Технология и техника водоотведения и очистки сточных вод

  • Вид работы:
    Реферат
  • Предмет:
    Строительство
  • Язык:
    Русский
    ,
    Формат файла:
    MS Word
    1,61 Мб
  • Опубликовано:
    2013-08-26
Вы можете узнать стоимость помощи в написании студенческой работы.
Помощь в написании работы, которую точно примут!

Технология и техника водоотведения и очистки сточных вод














Реферат

Технология и техника водоотведения и очистки сточных вод

1. Основные понятия о водоотведении на железнодорожном транспорте

 

Назначение систем водоотведения и виды сточных вод.

На территориях населенных пунктов, железнодорожных станций и промышленных объектов в результате использования воды и по другим причинам образуются загрязненные сточные воды. Они попадают в систему водоотведения (канализацию).

Под системой водоотведения в настоящее время, принято пони мать комплекс инженерных сооружений и мероприятий для приема сточных вод, их удаления за пределы населенного пункта, железнодорожной станции или промышленного предприятия с целью подачи на специальные сооружения для очистки, обезвреживания и дальнейшего повторного использования или, как исключение, для сброса в водный объект.

Приемниками сточных вод служат санитарно-технические приборы (раковины, ванны, унитазы), сливные баки, колодцы и т.п. Транспортирование сточных вод от мест их образования осуществляется по трубам, лоткам, каналам, кюветам. Очистка и обезвреживание воды производятся на очистных станциях, на которых используется сложный комплекс различных аппаратов и сооружений.

В зависимости от происхождения, вида и степени загрязнения сточные воды подразделяют на бытовые, производственные и атмосферные. Бытовые сточные воды образуются в жилых домах, на вокзалах, в гостиницах, а также в других общественных зданиях, в прачечных, банях и т.д. Это воды от раковин, унитазов, ванн и т. п. Производственные сточные воды образуются на промышленных, предприятиях при различных технологических процессах. В частности, на железнодорожных станциях это воды от обмывки локомотивов, вагонов, промывки цистерн и т. д. Производственные сточные воды бывают загрязненными и незагрязненными (к последним относятся, например, воды, используемые для охлаждения различных агрегатов). Атмосферными являются дождевые воды и воды от таяния снега и льда.

Системы водоотведения.

В зависимости от рельефа местности, климата, мощности водоема-приемника сточных вод, благоустройства объекта и других факторов могут быть применены раздельная (полная и неполная), общесплавная, полураздельная и комбинированная системы водоотведения. При полной раздельной системе укладывают две сети труб (Рис. 1, а). По одной из них бытовые и загрязненные производственные сточные воды поступают на очистные сооружения 4, а по второй атмосферные воды отводятся кратчайшим путем в водоем. При полной раздельной системе атмосферные воды также могут поступать на свои отдельные очистные сооружения или в регулирующие резервуары и далее тоже на очистку (Рис. 1, б)

Неполная раздельная система отличается от полной только тем, что здесь атмосферные воды поступают в водоем поверхностным стоком, т. е. по открытым кюветам и лоткам. Допустимость выпуска атмосферных вод в водные объекты без очистки решается в каждом конкретном случае отдельно с учетом заключения санитарных органов. С территорий железнодорожных станций сбрасывать атмосферные воды без очистки, как правило, недопустимо. Категорически не разрешается выпуск дождевых вод в непроточные и рыбоводные пруды, в местах расположения пляжей и в пределах населенных пунктов при скоростях течения воды в водотоках менее 5 см/с и расходах воды в них до 1 м3/с.

При общесплавной системе (Рис. 1, в) все сточные воды отводятся на очистные сооружения по одной сети труб 8. Для уменьшения размеров основных коллекторов на них устраивают ливнеспуски 9, через которые во время интенсивных дождей часть воды сбрасывается без очистки в водоем по специальным трубопроводам.

Рис. 1 Системы водоотведения:

(а); раздельная (полная) со сбросом атмосферных вод в дождевой коллектор (б); общесплавная (в), полураздельная (г): 1 - трубопроводы или лотки для сбора и отведения атмосферных вод; 2 - трубопроводы для сбора и отведения бытовых и производственных вод; 3 - граница населенного пункта; 4 - очистные сооружения; 5 - перехватывающие коллекторы для отведения бытовых и производственных вод; 6 - то же для атмосферных вод; 7 - очистные сооружения для атмосферных вод; 8 - общесплавные трубопровод; 9 - камеры ливнеспусков; 10 - очистные сооружения для очистки смеси производственно-бытовых и атмосферных вод, 11 - разделительные камеры

Полураздельная система (Рис. 1, г), как и полная раздельная, предусматривает устройство двух сетей. Одна из сетей 2 служит, для отведения бытовых и производственных сточных вод, а вторая 1, для отведения атмосферных вод. В точках пересечения коллекторов 1 с главным коллектором 8 устраивают разделительные камеры. Через эти камеры (рис. 3) первые наиболее загрязненные порции дождевого стока при сильных дождях, а также вся вода при небольших дождях попадают в главный коллектор 2 и вместе с производственно-бытовыми водами отводятся на очистку по трубопроводу 4, поскольку дальность отлета струи при увеличении расхода возрастает. В отличие от общесплавной системы бытовые и производственные воды здесь в водоем не попадают. При комбинированной системе в разных районах города, в зависимости от степени благоустройства, рельефа, наличия промышленных предприятий и т.д., устраивают различные системы водоотведения.

Выбор той или иной системы следует производить по технико-экономическим и санитарно-гигиеническим показателям. Этому выбору придают большое значение, поскольку от вида системы зависят чистота водоема и стоимость водоотведения. С санитарно-гигиенической точки зрения самой лучшей является полураздельная система, поскольку при ней не только бытовые, но и самые загрязненные первые порции дождевых вод попадают на очистку.

Учитывая повышенные требования к сохранению чистоты воды водоемах, полураздельной системе в большинстве случаев следует отдавать предпочтение перед другими системами. Полная раздельная и общесплавная системы в санитарно-гигиеническом отношении примерно равноценны, поскольку при первой из них дождевые воды часто вообще не очищаются, а при второй часть смеси бытовых, производственных и дождевых вод иногда попадает без очистки в водоем. Неполную раздельную систему следует рассматривать только как первую очередь полной раздельной.

С экономической точки зрения самой дорогой раньше считалась полураздельная система, а самой дешевой неполная раздельная. Однако произведенные в последние годы экономические подсчеты показали, что разница в стоимости полураздельной и полной раздельной систем сравнительно невелика, в частности для самих сетей эта разница составляет около 6%. Более существенно возрастает стоимость насосных станций и очистных сооружений при переходе к полураздельной системе.

В тех случаях, когда требуется очистка дождевого стока, полураздельная система обычно получается самой экономичной. Общесплавная система по капитальным затратам дороже полной раздельной в основном за счет стоимости устройства ливнеспусков и увеличения размеров очистных сооружений, зато дешевле по эксплуатационным расходам, поскольку трубы больших диаметров засоряются реже. По санитарно-гигиеническим условиям применение такой системы не всегда допустимо.

В большинстве случаев вопрос о выборе системы должен решаться экономическим сравнением вариантов для конкретных условий.

Схемы коллекторов водоотведения. В зависимости от принятой системы и рельефа местности применяются различные схемы коллекторов водоотведения: перпендикулярная, пересеченная, параллельная, зонная и радиальная.

Рис. 2. Схемы коллекторов водоотведения:

а - перпендикулярная; б - пересеченная; в - параллельная; г - зонная; д - радиальная

При перпендикулярной схеме коллекторы трассируются по направлению к водоему (Рис. 2, а), эту схему применяют для отведения атмосферных вод при раздельной системе водоотведения.

Пересеченная схема (Рис. 2, б) отличается от перпендикулярной наличием перехватывающего главного коллектора. Применяется при необходимости транспортирования сточных вод на очистные сооружения.

Параллельная или веерная схема (Рис. 2, в) применяется в тех же случаях, что и пересеченная, но при очень крутом рельефе, когда расположение уличных коллекторов перпендикулярно горизонталям местности приводит к образованию в трубах недопустимо больших скоростей.

Зонную или поясную схему (Рис. 2, г) выбивают, когда объект водоотведения расположен на двух или более характерных террасах с резко отличающимися средними отметками.

Радиальную схему (Рис. 2, д) используют в больших городах при возможности устройства нескольких очистных станций. Она на транспорте применяется редко и рекомендуется для сейсмических районов

В последние годы получает распространение идея районных схем водоотведения. В этих схемах для ряда близко расположенных городов, поселков, железнодорожных станций и промышленных предприятий намечается предусмотреть один комплекс крупных очистных сооружений, сточные воды к которому подводятся по ряду коллекторов. Это позволяет даже для небольших населенных пунктов и предприятий обеспечить наиболее совершенную систем очистки сточных вод, организовать эффективный контроль за степенью очистки и получить определенные экономические преимущества. Для подачи воды на очистные сооружения при применении районных схем водоотведения обычно предполагается использовать насосные станции.

Основные элементы систем водоотведения. В состав систем водоотведения входят приемники сточных вод, внутридомовые или внутрицеховые трубопроводы, внутриквартальные, внутристанционные или внутризаводские сети, уличные сети, колодцы, насосные станции, переходы через реки и дороги и очистные сооружения.

Рис. 3. Внутриквартальные сети водоотведения:

бытовая (а) и дождевая (б); 1 - приемники сточных вод; 2 - стояк; 3- внутриквартальные сети; 4 - промежуточные колодцы или дождеприемники на дождевой сети; 5 - уличный колодец

По внутридомовой и внутриквартальной сети (Рис. 3, а) сточные воды из приемников (раковин, ванн, унитазов) 1 через отводные трубопроводы попадают в стояк 2, откуда по внутриквартальной сети 3 достигают уличного колодца 5. Внутри квартала имеется еще ряд колодцев 4, предназначенных для присоединения выпусков из других домов и для контроля за работой сети.

Для приема дождевых и талых вод внутри квартала и на улице устраивают специальные колодцы с решетчатой крышкой, называемые дождеприемниками. Дождеприемники располагают только на улицах в тех случаях, когда дождевая внутриквартальная сеть отсутствует, или размещают как на улицах, так и внутри квартала (Рис. 3, б).

Для приема и отведения дождевых вод с крыш крупных цехов применяют систему внутренних водостоков: установленные на крышах воронки; отводные стояки и внутрицеховые дождевые коллекторы.

На рисунке 4 для примера показана схема производственной; системы водоотведения населенного пункта и железнодорожной станции. Здесь рельефом местности образованы три ясно различия бассейна канализования; один из них В - на левом берегу реки два А и Б - на правом, разделенные водоразделом О-О. Внутри того бассейна возможно самотечное движение сточных вод без естественных заглублений труб. Сточные воды в бассейне А добираются в самой низкой точке в резервуар районной насосной 9 и перекачиваются насосами по трубопроводу 8 через водораздел в главный коллектор 7 (другим решением может быть прокладка через водораздел коллектора на большой глубине без устройства районной насосной станции).

Уличная сеть водоотведения представляет собой систему разветвленных подземных трубопроводов, которые разделяются по назначению на уличные магистрали уличные коллекторы 4, коллекторы 10 бассейнов водоотведения главный коллектор 7, отводящий все сточные воды на очистные сооружения 1. При пересечениях рек и глубоких оврагов использованы дюкеры 5, а при пересечениях дорог - специальные переходы.

 


Рис. 4. План населенного пункта и железнодорожной станции с нанесением производственно-бытовых сетей водоотведения:

1 - очистная станция; 2 - главная насосная станция; 3 - уличные магистрали; 4 - уличные коллекторы; 5 - дюкер (переход через реку); 6 и 9 - районные станции перекачки; 7 - главный коллектор; 8 - напорный трубопровод; 10 - коллекторы бассейнов канализования; 11 - местные насосные станции; 12 - местные очистные сооружения (А, Б, В - бассейны водоотведения

При значительных заглублениях труб для подъема воды уменьшения глубины заложения трубопроводов сооружают районные станции перекачки б, а для подачи воды под напором от отдельных объектов: депо, промпредприятий и т.д. - местные насосные станции 11. Здесь же можно располагать местные очистные сооружения 12. В конце главного коллектора, как правило, устраивают главную насосную станцию 2, насосы которой подают воду на очистные сооружения 1.

Сточные воды промышленных и железнодорожных предприятий частично могут поступать в общую сеть города или поселка и вместе бытовыми водами отводиться на очистные сооружения. Перед выпуском в сеть водоотведения города сточные воды должны удовлетворять следующим требованиям: содержание взвешенных и всплывающих загрязнений в воде должно быть не более 500 мг/дм3, вода не должна иметь примесей, способных отлагаться на стенках труб или вызывать разрушение труб, в воде не должно быть горючих или иных взрывоопасных смесей, а также веществ, препятствующих процессам биологической очистки воды или последующему сбросу воды в водоемы, температура воды не должна превышать 40°С. В тех случаях, когда производственные сточные воды не удовлетворяют этим требованиям, их подвергают предварительной очистке на местных очистных сооружениях. При этом большая часть сточных вод железнодорожных и иных предприятий после очистки Должна использоваться на данном объекте или на другом промпредприятий многократно.

Водоотведение на железнодорожном транспорте. На объектах железнодорожного транспорта бытовые сточные воды образуются в пассажирских зданиях, жилых домах, производственных и общественных зданиях.

Промышленные сточные воды возникают в процессе производственных циклов в помещениях локомотивных и вагонных депо, на ремонтных заводах, на пунктах подготовки пассажирских и грузовых вагонов, промывочно-пропарочных станциях, дезинфекционной промывочных станциях и пунктах, шпалопропиточных заводах и иных предприятиях. Эти сточные воды после местной очистки, как правило, должны вновь использоваться в процессе производства, но во всех случаях их приходится частично обновлять, и поэтому до 30-50% от объема подобных сточных вод пока поступает в системы водоотведения

Для железнодорожных станций, кроме того, весьма актуальным является отведение дождевых и грунтовых вод. Способы понижения уровня грунтовых вод рассматриваются в специальной литературе. На станционных территориях образуются не только атмосферные стоки от выпадающих дождей и таяния снега, но и сравнительно чистые воды от не вовремя закрытых водоразборных кранов и колонн, переливов при заправке вагонов, тушения пожаров на I станционных путях и т.п. Во всех случаях появляющаяся на станционном полотне вода должна быть быстро удалена при помощи специальных водоотводных устройств (лотков, кюветов, трубопроводов, канав и т.п.). В противном случае при скапливании воды на станционных путях возможны просадки верхнего строения пути, размывы земляного полотна, повреждение стрелочных переводов, особенно при замерзании воды, нарушения действия автоматики и др. неприятности.

Поскольку образующиеся на станционных путях атмосферные и иные сточные воды, обычно загрязняются здесь нефтепродуктами, частицами грунта или другими остатками грузов, то они перед сбросом в водные протоки или овраги должны подвергаться специальной очистке. Поверхностные сточные воды в первую очередь должны отводиться от мест укладки стрелочных переводов (горловин станционных парков), пассажирских платформ, грузовых площадок, товарных дворов, складов, подъездов к пассажирскому зданию и с других подобных территорий. На рисунке 27 представлена схема водоотводных сооружений, расположенных в горловине сортировочного парка.

Поверхностные воды, образующиеся вне станционных территорий, на площадях, имеющих отметки земли выше, чем станционные пути и уклон в сторону последних (Рис. 6), должны быть полностью перехвачены кюветами 4 и нагорными канавами 3 и отведены в ближайшие водотоки или в низины. В необходимых случаях устраивают водопропускные трубы.

Рис. 5. Схема отведения поверхностных вод от горловины сортировочного парка:

- водоотводная канава; 2 - междушпальные лотки; 3 - междупутные лотки; 4 - поперечные подземные лотки (или трубы)

Рис.6. Защита железнодорожной станции от атмосферных вод:

- железнодорожный поселок; 2 - пассажирское здание; 3 - нагорные канавы; 4 - кюветы; 5 - железнодорожные пути на станции

 

Нормы водоотведения. Определение расчетных расходов производственно-бытового водоотведения.

Под нормой водоотведения понимают объемы воды, поступающие в сети водоотведения, приходящиеся в сутки на одного жителя или на единицу продукции. Нормы водоотведения на одного человека в жилых кварталах условно считают совпадающими с нормой водопотребления и указаны в СНиП 2.04.02-84 «Водоснабжение. Наружные сети и сооружения». В эту норму входит:

1. Количество воды, потребляемое в быту;

. Количество воды, потребляемое на коммунальных предприятиях.

Сточные воды поступают в сеть водоотведения неравномерно в разные сутки и в отдельные часы суток. Эта неравномерность обусловлена укладом жизни людей и технологией производственных процессов на предприятиях и учитывается коэффициентами суточной неравномерности Ксут как отношение максимальных и средних суточных расходов:


или аналогичным коэффициентом часовой неравномерности

Кч =Qчмакс/Qчср.

Максимальные расходы, поступающие в сеть водоотведения от жилых кварталов, учитываются коэффициентами общей неравномерности:


Значение общего коэффициента неравномерности зависит от среднего расхода сточных вод и принимается по СНиП 2.04.03-85.

Значения коэффициентов неравномерности поступления в сеть промстоков от железнодорожных предприятий в первую очередь зависят от технологических процессов и назначаются в основном аналогии с подобными действующими предприятиями.

Для расчета сетей производственно-бытового водоотведения в первую очередь определяются расчетные расходы. Обычно это максимальные, иногда средние расходы.

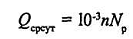
Среднесуточный расход бытовых сточных вод, м3/сут, от жилых кварталов населенного пункта определяют по формуле:


где: п - норма водоотведения, л/сут, на одного жителя;

Np- расчетное число жителей.

Среднесекундный расход бытовых сточных вод, л/с,


Максимальный расчетный секундный расход, л/с:


Для общественно-бытовых зданий в населенном пункте соответственно максимальные суточный и секундный расходы равны:

где: по- норма расхода воды на единицу измерения в сутки максимального водоотведения, л;

No- число единиц измерения за время работы объекта в сутки, например сухого белья в кг и т.д.;

пч- норма расхода воды в час максимального водоотведения, л.

N1- число единиц измерения в час.

Нормы расхода воды пои пч принимаются по СНиП 2.04.02-85 «Внутренний водопровод и канализация зданий». Например, для бань при продолжительности их работы Т = 12 ч в сутки по = пч=180 л/чел., для больниц по = 200 л/чел, и пч = 12 л/чел., для школ по=20 л/чел, и пч = 2,7 л/чел, и т. д..

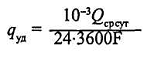
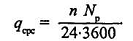
Расходы сточных вод от общественно-бытовых зданий (бань, прачечных, больниц, клубов, школ) входят в норму водоотведения п на одного жителя, и потому их определяют отдельно только в тех случаях, когда они учитываются при расчете как сосредоточенные. При расчете бытовых сетей обычно пользуются удельным расходом сточных вод q, под которым понимают средний расход в л/с, холящийся с 1 га жилой застройки:


где: F - площадь жилой застройки, га

Если при расчете расходы от общественно-бытовых объектов, входящие в норму водоотведения, учитывают как сосредоточенные расходы, то предыдущая формула примет вид:



где: Qсоср - сосредоточенные расходы от общественно-бытовых объектов.

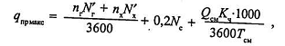
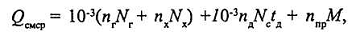
Расход сточных вод от промышленного предприятия, м3, определяется по сменам:


где: nг и nx - соответственно нормы водоотведения бытовых вод на одного человека в горячих и холодных цехах, л/смену (nг = 45 л/чел, и пх= 25 л/чел.)

Nг и Nх- число работающих в смену соответственно в горячих и холодных цехах;

пд- норма водоотведения душевых вод от одной душевой сетки, л/ч (= 5 00 л/ч);

Nc- число душевых сеток на предприятии;

tд - время работы душей после смены (tд = 45 мин = 0,75 ч);

ппр - норма водоотведения на единицу продукции, м3;

М - число единиц продукции, выпускаемой в смену.

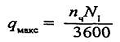
Максимальный секундный (расчетный), л/с, расход бытовых сточных вод на промышленном предприятии определяется по формуле:


где: N'г и N'х- максимальное число работающих в смену, чел;

Qсм- расход производственных вод в максимальную по пpoизводительности в смену, л/смену;

Кч- коэффициент часовой неравномерности;

Тсм- продолжительность смены, ч.

2. Перекачка сточных вод

 

Классификация канализационных насосных станций и насосы для перекачки сточных вод. В случаях, когда сточные воды невозможно или экономически невыгодно отводить самотеком на очистку или повторное использование, устраивают канализационные насосные станции. В зависимости от положения в общей схеме канализации их подразделяют на: главные, подающие всю воду на очистные сооружения; районные, переучивающие сточную воду от отдельных районов канализования; местные, перекачивающие сточную воду от отдельных объектов, и сетевые, располагаемые на коллекторах для уменьшения их заглубления. По роду перекачиваемой жидкости различают станции для перекачки бытовых, производственных и дождевых сточных вод, а также для перекачки осадка - иловые.

По расположению приемного резервуара относительно машинного зала станции бывают раздельные и совмещенные, когда в одном здании размещаются приемный резервуар и машинный зал. Насосные агрегаты на канализационных насосных станциях, как правило, располагаются ниже поверхности земли. По этому признаку тают незаглубленные станции (глубина подводящего коллектора до 4 м), полузаглубленные (до 7 м) и шахтные (более 7 м). Г. По типу установленных насосных агрегатов они могут быть с вертикальными, горизонтальными и осевыми насосами, а по их расположению - с погружными насосами, когда насосный агрегат располагается непосредственно в воде в приемном резервуаре и с погружными насосами, устанавливаемыми в машинном зале. По характеру управления насосные станции бывают с ручным управлением, полуавтоматические, автоматические и с дистанционным управлением.

Для перекачки сточных вод используются в основном центробежные насосы, но также применяются шнековые насосы, гидроэлеваторы, насосы, предназначенные для перекачивания пульпы (грунтовые насосы и землесосы), песка (песковые насосы), шлама и шлака (баггерные насосы).

Насосы для перекачки сточной жидкости и осадков конструктивно несколько отличаются от обычных водопроводных, но основные свойства и принцип их работы одинаковы. Конструктивные особенности канализационных насосов определяются перекачкой жидкости загрязненной отбросами, которые не должны выводить их из строя. При засорении их конструкция насоса должна обеспечивать возможность быстрой прочистки колеса, корпуса и патрубков.

Для этого на корпусе насоса и выходном патрубке устроены люки-ревизии для прочистки. Насосы выполняют одноколесными без направляющих аппаратов, число лопаток колеса уменьшено до двух четырех и увеличена ширина колеса, лопатки имеют боле плавные очертания.

Отечественная промышленность выпускает центробежные канализационные насосы с горизонтальным и вертикальным расположением вала производительностью от 2 до 1000 л/с и напором от 7 до 98 м. Для перекачки осадков сточных вод применяются те насосы, что и для сточной жидкости. Для перекачки активного и осадка на крупных очистных станциях применяют осевые плунжерные насосы.

3. Устройство канализационных насосных станций

Канализационная насосная станция (Рис. 7) состоит из приемного резервуара и машинного зала.

Приемный резервуар предназначен для кратковременного регулирования притока сточных вод. В помещении приемного резервуара на подводящих каналах устанавливают решетки решетки-дробилки. Размеры прозоров решетки выбирают зависимости от марки насосов для защиты их от засорения. При расположении насосной станции на площадке очистных сооружений могут быть установлены решетки с малыми прозорами 16 - 20 мм для очистки сточной воды. При количестве отбросов более 0,1 м3/сут должна быть предусмотрена механическая их очистка и размельчение отбросов, с возвратом в поток воды. В решетках-дробилках этот процесс происходит в потоке жидкости.

В совмещенных канализационных насосных станциях приемные резервуары должны быть отделены водонепроницаемой перегородкой от машинного зала. В местах прохода труб устанавливают сальниковые устройства. В помещении приемного резервуара располагают поливочные краны с брандспойтами для смыва осадка, а также устраивают приточно-вытяжную вентиляцию с пятикратным обменом воздуха в течении часа.

Рис. 7. Схема канализационной насосной станции, совмещенной с приемным резервуаром:

- насосный агрегат; 2 - дробилка; 3 - решетка; 4 - шибер; 5 - гидроизоляция; 6 - лаз в резервуарах; 7 - приемный резервуар; 8 - машинный зал

В машинном зале размещают насосные агрегаты, всасывающие и напорные трубопроводы, контрольно-измерительную аппаратуру, дренажные насосы и грузоподъемные устройства. Число рабочих насосов, устанавливаемых в машинном зале, определяют по счетному притоку. Для бесперебойной работы станции в ней кроме рабочих насосов устанавливают резервные агрегаты (не менее двух), опускается один из резервных насосов хранить на складе.

Требуемый напор насоса, м, определяется по формуле:

 

Н=Нг+hнс+hн+hзап

где: Нг- геометрическая высота подъема жидкости, определяемая как разность между отметкой подачи и расчетной отметкой в резервуаре при заполнении его на половину глубины;

hнc- потери напора в коммуникациях насосной станции (hнc = 2-3м);

hн - потери напора в напорных трубопроводах, м;

hзап - запас на излив из трубопровода (hзап =1 м).

Насосы в машинном зале рекомендуется устанавливать под заливом, т.е. верх корпуса насоса должен располагаться ниже максимального рабочего горизонта ZMAKC откачиваемой жидкости, этих условий отметка оси насоса z0H составит:

он ≤ Zмакс- е

где: е - расстояние от оси насоса до верха корпуса, м.

В машинном зале устраивается канал для сбора дренажной воды приямком в нем для всасывающего патрубка дренажного насоса глубиной А1= 0,2-0,4 м. Полу станции придается уклон к канаве i = 0,03-0,05. Насосы устанавливают на фундаменты, размеры которых определяют по заводским установочным чертежам. Высота фундамента регламентируется возможностью присоединений к насосу трубопроводов и арматуры и составляет обычно А2 = 0,1-1 0,3 м, а расстояние А3от фундамента до оси насоса с учетом рамы под него принимается по каталогам насосов. Тогда:

Zон.. = zдр + А1 + А2 + А3,

где: zдр - отметка днища резервуара (Рис. 7).

Конструкция машинного зала должна обеспечивать свободный доступ к насосным агрегатам и вспомогательному оборудованию и возможность его профилактического ремонта без остановки станции. Расстояние между неподвижными выступающими частями трубопроводов и оборудования принимается не менее 0,7 м; между агрегатами при установке электродвигателей с напряжением до 1000 В - 1 м, с большим напряжением - 1,2 м; между агрегатами и стеной в шахтных станциях - 0,7 м; в прочих станциях - 1м. Проход перед распределительным щитом должен быть не менее 2 м, вокруг решеток с механизированными граблями и решеток-дробилок - не менее 1,2 м. Перед фронтом решеток с механизированными граблями - не менее 1,5 м. Размеры монтажной площадки должны обеспечивать проход шириной не менее 0,7 м вокруг установленного на ней оборудования. Ширина В и длина L фундамента обычно на 0,05-0,15 м больше размеров фундаментной плиты насоса.

Похожие работы на - Технология и техника водоотведения и очистки сточных вод

 

Не нашли материал для своей работы?
Поможем написать уникальную работу
Без плагиата!
Без нейросетей!