Проектирование 'Кафе-стейк' на 70 посадочных мест с баром на 30 мест в городе Тольятти

  • Вид работы:
    Дипломная (ВКР)
  • Предмет:
    Другое
  • Язык:
    Русский
    ,
    Формат файла:
    MS Word
    144,7 Кб
  • Опубликовано:
    2013-09-28
Вы можете узнать стоимость помощи в написании студенческой работы.
Помощь в написании работы, которую точно примут!

Проектирование 'Кафе-стейк' на 70 посадочных мест с баром на 30 мест в городе Тольятти

Аннотация

Дипломный проект на тему «Проектирование «Кафе-стейк» на 70 посадочных мест с баром на 30 мест» в городе Тольятти.

В дипломном проекте приведено технико-экономическое обоснование для «Кафе-стейк», дана общая характеристика предприятия.

В организационном разделе принята организационно-правовая форма предприятия, режим работы, разработана организационная структура предприятия, определен состав производственных цехов и других групп помещений, состав и квалификация персонала.

В технологическом разделе произведены технологические расчеты, включающие: разработку однодневного меню и производственной программы цехов; подбор теплового, механического, холодильного и вспомогательного оборудования; расчет площадей помещений и количества персонала. Разработаны схемы технологических потоков, произведена компоновка помещений и расстановка оборудования.

В архитектурно-строительном разделе принято объемно-планировочное решение предприятия, определены основные конструкционные элементы и строительные материалы, разработан генеральный план и план предприятия.

Раздел инженерного обеспечения предприятия включает расчеты по холодоснабжению, электроснабжению, санитарно-техническому содержанию проектируемого предприятия общественного питания.

В разделе охраны труда и защиты окружающей среды приведены требования к микроклимату помещений, условиям труда и безопасным методам работы персонала на данном предприятии, планируемые мероприятия по защите окружающей среды от вредных воздействий.

В экономическом разделе произведен расчет месячного товарооборота предприятия, издержек и валового дохода, срока окупаемости предприятия.

На основании проведенных расчетов сделаны общие выводы.

Введение

Актуальность работы. Общественное питание является важным звеном в системе экономических и социальных мероприятий, направленных на повышение материального и культурного уровня жизни людей.

Развитие общественного питания предполагает экономию трудовых и материальных ресурсов в масштабах всего общества. Освобождается трудовое население, занятое организацией питания в домашних условиях, оно увеличивает трудовые ресурсы.

Главной задачей является обеспечение значительного подъема материального и культурного уровня жизни общества на основе высоких темпов развития производства, повышения его эффективности и научно-технического прогресса. Росту благосостояния общества будет способствовать увеличение товарных ресурсов в стране. Это создаст и хорошие предпосылки для развития общественного питания, товарооборот и выпуск продукции которого должны постоянно увеличиваться.

В настоящее время поставлена задача коренного улучшения работы предприятий общественного питания, обращено особое внимание на повышение качества приготовляемой пищи и культуры обслуживания.

Для решения этих задач необходимо оснащать предприятия общественного питания новейшей техникой, внедрять передовые технологии автоматизировать производственные процессы и совершенствовать организацию труда.

Основным документом, определяющим тип и класс предприятия, является ГОСТ Р 50762-2007 «Услуги общественного питания. Классификация предприятий общественного питания». Настоящий стандарт устанавливает классификацию предприятий общественного питания, общие требования к предприятиям общественного питания различных типов и классов.

Согласно ГОСТу кафе - это предприятие общественного питания по организации питания и (или без) отдыха потребителей с предоставлением ограниченного по сравнению с рестораном ассортимента продукции общественного питания, реализующее фирменные, заказные блюда, изделия и алкогольные и безалкогольные напитки. [24]

Цель дипломного проекта. В данном дипломном проекте мной будет проектироваться «Кафе-стейк» на 70 посадочных мест с баром на 30 мест в городе Тольятти.

Для реализации поставленной цели необходимо было решить следующие задачи:

. Провести маркетинговые исследования потребительских мотиваций и предпочтений потенциальных посетителей при выборе услуг «Кафе-стейк».

. Изучить и проанализировать научно-техническую литературу и патентную информацию алгоритма современного проектирования «Кафе-стейк».

. Обосновать целесообразность проектирования «Кафе-стейк» на улице 70 лет Октября города Тольятти.

. Представить проект «Кафе-стейк» на 70 посадочных мест с баром на 30 мест.

. Рассчитать основные технико-экономические показатели и окупаемость проекта «Кафе-стейк».

Предметом исследования данного дипломного проекта является алгоритм современного проектирования «Кафе-стейк» на 70 посадочных мест с баром на 30 мест.

Объект исследования является проектирование «Кафе-стейк» на 70 посадочных мест с баром 30 мест.

1. Технико-экономическое обоснование

При разработке ТЭО учитывают достижения науки и техники, поскольку строящиеся, реконструируемые и расширяемые предприятия ко времени ввода в действие должны быть технически передовыми, иметь высокие показатели по производительности труда и качеству продукции, обеспечивать безопасность и нормальные условия труда. Только после вывода об экономической целесообразности и хозяйственной необходимости проектирования и строительства предприятия начинают разработку задания на проектирование.[9]

В городе Тольятти нет предприятий данного типа, поэтому проект «Кафе-стейк» предлагается к внедрению на улице 70 лет Октября города Тольятти.

По результатам исследования потребительских предпочтений «Кафе-стейк» маркетингового агентства «Метрикс» около 79% опрошенных будет интересно посетить «Кафе-стейк», 24% в любое/разное время, 66%- вечером, 7% опрошенных - во время обеда, 3% - утром. Режим работы проектируемого «Кафе-стейк» предусматривается начинать работать с 10:00 до 24.00. Проектируемое «Кафе-стейк» призвано заполнить пустующую на сегодняшний день нишу на рынке общественного питания в данном городе.

Проектируемое «Кафе-стейк» будет иметь свой ассортимент выпускаемой и приготовляемой продукции, удобное и благоприятное расположение, оказывать качественные услуги по организации питания, тем самым удовлетворять потребности населения.

Согласно проведённому анализу маркетинговых исследований, можно констатировать, что проектируемое «Кафе-стейк», будет функционировать в сфере досуга и развиваться.

2. Организация предприятия

.1 Описание предприятия

Юридический статус проектируемого «Кафе-стейк» проектом предусматривается как общество с ограниченной ответственностью (ООО).

Предполагается, что учредителями проектируемого «Кафе-стейк» будут физические лица уставный капитал, <#"668092.files/image001.gif">

Рисунок 2.1 - Организационная структура «Кафе-стейк»

.3 Организация снабжения и складское хозяйство

В проектируемом «Кафе-стейк» проектом предусматривается Рациональная организация снабжения сырьем, полуфабрикатами, продуктами и материально-техническими средствами для эффективной и ритмичной работы производства.

К организации и продовольственному снабжению «Кафе-стейк» предъявляются следующие требования:

обеспечение широкого ассортимента товаров в достаточном количестве и надлежащего качества в течение года;

своевременность и ритмичность завоза товаров при соблюдении графика завоза;

сокращение звенности продвижения товаров;

оптимальный выбор поставщиков и своевременное заключение с ними договоров на поставку товаров.

С поставщиками предусматривается заключать договор поставки продуктов питания, в нем будут указываются цены и порядок расчета за товар, цены на товар обсуждаются ежеквартально и фиксируются в протоколе согласования цены. В договоре будут указываются условия, порядок и сроки поставки продуктов питания. Перед каждой поставкой товара согласовывается стоимость будущего заказа и передается заявка на количество товара. На основании полученных данных поставщик и осуществляет доставку продуктов. Сопроводительная документация на поставку товара является обязательной на каждую новую партию товаров и предоставляется стороной поставщика заранее в бухгалтерию. В договоре будет указывается порядок приемки товара, так же упаковка и маркировка товара.[8]

Доставка пищевых продуктов согласно проекту предусматривает осуществление специализированным транспортом, имеющий оформленный в установленном порядке санитарный паспорт. Допускается использование одного транспортного средства для перевозки разнородных пищевых продуктов при условии проведения между рейсами санитарной обработки транспорта с применением дезинфицирующих средств.

Приемка товаров является важной составной частью технологического процесса. Товар предусматривается принимать по: накладным, товарно-транспортным накладным, счету-фактуре. Приемку проводят в два этапа.

Продукты получают по количеству и качеству. Первый этап - предварительный. Приемка продукции по количеству производится по товарно-транспортным накладным, счетам-фактурам, путем пересчета тарных мест, взвешивания и т.п. Второй этап - окончательная приемка. Масса нетто и количество товарных единиц проверяются одновременно со вскрытием тары, но не позднее 10 дней, а по скоропортящейся продукции - не позднее 24 ч с момента приемки товаров. Масса тары проверяется одновременно с приемкой товара. При невозможности взвешивания продукции без тары масса нетто определяется как разность между весом брутто и тары.

Одновременно с приемкой товаров по количеству товар принимается также и по качеству. Срок проверки качества для скоропортящихся товаров - 24 ч, для нескоропортящихся - 10 дней.

Приемка товаров по качеству производится органолептически (по виду, цвету, запаху, вкусу). При этом проверяют соответствие стандартам, ТУ. К транспортным документам прикладываются сертификаты или удостоверения качества, где указываются дата изготовления, срок реализации, название фирмы; гигиенические сертификаты (с указанием допустимых и фактических уровней тяжелых металлов).

Складские помещения служат для приёмки поступающих продуктов, сырья и полуфабрикатов, их краткосрочного хранения и отпуска. Складские помещения имеют удобную связь с производственными цехами. Комплекс складских операций представляет собой следующую последовательность: приёмка товара; размещение, хранение, отпуск товара из мест хранения.

Устройство складского помещения обеспечивает: полную количественную и качественную сохранность материальных ценностей; надлежащий режим хранения; рациональную организацию выполнения складских операций; нормальные условия труда.

Для хранения скоропортящихся продуктов на данном предприятии предусматриваются охлаждаемые камеры для хранения мяса и рыбы, молочных продуктов, жиров и гастрономических продуктов, напитков. Хранятся продукты на стеллажах.

Объёмно-планировочные требования:

складская площадь должна быть компактна, для каждого товара выделен участок;

оборудование должно быть рационально размещено, причем предусматривается необходимая площадь для проездов и проходов;

высота складских помещений, расположенных в подвальных этажах, должна быть не менее 2,5 м; охлаждаемых камер - не менее 2,4 м;

подъезд транспорта и разгрузка продуктов должны осуществляться со стороны хозяйственного двора;

охлаждаемые камеры должны размещаться одним блоком с общим тамбуром.

Санитарно-гигиенические требования:

для соблюдения санитарных правил стены в складских помещениях должны быть защищены от проникновения грызунов и покрашены масляной краской, а стены охлаждаемых камер облицованы кафельной плиткой для систематической влажной уборки;

освещение в охлаждаемых камерах должно быть только искусственным, в других складских помещениях освещение кроме искусственного может быть и естественным; коэффициент естественного освещения 1:15 (соотношение площади окон к площади пола), норма искусственного освещения 20 Вт на 1 м2;[33]

вентиляция в складских помещениях должна быть естественной и механической (вытяжной);

полы должны обеспечивать безопасное и удобное передвижение грузов, людей и транспортных средств;

ширина коридоров складов принимается 1,3-1,8 м, а если применяются тележки - 2,7 м.[5]

2.4 Организация производства

Сущность организации производства заключается в создании условий, обеспечивающих правильное ведение технологического процесса приготовления пищи.

Структура проектируемого предприятия предусматривается цеховая и включает следующие цеха: горячий, холодный, овощной и мясо-рыбный.

Площадь производственных помещений обеспечивает безопасные условия труда и соблюдение санитарно - гигиенических требований. Площадь состоит из полезной площади, занятой под различным технологическим оборудованием, а также площади проходов. Высота производственных помещений 3 м. Стены на высоту 1,8 м от пола облицованы керамической плиткой, остальная часть покрыта светлой клеевой краской.

Полы предусматриваются водонепроницаемые, имеют небольшой уклон к трапу, покрыты метлахской плиткой.

Бытовые помещения на данном предприятии согласно проекту предусматриваются: комната для отдыха и приёма пищи рабочими, раздевалка для рабочих, зал для посетителей, туалетная комната. Производственными - цеха, моечная столовой посуды. В производственных предусматривается помещениях установка приточно-вытяжного вентиляционного устройство, для исключения возможности попадания кухонных запахов в другие помещения.

Рабочие места в цехах предусматривается располагаются по ходу технологического процесса

Организация работы горячего цеха.

В проектируемом горячем цехе предусматривается осуществлять тепловую обработку продуктов и полуфабрикатов, варку бульонов, приготовление супов, соусов, гарниров, вторых блюд, а также выполнение тепловой обработку продуктов для холодного цеха. Помещение горячего цеха в здании проектируемого «Кафе-стейк» проектом предусматривается на первом этаже на одном уровне с торговым залом, в условии удобной связи с холодным цехом, моечной столовой и кухонной посуды. Цех работает с 9.00 до 24.00 часов.

В горячем цехе предусматривается установка теплового оборудования островным способом, а по обеим сторонам от него рабочие места для подготовки продуктов к обработке.

Горячий цех предусматривается оборудовать тепловым, холодильным, механическим и вспомогательным оборудованием. Участок для приготовления вторых горячих блюд оборудуется плитой кухонной, пароконвектоматом, сковородой электрической. В качестве вспомогательного оборудования используются производственные столы различной конструкции, контрольные весы, раковина для мытья рук. Оборудование применяется секционное, отвечающее по модулю функциональным емкостям.

Проектом предусматривается централизованное снабжение горячего цеха холодной и горячей водой. Для поддержки в цехе необходимой температуры и влажности воздуха предусматривается приточно-вытяжная система вентиляции, над тепловым оборудованием монтируется местная вытяжка.

Для выполнения производственной программы в цехе предусматриваются рабочие места, которые оснащаются оборудованием, посудой и инвентарем в зависимости от вида выполняемых технологических и производственных операций.

В суповом отделении предусматривается только рабочее место для приготовления супов. Для этого используют кухонную плиту и наплитные котлы 20 и 30 л.

Предусматривается рабочее место для приготовления гарниров и каш - производственный стол для перебирания крупы, кухонная плита, наплитные котлы различной емкостью. Инвентарь - сита, дуршлаги, разливочные ложки.[5]

Организация работы холодного цеха.

Холодный цех предусматривается в проектируемом «Кафе-стейк» для приготовления, порционирования и оформления холодных блюд и закусок, сладких блюд и холодных супов. Продукция, используемая для приготовления блюд, перед отпуском не подвергается вторичной тепловой обработке, поэтому в цехе строгие санитарные требования: продукты, используемые для приготовления блюд, предусматривается хранить в холодильных шкафах при температуре не выше 6-80С; посуда и инвентарь предусматривается промаркированная и используются по назначению. В соответствии с технологическим процессом предусматриваются четко разграниченные рабочие места для обработки сырых и вареных овощей, гастрономических мясных и рыбных продуктов, порционирования блюд. Предусматривается приготовление салатов только партиями и реализация в течение одного часа, соблюдение температурного режима хранения и отпуска холодных блюд (10-140С).

Для выполнения производственной программы в цехе предусматриваются рабочие места, которые оснащаются оборудованием, посудой и инвентарем в зависимости от вида выполняемых технологических и производственных операций.

На рабочем месте по нарезке сырых и вареных овощей предусматривают: стол производственный для нарезки овощей, разделочные доски, ножи поварской тройки и функциональные емкости. Второе рабочее место предусматривается для приготовления блюд из гастрономических мясных и рыбных продуктов. Нарезку продуктов предусматривается производить на разделочной доске, используя средний нож поварской тройки, порционные кусочки продукции укладывают в функциональные емкости и помещают в холодильный шкаф.

Третье рабочее место предусматривается для порционирования и отпуска блюд, оно оснащено столом производственным с охлаждением.

Организация работы овощного цеха.

Данный цех предусматривается размещать в той части здания, где находится камера для хранения продуктов, чтобы транспортировать сырье, минуя все производственные коридоры. Цех должен иметь удобную связь с холодным и горячим цехами, в которых завершается выпуск готовой продукции. Ассортимент и количество вырабатываемых цехом полуфабрикатов зависит от производственной программы предприятия и его мощности.

Технологический процесс обработки овощей, фруктов и зелени состоит из сортировки, мытья, очистки, промывания, нарезки.

Оборудование для цеха подбирают по Нормам оснащения в зависимости от типа и мощности предприятия.

Рабочие места оснащают инструментами, инвентарем и другим оборудованием для выполнения определенных операций.

Организация работы мясо-рыбного цеха.

Мясо-рыбный цех организуются при предприятиях средней мощности с полным производственным циклом. В нем предусматривается обработка мяса, птицы, рыбы в одном помещении.

Учитывая специфический запах рыбных продуктов, необходимо организовать раздельные потоки обработки мяса и рыбы. Кроме раздельного оборудования, выделяются отдельно инструмент, тара, разделочные доски, маркированные для обработки рыбы и мяса.

На рабочем месте обработки мяса предусматривается ванна для промывания мяса, стол производственный для приготовления полуфабрикатов. В цехе предусматривается холодильный шкаф для охлаждения и хранения полуфабрикатов.

На рабочем месте для приготовления порционных и мелкокусковых полуфабрикатов предусматривается производственный стол, разделочная доска, электронные весы.

На местах обработки мяса можно обрабатывать и птицу.

На участке обработки рыбы предусматривается ванна для дефростации мороженой рыбы, столы производственные.

Организация работы моечной кухонной посуды и столовой посуды.

В проектируемом предприятии предусматривается моечная кухонной посуды для мытья наплитной посуды (котлов, кастрюль, противней и др.), кухонного и раздаточного инвентаря, инструментов. Помещение моечной должно имеет связь с производственными цехами (холодным, горячим). В помещении моечной предусматривается подтоварники для использованной посуды, стеллажи для чистой посуды и инвентаря, моечные ванны с тремя отделениями - для замачивания, мытья и дезинфекции использованной посуды и ее ополаскивания проточной водой не ниже 65 °С.[32]

Для очистки посуды от остатков пищи предусматривается использование деревянных лопаток, металлические щеток, скребков. Моют посуду травяными щетками, применяя моющие средства. После обработки предусматривается инвентарь, кухонную посуду и внутрицеховую тару хранить в специальном выделенном месте на стеллажах на высоте не менее 0,5-0,7 м от пола. Удобное хранение кухонной посуды и инвентаря облегчает работу поваров и сокращает время, затрачиваемое на подбор посуды и инвентаря для той или иной производственной операции.

В помещении моечной столовой посуды предусмотрена установка универсальной посудомоечной машины, предназначенной для обработки нескольких видов столовой посуды (тарелок всех размеров и форм, стаканов, столовых приборов, подносов и т.д.).

Организация работы бара.

В проектируемом «Кафе-стейк» предусматривается бар, он выполняет функцию реализации напитков. От работы барменов зависит быстрое обслуживание посетителей, а значит, повышение пропускной способности торгового зала и увеличение выпуска продукции собственного производства. В баре предусматривается удобная связь с цехами и моечной столовой посуды.[5]

Согласно проекту предусматривается, что контроль за соблюдением правильности выполнения технологических операций, их последовательности, режимов тепловой обработки, рецептур, правил оформления и отпуска блюд и изделий (операционный контроль) осуществляет заведующий производством. Проведение операционного контроля помогает своевременно устранить нарушения, выявленные на отдельных этапах производства кулинарной продукции.

.5 Научная организация труда

В проектируемом «Кафе-стейк» предусматривается рациональная организация труда, основанная на последних достижениях науки и техники, что позволит соединить технику и людей в едином производственном процессе и при наименьших затратах материальных и трудовых ресурсов и получать наилучшие результаты, добиваясь при этом повышения производительности труда, сохранения здоровья работников.

Научная организация труда (НОТ) предусматривает внедрение прогрессивных форм разделения и кооперации труда, совершенствование организации и обслуживания рабочих мест, улучшение условий труда, применение достижения науки и техники, наиболее эффективных видов оборудования, оснастки, инструмента, мебели, рациональных приемов и методов работы, использование прогрессивных, научно обоснованных нормативов трудовых затрат и широкое применение передового опыта.

Внедрение мероприятий по научной организации труда обеспечивает неуклонное повышение его производительности в сочетании с повышением качества продукции, услуг, работы.

Необходимо иметь в виду, что НОТ и научно-технический прогресс взаимосвязаны и направлены на повышение экономического и технического потенциала предприятия. НОТ в общественном питании призвана решать целый комплекс задач, включая экономические, психофизические и социальные задачи.

Решение экономических задач означает, прежде всего, осознанное неуклонное повышение производительности труда каждым отдельным работником и трудовым коллективом в целом. Эти задачи решаются путем рационального использования рабочего времени за счет ликвидации простоев, опозданий, прогулов, непроизводственных затрат труда на вспомогательные операции. Индустриализация общественного питания осуществляется путем внедрения промышленной технологии приготовления пищи, расширения выпуска готовых блюд, кулинарных и кондитерских изделий для комплексного снабжения предприятия питания и магазинов.

В общественном питании проводится комплексная рационализация процессов и работ, прежде всего на основе внедрения высокопроизводительного оборудования, применения гастроемкостей и стеллажей и многофункционального оборудования.

Решение психофизиологических задач предполагает создание в трудовом коллективе благоприятного психологического климата, т.е. обстановки взаимопомощи, предупреждение и бескомпромиссное решение конфликтных ситуаций. Одновременно обеспечивается планомерно улучшение условий труда и быта с целью сохранения здоровья работников.

Совершенствование организации и обслуживания рабочих мест. Рабочее место - это зона трудовых действий исполнителя или группы исполнителей для выполнения определенной работы. Соответственно этой работе оно должно быть оснащено необходимым оборудованием, инвентарем, производственной мебелью, организационно-технологической документацией, наглядными пособиями и т.п.

НОТ обеспечивается, прежде всего, тем, что рабочие места размещают соответственно направлению производственного процесса. С этой целью при размещении рабочих мест на оптимальной по размерам площади следует не допускать встречных и возвратных перемещений.

Совершенствование организации рабочих мест при разных операциях начинают с обеспечения более удобной планировки. С этой целью продуманно размещают как по вертикали, так и по горизонтали технические и организационные средства: наиболее тяжелые предметы оснащения размещают внизу, самые легкие - выше, используемые чаще - ближе (под рукой); технологические карты, наглядные пособия вывешивают на стене напротив работающего на уровне глаз и т.д.

При совершенствовании организации рабочих мест необходимо соблюдать следующие принципы:

) рабочие места следует располагать в соответствии с последовательностью операций одного или нескольких однотипных процессов по изготовлению полуфабрикатов, продукции массового спроса. Это позволяет сокращать общую длину пути перемещений грузов и затраты времени на их выполнение.

2) рабочие места размещают по возможности без разрывов между ними, если это не противоречит санитарным требованиям, требованиям охраны труда, техники безопасности, противопожарным требованиям. Такое расположение рабочих мест позволяет ускорить передачу предмета труда в выполняемой операции на следующую, сократить затраты работникам вспомогательного времени, снизить утомляемость, сэкономить производственную площадь.

) размещать инструменты, приспособления, контрольно-измерительные приборы таким образом, чтобы ими можно было пользоваться с минимальными затратами времени и движений, избегая неудобного положения корпуса и по возможности не прерывая процесса труда.

) соблюдать требованиям государственных стандартов по безопасности труда (в частности, ГОСТ 12.0.004-90) «Организация обучения работающих безопасности труда. Общие положения»).

Внедрение рациональных форм материального и морального стимулирования. Материальное стимулирование должно сочетаться с моральным и при поощрении за внедрение и разработку мероприятий по НОТ. По мере роста материального благосостояния и повышения культурного уровня трудящихся возрастает роль морального поощрения за успехи в труде, за разработку и внедрение мероприятий по НОТ. Наряду с материальным поощрением объявляют благодарности, награждают почетными грамотами, присваивают почетные звания, звания лучшего по профессии.

Улучшение условий труда. Это достигается на основе создания оптимальных условий для выполнения трудового процесса, вытеснения тяжелого труда за счет планомерного внедрения средств механизации и автоматизации применения более рационального инструмента, существенно облегчающих и даже полностью исключающих ручной труд.

Оздоровление условий труда обеспечивают путем создания и поддержания в помещениях предприятия и непосредственно на рабочих местах благоприятного микроклимата (температуры, влажности, кратности объема воздуха, освещенности).

На качество, интенсивность труда, самочувствие работника оказывают влияние интерьер, помещения, окраска оборудования, мебели, стен, потолка и т.п. Рациональное использование цвета и света, образцовое содержание помещений повышают настроение и работоспособность, побуждают к поддержанию чистоты и порядка.

Научно обоснованный режим труда и отдыха способствует сохранению здоровья работника, развитию его интеллектуальных способностей, повышению работоспособности. Кратковременные перерывы в отличие от обеденного перерыва являются частью рабочего времени и предназначены для уменьшения утомления, возникающего в процессе труда, а также для личных надобностей.

Нормирование труда на предприятиях общественного питания. Нормирование труда - это установление величины затрат труда в виде норм труда. Задача нормирования труда состоит не только в установлении нормативной продолжительности трудовых процессов, но и в детальном анализе их структуры, выявлении степени используемых приемов и методов труда, их соответствия передовому производственному опыту.

Нормы труда должны базироваться на более производительных методах работы. Немаловажную роль играет нормирование труда и в организации обслуживания рабочих мест. Прежде всего, оно проявляется в установлении обоснованных норм обслуживания, необходимой численности вспомогательных работников, а также норматива времени на обслуживание рабочего места (как составной части нормы основного времени работника).

Установленные нормы должны учитывать также психофизиологические свойства человеческого организма и обеспечивать в процессе труда сохранение здоровья и устойчивую работоспособность. Не менее важна необходимость учета воспитательного значения нормирования труда, его влияния на укрепление дисциплины труда, повышение творческой активности трудящихся[18].

Для сокращения трудоемкости расчетов норм в последние годы все шире применяется разнообразная вычислительная техника, в том числе и ЭВМ.

.6 Организация обслуживания

Качество обслуживания оказывает непосредственное влияние на результаты хозяйственной деятельности предприятий общественного питания. Повышения качества обслуживания способствует увеличению количества потребителей, росту товарооборота, повышению рентабельности предприятий.

Качество обслуживания характеризуются качеством выпускаемой и реализуемой продукции и культурой обслуживания.

Культура обслуживания - один из основных критериев в оценке деятельности предприятий в общем и его работников в частности. Это понятие включает не только санитарное состояние помещений предприятия и уровень механизации основных производственных процессов, но и наличие рекламы и информации, степень комфортности и уюта зала.

Культура обслуживания зависит и от применения передовых форм и методов работы официантов, использования прогрессивных форм обслуживания.

На проектируемом предприятии предусматривается обслуживание официантами и барменами. Предусматривается работа официантов по звеньевому (бригадному) методу организации труда. Официанты имеют 3,4,5 разряды.

Обязанности между официантами в бригаде предусматриваются следующие: официант 5 разряда выполняет различные сервировки стола, рассчитывает необходимое количество посуды, приборов, столового белья, подает блюда, напитки различными методами; официант 4 разряда выполняет различные сервировки стола, оформляет композиции из цветов для стола, рассчитывает необходимое количество столовой посуды и приборов, столового белья, подает блюдо и напитки различными методами, обслуживает интуристов, убирает использованную посуду и приборы; официант 3 разряда выполняет полировку посуды и приборов, складывает салфетки различными способами, принимает заказ, получает блюда на раздаче и в баре, подает блюда и напитки, кроме подачи в обнос, работает на контрольно-кассовом аппарате.

Достоинство бригадного метода обслуживания заключается в том, что этот метод позволяет рационально использовать рабочую силу и создать ряд удобств для потребителей за счет того, что бригадир-официант освобождается от выполнения простейших операций и больше времени уделяет непосредственно потребителю.

Предусматривается комплектовать коллективы с учетом перспектив повышения производительности труда, обеспечения персональной ответственности за сохранность товарно-материальных ценностей, высокое качество продукции, своевременный ее выпуск, культуру обслуживания.

В проектируемом «Кафе-стейк» предусматривается с целью уплотнения рабочего дня применять совмещение профессий внутри коллектива, в результате отдельные работники могут выполнять две и более функций.

При совмещении профессий работники в течение дня последовательно выполняют различные функции. Перемена труда и вызываемая ею подвижность работников развивает способность человека к многосторонней производственной деятельности, способствует рациональному использованию фонда рабочего времени.[8]

3. Технологический раздел

Технологические расчеты - основа разработки проектов предприятий общественного питания. Исходными материалами для них служат утвержденное задание на разработку проекта, основные технические направления в проектировании предприятий общественного питания, действующие нормативные документы и инструкции (СНиПы, ВНТП, нормы оснащения оборудованием), требования НОТ при проектировании, примерный ассортимент выпускаемой и реализуемой продукции для различных типов предприятий общественного, технические условия (ТУ) и технологические инструкции (ТИ) на полуфабрикаты и кулинарные изделия, соответствующие отраслевые стандарты (ОСТ), Сборники рецептур блюд и кулинарных изделий и др. На основании технологических расчетов определяют производственную программу проектируемого предприятия, численность работников, виды и количество используемого технологического оборудования, площади цехов и помещений и всего предприятия в целом.

.1 Производственная программа предприятия

Производственной программой предприятий питания является дневное расчетное меню для реализации блюд в зале данного предприятия. Разработка производственной программы производится исходя из производственной программы дня. Разработка производственной программы осуществляется в следующем порядке: определяются количество потребителей, общее количество блюд по группам в ассортименте, составляют расчетное меню для зала.

3.1.1 Определение количества потребителей

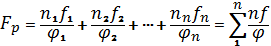
Число потребителей можно найти по графику загрузки зала и по оборачиваемости мест в зале в течение дня.

При определении числа потребителей по графику загрузки зала основными данными для составления графика служат: режим работы зала, оборачиваемость места в зале, загрузка зала (в процентах) по часам его работы.[9]

Расчет количества потребителей проводился в соответствии с формулой (3.1):

                                                                                  (3.1)

где Р - вместимость зала,

цЧ - оборачиваемость места в зале в течение данного часа,

хч - загрузка зала в данный час, %.

Все расчеты сведены в таблицу 3.1

 

Таблица 3.1 - График загрузки зала «Кафе-стейк» на 70 посадочных мест с баром на 30 мест

Часы работы

Оборачиваемость места за 1ч, раз

Средняя загрузка зала, %

Количество посетителей за 1 ч


«Кафе-стейк»

бар

«Кафе-стейк»

бар

«Кафе-стейк»

бар

10.00-11.00

1,5

1,5

30

30

32

14

11.00-12.00

1,5

1,5

40

40

42

18

12.00-13.00

1,0

1,5

50

50

35

23

13.00-14.00

1,0

1,5

50

50

35

23

14.00-15.00

1,0

1,5

50

50

35

23

15.00-16.00

1,0

1,5

50

50

35

23

16.00-17.00

1,0

1,5

60

70

42

32

17.00-18.00

1,0

1,5

70

90

49

41

18.00-19.00

0,5

1,0

70

90

25

27

19.00-20.00

0,5

1,0

100

70

35

21

20.00-21.00

0,5

0,5

100

70

35

11

21.00-22.00

0,5

0,5

90

70

32

11

22.00-23.00

0,5

0,5

80

30

28

5

Продолжение таблицы 3.1

23.00-00.00

0,5

0,5

30

30

11

5

Итого





471

277


.1.2 Определение количества блюд

Количество блюд за весь день - 1219.

Разбивку общего количества блюд на отдельные группы а также внутригрупповое распределение блюд по основным продуктам проводим в соответствии с таблицей процентного соотношения различных групп блюд в ассортименте продукции, выпускаемой предприятием, данные указаны в таблице 3.2.

Таблица 3.2 - Примерное соотношение различных групп блюд, выпускаемых «Кафе-стейк»

Блюда

% от общего количества

% от данной группы

От общего кол-ва блюд

От данной группы блюд

Холодные блюда и закуски:

30


366


гастрономические продукты


25


91

Продолжение таблицы 3.2

салаты


75


275

Горячие закуски

5


61


Супы

10


122


Вторые горячие блюда:

50


670


рыбные


10


61

мясные


70


457

овощные, крупяные


25


152

Итого




1219


Количество напитков, кондитерских изделий, хлеба, фруктов и т.д. для «Кафе-стейк» определяют на основе примерных норм потребления на одного человека. Расчёт необходимого представлен в таблице 3.3.

Таблица 3.3 - Примерные нормы потребления напитков, хлеба, кондитерских изделий одним потребителем на ПОП

Наименование

Единица измерения

Норма потребления

Потребление за день в «Кафе-стейк»

Потребление за день в баре

Итого

Горячие напитки

л

0,1

47,1

27,2

74,3

Холодные напитки:

л

0,09




фруктовая вода


0,02

9,42

5,44

14,86

минеральная вода


0,02

9,42

5,44

14,86

сок


0,02

9,42

5,44

14,86

напиток собственного производства


0,01

4,71

2,72

7,43

Хлеб и хлебобулочные изделия:

кг

0,01




ржаной


0,005

2,36

1,36

3,72


0,005

2,36

1,36

3,72

Мучные кондитерские изделия

шт

0,5

236

136

372

Фрукты

кг

0,01

4,71

2,72


Винно-водочные изделия

л

0,05

23,55

13,6

37,15

Пиво


0,025

11,775

6,8

18,571


.1.3 Составление расчетного меню

Согласно проведённым расчётам количества примерного ассортимента блюд с учётом сезонности продуктов, разнообразие блюд по видам и приемам тепловой обработки составляется расчетное меню со свободным выбором блюд по действующим сборникам рецептур блюд и кулинарных изделий, ТТК. Расчетное меню «Кафе-стейк» с баром представлено в таблицах 3.4, 3.5, 3.6.

Таблица 3.4 - Однодневное расчетное меню «Кафе-стейк»

Номер рецептуры

Наименование блюда

Выход, г

Кол-во

Холодные блюда и закуски

ТТК

Сэндвич с ветчиной (булочка с кунжутом, ветчина, майонез, горчица, помидоры свежие, салат айсберг)

130

15

ТТК

Сэндвич с семгой (булочка с кунжутом, семга слабо соленая (филе), масло сливочное, огурцы свежие, салат айсберг)

130

15

ТТК

Ассорти из сыров ( сыр Дор Блю, сыр Козий Шевре тв, сыр Маасдам, сыр Чеддер, груша свежая, орех грецкий, зелень мята перечная)

250

15

154/743/822

Мясное ассорти (говядина, язык говяжий, курица, свинина, огурцы, помидоры, салат Айсберг, соус майонез с корнишонами)

155/75/30

15

ТТК

Паштет из печени (печень говяжья, морковь, маслины б/к, масло сливочное, масло подсолнечное, бульон говяжий (заготовка), перец черный молотый, соль поваренная пищевая)

100

15

 61

Салат из свежих овощей (помидоры, лук репчатый, перец сладкий, огурцы свежие, майонез)

200

30

96

Салат рыбный деликатесный (окунь морской, картофель, огурцы, помидоры, морковь, цветная капуста, фасоль стручковая, горошек зеленый консервированный, майонез)

200

31

 97*

Салат Цада (говядина, фасоль, картофель, лук репчатый, огурцы соленые, сметана, чеснок)

170/30

31

 91*

Салат - коктейль с ветчиной и сыром (сыр, ветчина, огурцы, яйца, майонез, сметана, перец сладкий, петрушка (зелень))

200

31

 ТТК

Салат Цезарь с курицей (куриная грудка (филе), масло подсолнечное, соус Цезарь, гренки чесночные, салат Лолло Россо, салат Романо, помидоры черри, сыр Пармезан, соль поваренная пищевая)

70/130/50

31

 ТТК

Салат - коктейль Креветки с авокадо и клубникой (креветки очищенные в/м, авокадо, клубника свежая, лимон, уксус яблочный, масло оливковое, сахар, перец черный молотый, соль)

200

31

Горячие закуски

 ТТК

Гренки чесночные (хлеб пшеничный, чеснок, масло подсолнечное, соль поваренная пищевая)

120

10

 ТТК

Ребрышки свиные (свиные ребрышки (заготовка), помидоры св, огурцы св, салат Лолло Россо, петрушка (зелень), гранат, лук красный)

200/90

15

ТТК

Острые куриные крылышки (куриные крылышки, масло сливочное, горчица острая, перец кайенский молотый, хлебные крошки, сыр пармезан, приправа к курице)

200

15

 ТТК

Кольца кальмара жаренные с соусом чесночным ( кальмар, морковь, зеленый горошек, масло оливковое, маринад с паприкой п/ф, соус чесночный, кинза, соль поваренная пищевая, салат Фризе, лимон, перец болгарский)

110/100/50

10

Первые блюда

244

Суп-пюре из цветной капусты (цветная капуста, морковь, петрушка (корень), лук порей, мука пшеничная, масло сливочное, молоко, яйца)

250

40

219

Суп-лапша грибная (шампиньоны, лапша, морковь, лук репчатый, лук порей, петрушка (корень))

250

40

ТТК

Овощной суп с говядиной (картофель, кабачки белые, помидоры, морковь, сельдерей (корень), лук репчатый, масло подсолнечное, бульон говяжий (заготовка), перец черный горошек, соль поваренная пищевая, лавровый лист, петрушка , грудинка говяжья (заготовка), сметана)

250

42

Вторые горячие блюда/гарниры

 ТТК

Рибай стейк (стейк рибай, перец черный горошек, соль поваренная пищевая, помидоры черри, салат Руккола)

405/50/10

44

 ТТК

Стриплойн стейк с овощами (стейк пф, перец болгарский, кукуруза молодая, белое вино, сливочное масло, зеленый горошек консервированный, сливки 22%, коньяк Ставрополь на Волге 3*, лук зеленый)

335/130/30/2

44

 ТТК

Ти-бон стейк с картофелем (ти-бон стейк, соль поваренная пищевая, перец черный молотый, картофель свежий, масло зеленое, лук зеленый)

355/160/30/2

44

 ТТК

Портерхаус стейк (стейк портерхаус, перец черный молотый, соль поваренная пищевая, помидоры черри, зеленый лук)

405/50/2

44

ТТК

Стейк с луковыми кольцами фри (говядина (вырезка), соль поваренная пищевая, соус соевый, перец черный молотый, масло оливковое, масло подсолнечное, лук репчатый, крахмал картофельный, масло зеленое, зелень салат, паприка специи)

120/25

30

ФБ ТТК

Стейк в сливочно-грибном соусе (говядина (вырезка), масло сливочное, шампиньоны, лук репчатый, сливки, сухое белое вино, сыр, масло растительное, перец черный молотый, соль поваренная пищевая)

200/100

31

ТТК

Стейк из семги (семга (тушка б\г), спаржа, помидоры черри, лук-порей, петрушка (зелень), масло оливковое, соль поваренная пищевая)

160/115/2

31

ТТК

Кефаль, в сметанном соусе с грибами и картофелем (кефаль филе, мука пшеничная, шампиньоны, лук репчатый, масло подсолнечное, яйцо куриное, картофель, соус сметанный, сыр твердый, масло сливочное, перец черный молотый, соль поваренная пищевая)

100/250

30

 ТТК

Шницель по-столичному (куриная грудка (филе), хлеб пшеничный, яйцо куриное, масло сливочное)

130/10

44

 ТТК

Жаркое из курицы (курица, масло подсолнечное, картофель, морковь, сельдерей (корень), петрушка (зелень), лук репчатый, фасоль стручковая, чеснок, лавровый лист, соль поваренная пищевая, перец черный молотый, соус красный основной, укроп, петрушка)

125/250

44

 ТТК

Свинина «Загадка» (свинина (шейка), ветчина, лук репчатый, кляр на молоке, сухари панировочные, масло подсолнечное, перец черный молотый, соль поваренная пищевая)

130

44

 ТТК

Свинина по-французски (свинина, бекон, перец сладкий, помидоры, ананас конс, сыр твердый, майонез, мука пшеничная, масло подсолнечное, перец молотый черный, соль поваренная пищевая)

130

44

 413а*

Телятина натуральная (корейка на кости, масло сливочное)

150

44

 697

Картофель фри (картофель полуфабрикат, масло растительное)

150

32

 697

Картофель по-деревенски (картофель полуфабрикат, масло растительное)

150

30

ТТК

Рис с овощами (рис, масло сливочное, морковь свежая, лук репчатый свежий, соль поваренная пищевая)

200

30

338

Цветная капуста жареная (капуста цветная свежая, масло сливочное, сухари панировочные)

210

30

ТТК

Овощи гриль (сыр, шампиньоны, помидоры, цуккини, баклажаны, масло оливковое, лук репчатый)

235

30

Мучные и кондитерские изделия

 

Чизкейк Нью-Йорк

140

40

Продолжение таблицы 3.4

 

Чизкейк Клубничный вихрь

140

40

 

Чизкейк шоколадный

140

40

 

Чизкейк пралине

140

40

 

Штрудель вишневый

150

40

 

Штрудель яблочный

170

36

 

Клубника со взбитыми сливками

150/30

22

 

Свежий ананас

300

22

 

Фрукты

250

22

 

Сорбет (3 шарика)

150/10

22

 

Ассорти мороженого

150/10

22

Соусы

 572*

Соус Томатный (бульон №567,маргарин столовый, мука пшеничная, морковь свежая, лук репчатый свежий, петрушка (корень), томат пюре, сахар)

50

20

 765

Соус Охотничий (соус красный основной №759, лук репчатый, шампиньоны, кулинарный жир, вино белое сухое, петрушка (зелень), эстрагон, маргарин столовый)

50

20

ТТК

Соус Бешамель (молоко, масло сливочное, мука пшеничная, бульон говяжий (заготовка), перец белый молотый, соль поваренная пищевая, лавровый лист)

50

20

ТТК

Соус Тартар (майонез, корнишоны, каперсы, соус Южный)

50

20

ТТК

Соус Песто (имбирь (корень), орехи грецкие, чеснок, базилик, кориандр молотый, соевый соус, масло подсолнечное, соль поваренная пищевая)

50

20

 

Кетчуп

50

20

 

Майонез

50

20

Горячие напитки

 942

Чай Эрл грей

400

16

 942

Чай Ассам

400

16

 942

Чай Юннань

400

16

 942

Чай Дикая вишня

400

16

 942

Чай Китайский лимонник

400

16

 942

Чай Нахальный фрукт

400

16

 ТТК

Кофе Эспрессо

40

16

 ТТК

Кофе Американо

160

16

 ТТК

Кофе Латте

150

16

 ТТК

Кофе Капучино

150

16

Холодные напитки

 

Coca Cola

500

10

 

Sprite

500

9

Продолжение таблицы 3.4

 

Bon Aqua

500

19

 

Сок апельсиновый

200

8

 

Сок яблочный

200

8

 

Сок персиковый

200

8

 

Сок ананасовый

200

8

 

Сок грейпфрутовый

200

8

 

Сок томатный

200

8

 

Сок вишневый

200

8

 733*

Клюквенный Морс

200

23


Таблица 3.5 - Однодневное расчетное меню бара

Номер рецептуры

Наименование блюда

Выход, г

Кол-во

Холодные блюда и закуски

ТТК

130

7

ТТК

Сэндвич с семгой (булочка с кунжутом, семга слабо соленая (филе), масло сливочное, огурцы свежие, салат айсберг)

130

7

ТТК

Ассорти из сыров ( сыр Дор Блю, сыр Козий Шевре тв, сыр Маасдам, сыр Чеддер, груша свежая, орех грецкий, зелень мята перечная)

250

7

154/743/822

Мясное ассорти (говядина, язык говяжий, курица (филе), свинина, огурцы свежие, помидоры свежие, салат Айсберг, соус майонез с корнишонами)

155/75/30

8

ТТК

Паштет из печени (печень говяжья, морковь свежая, маслины б/к, масло сливочное, масло подсолнечное, бульон говяжий (заготовка), перец черный молотый, соль поваренная пищевая)

100

8

 61

Салат из свежих овощей (помидоры свежие, лук репчатый свежий, перец сладкий свежий, огурцы свежие, майонез)

200

15

96

Салат рыбный деликатесный (окунь морской, картофель свежий, огурцы свежие, помидоры свежие, морковь, цветная капуста, фасоль стручковая, горошек зеленый консервированный, майонез)

200

15

 97*

Салат Цада (говядина, фасоль, картофель, лук репчатый свежий, огурцы соленые, сметана, чеснок)

170/30

15

 91*

Салат - коктейль с ветчиной и сыром (сыр, ветчина, огурцы, яйца, майонез, сметана, перец сладкий, петрушка (зелень))

200

15

 ТТК

Салат Цезарь с курицей (куриная грудка (филе), масло подсолнечное, соус Цезарь, гренки чесночные, салат Лолло Россо, салат Романо, помидоры черри, сыр Пармезан, соль поваренная пищевая)

70/130/50

15

 ТТК

 Салат - коктейль Креветки с авокадо и клубникой (креветки очищенные в/м, авокадо, клубника свежая, лимон, уксус яблочный, масло оливковое, сахар, перец черный молотый, соль поваренная пищевая)

200

15

Горячие закуски

 ТТК

Гренки чесночные (хлеб пшеничный, чеснок, масло подсолнечное, соль поваренная пищевая)

120

5

 ТТК

Кольца кальмара жаренные с соусом чесночным ( кальмар, морковь, зеленый горошек, масло оливковое, маринад с паприкой п/ф, соус чесночный, кинза, соль поваренная пищевая, салат Фризе, лимон, перец болгарский)

110/100/50

6

Мучные и кондитерские изделия

 

Чизкейк Нью-Йорк

140

22

 

Чизкейк Клубничный вихрь

140

22

 

Чизкейк шоколадный

140

22

 

Чизкейк пралине

140

22

 

Штрудель вишневый

150

24

 

Штрудель яблочный

170

24

 

Клубника со взбитыми сливками

150/30

4

 

Свежий ананас

300

4

 

Фрукты

250

4

 

Сорбет (3 шарика)

150/10

4

 

Ассорти мороженого

150/10

4

Горячие напитки

 942

Чай Эрл грей

400

9

 942

Чай Ассам

400

9

 942

Чай Юннань

400

9

 942

Чай Дикая вишня

400

9

 942

Чай Китайский лимонник

400

9

 942

Чай Нахальный фрукт

400

9

 ТТК

Кофе Эспрессо

40

9

 ТТК

Кофе Американо

160

9

 ТТК

Кофе Латте

150

9

 ТТК

Кофе Капучино

150

9

Холодные напитки

 

Coca Cola

500

5

 

Sprite

500

5

 

Bon Aqua

500

10

 

Сок апельсиновый

200

2

 

Сок яблочный

200

2

 

Сок персиковый

200

2

 

Сок ананасовый

200

2

 

Сок грейпфрутовый

200

2

 

Сок томатный

200

2

 

Сок вишневый

200

2

 733*

Клюквенный Морс

200

14


Таблица 3.6 - Винная карта «Кафе-стейк» и бара

Номер рецептуры

Наименование блюда

Выход, г

Кол-во

Алкогольные напитки

 Аперитивы

 

Martini Rosso/ Мартини Россо

50

6

 

Martini Rosato/ Мартини Росато

50

6

 

Martini Extra Dry/ Мартини Экстра Драй

50

6

 

Martini Bianko/ Мартини Бьянко

50

6

Биттеры/Настойки

 

Campari Bitter/ Кампари Биттер

50

6

 

Absenta Xenta/ Абсента Ксента 70%

50

6

 

Becherovka/ Бехеровка

50

6

Виски

 

Chivas Regal / Чивас Ригал

50

6

 

J.W. Black Label/ Джонни Уокер Блэк Лэйбл

50

6

 

J.W. Red Label/ Джонни Уокер Рэд Лэйбл

50

6

 

White Hourse/ Уайт Хорс

50

6

 

Jameson/ Джемесон

50

6

 

Jameson Gold/ Джемесон Голд

50

6

Водка

 

Русский стандарт Platinum

50

6

 

Русский стандарт

50

6


Золотой родник

50

6

 

Родник Классическая

50

6

 

Триумфальная

50

6

Текила

 

Olmeca Blanco

50

6

 

Olmeca Gold

50

6

Ром

 

Bacardi Superior

50

6

Продолжение таблицы 3.6

 

Bacardi Black

50

6


Havana Club Anejo Blanco

50

6

 Коньяк

 

Ставрополь на Волге 3*

50

6

 

Ставрополь на Волге 5*

50

6

 

Тайный Советник 5*

50

6

 

Kortes&co 3*

50

6

 

Черчилль 5*

50

6

Ликеры

 

Baileys Original/ Бейлиз Оригинал

50

6

 

Jagermeister/ Егермастер

50

6

 

Kahlua Coffe 20%/ Калуа Кофейный 20%

50

6

 

Malibu/ Малибу кокосовый 21%

50

6

 

Cointreau/ Куантро 40%

50

6

 

Toschi Sambuca/ Тоски Самбука

50

6

Коктейли

ТТК

В-52 (ликер Калуа, ликер Бейлиз, ликер Куантро)

60

6

ТТК

Май-Тай (ром Баккарди светлый, ром темный, ликер Куантро, сироп Монин, лайм, лед пищевой, ананас)

155

6

ТТК

Мохито (ром Баккарди светлый, зелень мята перечная, лайм, сахар-песок, вода минеральная газированная, лед пищевой)

230

6

ТТК

Пина колада (ром Баккарди светлый, сливки 30%, сок ананасовый, лед пищевой, ананас, вишня коктейльная в сиропе)

220

6

ТТК

Лонг Айленд (водка, текила, ром Баккарди светлый, джин, ликер Куантро, лимон, сироп Монин, кока-кола, лед пищевой)

6

ТТК

Космополитан (водка, ликер Куантро, лайм, сок клюквенный)

110

6

ТТК

Кровавая Мери (водка, сок томатный, лимон, соус перечный Табаско красный, соус Вустершиский, сельдерей (зелень), помидоры черри, перец черный молотый, соль поваренная пищевая)

150/6

6

Пиво разливное

 

Хорлбат (светлое)

500

4

 

Хорлбат (темное)

500

4


Хейнекен (светлое)

500

4


Золотой Фазан (светлое)

500

4

Пиво бутылочное

 

Сибирская корона

500

3

 

Staropramen/ Старопрамен

500

3

 

Hoegaagden/ Хугарден

500

3

 

Lowenbrau original/ Левенброй (светлое)

500

3

Продолжение таблицы 3.6

 

Lowenbrau dunkei/ Левенброй (темное)

500

3

 

Bud/ Бад

500

3

Красные вина


Шаврон Руж полусладкое/ Chavron Rouge

100

3


Шаврон Руж сухое/ Chavron Rouge

100

3


Кадарка Повадарски полусладкое/Kadarka Povardarski

100

3


Мальбек Тесоро сухое/ Malbec Tesoro

100

3


Карменере сухое/Carmenere

100

3

Белые вина


Шаврон Блан сухое/ Chavron Blanc

100

3


Шаврон Блан полусладкое/ Chavron Blanc

100

3


Блан де Блан сухое/ Blanc de Blancs

100

3


Гранд Театр полусладкое/Grand theatre

100

3


Шардоне Классик полусухое/Chardonnay Classic

100

3


Молоко любимой женщины полусладкое/ Liebfraumilch

100

3


Молоко любимой женщины полусухое/ Liebfraumilch

100

3


Шардоне Тесоро сухое/ Chardonnay Tesoro

100

3

Игристые вина


Вино Asti Mondoro

750

1


Вино Asti Martini

750

1


Шампанское Советское

750

1

 

.2 Расчет расхода сырья и продуктов


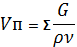
В его основу положена производственная программа. Суточное количество сырья (кг) определяют по формуле (3.2):

                                                                                   (3.2)

где gp - норма сырья или полуфабриката на одно блюдо или на 1 кг выхода готового блюда по рецептуре, г;

n - количество блюд (шт.) или готовой продукции (кг), реализуемой за день.

Расход сырья и полуфабрикатов на одну порцию определяется по рецептуре блюд, включенных в меню.

Таблица 3.7 - Сводная продуктовая ведомость

Сырье, полуфабрикаты

Количество, кг, шт.

Нормативная документация

Авокадо свежий

2,78

ГОСТ Р 54689-2011

Ананас консервированный

0,22


Ананас свежий

7,80

ГОСТ Р 54688-2011

Апельсины свежие

1,30

ГОСТ 4427-82

Базилик (зелень) свежий

0,35


Баклажаны свежие

1,20

ГОСТ 13907-86

Бананы свежие

1,30

ГОСТ Р 51603-2000

Бекон, грудинка в/к

0,22

ГОСТ 9167-76

Булочка с кунжутом

2,64

ГОСТ Р 52462-2005

Бульон говяжий «Gallina Blanca» сухой

0,28

ТУ 9194-020-47531845-2002

Ветчина

3,00

ГОСТ Р 54753-2011

Виноград свежий

1,30

ГОСТ 25896-83

Говядина (грудинка) охлажденная

5,12

ГОСТ 3739-89

Говядина (вырезка) охлажденная

18,12

ГОСТ 3739-89

Горошек зеленый консервированный

1,36

ГОСТ 15842-90

Горошек зеленый с/м

1,60


Горчица столовая

0,29


Гранат свежий

0,15

ГОСТ 27573-87

Шампиньоны свежие

5,12

ГОСТ Р 53082-2008

Груши свежие

0,77

ГОСТ 21714-76

Жир животный топленый пищевой

0,69

ГОСТ 25292-82

Мята перечная (зелень) свежая

0,29


Имбирь (корень)

0,02

ГОСТ 29046-91

Кабачки свежие

1,56

ГОСТ Р 53084-2008

Кальмар (тушка) с/м

2,40

ГОСТ Р 51495-99

Каперсы консервированные

0,22


Продолжение таблицы 3.7

Капуста цветная свежая

17,63

ГОСТ 7968-89

Картофель по -деревенски с/м

4,50

ТУ 9195-012-47955901-99

Картофель свежий

29,27

ГОСТ Р 51808-2001

Картофель фри (брусочки) с/м

4,80

ТУ 9195-012-47955901-99

Кетчуп

1,00

ГОСТ Р 52141-2003

Кефаль (филе) с/м

4,65

ГОСТ 3948-90

Кинза (зелень) свежая

0,08


Клубника свежая

1,84


Клюква с/м

0,98

ГОСТ 19215-73 <#"668092.files/image004.gif"> (3.3)

 

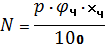
где G - суточный запас продуктов данного вида, кг;

 - срок годности, сут;

q- удельная нагрузка на 1 м2 грузовой площади пола, кг/м2;

в- коэффициент увеличения площади помещения на проходы[9]

Результаты расчёта площади камеры молочно-жировых продуктов и гастрономии представлены в таблице 3.8.

Таблица 3.8 - Расчет площади камеры молочно-жировых продуктов и гастрономии

Продукт

Суточный запас продукта, кг

Срок хранения, сут

Удельная нагрузка на ед грузовой площади пола, кг/м2

Коэффициент увеличения площади

Площадь, м2

Масло сливочное несоленое, 72,5%

3,46

3

160

2,2

0,143

Масло растительное нерафинированное

5,57

3

140

2,2

0,263

Масло оливковое

3,61

3

140

2,2

0,170

Сыр Дор Блю

1,14

3

220

2,2

0,034

Сыр Козий Шевре (твердый)

1,14

3

220

2,2

0,034

Сыр Маасдам

1,17

3

220

2,2

0,035

Сыр Пармезан

4,44

3

220

2,2

0,133

Сыр Чеддер

1,14

3

220

2,2

0,034

Ананас консервированный

0,22

3

160

2,2

0,009

Горошек зеленый консервированный

1,36

3

220

2,2

0,041

Вишня коктейльная в сиропе

0,06

3

140

2,2

0,003

Горчица столовая

0,29

3

140

2,2

0,014

Жир животный топленый пищевой

0,69

3

140

2,2

0,033

Каперсы консервированные

0,22

3

160

2,2

0,009

Продолжение таблицы 3.8

Кетчуп

1,00

3

140

2,2

0,047

Майонез 67%

8,54

3

140

2,2

0,403

Маргарин столовый 72%

0,11

3

120

2,2

0,006

Молоко 3,2%

10,52

1,5

160

2,2

0,217

Огурцы (корнишоны) консервированные

0,42

3

160

2,2

0,017

Огурцы соленые

1,47

3

160

2,2

0,061

Перец сладкий маринованный

0,92

3

160

2,2

0,038

Сливки 30%

1,55

120

2,2

0,028

Сливки взбитые

0,78

1

120

2,2

0,014

Сметана 20%

6,17

1

160

2,2

0,085

Соевый соус

0,24

3

160

2,2

0,010

Томатное пюре

1,68

3

140

2,2

0,079

Уксус яблочный 5%

0,28

3

140

2,2

0,013

Фасоль стручковая консервированная

2,39

3

160

2,2

0,099

Яйцо куриное мытое дезинфицированное С1

2,54

3

200

2,2

0,084

Ветчина

3,00

1

120

2,2

0,055

Бекон, грудинка в/к

0,22

1

120

2,2

0,004

Итого

2,215


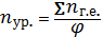
Расчет объема камеры молочно-жировых продуктов и гастрономии находится по формуле (3.4):

                                                                                     (3.4)

Согласно, проведённых расчетов проектом принимается камера для хранения молочно- жировых продуктов и гастрономии POLAIR с габаритными размерами 1360х2260х2200 мм.

Результаты расчёта площади кладовой сухих и сыпучих продуктов представлены в таблице 3.9.

Таблица 3.9 - Расчет площади кладовой сухих и сыпучих продуктов:

Продукт

Суточный запас продукта, кг

Срок хранения, сут

Удельная нагрузка на ед грузовой площади пола, кг/м2

Коэффициент увеличения площади

Площадь, м2

Булочка с кунжутом

2,64

1

140

2,2

0,041

Бульон говяжий «Gallina Blanca» сухой

0,28

3

100

2,2

0,018

Кофе черный молотый

0,88

3

100

2,2

0,058

Кориандр молотый

0,001

3

100

2,2

0,001

Крахмал картофельный

0,90

3

300

2,2

0,020

Лавровый лист сухой

0,01

3

100

2,2

0,001

Макаронные изделия вермишель

0,80

3

300

2,2

0,018

Мука пшеничная

1,31

3

300

2,2

0,029

Орех грецкий очищенный

0,41

3

220

2,2

0,012

Паприка молотая

0,08

3

100

2,2

0,005

Перец белый молотый

0,00

3

100

2,2

0,000

Перец кайнейский молотый

0,01

3

100

2,2

0,001

Перец черный молотый

0,22

3

100

2,2

0,015

Перец черный горошек

0,28

3

100

2,2

0,018

Приправа к блюдам из курицы

0,001

3

100

2,2

0,000

Крупа рисовая сырая

1,76

3

300

2,2

0,039

Сахар-песок

2,04

3

300

2,2

0,022

Соль поваренная пищевая

1,53

3

600

2,2

0,017

Сухари панировочные пшеничные

0,83

3

300

2,2

0,018

Хлеб пшеничный

5,33

1

140

2,2

0,084

Чай Эрл грей

0,144

3

100

2,2

0,009

Чай Ассам

0,144

3

100

2,2

0,009

Чай Юннань

0,144

3

100

2,2

0,009

Продолжение таблицы 3.9

Чай Дикая вишня

0,144

3

100

2,2

0,009

Чай Китайский лимонник

0,144

3

100

2,2

0,009

Чай Нахальный фрукт

0,144

3

100

2,2

0,009

Итого

0,48


В соответствии с проведёнными расчётами, расчетная площадь кладовой сухих продуктов составит 0,48 м2.

Результаты расчёта площади охлаждаемой камеры овощных продуктовпредставлены в таблице 3.10.

Таблица 3.10 - Расчет площади камеры для овощей и фруктов:

Продукт

Суточный запас продукта, кг

Срок хранения, сут

Удельная нагрузка на ед грузовой площади пола, кг/м2

Коэффициент увеличения площади

Площадь, м2

Авокадо свежий

2,76

3

100

2,2

0,182

Ананас свежий

7,80

3

400

2,2

0,129

Апельсины свежие

1,30

2

100

2,2

0,057

Базилик (зелень) свежий

0,35

2

100

2,2

0,015

Баклажаны свежие

1,20

3

400

2,2

0,020

Бананы свежие

1,30

2

100

2,2

0,057

Виноград свежий

1,30

2

100

2,2

0,057

Грибы шампиньоны свежие

5,12

3

400

2,2

0,084

Груши свежие

0,77

3

100

2,2

0,051

Мята перечная (зелень) свежая

0,29

2

100

2,2

0,013

Имбирь (корень)

0,02

2

100

2,2

0,001

Кабачки свежие

1,56

3

400

2,2

0,026

Капуста цветная свежая

17,63

3

400

2,2

0,291

Картофель свежий

29,27

3

400

2,2

0,483

Кинза (зелень) свежая

0,08

2

100

2,2

0,004

Клубника свежая

1,84

2

100

2,2

0,081

Лайм свежий

0,85

2

120

2,2

0,031

Лимон свежий

1,12

2

120

2,2

0,041

Лук зеленый св

0,26

2

100

0,011

Продолжение таблицы 3.10

Лук красный свежий

0,36

3

400

2,2

0,006

Лук порей свежий

1,85

3

400

2,2

0,031

Лук репчатый свежий

7,94

3

400

2,2

0,131

Морковь свежая

6,50

3

400

2,2

0,107

Огурцы свежие

5,11

3

300

2,2

0,112

Перец сладкий

5,24

3

400

2,2

0,086

Петрушка (зелень) свежая

0,91

2

100

2,2

0,040

Петрушка (корень)

0,47

2

100

2,2

0,021

Помидоры свежие

8,50

2

300

2,2

0,125

Помидоры черри свежие

6,87

2

100

2,2

0,302

Салат Айсберг свежий

0,57

3

400

2,2

0,009

Салат Лолло Россо свежий

0,66

3

400

2,2

0,011

Салат Романо свежий

4,60

3

400

2,2

0,076

Салат Руккола свежий

0,53

3

400

2,2

0,009

Салат Фризе свежий

0,19

3

400

2,2

0,003

Сельдерей (зелень) свежий

0,01

2

100

2,2

0,000

Сельдерей (корень)

1,57

2

100

2,2

0,069

Спаржа свежая

2,42

3

400

2,2

0,040

Тимьян (зелень) свежий

0,04

2

100

2,2

0,002

Цуккини свежие

1,65

3

400

2,2

0,027

Чеснок свежий

0,64

3

400

2,2

0,011

Эстрагон (зелень) свежий

0,03

2

100

2,2

0,001

Яблоки свежие

1,30

2

140

2,2

0,041

Итого

2,989


Согласно, проведённых расчетов проектом принимается охлаждаемая камера для овощных продуктов POLAIR с габаритными размерами 1360х3160х2200 мм.

Результаты расчёта площади камеры для хранения мясо-рыбных продуктов представлены в таблице 3.11.

Таблица 3.11 - Расчет площади камеры мясо-рыбных продуктов:

Продукт

Суточный запас продукта, кг

Срок хранения, сут

Удельная нагрузка на ед грузовой площади пола, кг/м2

Коэффициент увеличения площади

Площадь, м2

Говядина (грудинка) охлажденная

5,12

3

140

2,2

0,241

Говядина (вырезка) охлажденная

18,12

3

140

2,2

0,854

Кефаль (филе) охлажденное

4,65

2

200

2,2

0,102

Кости пищевые охлажденные

7,06

3

140

2,2

0,333

Курица охлажденная

24,01

2

140

2,2

0,755

Окунь морской (филе) охлажденное

2,67

2

200

2,2

0,059

Печень говяжья охлажденная

2,65

1

140

2,2

0,042

Язык говяжий охлажденный

0,97

1

140

2,2

0,015

Семга (тушка б/г) охлажденная

6,26

2

200

2,2

0,138

Семга (филе) охлажденное

0,66

2

200

2,2

0,015

Телятина (корейка) охлажденная

10,60

3

140

2,2

0,500

Свинина (грудинка) охлажденная

0,99

3

140

2,2

0,047

Свинина (шейка) охлажденная

11,75

3

140

2,2

0,554

Свиные ребра охлажденные

6,18

3

140

2,2

0,291

Стейк портерхаус с/м

21,12

4

140

2,2

1,328

Стейк рибай с/м

19,80

4

140

2,2

1,245

Стейк стриплойн с/м

15,40

4

140

2,2

0,968

Стейк ти-бон с/м

18,04

4

140

2,2

1,134

Итого

8,619


Согласно, проведённых расчетов проектом принимается камера для хранения мясо -рыбных продуктов POLAIR с габаритными размерами 2560х3760х2200 мм.

Результаты расчёта площади камеры для хранения напитков представлены в таблице 3.12.

Таблица 3.12 - Расчет площади камеры для напитков:

Продукт

Суточный запас продукта, кг

Срок хранения, сут

Удельная нагрузка на ед грузовой площади пола, кг/м2

Коэффициент увеличения площади

Площадь, м2

Вода минеральная Bon Aqua

15,16

2

200

2,2

0,334

Вода газированная Coca Cola

7,68

2

200

2,2

0,169

Вода газированная Sprite

7,00

2

200

2,2

0,154

Настойка Абсент Ксента

0,30

3

200

2,2

0,010

Настойка Бехеревка

0,30

3

200

2,2

0,010

Вино Гранд Театр белое п/с

0,30

3

200

2,2

0,010

ВиноБлан де Блан белое с

0,30

3

200

2,2

0,010

Вино игристое Асти Мартин

0,75

3

200

2,2

0,025

Вино игристое Асти Мондоро

0,75

3

200

2,2

0,025

Вино Кадарка Повадарски красное п/с

0,30

3

200

2,2

0,010

Вино Карменере красное с

0,30

3

200

2,2

0,010

Вино Мальбек Тесоро красное с

0,30

3

200

2,2

0,010

Вино Молоко любимой женщины белое п/с

0,30

3

200

2,2

0,010

Вино Молоко любимой женщины белое полусухое

0,30

200

2,2

0,010

Вино Шаврон белое п/с

0,30

3

200

2,2

0,010

Вино Шаврон белое с

1,28

3

200

2,2

0,042

Вино Шаврон красное п/с

0,30

3

200

2,2

0,010

Вино Шаврон красное с

0,30

3

200

2,2

0,010

Вино Шардоне Классик белое полусухое

0,30

3

200

2,2

0,010

Вино Шардоне Тесоро белое с

0,30

3

200

2,2

0,010

Виски Джемерсон

0,30

3

200

2,2

0,010

Виски Джемерсон Голд

0,30

3

200

2,2

0,010

Виски Джонни УокерБлэкЛэйбл

0,30

3

200

2,2

0,010

Виски Джонни Уокер Рэд Лэйбл

0,30

3

200

2,2

0,010

Виски Уайт Хорс

0,30

3

200

2,2

0,010

Водка Золотой родник

0,30

3

200

2,2

0,010

Водка Родник Классическая

0,30

3

200

2,2

0,010

Водка Русский стандарт

0,90

3

200

2,2

0,030

Водка Русский стандарт Платинум

0,30

3

200

2,2

0,010

Водка Триумфальная

0,30

3

200

2,2

0,010

Джин Лондон драй

0,09

3

200

2,2

0,003

Настойка Кампари Биттер

0,30

3

200

2,2

0,010

Коньяк Kortes&co 3*

0,30

3

200

2,2

0,010

Коньяк Тайный Советник 5*

0,30

3

200

2,2

0,010

Коньяк Ставрополь на Волге 3*

1,18

3

200

2,2

0,039

Коньяк Ставрополь на Волге 5*

0,30

3

200

2,2

0,010

Коньяк Черчилль 5*

0,30

3

200

2,2

0,010

Ликёр Baileys Original

0,42

3

200

2,2

0,014

ЛикерЕгермастер

0,30

3

200

2,2

0,010

Ликер Калуа

0,42

3

200

2,2

0,014

Ликёр Куантро

0,69

3

200

2,2

0,023

Ликер Малибу

0,30

3

200

2,2

0,010

Ликер Тоски Самбука

0,30

3

200

2,2

0,010

Мартини Бьянко

0,30

3

200

2,2

0,010

Мартини Росато

0,30

3

200

2,2

0,010

Мартини Россо

0,30

3

200

2,2

0,010

Мартини Экстра Драй

0,30

3

200

2,2

0,010

Пиво Бад

1,50

2

200

2,2

0,033

Пиво Золотой Фазан

2,00

2

200

2,2

0,044

Пиво Левенброй (светлое)

1,50

2

200

2,2

0,033

Пиво Левенброй (темное)

1,50

2

200

2,2

0,033

Пиво Сибирская корона

1,50

2

200

2,2

0,033

Пиво Старопрамен

1,50

2

200

2,2

0,033

Пиво Хейнекен (светлое)

2,00

2

200

2,2

0,044

Пиво Хорлбат (светлое)

2,00

2

200

2,2

0,044

Пиво Хорлбат (темное)

2,00

2

200

2,2

0,044

Пиво Хугарден

1,50

2

200

2,2

0,033

Ром Бакарди Блэк

0,48

3

200

2,2

0,016

Ром Бакарди Супериор

0,99

3

200

2,2

0,033

Ром Гавана Клуб

0,30

3

200

2,2

0,010

Сиропы «Monin» в ассортименте

0,80

3

200

2,2

0,026

Сок в ассортименте

15,08

2

200

2,2

0,332

Сок клюквеный

0,18

2

200

2,2

0,004

Текила Олмека Бланко

0,39

3

200

2,2

0,013

Продолжение таблицы 3.12

Текила Олмека Голд

0,30

3

200

2,2

0,010

Виски Чивас Ригал

0,30

3

200

2,2

0,010

Шампанское Советское

0,75

3

200

2,2

0,025

Итого

2,069


Согласно проведённых расчетов проектом принимается камера для напитков POLAIR с габаритными размерами 1360х2260х2200 мм.

Результаты расчёта площади камеры для морозильного ларя представлены в таблице 3.13.

Таблица 3.13 - Расчет площади морозильного ларя

Продукт

Суточный запас продукта, кг

Срок хранения, сут

Удельная нагрузка на ед грузовой площади пола, кг/м2

Коэффициент увеличения площади

Площадь, м2

Кальмар (филе) с/м

2,40

3

200

2,2

0,079

Креветки очищенные в/м

3,68

3

200

2,2

0,121

Горошек зеленый с/м

1,60

3

220

2,2

Картофель по -деревенски с/м

4,50

3

220

2,2

0,135

Картофель фри (брусочки) с/м

4,80

3

220

2,2

0,144

Клюква с/м

0,98

3

220

2,2

0,029

Мороженное ванильное

1,30

3

160

2,2

0,054

Мороженное карамельное

1,30

3

160

2,2

0,054

Мороженное мята и шоколад

1,30

3

160

2,2

0,054

Сорбет манго

1,30

3

160

2,2

0,054

Сорбет черная смородина

1,30

3

160

2,2

0,054

Сорбет малиново-клубничный

1,30

3

160

2,2

0,054

Фасоль стручковая с/м

0,48

3

220

2,2

0,014

Итого

0,893


Согласно проведённых расчетов проектом принимается морозильный ларь Полаир Df120sc-S с габаритными размерами 790х630х853 мм и общий объем 159 л.

Охлаждаемую камеру пищевых отходов принимаем равную 8,1 м2 согласно СанПин.[29]

Данные площади складских помещений сводим в общую таблицу 3.14.

Таблица 3.14 - Площади камер складских помещений

Наименование камеры

Площадь, м2

Габариты, мм

Камера молочно-жировых продукции и гастрономии

3,1

Полаир 1360х2260х2200 (5,14)

Камеры для овощей и фруктов

4,3

Полаир 1360х3160х2200 (7,34)

Кладовая сухих и сыпучих продуктов

0,5


Камера мясо-рыбных продуктов

9,6

Полаир 2560х3760х2200 (17,63)

Камера для напитков

3,1

Полаир 1360х2260х2200 (5,14)

Камера пищевых отходов

8,1

Полаир 2560х3160х2200 (14,69)

Морозильный ларь

0,9

Полаир Df120sc-S 790х630х853


3.4 Производственная программа и режим работы цеха


.4.1 Мясо-рыбный цех

Предназначен для обработки мяса (говядины, свинины, баранины) и изготовления полуфабрикатов (крупнокусковых, порционных, мелкокусковых, из натурального рубленого мяса и котлетной массы); для обработки рыбы и изготовления полуфабрикатов (тушек специальной разделки, порционных кусков, изделий из рубленой массы). В цехе выделяют линии обработки мяса, рыбы, птицы. Подбор необходимого технологического оборудования осуществляется на основе производственной программы цеха и схемы технологического процесса. Обеспечивается удобная связь цеха с помещениями приема и хранения сырья, а также с горячим цехом.

Производственная программа цеха.

В производственную программу мясо-рыбного цеха включают сырье и полуфабрикаты, которые должны быть обработаны в этом цехе. Используя данные сводной продуктовой ведомости всего предприятия, составим производственную программу мясо-рыбного цеха и оформим ее в виде таблицы 3.15.

При разработке производственной программы необходимо учесть кулинарное использование и выход полуфабрикатов. Имея данные по расходу каждого вида сырья, рассчитаем выход полуфабрикатов. Основанием для такого расчета служат нормы выхода и отходов, указанные в Сборнике рецептур.

 

Таблица 3.15- Производственная программа мясо-рыбного цеха

Крупнокусковой п/ф

Масса, кг

Масса, кг

Вид п/ф

Масса 1 порции

Кол-во порций

% отходов

Масса, кг

Говядина (грудинка) охлажденная

5,12

1,24 1,61 2,27

Мелкокусковые

0,054 0,035 0,054

23 46 42

25,9 25,7 10,05

0,92 1,20 2,04

Говядина (вырезка) охлажденная

18,12

12,03 6,09

Стейк Стейк

0,388 0,203

31 30

18 18

9,87 5,00

Курица потрошенная охлажденная

24,01

11,27 4,25 8,49

Филе Крылышки Набор для рагу

0,100 0,283 0,193

113 15 44

19,2 30 28

9,11 2,97 6,11

Телятина (корейка) охлажденная

10,60

10,60

Корейка на кости

0,241

44

25,7

7,88

Кости пищевые говяжьи охлажденные

7,06

7,06

Кости пищевые

0,080

88

0,1

6,96

Свинина (грудинка) охлажденная

0,99

0,99

Крупнокусковые

0,043

23

14

0,85

Свинина (шейная ч) охлажденная

11,75

5,37 6,38

Порционные куски

0,122 0,145

44 44

9,8 10,3

4,84 5,72

Свиные ребра охлажденные

6,18

6,18

Свиные ребра

0,412

15

26,5

4,54

Окунь морской (филе) охлажденный

2,67

2,67

Филе

0,058

46

6

2,51

Семга (тушка б/г) охлажденная

6,26

6,26

Стейк

0,202

31

20

5,01

Кефаль (филе) охлажденная

4,65

4,65

Филе

0,155

30

20

3,71

Стейк портерхаус с/м

21,12

21,12

Стейк

0,480

44

6

19,85

Стейк рибай с/м

19,80

19,80

Стейк

0,450

44

6

18,61

Стейк стриплойн с/м

15,40

15,40

Стейк

0,350

44

6

14,48

Стейк ти-бон с/м

18,04

18,04

Стейк

0,410

44

6

16,96

Печень говяжья охлажденная

2,67

2,67

Печень говяжья

0,116

23

17,5

2,20

Язык говяжий охлажденный

0,97

0,97

Язык говяжий

0,042

23

0

0,97

Итого:

175,41






152,4


Мясо-рыбный цех работает с 9.00 до 18.00. По нормам, для переработки 1000 кг мясных крупнокусковых полуфабрикатов необходимо 8 человек. Следовательно, для переработки 161,83 кг необходимо 2 человека.

Общая численность производственных работников с учетом выходных и праздничных дней, отпусков и дней по болезни рассчитывается по формуле (3.5):

                                                                                  (3.5)

где К1 - коэффициент, учитывающий выходные и праздничные дни; значения коэффициента K1 зависят от режима работы предприятия и режима рабочего времени работника[9].

N = 2•1,59 = 3,18 = 3 чел.

Принимаем, что в мясо-рыбном цехе ежедневно работают - 2 человека, а с учетом выходных и праздничных дней в цехе работают 3 человека.

Технологический расчет и подбор оборудования.

Механическое оборудование.

Технологический расчет оборудования сводится к выбору типов и определению необходимого числа единиц оборудования для выполнения тех или иных операций, времени его работы и коэффициента использования.

Требуемая производительность машины определяется по формуле (3.6):

Qтр =G/tу ,                                                   (3.6)

где G - масса сырья, обрабатываемая за определенный период времени, кг (шт);

tу - условное время работы машины, ч.

Условное время работы машины определяется по формуле (3.7):

tу = Tзу                                                      (3.7)

где Т - продолжительность работы цеха, смены, ч;

зу - условный коэффициент использования машин (зу = 0,5).

         На основании проведенного расчета по действующим справочникам и каталогам выбирают машину, имеющую производительность, близкую к требуемой, после чего определяют фактическую продолжительность работы машины (ч) по формуле (3.8):

Tф = G/Q,                                                  (3.8)

где Q - производительность принятой к установке машины, кг/ч (шт/ч).

По действующим справочникам и каталогам принимаем тендерайзер электрический KT-PK мощностью 0,37 кВт и габаритами 430х400х390 мм.

Холодильное оборудование.

Полезный объем холодильного шкафа VП рассчитывается по формуле (3.9):

                                                                                   (3.9)

где G - масса продукта (изделия), кг. Массу продукта (изделия) G определяют по формуле (3.2);

с - объемная плотность продукта (изделия), кг/м3 (см. приложение 10);

н - коэффициент, учитывающий массу тары (н = 0,7…0,8)[9].

Расчет объема продуктов, подлежащих хранению представлен в таблице 3.16.

Таблица 3.16 - Определение объема холодильного шкафа для хранения мясных полуфабрикатов

Наименование продукта (изделия)

Колличество, кг

Объемная плотность кг/дмі

Объем полуфабриката, л

Говядина (грудинка) охлажденная

5,12

0,85

8,61

Говядина (вырезка) охлажденная

18,12

0,85

30,45

Курица потрошенная охлажденная

24,01

0,25

137,20

Телятина (корейка) охлажденная

10,60

0,9

16,83

Кости пищевые говяжьи охлажденные

7,06

0,50

20,17

Свинина (грудинка) охлажденная

0,99

0,85

1,66

Свинина (шейная ч) охлажденная

11,75

0,85

19,75

Свиные ребра охлажденные

6,18

0,9

9,81

Окунь морской (филе) охлажденный

2,67

0,8

4,77

Семга (тушка б/г) охлажденная

6,26

0,5

17,89

Кефаль (филе) охлажденная

4,65

0,8

8,30

Стейк портерхаус с/м

21,12

0,85

35,50

Стейк рибай с/м

19,80

0,85

33,28

Стейк стриплойн с/м

15,40

0,85

25,88

Стейк ти-бон с/м

18,04

0,85

30,32

Печень говяжья охлажденная

2,67

0,85

4,49

Язык говяжий охлажденный

0,97

0,85

1,63

Итого

406,53


Учитывая данные о полезном объеме холодильного шкафа из действующих справочников и каталогов, принимаем к установке холодильный шкаф Полаир СМ105-S, с внутренним объемом 470 л и габаритами 697х620х2028 мм.

Вспомогательное (нейтральное) оборудование.

Число производственных столов рассчитывают по числу одновременно работающих в цехе и длине рабочего места на одного работника. Для цехов, изготовляющих кулинарную и кондитерскую продукцию, общая длина производственных столов (м) рассчитывается по формуле (3.12):

                                                                                     (3.10)

где N- число одновременно работающих в цехе, чел.; - длина рабочего места на одного работника, м (в среднем l=1,25 м).

L = 2 • 1,25 = 2,5 (м)

Определение площади мясо-рыбного цеха.

Площадь мясо-рыбного цеха вычисляют по площади, занимаемой оборудованием по формуле (3.11):

Fобщ = F/ з  (3.11)

где F - площадь помещения, занятая оборудованием, м2;

з - коэффициент использования площади. Коэффициент использования площади з для горячего, кондитерского и кулинарного цехов - 0,3, мясного и овощного 0,35.

Расчет площади мясо-рыбного цеха представлен в таблице 3.17.

Таблица 3.17 - Расчет площади мясо-рыбного цеха

Наименование

Тип марка

Кол-во

Габаритные размеры, мм

Площадь, занятая единицей оборудования, м2

Площадь, занятая всем оборудованием, м2

Холодильный шкаф

Полаир СМ105-S

1

697х620х2028

0,43

0,43

Стол производственный

РАДА СО -15/7БП - 430

2

1500х700х870

1,05

2,1

Моечная ванна

РАДА ВМ1-6/6Б

1

600х600х870

0,36

0,36

Раковина

Рукомойник 03

1

500х500х160

0,25

0,25

Тендерайзер

КТ-РК

1

430x400x390


-

Стол для сбора отходов с отверстием

СОС 12/6Н

1

1200x600x870

0,72

0,72

Итого

3,9


Согласно проведённым расчётам, проектная площадь мясо-рыбного цеха составляет F = 3,9 / 0,35 = 11,1 м2.

.4.2 Овощной цех

Предназначен для очистки и изготовления полуфабрикатов очищенного картофеля, корнеплодов, капусты, репчатого лука, сезонных овощей и зелени.

Овощной цех проектируют во всех предприятиях, работающих на сырье и полуфабрикатах. Подбор необходимого технологического оборудования осуществляют на основе производственной программы цеха и схемы технологического процесса обработки овощей.

Цех удобно связан с камерой овощей, горячим и холодным цехами. Для обработки отдельных видов овощей в цехе предусматривают рабочие места. Все операции по обработке овощей максимально механизируют. Для очистки овощей используют картофелеочистительные машины, устанавливаемые на фундамент для погашения вибрации. Для облегчения труда работников применяют тележки, столы со встроенными ваннами, столы доочистки овощей.[32]

Производственная программа цеха.

В производственную программу цеха включено сырье и полуфабрикаты, которые должны быть обработаны в этом цехе. Используя данные сводной продуктовой ведомости всего предприятия, составим производственную программу овощного цеха и оформим ее в виде таблицы 3.18

Таблица 3.18 - Производственная программа овощного цеха

Наименование овощей, корнеплодов, зелени

Количество, кг, брутто

Наименование операций по обработке

Отходы при обработке

Выход полуфабриката, кг




%

количество, кг


Авокадо свежий

2,76

Мойка, очистка

30

0,83

1,93

Ананас свежий

7,80

Мойка, очистка, нарезка

40

3,12

4,68

Апельсины свежие

1,30

Мойка

2

0,03

1,27

Базилик (зелень) свежий

0,35

Мойка

16

0,06

0,29

Баклажаны свежие

1,20

Мойка

5

0,06

1,14

Бананы свежие

1,30

Мойка

4

0,05

1,25

Виноград свежий

1,30

Мойка

4

0,05

1,25

Гранат свежий

0,15

Мойка, очистка

50

0,08

0,08

Грибы шампиньоны свежие

5,12

Мойка, очистка, нарезка

24

1,23

3,89

Груши свежие

0,77

Мойка, очистка

10

0,08

0,69

Мята перечная (зелень) свежая

0,29

Мойка

20

0,06

0,23

Имбирь (корень)

0,02

Мойка, очистка

20

0,00

0,02

Кабачки свежие

1,56

Мойка, очистка

20

0,31

1,25

Капуста цветная свежая

17,63

Мойка, очистка, нарезка

48

8,46

9,17

Картофель свежий

29,27

Мойка, очистка, нарезка

40

11,71

17,56

Кинза (зелень) свежая

0,08

Мойка

20

0,02

0,06

Клубника свежая

1,84

Мойка

15

0,28

1,56

Лайм свежий

0,85

Мойка

4

0,03

0,82

Лимон свежий

1,12

Мойка

4

0,04

1,08

Лук зеленый свежий

0,26

Мойка

20

0,05

0,21

Лук красный свежий

0,36

Мойка, очистка

16

0,06

0,30

Лук порей свежий

1,85

Мойка

24

0,44

1,41

Лук репчатый свежий

7,94

Мойка, очистка, нарезка

16

1,27

6,67

Морковь свежая

6,50

Мойка, очистка, нарезка

25

1,63

4,88

Огурцы свежие

5,11

Мойка, очистка, нарезка

20

1,02

4,09

Огурцы соленые

1,47

Мойка, очистка

20

0,29

1,18

Перец сладкий свежий

5,24

Мойка, очистка, нарезка

25

1,31

3,93

Петрушка (зелень) свежая

0,91

Мойка

26

0,24

0,67

Петрушка (корень)

0,47

Мойка, очистка

25

0,12

0,35

Помидоры свежие

8,50

Мойка, очистка, нарезка

2

0,17

8,33

Помидоры черри свежие

6,87

Мойка

2

0,14

6,73

Салат Айсберг свежий

0,57

Мойка, очистка

33

0,19

0,38

Салат Лолло Россо свежий

0,66

Мойка, очистка

28

0,18

0,48

Салат Романо свежий

4,60

Мойка, очистка

33

1,52

3,08

Салат Руккола свежий

0,53

Мойка, очистка

28

0,15

0,38

Салат Фризе свежий

0,19

Мойка, очистка

33

0,06

0,13

Сельдерей (зелень) свежий

0,01

Мойка

16

0,002

0,008

Сельдерей (корень)

1,57

Мойка, очистка

18

0,28

1,29

Спаржа свежая

2,42

Мойка, очистка

27

0,65

1,77

Тимьян (зелень) свежий

0,04

Мойка

20

0,01

0,03

Цуккини свежие

1,65

Мойка

20

0,33

1,32

Чеснок свежий

0,64

Мойка, очистка

22

0,14

0,50

Эстрагон (зелень) свежий

0,03

Мойка

65

0,02

0,01

Яблоки свежие

1,30

Мойка, очистка

12

0,16

1,14

Итого

138,46




97,49


Овощной цех работает с 9.00 до 18.00. По нормам, для переработки 1000 кг овощей и зелени необходимо 5 человек. Следовательно, для переработки 138,46 кг необходим 1 человек. Общая численность производственных работников с учетом выходных и праздничных дней, отпусков и дней по болезни определяем по формуле (3.5):

N = 1•1,59 = 1,59 = 2 (чел.)

Принимаем, что в овощном цехе ежедневно работает - 1 человек. А с учетом выходных и праздничных дней в цехе работают 2 человека.

Технологический расчет и подбор оборудования

Механическое оборудование.

Расчет механического оборудования представлен в таблице 3.19.

Таблица 3.19 - Расчет числа картофелеочистительных машин

Операция

Масса овощей, кг

Оборудование

Производительность, кг/ч

Продолжительность работы, ч

Коэффициент использования

Число машин





оборудования

цеха



Очистка

35,77

60

0,6

9

0,07

1


По действующим справочникам и каталогам принимаем картофелечистку FIMAR PPN/5 мощностью 0,37 кВт с габаритами 630х520х590 мм.

Холодильное оборудование.

Расчет объема продуктов, подлежащих хранению представлен в таблице 3.20.

Таблица 3.20 - Определение объема холодильного шкафа для хранения овощей

Наименование

Масса, кг

Обозначение гастроемкости

Габариты гастроемкости, мм

Вместимость, кг

Число гастроемкостей

Объем, м3

Авокадо свежий

2,76

GN1/1 х 100К1

530 x 325 x 100

7

1

0,017

Ананас свежий

7,80

GN1/1 х 200К1

530 x 325 x 200

15

1

0,034

Апельсины свежие

1,30

GNl/4xl00K4

176 x 325 x 100

2

1

0,006

Базилик (зелень) свежий  Кинза (зелень) свежая Мята перечная (зелень) свежая Петрушка (зелень) свежая Сельдерей (зелень) свежий Сельдерей (зелень) свежий Эстрагон (зелень) свежий

0,35  0,08  0,29  0,91  0,01  0,04  0,03

GNl/4xl00K4

176 x 325 x 100

2

1

0,006

Баклажаны свежие

1,20

GNl/4xl00K4

176 x 325 x 100

2

1

0,006

Бананы свежие

1,30

GNl/4xl00K4

176 x 325 x 100

2

1

0,006

Виноград свежий

1,30

GNl/4xl00K4

176 x 325 x 100

2

1

0,006

Гранат свежий

0,15

GNl/4xl00K4

176 x 325 x 100

2

1

0,006

Шампиньоны свежие

5,12

GN1/1 х 100К1

530 x 325 x 100

7

1

0,017

Груши свежие

0,77

GNl/4xl00K4

176 x 325 x 100

2

1

0,006

Продолжение таблицы 3.20

Имбирь (корень) Петрушка (корень)

0,02 0,47

GNl/4xl00K4

176 x 325 x 100

2

1

0,006

Кабачки свежие

1,56

GNl/4xl00K4

176 x 325 x 100

2

1

0,006

Капуста цветная свежая

17,63

GN1/1 х 200К1

530 x 325 x 200

15

2

0,068

Картофель свежий

29,27

GN1/1 х 200К1

530 x 325 x 200

15

2

0,068

Клубника свежая

1,84

GNl/4xl00K4

176 x 325 x 100

2

1

0,006

Лимон свежий Лайм свежий

1,12 0,85

GNl/4xl00K4

176 x 325 x 100

2

1

0,006

Лук зеленый свежий Лук порей свежий

0,26 1,85

GNl/4xl00K4

176 x 325 x 100

2

1

0,006

Лук репчатый свежий Лук красный свежий

7,94 0,36

GN1/1xl00Kl

530x325x100

10

1

0,017

Морковь свежая

6,50

GN1/1 х 200К1

530 x 325 x 200

15

1

0,034

Огурцы свежие

5,11

GN1/1 х 100К1

530 x 325 x 100

7

1

0,017

Огурцы соленые

1,47

GNl/4xl00K4

176 x 325 x 100

2

1

0,006

Перец сладкий свежий

5,24

GN1/1 х 100К1

530 x 325 x 100

7

1

0,017

Помидоры свежие

8,50

GN1/1xl00Kl

530x325x100

10

1

0,017

Помидоры черри свежие

6,87

GN1/1 х 100К1

530 x 325 x 100

7

1

0,017

Салат Айсберг свежий Салат Лолло Россо свежий Салат Руккола свежий Салат Фризе свежий

0,57  0,66 0,53 0,19

GNl/4xl00K4

176 x 325 x 100

2

1

0,006

Салат Романо свежий

4,60

GN1/1 х 100К1

530 x 325 x 100

7

1

0,017

Сельдерей (корень)

1,57

GNl/4xl00K4

176 x 325 x 100

2

1

0,006

Спаржа свежая

2,42

GN1/1 х 100К1

530 x325 x 100

7

1

0,017

Цуккини свежие

1,65

GNl/4xl00K4

176 x 325 x 100

2

1

0,006

Чеснок свежий

0,64

GNl/4xl00K4

176 x 325 x 100

2

1

0,006

Яблоки свежие

1,30

GNl/4xl00K4

176 x 325 x 100

2

1

0,006

Итого:

0,465

 

По действующим каталогам принимаем среднетемпературный холодильный шкаф CM110-S (ШХ-1,0) с внутренним объемом 1000 л и габаритами 1402х620х2028 мм.

Вспомогательное (нейтральное) оборудование.

Число столов определяем по формулам (3.12) и (3.13). Получаем, что для 1 работника необходим 1 производственный стол. Под действующим справочникам и каталогам принимаем следующий производственный стол РАДА СО - 15/7БП - 430 с габаритами 1500х700х870 мм.

Определение площади овощного цеха.

В соответствии с формулой (3.14), проводился проектный расчет площади овощного цеха. Расчёт площади овощного цеха представлен в таблице 3.21.

Таблица 3.21 - Расчет площади овощного цеха

Наименование

Тип марка

Кол-во

Габаритные размеры, мм

Площадь, занятая единицей оборудования, м2

Площадь, занятая всем оборудованием, м2

Картофелечистка

FIMAR картофелечистка PPN/5

1

630х520х590

0,33

0,33

Стол производственный

РАДА СО - 15/7БП - 430

1

1500х700х870

1,05

1,05

Стол для сбора отходов с отверстием

РАДА СОС 6/7БО - 430

1

600х700х870

0,42

0,42

Тележка для сбора отходов

Метос 8-823

1

500х450х580

0,225

0,225

Моечная ванна

РАДА ВМ1-6/6Б

1

600х600х870

0,36

0,36

Раковина

Рукомойник 03

1

500х500х160

0,25

0,25

Холодильный шкаф

 Полаир CM110-S (ШХ-1,0)

1

1402х620х2028

0,87

0,87

Итого:

3,51


В результате проведённых расчётов проектная площадь овощного цеха кафе составляет F = 3,51 / 0,35 = 10,0 м2.

 

.4.3 Горячий цех

Горячий цех размещен в помещении с естественным освещением, на одном уровне с залами. Цех размещен в непосредственной близости к моечным столовой и кухонной посуды, к мясо-рыбному цеху и холодному цеху.[32]

Производственная программа цеха.

Производственной программой для горячего цеха «Кафе-стейк» является совокупность ассортимента блюд и кулинарных изделий и их количества, реализуемого за день.

Производственная программа горячего цеха кафе представлена в таблице 3.22.

Таблица 3.22 - Производственная программа горячего цеха

 №

Наименование блюда

Выход, г

Кол-во порций

Способ тепловой обработки

154

Мясное ассорти

155/75/30

23

варка, жарка

ТТК

Паштет из печени

100

23

жарка

96

Салат рыбный деликатесный

200

46

варка

 97*

Салат Цада

170/30

46

варка

 91*

Салат - коктейль с ветчиной и сыром

200

46

варка

ТТК

Салат Цезарь с курицей

70/130/50

46

жарка

ТТК

Салат - коктейль Креветки с авокадо и клубникой

200

46

варка

ТТК

Гренки чесночные

120

15

жарка

ТТК

Ребрышки свиные

200/90

15

жарка

ТТК

Острые куриные крылышки

200

15

ТТК

Кольца кальмара жаренные с соусом чесночным

110/100/50

16

жарка, бланширование

244

Суп-пюре из цветной капусты

250

40

варка, пассерование, припускание

219

Суп-лапша грибная

250

40

пассерование, варка

ТТК

Овощной суп с говядиной

30/250/25

42

пассерование, варка

ТТК

Рибай-стейк

405/50/10

44

жарка

ТТК

Стриплойн стейк

335/130/30/2

44

жарка, варка

ТТК

Ти-бон-стейк

355/160/30/2

44

жарка, запекание

ТТК

Портерхаус-стейк

405/50/2

44

жарка

ТТК

Стейк с луковыми кольцами фри

120/25

30

жарка, жарка во фритюре

ТТК

Стейк в сливочно-грибном соусе

200/100

31

жарка, пассерование

ТТК

Стейк из семги

160/115/2

31

запекание

ТТК

Кефаль, в сметанном соусе с грибами и картофелем

100/250

30

жарка, варка, пассерование, запекание

ТТК

Шницель по-столичному

130/10

44

жарка

ТТК

Жаркое из курицы

125/250

44

жарка, пассерование, тушение

ТТК

Свинина «Загадка»

130

44

жарка во фритюре, запекание

ТТК

Свинина по-французски

130

44

жарка, запекание

413а*

Телятина натуральная

150

44

жарка, запекание

 697

Картофель фри

150

32

жарка во фритюре

 697

Картофель по-деревенски

150

30

жарка во фритюре

ТТК

Рис с овощами

200

30

варка, пассерование

338

Цветная капуста жареная

210

30

варка, жарка, запекание

ТТК

Овощи гриль

235

30

жарка, запекание

572*

Соус Томатный

50

20

пассерование, варка

 765

Соус Охотничий

50

20

пассерование,припускание, жарка, варка

ТТК

Соус Бешамель

50

20

варка

733*

Клюквенный морс

200

37

варка


Расчет расхода сырья и полуфабрикатов для горячего цеха.

В его основу положена производственная программа горячего цеха. Суточное количество сырья (кг) определяют по формуле (3.2).

Для расчета расхода сырья в горячем цехе необходимо учитывать, что горячий цех получает полуфабрикаты из овощного и мясо-рыбного цехов, поэтому норму расхода сырья на одну порцию для полуфабрикатов (мясных, рыбных, из птицы и овощей) необходимо брать по весу нетто полуфабриката, для прочих пищевых продуктов (сыр, мясокопчености и т.п.) - по весу брутто. Расход сырья и полуфабрикатов на одну порцию определяется по рецептуре блюд, включенных в меню.

Сводная продуктовая ведомость представлена       в таблице 3.23.

Таблица 3.23 - Сводная продуктовая ведомость горячего цеха

Сырье, полуфабрикаты, кулинарные изделия

Количество, кг

Ананас консервированный

0,22

Баклажаны свежие

1,14

Бекон, грудинка в/к

0,22

Белое вино (сухое)

0,98

Бульон говяжий «Gallina Blanca» порошкообразный

0,28

Ветчина

0,44

Говядина (грудинка)

4,16

Говядина (вырезка)

16,70

Горчица острая

0,18

Гранат свежий

0,08

Жир животный топленый пищевой

0,69

Зеленый горошек замороженный

1,28

Зеленый горошек консервированный

0,44

Кабачки свежие

1,25

Кальмар (филе) с/м

2,24

Капуста цветная свежая

9,17

Картофель по-деревенски пф

9,00

Картофель свежий

17,56

Картофель фри (брусочки) пф

9,60

Кефаль (филе)

3,71

Кинза (зелень) свежая

0,06

Клюква с/м

0,93

Коньяк Ставрополь на Волге 3*

0,88

Кости пищевые говяжьи

9,96

Креветки очищенные в/м

3,68

Куриная грудка (филе)

9,11

Куриные крылышки

2,97

Курица набор для рагу

6,11

Лавровый лист сухой

0,01

Лук зеленый свежий

0,21

Лук красный свежий

0,30

Лук порей свежий

1,41

Лук репчатый свежий

5,48

Майонез, 67%

1,38

Макаронные изделия вермишель

0,80

Маргарин столовый 72%

0,11

Маслины б/к

0,09

Масло оливковое

2,51

Масло подсолнечное нерафинированное

5,11

Масло сливочное 72,5%

3,30

Молоко3,2%

3,04

Морковь свежая

4,88

Мука пшеничная

1,49

Огурцы свежие

0,30

Окунь морской (филе)

2,51

Паприка молотоя

0,08

Перец белый молотый

0,01

Перец сладкий свежий

2,32

Перец черный горошек

0,28

Перец кайнейский молотый

0,01

Перец черный молотый

0,21

Петрушка (зелень) свежая

0,50

Петрушка (корень)

0,35

Печень говяжья

2,20

Помидоры свежие

3,44

Помидоры черри свежие

5,95

Стейк потерхаус

19,85

Приправа к блюдам из курицы

0,01

Крупа рисовая сырая

1,76

Салат Лолло Россо свежий

0,15

Салат Руккола свежий

0,38

Салат Фризе свежий

0,16

Сахар песок

1,04

Свинина (грудинка)

0,85

Свинина (шейка)

10,56

Свиные ребра

4,54

Сельдерей (корень)

1,01

Семга (тушка, б/г)

5,01

Сливки 30%

1,55

Сметана 20%

4,05

Соевый соус

0,21

Соль поваренная пищевая

1,39

Спаржа свежая

1,77

Стейк рибай

18,61

Стейк стриплойн

14,48

Сухари панировочные

0,83

Сыр Пармезан

1,72

Телятина (корейка)

7,88

Стейк ти-бон

16,96

Тимьян (зелень) свежий

0,03

Томатное пюре

1,68

Фасоль сырая

1,33

Фасоль стручковая с/м

0,44

Хлеб пшеничный

4,63

Цуккини свежие

1,32

Чеснок свежий

0,27

Грибы шампиньоны свежие

4,03

Эстрагон (зелень) свежий

0,01

Язык говяжий

0,97

Яйцо куриное мытое дезинфицированное С1

2,542


График реализации блюд, изготавливаемых в горячем цехе.

Необходимость составления графика реализации блюд, изготавливаемых в горячем цехе, вызвана тем, что расчет теплового оборудования производится, как правило, на максимальный час (или два-три часа) загрузки зала. График реализации блюд позволяет выделить данный час (часы) и определить количество блюд каждого наименования, реализуемых в течение этого периода.

Основой для расчета служат график загрузки зала и расчетное меню. Количество блюд, реализуемых за каждый час работы предприятия определяют по формуле (3.12):

                                                                              (3.12)

где nд - количество блюд, реализуемых за весь день (определяется из расчетного меню);

Кч - коэффициент пересчета для данного часа.

Определяется по формуле (3.13):

                                                                                    (3.13)

где Nч - число потребителей, обслуживаемых за 1 ч;

Nд - число потребителей, обслуживаемых за день; значения Nч и Nд определяют по графику загрузки зала. Сумма коэффициентов пересчета за все часы работы зала должна быть равна единице, а сумма блюд, реализуемых по часам работы зала, - количеству блюд, выпускаемых за день. Для составления таблицы реализации блюд, изготовляемых в горячем цехе, используются данные из производственной программы горячего цеха.

Расчёт графика реализации блюд представлен в таблице 3.24.

Таблица 3.24 - График реализации блюд в горячем цехе

Наименование блюда

Количество блюд

Часы работы



10-11

11-12

12-13

13-14

14-15

15-16

16-17

17-18

18-19

19-20

20-21

21-22

22-23

23-00



Коэффициент перерасчета



0,06

0,08

0,08

0,08

0,08

0,10

0,12

0,07

0,07

0,06

0,06

0,04

0,02

Гренки чесночные

15

1

1

1

1

1

1

2

2

1

1

1

1

1

0

Ребрышки свиные

15

1

1

1

1

1

1

2

2

1

1

1

1

1

0

Острые куриные крылышки

15

1

1

1

1

1

1

2

2

1

1

1

1

1

0

Кольца кальмара

16

1

1

1

1

1

1

2

2

1

1

1

1

1

1

Суп-пюре из цветной капусты

40

2

3

3

3

3

3

4

5

3

3

3

2

2

1

Суп-лапша грибная

40

2

3

3

3

3

3

4

5

3

3

3

2

2

1

Овощной суп с говядиной

42

3

3

3

3

3

3

4

5

3

3

3

3

2

1

Рибай-стейк

44

3

3

3

3

4

4

4

5

3

3

3

3

2

1

Стриплойн стейк

44

3

3

3

3

4

4

4

5

3

3

3

3

2

1

Ти-бон-стейк

44

3

3

3

3

4

4

4

5

3

3

3

3

2

1

Портерхаус-стейк

44

3

3

3

3

4

4

4

5

3

3

3

3

2

1

Стейк с луковыми кольцами фри

30

2

2

2

2

2

3

3

4

2

2

2

2

1

1

Стейк в сливочно-грибном соусе

31

2

2

2

2

3

3

3

4

2

2

2

2

1

1

Стейк из семги

31

2

2

2

2

3

3

3

4

2

2

2

2

1

1

Кефаль, в сметанном соусе с грибами и картофелем

30

2

2

2

2

2

3

3

4

2

2

2

2

1

1

Шницель  по-столичному

44

3

3

3

3

4

4

4

5

3

3

3

3

2

1

Жаркое из курицы

44

3

3

3

3

4

4

4

5

3

3

3

3

2

1

Свинина «Загадка»

44

3

3

3

3

4

4

4

5

3

3

3

3

2

1

Свинина по-французски

44

3

3

3

3

4

4

4

5

3

3

3

3

2

1

Телятина натуральная

44

3

3

3

3

4

4

4

5

3

3

3

3

2

1

Картофель фри

32

2

2

2

3

3

3

3

4

2

2

2

2

1

1

Картофель по-деревенски

30

2

2

2

2

3

3

4

2

2

2

2

1

1

Рис с овощами

30

2

2

2

2

2

3

3

4

2

2

2

2

1

1

Цветная капуста жареная

30

2

2

2

2

2

3

3

4

2

2

2

2

1

1

Овощи гриль

30

2

2

2

2

2

3

3

4

2

2

2

2

1

1

Соус Томатный

20

1

2

2

2

2

2

2

2

1

1

1

1

1

0

Соус Охотничий

20

1

2

2

2

2

2

2

2

1

1

1

1

1

0

Соус Бешамель

20

1

2

2

2

2

2

2

2

1

1

1

1

1

0

Клюквенный морс

37

2

3

3

3

3

3

4

4

3

3

2

2

1

1



Расчет численности работников горячего цеха.

Численность производственных работников, непосредственно занятых процессом производства в горячем цехе, определяют по нормам времени в соответствии с формулой (3.14):

                                                                      (3.14)

где n - количество изделий (или блюд), изготавливаемых за день, шт., кг, блюд;

t - норма времени на изготовление единицы изделия, с; t = K•100, здесь К - коэффициент трудоемкости; 100 - норма времени, необходимого для приготовления изделия, коэффициент трудоемкости которого равен 1, с;

Т- продолжительность рабочего дня каждого работающего, ч (Т = 8 ч; 11,4 ч; 6,6 ч);

л - коэффициент, учитывающий рост производительности труда (л= 1,14), применяют только при механизации процесса.[9]

Расчет численности производственных работников представлен в таблице 3.25.

Таблица 3.25 - Расчет численности персонала горячего цеха

Наименование блюд

Кол-во блюд за день, шт

Коэффициент трудоемкости блюда

Кол-во работников, чел

Паштет из печени

23

0,7

0,049

Гренки чесночные

15

0,6

0,027

Ребрышки свиные

15

0,7

0,032

Острые куриные крылышки

15

0,7

0,032

Кольца кальмара жаренные

16

0,7

0,034

Суп-пюре из цветной капусты

40

1,5

0,183

Суп-лапша грибная

40

0,7

0,085

Овощной суп с говядиной

42

1,7

0,217

Рибай-стейк

44

0,8

0,107

Стриплойн стейк

44

0,8

0,107

Ти-бон-стейк

44

0,8

0,107

Портерхаус-стейк

44

0,8

0,107

Стейк с луковыми кольцами фри

30

0,8

0,073

Стейк в сливочно-грибном соусе

31

0,8

0,076

Стейк из семги

31

0,9

0,085

Кефаль, в сметанном соусе с грибами и картофелем

30

2,0

0,183

Шницель по-столичному

44

1,1

0,147

Жаркое из курицы

44

1,2

0,161

Свинина «Загадка»

44

1,2

0,161

Свинина по-французски

44

1,2

0,161

Телятина натуральная

44

0,5

0,067

Картофель фри

32

0,7

0,068

Картофель по-деревенски

30

0,7

0,064

Рис с овощами

30

0,4

0,037

Цветная капуста жареная

30

1,9

0,174

Овощи гриль

30

2,0

0,183

Соус Томатный

20

1,0

0,061

Соус Охотничий

20

1,0

0,061

Соус Бешамель

20

0,5

0,030

Клюквенный морс

37

0,3

0,034

Итого

2,913


Расчет производится по каждому наименованию блюда (строке) раздельно через коэффициент трудоемкости данного блюда с учетом возможности применения механизации технологического процесса (л).

Рассчитанное количество работников по последней колонке суммируется и дает значение N1.

Общая численность производственных работников с учетом выходных и праздничных дней, отпусков и дней по болезни определяется по формуле (3.5).

N = 3 • 1,59 = 4,77 = 5 чел.

В горячем цехе ежедневно работают 3 человека, а с учетом выходных и праздничных дней - 5 человек. Горячий цех работает с 9.00 до 00.00.

Технологический расчет и подбор оборудования.

Механическое оборудование.

В горячем цехе подлежат механизации в общем случае следующие процессы: измельчение овощей и вареного мяса, протирание творога, протирание или взбивание картофельного пюре. С этой целью в цехе может быть установлена овощерезка, мясорубка или универсальная кухонная машина со сменными насадками.

Расчет производится по формулам (3.6), (3.7) и (3.8).

Расчет механического оборудования представлен в таблице 3.26

Таблица 3.26 - Технологический расчет мясорубки

Оборуд.

Расчет требуемой производительности

Тип и производительность, кг/ч

Характеристика принятого к установке оборуд.


Кол-во измельченного продукта, кг

Условный коэффициент использования оборуд.

Продолжительность работы цеха, ч

Условное время работы оборуд., ч

Требуемая производительность оборуд., кг/ч


Продолжительность работы, ч

Коэффициент использования

Кол-во оборуд.

мясорубка

1,82

0,5

14

7

0,26

Белвар KЭM-П2У-202-01,Q=24 кг/ч

0,07

0,005

1


По действующим справочникам и каталогам принимаем мясорубку Белвар KЭM-П2У-202-01 мощностью 0,22 кВт.

Холодильное оборудование.

Расчет производится по формуле (3.9).

Определение объёма продуктов подлежащих хранению в горячем цехе представлено в таблице 3.27.

Таблица 3.27 - Определение объема холодильного шкафа для хранения продуктов

Полуфабрикат

Масса продукта, кг

Объемная плотность продукта, кг/дм3

Полезный объем холодильного шкафа, л

Ананас консервированный

0,22

0,6

0,524

Белое вино (сухое)

0,98

0,6

2,333

Ветчина

0,44

0,45

1,397

Горчица острая

0,18

0,6

0,429

Жир животный топленый пищевой

0,69

0,9

1,087

Зеленый горошек консервированный

0,44

0,6

1,048

Коньяк Ставрополь на Волге 3*

0,88

0,6

2,095

Майонез, 67%

1,38

0,9

2,190

Маргарин столовый 72%

0,11

0,9

0,173

Маслины б/к конс

0,09

0,6

0,219

Масло сливочное 72,5%

3,30

0,9

5,240

Молоко 3,2%

3,04

0,9

4,825

Сливки 30%

1,55

2,460

Сметана 20%

4,05

0,9

6,429

Соевый соус

0,21

0,6

0,500

Сыр Пармезан

1,72

0,7

3,510

Томатное пюре

1,68

0,6

3,988

Яйцо куриное мытое дезинфицированное С1

3,41

0,6

8,119

Итого

46,565


Учитывая данные о полезном объеме холодильного шкафа из действующих справочников и каталогов, принимаем к установке холодильный шкаф Бирюса 310 Е, с внутренним объемом 310 л и габаритами 572х630х1570 мм.

Тепловое оборудование.

Тепловое оборудование предприятий общественного питания представлено различными видами тепловых аппаратов, предназначенных для приготовления пищи, разогрева и поддержания требуемой температуры блюд и кулинарных изделий.

Технологический расчет теплового оборудования проводят по количеству кулинарной продукции, реализуемой в течение максимально загруженного часа работы предприятия (расчет плит, сосисковарок, кофеварок, фритюрниц, сковород и др.).

В результате технологического расчета подбирают оборудование соответствующей производительности, площади или вместимости из действующих справочников и каталогов; для тех или иных тепловых аппаратов определяют продолжительность их работы и коэффициент использования.

В основу расчета теплового оборудования положены таблицы реализации, которые составляются для всех видов продукции, изготовляемой данным предприятием: блюд, реализуемых в залах, отпускаемых в экспедицию и в магазин кулинарии.

Расчет сковород.

Расчет и подбор сковород проводят по расчетной площади пода чаши. Основа для их расчета - количество изделий, реализуемых при максимальной загрузке зала в ресторанах, столовых и т. д. или изготовленных за основную смену в кулинарном цехе для реализации в магазинах кулинарии.

В случае жарки штучных изделий расчетную площадь пода чаши (м2) определяют по формуле (3.15):

                                                                                      (3.15)

где n - количество изделий, обжариваемых за расчетный период, шт.;- площадь, занимаемая единицей изделия, м2; f = 0,01...0,02 м2;

ц - оборачиваемость площади пода сковороды за расчетный период, определяется по формуле (3.16):

        (3.16)

где T - продолжительность расчетного периода (1-3; 8), ч; ц - продолжительность цикла тепловой обработки, ч.

Расчёт площади пода сковороды представлен в таблице 3.28.

Таблица 3.28 - Определение расчетной площади пода сковороды

Наименование

Кол-во изделий за расчетный период, шт.

Площадь единицы изделия, м2

Продолжительность тепловой обработки, мин

Оборачиваемость площади пода за расчетный период

Расчетная площадь пода, м2


n

f

tц

ц

Fпода

Ребрышки свиные

2

0,02

25

2,4

0,017

Шницель  по-столичному

5

0,02

20

3

0,033

Телятина натуральная

5

0,02

25

2,4

0,042

Кольца кальмара жаренные

2

0,04

15

4

0,020

Овощи гриль

4

0,05

30

2

0,100

Итого

0,212


К полученной площади пода чаши добавляют 10 % на неплотности прилегания изделия. Площадь пода определяется по формуле (3.17):

                                                                                   (3.7)

F = 1,1 • 0,212 = 0,233(м2)

Учитывая данные о площади пода стационарных сковород из действующих справочников и каталогов, принимаем к установке сковороду электрическую СЭСМ - 0,3Н с площадью пода чаши 0,32 м2 и габаритами 800х800х850 мм.

Расчет числа фритюрниц.

Расчет и подбор фритюрниц проводят по вместимости чаши. Основа для их расчета - количество изделий, реализуемых при максимальной загрузке зала в ресторанах, столовых и т. д. или изготовленных за основную смену в кулинарном цехе для реализации в магазинах кулинарии.

По справочнику подбираем необходимую фритюрницу.

Таблица 3.29 - Определение расчетной вместимости чаши фритюрницы

Полуфабрикат

Масса (нетто), кг

Объемная плотность продукта, кг/дм3

Объем продукта, дм3

Объем жира, дм3

Продолжительность тепловой обработки, мин

Оборачиваемость за расчетный период

Расчетная вместимость чаши, дм3


М

с

Vж

t

ц


Свинина «Загадка»

0,79

0,8

0,99

4

6

10

0,499

Луковые кольца фри

0,416

0,42

0,99

4

3

20

0,249

Картофель по деревенски пф

0,6

0,55

1,09

4

3

20

0,227

Картофель фри (брусочки) пф

0,6

0,55

1,09

4

3

20

0,227

Итого

1,202


Из действующих справочников и каталогов, принимаем к установке фритюрницу Fimar FТ44N с объемом жира 8 дм3 , габаритами 420х430х350 мм.

Расчет площади плит.

Площадь жарочной поверхности плиты (м2), используемой для приготовления данного блюда, рассчитывают по формуле (3.18):

                                                                                      (3.18)

где п - количество наплитной посуды, необходимой для приготовления данного блюда за расчетный час, шт.;  - площадь, занимаемая единицей наплитной посуды на жарочной поверхности плиты;

ц - оборачиваемость площади жарочной поверхности плиты, занятой наплитной посудой за расчетный час.

Жарочную поверхность плиты, используемую для приготовления всех видов блюд, определяют как сумму жарочных поверхностей, используемых для приготовления отдельных видов блюд по формуле (3.19):

                                           (3.19)

К полученной жарочной поверхности плиты прибавляют 10 - 30% на неплотности прилегания наплитной посуды и мелкие неучтенные операции.

Расчет жарочной поверхности плиты представлен в таблице 3.30.

Таблица 3.30 - Расчет жарочной поверхности плиты

Блюдо

Кол-во блюд в макc. час загрузки плиты

Тип наплитной посуды

Вместимость посуды, шт/дм3

Кол-во посуды

Площадь единицы посуды, м2

Продолж. тепловой обработки, мин

Оборачиваемость

Площадь жарочной поверхности плиты, м2





п

f


ц

Fр

Гренки чесночные

2

сковорода чугунная

-

1

0,03

15

4

0,008

Кольца кальмара жаренные

2

сковорода

-

2

0,07

15

4

0,035

Суп-пюре из цветной капусты

5

котел из нерж. стали, сковорода

20 -

2

0,07 0,07

60 15

2 4

0,035 0,018

Суп-лапша грибная

5

котел из нерж. стали, кастрюля, сковорода

20 8 -

3

0,07 0,05 0,07

60 20 15

3 3 4

0,035 0,018 0,018

Овощной суп с говядиной

5

котел из нерж. стали,  кастрюля, сковорода

20  8 -

3

0,07  0,05 0,07

60  30 15

2  4 4

0,035  0,012 0,018

Рибай-стейк

5

гриль - сковорода

-

1

0,07

25

2,4

0,029

Стриплойн стейк

5

гриль -сковорода, сковорода, сотейник

- - 2

3

0,07 0,03 0,03

25 15 20

2,4 4 3

0,029 0,008 0,010

Ти-бон-стейк

5

гриль -сковорода

-

1

0,07

25

2,4

0,029

Портерхаус-стейк

5

гриль - сковорода

-

1

0,07

25

2,4

0,029

Стейк с луковыми кольцами фри

4

гриль - сковорода

-

1

0,07

25

2,4

0,029

Стейк в сливочно-грибном соусе

4

гриль - сковорода, сковорода

-  -

2

0,07  0,07

25  25

2,4  2,4

0,029  0,029

Кефаль, в сметанном соусе с грибами и картофелем

4

кастрюля, кастрюля, сковорода, сковорода

4 4 - -

4

0,04 0,04 0,03 0,03

20 20 15 20

3 3 4 3

0,013 0,013 0,008 0,010

Жаркое из курицы

5

сковорода, сковорода

- -

2

0,07 0,03

20 20

3 3

0,023 0,010

Свинина «Загадка»

5

сковорода

-

1

0,03

15

4

0,008

Свинина по-французски

5

сковорода, сковорода

- -

2

0,07 0,03

25 25

2,4 2,4

0,029 0,012

Рис с овощами

4

кастрюля, сковорода

4 -

2

0,04 0,03

20 15

3 4

0,013 0,008

Цветная капуста жареная

4

кастрюля, сковорода

4 -

2

0,04 0,03

20 20

3 3

0,013 0,010

Соус Томатный

2

кастрюля, сковорода

4 -

2

0,04 0,07

40 15

3 4

0,013 0,018

Соус Охотничий

2

кастрюля, сковорода

4 -

2

0,04 0,07

40 15

3 4

0,013 0,018

Соус Бешамель

2

кастрюля

4

1

0,04

20

6

0,008

Клюквенный морс

4

кастрюля

12

1

0,07

10

6

Итого

0,696

 

Общая площадь жарочной поверхности плиты определяется по формуле (3.20) и равна 0,696 • 1,1 = 0,77 (м2).

Из действующих справочников и каталогов, принимаем к установке плиту РАДА ПЭ-806О - 1 с габаритами 1475х850х860 мм.

Расчет пароконвектомата.

Пароконвектоматы устанавливают в настоящее время почти во всех предприятиях общественного питания. Это автоматизированные многофункциональные аппараты, используемые для жарки, тушения, запекания, припускания, варки на пару, размораживания и разогрева охлажденной продукции. Отечественные и зарубежные фирмы предлагают пароконвектоматы разной вместимости (или числу уровней для гастроемкостей) в аппарате и по размерам используемых гастроемкостей.

Расчет вместимости пароконвектомата производят по максимальному часу загрузки зала. Используется два метода расчета:

1)      по усредненной производительности (количеству блюд в час) из технической характеристики аппарата;

2)      по количеству необходимых уровней в пароконвектомате по формуле (3.20):

                                                                              (3.20)

где nур - число уровней в пароконвектомате; г.е - число гастроемкостей за расчетный период; ц - оборачиваемость.

Расчет вместимости пароконвектомата представлен в таблице 3.31.

Таблица 3.31 - Расчет вместимости пароконвектомата

Наименование блюда

Число порций в расчетный период

Вместимость гастроемкости, шт.

Кол-во гастроемкостей

Продолжительность технологического цикла, мин.

Оборачиваемость за расчетный период

Вместимость пароконвектомата, шт


n


шт.

t

ц


Острые куриные крылышки

2

20

1

20

3

0,33

Стейк из семги

4

10

1

12

5

0,2

Кефаль, в сметанном соусе с грибами и картофелем

4

20

1

20

3

0,33

Свинина «Загадка»

5

10

1

15

4

0,25

Свинина по-французски

5

20

1

20

3

0,33

Телятина натуральная

5

10

1

12

5

0,2

Овощи гриль

4

20

1

12

5

0,2

Итого

1,84


Из действующих справочников и каталогов, принимаем к установке итальянский пароконвектомат Bourgeois SE-UCRU 0612 с шестью уровнями, габаритами 600х900х800 мм.

Вспомогательное (нейтральное) оборудование.

Число столов определяем по формулам (3.12) и (3.13). Получаем, что для 3 работников необходимо 3 производственных стола. Под действующим справочникам и каталогам принимаем следующие производственные столы РАДА СО - 15/7БП - 430 с габаритами 1500х700х870 мм.

Расчет числа моечных ванн.

Согласно СанПиНу устанавливаем 1 моечную ванну РАДА ВМ1-6/6Б в горячий цех.

Расчет площади горячего цеха.

Площадь горячего цеха вычисляют по площади, занимаемой оборудованием по формуле (3.11).

Коэффициент использования площади з для горячего, кондитерского и кулинарного цехов - 0,3.

Определение площади горячего цеха.

В соответствии с формулой (3.11), проводился проектный расчет площади горячего цеха. Расчёт площади горячего цеха представлен в таблице 3.32.

Таблица 3.32 - Расчет площади горячего цеха

Наименование

Тип марка

Кол-во

Габаритные размеры, мм

Площадь, занятая единицей оборудования, м2

Площадь, занятая всем оборудованием, м2

Мясорубка

Белвар KЭM-П2У-202-01

1

340x160x300

0,05

-

Плита электрическая

РАДА ПЭ-8060

1

1475х850х860

1,25

1,25

Сковорода электрическая

СЭСМ - 0,3Н

1

800х800х850

0,64

0,64

Фритюрница

Fimar FТ44N

1

420х430х350

0,18

-

Пароконвектомат

Bourgeois SE-UCRU 0612

1

600х900х800

0,54

0,54

Подставка под пароконвектомат


1

700х1000х900

0,7

0,7

Холодильный шкаф

Бирюса 310 Е

1

572х630х1570

0,36

0,36

Стол производственны

РАДА СО - 15/7БП - 430

3

1500х700х870

1,05

3,15

Стол производственный для приборов малой механизации

РАДА СО - 8/7БП - 430

1

800х700х870

0,56

0,56

Стол с подогревом

CКП 2-10/7H

1

1000x700x870

0,7

0,7

Моечная ванна

РАДА ВМ1-6/6Б

1

600х600х870

0,36

0,36

Раковина

Рукомойник 03

1

500х500х160

0,25

0,25

Стеллаж кухонный

СП-230

1

670х600х1500

0,42

0,42

Весы электронные

AD-10

1

350х325х105

0,11

-

Итого

8,9


В результате проведённых расчётов проектная площадь горячего цеха составляет F = 8,9 / 0,3 = 29,7 (м2).

 

.4.4 Холодный цех

Производственная программа цеха.

Производственной программой для холодного цеха «Кафе-стейк» является совокупность ассортимента блюд и кулинарных изделий и их количества, реализуемого за день. Производственная программа холодного цеха кафе представлена в таблице 3.33.

Таблица 3.33 - Производственная программа холодного цеха

№ по сборнику или ТТК

Наименование блюда

Выход с указанием всех компонентов

Общее количество блюд, реализуемых за день

ТТК

Сэндвич с ветчиной

130

22

ТТК

Сэндвич с семгой

130

22

ТТК

Ассорти из сыров

250

22

154

Мясное ассорти

100/75/30

23

ТТК

Паштет из печени

100

23

 61

Салат из свежих овощей

200

45

96

Салат рыбный деликатесный

200

46

 97*

Салат Цада

170/30

46

 91*

Салат - коктейль с ветчиной и сыром

200

46

ТТК

Салат Цезарь с курицей

70/130/50

46

ТТК

 Салат - коктейль Креветки с авокадо и клубникой

200

46

ТТК

Соус Тартар

50

20

ТТК

Соус Песто

50

20


Кетчуп

50

20


Майонез

50

20


Чизкейк Нью-Йорк

140

62


Чизкейк Клубничный вихрь

140

62


Чизкейк шоколадный

140

62


Чизкейк пралине

140

62


Штрудель вишневый

150

64


Штрудель яблочный

170

60

ТТК

Клубника со взбитыми сливками

150/30

26

ТТК

Свежий ананас

300

26

ТТК

Фрукты

250

26

ТТК

Сорбет (3 шарика)

150/10

26

ТТК

Ассорти мороженого

150/10

26


Расчет расхода сырья и полуфабрикатов для холодного цеха.

В его основу положена производственная программа холодного цеха. Суточное количество сырья (кг) определяют по формуле (3.4).

Для расчета расхода сырья в холодном цехе необходимо учитывать, что цех получает полуфабрикаты из овощного и мясо-рыбного цехов, поэтому норму расхода сырья на одну порцию для полуфабрикатов необходимо брать по весу нетто полуфабриката, для прочих пищевых продуктов (сыр, мясокопчености и т.п.) - по весу брутто. Расход сырья и полуфабрикатов на одну порцию определяется по рецептуре блюд, включенных в меню.

Расчётное количество сырья представлены в сводной продуктовой ведомости в таблице 3.34.

Таблица 3.34 - Сводная продуктовая ведомость холодного цеха

Сырье, полуфабрикаты

Масса или количество, кг, порц. шт.

Авокадо свежий

1,93

Ананас очищенный свежий

4,68

Апельсины свежие

1,27

Базилик (зелень) свежий

0,29

Бананы свежие

1,25

Булочка с кунжутом

2,64

Ветчина

2,56

Виноград свежий

1,25

Говядина (грудинка) отварная

1,31

Горошек зеленый консервированный

0,92

Горчица столовая

0,11

Гренки чесночные

0,46

Груши свежие

0,69

Мята перечная (зелень) свежая

0,04

Имбирь (корень)

0,02

Каперсы консервированные

0,22

Капуста цветная вареная

0,60

Картофель очищенный отварной

2,90

Кетчуп

1,00

Клубника свежая

1,56

Кориандр молотый

0,01

Креветки очищенные вареные

1,47

Куриная грудка (филе) жареная

3,80

Лимон свежий

0,44

Лук репчатый

1,41

Майонез 67%

7,16

Масло оливковое

1,10

Масло подсолнечное

0,47

Масло сливочное 72,5%

0,15

Морковь очищенная вареная

0,60

Мороженное ванильное

1,30

Мороженное карамельное

1,30

1,30

Огурцы (корнишоны) консервированные

0,42

Огурец очищенный свежий

4,79

Огурец очищенный соленый

1,18

Окунь морской отварной

2,44

Орех грецкий очищенный

0,41

Паштет из печени пф

2,30

Перец сладкий свежий

1,80

Перец сладкий маринованный

0,92

Перец черный молотый

0,01

Петрушка (зелень)свежая

0,18

Помидоры свежие

4,86

Помидоры черри свежие

0,92

Салат Айсберг свежий

0,38

Салат Лолло Россо свежий

0,48

Салат Романо свежий

3,08

Сахар-песок

0,25

Свинина (грудинка) жареная

0,58

Семга (филе) м/с

0,66

Сливки взбитые

0,78

Сметана 20%

2,12

Соевый соус

0,03

Соль поваренная пищевая

0,15

Сорбет манго

1,30

Сорбет черная смородина

1,30

Сорбет малиново-клубничный

1,30

Сыр Дор Блю

1,14

Сыр Козий Шевре (твердый)

1,14

Сыр Маасдам

1,17

Сыр Пармезан

2,53

Сыр Чеддер

1,14

Уксус яблочный

0,28

Фасоль отварная

2,81

Фасоль стручковая консервированная

1,06

Чеснок очищенный

0,23

Чизкейк Клубничный вихрь

8,68

Чизкейк Нью-Йорк

8,68

Чизкейк пралине

8,68

Чизкейк шоколадный

8,68

Штрудель вишневый

9,60

Штрудель яблочный

10,20

Яблоки свежие

1,14

Язык говяжий отварной

0,58

Яйцо вареное

0,92


Расчет численности работников холодного цеха.

Численность производственных работников, непосредственно занятых процессом производства в холодном цехе, определяют по нормам времени в соответствии с формулой (3.17).

Расчёт численности производственных работников холодного цеха представлен в таблице 3.35.

Таблица 3.35 - Определение численности работников холодного цеха.

Наименование блюда

Выход, г

Количество порций

Коэффициент трудоемкости

Кол-во работников, чел

Сэндвич с ветчиной

130

22

0,3

0,020

Сэндвич с семгой

130

22

0,3

0,020

Ассорти из сыров

250

22

0,2

0,013

Мясное ассорти

155/75/30

23

0,2

0,014

Паштет из печени

100

23

0,2

0,014

Салат из свежих овощей

200

45

0,7

0,096

Салат рыбный деликатесный

200

46

1,1

0,154

Салат Цада

170/30

46

1,1

0,154

Салат - коктейль с ветчиной и сыром

200

46

0,7

0,098

Салат Цезарь с курицей

70/130/50

46

1,1

0,154

 Салат - коктейль Креветки с авокадо и клубникой

200

46

0,7

0,098

Соус Тартар

50

20

0,7

0,043

Соус Песто

50

20

1,5

0,091

Кетчуп

50

20

0,2

0,012

Майонез

50

20

0,2

0,012

Чизкейк Нью-Йорк

140

62

0,2

0,038

Чизкейк Клубничный вихрь

140

62

0,2

0,038

Чизкейк шоколадный

140

62

0,2

0,038

Чизкейк пралине

140

62

0,2

0,038

Штрудель вишневый

150

64

0,2

0,039

Штрудель яблочный

170

60

0,2

0,037

Клубника со взбитыми сливками

150/30

26

0,2

0,016

Свежий ананас

300

26

0,2

0,016

Фрукты

250

26

0,2

0,016

Сорбет (3 шарика)

150/10

26

0,2

0,016

Ассорти мороженого

150/10

26

0,2

0,016

Итого

1,3


Численность производственного персонала холодного цеха составляет 2 человека. Общую численность производственных работников с учетом выходных и праздничных дней, отпусков и дней по болезни определяем по формуле (3.7):

N = 2 • 1,59 = 3 чел.

Принимаем, что в холодном цехе ежедневно работают - 2 человек, а с учетом выходных и праздничных дней - 3 человека.

Технологический расчет и подбор оборудования

Механическое оборудование.

По действующим справочникам и каталогам принимаем слайсер Celme TOP 220 мощностью 0,2 кВт и габаритами 450 х 370 х 355 мм.

Холодильное оборудование.

Определение объема продуктов, подлежащих хранению в холодном цехе кафе представлен в таблице 3.36.

Таблица 3.36 - Определение объема полуфабрикатов, подлежащих хранению

Полуфабрикат

Масса продукта, кг

Объемная плотность продукта, кг/дм3

Полезный объем холодильного шкафа, л

Ветчина

2,56

0,45

7,11

Горошек зеленый консервированный

0,92

0,8

1,44

Горчица столовая

0,11

0,9

0,15

Каперсы консервированные

0,22

0,9

0,31

Кетчуп

1,00

0,9

1,39

Майонез 67%

7,16

0,9

9,94

Масло сливочное 72,5%

0,15

0,9

0,21

Мороженное ванильное

1,30

0,9

1,81

Мороженное карамельное

1,30

0,9

1,81

Мороженное мята и шоколад

1,30

0,9

1,81

Огурцы (корнишоны) консервированные

0,42

0,9

0,58

Паштет из печени пф

2,30

0,8

3,59

Перец сладкий маринованный

0,92

0,9

1,28

Сливки взбитые

0,78

0,9

1,08

Сметана 20%

2,12

0,9

2,94

Сыр Дор Блю

1,14

0,7

2,04

Сыр Козий Шевре (твердый)

1,14

0,7

2,04

Сыр Маасдам

1,17

0,7

2,09

Сыр Пармезан

2,53

0,7

4,52

Сыр Чеддер

1,14

0,7

2,04

Фасоль стручковая консервированная

1,06

0,9

1,47

Чизкейк Клубничный вихрь

8,68

0,9

12,06

Чизкейк Нью-Йорк

8,68

0,9

12,06

Чизкейк пралине

8,68

0,9

12,06

Чизкейк шоколадный

8,68

0,9

12,06

Штрудель вишневый

9,60

0,9

13,33

Штрудель яблочный

10,20

0,9

14,17

Итого


Учитывая данные о полезном объеме холодильного шкафа из действующих справочников и каталогов, принимаем к установке комбинированный холодильный шкаф Бирюса 10 Е, с внутренним объемом 207/28 л и габаритами 580х600х1220 мм.

Вспомогательное (нейтральное) оборудование.

Для 2 работников необходимо 2 производственных стола. Под действующим справочникам и каталогам принимаем следующие производственные столы РАДА СО - 15/7БП - 430 с габаритами 1500х700х870 мм.

Расчет вместимости и числа ванн.

Под действующим справочником и каталогом принимаем одну ванну моечную односекционную: РАДА ВМ1-6/6Б и рукомойник серии 03.

Расчет площади холодного цеха.

Расчёт площади холодного цеха представлен в таблице 3.37

Таблица3.37 - Расчет площади холодного цеха

Наименование

Тип марка

Кол-во

Габаритные размеры, мм

Площадь, занятая единицей оборудования, м2

Площадь, занятая всем оборудованием, м2

Слайсер

Celme TOP 220

1

450х370х355

0,17

-

Холодильный шкаф

Бирюса 10 Е

1

580х600х1220

0,35

0,35

Стол производственный

РАДА СО - 15/7БП - 430

2

1500х700х870

1,05

2,10

Стол с охлаждением

HB4C

1

1234x700x850

0,86

0,86

Моечная ванна

РАДА ВМ1-6/6Б

1

600х600х870

0,36

0,36

Раковина

Рукомойник 03

1

500х500х160

0,25

0,25

Итого

3,9


В результате проведённых расчётов проектная площадь холодного цеха кафе составляет F = 3,9 / 0,3 = 13 м2 .

 

.4.5 Моечная столовой посуды

Моечную столовой посуды проектируют на всех предприятиях общественного питания, имеющих залы для обслуживания потребителей независимо от их типа и вместимости. Моечная столовой посуды предназначена для очистки посуды от остатков пищи, сортировки, мытья посуды, приборов и подносов, а также для хранения их. Для организации процесса мойки посуды в моечной выделяют две линии с установкой: машины и вспомогательного оборудования; моечных ванн и вспомогательного оборудования. Оборудование в линиях располагают последовательно - в соответствии с ходом операций по обработке посуды и перпендикулярно окну приема посуды. Все операции по обработке посуды выполняют в определенной последовательности. Для выполнения этих операций моечную оснащают посудомоечными машинами для мытья посуды и приборов, пятью моечными ваннами, столами для сбора остатков пищи, использованной и чистой посуды, настенными полками, водонагревателем; над посудомоечной машиной должен быть установлен вентиляционный зонт.[32]

Помещение моечной столовой посуды должно быть удобно связано непосредственно с сервизной, горячим и холодными цехами, а также с залами.

Расчет численности работников моечной столовой посуды.

Помещение моечной столовой посуды оборудуют посудомоечной машиной периодического действия, обслуживаемой одним оператором.[29]

Общую численность производственных работников с учетом выходных и праздничных дней, отпусков и дней по болезни определяем по формуле (3.7):

N = 2• 1,59 = 3 чел.

Принимаем, что в моечной ежедневно работает - 2 человека, а с учетом выходных и праздничных дней - 3 человека.

Технологический расчет и подбор оборудования.

Механическое оборудование.

Производительность посудомоечных машин характеризуется количеством посуды, обрабатываемой в час. Поэтому ее расчет осуществляют по количеству столовой посуды и приборов, которые необходимо вымыть за час максимальной загрузки зала. Это количество определяем по формуле (3.21):

Gч=Nч•1,3n                                                                              (3.21)

где Nч- число потребителей в максимальный час загрузки зала;

,3- коэффициент, учитывающий мойку стаканов и приборов;

n- число тарелок на одного потребителя в предприятии данного типа, шт.

Затем определяют количество столовой посуды и приборов, которое необходимо вымыть за день, по формуле (3.22):

Gд=Nд•1,3n                                                                              (3.22)

где Nд- число потребителей за день.

На основании проведенного расчета по справочнику подбираем машину, имеющую производительность, близкую требуемой.

Примерная норма столовой посуды представлена в таблице 3.38.

Таблица 3.38 - Примерная норма столовой посуды и приборов на одного потребителя

Тип предприятия

Тарелки разные

Чашки, стаканы и др.

Приборы столовые

Посуда винная

Кафе, закусочная (с обслуживанием официантами)

4

2

3

3


Расчет посудомоечной машины представлен в таблице 3.39.

 

Таблица 3.39 - Расчет посудомоечной машины

Количество потребителей

Норма тарелок на одного потребителя

Количество посуды, шт

Производительность машины, тарелок/ч

Время работы машины, ч

Коэффициент использования машины

За час максимальной загрузки

За день


За час максимальной загрузки

За день




90

748

4

468

3890

405

9,6

0,8


Принимаем к установке посудомоечную машину марки РАДА ПММ Ф1с габаритными размерами 626х594х837 мм.

Вспомогательное (нейтральное) оборудование.

Согласно СаНПиНу независимо от наличия посудомоечной машины в моечной столовой посуды рекомендуется иметь пятисекционную моечную ванну. В цехе устанавливаем 2 ванны марки RADA ВМ2-12/7Б с габаритными размерами 1200х700х870 мм и 1 ванну РАДА ВМ1-6/7Б 600х700х870 мм.

Стол для принятия использованной посуды RADA РПС 12/6 с габаритными размерами 1200х600х870 мм.

Площадь моечной столовой посуды вычисляют по площади, занимаемой оборудованием по формуле (3.14). Расчет площади моечной столовой посуды представлен в таблице 3.40.

Таблица 3.40 - Расчет площади моечной столовой посуды

Наименование

Тип марка

Кол-во

Габаритные размеры, мм

Площадь, занятая единицей оборудования, м2

Площадь, занятая всем оборудованием, м2

Машина посудомоечная

РАДА ПММ Ф1

1

626x594x837

0,37

0,37

Стол производственный

ПРПС-12/6

1

1200x600x870

0,72

0,72

Ванна моечная

ВМ2-12/7Б

2

1200x700x870

0,84

1,68

Ванна моечная

ВМ1-6/7Б

1

600x700x870

0,42

0,42

Раковина

Рукомойник 03

1

500х500х160

0,25

0,25

Стол для сбора отходов с отверстием

СОС 12/6Н

1

1200x600x870

0,72

0,72

Итого:

4,2


В результате проведённых расчётов проектная площадь моечной столовой посуды составила F = 4,2 / 0,35 = 12 м2

.4.6 Сервизная

Основное назначение сервизной - хранение запаса столовой посуды и приборов, необходимых для нормального обслуживания посетителей. Сервизная должна непосредственно примыкать к моечной столовой посуды и иметь удобную связь с горячим и холодным цехом. Оборудуют сервизную шкафами и многоярусными стеллажами для хранения посуды, столовых приборов, сервизов и другими столами.

Площадь сервизной вычисляют по площади, занимаемой оборудованием по формуле (3.14). Расчет площади сервизной представлен в таблице 3.41.

Таблица 3.41 - Расчет площади сервизной

Наименование

Тип марка

Кол-во

Габаритные размеры, мм

Площадь занятая ед.оборудования, м2

Площадь занятая всем оборудованием, м2

Стеллаж для посуды

СК 8/4

2

800x400x1850

0,32

0,64

Шкаф для посуды

ШД-12/6Н

2

1200x600x1850

0,72

1,44

Итого





2,1


В результате проведённых расчётов проектная площадь сервизной составила F = 2,1 / 0,35 = 6 м2

.4.6 Моечная кухонной посуды

Это помещение предназначено для мойки кухонной посуды и инвентаря.

Моечную кухонной посуды оснащают моечными ваннами, стеллажами, подтоварниками.

Похожие работы на - Проектирование 'Кафе-стейк' на 70 посадочных мест с баром на 30 мест в городе Тольятти

 

Не нашли материал для своей работы?
Поможем написать уникальную работу
Без плагиата!
Без нейросетей!