расположение и увязка водопроводных
сооружений образуют схему системы водоснабжения или водопровода. Существенное
влияние на выбор схемы системы водоснабжения оказывает вид источника воды.
По этому признаку системы водоснабжения
населенных пунктов подразделяются на системы с поверхностным и подземным
источником.
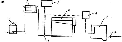
В системе водоснабжения, базирующейся на
поверхностном источнике (Рис. 1), первым по ходу движения воды устройством
является водозабор (водоприемник), который обеспечивает надежный забор из
источника требуемого количества воды.
Далее вода насосами станции первого подъема
подается на очистные сооружения. На очистных сооружениях осуществляется
обработка воды с доведением ее до требуемого качества. Из очистных сооружений
вода, как правило, самотеком поступает в резервуары чистой воды, которые обеспечивают
ее хранение, а также позволяют регулировать режимы ее дальнейшего продвижения
по сети и забор насосной станцией второго подъема. Часто в этих же резервуарах
хранятся и противопожарные запасы воды. Насосная станция второго подъема
забирает воду из резервуаров и подает ее по водопроводной сети к потребителям и
в водонапорную башню (пневматическую установку).
Водонапорная башня (нагорный резервуар,
пневматическая установка) служит для регулирования работы насосной станции
второго подъема с учетом неравномерности разбора воды потребителями.
Водонапорная башня устраивается в случае необходимости иметь значительные
регулирующие запасы воды и при отсутствии больших возвышений на местности. При
наличии на местности в пределах территории военного городка возвышенности с
отметкой больше, чем требуемый напор в сети, целесообразно вместо водонапорной
башни устраивать нагорный резервуар. Если требуется небольшой регулирующий
запас воды (до 5...7 м3), то для регулирования работы насосной
станции второго подъема используется пневматическая установка.
Рис.1. Схема системы водоснабжения с
поверхностным источником воды
- источник воды; 2 - водоприемник; 3 - насосная
станция первого подъема; 4 - очистные сооружения; 5 - резервуары чистой воды; 6
- насосная станция второго подъема; 7 - водонапорная башня
Транспортирование воды от насосной станции
второго подъема до водопроводной сети объекта и водонапорной башни
осуществляется по водопроводу. Водопровод по условиям надежности прокладывается
не менее чем в две линии (водоводы). На водоводе большой протяженности могут
устраиваться перемычки с камерами переключения, обеспечивающие до 70%
расчетного количества воды на хозяйственно-питьевые нужды при отключении
поврежденного участка на одном из водоводов. Расстояние между линиями водоводов
не должно допускать размыва параллельной линии при аварии, а также повреждения
обеих линий одним взрывом расчетного боеприпаса.
Основными недостатками системы водоснабжения с
поверхностным источником воды являются:
повышенная строительная и эксплуатационная
стоимость ввиду большого количества инженерных сооружений;
уязвимость при воздействии средств разрушения;
необходимость проведения мероприятий по защите
отдельных элементов;
возможность заражения источника воды при
разрушении химически опасных объектов.
Этих недостатков, как правило, лишена система
водоснабжения населенного пункта, базирующаяся на подземном источнике (Рис. 2).
Схема водоснабжения с подземным источником воды значительно проще и, если качество
воды в источнике отвечает предъявляемым требованиям, может не включать очистных
сооружений.
Рис. 2. Схема системы водоснабжения с подземным
источником воды
- водозаборная скважина; 2 - насосная станция
первого подъема; 3 - резервуары чистой воды; 4 - насосная станция второго
подъема; 5 - водонапорная башня
В эту схему входят: подземный источник воды
(скважина, шахтный колодец и т.п.), насосная станция первого подъема,
резервуары для запасов воды, насосная станция второго подъема, водонапорная
башня (нагорный резервуар, пневматическая установка), водоводы и водопроводная
сеть.
Насосы первого и второго подъемов могут
размещаться в разных или в одном помещении (совмещенная насосная станция). В
отдельных случаях в небольших военных городках схема водопровода с подземным
источником воды может быть еще более упрощена. Вода из источника может
подаваться непосредственно в водонапорную башню (нагорный резервуар,
пневматическую установку) и через разводящую водопроводную сеть - к
потребителям. Если качество подземной воды не удовлетворяет требованиям
потребителей, схема системы водоснабжения дополняется устройством очистных
сооружений или установок для обработки воды.
По сравнению с водопроводом, базирующимся на
поверхностном источнике воды, система водоснабжения с подземным источником
обладает рядом достоинств, а именно:
повышенной надежностью, ввиду рассредоточения и,
соответственно, большей защищенности водозаборных сооружений (скважин, шахтных
колодцев и т.п.);
возможностью дублирования основного источника
воды, так как водозаборные скважины или группы скважин могут быть устроены с
эксплуатацией различных водоносных пластов;
меньшей вероятностью заражения источника воды в
условиях разрушения потенциально-опасных объектов;
меньшей строительной и эксплуатационной
стоимостью (при отсутствии сооружений для обработки воды);
возможностью сокращения строительных площадей
путем объединения в одном здании нескольких элементов, например, скважины и
насосной станции второго подъема.
В схеме системы водоснабжения с подземным
источником воды можно обойтись и без водонапорной башни, в этом случае подача
воды в водопроводную сеть будет регулироваться путем включения в работу
различного количества насосов насосной станции второго подъема.
В отдельных случаях могут устраиваться смешанные
системы с поверхностными и подземными источниками воды. При этом работа системы
с подземным источником, как правило, предусматривается только на военное время.
По способу подачи воды
системы водоснабжения могут быть напорными и самотечными. Все
выше рассмотренные системы являются напорными: вода в них подается насосами с
необходимым напором.
Если источник воды находится выше объекта
(потребителя) с превышением, достаточным для создания необходимого напора в водопроводной
сети, применяется самотечная схема водоснабжения (рис.3).
Рис. 3. Схема самотечного водопровода
- источник воды (родник); 2 - капотажное
сооружение; 3 - нагорный (разгрузочный) резервуар; 4 - водопроводная сеть
Из источника воды (родника) вода подается в
водопроводную сеть через нагорный резервуар, который выполняет одновременно
функции резервуара чистой воды и регулирующей емкости. Здесь же, при
необходимости, может проводиться хлорирование воды. Если напор в сети слишком
большой, то его снижают при помощи разгрузочных колодцев.
Достоинствами схемы самотечного водопровода
являются простота устройства и, в связи с этим, невысокая строительная
стоимость, а также простота и дешевизна эксплуатации.
3. Основные элементы систем
водоснабжения и их назначение
Водопроводные насосные станции
представляют собой сооружения с комплексом насосных агрегатов, аппаратуры для
управления насосными агрегатами и приборов контроля за их работой,
трубопроводов с запорно-регулирующей арматурой, устройств системы
энергоснабжения. Они классифицируются:
по месту в схеме водопровода - насосные станции первого
и второго подъемов;
по назначению - насосные станции хозяйственно-питьевого,
технического (производственного, технологического) и противопожарного
водоснабжения;
по условиям подъема вода из источника и
расположению оборудования относительно поверхности земли - наземные, заглубленные
и глубокие (шахтного типа);
по условиям защиты - незащищенные и защищенные.
Как отмечалось выше, насосные станции первого
подъема устраиваются для подачи воды из водозаборов на очистные сооружения, а
если вода не требует обработки - в резервуары чистой воды или непосредственно в
водопроводную сеть.
Насосные станции второго подъема подают воду из
резервуаров чистой воды потребителям. Их производительность и режим работы
зависит от суточного расхода воды потребителями и графика водопотребления.
Водоочистные сооружения
представляют собой комплекс расположенных в определенной технологической
последовательности отстойников, осветлителей (фильтров) и других устройств
(установок) на которых осуществляется улучшение качественных показателей
природной воды. Состав и компоновка водоочистных сооружений, а также их
конструктивное исполнение могут быть различными.
Обработка хозяйственно-питьевой воды, не
содержащей отравляющих и радиоактивных веществ, производится с помощью
устройств или сооружений (установок), в которых осуществляются технологические
процессы ее осветления и обеззараживания. Комплекс этих процессов и их
взаимодействие представляет собой технологическую схему обработки воды.
По числу этапов осветления технологические схемы могут быть одноступенчатыми
и двухступенчатыми. Сами же сооружения для обработки воды бывают
самотечными (открытыми) или напорными.
Самотечные (открытые) технологические схемы
(Рис. 4) работают при атмосферном давлении. В них вода насосами первого подъема
подается в первое по ходу движения воды устройство, а дальше двигается
самотеком вследствие разности уровней в них.
Рис. 4. Самотечная технологическая схема
а - одноступенчатая; б - двухступенчатая
- осветлитель; 2 - установка обеззараживания
воды; 3 - резервуар чистой воды; 4 - насос (насосная станция) второго подъема;
5 - смеситель; 6 - фильтр
Взаимное расположение сооружений в пределах
расчетного напора не имеет значения. Напорные сооружения и установки требуют
меньшей площади, высота сооружений в сравнении с самотечными значительно
меньше.
Основными недостатками напорных технологических
схем являются:
трудность контроля и регулирования
технологических процессов;
необходимость применения металлических
конструкций, рассчитанных на значительное внутреннее давление;
загрязнение фильтров происходит быстрее
вследствие задержки механических примесей только фильтрами, поэтому применение
одноступенчатых технологических схем ограничено невысокой мутностью исходной
воды.
Рис. 5. Напорная технологическая схема
а - одноступенчатая: б - двухступенчатая
- резервуар; 2 - насос; 3 - фильтр; 4 -
дехлоратор
Напорные технологические схемы применяются в
войсковых водоочистных установках, системах водоснабжения защищенных объектов,
на небольших водопроводах военных городков, аэродромах.
В напорной двухступенчатой технологической схеме
применяются напорные элементы предварительного осветления воды (осветитель) с
последующей ее фильтрацией в напорных фильтрах. Этой схеме свойственны
достоинства напорной одноступенчатой, однако, она может применяться и при более
высокой мутности воды источника.
Работа фильтра протекает при определенном
напоре, полная величина которого складывается из напоров, необходимых для
преодоления сопротивления в фильтрующем слое, дренажном устройстве и в
отводящей фильтрованную воду (фильтрат) системе. Потери напора выражаются в
метрах водяного столба и зависят от: скорости фильтрации; размеров зерен и
пористости фильтрующей среды; толщины слоя фильтрующей среды; степени
загрязнения фильтрующей среды взвесями; температуры воды и других факторов. Во
время работы фильтра потери напора возрастают.
Полный напор на фильтре создается разностью
уровней воды на фильтре и в резервуаре чистой воды. В зависимости от величины
скорости фильтрации фильтры делятся на медленные и скорые.
Медленные фильтры
(Рис. 6) относятся к самотечным и применяются без предварительного
коагулирования исходной воды. В качестве фильтрующей среды в таких фильтрах
применяется песок в два слоя: верхний высотой 1,2 м с диаметром зерен 0,3…1 мм
и нижний высотой 0,5 м с диаметром зерен 1…2 мм. Песок поддерживается гравием
или щебнем в 4 слоя с диаметром (сверху вниз) от 2 до 32 мм и общей высотой
0,45 м. Общая высота загрузки составляет 1,7 м. Могут устраиваться фильтры без
слоя гравия, который в этом случае заменяется пористым бетоном.
Медленные фильтры в зависимости от мутности воды
работают со скоростью фильтрации от 0,1 до 0,2 м/час. При фильтрации воды на
поверхности фильтра отлагается слой осадка - фильтрующая пленка с малыми
порами, состоящая из частиц взвесей, задерживаемых фильтром, и различных
микроорганизмов. Малая скорость фильтрации способствует лучшему задержанию
механических взвесей (мутность в фильтрате не превышает 0,1…1 мг/л). Весь
процесс осветления воды протекает в незначительном верхнем слое песка. Для
работы фильтра необходим слой воды над поверхностью песка, равный 1,5 м.
Фильтры дают должный эффект только после созревания фильтрующей пленки, которое
длится в течение 1-2 суток. Без очистки фильтры работают в течение 1-2 месяцев,
после чего 1-2 см верхнего слоя песка заменяется. Фильтры такого типа
применяются при мутности исходной воды не более 50 мг/л.
Рис. 6. Медленный фильтр
- распределительные желоба; 2 - биологическая
пленка; 3 - песок; 4 - гравий; 5 - дренаж
Конструктивно фильтр представляет собой
прямоугольный бетонный или кирпичный резервуар. В фильтрах площадью до 10-15 м2
дренаж для отведения фильтрата не устраивается, а вода отводится по лотку в
днище. В фильтрах с большей площадью вода отводится через дренажное устройство
из дырчатых труб, кирпичей и др. Медленные фильтры не требуют для своего
обслуживания повседневно работающего персонала, технология их работы проста,
они могут автоматизироваться с помощью простейших регуляторов скорости
фильтрации, реагентное хозяйство не требуется.
Скорые самотечные фильтры
(Рис. 7) работают с предварительным коагулированием и отстаиванием воды и
служат для удаления взвесей, не задержанных в отстойниках (осветлителях).
Фильтрующей средой в таком фильтре служит
кварцевый песок или дробленый антрацит с диаметром зерен от 0,5…1,2 до 0,9…1,8
мм и с коэффициентом неоднородности от 1,5…1,7 до 2,2. Толщина слоя песка
(дробленого антрацита) принимается в зависимости от диаметра его зерен и может
составлять от 0,7 до 2 м. Песок покоится на поддерживающем слое гравия или
щебня с диаметром зерен от 2 до 32 мм, предназначенном предотвращать вымывание
песка при фильтрации. Общая толщина поддерживающего слоя составляет 0,6-0,7 м.
Рис. 7. Скорый самотечный фильтр
- труба для подачи воды из отстойника
(осветлителя); 2 - промывные желоба; 3 - трубчатый дренаж; 4 - песок; 5 -
гравий;
При фильтрации взвеси частично задерживаются на
поверхности фильтра, образуя фильтрующую пленку с малыми размерами пор, а
главным образом в его толще. В начале фильтрования в течение 5-10 минут
фильтрат может еще содержать больше взвесей, чем допускается нормами, поэтому
отводится в канализацию. С течением времени толщина и плотность фильтрующей
пленки увеличивается, поры фильтрующей среды заполняются, гидравлические
сопротивления фильтра (потери напора) увеличиваются. Чем выше скорость
фильтрации и мутность поступающей на фильтр воды, тем быстрее он загрязняется.
При достижении предельного загрязнения и предельной величины потерь напора
фильтр очищается (регенерируется) промывкой его потоком воды снизу вверх.
Расчетный напор для работы фильтра принимается равным 3 м.
Период, включающий время на работу фильтра до
промывки и на промывку, называется фильтроциклом; в зависимости от
режима работы фильтра, качества вода и степени предварительного ее осветления
фильтроцикл составляет от 6 до 24 часов и более. Наиболее эффективна работа
фильтра при постоянной производительности и скорости фильтрации, что
обеспечивается специальными регуляторами. Скорые фильтры работают со скоростью
фильтрации 6-10 м/ч; при форсированном режиме она повышается до 7,5-12 м/ч.
Ниже поддерживающего слоя располагается
дренажная система, служащая для равномерного отведения воды с фильтра и для
равномерного распределения промывной воды по всей площади фильтра при его
промывке. Более всего распространен трубчатый дренаж, представляющий собой
систему труб с направленными вниз отверстиями. Для дренажа применяются
металлические или пластмассовые трубы; последние более устойчивы против
коррозии. Существуют и другие виды дренажа, в том числе и такие, при которых не
требуется поддерживающий слой гравия. На фильтры вода поступает через промывные
желоба, обеспечивающие равномерность распределения воды по всей площади фильтра
и ее отведения при промывке.
При промывке фильтра промывная вода поступает в
дренажную систему, проходит через поддерживающий и фильтрующий слои,
переливается через края промывных желобов и отводится в сток. Расчетная
интенсивность промывки должна обеспечивать расширение фильтрующего слоя в
зависимости от диаметра зерен, равное 25-45% его толщины. Практическая величина
интенсивности промывки лежит в пределах 12-18 л/с на м2,
длительность промывки составляет 5-6 минут. В фильтрах с дробленым антрацитом
интенсивность и длительность промывки уменьшается примерно в два раза.
Фильтры промываются очищенной водой, она
подается в дренажную систему промывными насосами от напорной линии насосов
второго подъема или из напорных баков.
Скорые самотечные фильтры могут применяться во
всех системах водоснабжения военных объектов при любой мутности воды в
источнике и на станциях любой производительности.
Двухслойные скорые фильтры
конструктивно отличаются от предыдущих фильтров характером и величиной
фильтрующего слоя. Фильтр состоит из верхнего слоя дробленого антрацита с
размером зерен 1,1 мм и нижнего слоя песка с размерами зерен 0,8 мм; высота
каждого слоя 0,4-0,5 м. Общая высота фильтра меньше высоты предыдущего фильтра.
Двухслойный фильтр работает со скоростью фильтрации около 10 м/ч, а при
форсированном режиме - до 12 м/час. Интенсивность промывки принимается равной
13-15 л/с на м2 при ее длительности 6-7 мин. Достоинством таких
фильтров является более высокая их производительность; межпромывочный период
более длительный и составляет 24 и даже 48 часов вследствие повышенной
грязеемкости слоя антрацита. Общий расход воды на промывку ниже, чем в
однослойных фильтрах благодаря более длительному межпромывочному периоду.
Недостатком является несколько повышенная стоимость фильтрующего слоя
вследствие более высокой стоимости дробленого антрацита.
Контактные осветители
(Рис. 8) представляют собой фильтры с движением потока воды снизу вверх.
Фильтрующей средой в таких фильтрах служит гравий с диаметром зерен (снизу
вверх) 32-2 мм, общим слоем около 35 см, поверх которого лежит слой кварцевого
песка толщиной 200 см с размером зерен 0,5-2 мм. Слой гравия покоится на
распределительной трубчатой системе, по которой поступает осветленная вода; по
этой же системе подается вода на промывку фильтра.
Рис. 8. Контактный осветлитель
- подводящая (промывная труба); 2 -
распределительная система труб; 3 - гравий; 4 - кварцевый песок; 5 - желоба
Желоба служат для отведения осветленной воды при
ее очистке, а также грязной промывной воды при промывках фильтра. Перед
поступлением в контактный осветлитель вода насосом первого подъема подается во
входную камеру, где происходит выделение из воды воздуха и механических
примесей. Из входной камеры вода поступает в осветлитель самотеком. На участке
между входной камерой и осветлителем в воду вводится раствор коагулянта. При
движении воды через фильтрующий слой происходит коагуляция при контакте
коагулянта и других коллоидных растворов воды на поверхности зерен фильтрующей
среды (контактная коагуляция). Процесс протекает быстрее, чем в камерах
хлопьеобразования. Взвеси отлагаются в порах фильтрующего слоя и на поверхности
его зерен, а вода осветляется. Расчетная скорость фильтрации принимается в
пределах 5 м/ч, межпромывочный период составляет не менее 8 часов. Промывка
длительностью 7-8 минут производится с интенсивностью 13-15 л/с на м2.
Для промывки может применяться как очищенная, так и неочищенная вода (во втором
случае мутность воды не должна превышать 10 мг/л).
Потери напора при фильтрации и промывке
контактных осветлителей определяются так же, как и при промывке фильтров.
Контактные осветлители характеризуются небольшой общей высотой, при их
применении не требуются отстойники, смесители, камера хлопьеобразования,
протяженность подводящих коммуникаций незначительна. Однако применение
контактных осветлителей ограничено величиной мутности обрабатываемой воды (не
более 150 мг/л). Вследствие небольшой скорости фильтрации площадь контактных
осветлителей больше, чем однослойных и двухслойных фильтров при той же
производительности. Поэтому выбор типа и конструкции сооружений для обработки
воды в каждом конкретном случае обосновывается технико-экономическим сравнением
вариантов.
. Схема оборотного
и последовательного водоснабжения для промышленных объектов
Схемы производственного
водоснабжения применяют для промышленных предприятий. Схема может быть
прямоточной, с повторным использованием воды и оборотной. Выбор схемы
производственного водоснабжения предприятий зависит от характера производства,
мощности и местоположения водоисточника, требований к качеству воды и других
показателей. На рисунке9 приведены возможные схемы производственного
водоснабжения. Прямоточная система (Рис. 9, а) предусматривает забор
воды для производственных целей из водоисточника насосной станцией и подачу ее
в полном объеме по водопроводной сети. После использования в технологическом
цикле вода сбрасывается в водоем после соответствующей очистки.


Рис. 9. Схемы производственного
водоснабжения:
а - прямоточная;
б - с повторным использованием воды; в - оборотная;
- река; 2 - водозаборные
сооружения; 3 - очистные сооружения; 4 - насосная станция II подъема; 5 -
водоводы; 6 - промышленное предприятие; 7 - сброс отработанной воды; 8 -
станция очистки сточных вод; 9 - сброс воды в реку; 10 - водоохлаждающее
устройство; 11 - сборная камера; 12 - насосная станция оборотной воды
Схема с повторным использованием
воды (Рис. 9, 6) предусматривает последовательное использование воды
несколькими потребителями, после чего происходит ее сброс в канализационную
сеть для обработки в очистных сооружениях.
При оборотном водоснабжении
(Рис. 9, в) вода, участвующая в технологическом процессе, не сбрасывается в
водоем, а после обработки вновь возвращается в производственный цикл.
Пополнение потерь воды восполняется из источника
. Нормы и режим
водопотребления
Для проектирования системы
водоснабжения и правильного размещения на железнодорожной станции всех
водопроводных сооружении и устройств необходимо иметь данные о числе и составе
водопотребителей, количестве расходуемой каждым из них воды и режиме ее
потребления. Для определения количества воды, которое должно быть подано
водопроводными сооружениями, пользуются расчетными нормами водопотребления.
Норма водопотребления
(согласно проекта ФЕДЕРАЛЬНОГО ЗАКОНА «О ВОДОСНАБЖЕНИИ»)- установленное
количество потребляемой воды в расчете на одного человека или на условный
показатель, используемый для характеристики соответствующего производственного
процесса.
Нормы водопотребления, то есть количество воды,
расходуемое данным потребителем за определенный промежуток времени, для
различных условий (климатических, погодных и т.д.) могут различаться.
Пример минимальных норм водопотребления для
напряженных условий жизнедеятельности человека приведен в таблице 1.
Таблица 1. Нормы потребления (расхода) воды на
различные нужды
|
Виды
потребления воды
|
Условия
|
|
Умеренная
погода, t £ + 25 0С
|
Жаркая
погода, t> 25 0 С
|
|
хозяйственно-питьевые,
литров на 1 человека в сутки
|
единичная
норма водопотребления
|
10
-19
|
15
- 29
|
|
чай,
запас воды во флягах
|
2,5
- 3
|
4
|
|
приготовление
пищи, мытье кухонного инвентаря
|
3,5
- 5
|
3,8
- 6
|
|
мытье
индивидуальной посуды
|
1
|
1
- 2
|
|
умывание
|
3
- 5
|
6
- 7
|
|
ежедневное
обтирание
|
До
5
|
До
10
|
|
другие
нормы
|
|
|
выпечка
хлеба
|
1
л на 1 кг
|
|
содержание
животных
|
от
4 до 50 л на голову
|
|
обработка
забитых на мясо животных
|
от
50 до 150 л на голову
|
Удельная норма
водопотребления - количество воды, необходимое для
производства единицы продукции.
Для специфических
железнодорожных водопользователей существуют ведомственные удельные нормы
водопотребления.
Нормы расхода воды на
хозяйственно-питьевые нужды рабочих и служащих во время их пребывания на
производстве составляют 45 л/чел в смену в горячих цехах и 25 л/чел в смену в
холодных цехах. Часовой расход воды на одну душевую сетку на промышленных
предприятиях принимается равным 500 л при продолжительности пользования душем
45 мин.
Нормы хозяйственно-питьевого
водопотребления в пристанционных поселках и других населенных пунктах
принимаются по СНиП 2.04.02-84 (Табл. 2). Для удовлетворения нужд местной
промышленности, обслуживающей население продуктами, и неучтенных расходов для
населенных пунктов рекомендуется принимать дополнительно в размере 10...20%
общего расхода на хозяйственно-питьевые нужды.
Приведенные в таблице 2 нормы
предусматривают водопотребление только в жилых и общественных зданиях. Для
других потребителей, таких, как дома отдыха, санаторно-туристические комплексы,
детские лагеря, школы-интернаты, которые часто подключают к железнодорожным
водопроводам, расходы воды следует принимать согласно СНиП 2.04.01-85.
Расход воды на поливку и мойку
улиц и площадей, а также на поливку зеленых насаждений, газонов и цветников
учитывается дополнительно. Число поливок в зависимости от климатических условий
принимается равным 1-2 в сутки.
Таблица 2. Нормы
хозяйственно-питьевого водопотребления
|
Степень
благоустройства районов жилой застройки
|
Удельное
среднесуточное хозяйственно-питьевое водопотребление в населенных пунктах на
одного жителя (за год), л/сут
|
|
Застройка
зданиями, оборудованными внутренним водопроводом и канализацией: без ванн
|
125-160
|
|
с
ваннами и местными водонагревателями
|
160-230
|
|
с
центральным горячим водоснабжением
|
230-350
|
|
застройка
с водопользованием из уличных водоразборных колонок
|
30-50
|
Таблица 3. Удельные нормы
расхода воды, л/м2, на одну мойку или одну поливку
|
Механизированная
мойка усовершенствованных покрытий проездов и площадей Механизированная
поливка усовершенствованных покрытий проездов и площадей Поливка вручную (из
шлангов) усовершенствованных покрытий тротуаров и проездов Поливка городских
зеленых насаждений Поливка газонов и цветников
|
1,2-1,5
0,3-0,4 0,4-0,5 3-4 4-6
|
Расходы воды на пожаротушение в
суммарное суточное водопотребление не включают, так как они являются
эпизодическими. Однако система водоснабжения должна обеспечить возможность
подачи требуемых количеств воды к месту пожара в любое время. Нормы расхода
воды на наружное пожаротушение в населенном пункте приведены в СНиП 2.04.01-85.
Продолжительность тушения пожара в большинстве случаев принимается равной 3 ч.
Обычно запас воды на тушение пожара хранится в резервуарах чистой воды.
Для объединенного водопровода,
обслуживающего железнодорожную станцию и населенный пункт, количество
одновременных наружных пожаров принимают:
при площади территории
железнодорожной станции до 150 га и численности жителей в населенном пункте до
10 тыс. чел. - один пожар (по наибольшему расходу на железнодорожной станции
или в населенном пункте); то же, при числе жителей в населенном пункте от 10 до
25 тыс. чел. - два пожара (один на железнодорожной станции и один в населенном
пункте);
при числе жителей в населенном
пункте более 25 тыс. чел. расчетный расход на пожаротушение принимают как сумму
потребного большего расхода (на железнодорожной станции или в населенном
пункте) и 50% потребного меньшего расхода (на железнодорожной станции или в
населенном пункте).
Режим работы отдельных
сооружений системы водоснабжения определяется режимом расходования воды
потребителями, который непрерывно меняется в течение всего периода
эксплуатации. Потребители расходуют воду на протяжении года, суток и часов
весьма неравномерно. Например, суточные расходы воды населением изменяются в
течение года в свиязи с колебанием температуры и влажности воздуха, обычаями и
привычками людей, чередованием праздничных, выходных и рабочих дней.
Наблюдениями, проводимыми в течение ряда лет за изменением суточного
водопотребления в разных условиях можно получить графики суточного
водопотребления в течение года. Однако для проектирования системы водоснабжения
сведений о среднесуточном водопотреблении недостаточно. Необходимо иметь
расходы воды и в другие сутки, когда имеет место максимальное и минимальное
водопотребление. Для определения расходов воды в населенном пункте в разное
время года по данным среднесуточного за год расхода воды вводятся понятия коэффициентов
суточной неравномерности водопотребления, которые учитывают уклад жизни
людей, режим работы предприятий, степень благоустройства зданий, изменение
водопотребления по сезонам года и дням недели. Значения этих коэффициентов
принимаются в следующих пределах:
Ксут макс=1,1....
1,3; Kсут мин=0,7...0,9.
Большая неравномерность
водопотребления в течение года обычно имеет место в населенных пунктах с
небольшим числом жителей при слабом развитии промышленности и значительных
сезонных колебаниях температуры.
В течение суток также заметны
довольно значительные колебания часовых расходов, вызываемые сменой дня и ночи,
распорядком работы, различными случайными явлениями. Часовые расходы воды
потребителями колеблются на протяжении суток от Qч.max до Qч.min.
Размер и характер колебаний
расходов на хозяйственно-питьевые нужды населения резко отличаются от размеров
и характера колебаний расходов воды на производственные нужды. Поэтому общий
максимальный расход воды в пункте водоснабжения не может быть получен путем
простого суммирования максимальных часовых расходов отдельных водопотребителей.
Для построения общего суточного графика водопотребления необходимо распределить
расчетные расходы воды по часам суток каждым потребителем в отдельности, после
чего эти часовые расходы суммируют и получают общий расход воды всеми потребителями
за каждый час суток. На основании анализа общих часовых расходов воды находят
максимальный и минимальный часовые расходы.
Режим расходования воды
производственными предприятиями зависит от технологии производства, типа
используемого оборудования, количества смен и других факторов и задается
технологом производства.
Режим расходования воды на
хозяйственно-питьевые нужды в населенных пунктах зависит от числа жителей,
степени развития промышленности и ряда других факторов и характеризуется коэффициентами
часовой неравномерности водопотребления, значения которых для населенных
пунктов определяют по следующим формулам:
Ксут макс=αmax
βmax
;Ксутmin=αmin
βmin
(1)
Коэффициент α
учитывает
степень благоустройства зданий, режим работы предприятий и другие местные
условия. Он принимается равным: αmax
=l,2...1,4, αmin
= 0.4...0.6.
Коэффициент βmax
учитывает влияние численности населения объекта, и его выбирают в зависимости
от числа жителей N.
Коэффициенты часовой
неравномерности производственного водопотребления Кчmaxп и Кчminп
устанавливаются технологическим проектом предприятия.
6. Определение
расчетных расходов воды
Для бесперебойного и полного
снабжения водой всех потребителей отдельные сооружения системы водоснабжения
рассчитывают исходя из разных расходов воды, а именно:
разводящую водопроводную сеть,
из которой вода поступает непосредственно потребителям, рассчитывают на подачу
максимальных секундных расходов воды qmах;
насосные станции, напорные
водоводы, водозаборные и очистные сооружения рассчитывают на подачу
среднечасовых расходов в сутки максимального водопотребления Qч ср;
регулирующие емкости
водонапорных сооружений определяют по расчетному расходу в сутки максимального
водопотребления Qсутmах;
себестоимость 1 м3
подаваемой воды определяют исходя из годового объема водопотребления Qгод
Различают фактические и
расчетные расходы воды.
Фактическими принято
называть расходы воды, замеренные приборами, которые устанавливают на насосных
станциях и на вводах в отдельные здания.
Расчетными называют
расходы воды, определенные теоретически по нормам водопотребления и числу
водопотребителей.
Расчетные суточные расходы воды
обычно определяют отдельно для каждой категории водопотребителей.
Средний суточный расход воды Qcyт.сp.x,м3/сут.
на хозяйственно-питьевые нужды в населенном пункте определяют по формуле:
Qcyт.сp.x=
(2)
где: qжi- удельное
водопотребление, л/сут, принимаемое по СНиП 2.04.02-84;
Nжi.- расчетное
число жителей в районах жилой застройки с различной степенью благоустройства;
- переводной коэффициент (метр
кубический в литры).
Максимальный суточный расход воды Qcyт.max.x,
м3/сут, на хозяйственно-питьевые нужды в населенном пункте:
cyт.max.x = Ксут.
максQcyт.сp.x (3)
где: Ксут. макс -
максимальный коэффициент суточной неравномерности водопотребления.
Минимальный суточный расход воды Qcyт.min.x
м3/сут, на хозяйственно-питьевые нужды в населенном пункте
cyт.min.x = Ксут.
minQcyт.сp.x (4)
где: Ксутmin -
минимальный коэффициент суточной неравномерности водопотребления.
Максимальный суточный расход воды Qcyт.max.полив.,
м3/сут, на поливку улиц, площадей, зеленых насаждений, газонов и
цветников определяют по формуле:
cyт.сp.полив=
, (5)
где: q полив.
- норма на поливку, л/м2, принимается по СНиП 2.04.02-84;
Fполив.i- поливаемая
площадь, м2;
nполив. -
количество поливок в сутки.
Средний суточный расход воды Qсут.ср.полив.,
м3/сут., на поливку улиц, площадей, зеленых насаждении, газонов и
цветников:
cyт.сp.полив=
, (6)
где: Т - число дней
полива в году.
Средний суточный расход воды Qcyт.ср.п
м3/сут, на производственные нужды предприятий составляет:
cyт.ср.п=ΣqПi
Пi, (7)
где: qni-
норма потребления воды на одну расчетную единицу, производственную операцию или
агрегат, м3;
Пi
- количество расчетных единиц в сутки на предприятии.
Максимальный суточный расход Qcyт.maxп,
мз/сут, на производственные нужды предприятий:
сут.max
п.=Kсут.mах
п.Qсут.ср.п., (8)
где: Kсут.mах п.-
максимальный коэффициент суточной неравномерности водопотребления для
предприятия.
Минимальный суточный расход
воды, мз/сут, на производственные нужды предприятия:
сут.min
п.=Kсут.min
п.Qсут.ср.п, (9)
где: Kсут.minп
- минимальный коэффициент суточной неравномерности водопотребления для
предприятия.
Суточный расход воды Qсут.х-рмз/сут,
на хозяйственно-питьевые нужды рабочих на предприятии определяют по формуле:
сут.х-р=0,025(n’x
+ n”x+ n”’x)+0,045(n’г + n”г+
n”’г) (10)
где: 0,025 и 0,045 - норма
водопотребления за одну смену на одного рабочего, соответственно в холодном и
горячем цехах;
пх, пг-
количество
рабочих, соответственно в холодных и горячих цехах, за каждую смену.
Суточный расход воды Qсут.душмЗ/сут,
на душевые нужды предприятия определяют по формуле: -
Qсут.душ.=
(11)
где 0,5 - норма расхода вода на одну
душевую сетку, м3/ч;
п- количество рабочих,
пользующихся душем в конце каждой смены;
- продолжительность приема душа,
мин.;
- множитель перевода часового
расхода душевой сетки в минутный;
Максимальный часовой расход Qч.max,
м3/ч в сутки минимального водопотребления:
ч max=
(12)
Минимальный часовой расход Qчmin,
м3/ч в сутки минимального водопотребления:
ч min=
(13)
где Кч.max и Кч.min
- максимальный и минимальный коэффициенты часовой неравномерности.
Расчетные секундные расходы воды, q,
л/с, определяют для каждого потребителя в отдельности в час максимального
(минимального) водопотребления по формуле:
с=
, (14)
где Qч- часовой
расход воды данным потребителем в час максимального (минимального)
водопотребления, м3/ч;
t- время расходования воды в
течение часа, мин.
7. Понятие о свободных напорах в
водопроводной сети
Подача воды потребителям должна быть
обеспечена не только в заданном количестве, но и с необходимым свободным
напором, измеряемым высотой столба воды (Нм) над поверхностью
земли.
Минимальный свободный напор в сети
водопровода при хозяйственно-питьевом водопотреблении на вводе в здание для
одноэтажной застройки принимается равным 10 м. Такой напор должен быть
обеспечен у здания, расположенного у так называемой диктующей точки (наиболее
удаленной от водонапорной башни или менее от нее удаленной, но высоко
расположенной).Если у диктующей точки минимальный свободный напор обеспечен, то
остальные потребители будут питаться при несколько большем напоре.
Для двух-, трехэтажной и т. д.
застройки свободный напор увеличивается на 4 м на каждый этаж. Стало быть, для п-
этажной застройки расчетный минимальный свободный напор у здания,
расположенного у диктующей точки, равен:
Н = 4(п - 1)+10
[м].
При эксплуатационных
технологических режимных расчетах в часы минимального водопотребления свободный
напор на каждый этаж, кроме первого, принимается равным 3 м. Тогда:
Н = 3(п - 1)+10
[м].
От наружной сети водопровода
можно подавать воду в здания высотой не более 13 этажей, поскольку давление
воды в трубах этой сети выше 6 • 105 Па (6 атм, 6 кгс/см2,
Н >60 м вод. ст.) не допускается.
Для одиночных высоких и
высотных зданий (или их групп) проектируют местные насосные установки,
повышающие давление.
Свободный напор у водоразборных
колонок (уличных, заправочных), а также у одноэтажных производственных зданий
(мастерские, депо, цех) должен быть не менее 10 м.
Противопожарные водопроводы
бывают преимущественно низкого давления со свободным напором при пожаротушении
(совпадающим с максимальным хозяйственно-питьевым водопотреблением) не менее 10
м (над уровнем поверхности земли).
В населенных пунктах с
количеством жителей до 5 тыс. человек, где нет пожарного депо, проектируется
противопожарный водопровод высокого давления. В этом случае на насосной станции
кроме хозяйственных устанавливаются пожарные насосы, оборудованные
автоматическими устройствами, обеспечивающими их пуск не позднее чем через 5
мин после сигнала о возникновении пожара. Создаваемый пожарным насосом
свободный напор:
, (м),
,
где: Т - высота
расчетного здания до конька крыши;
- сумма потерь напора в пожарном
гидранте, стендере (пожарная колонка, к которой присоединяются шланги), рукавах
(шлангах) и стволе (спрыске).
8. Схемы
водопроводных сетей и правила их трассирования
Водопроводные сети
предназначены для транспортирования воды к потребителям. По своему начертанию
водопроводные сети бывают разветвленные или тупиковые (Рис. 10, а) и кольцевые
(Рис. 10, б). Конфигурация сети зависит от планирования снабжаемого
водой объекта, размещения на его территории отдельных водопотребителей, рельефа
местности, места расположения используемых источников водоснабжения, наличия
естественных и искусственных препятствий.
Рис. 10. Схемы начертания
водопроводных сетей:
а - тупиковая; б - кольцевая;
1-водонапорная башня; 2.- магистральная сеть; 3. - водопотребители
Тупиковые сети допускают
транспортирование воды к потребителю по единственному направлению. Поэтому
такие сети не обеспечивают бесперебойности, так как авария на любом участке
этой сети приводит к прекращению подачи воды всем потребителям, расположенным
ниже места аварии по направлению движения воды. Кольцевые сети в отличие от
тупиковых имеют более высокую надежность. Благодаря наличию параллельно
работающих магистралей в этих сетях авария на любом участке не вызывает
прекращения подачи воды всем потребителям, кроме питающихся непосредственно от
поврежденного участка.
Водопроводную сеть следует
проектировать кольцевой, тупиковые линии разрешается устраивать в
хозяйственно-питьевых водопроводах при диаметре труб не более 100 мм, в
противопожарных водопроводах при длине линии до 200 м и производственных
водопроводах при допустимости перерыва в водоснабжении на время ликвидации
аварии.
В зависимости от взаимного
расположения насосной станции, водонапорной башни и разводящей сети различают
схемы с водонапорной башней: в начале сети (Рис. 11, а), внутри сети
(Рис. 11, б) и в конце сети (сеть с контррезервуаром, Рис. 11, в).


Рис. 11. Схемы питания
водопроводных сетей с водонапорной башней:
а - в начале сети; б - внутри
сети; в - в конце сети (с контррезервуаром); 1 - насосная станция; 2 -
водонапорная башня; 3 - разводящая сеть
Водопроводная сеть состоит из
магистральных и распределительных линий. Магистральными называют линии,
которые предназначены в основном для распределения воды по всей территории
населенного пункта. Распределительными называют линии, которые получают
воду из магистральных линий и подают ее к потребителям через центральные пункты
или домовые вводы.
В практике проектирования
гидравлическому расчету подвергают, как правило, только сеть магистральных
линий, а диаметры распределительных линий хозяйственно-противопожарного
водопровода принимают не менее 100 мм и диктуются эти размеры расходом воды на
пожаротушение. В крупных городах подача пожарного расхода требует увеличения
диаметра труб распределительной сети до 150 мм, а иногда и до 200 мм.
При проектировании
магистральной сети следует руководствоваться следующими принципами ее
трассировки:
1.Основное направление
магистральных линий должно соответствовать основным направлениям потоков воды
по территории снабжаемого объекта.
2.По основному направлению
должно быть предусмотрено несколько магистральных линий, включенных параллельно
и обеспечивающих бесперебойность работы сети, продольные магистрали необходимо
соединить перемычками, которые позволяют в случае аварии выключить не всю
магистраль, а только отдельные ее участки. Опыт проектирования магистральных
сетей показывает, что оптимальное расстояние между магистральными линиями
составляет 300-600 м. Соответственно расстояние между перемычками принимается
равным 400-800 м. Диаметры труб перемычек должны назначаться с учетом работы их
при аварии на магистральной линии. Обычно диаметр труб перемычки назначается на
один - два размера меньше, чем диаметр магистральной линии.
3.Магистральная сеть должна охватывать
наиболее крупных потребителей воды и располагаться равномерно по всей
территории снабжаемого водой объекта.
4.Магистральные линии
рекомендуется прокладывать по наиболее возвышенным отметкам территории для
создания достаточных напоров в распределительной сети.
5.Пересечение железнодорожных
путей трубопроводами следует осуществлять под прямым углом.
6.
Водопроводные
линии, идущие вдоль станционных путей, необходимо прокладывать в стороне от них
с учетом возможного развития станции;
в междупутьях разрешается
укладывать только магистрали, проводящие воду к водозаборным кранам.
7.
Трассирование
магистральных линий необходимо увязывать с размещением других сетей и
сооружений населенного пункта с соблюдением минимальных расстояний от наружной
поверхности трубопровода до различных подземных коммуникаций в плане, м:
обрез фундамента
здания……………………..5
крайний рельс трамвайных путей
……….…..2
газопровод …………………………………..…1-2
столбы наружного освещения и
ограды …… 1,5
стволы деревьев и бордюрные
камни дорог…2
кабели связи ……………………………….… 0,5
канализационные линии при
диаметре труб, мм:
< 200 ……………………………………….… не
менее 1,5
>200 ………………………………………......
не менее 3
Трассирование напорных
водоводов осуществляют, как правило, в две линии с устройством между ними
переключений, позволяющих выключать отдельные участки во время аварии.
Водонапорные сооружения (башни, колонны, напорные резервуары) следует
располагать на наиболее высоких отметках местности в непосредственной близости
к водопроводной сети.
Определение
диаметров труб водопроводных линий. После определения
расчетных расходов воды на каждом участке сети определяют диаметры труб,
предварительно выбрав их материал и класс точности.
Определение диаметров труб
производят по расчетным расходам участков Qp, при этом за
основной расчетный случай принимают час наибольшего водопотребления или
наибольшего транзита в башню (для сетей с контррезервуаром).
Для водопроводных труб круглого
сечения
p=
ωv,
Qp= nd2v/4, откуда:
где ω-
площадь живого сечения трубы;
d-диаметр
трубы; v-скорость движения воды.
Таким образом, чем меньше
скорость v, тем больше будет диаметр труб, следовательно, будет завышена
стоимость водопроводной сети. Чем больше скорость в трубах, тем будут больше
потери напора на гидравлические сопротивления, что приводит к увеличению
мощности оборудования насосных станций и затрат электроэнергии на подъем воды.
По условиям эксплуатации
водопроводных сетей предельное значение скорости, определенное требованиями
предохранения сети от разрушающего действия гидравлических ударов, принимают
равным 2,5-3 м/с. Нижний предел скорости принимается из условия незаиляемости
трубопроводов в пределах 0,5-0,6 м/с. Поэтому выбрать экономически наиболее
целесообразный диаметр трубы можно только после сопоставления нескольких
вариантов и сравнения строительной и эксплуатационной стоимостей.
Определение потерь
напора в водопроводных линиях сети. Потери напора на
трение в водопроводных трубах пропорциональны их длине и зависят от диаметра
труб, скорости течения воды, характера стенок труб и от области гидравлического
режима их работы.
Основной формулой для
определения потерь напора является формула Дарси-Вейсбаха:
где λ
- коэффициент гидравлического сопротивления, зависящий от материала труб,
степени шероховатости их стенок и диаметра;
lи d-
длина и диаметр трубы;
v-скорость
движения воды;
g-ускорение
свободного падения.
При гидравлическом расчете
водопроводных сетей для определения потерь напора в трубах широко используют
формулу:
где i- гидравлический уклон, определяющий
потерю напора на единицу длины трубопровода.
С учетом местных потерь напора
в фасонных частях и арматуре, принимаемых 5-10% величины потерь по длине, общие
потери напора на участке составят
Для облегчения процесса
определения потерь напора в водопроводах широко используются различные
вспомогательные таблицы специальной формы. Они дают величины потерь напора на
единицу длины (т.е. i или 1000 i- потерю на 1000 м длины) для всех
стандартных диаметров труб различных типов в широком диапазоне расходов.
Структура таких таблиц (в том
числе Ф.А. Шевелева и А.Ф. Шевелева) имеет вид:
|
Q,
л/с
|
d,
мм
|
|
d1
|
d2
|
d3
|
d4
|
|
v
|
1000
i,
|
v
|
1000
i,
|
v
|
1000
i,
|
v
|
1000
i,
|
|
м/с
|
м
|
м/с
|
м
|
м
|
м/с
|
м
|
По ним для заданного Q можно
подобрать диаметр и определить величину потерь на 1 км и потерю,
соответствующую заданной длине. Или имея заданную величину располагаемого
напора Н, м, и длину водопроводной линии l, км, найти i = Н/lи
затем определить по таблицам требуемый диаметр при заданном расходе или
возможный расход при принятом диаметре.
Вместе с тем при расчетах
водопроводных сетей потерю напора удобно выражать через расчетный расход по
формуле:
где А = i/Q2-
удельное сопротивление труб, которое равно сопротивлению трубы длиной l
м при расходе 1 м3/с. Значения А даются в таблицах Ф.А. Шевелева и
А.Ф. Шевелева;сопротивление участка трубы длиной l при расходе, равном
единице, S=Al;
К - поправочный коэффициент,
учитывающий неквадратичность зависимости потерь напора от средней скорости
движения воды. Значения К даются в таблицах Ф.А. Шевелева и А.Ф. Шевелева.
. Регулирующие и
запасные емкости (резервуары)
В системах водоснабжения
резервуары различных видов находят широкое применение в качестве регулирующих и
запасных емкостей. Объем этих емкостей включает регулирующий, противопожарный и
аварийный запасы воды, а также используется для хранения расходов на
технологические нужды самих станций водоподготовки.
Регулирующие
емкости устраивают, когда подача воды насосами в отдельные часы суток не
соответствует потреблению. В таких емкостях вода аккумулируется в период
превышения подачи над водопотреблением и затем расходуется, когда потребление
воды превышает ее подачу насосами.
Включение в систему
водоснабжения регулирующих емкостей (резервуаров) повышает ее
технико-экономическую эффективность. Так, резервуар между насосными станциями
первого и второго подъемов, часто называемый резервуаром чистой воды, позволяет
обеспечить равномерные режимы работы этих станций и станции обработки воды;
резервуар между насосной станцией второго подъема и сетью исключает
необходимость подачи насосами пиковых расходов в часы максимального
водопотребления, что позволяет применять насосы меньшей мощности, а также
водоводы меньших диаметров, следовательно, приводит к снижению их стоимости.
Запасные
емкости обеспечивают необходимую надежность работы системы водоснабжения. Эти
емкости как самостоятельные сооружения строят сравнительно редко. Наиболее
часто водном сооружении содержатся как регулирующие, так и запасные объемы
воды.
В запасных емкостях хранятся
пожарные и технологические запасы воды, способствующие повышению надежности
работы систем водоснабжения. Регулирующие и запасные емкости могут объединяться
в одном, общем резервуаре.
В зависимости от назначения и
способа подачи воды регулирующие и запасные емкости могут быть напорными
(активными), создающими напор в водопроводной сети и безнапорными (пассивными),
вода из которых забирается насосами.
Ненапорные
резервуары, те из которых вода забирается насосами, и напорные,
обеспечивающие подачу воды к потребителю с заданным напором.
Напорные резервуары
в свою очередь разделяются на: нагорные резервуары, размещаемые на возвышенной,
по отношению к потребителю воды, отметке местности; водонапорные башни -
резервуары, установленные на поддерживающей конструкции; пневматические
установки, напор в которых обеспечивается давлением сжатого воздуха.
Ненапорные
резервуары характеризуются емкостью и конструкцией.
10. Водонапорные
башни и колонны
Водонапорные башни и колонны
имеют высоко расположенную емкость, благодаря чему они создают необходимый
напор в системе водоснабжения. Такое же назначение имеют резервуары,
расположенные на естественной возвышенности. Обычные наземные или частично
заглубленные резервуары чистой воды из-за низкого своего расположения не
обеспечивают напор, и воду из них забирают насосами. Гидропневматические
установки создают напор в системе водоснабжения сжатым воздухом.
Водонапорные башни
предназначаются для регулирования неравномерности водопотребления, хранения
неприкосновенного запаca воды на пожаротушение и создания требуемого напора в
водопроводной сети.
Объем бака водонапорной башни
определяют по формуле:
б=Wрег+Wн.з.,
где: Wрег - регулирующая
вместимость бака, м3;н.з., - объем
неприкосновенного противопожарного запаса воды, предназначенного для тушения
пожара, м3;
Неприкосновенный
противопожарный запас воды рассчитывают для населенных пунктов на 10-минутную
продолжительность тушения одного наружного и одного внутреннего пожаров при
одновременном наибольшем расходовании воды на другие нужды по формуле:
Wн.з.=(Qпож+Qmax.с)
,
где: Qпож - расчетный
расход воды на тушение пожара, л/с;max.с - максимальный секундный
расход воды на хозяйственно-питьевые и другие нужды в населенном пункте,
исключая расход в душевых, л/с.
Емкость резервуаров, регулирующих
несовпадение режимов работы насосных станций 1-го и 2-го подъемов, Wр,
определяется по совмещенным графикам их работы (Рис. 12). На графике
показана равномерная работа насосов первого подъема с часовой подачей 100/24 =
4,17% Qсут и насосов второго подъема с 6 до 22 часов с подачей
100/16 = 6,25% Qcyт. Регулирующая емкость резервуара выражается
заштрихованной площадью Wр и в данном; случае составляет
(6,25-4,17). 16 = 33,28% Qcyт.
Рис. 12. Совмещенный график
работы насосов 1-го и 2-го подъема
Емкость резервуара для хранения
запаса воды на пожаротушение Wпож определяется величиной
расчетного расхода на пожаротушение из наружных гидрантов и внутренних пожарных
кранов в течение 3 часов при одновременном обеспечении хозяйственно-питьевых и
производственных нужд в течение 3 смежных часов наибольшего расхода по графику
водопотребления, Объем резервуара для хранения воды на технологические нужды
станции обработки воды зависит от типа применяемых сооружений и качества
обрабатываемой воды. Для промывки фильтров должен храниться запас Wф на
две промывки.
Общий объем резервуара W составляет:
=Wp+Wпож+Wф
Водонапорная башня (Рис.13)
состоит из бака, поддерживающей конструкции (ствола), фундамента и системы
трубопроводов. При наличии опасности замерзания воды в баке вокруг него
устраивают шатер.
Водонапорная башня оборудуется
подающим, отводящим, переливным и спускным трубопроводами. Часто подающий и
отводящий трубопроводы объединяются в один подающе-отводящий. На отводящем
трубопроводе в этом случае устанавливается обратный клапан, исключающий подачу
по нему воды в бак.
Переливной трубопровод,
снабженный воронкой, служит для сброса поступающей воды в бак при его
переполнении. Диаметр его принимается из условия отведения по нему максимального
расхода воды, поступающей в бак, скорости движения воды не более 1-1,2 м/с. и
он не должен быть меньше диаметра подающего трубопровода; задвижка на нем не
ставится. Все трубопроводы башни защищаются от замерзания в них воды, для чего
они обертываются теплоизоляционным материалом и размещаются в. защитном коробе.
Для восприятия температурных изменений трубопроводов на них устанавливаются
компенсаторы.
Грязевая труба через задвижку
присоединяется к переливному трубопроводу и служит для опорожнения бака в
случае осмотра и ремонта, а также для удаления осадка, который может
скапливаться на дне бака. Для предотвращения повреждений баков и стыковых
соединений при температурных деформациях труб, на подводяще-отводящем и
переливном трубопроводах устанавливают сальдовые компенсаторы.
Баки водонапорных башен, как
правило, устраивают круглыми в плане и выполняют из железобетона, а при малой
общей емкости и из стали.
Поддерживающие конструкции
башен выполняются из железобетона, кирпича, дерева. Наиболее распространены
башни железобетонные. Существуют типовые проекты сборных железобетонных башен
на сквозных сетчатых опорах высотой от 10 до 40 метров, в большинстве случаев
имеют цилиндрическую форму, плоское, полусферическое или радиально-коническое
днище. Сверху бак башни перекрывается, что обеспечивает его жесткость и защиту
от температурных колебаний и загрязнений.
Рис. 13. Схема водонапорной
башни:
1 - фундамент
и подвальное помещение; 2 - подающе-отводящий трубопровод; 3 - лестница;
4 - сальниковые компенсаторы; 5 - труба для отбора воды на тушение пожара; б
- труба для отбора воды на хозяйственно-питьевые нужды; 7 - бак; 8 - шатер;
9 - переливная труба; 10 - грязевая труба; 11 - сбросная
труба; 12 - ствол.
Баки водопроводных башен
оборудуют датчиками, аппаратурой и приборами для автоматической передачи
показаний уровня воды в на насосную станцию или в диспетчерский пункт. По
типовым проектам сооружают башни высотой до 42 м (до дна бака) с баком
вместимостью до 800 м3. На одной и той же водонапорной башне могут
быть установлены на разной высоте несколько баков, обслуживающих системы
водопроводов с разными напорами.
Поддерживающие конструкции
водонапорных башен могут быть железобетонными, кирпичными, металлическими и
выполняться виде сплошной стенки или колонны, имеющих различное архитектурное
оформление.
Сборные напряженно-армированные
железобетонные резервуары отличаются трещиноустойчивостью, долговечностью и
экономичностью (Рис. 14).
Рис. 14. Железобетонный
резервуар из сборных элементов:
- люк; 2 - приямок; 3
- монолитное дно; 4 - сборное перекрытие; 5 - арматурные натяжные
кольца
Сборные элементы применяются
для перекрытий и стен резервуаров. Водонепроницаемость их в стыках
обеспечивается чеканкой швов расширяющимся цементом. Применение сборного
железобетона снижает по сравнению с применением монолитного трудоемкость работ
на 30 - 50%, обеспечивает экономию 15 - 20% железобетона, 10% металла и общее
снижение стоимости строительства. В практике строительства применяются
резервуары емкостью до 300 -500 м3. Для них более целесообразна
круглая форма, упрощающая напряженное армирование и обеспечивающая наименьшую
поверхность стенок при заданном объеме. Важное достоинство круглых резервуаров
- их большая, по сравнению с прямоугольными, сейсмоустойчивость. Повышение
устойчивости резервуаров при сейсмических нагрузках достигается устройством
утолщенного несущего днища с жестким сопряжением его со стенкой и нанесением по
сборному перекрытию 3 - 5 сантиметрового слоя бетона с сеткой, обеспечивающих
связь между его элементами.
Для обеспечения бесперебойности
работы системы водоснабжения предусматривается устройство не менее двух
резервуаров (Рис. 15). Между резервуарами устраивается камера переключения с задвижками.
Она может быть совмещена с конструкцией резервуаров или располагаться между
ними отдельно.
Рис. 15. Резервуары с камерой
переключения
- резервуар; 2 - камера
переключения; 3 - входные люки; 4 - вентиляционные стояки; 5 - подводящий
трубопровод; 6 - отводящий трубопровод хозяйственно-питьевой воды; 7 -
отводящий трубопровод пожарного запаса воды; 8 - переливной трубопровод; 9 -
спускной трубопровод
Резервуары оборудуются
подводящими, отводящими (всасывающими), переливной и спускной трубами и
снабжаются закрывающимися люками, а также вентиляционными колонками. Существуют
типовые конструкции резервуаров емкостью от 5 до 500 л3.
Конструкция нагорных
резервуаров аналогична ненапорным резервуарам, но они оборудуются трубами, как
водонапорные башни.
. Насосы и насосные
станции
водоснабжение сеть
башня насос
Классификация,
устройство и принцип действия насосов.
Разработано и применяется
огромное количество видов, типов и конструкций насосов. Общая схема
классификации насосов, представлена рисунке 16.
Объемные насосы
работают по принципу перемещения жидкости путем периодического изменения объема
занимаемой ею камеры, попеременно сообщающейся с входом и выходом насоса.
Динамические насосы
- это насосы, в которых жидкость перемещается под силовым воздействием в
камере, постоянно сообщающейся с входом и выходом насоса. Среди динамических
насосов наиболее распространенными являются лопастные (центробежные, осевые)
насосы, в которых жидкости сообщается энергия благодаря инерционным силам,
возникающим при протекании жидкости через лопастное колесо.
В подавляющем большинстве
насосные станции коммунальных, промышленных и железнодорожных систем
водоснабжения и канализации оборудуются центробежными насосами.
Рис. 16. Общая схема
классификации насосов
Центробежный насос
(Рис. 17). Основным рабочим органом центробежного насоса является рабочее
колесо 1 с криволинейными лопастями 2, насаженное на вал 3 и расположенное в
корпусе 4. Вода поступает в насос через всасывающий патрубок 5 к
центральной части рабочего колеса и выбрасывается из него в спиральную камеру и
далее в напорный патрубок 6.
Рис. 17. Схема устройства
центробежного насоса:
- рабочее колесо; 2 - лопасти;
3 - вал; 4 - корпус; 5 - всасывающий патрубок; 6 - напорный
патрубок
Если всасывающий трубопровод и
корпус насоса заполнены жидкостью, то при быстром вращении колеса частицы
жидкости, закручиваемые лопатками, под действием центробежной силы
отбрасываются от центра колеса к периферии, получая некоторое приращение
энергии.
Благодаря этому на выходе из
лопаток рабочего колеса давление и скорость частиц жидкости больше, чем перед
входом в колесо. В центре рабочего колеса образуется разряжение, куда поступает
жидкость за счет разности давлений у оси колеса и на поверхности воды в
приемном колодце. По выходе из колеса жидкость поступает в спиральную камеру,
живое сечение которой возрастает в направлении напорного патрубка, благодаря чему
средняя скорость движения жидкости постепенно уменьшается, в результате часть
кинетической энергии преобразуется в потенциальную, и первоначальное давление,
созданное колесом, увеличивается. Центробежные насосы классифицируют по ряду
признаков.
По роду перекачиваемой
жидкости: водопроводные, канализационные, теплофикационные, кислотные,
грунтовые и др.
По числу рабочих колес
различают одноколесные, которые находят наибольшее применение в системах
водоснабжения и канализации, многоколесные (многоступенчатые) насосы высокого
давления, в которых перекачиваемая жидкость проходит последовательно при помощи
направляющих аппаратов через ряд рабочих колес, насаженных на общий вал, при
этом напор, развиваемый насосом, равен сумме напоров, развиваемых каждым рабочим
колесом.
По создаваемому напору
центробежные насосы разделяют на низконапорные (напор до20м), средненапорные
(20-60 м) и высоконапорные (свыше 60 м).
По способу подвода воды на
рабочее колесо различают насосы с односторонним подводом воды
(односторонним всасыванием) и насосы с двухсторонним подводом
(двухсторонним всасыванием).
В зависимости от способа отвода
воды из рабочего колеса насосы разделяют на спиральные и турбинные.
По расположению вала рабочего
колеса насосы бывают вертикальные и горизонтальные.
По способу разъема корпуса
различают насосы с горизонтальным разъемом и с вертикальным торцевым
разъемом.
Характеристики
центробежного насоса. Для рационального использования
центробежных насосов в условиях строительства и эксплуатации необходимо знать
взаимосвязь между подачей, напором, потребляемой мощностью и другими
параметрами насоса при различных режимах его работы. Эти данные представляются
в форме характеристик насосов.
Для центробежных насосов
различают теоретические и экспериментальные характеристики.
Теоретические характеристики
определяют, пользуясь основными уравнениями центробежного насоса, в которые
вводят поправки на реальные условия работы насоса. В реальных условиях на
работу насоса влияет много различных факторов, которые не всегда возможно
учесть, поэтому такие характеристики имеют некоторые неточности и ими
практически не пользуются.
Экспериментальные
характеристики строят по результатам испытаний насосов в заводских
лабораториях, они отражают истинные зависимости между параметрами насоса.
Графики, выражающие зависимости
напора Н, м, потребляемой мощности N, кВт, коэффициента полезного
действия η и допускаемой
вакуумметрической высоты всасывания Ндопвак подачи
Q при постоянной частоте вращения пи определенной форме и
размерах проточной части (рабочего колеса), называют рабочей характеристикой
насоса.
На рисунке 18 приведена
характеристика насоса Д1600-90 при частоте вращения п= 1450 об/мин. На
рабочих характеристиках насосов, приводимых в каталогах
заводами-изготовителями, на кривой Н волнистыми линиями указывается
рекомендуемая область использования насоса. Обычно эту область выбирают такой,
чтобы снижение КПД против ηmax
не превышало 5-8%.
Предел обточки рабочих колес
зависит от коэффициента быстроходности:
где: Q- подача насоса, м3/с;
Н - напор
насоса, м;
п-
частота вращения, об/мин.
Рекомендуются следующие пределы
обточки рабочих колес:
При: ns=
60....120 ........................ 20-15%
ns,
= 120...200 .............................. 15-11%
ns,
=200...300 11-7%
Рис. 18. Характеристика
центробежного насоса Д1600-90:
- Рабочее колесо, поставляемое
заводом-изготовителем; 2 - обточенное колесо.
Совместная работа
насоса и трубопровода. Насосный агрегат и система
трубопроводов в процессе работы находятся в определенной технологической связи.
В результате анализа работы насосной установки было найдено выражение для
определения напора. Величина гидравлических потерь hT в
м в этой формуле зависит от диаметра d, длины трубопроводов l, коэффициента
сопротивления λ, количества
и видов всех местных сопротивлений, а также от квадрата скорости течения
жидкости в нихv2 т.е.
где: Σζ-
сумма
коэффициентов местных сопротивлений.
Полная высота, м, подъема жидкости
насосной установкой может быть выражена функцией расхода
Это уравнение называют гидравлической
характеристикой трубопроводов.
Пользуясь этим выражением,
можно построить данную характеристику в графическом виде (Рис. 19), она
представляет собой параболу, выходящую из точки Н = НГ при
Q = 0 (кривая 2). Если на один и тот же график нанести
характеристику насоса и характеристику трубопровода, то получим график,
характеризующий работу насосной установки. Точка А пересечения кривой 1
Н - Q насоса и кривой 2 Q- Н трубопровода называется рабочей
точкой насосной установки. Она определяет все данные, характеризующие рабочий
режим насосной установки, а именно подачу QA, напор IIА,
мощность NA, на валу насоса, КПД Т)А и
допускаемую вакуумметрическую высоту всасывания Ндопвак А.
Рис. 19. Определение рабочей
точки насоса
Параллельная и
последовательная работа центробежных насосов. На
насосных станциях (особенно крупных) часто встречается необходимость в
совместной работе нескольких насосов. Для увеличения подачи насосной станцией в
системе водоснабжения часто используют параллельную работу насосов. Для питания
систем с высокими напорами, но с относительно малыми подачами, можно
использовать последовательное включение в сеть нескольких насосов.
Совместная работа нескольких
насосов с подачей воды в общий напорный трубопровод называется параллельной
работой насосов. Эти насосы могут быть с одинаковыми и неодинаковыми
характеристиками.
Для построения характеристики
совместной работы нескольких параллельно работающих насосов на общий напорный
трубопровод складывают подачу этих насосов при одинаковых напорах. Так как
насосы одинаковые, то построение суммарной характеристики (Рис. 16) системы с
двумя параллельно работающими насосами Σ(Q-H)1+2сводится
к удвоению их производительностей при одинаковых напорах.
Для определения режима работы
этих насосов следует построить характеристику трубопроводов Q - Нтр
и по рабочей точке А пересечения характеристики насосов и
характеристики трубопровода определить суммарную фактическую подачу двух
насосов Ql+2 и напор Н1+2Для определения
подачи, мощности и КПД каждого насоса при их совместной работе необходимо из
точки А провести линию, параллельную оси абсцисс, которая пересечет
характеристику каждого из насосов в точке А12. Координаты этой точки
определяют подачу Q1, Q2и напор Н1,
Н2каждого насоса. Мощность, КПД и допустимая
вакуумметрическая высота всасывания каждого из совместно работающих насосов
определяют соответственно точками 1, 2, 3, являющимися точками
пересечения кривых η,
N, и Ндопвак перпендикуляром, опущенным из
точки А1,2
Рис. 20. Характеристика
параллельной работы двух одинаковых центробежных насосов
Параметры каждого пасса Q'1,
Q'2и Н1 Н'2 при их раздельной
работе, т.е. когда один из них выключен, а второй работает, определяются по
точке А'1,2. Мощность, КПД и допустимая высота
всасывания каждого из раздельно работающих насосов определяются соответственно
точками 1', 2', 3'.
Параллельная работа насосов с
различными характеристиками возможна только для таких насосов, у которых
развиваемые напоры отличаются друг от друга незначительно (подача значения не
имеет).
Центробежные насосы включают в
одну систему последовательно, т.е.
напорный патрубок одного насоса подключают к всасывающему патрубку второго, в
тех случаях, когда напор, развиваемый одним насосом, недостаточен для подачи
жидкости на заданную высоту. При этом очевидно, расход остается неизменным, а
высота подъема увеличивается.
На рисунке 21представлена схема
последовательного соединения двух одинаковых центробежных насосов и их
характеристики.
Для определения рабочих
параметров последовательно соединенных насосов необходимо, как и при
параллельной работе насосов, на одном графике совместить суммарную
характеристику насосов ΣQ-
Н1+2 и характеристику системы трубопроводов Q- Нтр.
Построение суммарной характеристики последовательной работы нескольких насосов
осуществляют сложением ординат (напоров) Н при одинаковых расходах Q, так как
напор, развиваемый последовательно работающими насосами, равен сумме напоров,
развиваемых каждым из этих насосов.
Рис. 21. Характеристика
последовательной работы двух одинаковых центробежных насосов.
В случае последовательной
работы двух насосов с одинаковыми характеристиками ординаты (при данном
расходе) удваиваются.
Точка работы насосов (точка А
является точкой пересечения суммарной характеристики насосов ΣQ-
Н1+2 с характеристикой системы трубопроводов Q- Нтр.
По точке А определяются суммарные фактические подачи двух насосов Ql+2и
напор Н1+2. Для определения напора, КПД и мощности каждого насоса
при их совместной последовательной работе необходимо из точки А опустить
перпендикуляр до пересечения с кривыми Q - Н1,2, Q - η1,2,
Q - N1,2 насосов. Ордината точки А1,2определяет
напоры каждого насоса, а подачи у них равны,Q1 = Q2=
Ql+2. КПД и мощность каждого из совместно работающих насосов
определяются соответственно точками 1 и 2.
Последовательная работа насосов
с разными характеристиками возможна только для таких насосов, у которых подача
отличается друг от друга незначительно (напор значения не имеет).
12. Повышение
качества воды
Физические и
химические показатели качества воды. При выборе
источника водоснабжения учитываются такие физические свойства воды как
температура, запах, вкус, мутность и цветность. Причем эти показатели
определяются по всем характерным периодам года (весна, лето, осень, зима).
Температура природных вод
зависит от их происхождения. В подземных водоисточниках вода имеет постоянную
температуру независимо от периода года. Наоборот, температура воды
поверхностных водоисточников изменяется по периодам года в достаточно широком
диапазоне (от 0,1 °С зимой до 24-26°С летом).
Мутность природных вод зависит,
прежде всего, от их происхождения, а также от географических и климатических
условий, в которых находится водоисточник. Подземные воды имеют незначительную
мутность, не превышающую 1,0-1,5 мг/л, зато воды поверхностных водоисточников
почти всегда содержат взвешенные вещества в виде мельчайших частей глины,
песка, водорослей, микроорганизмов и других веществ минерального и
органического происхождения. Однако, как правило, вода поверхностных
водоисточников северных регионов европейской части России, Сибири и частично
Дальнего Востока относится к категории маломутных. Для водоисточников
центральных и южных регионов страны, наоборот, характерна более высокая
мутность воды. Независимо от географических, геологических и гидрологических
условий расположения водоисточника мутность воды в реках всегда выше, чем в
озерах и водохранилищах. Наибольшая мутность воды в водоисточниках наблюдается
во время весенних паводков, в периоды затяжных дождей, а наименьшая - в зимнее
время, когда водоисточники покрыты льдом. Измеряется мутность воды в мг/дм3.
Цветность воды природных
водоисточников обусловлена наличием в ней коллоидных и растворенных
органических веществ гумусового происхождения, придающих воде желтый или бурый
оттенок. Густота оттенка зависит от концентрации этих веществ в воде.
Гумусовые вещества образуются в
результате разложения органических веществ (почвенный, растительный гумус) до
более простых химических соединений. В природных водах гумусовые вещества представлены,
в основном, органическими гуминовыми и фульво-кислотами, а так же их солями.
Цветность характерна для вод
поверхностных водоисточников и практически отсутствует в подземных водах.
Однако иногда подземные воды, чаще всего в болотисто-низинных местах с
надежными водоупорными горизонтами, обогащаются болотистыми цветными водами и
приобретают желтоватую окраску.
Цветность природных вод
измеряется в градусах. По уровню цветности воды поверхностные водоисточники
могут быть малоцветные (до 30-35°), средней цветности (до 80°) и высокоцветные
(свыше 80°). В практике водоснабжения иногда используются водоисточники,
цветность воды которых составляет 150-200°.
Большинство рек Северо-запада и
Севера России относятся к категории высокоцветных маломутных. Средняя часть
страны характеризуется водоисточниками средней цветности и мутности. Вода рек
южных регионов России, наоборот, имеет повышенную мутность и сравнительно
небольшую цветность. Цветность воды в водоисточнике и количественно и
качественно изменяется по периодам года. Во время повышенного стока с
прилегающих к водоисточнику территорий (таяние снега, дожди), цветность воды,
как правило, повышается, изменяется и соотношение компонентов цветности.
Природным водам свойственны
такие качественные показатели, как привкус и запах. Чаше всего природные воды
могут обладать горьким и соленым вкусом и практически никогда кислым или
сладким. Избыток магниевых солей придает воде горьковатый вкус, а натриевых
(поваренная соль) - солоноватый. Соли других металлов, например железа и
марганца, придают воде железистый привкус.
Запахи воды могут быть
естественного и искусственного происхождения. Естественные запахи вызываются
живущими и отмершими в воде организмами, растительными остатками. Основными
запахами природных вод являются болотный, землянистый, древесный, травянистый,
рыбный, сероводородный и др. Наиболее интенсивные запахи присущи воде
водохранилищ и озер. Запахи искусственного происхождения возникают вследствие
выпускав водоисточники недостаточно очищенных сточных вод.
К запахам искусственного
происхождения можно отнести нефтяной, фенольный, хлорфенольный и др.
Интенсивность привкусов и запахов оценивается в баллах.
Химический анализ качества
природной воды имеет первостепенное значение при выборе метода очистки ее. К
химическим показателям воды относятся: активная реакция (водородный
показатель), окисляемость, щелочность, жесткость, концентрация хлоридов,
сульфатов, фосфатов, нитратов, нитритов, железа, марганца и др. элементов.
Активная реакция воды определяется концентрацией водородных ионов. Она выражает
степень кислотности или щелочности воды. Обычно активную реакцию воды выражают
водородным показателем рН, который представляет собой отрицательный десятичный
логарифм концентрации водородных ионов: - рН = - lg [H+]. Для дистиллированной
воды рН = 7 (нейтральная среда). Для слабокислой среды рН < 7, а для
слабощелочной рН > 7. Обычно для природных вод (поверхностных и подземных)
значение рН находится в пределах от 6 до 8,5. Наименьшие значения водородного
показателя имеют высокоцветные мягкие воды, а наибольшие - подземные, особенно
жесткие.
Окисляемость природных вод
вызвана присутствием в них органических веществ, на окисление которых
расходуется кислород. Поэтому величина окисляемости численно равна количеству
кислорода, пошедшего на окисление находящихся в воде загрязняющих веществ, и
выражается в мг/л. Наименьшей величиной окисляемости (~1.5-2мг/л, О2)
характеризуются артезианские воды. Вода чистых озер имеет окисляемость 6-10
мг/л, О2, в речной воде окисляемость колеблется в широких пределах и
может достичь 50 мг/л и даже более. Повышенной окисляемостью характеризуются
высокоцветные воды; в болотистых водах окисляемость может достичь 200 мг/л О2
и более.
Щелочность воды определяется
присутствием в ней гидроксидов (ОН') и анионов угольной кислоты (НСО-з,
СО32,).
Хлориды и сульфаты содержатся
практически во всех природных водах. В подземных водах концентрации этих
соединений могут быть весьма значительны, до 1000 мг/л и более. В поверхностных
водоисточниках содержание хлоридов и сульфатов обычно колеблется в пределах
50-100 мг/л. Сульфаты и хлориды при определенных концентрациях (300 мг/л и
более) являются причиной коррозионной активности воды и разрушающе действуют на
бетонные конструкции.
Жесткость природных вод обусловлена
присутствием в них солей кальция и магния. Хотя указанные соли и не являются
особо вредными для человеческого организма, наличие их в значительном
количестве нежелательно, т.к. вода становится малопригодной для хозяйственных
нужд и для промышленного водоснабжения. Жесткая вода не пригодна для питания
паровых котлов, ее нельзя использовать во многих технологических
производственных процессах.
Железо в природных водах
находится в виде двухвалентных ионов, органоминеральных коллоидных комплексов и
тонкодисперсной взвеси гидроксида железа, а также в виде сульфида железа.
Марганец, как правило, находится в воде в виде ионов двухвалентного марганца,
способного окисляться в присутствии кислорода, хлора или озона, до
четырехвалентного, с образованием гидроксида марганца.
Наличие в воде железа и
марганца может приводить к развитию в трубопроводах железистых и марганцевых
бактерий, продукты жизнедеятельности которых могут накапливаться в больших
количествах и существенно уменьшать сечение водопроводных труб.
Из растворенных в воде газов
наиболее важными с точки зрения качества воды являются свободная углекислота,
кислород и сероводород. Содержание углекислоты в природных водах колеблется от
нескольких единиц до нескольких сотен миллиграммов в 1 л. В зависимости от
величины рН воды углекислота встречается в ней в виде углекислого газа либо в
виде карбонатов и бикарбонатов. Избыточная углекислота весьма агрессивна по
отношению к металлу и бетону:
Концентрация растворенного в
воде кислорода может колебаться от 0 до 14 мг/л и зависит от ряда причин
(температура воды, парциальное давление, степень загрязненности воды
органическими веществами). Кислород интенсифицирует процессы коррозии металлов.
Это надо особенно учитывать в теплоэнергетических системах.
Сероводород, как правило,
попадает в воду в результате контакта ее с гниющими органическими остатками
либо с некоторыми минералами (гипсом, серным колчеданом). Присутствие
сероводорода в воде крайне нежелательно как для хозяйственно-питьевого, так и
для промышленного водоснабжения.
Ядовитые вещества, в частности
тяжелые металлы, попадают в водоисточники в основном с промышленными сточными
водами. Когда имеется вероятность их попадания в водоисточник, определение
концентрации ядовитых веществ в воде обязательно.
Требования к
качеству воды различного назначения. Основные
требования, предъявляемые к питьевой воде, предполагают безвредность воды для
организма человека, приятный вкус и внешний вид, а также пригодность для
хозяйственно-бытовых нужд.
Показатели качества, которым
должна удовлетворять питьевая вода, нормируются «Санитарными правилами и
нормами (СанПиН) 2. 1.4.559-96. Питьевая вода.»
Вода для охлаждения агрегатов
многих производственных процессов не должна давать отложений в трубах и
камерах, по которым она проходит, так как отложения затрудняют теплопередачу и
уменьшают сечение труб, снижая интенсивность охлаждения.
В воде не должно быть крупной
взвеси (песка). В воде не должно быть органических веществ, так как она
интенсифицирует процесс биообрастания стенок.
Вода для паросилового хозяйства
не должна содержать примесей, которые могут вызвать отложения накипи. По
причине образования накипи снижается теплопроводность, ухудшается
теплопередача, возможен перегрев стенок паровых котлов.
Из солей, образующих накипь,
наиболее вредны и опасны CaSO4, СаСО3, CaSiO3,
MgSiO3. Эти соли отлагаются на стенках паровых котлов, образуя
котельный камень.
Для предотвращения коррозии
стенок паровых котлов вода должна обладать достаточным щелочным резервом. Ее
концентрация в котловой воде должна составлять не менее 30-50 мг/л.
Особенно нежелательно
присутствие в питательной воде котлов высокого давления кремниевой кислоты SiO2,
которая может образовывать плотную накипь с очень низкой теплопроводностью.
Основные
технологические схемы и сооружения для улучшения качества воды.
Природные воды отличаются
большим разнообразием загрязнений и их сочетанием. Поэтому для решения
проблемы эффективной очистки воды требуются различные технологические схемы и
процессы, различные наборы сооружений для реализации этих процессов.
Используемые в практике
водоочистки технологические схемы обычно классифицируются на реагентные
и безреагентные; предочистки и глубокой очистки; на одноступенные
и многоступенные; на напорные и безнапорные.
Реагентная схема очистки
природных вод более сложна, нежели безреагентная, зато она обеспечивает более
глубокую очистку. Безреагентная схема, как правило, применяется для предочистки
природных вод. Чаще всего ее используют при очистке воды для технических целей.
Как реагентная, так и
безреагентная технологическая схема очистки могут быть одноступенными и
многоступенными, с сооружениями безнапорного и напорного типа.
Основные, чаще всего
используемые в практике водоочистки технологические схемы и типы сооружений
представлены на рисунке 22.
Отстойники используются в
основном как сооружения для предварительной очистки воды от взвешенных частиц
минерального и органического происхождения. По типу конструкции и характеру
движения воды в сооружении отстойники могут быть горизонтальными, вертикальными
или радиальными. В последние десятилетия в практике очистки природных вод стали
использоваться специальные полочные отстойники с осаждением взвеси в тонком
слое.
Рис. 22. Основные
технологические схемы водоочистки:
а) двухступенчатая с
горизонтальным отстойником и фильтром: 1 - насосная станция I подъема; 2
- микросетки; 3 - реагентное хозяйство; 4 - смеситель; 5 -
камера хлопьеобразования; б - горизонтальный отстойник; 7 - фильтр; 8
- хлораторная; 9 - резервуар чистой воды; 10 - насосы;
б) двухступенчатая
с осветлителем и фильтром: 1 - насосная станция I подъема; 2 - микросетки;
3 - реагентное хозяйство; 4 - смеситель; 5 - осветлитель со
взвешенным осадком; б - фильтр; 7 - хлораторная; 8 - резервуар
чистой воды; 9 - насосы II подъема;
в) одноступенчатая
с контактными осветлителями: 1 - насосная станция I подъема; 2 - барабанные
сетки; 3 - реагентное хозяйство; 4 - сужающее устройство (смеситель);
5 - контактный осветлитель КО-1; 6 - хлораторная; 7 - резервуар
чистой воды; 8 - насосы II подъема
Фильтры, входящие в состав
общей технологической схемы водоочистки, выполняют роль сооружений для глубокой
доочистки воды от взвешенных веществ, не осевших в отстойниках части коллоидных
и растворенных веществ (за счет сил адсорбции и молекулярного взаимодействия).
13. Литература
1. Журба М.Г., Соколов Л.И., Говорова Ж.М.
Водоснабжение: Проектирование систем и сооружений: Учеб. -М.: АСВ, 2009.
2. Воронов Ю.В., Яковлев С.В. Водоотведение
и очистка сточных вод: Учеб. - М: АСВ, 2006.
3. Водоснабжение и канализация на
железнодорожном транспорте/ Под ред. B.C. Дикаревского. - М.: Транспорт, 1980.
4. Кожинов В.Ф. Очистка питьевой и технической
воды. - М.: Стройиздат, 1971.
5. Яковлев СВ. и др. Канализация. - М.:
Стройиздат, 1975.